These Highlights Do Not Include All The Information Needed To Use Topiramate Extended-release Capsules

These Highlights Do Not Include All The Information Needed To Use Topiramate Extended-release Capsules
SPL v22
SPL
SPL Set ID 691d276c-9cc1-4d39-828f-0f44d7ef6328
Route
ORAL
Published
Effective Date 2024-06-28
Document Type 34391-3 HUMAN PRESCRIPTION DRUG LABEL

Drug Facts

Composition & Product

Active Ingredients
Topiramate (25 mg)
Inactive Ingredients
Microcrystalline Cellulose Hypromellose 2910 (6 Mpa.s) Ethylcellulose (10 Mpa.s) Diethyl Phthalate Titanium Dioxide Ferrosoferric Oxide Ferric Oxide Red Ferric Oxide Yellow

Identifiers & Packaging

Pill Appearance
Imprint: UPSHER;SMITH;200mg Shape: capsule Color: pink Color: gray Color: yellow Color: brown Size: 7 mm Size: 8 mm Size: 10 mm Size: 11 mm Size: 12 mm Score: 1
Marketing Status
NDA AUTHORIZED GENERIC Active Since 2014-07-07

Description

1.1 Monotherapy Epilepsy Topiramate extended-release capsules are indicated as initial monotherapy for the treatment of partial-onset or primary generalized tonic-clonic seizures in patients 2 years of age and older. 1.2 Adjunctive Therapy Epilepsy Topiramate extended-release capsules are indicated as adjunctive therapy for the treatment of partial-onset seizures, primary generalized tonic-clonic seizures, and seizures associated with Lennox-Gastaut Syndrome in patients 2 years of age and older. 1.3 Migraine Topiramate extended-release capsules are indicated for the preventive treatment of migraine in patients 12 years of age and older.

Indications and Usage

1.1 Monotherapy Epilepsy Topiramate extended-release capsules are indicated as initial monotherapy for the treatment of partial-onset or primary generalized tonic-clonic seizures in patients 2 years of age and older. 1.2 Adjunctive Therapy Epilepsy Topiramate extended-release capsules are indicated as adjunctive therapy for the treatment of partial-onset seizures, primary generalized tonic-clonic seizures, and seizures associated with Lennox-Gastaut Syndrome in patients 2 years of age and older. 1.3 Migraine Topiramate extended-release capsules are indicated for the preventive treatment of migraine in patients 12 years of age and older.

Dosage and Administration

Topiramate extended-release capsules initial dose, titration, and recommended maintenance dose varies by indication and age group. See Full Prescribing Information for recommended dosage, and dosing considerations in patients with renal impairment, geriatric patients, and patients undergoing hemodialysis ( 2.1 , 2.2 , 2.3 , 2.4 , 2.5 , 2.6 ) Capsules may be swallowed whole or opened and sprinkled on a spoonful of soft food ( 2.6 ).

Warnings and Precautions

Acute myopia and secondary angle closure glaucoma: can lead to permanent visual loss; discontinue topiramate extended-release capsules as soon as possible ( 5.1 ) Visual field defects; consider discontinuation of topiramate extended-release capsules ( 5.2 ) Oligohydrosis and hyperthermia: monitor decreased sweating and increased body temperature, especially in pediatric patients ( 5.3 ) Metabolic acidosis: baseline and periodic measurement of serum bicarbonate is recommended; consider dose reduction or discontinuation of topiramate extended-release capsules if clinically appropriate ( 5.4 ) Suicidal behavior and ideation: antiepileptic drugs increase the risk of suicidal behavior or ideation ( 5.5 ) Cognitive/neuropsychiatric adverse reactions: use caution when operating machinery including cars; depression and mood problems may occur ( 5.6 ) Fetal Toxicity: use during pregnancy can cause major congenital malformations, including but not limited to cleft lip and/or palate, and being small for gestational age ( 5.7 ) Withdrawal of AEDs: withdraw topiramate extended-release capsules gradually ( 5.8 ) Decrease in Bone Mineral Density: has been shown to decrease bone mineral density and bone mineral content in pediatric patients ( 5.9 ) Negative effects on growth (height and weight): may slow height increase and weight gain; carefully monitor children receiving prolonged therapy ( 5.10 ) Serious skin reactions: If SJS or TEN is suspected, discontinue topiramate extended-release capsules ( 5.11 ) Hyperammonemia/encephalopathy: measure ammonia if encephalopathic symptoms occur ( 5.12 ) Kidney stones: avoid use with other carbonic anhydrase inhibitors, drugs causing metabolic acidosis, or in patients on a ketogenic diet ( 5.13 ) Hypothermia has been reported with and without hyperammonemia during topiramate treatment with concomitant valproic acid use ( 5.14 )

Contraindications

None.

Adverse Reactions

The following serious adverse reactions are discussed in more detail in other sections of the labeling: Acute Myopia and Secondary Angle Closure Glaucoma [see Warnings and Precautions (5.1) ] Visual Field Defects [see Warnings and Precautions (5.2) ] Oligohydrosis and Hyperthermia [see Warnings and Precautions (5.3) ] Metabolic Acidosis [see Warnings and Precautions (5.4) ] Suicidal Behavior and Ideation [see Warnings and Precautions (5.5) ] Cognitive/Neuropsychiatric Adverse Reactions [see Warnings and Precautions (5.6) ] Decrease in Bone Mineral Density [see Warnings and Precautions (5.9) ] Negative Effects on Growth (Height and Weight) [see Warnings and Precautions (5.10) ] Serious Skin Reactions [see Warnings and Precautions (5.11) ] Hyperammonemia and Encephalopathy (Without and With Concomitant Valproic Acid Use [see Warnings and Precautions (5.12) ] Kidney Stones [see Warnings and Precautions (5.13) ] Hypothermia with Concomitant Valproic Acid Use [see Warnings and Precautions (5.14) ] The data described in section 6.1 were obtained using immediate-release topiramate tablets.

Drug Interactions

Contraceptives: decreased contraceptive efficacy and increased breakthrough bleeding, especially at doses greater than 200 mg per day ( 7.4 ) Monitor lithium levels if lithium is used with high-dose topiramate extended-release ( 7.7 ) See 17 for PATIENT COUNSELING INFORMATION and Medication Guide.

Storage and Handling

Topiramate extended-release capsules should be stored in a tightly closed container at 20°C to 25°C (68°F to 77°F); excursions permitted to 15°C to 30°C (59°F to 86°F) [See USP Controlled Room Temperature]. Protect from moisture.

