These Highlights Do Not Include All The Information Needed To Use Paricalcitol Injection Safely And Effectively. See Full Prescribing Information For Paricalcitol Injection.

These Highlights Do Not Include All The Information Needed To Use Paricalcitol Injection Safely And Effectively. See Full Prescribing Information For Paricalcitol Injection.
SPL v8
SPL
SPL Set ID 6937c596-9ca4-480e-9090-b9d8a3c271c8
Route
INTRAVENOUS
Published
Effective Date 2023-04-12
Document Type 34391-3 Human Prescription Drug Label

Drug Facts

Composition & Product

Active Ingredients
Paricalcitol (2 ug)
Inactive Ingredients
Propylene Glycol Alcohol Water

Identifiers & Packaging

Marketing Status
ANDA Active Since 2018-10-09

Description

Paricalcitol injection is indicated for the prevention and treatment of secondary hyperparathyroidism in patients 5 years of age and older with chronic kidney disease (CKD) on dialysis.

Indications and Usage

Paricalcitol injection is indicated for the prevention and treatment of secondary hyperparathyroidism in patients 5 years of age and older with chronic kidney disease (CKD) on dialysis.

Dosage and Administration

Ensure serum calcium is not above the upper limit of normal before initiating ( 2.1 ) Administer paricalcitol injection intravenously through a hemodialysis vascular access at any time during dialysis ( 2.1 ). Adult Dose : Initiate at 0.04 mcg/kg to 0.1 mcg/kg (2.8 mcg to 7 mcg) no more frequently than every other day ( 2.2 ). Target maintenance dose to intact parathyroid hormone (PTH) levels within the desired therapeutic range and serum calcium within normal limits ( 2.2 ). Monitor serum calcium frequently (e.g., twice weekly) and intact PTH levels every 2 to 4 weeks after dose initiation or adjustment ( 2.2 ). See Table 1 in the full prescribing information for titration recommendations based upon intact PTH levels ( 2.2 ). Suspend or decrease the dose for persistent abnormally low intact PTH or serum calcium consistently above the normal range ( 2.2 ). Pediatric Dose : Initiate paricalcitol injection as an intravenous bolus dose of: 0.04 mcg/kg if baseline intact PTH is less than 500 pg/mL, or 0.08 mcg/kg if baseline intact PTH is 500 pg/mL or greater ( 2.3 ) Target maintenance dose to intact PTH levels within the desired therapeutic range and serum calcium within normal limits ( 2.3 ). Monitor serum calcium frequently (e.g., twice weekly) and intact PTH levels every 2 to 4 weeks after dose initiation or adjustment ( 2.3 ). See Table 2 in the full prescribing information for titration recommendations based upon intact PTH levels ( 2.3 ). Suspend or decrease the dose for persistent abnormally low intact PTH or serum calcium consistently above the normal range ( 2.3 ).

Warnings and Precautions

Hypercalcemia : Can occur during treatment with paricalcitol and can lead to cardiac arrhythmias and seizures. Severe hypercalcemia may require emergency attention. The risk may be increased when paricalcitol is used concomitantly with high dose calcium preparations, thiazide diuretics, or vitamin D compounds. Inform patients about symptoms of hypercalcemia and monitor serum calcium prior to initiation and during treatment and adjust dose accordingly ( 2 , 5.1 ). Digitalis toxicity : Risk increases with hypercalcemia. In patients using digitalis compounds, monitor both serum calcium and patients for signs and symptoms of digitalis toxicity. Monitor more frequently when initiating or adjusting the dose of paricalcitol ( 5.2 ). Adynamic Bone Disease : May develop and increase risk of fractures if intact PTH levels are suppressed to abnormally low levels. Monitor intact PTH levels and adjust dose if needed ( 5.3 ).

Contraindications

Paricalcitol is contraindicated in patients with: Hypercalcemia [see Warnings and Precautions (5.1) ] Vitamin D toxicity [see Warnings and Precautions (5.1) ] Known hypersensitivity to paricalcitol or any of the inactive ingredients in paricalcitol. Hypersensitivity adverse reactions have been reported [e.g., angioedema (including laryngeal edema) and urticaria] [see Adverse Reactions (6.2) ] .

Adverse Reactions

The following serious adverse reactions are described below and elsewhere in the labeling: Hypercalcemia [see Warnings and Precautions (5.1) ] Adynamic Bone Disease [see Warnings and Precautions (5.3) ]

Drug Interactions

Table 4 includes clinically significant drug interactions with paricalcitol. Table 4. Clinically Significant Drug Interactions with Paricalcitol   Drugs that May Increase the risk of Hypercalcemia Clinical Impact Concomitant administration of high doses of calcium-containing preparations or other vitamin D compounds may increase the risk of hypercalcemia. Thiazide diuretics are known to induce hypercalcemia by reducing excretion of calcium in the urine. Examples Calcium-containing products, other vitamin D compounds or thiazide diuretics Intervention Monitor calcium more frequently and adjust paricalcitol dose as needed [see Warnings and Precautions (5.1) ] . Digitalis Compounds Clinical Impact Paricalcitol can cause hypercalcemia which can potentiate the risk of digitalis toxicity. Intervention Monitor patients for signs and symptoms of digitalis toxicity and increase frequency of serum calcium monitoring when initiating or adjusting the dose of paricalcitol in patients receiving digitalis compounds [see Warnings and Precautions (5.2) ]. Strong CYP3A Inhibitors Clinical Impact Paricalcitol is partially metabolized by CYP3A. Exposure of paricalcitol will increase upon coadministration with strong CYP3A inhibitors [see Clinical Pharmacology (12.3) ]. Examples Boceprevir, clarithromycin, conivaptan, grapefruit juice, indinavir, itraconazole, ketoconazole, lopinavir/ritonavir, mibefradil, nefazodone, nelfinavir, posaconazole, ritonavir, saquinavir, telithromycin, and voriconazole Intervention If a patient initiates or discontinues therapy with a strong CYP3A4 inhibitor, dose adjustment of paricalcitol may be necessary. Monitor intact PTH and serum calcium concentrations closely.

Storage and Handling

Paricalcitol injection, USP is a sterile, clear, colorless, aqueous solution free from visible particles and is supplied as follows: 2 mcg per mL 1 mL Single-Dose Vials in a Carton of 25                                   NDC 55150-212-01 5 mcg per mL 1 mL Single-Dose Vials in a Carton of 25                                   NDC 55150-213-01 10 mcg per 2 mL (5 mcg/mL) 2 mL Single-Dose Vials in a Carton of 25                                   NDC 55150-214-02 10 mcg per 2 mL (5 mcg/mL) 2 mL Multiple-Dose Vials in a Carton of 25                                   NDC 55150-215-02 Store at 20° to 25°C (68° to 77°F) [see USP Controlled Room Temperature]. Discard any unused portion of the single-dose vial after use. The contents of the multiple-dose vial remain stable up to seven days after initial use when stored at controlled room temperature. The vial stoppers are not made with natural rubber latex.

How Supplied

Paricalcitol injection, USP is a sterile, clear, colorless, aqueous solution free from visible particles and is supplied as follows: 2 mcg per mL 1 mL Single-Dose Vials in a Carton of 25                                   NDC 55150-212-01 5 mcg per mL 1 mL Single-Dose Vials in a Carton of 25                                   NDC 55150-213-01 10 mcg per 2 mL (5 mcg/mL) 2 mL Single-Dose Vials in a Carton of 25                                   NDC 55150-214-02 10 mcg per 2 mL (5 mcg/mL) 2 mL Multiple-Dose Vials in a Carton of 25                                   NDC 55150-215-02 Store at 20° to 25°C (68° to 77°F) [see USP Controlled Room Temperature]. Discard any unused portion of the single-dose vial after use. The contents of the multiple-dose vial remain stable up to seven days after initial use when stored at controlled room temperature. The vial stoppers are not made with natural rubber latex.


Medication Information

Warnings and Precautions

Hypercalcemia : Can occur during treatment with paricalcitol and can lead to cardiac arrhythmias and seizures. Severe hypercalcemia may require emergency attention. The risk may be increased when paricalcitol is used concomitantly with high dose calcium preparations, thiazide diuretics, or vitamin D compounds. Inform patients about symptoms of hypercalcemia and monitor serum calcium prior to initiation and during treatment and adjust dose accordingly ( 2 , 5.1 ). Digitalis toxicity : Risk increases with hypercalcemia. In patients using digitalis compounds, monitor both serum calcium and patients for signs and symptoms of digitalis toxicity. Monitor more frequently when initiating or adjusting the dose of paricalcitol ( 5.2 ). Adynamic Bone Disease : May develop and increase risk of fractures if intact PTH levels are suppressed to abnormally low levels. Monitor intact PTH levels and adjust dose if needed ( 5.3 ).

Indications and Usage

Paricalcitol injection is indicated for the prevention and treatment of secondary hyperparathyroidism in patients 5 years of age and older with chronic kidney disease (CKD) on dialysis.

Dosage and Administration

Ensure serum calcium is not above the upper limit of normal before initiating ( 2.1 ) Administer paricalcitol injection intravenously through a hemodialysis vascular access at any time during dialysis ( 2.1 ). Adult Dose : Initiate at 0.04 mcg/kg to 0.1 mcg/kg (2.8 mcg to 7 mcg) no more frequently than every other day ( 2.2 ). Target maintenance dose to intact parathyroid hormone (PTH) levels within the desired therapeutic range and serum calcium within normal limits ( 2.2 ). Monitor serum calcium frequently (e.g., twice weekly) and intact PTH levels every 2 to 4 weeks after dose initiation or adjustment ( 2.2 ). See Table 1 in the full prescribing information for titration recommendations based upon intact PTH levels ( 2.2 ). Suspend or decrease the dose for persistent abnormally low intact PTH or serum calcium consistently above the normal range ( 2.2 ). Pediatric Dose : Initiate paricalcitol injection as an intravenous bolus dose of: 0.04 mcg/kg if baseline intact PTH is less than 500 pg/mL, or 0.08 mcg/kg if baseline intact PTH is 500 pg/mL or greater ( 2.3 ) Target maintenance dose to intact PTH levels within the desired therapeutic range and serum calcium within normal limits ( 2.3 ). Monitor serum calcium frequently (e.g., twice weekly) and intact PTH levels every 2 to 4 weeks after dose initiation or adjustment ( 2.3 ). See Table 2 in the full prescribing information for titration recommendations based upon intact PTH levels ( 2.3 ). Suspend or decrease the dose for persistent abnormally low intact PTH or serum calcium consistently above the normal range ( 2.3 ).

Contraindications

Paricalcitol is contraindicated in patients with: Hypercalcemia [see Warnings and Precautions (5.1) ] Vitamin D toxicity [see Warnings and Precautions (5.1) ] Known hypersensitivity to paricalcitol or any of the inactive ingredients in paricalcitol. Hypersensitivity adverse reactions have been reported [e.g., angioedema (including laryngeal edema) and urticaria] [see Adverse Reactions (6.2) ] .