How Supplied

Topiramate extended-release capsules contain beads of topiramate in a capsule and are available in the following strengths and colors: 25 mg: light pink and grey capsules, printed with "UPSHER-SMITH" on the cap in black ink and "25 mg" on the body in black ink. 25 mg capsules are supplied in the following package configurations: Bottles of 30 with desiccant and a child-resistant closure, NDC 0832-1071-30 Bottles of 90 with desiccant and a child-resistant closure, NDC 0832-1071-90 50 mg: golden yellow and grey capsules, printed with "UPSHER-SMITH" on the cap in black ink and "50 mg" on the body in black ink. 50 mg capsules are supplied in the following package configurations: Bottles of 30 with desiccant and a child-resistant closure, NDC 0832-1072-30 Bottles of 90 with desiccant and a child-resistant closure, NDC 0832-1072-90 100 mg: reddish brown and grey capsules, printed with "UPSHER-SMITH" on the cap in black ink and "100 mg" on the body in black ink. 100 mg capsules are supplied in the following package configurations: Bottles of 30 with desiccant and a child-resistant closure, NDC 0832-1074-30 Bottles of 90 with desiccant and a child-resistant closure, NDC 0832-1074-90 150 mg: pale yellow and grey capsules, printed with "UPSHER-SMITH" on the cap in black ink and "150 mg" on the body in black ink. 150 mg capsules are supplied in the following package configurations: Bottles of 30 with desiccant and a child-resistant closure, NDC 0832-1075-30 Bottles of 90 with desiccant and a child-resistant closure, NDC 0832-1075-90 200 mg: brown and grey capsules, printed with "UPSHER-SMITH" on the cap in white ink and "200 mg" on the body in black ink. 200 mg capsules are supplied in the following package configurations: Bottles of 30 with desiccant and a child-resistant closure, NDC 0832-1073-30 Bottles of 90 with desiccant and a child-resistant closure, NDC 0832-1073-90


Medication Information

Warnings and Precautions

Acute myopia and secondary angle closure glaucoma: can lead to permanent visual loss; discontinue topiramate extended-release capsules as soon as possible ( 5.1 ) Visual field defects; consider discontinuation of topiramate extended-release capsules ( 5.2 ) Oligohydrosis and hyperthermia: monitor decreased sweating and increased body temperature, especially in pediatric patients ( 5.3 ) Metabolic acidosis: baseline and periodic measurement of serum bicarbonate is recommended; consider dose reduction or discontinuation of topiramate extended-release capsules if clinically appropriate ( 5.4 ) Suicidal behavior and ideation: antiepileptic drugs increase the risk of suicidal behavior or ideation ( 5.5 ) Cognitive/neuropsychiatric adverse reactions: use caution when operating machinery including cars; depression and mood problems may occur ( 5.6 ) Fetal Toxicity: use during pregnancy can cause major congenital malformations, including but not limited to cleft lip and/or palate, and being small for gestational age ( 5.7 ) Withdrawal of AEDs: withdraw topiramate extended-release capsules gradually ( 5.8 ) Decrease in Bone Mineral Density: has been shown to decrease bone mineral density and bone mineral content in pediatric patients ( 5.9 ) Negative effects on growth (height and weight): may slow height increase and weight gain; carefully monitor children receiving prolonged therapy ( 5.10 ) Serious skin reactions: If SJS or TEN is suspected, discontinue topiramate extended-release capsules ( 5.11 ) Hyperammonemia/encephalopathy: measure ammonia if encephalopathic symptoms occur ( 5.12 ) Kidney stones: avoid use with other carbonic anhydrase inhibitors, drugs causing metabolic acidosis, or in patients on a ketogenic diet ( 5.13 ) Hypothermia has been reported with and without hyperammonemia during topiramate treatment with concomitant valproic acid use ( 5.14 )

Indications and Usage

1.1 Monotherapy Epilepsy Topiramate extended-release capsules are indicated as initial monotherapy for the treatment of partial-onset or primary generalized tonic-clonic seizures in patients 2 years of age and older. 1.2 Adjunctive Therapy Epilepsy Topiramate extended-release capsules are indicated as adjunctive therapy for the treatment of partial-onset seizures, primary generalized tonic-clonic seizures, and seizures associated with Lennox-Gastaut Syndrome in patients 2 years of age and older. 1.3 Migraine Topiramate extended-release capsules are indicated for the preventive treatment of migraine in patients 12 years of age and older.

Dosage and Administration

Topiramate extended-release capsules initial dose, titration, and recommended maintenance dose varies by indication and age group. See Full Prescribing Information for recommended dosage, and dosing considerations in patients with renal impairment, geriatric patients, and patients undergoing hemodialysis ( 2.1 , 2.2 , 2.3 , 2.4 , 2.5 , 2.6 ) Capsules may be swallowed whole or opened and sprinkled on a spoonful of soft food ( 2.6 ).

Contraindications

None.

Adverse Reactions

The following serious adverse reactions are discussed in more detail in other sections of the labeling: Acute Myopia and Secondary Angle Closure Glaucoma [see Warnings and Precautions (5.1) ] Visual Field Defects [see Warnings and Precautions (5.2) ] Oligohydrosis and Hyperthermia [see Warnings and Precautions (5.3) ] Metabolic Acidosis [see Warnings and Precautions (5.4) ] Suicidal Behavior and Ideation [see Warnings and Precautions (5.5) ] Cognitive/Neuropsychiatric Adverse Reactions [see Warnings and Precautions (5.6) ] Decrease in Bone Mineral Density [see Warnings and Precautions (5.9) ] Negative Effects on Growth (Height and Weight) [see Warnings and Precautions (5.10) ] Serious Skin Reactions [see Warnings and Precautions (5.11) ] Hyperammonemia and Encephalopathy (Without and With Concomitant Valproic Acid Use [see Warnings and Precautions (5.12) ] Kidney Stones [see Warnings and Precautions (5.13) ] Hypothermia with Concomitant Valproic Acid Use [see Warnings and Precautions (5.14) ] The data described in section 6.1 were obtained using immediate-release topiramate tablets.

Drug Interactions

Contraceptives: decreased contraceptive efficacy and increased breakthrough bleeding, especially at doses greater than 200 mg per day ( 7.4 ) Monitor lithium levels if lithium is used with high-dose topiramate extended-release ( 7.7 ) See 17 for PATIENT COUNSELING INFORMATION and Medication Guide.

Storage and Handling

Topiramate extended-release capsules should be stored in a tightly closed container at 20°C to 25°C (68°F to 77°F); excursions permitted to 15°C to 30°C (59°F to 86°F) [See USP Controlled Room Temperature]. Protect from moisture.

How Supplied

Topiramate extended-release capsules contain beads of topiramate in a capsule and are available in the following strengths and colors: 25 mg: light pink and grey capsules, printed with "UPSHER-SMITH" on the cap in black ink and "25 mg" on the body in black ink. 25 mg capsules are supplied in the following package configurations: Bottles of 30 with desiccant and a child-resistant closure, NDC 0832-1071-30 Bottles of 90 with desiccant and a child-resistant closure, NDC 0832-1071-90 50 mg: golden yellow and grey capsules, printed with "UPSHER-SMITH" on the cap in black ink and "50 mg" on the body in black ink. 50 mg capsules are supplied in the following package configurations: Bottles of 30 with desiccant and a child-resistant closure, NDC 0832-1072-30 Bottles of 90 with desiccant and a child-resistant closure, NDC 0832-1072-90 100 mg: reddish brown and grey capsules, printed with "UPSHER-SMITH" on the cap in black ink and "100 mg" on the body in black ink. 100 mg capsules are supplied in the following package configurations: Bottles of 30 with desiccant and a child-resistant closure, NDC 0832-1074-30 Bottles of 90 with desiccant and a child-resistant closure, NDC 0832-1074-90 150 mg: pale yellow and grey capsules, printed with "UPSHER-SMITH" on the cap in black ink and "150 mg" on the body in black ink. 150 mg capsules are supplied in the following package configurations: Bottles of 30 with desiccant and a child-resistant closure, NDC 0832-1075-30 Bottles of 90 with desiccant and a child-resistant closure, NDC 0832-1075-90 200 mg: brown and grey capsules, printed with "UPSHER-SMITH" on the cap in white ink and "200 mg" on the body in black ink. 200 mg capsules are supplied in the following package configurations: Bottles of 30 with desiccant and a child-resistant closure, NDC 0832-1073-30 Bottles of 90 with desiccant and a child-resistant closure, NDC 0832-1073-90

Description

1.1 Monotherapy Epilepsy Topiramate extended-release capsules are indicated as initial monotherapy for the treatment of partial-onset or primary generalized tonic-clonic seizures in patients 2 years of age and older. 1.2 Adjunctive Therapy Epilepsy Topiramate extended-release capsules are indicated as adjunctive therapy for the treatment of partial-onset seizures, primary generalized tonic-clonic seizures, and seizures associated with Lennox-Gastaut Syndrome in patients 2 years of age and older. 1.3 Migraine Topiramate extended-release capsules are indicated for the preventive treatment of migraine in patients 12 years of age and older.

Section 42229-5

Adults and Pediatric Patients 10 Years of Age and Older

The recommended dose for topiramate extended-release capsules monotherapy in adults and pediatric patients 10 years of age and older is 400 mg orally once daily. Titrate topiramate extended-release capsules according to the following schedule (see Table 1).

Table 1: Monotherapy Titration Schedule for Adults and Pediatric Patients 10 Years of Age and Older
Topiramate Extended-Release Once Daily Dose
Week 1 50 mg
Week 2 100 mg
Week 3 150 mg
Week 4 200 mg
Week 5 300 mg
Week 6 400 mg
Section 42231-1
MEDICATION GUIDE

Topiramate (toe pir′ a mate)

Extended-Release Capsules, for oral use
This Medication Guide has been approved by the U.S. Food and Drug Administration. Revised: 4/2025
What is the most important information I should know about topiramate extended-release capsules?

Topiramate extended-release capsules may cause eye problems.Serious eye problems include:
  • any sudden decrease in vision with or without eye pain and redness,
  • a blockage of fluid in the eye causing increased pressure in the eye (secondary angle closure glaucoma).


These eye problems can lead to permanent loss of vision if not treated. You should call your healthcare provider right away if you have any new eye symptoms, including any new problems with your vision.

Topiramate extended-release capsules may cause decreased sweating and increased body temperature (fever).People, especially children, should be watched for signs of decreased sweating and fever, especially in hot temperatures. Some people may need to be hospitalized for this condition. If you have a high fever, a fever that does not go away, or decreased sweating develops, call your healthcare provider right away.

Topiramate extended-release capsules can increase the level of acid in your blood (metabolic acidosis).If left untreated, metabolic acidosis can cause brittle or soft bones (osteoporosis, osteomalacia, osteopenia), kidney stones, can slow the rate of growth in children, and may possibly harm your baby if you are pregnant. Metabolic acidosis can happen with or without symptoms. Sometimes people with metabolic acidosis will:
  • feel tired
  • not feel hungry (loss of appetite)
  • feel changes in heartbeat
  • have trouble thinking clearly


Your healthcare provider should do a blood test to measure the level of acid in your blood before and during your treatment with topiramate extended-release capsules.

If you are pregnant, you should talk to your healthcare provider about whether you have metabolic acidosis.

Like other antiepileptic drugs, topiramate extended-release capsules may cause suicidal thoughts or actions in a very small number of people, about 1 in 500.

Call a healthcare provider right away if you have any of these symptoms, especially if they are new, worse, or worry you:
  • thoughts about suicide or dying
  • attempts to commit suicide
  • new or worse depression
  • new or worse anxiety
  • feeling agitated or restless
  • panic attacks
  • trouble sleeping (insomnia)
  • new or worse irritability
  • acting aggressive, being angry, or violent
  • acting on dangerous impulses
  • an extreme increase in activity and talking (mania)
  • other unusual changes in behavior or mood
Do not stop topiramate extended-release capsules without first talking to a healthcare provider.
  • Stopping topiramate extended-release capsules suddenly can cause serious problems.
  • Suicidal thoughts or actions can be caused by things other than medicines. If you have suicidal thoughts or actions, your healthcare provider may check for other causes.


How can I watch for early symptoms of suicidal thoughts and actions?
  • Pay attention to any changes, especially sudden changes, in mood, behaviors, thoughts, or feelings.
  • Keep all follow-up visits with your healthcare provider as scheduled.
  • Call your healthcare provider between visits as needed, especially if you are worried about symptoms.