Adverse Reactions

The following serious adverse reactions are described below and elsewhere in the labeling: Hypercalcemia [see Warnings and Precautions (5.1) ] Adynamic Bone Disease [see Warnings and Precautions (5.3) ]

Drug Interactions

Table 4 includes clinically significant drug interactions with paricalcitol. Table 4. Clinically Significant Drug Interactions with Paricalcitol   Drugs that May Increase the risk of Hypercalcemia Clinical Impact Concomitant administration of high doses of calcium-containing preparations or other vitamin D compounds may increase the risk of hypercalcemia. Thiazide diuretics are known to induce hypercalcemia by reducing excretion of calcium in the urine. Examples Calcium-containing products, other vitamin D compounds or thiazide diuretics Intervention Monitor calcium more frequently and adjust paricalcitol dose as needed [see Warnings and Precautions (5.1) ] . Digitalis Compounds Clinical Impact Paricalcitol can cause hypercalcemia which can potentiate the risk of digitalis toxicity. Intervention Monitor patients for signs and symptoms of digitalis toxicity and increase frequency of serum calcium monitoring when initiating or adjusting the dose of paricalcitol in patients receiving digitalis compounds [see Warnings and Precautions (5.2) ]. Strong CYP3A Inhibitors Clinical Impact Paricalcitol is partially metabolized by CYP3A. Exposure of paricalcitol will increase upon coadministration with strong CYP3A inhibitors [see Clinical Pharmacology (12.3) ]. Examples Boceprevir, clarithromycin, conivaptan, grapefruit juice, indinavir, itraconazole, ketoconazole, lopinavir/ritonavir, mibefradil, nefazodone, nelfinavir, posaconazole, ritonavir, saquinavir, telithromycin, and voriconazole Intervention If a patient initiates or discontinues therapy with a strong CYP3A4 inhibitor, dose adjustment of paricalcitol may be necessary. Monitor intact PTH and serum calcium concentrations closely.

Storage and Handling

Paricalcitol injection, USP is a sterile, clear, colorless, aqueous solution free from visible particles and is supplied as follows: 2 mcg per mL 1 mL Single-Dose Vials in a Carton of 25                                   NDC 55150-212-01 5 mcg per mL 1 mL Single-Dose Vials in a Carton of 25                                   NDC 55150-213-01 10 mcg per 2 mL (5 mcg/mL) 2 mL Single-Dose Vials in a Carton of 25                                   NDC 55150-214-02 10 mcg per 2 mL (5 mcg/mL) 2 mL Multiple-Dose Vials in a Carton of 25                                   NDC 55150-215-02 Store at 20° to 25°C (68° to 77°F) [see USP Controlled Room Temperature]. Discard any unused portion of the single-dose vial after use. The contents of the multiple-dose vial remain stable up to seven days after initial use when stored at controlled room temperature. The vial stoppers are not made with natural rubber latex.

How Supplied

Paricalcitol injection, USP is a sterile, clear, colorless, aqueous solution free from visible particles and is supplied as follows: 2 mcg per mL 1 mL Single-Dose Vials in a Carton of 25                                   NDC 55150-212-01 5 mcg per mL 1 mL Single-Dose Vials in a Carton of 25                                   NDC 55150-213-01 10 mcg per 2 mL (5 mcg/mL) 2 mL Single-Dose Vials in a Carton of 25                                   NDC 55150-214-02 10 mcg per 2 mL (5 mcg/mL) 2 mL Multiple-Dose Vials in a Carton of 25                                   NDC 55150-215-02 Store at 20° to 25°C (68° to 77°F) [see USP Controlled Room Temperature]. Discard any unused portion of the single-dose vial after use. The contents of the multiple-dose vial remain stable up to seven days after initial use when stored at controlled room temperature. The vial stoppers are not made with natural rubber latex.

Description

Paricalcitol injection is indicated for the prevention and treatment of secondary hyperparathyroidism in patients 5 years of age and older with chronic kidney disease (CKD) on dialysis.

10 Overdosage

Overdosage of paricalcitol may lead to hypercalcemia, hypercalciuria, and hyperphosphatemia [see Warnings and Precautions (5.1)].



The treatment of acute overdosage should consist of supportive measures and discontinuation of drug administration. Serum calcium levels should be measured until normal.



Paricalcitol is not significantly removed by dialysis.

8.1 Pregnancy

Risk Summary

Limited data with paricalcitol in pregnant women are insufficient to inform a drug-associated risk for major birth defects and miscarriage. There are risks to the mother and fetus associated with chronic kidney disease in pregnancy (see Clinical Considerations).



In animal reproduction studies, slightly increased embryofetal loss was observed in pregnant rats and rabbits administered paricalcitol intravenously during the period of organogenesis at doses 2 and 0.5 times, respectively, a human dose of 14 mcg (equivalent to 0.24 mcg/kg), based on body surface area (mg/m2). Adverse reproductive outcomes were observed at doses that caused maternal toxicity (see Data).



The estimated background risk of major birth defects and miscarriage for the indicated population is unknown. In the U.S. general population, the estimated background risk of major birth defects and miscarriage in clinically recognized pregnancies is 2% to 4% and 15% to 20%, respectively.



Clinical Considerations

Disease-Associated Maternal and/or Embryo/Fetal Risk



Chronic kidney disease in pregnancy increases the risk for maternal hypertension and preeclampsia, miscarriage, preterm delivery, polyhydramnios, still birth, and low birth weight infants.



Data

Animal Data



Pregnant rats and rabbits were treated with paricalcitol by once-daily intravenous injection during the period of organogenesis (in rats, from gestation day (GD) 6 to 17; in rabbits, from GD 6 to 18). Rats were dosed at 0, 0.3, 1 or 3 mcg/kg/day and rabbits at 0, 0.03, 0.1 or 0.3 mcg/kg/day, representing up to 2 or 0.5 times, respectively, a human dose of 0.24 mcg/kg, based on body surface area (mg/m2). Slightly decreased fetal viability was observed in both studies at the highest doses representing 2 and 0.5 times, respectively, a human dose of 0.24 mcg/kg, in the presence of maternal toxicity (decreased body weight and food consumption). Pregnant rats were administered paricalcitol by intravenous injection three times per week at doses of 0, 0.3, 3 or 20 mcg/kg/day throughout gestation, parturition and lactation (GD 6 to lactation day (LD) 20) representing exposures up to 13 times a human dose of 0.24 mcg/kg. A small increase in stillbirths and pup deaths from parturition to LD 4 were observed at the high dose when compared to the control group (9.2% versus 3.3% in controls) at 13 times a human dose of 0.24 mcg/kg, which occurred at a maternally toxic dose known to cause hypercalcemia in rats. Surviving pups were not adversely affected; body weight gains, developmental landmarks, reflex ontogeny, learning indices, and locomotor activity were all within normal parameters. F1 reproductive capacity was unaffected.

8.2 Lactation

Risk Summary



There is no information available on the presence of paricalcitol in human milk, the effects of the drug on the breastfed infant or the effects of the drug on milk production. Studies in rats have shown that paricalcitol and/or its metabolites are present in the milk of lactating rats. When a drug is present in animal milk, it is likely that the drug will be present in human milk (see Data). Infants exposed to paricalcitol through breast milk should be monitored for signs and symptoms of hypercalcemia (see Clinical Considerations). The developmental and health benefits of breastfeeding should be considered along with the mother’s clinical need for paricalcitol and any potential adverse effects on the breast-fed child from paricalcitol or from the underlying maternal condition.



Clinical Considerations



Infants exposed to paricalcitol through breast milk should be monitored for signs and symptoms of hypercalcemia, including seizures, vomiting, constipation and weight loss. Monitoring of serum calcium in the infant should be considered.



Data



Following a single oral administration of 20 mcg/kg of radioactive [3H] paricalcitol to lactating rats, the concentrations of total radioactivity was determined. Lower levels of total radioactivity were present in the milk compared to that in the plasma of the dams indicating that low levels of [3H] paricalcitol and/or its metabolites are secreted into milk. Exposure of the pups to [3H] paricalcitol through milk was confirmed by the presence of radioactive material in the pups’ stomachs.

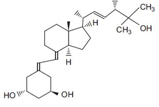
11 Description

Paricalcitol USP, is a synthetically manufactured active vitamin D analog. It is a white to almost white powder chemically designated as 19-nor-1α,3β,25-trihydroxy-9,10-secoergosta-5(Z),7(E),22(E)-triene and has the following structural formula:



Molecular formula is C27H44O3.                       Molecular weight is 416.64.



Paricalcitol injection, USP is a sterile, clear, colorless, aqueous solution for intravenous use. Each mL contains paricalcitol, 2 mcg or 5 mcg and the following inactive ingredients: alcohol, 20% (v/v) and propylene glycol, 30% (v/v).

5.1 Hypercalcemia

Hypercalcemia may occur during paricalcitol treatment. Acute hypercalcemia may increase the risk of cardiac arrhythmias and seizures and may potentiate the effect of digitalis on the heart [see Warnings and Precautions (5.2)]. Chronic hypercalcemia can lead to generalized vascular calcification and other soft-tissue calcification. Severe hypercalcemia may require emergency attention.



Hypercalcemia may be exacerbated by concomitant administration of high doses of calcium-containing preparations, thiazide diuretics, or other vitamin D compounds [see Drug Interactions (7)]. In addition, high intake of calcium and phosphate concomitantly with vitamin D compounds may lead to hypercalciuria and hyperphosphatemia. Patients with a history of hypercalcemia prior to initiating therapy may be at increased risk for development of hypercalcemia with paricalcitol. In these circumstances, frequent serum calcium monitoring and paricalcitol dose adjustments may be required.



When initiating paricalcitol or adjusting paricalcitol dose, measure serum calcium frequently (e.g., twice weekly). Once a maintenance dose has been established, measure serum calcium at least monthly. If hypercalcemia occurs, reduce the dose or discontinue paricalcitol until serum calcium is normal [see Dosage and Administration (2.2, 2.3)].



Inform patients about the symptoms of elevated calcium (feeling tired, difficulty thinking clearly, loss of appetite, nausea, vomiting, constipation, increased thirst, increased urination and weight loss) and instruct them to report new or worsening symptoms when they occur.

8.4 Pediatric Use

The safety and efficacy of paricalcitol for the prevention and treatment of secondary hyperparathyroidism associated with CKD have been established in pediatric patients 5 years of age and older with CKD on dialysis. Use of paricalcitol in pediatric patients 5 years of age and older is supported by evidence from an adequate and well-controlled study in 29 patients, 5 to 19 years of age, with CKD on hemodialysis [see Clinical Studies (14)].



The safety and efficacy of paricalcitol have not been established in pediatric patients less than 5 years old.

8.5 Geriatric Use

Clinical studies of paricalcitol did not include sufficient numbers of subjects aged 65 and over to determine whether they respond differently from younger subjects. Other reported clinical experience has not identified differences in responses between the elderly and younger patients. In general, dose selection for an elderly patient should be cautious, usually starting at the low end of the dosing range, reflecting the greater frequency of decreased hepatic or cardiac function, and of concomitant disease or other drug therapy.

14 Clinical Studies

Adult Studies in CKD on Dialysis



Three 12-week, placebo-controlled studies were conducted in 78 patients with CKD on hemodialysis. In these studies, patients ranged in age from 22 to 90 years, 51% were males, 13% were Caucasian, 79% were African-American, and 8% were Hispanic. The most common causes of renal failure were hypertension and diabetes. The dose of paricalcitol was started at 0.04 mcg/kg 3 times per week intravenously. The dose was increased by 0.04 mcg/kg every 2 weeks until intact PTH levels were decreased at least 30% from baseline or a fifth escalation brought the dose to 0.24 mcg/kg, or intact PTH fell to less than 100 pg/mL, or the Ca × P product was greater than 75 within any 2 week period, or serum calcium became greater than 11.5 mg/dL at any time.