Topiramate extended-release capsules can harm your unborn baby.
  • If you take topiramate extended-release capsules during pregnancy, your baby has a higher risk for birth defects including cleft lip and cleft palate. These defects can begin early in pregnancy, even before you know you are pregnant.
  • Birth defects may happen even in children born to women who are not taking any medicines and do not have other risk factors.
  • There may be other medicines to treat your condition that have a lower chance of birth defects.
  • All women of childbearing age should talk to their healthcare providers about using other possible treatments instead of topiramate extended-release capsules. If the decision is made to use topiramate extended-release capsules, you should use effective birth control (contraception) unless you are planning to become pregnant. You should talk to your healthcare provider about the best kind of birth control to use while you are taking topiramate extended-release capsules.
  • Tell your healthcare provider right away if you become pregnant while taking topiramate extended-release capsules. You and your healthcare provider should decide if you will continue to take topiramate extended-release capsules while you are pregnant.
  • If you take topiramate extended-release capsules during pregnancy, your baby may be smaller than expected at birth. The long-term effects of this are not known. Talk to your healthcare provider if you have any questions about this risk during pregnancy.
  • Metabolic acidosis may have harmful effects on your baby. Talk to your healthcare provider if topiramate extended-release capsules has caused metabolic acidosis during your pregnancy.
  • Pregnancy Registry: If you become pregnant while taking topiramate extended-release capsules, talk to your healthcare provider about registering with the North American Antiepileptic Drug Pregnancy Registry. You can enroll in this registry by calling 1-888-233-2334. The purpose of this registry is to collect information about the safety of topiramate extended-release capsules and other antiepileptic drugs during pregnancy.
Topiramate extended-release capsules may decrease the density of bones when used over a long period.

Topiramate extended-release capsules may slow height increase and weight gain in children and adolescents when used over a long period.
What is topiramate extended-release capsules?

Topiramate extended-release capsules is a prescription medicine used:
  • to treat certain types of seizures (partial-onset seizures and primary generalized tonic-clonic seizures) in adults and children 2 years of age and older,
  • with other medicines to treat certain types of seizures (partial-onset seizures, primary generalized tonic-clonic seizures, and seizures associated with Lennox-Gastaut syndrome) in adults and children 2 years of age and older,
  • to prevent migraine headaches in adults and adolescents 12 years of age and older.
What should I tell my healthcare provider before taking topiramate extended-release capsules?

Before taking topiramate extended-release capsules, tell your healthcare provider about all of your medical conditions, including if you:
  • have or have had depression, mood problems or suicidal thoughts or behavior
  • have kidney problems, kidney stones or are getting kidney dialysis
  • have a history of metabolic acidosis (too much acid in the blood)
  • have liver problems
  • have weak, brittle or soft bones (osteomalacia, osteoporosis, osteopenia, or decreased bone density)
  • have lung or breathing problems
  • have eye problems, especially glaucoma
  • have diarrhea
  • have a growth problem
  • are on a diet high in fat and low in carbohydrates, which is called a ketogenic diet
  • are having surgery
  • are pregnant or plan to become pregnant
  • are breastfeeding or plan to breastfeed. Topiramate extended-release passes into breast milk. Breastfed babies may be sleepy or have diarrhea. It is not known if the topiramate extended-release that passes into breast milk can cause other serious harm to your baby. Talk to your healthcare provider about the best way to feed your baby if you take topiramate extended-release capsules.


Tell your healthcare provider about all the medicines you take, including prescription and over-the-counter medicines, vitamins, and herbal supplements. Topiramate extended-release capsules and other medicines may affect each other causing side effects.

Especially tell your healthcare provider if you take:
  • Valproic acid (such as DEPAKENE ®or DEPAKOTE ®)
  • any medicines that impair or decrease your thinking, concentration, or muscle coordination
  • birth control that contains hormones (such as pills, implants, patches or injections). Topiramate extended-release capsules may make your birth control less effective. Tell your healthcare provider if your menstrual bleeding changes while you are using birth control and topiramate extended-release capsules.


Ask your healthcare provider if you are not sure if your medicine is listed above.

Know the medicines you take. Keep a list of them to show your healthcare provider and pharmacist each time you get a new medicine. Do not start a new medicine without talking with your healthcare provider.
How should I take topiramate extended-release capsules?
  • Take topiramate extended-release capsules exactly as your healthcare provider tells you to.
  • Your healthcare provider may change your dose. Do notchange your dose without talking to your healthcare provider.
  • Topiramate extended-release capsules may be swallowed whole or, if you cannot swallow the capsule whole, you may carefully open the topiramate extended-release capsules and sprinkle the medicine on a spoonful of soft food like applesauce.
    • Swallow the food and medicine mixture right away. Do notstore the food and medicine mixture to use later.
    • Do not crush or chew topiramate extended-release capsules before swallowing.
  • Drink plenty fluids during the day. This may help prevent kidney stones while taking topiramate extended-release capsules.
  • If you take too much topiramate extended-release capsules, call your healthcare provider right away or go to the nearest emergency room.
  • Topiramate extended-release capsules can be taken before, during, or after a meal.
  • If you miss a single dose of topiramate extended-release capsules, take it as soon as you can. If you have missed more than one dose, you should call your healthcare provider for advice.
  • Do not stop taking topiramate extended-release capsules without talking to your healthcare provider. Stopping topiramate extended-release capsules suddenly may cause serious problems. If you have epilepsy and you stop taking topiramate extended-release capsules suddenly, you may have seizures that do not stop. Your healthcare provider will tell you how to stop taking topiramate extended-release capsules slowly.
  • Your healthcare provider may do blood tests while you take topiramate extended-release capsules.
What should I avoid while taking topiramate extended-release capsules?
  • You should not drink alcohol while taking topiramate extended-release capsules. Topiramate extended-release capsules and alcohol can affect each other causing side effects such as sleepiness and dizziness.
  • Do not drive a car or operate machinery until you know how topiramate extended-release capsules affects you. Topiramate extended-release capsules can slow your thinking and motor skills and may affect vision.
What are the possible side effects of topiramate extended-release capsules?

Topiramate extended-release capsules may cause serious side effects, including:

See " What is the most important information I should know about topiramate extended-release capsules?"
  • High blood ammonia levels.High ammonia in the blood can affect your mental activities, slow your alertness, make you feel tired, or cause vomiting. This has happened when topiramate extended-release is taken with a medicine called valproic acid (DEPAKENE ®and DEPAKOTE ®).
  • Kidney stones.Drink plenty of fluids when taking topiramate extended-release capsules to decrease your chances of getting kidney stones.
  • Low body temperature.Taking topiramate extended-release capsules when you are also taking valproic acid can cause a drop in body temperature to less than 95°F, or can cause tiredness, confusion, or coma.
  • Effects on thinking and alertness.Topiramate extended-release capsules may affect how you think, and cause confusion, problems with concentration, attention, memory, or speech. Topiramate extended-release capsules may cause depression or mood problems, tiredness, and sleepiness.
  • Dizziness or loss of muscle coordination.
  • Serious skin reactions.Topiramate extended-release capsules may cause a severe rash with blisters and peeling skin, especially around the mouth, nose, eyes, and genitals (Stevens-Johnson syndrome). Topiramate extended-release capsules may also cause a rash with blisters and peeling skin over much of the body that may cause death (toxic epidermal necrolysis). Call your healthcare provider right away if you develop a skin rash or blisters.