Patients treated with paricalcitol achieved a mean intact PTH reduction of 30% within 6 weeks. The results from these studies are as follows:

Table 6. Mean Changes from Baseline to Final Evaluation in intact PTH, Alkaline Phosphatase, Phosphorus and Calcium × Phosphorus Product in Adult Patients with CKD on Dialysis in Three 12-Week Placebo-Controlled Studies   
 

Group (No. of Pts.)

Baseline Mean (Range)

Mean (SE) Change From Baseline to Final Evaluation

intact PTH (pg/mL)

Paricalcitol (n = 40)

783 (291 to 2076)

-379 (43.7)

placebo (n = 38)

745 (320 to 1671)

-69.6 (44.8)

Alkaline Phosphatase (U/L)

Paricalcitol (n = 31)

150 (40 to 600)

-41.5 (10.6)

placebo (n = 34)

169 (56 to 911)

+2.6 (10.1)

Phosphorus (mg/dL)

Paricalcitol (n = 40)

5.8 (3.7 to 10.2)

+0.47 (0.3)

placebo (n = 38)

6.0 (2.8 to 8.8)

-0.47 (0.3)

Calcium × Phosphorus Product

Paricalcitol (n = 40)

54 (32 to 106)

+7.9 (2.2)

placebo (n = 38)

54 (26 to 77)

-3.9 (2.3)

Pediatric Study in CKD on Dialysis



Paricalcitol was evaluated in a 12-week randomized, double-blind, placebo-controlled study of 29 pediatric patients, aged 5 to 19 years, with CKD on hemodialysis; nearly all had received some form of vitamin D prior to the study. Of the 29 patients, 76% were male, 52% were Caucasian and 45% were African-American. The initial dose of paricalcitol was 0.04 mcg/kg 3 times per week, based on baseline intact PTH level of less than 500 pg/mL, or 0.08 mcg/kg 3 times per week, based on baseline intact PTH level of 500 pg/mL or greater. The dose of paricalcitol was adjusted in 0.04 mcg/kg increments based on the levels of serum intact PTH, calcium and Ca × P. The mean baseline levels of intact PTH were 841 pg/mL for the 15 paricalcitol-treated patients and 740 pg/mL for the 14 placebo-treated patients. The mean dose of paricalcitol administered was 4.6 mcg (range: 0.8 mcg to 9.6 mcg). Sixty-seven percent of the paricalcitol-treated patients and 14% of the placebo-treated patients completed the trial. Seventy-one percent of the placebo-treated patients discontinued due to excessive elevations in intact PTH levels, as defined by 2 consecutive intact PTH levels greater than 700 pg/mL and greater than baseline after 4 weeks of treatment.



The primary efficacy analysis demonstrated that 60% of paricalcitol-treated patients and 21% of placebo-treated patients achieved two consecutive greater than or equal to 30% reductions from baseline in intact PTH.

4 Contraindications

Paricalcitol is contraindicated in patients with:



6 Adverse Reactions

The following serious adverse reactions are described below and elsewhere in the labeling:



7 Drug Interactions

Table 4 includes clinically significant drug interactions with paricalcitol.

Table 4. Clinically Significant Drug Interactions with Paricalcitol  
Drugs that May Increase the risk of Hypercalcemia

Clinical Impact

Concomitant administration of high doses of calcium-containing preparations or other vitamin D compounds may increase the risk of hypercalcemia. Thiazide diuretics are known to induce hypercalcemia by reducing excretion of calcium in the urine.

Examples

Calcium-containing products, other vitamin D compounds or thiazide diuretics

Intervention

Monitor calcium more frequently and adjust paricalcitol dose as needed [see Warnings and Precautions (5.1)].

Digitalis Compounds

Clinical Impact

Paricalcitol can cause hypercalcemia which can potentiate the risk of digitalis toxicity.

Intervention

Monitor patients for signs and symptoms of digitalis toxicity and increase frequency of serum calcium monitoring when initiating or adjusting the dose of paricalcitol in patients receiving digitalis compounds [see Warnings and Precautions (5.2)].

Strong CYP3A Inhibitors

Clinical Impact

Paricalcitol is partially metabolized by CYP3A. Exposure of paricalcitol will increase upon coadministration with strong CYP3A inhibitors [see Clinical Pharmacology (12.3)].

Examples

Boceprevir, clarithromycin, conivaptan, grapefruit juice, indinavir, itraconazole, ketoconazole, lopinavir/ritonavir, mibefradil, nefazodone, nelfinavir, posaconazole, ritonavir, saquinavir, telithromycin, and voriconazole

Intervention

If a patient initiates or discontinues therapy with a strong CYP3A4 inhibitor, dose adjustment of paricalcitol may be necessary. Monitor intact PTH and serum calcium concentrations closely.

12.3 Pharmacokinetics

Within two hours after administering paricalcitol intravenous doses ranging from 0.04 to 0.24 mcg/kg, concentrations of paricalcitol decreased rapidly; thereafter, concentrations of paricalcitol declined log-linearly. No accumulation of paricalcitol was observed with three times a week dosing.



Distribution



Paricalcitol is extensively bound to plasma proteins (≥99.8%). In healthy subjects, the steady state volume of distribution is approximately 23.8 L. The mean volume of distribution following a 0.24 mcg/kg dose of paricalcitol in CKD Stage 5 subjects requiring hemodialysis (HD) and peritoneal dialysis (PD) is between 31 and 35 L.



Elimination



Metabolism



After intravenous administration of a 0.48 mcg/kg dose of 3H-paricalcitol, parent drug was extensively metabolized, with only about 2% of the dose eliminated unchanged in the feces and no parent drug found in the urine. Several metabolites were detected in both the urine and feces. Most of the systemic exposure was from the parent drug. Two minor metabolites, relative to paricalcitol, were detected in human plasma. One metabolite was identified as 24(R)-hydroxy paricalcitol, while the other metabolite was unidentified. The 24(R)-hydroxy paricalcitol is less active than paricalcitol in an in vivo rat model of PTH suppression.

In vitro data suggest that paricalcitol is metabolized by multiple hepatic and non-hepatic enzymes, including mitochondrial CYP24, as well as CYP3A4 and UGT1A4. The identified metabolites include the product of 24(R)-hydroxylation (present at low levels in plasma), as well as 24,26- and 24,28-dihydroxylation and direct glucuronidation.

Excretion



Paricalcitol is excreted primarily by hepatobiliary excretion. Approximately 63% of the radioactivity was eliminated in the feces and 19% was recovered in the urine in healthy subjects. In healthy subjects, the mean elimination half-life of paricalcitol is about five to seven hours over the studied dose range of 0.04 to 0.16 mcg/kg. The pharmacokinetics of paricalcitol has been studied in CKD patients requiring hemodialysis (HD) and peritoneal dialysis (PD). The mean elimination half-life of paricalcitol after administration of 0.24 mcg/kg paricalcitol IV bolus dose in CKD HD and PD patients is 13.9 and 15.4 hours, respectively (Table 5).

Table 5. Mean ± SD Paricalcitol Pharmacokinetic Parameters in CKD Patients on Dialysis Following Single 0.24 mcg/kg Intravenous Bolus Dose 
 

CKD-HD

(n=14)


CKD-PD

(n=8)


Cmax (ng/mL)

1.680 ± 0.511

1.832 ± 0.315

AUC0-∞ (ng·h/mL)

14.51 ± 4.12

16.01 ± 5.98

β (1/h)

0.050 ± 0.023

0.045 ± 0.026

t1/2 (h)*

13.9 ± 7.3

15.4 ± 10.5

CL (L/h)

1.49 ± 0.60

1.54 ± 0.95

Vdβ (L)

30.8 ± 7.5

34.9 ± 9.5

* harmonic mean ± pseudo standard deviation, HD: hemodialysis, PD: peritoneal dialysis. The degree of accumulation was consistent with the half-life and dosing frequency.

Specific Populations



The pharmacokinetics of paricalcitol has not been investigated in geriatric and pediatric patients.

Male and Female Patients



The pharmacokinetics of paricalcitol were gender independent.

Patients with Hepatic Impairment



The disposition of paricalcitol (0.24 mcg/kg) was compared in patients with mild (n=5) and moderate (n=5) hepatic impairment (as indicated by the Child-Pugh method) and subjects with normal hepatic function (n=10). The pharmacokinetics of unbound paricalcitol were similar across the range of hepatic function evaluated in this study. The influence of severe hepatic impairment on the pharmacokinetics of paricalcitol has not been evaluated.

Patients with Renal Impairment



The pharmacokinetics of paricalcitol have been studied in CKD patients requiring hemodialysis (HD) and peritoneal dialysis (PD). Hemodialysis procedure has essentially no effect on paricalcitol elimination. However, compared to healthy subjects, CKD patients on dialysis showed a decreased CL and increased half-life.



Drug Interaction Studies



An in vitro study indicates that paricalcitol is not an inhibitor of CYP1A2, CYP2A6, CYP2B6, CYP2C8, CYP2C9, CYP2C19, CYP2D6, CYP2E1, or CYP3A at concentrations up to 50 nM (21 ng/mL) (approximately 20-fold greater than that obtained after highest tested dose). In fresh primary cultured hepatocytes, the induction observed at paricalcitol concentrations up to 50 nM was less than two-fold for CYP2B6, CYP2C9 or CYP3A, where the positive controls rendered a six- to nineteen-fold induction. Hence, paricalcitol is not expected to inhibit or induce the clearance of drugs metabolized by these enzymes.

Drug interactions with paricalcitol injection have not been studied. The following studies have been performed with oral paricalcitol capsules.

Omeprazole



The pharmacokinetic interaction between paricalcitol capsule (16 mcg) and omeprazole (40 mg; oral), a strong inhibitor of CYP2C19, was investigated in a single dose, crossover study in healthy subjects. The pharmacokinetics of paricalcitol were unaffected when omeprazole was administrated approximately 2 hours prior to the paricalcitol dose.

Strong CYP3A Inhibitors



Ketoconazole



The effect of multiple doses of ketoconazole, a strong inhibitor of CYP3A administered as 200 mg BID for 5 days, on the pharmacokinetics of paricalcitol capsule has been studied in healthy subjects. The Cmax of paricalcitol was minimally affected, but AUC0-∞ approximately doubled in the presence of ketoconazole. The mean half-life of paricalcitol was 17.0 hours in the presence of ketoconazole as compared to 9.8 hours, when paricalcitol was administered alone [see Drug Interactions (7)].

5.2 Digitalis Toxicity

Paricalcitol can cause hypercalcemia [see Warnings and Precautions (5.1)] which increases the risk of digitalis toxicity. In patients using paricalcitol concomitantly with digitalis compounds, monitor serum calcium and patients for signs and symptoms of digitalis toxicity. Increase the frequency of monitoring when initiating or adjusting the dose of paricalcitol [see Drug Interactions (7)].

8.6 Hepatic Impairment

The pharmacokinetics of paricalcitol were studied in patients with mild and moderate hepatic impairment and were similar to that of patients with normal hepatic function. No dose adjustment is required in patients with mild or moderate hepatic function.



Paricalcitol has not been studied in patients with severe hepatic impairment.

1 Indications and Usage

Paricalcitol injection is indicated for the prevention and treatment of secondary hyperparathyroidism in patients 5 years of age and older with chronic kidney disease (CKD) on dialysis.



12.1 Mechanism of Action

Paricalcitol is a synthetic, biologically active vitamin D2  analog. Preclinical and in vitro studies have demonstrated that paricalcitol’s biological actions are mediated through binding of the vitamin D receptor (VDR), which results in the selective activation of vitamin D responsive pathways. Vitamin D and paricalcitol have been shown to reduce PTH levels by inhibiting PTH synthesis and secretion.

5.3 Adynamic Bone Disease

Adynamic bone disease with subsequent increased risk of fractures may develop if intact PTH levels are suppressed by paricalcitol to abnormally low levels. Monitor intact PTH levels to avoid over suppression and adjust paricalcitol dose, if needed [see Dosage and Administration (2.2, 2.3)].

5 Warnings and Precautions
  • Hypercalcemia: Can occur during treatment with paricalcitol and can lead to cardiac arrhythmias and seizures. Severe hypercalcemia may require emergency attention. The risk may be increased when paricalcitol is used concomitantly with high dose calcium preparations, thiazide diuretics, or vitamin D compounds. Inform patients about symptoms of hypercalcemia and monitor serum calcium prior to initiation and during treatment and adjust dose accordingly (2, 5.1).
  • Digitalis toxicity: Risk increases with hypercalcemia. In patients using digitalis compounds, monitor both serum calcium and patients for signs and symptoms of digitalis toxicity. Monitor more frequently when initiating or adjusting the dose of paricalcitol (5.2).
  • Adynamic Bone Disease: May develop and increase risk of fractures if intact PTH levels are suppressed to abnormally low levels. Monitor intact PTH levels and adjust dose if needed (5.3).
2 Dosage and Administration
  • Ensure serum calcium is not above the upper limit of normal before initiating (2.1)
  • Administer paricalcitol injection intravenously through a hemodialysis vascular access at any time during dialysis (2.1).

Adult Dose:

  • Initiate at 0.04 mcg/kg to 0.1 mcg/kg (2.8 mcg to 7 mcg) no more frequently than every other day (2.2).
  • Target maintenance dose to intact parathyroid hormone (PTH) levels within the desired therapeutic range and serum calcium within normal limits (2.2).
  • Monitor serum calcium frequently (e.g., twice weekly) and intact PTH levels every 2 to 4 weeks after dose initiation or adjustment (2.2).
  • See Table 1 in the full prescribing information for titration recommendations based upon intact PTH levels (2.2).
  • Suspend or decrease the dose for persistent abnormally low intact PTH or serum calcium consistently above the normal range (2.2).

Pediatric Dose:

  • Initiate paricalcitol injection as an intravenous bolus dose of:
    • 0.04 mcg/kg if baseline intact PTH is less than 500 pg/mL, or
    • 0.08 mcg/kg if baseline intact PTH is 500 pg/mL or greater (2.3)
  • Target maintenance dose to intact PTH levels within the desired therapeutic range and serum calcium within normal limits (2.3).
  • Monitor serum calcium frequently (e.g., twice weekly) and intact PTH levels every 2 to 4 weeks after dose initiation or adjustment (2.3).
  • See Table 2 in the full prescribing information for titration recommendations based upon intact PTH levels (2.3).
  • Suspend or decrease the dose for persistent abnormally low intact PTH or serum calcium consistently above the normal range (2.3).
3 Dosage Forms and Strengths

Injection: sterile, clear, colorless, aqueous solution available as follows:



  • 2 mcg/mL single-dose vial
  • 5 mcg/mL single-dose vial
  • 10 mcg/2 mL (5 mcg/mL) single-dose vial
  • 10 mcg/2 mL (5 mcg/mL) multiple-dose vial
6.2 Postmarketing Experience

The following adverse reactions have been identified during post-approval use of paricalcitol. Because these reactions are reported voluntarily from a population of uncertain size, it is not always possible to reliably estimate their frequency or establish a causal relationship to drug exposure.



Allergic reactions, such as rash, urticaria, and angioedema (including laryngeal edema) have been reported.

6.1 Clinical Trials Experience


Because clinical studies are conducted under widely varying conditions, adverse reaction rates observed in the clinical studies of a drug cannot be directly compared to rates in the clinical studies of another drug and may not reflect the rates observed in practice. 



Four placebo-controlled, double-blind, multicenter studies were conducted in 113 patients (51% male, 10% Caucasian, 81% African-American and 9% Hispanic, ranging in age from 18 to 90 years). Sixty-two patients were exposed to paricalcitol and the average dose at the end of treatment was 0.12 mcg/kg/dose with a mean number of 55 days of dosing across the studies. Discontinuation of therapy due to any adverse reaction occurred in 6.5% of patients treated with paricalcitol and 2.0% of patients treated with placebo. Adverse reactions occurring with greater frequency in the paricalcitol group and at a frequency of 2% or greater are presented in Table 3.



Table 3. Adverse Reactions Occurring at a Rate of 2% or Greater in Patients with CKD on Dialysis in Four Placebo-Controlled Studies  
Adverse Reaction

Placebo (n = 51)

%

Paricalcitol (n = 62)

%

Nausea

8

13

Vomiting

6

8

Edema

0

7

Gastrointestinal Hemorrhage

2

5

Chills

2

5

Pyrexia

2

5

Pneumonia

0

5

Sepsis

2

5

Influenza

4

5

Arthralgia

4

5

Palpitations

0

3

Dry Mouth

2

3

Malaise

0

3

Other Adverse Reactions



The following adverse reactions occurred in less than 2% of the paricalcitol treated patients in the above mentioned studies and in additional double-blind, active-controlled and open-label studies:



Blood and Lymphatic System Disorders: Anemia, lymphadenopathy



Cardiac Disorders: Arrhythmia, atrial flutter, irregular heart rate, cardiac arrest, chest discomfort, chest pain, edema peripheral



Ear and Labyrinth Disorders: Ear discomfort



Endocrine Disorders: Hypoparathyroidism



Eye Disorders: Conjunctivitis, glaucoma, ocular hyperemia



Gastrointestinal Disorders: Abdominal discomfort, constipation, diarrhea, dysphagia, gastritis, intestinal ischemia, rectal hemorrhage



General Disorders: Asthenia, condition aggravated, fatigue, feeling abnormal, pain, swelling



Infections: Nasopharyngitis, upper respiratory tract infection, vaginal infection



Injection site reactions: Injection site extravasation, injection site pain



Laboratory abnormalities: Hypercalcemia, hyperkalemia, hyperphosphatemia, hypocalcemia, increased aspartate aminotransferase, prolonged bleeding time



Metabolism and Nutrition Disorders: Decreased appetite, thirst, decreased weight



Musculoskeletal and Connective Tissue Disorders: Joint stiffness, muscle twitching, myalgia



Neoplasms Benign, Malignant and Unspecified: Breast cancer



Nervous System Disorders: Cerebrovascular accident, dizziness, dysgeusia, headache, hypoesthesia, myoclonus, paresthesia, syncope, unresponsive to stimuli, gait disturbance



Psychiatric Disorders: Agitation, confusional state, delirium, insomnia, nervousness, restlessness



Reproductive System and Breast Disorders: Breast pain, erectile dysfunction



Respiratory, Thoracic and Mediastinal Disorders: Cough, dyspnea, orthopnea, pulmonary edema, wheezing



Skin and Subcutaneous Tissue Disorders: Alopecia, blister, hirsutism, night sweats, rash pruritic, pruritus, skin burning sensation



Vascular Disorders: Hypertension, hypotension

17 Patient Counseling Information

Hypercalcemia



Advise patients to contact a health care provider if they develop symptoms of elevated calcium (e.g. feeling tired, difficulty thinking clearly, loss of appetite, nausea, vomiting, constipation, increased thirst, increased urination and weight loss) [see Warnings and Precautions (5.1)].

Monitoring



Inform patients that they will need routine monitoring of laboratory parameters such as calcium and intact PTH while receiving paricalcitol. Inform patients that more frequent monitoring is necessary during the initiation of therapy, following dose changes or when potentially interacting medications are started or discontinued [see Dosage and Administration (2), Drug Interactions (7)].



Drug Interactions



Advise patients to inform their physician of all medications, including prescription and nonprescription drugs, and supplements they are taking. Advise patients to also inform their physician that they are receiving paricalcitol if a new medication is prescribed [see Drug Interactions (7)].



Distributed by:

Eugia US LLC

279 Princeton-Hightstown Rd.

E. Windsor, NJ 08520



Manufactured by:

Eugia Pharma Specialities Limited

Hyderabad - 500032

India

16 How Supplied/storage and Handling

Paricalcitol injection, USP is a sterile, clear, colorless, aqueous solution free from visible particles and is supplied as follows:



2 mcg per mL



1 mL Single-Dose Vials

in a Carton of 25                                   NDC 55150-212-01



5 mcg per mL



1 mL Single-Dose Vials

in a Carton of 25                                   NDC 55150-213-01



10 mcg per 2 mL (5 mcg/mL)



2 mL Single-Dose Vials

in a Carton of 25                                   NDC 55150-214-02



10 mcg per 2 mL (5 mcg/mL)



2 mL Multiple-Dose Vials

in a Carton of 25                                   NDC 55150-215-02



Store at 20° to 25°C (68° to 77°F) [see USP Controlled Room Temperature].



Discard any unused portion of the single-dose vial after use.



The contents of the multiple-dose vial remain stable up to seven days after initial use when stored at controlled room temperature.



The vial stoppers are not made with natural rubber latex.

2.1 Important Administration Information


  • Ensure serum calcium is not above the upper limit of normal before initiating treatment [see Warnings and Precautions (5.1)].
  • Administer paricalcitol injection intravenously through a hemodialysis vascular access port at any time during dialysis. Paricalcitol injection may be administered intravenously if an access port is unavailable.
  • Inspect paricalcitol injection visually prior to administration; the solution should appear clear and colorless. Do not use if the solution is not clear or particles are present.
  • Discard unused portion of 2 mcg/mL and 5 mcg/mL single-dose vials.
2.2 Starting Dose and Dose Titration in Adults
  • Initiate paricalcitol injection as an intravenous bolus dose of 0.04 mcg/kg to 0.1 mcg/kg (2.8 mcg to 7 mcg) no more frequently than every other day at any time during dialysis.
  • Target the maintenance dose of paricalcitol injection to intact parathyroid hormone (PTH) levels within the desired therapeutic range and serum calcium within normal limits.
  • Monitor serum calcium frequently (e.g., twice weekly) and intact PTH levels every 2 to 4 weeks after initiation of therapy or dose adjustment.
  • Titrate the dose of paricalcitol injection based on intact PTH (see Table 1). Prior to raising the dose, ensure serum calcium is within normal limits. The maximum daily adult dose is 0.24 mcg/kg.
  • Suspend or decrease the dose if intact PTH is persistently and abnormally low to reduce the risk of adynamic bone disease [see Warnings and Precautions (5.3)] or if serum calcium is consistently above the normal range to reduce the risk of hypercalcemia [see Warnings and Precautions (5.1)]. If dose suspension is necessary, restart at a reduced dose after laboratory values have normalized. 
Table 1. Recommended Paricalcitol Injection Adult Dose Titration Based Upon intact PTH
Intact   PTH   Level   At Follow-up Visit

Dosage   Adjustment

Above target and intact PTH increased

Increase* by 2 mcg to 4 mcg every 2 to 4 weeks

Above target and intact PTH decreased by less than 30%

Increase* by 2 mcg to 4 mcg every 2 to 4 weeks

Above target and intact PTH decreased by 30% to 60%

No Change

Above target and intact PTH decreased by more than 60%

Decrease per clinical judgement

At target and intact PTH stable

No Change

* The maximum daily adult dose is 0.24 mcg/kg



13.1 Carcinogenesis, Mutagenesis and Impairment of Fertility

In a 104-week carcinogenicity study in CD-1 mice, an increased incidence of uterine leiomyoma and leiomyosarcoma was observed at subcutaneous doses of 1, 3, 10 mcg/kg administered 3 times per week (2 to 15 times the AUC at a human dose of 14 mcg, equivalent to 0.24 mcg/kg based on AUC). The incidence rate of uterine leiomyoma was significantly different than the control group at the highest dose of 10 mcg/kg.