Call your healthcare provider right away if you have any of the symptoms above.

The most common side effects of topiramate extended-release capsules include:
  • tingling of the arms and legs (paresthesia)
  • not feeling hungry
  • weight loss
  • nervousness
  • nausea
  • speech problems
  • tiredness
  • dizziness
  • sleepiness/drowsiness
  • a change in the way foods taste
  • upper respiratory tract infection
  • decreased feeling or sensitivity, especially in the skin
  • slow reactions
  • difficulty with memory
  • fever
  • abnormal vision
  • diarrhea
  • pain in the abdomen
Tell your healthcare provider about any side effect that bothers you or that does not go away.

These are not all the possible side effects of topiramate extended-release capsules. For more information, ask your healthcare provider or pharmacist.

Call your doctor for medical advice about side effects. You may report side effects to FDA at 1-800-FDA-1088.
You may also report side effects to Upsher-Smith Laboratories, LLC at 1-855-899-9180.
How should I store topiramate extended-release capsules?
  • Store topiramate extended-release capsules at room temperature between 68°F to 77°F (20°C to 25°C).
  • Keep topiramate extended-release capsules in a tightly closed container.
  • Keep topiramate extended-release capsules dry and away from moisture.
  • Keep topiramate extended-release capsules and all medicines out of the reach of children.
General information about the safe and effective use of topiramate extended-release capsules.

Medicines are sometimes prescribed for purposes other than those listed in a Medication Guide. Do not use topiramate extended-release capsules for a condition for which it was not prescribed. Do not give topiramate extended-release capsules to other people, even if they have the same symptoms that you have. It may harm them. You can ask your pharmacist or healthcare provider for information about topiramate extended-release capsules that is written for health professionals.
What are the ingredients in topiramate extended-release capsules?

Active ingredient:topiramate

Inactive ingredients:microcrystalline cellulose, hypromellose 2910, ethylcellulose, diethyl phthalate, titanium dioxide, black iron oxide, red iron oxide and/or yellow iron oxide, black pharmaceutical ink, and white pharmaceutical ink (200 mg only).

Manufactured for: UPSHER-SMITH LABORATORIES, LLC, Maple Grove, MN 55369

All trademarks are property of their respective owners.

This product may be covered by one or more U.S. patent(s). See www.uslpatents.com.

For more information, go to www.upsher-smith.com or call UPSHER-SMITH LABORATORIES, LLC at 1-888-650-3789.
7.7 Lithium

An increase in systemic exposure of lithium following topiramate doses of up to 600 mg/day can occur. Lithium levels should be monitored when co-administered with high-dose topiramate [see Clinical Pharmacology (12.3)] .

10 Overdosage

Overdoses of topiramate have been reported. Signs and symptoms included convulsions, drowsiness, speech disturbance, blurred vision, diplopia, impaired mentation, lethargy, abnormal coordination, stupor, hypotension, abdominal pain, agitation, dizziness and depression. The clinical consequences were not severe in most cases, but deaths have been reported after overdoses involving topiramate.

Topiramate overdose has resulted in severe metabolic acidosis [see Warnings and Precautions (5.4)] .

A patient who ingested a dose of immediate-release topiramate between 96 g and 110 g was admitted to a hospital with a coma lasting 20 to 24 hours followed by full recovery after 3 to 4 days.

Similar signs, symptoms, and clinical consequences are expected to occur with overdosage of topiramate extended-release. Therefore, in the event of topiramate extended-release overdose, topiramate extended-release should be discontinued and general supportive treatment given until clinical toxicity has been diminished or resolved.

Hemodialysis is an effective means of removing topiramate from the body.

11 Description

Topiramate, USP, is a sulfamate-substituted monosaccharide. Topiramate extended-release capsules are available as 25 mg, 50 mg, 100 mg, 150 mg, and 200 mg capsules for oral administration as whole capsules or opened and sprinkled onto a spoonful of soft food.

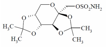
Topiramate is a white to off-white powder. Topiramate is freely soluble in polar organic solvents such as acetonitrile and acetone; and very slightly soluble to practically insoluble in non-polar organic solvents such as hexanes. Topiramate has the molecular formula C 12H 21NO 8S and a molecular weight of 339.4. Topiramate is designated chemically as 2,3:4,5-Di-O-isopropylidene-β-D-fructopyranose sulfamate and has the following structural formula:

Topiramate extended-release capsules contain beads of topiramate in a capsule. The inactive ingredients are microcrystalline cellulose, hypromellose 2910, ethylcellulose, diethyl phthalate.

In addition, the capsule shells for all strengths contain hypromellose 2910, titanium dioxide, black iron oxide, red iron oxide and/or yellow iron oxide, black pharmaceutical ink, and white pharmaceutical ink (200 mg only).

Meets USP Dissolution Test 2

7.6 Pioglitazone

A decrease in the exposure of pioglitazone and its active metabolites were noted with the concurrent use of pioglitazone and immediate-release topiramate in a clinical trial. The clinical relevance of these observations is unknown; however, when topiramate extended-release is added to pioglitazone therapy or pioglitazone is added to topiramate extended-release therapy, careful attention should be given to the routine monitoring of patients for adequate control of their diabetic disease state [see Clinical Pharmacology (12.3)] .

16.1 How Supplied

Topiramate extended-release capsules contain beads of topiramate in a capsule and are available in the following strengths and colors:

25 mg: light pink and grey capsules, printed with "UPSHER-SMITH" on the cap in black ink and "25 mg" on the body in black ink. 25 mg capsules are supplied in the following package configurations:

  • Bottles of 30 with desiccant and a child-resistant closure, NDC 0832-1071-30
  • Bottles of 90 with desiccant and a child-resistant closure, NDC 0832-1071-90

50 mg: golden yellow and grey capsules, printed with "UPSHER-SMITH" on the cap in black ink and "50 mg" on the body in black ink. 50 mg capsules are supplied in the following package configurations:

  • Bottles of 30 with desiccant and a child-resistant closure, NDC 0832-1072-30
  • Bottles of 90 with desiccant and a child-resistant closure, NDC 0832-1072-90

100 mg: reddish brown and grey capsules, printed with "UPSHER-SMITH" on the cap in black ink and "100 mg" on the body in black ink. 100 mg capsules are supplied in the following package configurations:

  • Bottles of 30 with desiccant and a child-resistant closure, NDC 0832-1074-30
  • Bottles of 90 with desiccant and a child-resistant closure, NDC 0832-1074-90