In a 104-week carcinogenicity study in rats, there was an increased incidence of benign adrenal pheochromocytoma at subcutaneous doses of 0.15, 0.5, 1.5 mcg/kg administered 3 times per week (at less than clinical exposure to 7 times the exposure following a human dose of 14 mcg, equivalent to 0.24 mcg/kg based on AUC). The increased incidence of pheochromocytomas in rats may be related to the alteration of calcium homeostasis by paricalcitol.



Paricalcitol did not exhibit genetic toxicity in vitro with or without metabolic activation in the microbial mutagenesis assay (Ames Assay), mouse lymphoma mutagenesis assay (L5178Y), or a human lymphocyte cell chromosomal aberration assay. There was also no evidence of genetic toxicity in an in vivo mouse micronucleus assay.



Paricalcitol had no effect on fertility (male or female) in rats at intravenous doses up to 20 mcg/kg/dose (13 times a human dose of 14 mcg, equivalent to 0.24 mcg/kg based on surface area, mg/m2).

Package Label Principal Display Panel 2 Mcg Per Ml Container Label

Rx only                        NDC 55150-212-01

Paricalcitol

Injection, USP

2 mcg per mL

For Intravenous Use

1 mL                         Single-Dose Vial

Discard Unused Portion

Package Label Principal Display Panel 5 Mcg Per Ml Container Label

Rx only                      NDC 55150-213-01

Paricalcitol

Injection, USP

5 mcg per mL

For Intravenous Use

1 mL                                   Single-Dose Vial

Discard Unused Portion

Package Label Principal Display Panel 2 Mcg Per Ml Container Carton (25 Vials)

Rx only                             NDC 55150-212-01

Paricalcitol

Injection, USP

2 mcg per mL

For Intravenous Use

Sterile                       25 x 1 mL Single-Dose Vial

eugia

Package Label Principal Display Panel 5 Mcg Per Ml Container Carton (25 Vials)

Rx only                                NDC 55150-213-01

Paricalcitol

Injection, USP

5 mcg per mL

For Intravenous Use

Sterile                   25 x 1 mL Single-Dose Vial

eugia

2.4 Drug Interactions That May Require Dosage Adjustments of Paricalcitol Injection


  • Increased monitoring of serum calcium and dose adjustment of paricalcitol injection may be necessary when given concomitantly with drugs that may increase the risk of hypercalcemia [see Drug Interactions (7)].
  • Increased monitoring of both serum calcium and intact PTH as well as dose adjustment of paricalcitol injection may be necessary when given concomitantly with strong CYP3A inhibitors [see Drug Interactions (7)].
2.3 Starting Dose and Dose Titration for Pediatric Patients 5 Years of Age and Above


  • Initiate paricalcitol injection as an intravenous bolus dose of:
    • 0.04 mcg/kg if baseline intact PTH is less than 500 pg/mL, or
    • 0.08 mcg/kg if baseline intact PTH is 500 pg/mL or greater
  • Administer paricalcitol injection three times per week, no more frequently than every other day, at any time during dialysis.
  • Target the maintenance dose of paricalcitol injection to intact PTH levels within the desired therapeutic range and serum calcium within normal limits.
  • Monitor serum calcium frequently (e.g., twice weekly) and intact PTH levels every 2 to 4 weeks after initiation of therapy or dose adjustment.
  • Titrate the dose of paricalcitol injection based on intact PTH (see Table 2). Prior to raising the dose, ensure serum calcium is within normal limits.
  • Suspend or decrease the dose if intact PTH is persistently and abnormally low to reduce the risk of adynamic bone disease [see Warnings and Precautions (5.3)] or if serum calcium is consistently above the normal range to reduce the risk of hypercalcemia [see Warnings and Precautions (5.1)]. If dose suspension is necessary, restart at a reduced dose after laboratory values have normalized.
Table 2. Recommended Paricalcitol Injection Pediatric Dose Titration Based Upon intact PTH – Patients 5 years of age and older  
Intact PTH Level At Follow-up Visit

Dosage Adjustment

Above target and intact PTH decreased by less than 30%

Increase by 0.04 mcg/kg every 2 to 4 weeks

Intact PTH 150 pg/mL or greater and decreased by 30% to 60%

No Change

Intact PTH less than 150 pg/mL or decreased by more than 60%

Decrease by 0.04 mcg/kg weekly, or by 50% if decreased dose equals zero

Package Label Principal Display Panel 10 Mcg Per 2 Ml (5 Mcg/ml) [multi Dose Vial] Container Label

Rx only                   NDC 55150-215-02

Paricalcitol

Injection, USP

10 mcg per 2 mL

(5 mcg/mL)

For Intravenous Use

2 mL                          Multiple-Dose Vial



Package Label Principal Display Panel 10 Mcg Per 2 Ml (5 Mcg/ml) [single Dose Vial] Container Label

Rx only                  NDC 55150-214-02

Paricalcitol

Injection, USP

10 mcg per 2 mL

(5 mcg/mL)

For Intravenous Use

2 mL                       Single-Dose Vial

Discard Unused Portion



Package Label Principal Display Panel 10 Mcg Per 2 Ml (5 Mcg/ml) [multi Dose Vial] Container Carton (25 Vials)

Rx only                               NDC 55150-215-02

Paricalcitol

Injection, USP

10 mcg per 2 mL

(5 mcg/mL)

For Intravenous Use

Sterile                                   25 x 2 mL Multiple-Dose Vial

eugia

Package Label Principal Display Panel 10 Mcg Per 2 Ml (5 Mcg/ml) [single Dose Vial] Container Carton (25 Vials)

Rx only                              NDC 55150-214-02

Paricalcitol

Injection, USP

10 mcg per 2 mL

(5 mcg/mL)

For Intravenous Use

Sterile                                25 x 2 mL Single-Dose Vial

eugia


Structured Label Content

10 Overdosage (10 OVERDOSAGE)

Overdosage of paricalcitol may lead to hypercalcemia, hypercalciuria, and hyperphosphatemia [see Warnings and Precautions (5.1)].



The treatment of acute overdosage should consist of supportive measures and discontinuation of drug administration. Serum calcium levels should be measured until normal.



Paricalcitol is not significantly removed by dialysis.

8.1 Pregnancy

Risk Summary

Limited data with paricalcitol in pregnant women are insufficient to inform a drug-associated risk for major birth defects and miscarriage. There are risks to the mother and fetus associated with chronic kidney disease in pregnancy (see Clinical Considerations).



In animal reproduction studies, slightly increased embryofetal loss was observed in pregnant rats and rabbits administered paricalcitol intravenously during the period of organogenesis at doses 2 and 0.5 times, respectively, a human dose of 14 mcg (equivalent to 0.24 mcg/kg), based on body surface area (mg/m2). Adverse reproductive outcomes were observed at doses that caused maternal toxicity (see Data).



The estimated background risk of major birth defects and miscarriage for the indicated population is unknown. In the U.S. general population, the estimated background risk of major birth defects and miscarriage in clinically recognized pregnancies is 2% to 4% and 15% to 20%, respectively.



Clinical Considerations

Disease-Associated Maternal and/or Embryo/Fetal Risk



Chronic kidney disease in pregnancy increases the risk for maternal hypertension and preeclampsia, miscarriage, preterm delivery, polyhydramnios, still birth, and low birth weight infants.



Data

Animal Data



Pregnant rats and rabbits were treated with paricalcitol by once-daily intravenous injection during the period of organogenesis (in rats, from gestation day (GD) 6 to 17; in rabbits, from GD 6 to 18). Rats were dosed at 0, 0.3, 1 or 3 mcg/kg/day and rabbits at 0, 0.03, 0.1 or 0.3 mcg/kg/day, representing up to 2 or 0.5 times, respectively, a human dose of 0.24 mcg/kg, based on body surface area (mg/m2). Slightly decreased fetal viability was observed in both studies at the highest doses representing 2 and 0.5 times, respectively, a human dose of 0.24 mcg/kg, in the presence of maternal toxicity (decreased body weight and food consumption). Pregnant rats were administered paricalcitol by intravenous injection three times per week at doses of 0, 0.3, 3 or 20 mcg/kg/day throughout gestation, parturition and lactation (GD 6 to lactation day (LD) 20) representing exposures up to 13 times a human dose of 0.24 mcg/kg. A small increase in stillbirths and pup deaths from parturition to LD 4 were observed at the high dose when compared to the control group (9.2% versus 3.3% in controls) at 13 times a human dose of 0.24 mcg/kg, which occurred at a maternally toxic dose known to cause hypercalcemia in rats. Surviving pups were not adversely affected; body weight gains, developmental landmarks, reflex ontogeny, learning indices, and locomotor activity were all within normal parameters. F1 reproductive capacity was unaffected.

8.2 Lactation

Risk Summary



There is no information available on the presence of paricalcitol in human milk, the effects of the drug on the breastfed infant or the effects of the drug on milk production. Studies in rats have shown that paricalcitol and/or its metabolites are present in the milk of lactating rats. When a drug is present in animal milk, it is likely that the drug will be present in human milk (see Data). Infants exposed to paricalcitol through breast milk should be monitored for signs and symptoms of hypercalcemia (see Clinical Considerations). The developmental and health benefits of breastfeeding should be considered along with the mother’s clinical need for paricalcitol and any potential adverse effects on the breast-fed child from paricalcitol or from the underlying maternal condition.



Clinical Considerations



Infants exposed to paricalcitol through breast milk should be monitored for signs and symptoms of hypercalcemia, including seizures, vomiting, constipation and weight loss. Monitoring of serum calcium in the infant should be considered.



Data



Following a single oral administration of 20 mcg/kg of radioactive [3H] paricalcitol to lactating rats, the concentrations of total radioactivity was determined. Lower levels of total radioactivity were present in the milk compared to that in the plasma of the dams indicating that low levels of [3H] paricalcitol and/or its metabolites are secreted into milk. Exposure of the pups to [3H] paricalcitol through milk was confirmed by the presence of radioactive material in the pups’ stomachs.

11 Description (11 DESCRIPTION)

Paricalcitol USP, is a synthetically manufactured active vitamin D analog. It is a white to almost white powder chemically designated as 19-nor-1α,3β,25-trihydroxy-9,10-secoergosta-5(Z),7(E),22(E)-triene and has the following structural formula:



Molecular formula is C27H44O3.                       Molecular weight is 416.64.



Paricalcitol injection, USP is a sterile, clear, colorless, aqueous solution for intravenous use. Each mL contains paricalcitol, 2 mcg or 5 mcg and the following inactive ingredients: alcohol, 20% (v/v) and propylene glycol, 30% (v/v).

5.1 Hypercalcemia

Hypercalcemia may occur during paricalcitol treatment. Acute hypercalcemia may increase the risk of cardiac arrhythmias and seizures and may potentiate the effect of digitalis on the heart [see Warnings and Precautions (5.2)]. Chronic hypercalcemia can lead to generalized vascular calcification and other soft-tissue calcification. Severe hypercalcemia may require emergency attention.



Hypercalcemia may be exacerbated by concomitant administration of high doses of calcium-containing preparations, thiazide diuretics, or other vitamin D compounds [see Drug Interactions (7)]. In addition, high intake of calcium and phosphate concomitantly with vitamin D compounds may lead to hypercalciuria and hyperphosphatemia. Patients with a history of hypercalcemia prior to initiating therapy may be at increased risk for development of hypercalcemia with paricalcitol. In these circumstances, frequent serum calcium monitoring and paricalcitol dose adjustments may be required.



When initiating paricalcitol or adjusting paricalcitol dose, measure serum calcium frequently (e.g., twice weekly). Once a maintenance dose has been established, measure serum calcium at least monthly. If hypercalcemia occurs, reduce the dose or discontinue paricalcitol until serum calcium is normal [see Dosage and Administration (2.2, 2.3)].



Inform patients about the symptoms of elevated calcium (feeling tired, difficulty thinking clearly, loss of appetite, nausea, vomiting, constipation, increased thirst, increased urination and weight loss) and instruct them to report new or worsening symptoms when they occur.

8.4 Pediatric Use

The safety and efficacy of paricalcitol for the prevention and treatment of secondary hyperparathyroidism associated with CKD have been established in pediatric patients 5 years of age and older with CKD on dialysis. Use of paricalcitol in pediatric patients 5 years of age and older is supported by evidence from an adequate and well-controlled study in 29 patients, 5 to 19 years of age, with CKD on hemodialysis [see Clinical Studies (14)].



The safety and efficacy of paricalcitol have not been established in pediatric patients less than 5 years old.

8.5 Geriatric Use

Clinical studies of paricalcitol did not include sufficient numbers of subjects aged 65 and over to determine whether they respond differently from younger subjects. Other reported clinical experience has not identified differences in responses between the elderly and younger patients. In general, dose selection for an elderly patient should be cautious, usually starting at the low end of the dosing range, reflecting the greater frequency of decreased hepatic or cardiac function, and of concomitant disease or other drug therapy.

14 Clinical Studies (14 CLINICAL STUDIES)

Adult Studies in CKD on Dialysis



Three 12-week, placebo-controlled studies were conducted in 78 patients with CKD on hemodialysis. In these studies, patients ranged in age from 22 to 90 years, 51% were males, 13% were Caucasian, 79% were African-American, and 8% were Hispanic. The most common causes of renal failure were hypertension and diabetes. The dose of paricalcitol was started at 0.04 mcg/kg 3 times per week intravenously. The dose was increased by 0.04 mcg/kg every 2 weeks until intact PTH levels were decreased at least 30% from baseline or a fifth escalation brought the dose to 0.24 mcg/kg, or intact PTH fell to less than 100 pg/mL, or the Ca × P product was greater than 75 within any 2 week period, or serum calcium became greater than 11.5 mg/dL at any time.



Patients treated with paricalcitol achieved a mean intact PTH reduction of 30% within 6 weeks. The results from these studies are as follows:

Table 6. Mean Changes from Baseline to Final Evaluation in intact PTH, Alkaline Phosphatase, Phosphorus and Calcium × Phosphorus Product in Adult Patients with CKD on Dialysis in Three 12-Week Placebo-Controlled Studies   
 

Group (No. of Pts.)

Baseline Mean (Range)

Mean (SE) Change From Baseline to Final Evaluation

intact PTH (pg/mL)

Paricalcitol (n = 40)

783 (291 to 2076)

-379 (43.7)

placebo (n = 38)

745 (320 to 1671)

-69.6 (44.8)

Alkaline Phosphatase (U/L)

Paricalcitol (n = 31)

150 (40 to 600)

-41.5 (10.6)

placebo (n = 34)

169 (56 to 911)

+2.6 (10.1)

Phosphorus (mg/dL)

Paricalcitol (n = 40)

5.8 (3.7 to 10.2)

+0.47 (0.3)

placebo (n = 38)

6.0 (2.8 to 8.8)

-0.47 (0.3)

Calcium × Phosphorus Product

Paricalcitol (n = 40)

54 (32 to 106)

+7.9 (2.2)

placebo (n = 38)

54 (26 to 77)

-3.9 (2.3)

Pediatric Study in CKD on Dialysis



Paricalcitol was evaluated in a 12-week randomized, double-blind, placebo-controlled study of 29 pediatric patients, aged 5 to 19 years, with CKD on hemodialysis; nearly all had received some form of vitamin D prior to the study. Of the 29 patients, 76% were male, 52% were Caucasian and 45% were African-American. The initial dose of paricalcitol was 0.04 mcg/kg 3 times per week, based on baseline intact PTH level of less than 500 pg/mL, or 0.08 mcg/kg 3 times per week, based on baseline intact PTH level of 500 pg/mL or greater. The dose of paricalcitol was adjusted in 0.04 mcg/kg increments based on the levels of serum intact PTH, calcium and Ca × P. The mean baseline levels of intact PTH were 841 pg/mL for the 15 paricalcitol-treated patients and 740 pg/mL for the 14 placebo-treated patients. The mean dose of paricalcitol administered was 4.6 mcg (range: 0.8 mcg to 9.6 mcg). Sixty-seven percent of the paricalcitol-treated patients and 14% of the placebo-treated patients completed the trial. Seventy-one percent of the placebo-treated patients discontinued due to excessive elevations in intact PTH levels, as defined by 2 consecutive intact PTH levels greater than 700 pg/mL and greater than baseline after 4 weeks of treatment.



The primary efficacy analysis demonstrated that 60% of paricalcitol-treated patients and 21% of placebo-treated patients achieved two consecutive greater than or equal to 30% reductions from baseline in intact PTH.

4 Contraindications (4 CONTRAINDICATIONS)

Paricalcitol is contraindicated in patients with:



6 Adverse Reactions (6 ADVERSE REACTIONS)

The following serious adverse reactions are described below and elsewhere in the labeling:



7 Drug Interactions (7 DRUG INTERACTIONS)

Table 4 includes clinically significant drug interactions with paricalcitol.

Table 4. Clinically Significant Drug Interactions with Paricalcitol  
Drugs that May Increase the risk of Hypercalcemia

Clinical Impact

Concomitant administration of high doses of calcium-containing preparations or other vitamin D compounds may increase the risk of hypercalcemia. Thiazide diuretics are known to induce hypercalcemia by reducing excretion of calcium in the urine.

Examples

Calcium-containing products, other vitamin D compounds or thiazide diuretics

Intervention

Monitor calcium more frequently and adjust paricalcitol dose as needed [see Warnings and Precautions (5.1)].

Digitalis Compounds

Clinical Impact

Paricalcitol can cause hypercalcemia which can potentiate the risk of digitalis toxicity.

Intervention

Monitor patients for signs and symptoms of digitalis toxicity and increase frequency of serum calcium monitoring when initiating or adjusting the dose of paricalcitol in patients receiving digitalis compounds [see Warnings and Precautions (5.2)].

Strong CYP3A Inhibitors

Clinical Impact

Paricalcitol is partially metabolized by CYP3A. Exposure of paricalcitol will increase upon coadministration with strong CYP3A inhibitors [see Clinical Pharmacology (12.3)].

Examples

Boceprevir, clarithromycin, conivaptan, grapefruit juice, indinavir, itraconazole, ketoconazole, lopinavir/ritonavir, mibefradil, nefazodone, nelfinavir, posaconazole, ritonavir, saquinavir, telithromycin, and voriconazole

Intervention

If a patient initiates or discontinues therapy with a strong CYP3A4 inhibitor, dose adjustment of paricalcitol may be necessary. Monitor intact PTH and serum calcium concentrations closely.

12.3 Pharmacokinetics

Within two hours after administering paricalcitol intravenous doses ranging from 0.04 to 0.24 mcg/kg, concentrations of paricalcitol decreased rapidly; thereafter, concentrations of paricalcitol declined log-linearly. No accumulation of paricalcitol was observed with three times a week dosing.



Distribution



Paricalcitol is extensively bound to plasma proteins (≥99.8%). In healthy subjects, the steady state volume of distribution is approximately 23.8 L. The mean volume of distribution following a 0.24 mcg/kg dose of paricalcitol in CKD Stage 5 subjects requiring hemodialysis (HD) and peritoneal dialysis (PD) is between 31 and 35 L.



Elimination



Metabolism



After intravenous administration of a 0.48 mcg/kg dose of 3H-paricalcitol, parent drug was extensively metabolized, with only about 2% of the dose eliminated unchanged in the feces and no parent drug found in the urine. Several metabolites were detected in both the urine and feces. Most of the systemic exposure was from the parent drug. Two minor metabolites, relative to paricalcitol, were detected in human plasma. One metabolite was identified as 24(R)-hydroxy paricalcitol, while the other metabolite was unidentified. The 24(R)-hydroxy paricalcitol is less active than paricalcitol in an in vivo rat model of PTH suppression.

In vitro data suggest that paricalcitol is metabolized by multiple hepatic and non-hepatic enzymes, including mitochondrial CYP24, as well as CYP3A4 and UGT1A4. The identified metabolites include the product of 24(R)-hydroxylation (present at low levels in plasma), as well as 24,26- and 24,28-dihydroxylation and direct glucuronidation.

Excretion



Paricalcitol is excreted primarily by hepatobiliary excretion. Approximately 63% of the radioactivity was eliminated in the feces and 19% was recovered in the urine in healthy subjects. In healthy subjects, the mean elimination half-life of paricalcitol is about five to seven hours over the studied dose range of 0.04 to 0.16 mcg/kg. The pharmacokinetics of paricalcitol has been studied in CKD patients requiring hemodialysis (HD) and peritoneal dialysis (PD). The mean elimination half-life of paricalcitol after administration of 0.24 mcg/kg paricalcitol IV bolus dose in CKD HD and PD patients is 13.9 and 15.4 hours, respectively (Table 5).

Table 5. Mean ± SD Paricalcitol Pharmacokinetic Parameters in CKD Patients on Dialysis Following Single 0.24 mcg/kg Intravenous Bolus Dose 
 

CKD-HD

(n=14)


CKD-PD

(n=8)


Cmax (ng/mL)

1.680 ± 0.511

1.832 ± 0.315

AUC0-∞ (ng·h/mL)

14.51 ± 4.12

16.01 ± 5.98

β (1/h)

0.050 ± 0.023

0.045 ± 0.026

t1/2 (h)*

13.9 ± 7.3

15.4 ± 10.5

CL (L/h)

1.49 ± 0.60

1.54 ± 0.95

Vdβ (L)

30.8 ± 7.5

34.9 ± 9.5

* harmonic mean ± pseudo standard deviation, HD: hemodialysis, PD: peritoneal dialysis. The degree of accumulation was consistent with the half-life and dosing frequency.

Specific Populations



The pharmacokinetics of paricalcitol has not been investigated in geriatric and pediatric patients.

Male and Female Patients



The pharmacokinetics of paricalcitol were gender independent.