150 mg: pale yellow and grey capsules, printed with "UPSHER-SMITH" on the cap in black ink and "150 mg" on the body in black ink. 150 mg capsules are supplied in the following package configurations:

  • Bottles of 30 with desiccant and a child-resistant closure, NDC 0832-1075-30
  • Bottles of 90 with desiccant and a child-resistant closure, NDC 0832-1075-90

200 mg: brown and grey capsules, printed with "UPSHER-SMITH" on the cap in white ink and "200 mg" on the body in black ink. 200 mg capsules are supplied in the following package configurations:

  • Bottles of 30 with desiccant and a child-resistant closure, NDC 0832-1073-30
  • Bottles of 90 with desiccant and a child-resistant closure, NDC 0832-1073-90
7.8 Amitriptyline

Some patients may experience a large increase in amitriptyline concentration in the presence of topiramate extended-release and any adjustments in amitriptyline dose should be made according to the patient's clinical response and not on the basis of plasma levels [see Clinical Pharmacology (12.3)] .

8.5 Geriatric Use

Clinical studies of immediate-release topiramate did not include sufficient numbers of subjects age 65 and over to determine whether they respond differently than younger subjects. Dosage adjustment may be necessary for elderly with creatinine clearance less than 70 mL/min/1.73 m 2. Estimate GFR should be measured prior to dosing [see Dosage and Administration (2.3)and Clinical Pharmacology (12.3)] .

5.13 Kidney Stones

Topiramate increases the risk of kidney stones. During adjunctive epilepsy trials, the risk for kidney stones in immediate-release topiramate-treated adults was 1.5%, an incidence about 2 to 4 times greater than expected in a similar, untreated population. As in the general population, the incidence of stone formation among topiramate-treated patients was higher in men. Kidney stones have also been reported in pediatric patients taking topiramate for epilepsy or migraine. During long-term (up to 1 year) topiramate treatment in an open-label extension study of 284 pediatric patients 1 to 24 months old with epilepsy, 7% developed kidney or bladder stones. Topiramate is not approved for treatment of epilepsy in pediatric patients less than 2 years old [see Use in Specific Populations (8.4)] .

Topiramate is a carbonic anhydrase inhibitor. Carbonic anhydrase inhibitors can promote stone formation by reducing urinary citrate excretion and by increasing urinary pH [see Warnings and Precautions (5.4)] . The concomitant use of topiramate extended-release with any other drug producing metabolic acidosis, or potentially in patients on a ketogenic diet, may create a physiological environment that increases the risk of kidney stone formation, and should therefore be avoided.

Increased fluid intake increases the urinary output, lowering the concentration of substances involved in stone formation. Hydration is recommended to reduce new stone formation.

An increase in urinary calcium and a marked decrease in urinary citrate was observed in immediate-release topiramate-treated pediatric patients in one-year active-controlled study [see Use in Specific Populations (8.4)] . This increased ratio of urinary calcium/citrate increases the risk of kidney stones and/or nephrocalcinosis.

5.7 Fetal Toxicity

Topiramate extended-release can cause fetal harm when administered to a pregnant woman. Data from pregnancy registries indicate that infants exposed to topiramate in uterohave an increased risk of major congenital malformation, including but not limited to cleft lip and/or cleft palate (oral clefts), and of being small for gestational age (SGA). When multiple species of pregnant animals received topiramate at clinically relevant doses, structural malformations, including craniofacial defects, and reduced fetal weights occurred in offspring [see Use in Specific Populations (8.1)] .

Consider the benefits and risks of topiramate extended-release when administering this drug in women of childbearing potential, particularly when topiramate extended-release is considered for a condition not usually associated with permanent injury or death [see Use in Specific Populations (8.1), Patient Counseling Information (17)] . Topiramate extended-release capsules should be used during pregnancy only if the potential benefit outweighs the potential risk. If this drug is used during pregnancy, or if the patient becomes pregnant while taking this drug, the patient should be informed of the potential hazard to a fetus [see Use in Specific Populations (8.1)] .

7.4 Contraceptives

The possibility of decreased contraceptive efficacy and increased breakthrough bleeding may occur in patients taking contraceptive products with topiramate extended-release. Patients taking estrogen-containing or progestin-only contraceptives should be asked to report any change in their bleeding patterns. Contraceptive efficacy can be decreased even in the absence of breakthrough bleeding [see Clinical Pharmacology (12.3)] .

4 Contraindications

None.

6 Adverse Reactions

The following serious adverse reactions are discussed in more detail in other sections of the labeling:

The data described in section 6.1 were obtained using immediate-release topiramate tablets.

7 Drug Interactions
  • Contraceptives: decreased contraceptive efficacy and increased breakthrough bleeding, especially at doses greater than 200 mg per day ( 7.4)
  • Monitor lithium levels if lithium is used with high-dose topiramate extended-release ( 7.7)

See 17 for PATIENT COUNSELING INFORMATION and Medication Guide.

7.3 Cns Depressants

Concomitant administration of topiramate and alcohol or other CNS depressant drugs has not been evaluated in clinical studies. Because of the potential of topiramate to cause CNS depression, as well as other cognitive and/or neuropsychiatric adverse reactions, topiramate extended-release capsules should be used with extreme caution if used in combination with alcohol and other CNS depressants.

8.6 Renal Impairment

The clearance of topiramate is reduced in patients with moderate (creatinine clearance 30 to 69 mL/min/1.73 m 2) and severe (creatinine clearance less than 30 mL/min/1.73 m 2) renal impairment. A dosage adjustment is recommended in patients with moderate or severe renal impairment [see Dosage and Administration (2.4)and Clinical Pharmacology (12.3)] .

12.2 Pharmacodynamics

Topiramate has anticonvulsant activity in rat and mouse maximal electroshock seizure (MES) tests. Topiramate is only weakly effective in blocking clonic seizures induced by the GABA-A receptor antagonist, pentylenetetrazole. Topiramate is also effective in rodent models of epilepsy, which include tonic and absence-like seizures in the spontaneous epileptic rat (SER) and tonic and clonic seizures induced in rats by kindling of the amygdala or by global ischemia.

Changes (increases and decreases) from baseline in vital signs (systolic blood pressure-SBP, diastolic blood pressure-DBP, pulse) occurred more frequently in pediatric patients (6 to 17 years) treated with various daily doses of topiramate (50 mg, 100 mg, 200 mg, 2 to 3 mg/kg) than in patients treated with placebo in controlled trials for the preventive treatment of migraine. The most notable changes were SBP < 90 mm Hg, DBP < 50 mm Hg, SBP or DBP increases or decreases ≥ 20 mm Hg, and pulse increases or decreases ≥ 30 beats per minute. These changes were often dose-related and were most frequently associated with the greatest treatment difference at the 200 mg dose level. Systematic collection of orthostatic vital signs has not been conducted. The clinical significance of these various changes in vital signs has not been clearly established.