Patients with Hepatic Impairment



The disposition of paricalcitol (0.24 mcg/kg) was compared in patients with mild (n=5) and moderate (n=5) hepatic impairment (as indicated by the Child-Pugh method) and subjects with normal hepatic function (n=10). The pharmacokinetics of unbound paricalcitol were similar across the range of hepatic function evaluated in this study. The influence of severe hepatic impairment on the pharmacokinetics of paricalcitol has not been evaluated.

Patients with Renal Impairment



The pharmacokinetics of paricalcitol have been studied in CKD patients requiring hemodialysis (HD) and peritoneal dialysis (PD). Hemodialysis procedure has essentially no effect on paricalcitol elimination. However, compared to healthy subjects, CKD patients on dialysis showed a decreased CL and increased half-life.



Drug Interaction Studies



An in vitro study indicates that paricalcitol is not an inhibitor of CYP1A2, CYP2A6, CYP2B6, CYP2C8, CYP2C9, CYP2C19, CYP2D6, CYP2E1, or CYP3A at concentrations up to 50 nM (21 ng/mL) (approximately 20-fold greater than that obtained after highest tested dose). In fresh primary cultured hepatocytes, the induction observed at paricalcitol concentrations up to 50 nM was less than two-fold for CYP2B6, CYP2C9 or CYP3A, where the positive controls rendered a six- to nineteen-fold induction. Hence, paricalcitol is not expected to inhibit or induce the clearance of drugs metabolized by these enzymes.

Drug interactions with paricalcitol injection have not been studied. The following studies have been performed with oral paricalcitol capsules.

Omeprazole



The pharmacokinetic interaction between paricalcitol capsule (16 mcg) and omeprazole (40 mg; oral), a strong inhibitor of CYP2C19, was investigated in a single dose, crossover study in healthy subjects. The pharmacokinetics of paricalcitol were unaffected when omeprazole was administrated approximately 2 hours prior to the paricalcitol dose.

Strong CYP3A Inhibitors



Ketoconazole



The effect of multiple doses of ketoconazole, a strong inhibitor of CYP3A administered as 200 mg BID for 5 days, on the pharmacokinetics of paricalcitol capsule has been studied in healthy subjects. The Cmax of paricalcitol was minimally affected, but AUC0-∞ approximately doubled in the presence of ketoconazole. The mean half-life of paricalcitol was 17.0 hours in the presence of ketoconazole as compared to 9.8 hours, when paricalcitol was administered alone [see Drug Interactions (7)].

5.2 Digitalis Toxicity

Paricalcitol can cause hypercalcemia [see Warnings and Precautions (5.1)] which increases the risk of digitalis toxicity. In patients using paricalcitol concomitantly with digitalis compounds, monitor serum calcium and patients for signs and symptoms of digitalis toxicity. Increase the frequency of monitoring when initiating or adjusting the dose of paricalcitol [see Drug Interactions (7)].

8.6 Hepatic Impairment

The pharmacokinetics of paricalcitol were studied in patients with mild and moderate hepatic impairment and were similar to that of patients with normal hepatic function. No dose adjustment is required in patients with mild or moderate hepatic function.



Paricalcitol has not been studied in patients with severe hepatic impairment.

1 Indications and Usage (1 INDICATIONS AND USAGE)

Paricalcitol injection is indicated for the prevention and treatment of secondary hyperparathyroidism in patients 5 years of age and older with chronic kidney disease (CKD) on dialysis.



12.1 Mechanism of Action

Paricalcitol is a synthetic, biologically active vitamin D2  analog. Preclinical and in vitro studies have demonstrated that paricalcitol’s biological actions are mediated through binding of the vitamin D receptor (VDR), which results in the selective activation of vitamin D responsive pathways. Vitamin D and paricalcitol have been shown to reduce PTH levels by inhibiting PTH synthesis and secretion.

5.3 Adynamic Bone Disease

Adynamic bone disease with subsequent increased risk of fractures may develop if intact PTH levels are suppressed by paricalcitol to abnormally low levels. Monitor intact PTH levels to avoid over suppression and adjust paricalcitol dose, if needed [see Dosage and Administration (2.2, 2.3)].

5 Warnings and Precautions (5 WARNINGS AND PRECAUTIONS)
  • Hypercalcemia: Can occur during treatment with paricalcitol and can lead to cardiac arrhythmias and seizures. Severe hypercalcemia may require emergency attention. The risk may be increased when paricalcitol is used concomitantly with high dose calcium preparations, thiazide diuretics, or vitamin D compounds. Inform patients about symptoms of hypercalcemia and monitor serum calcium prior to initiation and during treatment and adjust dose accordingly (2, 5.1).
  • Digitalis toxicity: Risk increases with hypercalcemia. In patients using digitalis compounds, monitor both serum calcium and patients for signs and symptoms of digitalis toxicity. Monitor more frequently when initiating or adjusting the dose of paricalcitol (5.2).
  • Adynamic Bone Disease: May develop and increase risk of fractures if intact PTH levels are suppressed to abnormally low levels. Monitor intact PTH levels and adjust dose if needed (5.3).
2 Dosage and Administration (2 DOSAGE AND ADMINISTRATION)
  • Ensure serum calcium is not above the upper limit of normal before initiating (2.1)
  • Administer paricalcitol injection intravenously through a hemodialysis vascular access at any time during dialysis (2.1).

Adult Dose:

  • Initiate at 0.04 mcg/kg to 0.1 mcg/kg (2.8 mcg to 7 mcg) no more frequently than every other day (2.2).
  • Target maintenance dose to intact parathyroid hormone (PTH) levels within the desired therapeutic range and serum calcium within normal limits (2.2).
  • Monitor serum calcium frequently (e.g., twice weekly) and intact PTH levels every 2 to 4 weeks after dose initiation or adjustment (2.2).
  • See Table 1 in the full prescribing information for titration recommendations based upon intact PTH levels (2.2).
  • Suspend or decrease the dose for persistent abnormally low intact PTH or serum calcium consistently above the normal range (2.2).

Pediatric Dose:

  • Initiate paricalcitol injection as an intravenous bolus dose of:
    • 0.04 mcg/kg if baseline intact PTH is less than 500 pg/mL, or
    • 0.08 mcg/kg if baseline intact PTH is 500 pg/mL or greater (2.3)
  • Target maintenance dose to intact PTH levels within the desired therapeutic range and serum calcium within normal limits (2.3).
  • Monitor serum calcium frequently (e.g., twice weekly) and intact PTH levels every 2 to 4 weeks after dose initiation or adjustment (2.3).
  • See Table 2 in the full prescribing information for titration recommendations based upon intact PTH levels (2.3).
  • Suspend or decrease the dose for persistent abnormally low intact PTH or serum calcium consistently above the normal range (2.3).
3 Dosage Forms and Strengths (3 DOSAGE FORMS AND STRENGTHS)

Injection: sterile, clear, colorless, aqueous solution available as follows:



  • 2 mcg/mL single-dose vial
  • 5 mcg/mL single-dose vial
  • 10 mcg/2 mL (5 mcg/mL) single-dose vial
  • 10 mcg/2 mL (5 mcg/mL) multiple-dose vial
6.2 Postmarketing Experience

The following adverse reactions have been identified during post-approval use of paricalcitol. Because these reactions are reported voluntarily from a population of uncertain size, it is not always possible to reliably estimate their frequency or establish a causal relationship to drug exposure.



Allergic reactions, such as rash, urticaria, and angioedema (including laryngeal edema) have been reported.

6.1 Clinical Trials Experience


Because clinical studies are conducted under widely varying conditions, adverse reaction rates observed in the clinical studies of a drug cannot be directly compared to rates in the clinical studies of another drug and may not reflect the rates observed in practice. 



Four placebo-controlled, double-blind, multicenter studies were conducted in 113 patients (51% male, 10% Caucasian, 81% African-American and 9% Hispanic, ranging in age from 18 to 90 years). Sixty-two patients were exposed to paricalcitol and the average dose at the end of treatment was 0.12 mcg/kg/dose with a mean number of 55 days of dosing across the studies. Discontinuation of therapy due to any adverse reaction occurred in 6.5% of patients treated with paricalcitol and 2.0% of patients treated with placebo. Adverse reactions occurring with greater frequency in the paricalcitol group and at a frequency of 2% or greater are presented in Table 3.



Table 3. Adverse Reactions Occurring at a Rate of 2% or Greater in Patients with CKD on Dialysis in Four Placebo-Controlled Studies  
Adverse Reaction

Placebo (n = 51)

%

Paricalcitol (n = 62)

%

Nausea

8

13

Vomiting

6

8

Edema

0

7

Gastrointestinal Hemorrhage

2

5

Chills

2

5

Pyrexia

2

5

Pneumonia

0

5

Sepsis

2

5

Influenza

4

5

Arthralgia

4

5

Palpitations

0

3

Dry Mouth

2

3

Malaise

0

3

Other Adverse Reactions



The following adverse reactions occurred in less than 2% of the paricalcitol treated patients in the above mentioned studies and in additional double-blind, active-controlled and open-label studies:



Blood and Lymphatic System Disorders: Anemia, lymphadenopathy



Cardiac Disorders: Arrhythmia, atrial flutter, irregular heart rate, cardiac arrest, chest discomfort, chest pain, edema peripheral



Ear and Labyrinth Disorders: Ear discomfort



Endocrine Disorders: Hypoparathyroidism



Eye Disorders: Conjunctivitis, glaucoma, ocular hyperemia



Gastrointestinal Disorders: Abdominal discomfort, constipation, diarrhea, dysphagia, gastritis, intestinal ischemia, rectal hemorrhage



General Disorders: Asthenia, condition aggravated, fatigue, feeling abnormal, pain, swelling



Infections: Nasopharyngitis, upper respiratory tract infection, vaginal infection



Injection site reactions: Injection site extravasation, injection site pain



Laboratory abnormalities: Hypercalcemia, hyperkalemia, hyperphosphatemia, hypocalcemia, increased aspartate aminotransferase, prolonged bleeding time



Metabolism and Nutrition Disorders: Decreased appetite, thirst, decreased weight



Musculoskeletal and Connective Tissue Disorders: Joint stiffness, muscle twitching, myalgia



Neoplasms Benign, Malignant and Unspecified: Breast cancer



Nervous System Disorders: Cerebrovascular accident, dizziness, dysgeusia, headache, hypoesthesia, myoclonus, paresthesia, syncope, unresponsive to stimuli, gait disturbance



Psychiatric Disorders: Agitation, confusional state, delirium, insomnia, nervousness, restlessness



Reproductive System and Breast Disorders: Breast pain, erectile dysfunction



Respiratory, Thoracic and Mediastinal Disorders: Cough, dyspnea, orthopnea, pulmonary edema, wheezing



Skin and Subcutaneous Tissue Disorders: Alopecia, blister, hirsutism, night sweats, rash pruritic, pruritus, skin burning sensation



Vascular Disorders: Hypertension, hypotension

17 Patient Counseling Information (17 PATIENT COUNSELING INFORMATION)

Hypercalcemia



Advise patients to contact a health care provider if they develop symptoms of elevated calcium (e.g. feeling tired, difficulty thinking clearly, loss of appetite, nausea, vomiting, constipation, increased thirst, increased urination and weight loss) [see Warnings and Precautions (5.1)].

Monitoring



Inform patients that they will need routine monitoring of laboratory parameters such as calcium and intact PTH while receiving paricalcitol. Inform patients that more frequent monitoring is necessary during the initiation of therapy, following dose changes or when potentially interacting medications are started or discontinued [see Dosage and Administration (2), Drug Interactions (7)].