12.3 Pharmacokinetics

Absorption and Distribution

The pharmacokinetics of topiramate extended-release are linear with dose proportional increases in plasma concentration when administered as a single oral dose over the range of 50 mg to 1,400 mg. At 25 mg, the pharmacokinetics of topiramate extended-release are nonlinear, possibly due to the binding of topiramate to carbonic anhydrase in red blood cells.

Topiramate extended-release capsules sprinkled on a spoonful of soft food is bioequivalent to the intact capsule formulation.

Following a single 200 mg oral dose of topiramate extended-release, peak plasma concentrations (Tmax) occurred approximately 20 hours after dosing. Steady-state was reached in about 5 days following daily dosing of topiramate extended-release in subjects with normal renal function, with a Tmax of approximately 6 hours.

At steady-state, the plasma exposure (AUC0–24hr, Cmax, and Cmin) of topiramate from topiramate extended-release administered once daily and the immediate-release topiramate tablets administered twice‑daily were shown to be bioequivalent. Fluctuation of topiramate plasma concentrations at steady-state for topiramate extended-release administered once daily was approximately 40% in healthy subjects, compared to approximately 53% for immediate-release topiramate [see Clinical Pharmacology (12.6)].

Compared to the fasted state, high-fat meal had no effect on bioavailability (AUC and Cmax) but delayed the Tmax by approximately 4 hours following a single dose of topiramate extended-release. Topiramate extended-release capsules can be taken without regard to meals.

Topiramate is 15% to 41% bound to human plasma proteins over the blood concentration range of 0.5 mcg/mL to 250 mcg/mL. The fraction bound decreased as blood concentration increased.

Carbamazepine and phenytoin do not alter the binding of immediate-release topiramate. Sodium valproate, at 500 mcg/mL (a concentration 5 to 10 times higher than considered therapeutic for valproate) decreased the protein binding of immediate-release topiramate from 23% to 13%. Immediate-release topiramate does not influence the binding of sodium valproate.

5.4 Metabolic Acidosis

Topiramate extended-release can cause hyperchloremic, non-anion gap, metabolic acidosis (i.e., decreased serum bicarbonate below the normal reference range in the absence of chronic respiratory alkalosis). This metabolic acidosis is caused by renal bicarbonate loss due to carbonic anhydrase inhibition by topiramate. Topiramate-induced metabolic acidosis can occur at any time during treatment. Bicarbonate decrements are usually mild to moderate (average decrease of 4 mEq/L at daily doses of 400 mg in adults and at approximately 6 mg/kg/day in pediatric patients); rarely, patients can experience severe decrements to values below 10 mEq/L. Conditions or therapies that predispose patients to acidosis (such as renal disease, severe respiratory disorders, status epilepticus, diarrhea, ketogenic diet or specific drugs) may be additive to the bicarbonate lowering effects of topiramate extended-release capsules.

Metabolic acidosis was commonly observed in adult and pediatric patients treated with immediate-release topiramate in clinical trials. The incidence of decreased serum bicarbonate in pediatric trials, for adjunctive treatment of Lennox-Gastaut syndrome or refractory partial-onset seizures was as high as 67% for immediate-release topiramate (at approximately 6 mg/kg/day), and 10% for placebo. The incidence of a markedly abnormally low serum bicarbonate (i.e., absolute value < 17 mEq/L and >5 mEq/L decrease from pretreatment) in these trials was up to 11%, compared to ≤ 2% for placebo.

Manifestations of acute or chronic metabolic acidosis may include hyperventilation, nonspecific symptoms such as fatigue and anorexia, or more severe sequelae including cardiac arrhythmias or stupor. Chronic, untreated metabolic acidosis may increase the risk for nephrolithiasis or nephrocalcinosis and may also result in osteomalacia (referred to as rickets in pediatric patients) and/or osteoporosis with an increased risk for fractures [see Warnings and Precautions (5.9, 5.13)]. A one-year, active-controlled study of pediatric patients treated with immediate-release topiramate demonstrated that topiramate decreased lumbar spine bone mineral density and that this lumbar spine bone mineral density decrease was correlated (using change from baseline for lumbar spine Z score at final visit versus lowest post-treatment serum bicarbonate) with decreased serum bicarbonate, a reflection of metabolic acidosis [see Warnings and Precautions (5.9), Use in Specific Populations (8.4)] . Chronic metabolic acidosis in pediatric patients may also reduce growth rates, which may decrease the maximal height achieved. Long-term, open-label treatment of pediatric patients 1 to 24 months old with intractable partial epilepsy, for up to 1 year, showed reductions from baseline in length, weight, and head circumference compared to age and sex-matched normative data, although these patients with epilepsy are likely to have different growth rates than normal 1 to 24-month old patients. Reductions in length and weight were correlated to the degree of acidosis [see Use in Specific Populations (8.4)] . Topiramate extended-release treatment that causes metabolic acidosis during pregnancy can possibly produce adverse effects on the fetus and might also cause metabolic acidosis in the neonate from possible transfer of topiramate to the fetus [see Warnings and Precautions (5.7), Use in Specific Populations (8.1)] .

1 Indications and Usage

1.1 Monotherapy Epilepsy

Topiramate extended-release capsules are indicated as initial monotherapy for the treatment of partial-onset or primary generalized tonic-clonic seizures in patients 2 years of age and older.

1.2 Adjunctive Therapy Epilepsy

Topiramate extended-release capsules are indicated as adjunctive therapy for the treatment of partial-onset seizures, primary generalized tonic-clonic seizures, and seizures associated with Lennox-Gastaut Syndrome in patients 2 years of age and older.

1.3 Migraine

Topiramate extended-release capsules are indicated for the preventive treatment of migraine in patients 12 years of age and older.

7.1 Antiepileptic Drugs

Concomitant administration of phenytoin or carbamazepine with topiramate resulted in a clinically significant decrease in plasma concentrations of topiramate when compared to topiramate given alone. A dosage adjustment may be needed [see Clinical Pharmacology (12.3)] .

Concomitant administration of valproic acid and topiramate has been associated with hypothermia and hyperammonemia with and without encephalopathy. Examine blood ammonia levels in patients in whom the onset of hypothermia has been reported [see Warnings and Precautions (5.12, 5.14), Clinical Pharmacology (12.3)] .