Drug Interactions



Advise patients to inform their physician of all medications, including prescription and nonprescription drugs, and supplements they are taking. Advise patients to also inform their physician that they are receiving paricalcitol if a new medication is prescribed [see Drug Interactions (7)].



Distributed by:

Eugia US LLC

279 Princeton-Hightstown Rd.

E. Windsor, NJ 08520



Manufactured by:

Eugia Pharma Specialities Limited

Hyderabad - 500032

India

16 How Supplied/storage and Handling (16 HOW SUPPLIED/STORAGE AND HANDLING)

Paricalcitol injection, USP is a sterile, clear, colorless, aqueous solution free from visible particles and is supplied as follows:



2 mcg per mL



1 mL Single-Dose Vials

in a Carton of 25                                   NDC 55150-212-01



5 mcg per mL



1 mL Single-Dose Vials

in a Carton of 25                                   NDC 55150-213-01



10 mcg per 2 mL (5 mcg/mL)



2 mL Single-Dose Vials

in a Carton of 25                                   NDC 55150-214-02



10 mcg per 2 mL (5 mcg/mL)



2 mL Multiple-Dose Vials

in a Carton of 25                                   NDC 55150-215-02



Store at 20° to 25°C (68° to 77°F) [see USP Controlled Room Temperature].



Discard any unused portion of the single-dose vial after use.



The contents of the multiple-dose vial remain stable up to seven days after initial use when stored at controlled room temperature.



The vial stoppers are not made with natural rubber latex.

2.1 Important Administration Information


  • Ensure serum calcium is not above the upper limit of normal before initiating treatment [see Warnings and Precautions (5.1)].
  • Administer paricalcitol injection intravenously through a hemodialysis vascular access port at any time during dialysis. Paricalcitol injection may be administered intravenously if an access port is unavailable.
  • Inspect paricalcitol injection visually prior to administration; the solution should appear clear and colorless. Do not use if the solution is not clear or particles are present.
  • Discard unused portion of 2 mcg/mL and 5 mcg/mL single-dose vials.
2.2 Starting Dose and Dose Titration in Adults
  • Initiate paricalcitol injection as an intravenous bolus dose of 0.04 mcg/kg to 0.1 mcg/kg (2.8 mcg to 7 mcg) no more frequently than every other day at any time during dialysis.
  • Target the maintenance dose of paricalcitol injection to intact parathyroid hormone (PTH) levels within the desired therapeutic range and serum calcium within normal limits.
  • Monitor serum calcium frequently (e.g., twice weekly) and intact PTH levels every 2 to 4 weeks after initiation of therapy or dose adjustment.
  • Titrate the dose of paricalcitol injection based on intact PTH (see Table 1). Prior to raising the dose, ensure serum calcium is within normal limits. The maximum daily adult dose is 0.24 mcg/kg.
  • Suspend or decrease the dose if intact PTH is persistently and abnormally low to reduce the risk of adynamic bone disease [see Warnings and Precautions (5.3)] or if serum calcium is consistently above the normal range to reduce the risk of hypercalcemia [see Warnings and Precautions (5.1)]. If dose suspension is necessary, restart at a reduced dose after laboratory values have normalized. 
Table 1. Recommended Paricalcitol Injection Adult Dose Titration Based Upon intact PTH
Intact   PTH   Level   At Follow-up Visit

Dosage   Adjustment

Above target and intact PTH increased

Increase* by 2 mcg to 4 mcg every 2 to 4 weeks

Above target and intact PTH decreased by less than 30%

Increase* by 2 mcg to 4 mcg every 2 to 4 weeks

Above target and intact PTH decreased by 30% to 60%

No Change

Above target and intact PTH decreased by more than 60%

Decrease per clinical judgement

At target and intact PTH stable

No Change

* The maximum daily adult dose is 0.24 mcg/kg



13.1 Carcinogenesis, Mutagenesis and Impairment of Fertility

In a 104-week carcinogenicity study in CD-1 mice, an increased incidence of uterine leiomyoma and leiomyosarcoma was observed at subcutaneous doses of 1, 3, 10 mcg/kg administered 3 times per week (2 to 15 times the AUC at a human dose of 14 mcg, equivalent to 0.24 mcg/kg based on AUC). The incidence rate of uterine leiomyoma was significantly different than the control group at the highest dose of 10 mcg/kg.



In a 104-week carcinogenicity study in rats, there was an increased incidence of benign adrenal pheochromocytoma at subcutaneous doses of 0.15, 0.5, 1.5 mcg/kg administered 3 times per week (at less than clinical exposure to 7 times the exposure following a human dose of 14 mcg, equivalent to 0.24 mcg/kg based on AUC). The increased incidence of pheochromocytomas in rats may be related to the alteration of calcium homeostasis by paricalcitol.



Paricalcitol did not exhibit genetic toxicity in vitro with or without metabolic activation in the microbial mutagenesis assay (Ames Assay), mouse lymphoma mutagenesis assay (L5178Y), or a human lymphocyte cell chromosomal aberration assay. There was also no evidence of genetic toxicity in an in vivo mouse micronucleus assay.



Paricalcitol had no effect on fertility (male or female) in rats at intravenous doses up to 20 mcg/kg/dose (13 times a human dose of 14 mcg, equivalent to 0.24 mcg/kg based on surface area, mg/m2).

Package Label Principal Display Panel 2 Mcg Per Ml Container Label (PACKAGE LABEL-PRINCIPAL DISPLAY PANEL - 2 mcg per mL Container Label)

Rx only                        NDC 55150-212-01

Paricalcitol

Injection, USP

2 mcg per mL

For Intravenous Use

1 mL                         Single-Dose Vial

Discard Unused Portion

Package Label Principal Display Panel 5 Mcg Per Ml Container Label (PACKAGE LABEL-PRINCIPAL DISPLAY PANEL - 5 mcg per mL Container Label)

Rx only                      NDC 55150-213-01

Paricalcitol

Injection, USP

5 mcg per mL

For Intravenous Use

1 mL                                   Single-Dose Vial

Discard Unused Portion

Package Label Principal Display Panel 2 Mcg Per Ml Container Carton (25 Vials) (PACKAGE LABEL-PRINCIPAL DISPLAY PANEL - 2 mcg per mL Container-Carton (25 Vials))

Rx only                             NDC 55150-212-01

Paricalcitol

Injection, USP

2 mcg per mL

For Intravenous Use

Sterile                       25 x 1 mL Single-Dose Vial

eugia

Package Label Principal Display Panel 5 Mcg Per Ml Container Carton (25 Vials) (PACKAGE LABEL-PRINCIPAL DISPLAY PANEL - 5 mcg per mL Container-Carton (25 Vials))

Rx only                                NDC 55150-213-01

Paricalcitol

Injection, USP

5 mcg per mL

For Intravenous Use

Sterile                   25 x 1 mL Single-Dose Vial

eugia

2.4 Drug Interactions That May Require Dosage Adjustments of Paricalcitol Injection (2.4 Drug Interactions that May Require Dosage Adjustments of Paricalcitol Injection)


  • Increased monitoring of serum calcium and dose adjustment of paricalcitol injection may be necessary when given concomitantly with drugs that may increase the risk of hypercalcemia [see Drug Interactions (7)].
  • Increased monitoring of both serum calcium and intact PTH as well as dose adjustment of paricalcitol injection may be necessary when given concomitantly with strong CYP3A inhibitors [see Drug Interactions (7)].
2.3 Starting Dose and Dose Titration for Pediatric Patients 5 Years of Age and Above


  • Initiate paricalcitol injection as an intravenous bolus dose of:
    • 0.04 mcg/kg if baseline intact PTH is less than 500 pg/mL, or
    • 0.08 mcg/kg if baseline intact PTH is 500 pg/mL or greater
  • Administer paricalcitol injection three times per week, no more frequently than every other day, at any time during dialysis.
  • Target the maintenance dose of paricalcitol injection to intact PTH levels within the desired therapeutic range and serum calcium within normal limits.
  • Monitor serum calcium frequently (e.g., twice weekly) and intact PTH levels every 2 to 4 weeks after initiation of therapy or dose adjustment.
  • Titrate the dose of paricalcitol injection based on intact PTH (see Table 2). Prior to raising the dose, ensure serum calcium is within normal limits.
  • Suspend or decrease the dose if intact PTH is persistently and abnormally low to reduce the risk of adynamic bone disease [see Warnings and Precautions (5.3)] or if serum calcium is consistently above the normal range to reduce the risk of hypercalcemia [see Warnings and Precautions (5.1)]. If dose suspension is necessary, restart at a reduced dose after laboratory values have normalized.
Table 2. Recommended Paricalcitol Injection Pediatric Dose Titration Based Upon intact PTH – Patients 5 years of age and older  
Intact PTH Level At Follow-up Visit

Dosage Adjustment

Above target and intact PTH decreased by less than 30%

Increase by 0.04 mcg/kg every 2 to 4 weeks

Intact PTH 150 pg/mL or greater and decreased by 30% to 60%

No Change

Intact PTH less than 150 pg/mL or decreased by more than 60%

Decrease by 0.04 mcg/kg weekly, or by 50% if decreased dose equals zero

Package Label Principal Display Panel 10 Mcg Per 2 Ml (5 Mcg/ml) [multi Dose Vial] Container Label (PACKAGE LABEL-PRINCIPAL DISPLAY PANEL - 10 mcg per 2 mL (5 mcg/mL) [Multi Dose Vial] - Container Label)

Rx only                   NDC 55150-215-02

Paricalcitol

Injection, USP

10 mcg per 2 mL

(5 mcg/mL)

For Intravenous Use

2 mL                          Multiple-Dose Vial



Package Label Principal Display Panel 10 Mcg Per 2 Ml (5 Mcg/ml) [single Dose Vial] Container Label (PACKAGE LABEL-PRINCIPAL DISPLAY PANEL - 10 mcg per 2 mL (5 mcg/mL) [Single Dose Vial] - Container Label)

Rx only                  NDC 55150-214-02

Paricalcitol

Injection, USP

10 mcg per 2 mL

(5 mcg/mL)

For Intravenous Use

2 mL                       Single-Dose Vial

Discard Unused Portion



Package Label Principal Display Panel 10 Mcg Per 2 Ml (5 Mcg/ml) [multi Dose Vial] Container Carton (25 Vials) (PACKAGE LABEL-PRINCIPAL DISPLAY PANEL - 10 mcg per 2 mL (5 mcg/mL) [Multi Dose Vial] - Container-Carton (25 Vials))

Rx only                               NDC 55150-215-02

Paricalcitol

Injection, USP

10 mcg per 2 mL

(5 mcg/mL)

For Intravenous Use

Sterile                                   25 x 2 mL Multiple-Dose Vial

eugia

Package Label Principal Display Panel 10 Mcg Per 2 Ml (5 Mcg/ml) [single Dose Vial] Container Carton (25 Vials) (PACKAGE LABEL-PRINCIPAL DISPLAY PANEL - 10 mcg per 2 mL (5 mcg/mL) [Single Dose Vial] - Container-Carton (25 Vials))

Rx only                              NDC 55150-214-02

Paricalcitol

Injection, USP

10 mcg per 2 mL

(5 mcg/mL)

For Intravenous Use

Sterile                                25 x 2 mL Single-Dose Vial

eugia


Advanced Ingredient Data


Raw Label Data

All Sections (JSON)