12 Clinical Pharmacology

12.1 Mechanism of Action

The precise mechanisms by which topiramate exerts its anticonvulsant and preventive migraine effects are unknown; however, preclinical studies have revealed four properties that may contribute to topiramate’s efficacy for epilepsy and the preventive treatment of migraine. Electrophysiological and biochemical evidence suggests that topiramate, at pharmacologically relevant concentrations, blocks voltage-dependent sodium channels, augments the activity of the neurotransmitter gamma-aminobutyrate at some subtypes of the GABA‑A receptor, antagonizes the AMPA/kainate subtype of the glutamate receptor, and inhibits the carbonic anhydrase enzyme, particularly isozymes II and IV.

5.2 Visual Field Defects

Visual field defects (independent of elevated intraocular pressure) have been reported in clinical trials and in postmarketing experience in patients receiving topiramate independent of elevated intraocular pressure. In clinical trials, most of these events were reversible after topiramate discontinuation. If visual problems occur at any time during treatment with topiramate, consideration should be given to discontinuing the drug.

16.2 Storage and Handling

Topiramate extended-release capsules should be stored in a tightly closed container at 20°C to 25°C (68°F to 77°F); excursions permitted to 15°C to 30°C (59°F to 86°F) [See USP Controlled Room Temperature]. Protect from moisture.

5 Warnings and Precautions
  • Acute myopia and secondary angle closure glaucoma: can lead to permanent visual loss; discontinue topiramate extended-release capsules as soon as possible ( 5.1)
  • Visual field defects; consider discontinuation of topiramate extended-release capsules ( 5.2)
  • Oligohydrosis and hyperthermia: monitor decreased sweating and increased body temperature, especially in pediatric patients ( 5.3)
  • Metabolic acidosis: baseline and periodic measurement of serum bicarbonate is recommended; consider dose reduction or discontinuation of topiramate extended-release capsules if clinically appropriate ( 5.4)
  • Suicidal behavior and ideation: antiepileptic drugs increase the risk of suicidal behavior or ideation ( 5.5)
  • Cognitive/neuropsychiatric adverse reactions: use caution when operating machinery including cars; depression and mood problems may occur ( 5.6)
  • Fetal Toxicity: use during pregnancy can cause major congenital malformations, including but not limited to cleft lip and/or palate, and being small for gestational age ( 5.7)
  • Withdrawal of AEDs: withdraw topiramate extended-release capsules gradually ( 5.8)
  • Decrease in Bone Mineral Density: has been shown to decrease bone mineral density and bone mineral content in pediatric patients ( 5.9)
  • Negative effects on growth (height and weight): may slow height increase and weight gain; carefully monitor children receiving prolonged therapy ( 5.10)
  • Serious skin reactions: If SJS or TEN is suspected, discontinue topiramate extended-release capsules ( 5.11)
  • Hyperammonemia/encephalopathy: measure ammonia if encephalopathic symptoms occur ( 5.12)
  • Kidney stones: avoid use with other carbonic anhydrase inhibitors, drugs causing metabolic acidosis, or in patients on a ketogenic diet ( 5.13)
  • Hypothermia has been reported with and without hyperammonemia during topiramate treatment with concomitant valproic acid use ( 5.14)
2 Dosage and Administration
  • Topiramate extended-release capsules initial dose, titration, and recommended maintenance dose varies by indication and age group. See Full Prescribing Information for recommended dosage, and dosing considerations in patients with renal impairment, geriatric patients, and patients undergoing hemodialysis ( 2.1, 2.2, 2.3, 2.4, 2.5, 2.6)
  • Capsules may be swallowed whole or opened and sprinkled on a spoonful of soft food ( 2.6).
5.11 Serious Skin Reactions

Serious skin reactions (Stevens-Johnson Syndrome [SJS] and Toxic Epidermal Necrolysis [TEN]) have been reported in patients receiving topiramate. Topiramate extended-release capsules should be discontinued at the first sign of a rash, unless the rash is clearly not drug-related. If signs or symptoms suggest SJS/TEN, use of this drug should not be resumed and alternative therapy should be considered. Inform patients about the signs of serious skin reactions.

3 Dosage Forms and Strengths

Topiramate extended-release capsules are available in the following strengths and colors:

  • 25 mg: light pink and grey capsules, printed with "UPSHER-SMITH" on the cap in black ink and "25 mg" on the body in black ink
  • 50 mg: golden yellow and grey capsules, printed with "UPSHER-SMITH" on the cap in black ink and "50 mg" on the body in black ink
  • 100 mg: reddish brown and grey capsules, printed with "UPSHER-SMITH" on the cap in black ink and "100 mg" on the body in black ink
  • 150 mg: pale yellow and grey capsules, printed with "UPSHER-SMITH" on the cap in black ink and "150 mg" on the body in black ink
  • 200 mg: brown and grey capsules, printed with "UPSHER-SMITH" on the cap in white ink and "200 mg" on the body in black ink
6.3 Postmarketing Experience

The following adverse reactions have been identified during post-approval use of immediate-release topiramate. Because these reactions are reported voluntarily from a population of uncertain size, it is not always possible to reliably estimate their frequency or establish a causal relationship to drug exposure.

Body as a Whole–General Disorders: oligohydrosis and hyperthermia [see Warnings and Precautions (5.3)] , hyperammonemia, hyperammonemic encephalopathy [see Warnings and Precautions (5.12)] , hypothermia with concomitant valproic acid [see Warnings and Precautions (5.14)]

Gastrointestinal System Disorders: hepatic failure (including fatalities), hepatitis, pancreatitis

Skin and Appendage Disorders: bullous skin reactions (including erythema multiforme, Stevens-Johnson syndrome, toxic epidermal necrolysis) [see Warnings and Precautions (5.11)] , pemphigus

Urinary System Disorders: kidney stones, nephrocalcinosis [see Warnings and Precautions (5.4, 5.13)]

Vision Disorders: acute myopia, secondary angle closure glaucoma [see Warnings and Precautions (5.1)] , maculopathy

Hematological Disorders: decrease of the International Normalized Ratio (INR) or prothrombin time when given concomitantly with Vitamin K antagonist anticoagulant medications such as warfarin.

7.5 Hydrochlorothiazide (hctz)

Topiramate C maxand AUC increased when HCTZ was added to immediate-release topiramate. The clinical significance of this change is unknown. The addition of HCTZ to topiramate extended-release may require a decrease in the topiramate extended-release dose [see Clinical Pharmacology (12.3)] .

2.6 Administration Instructions

Topiramate extended-release capsules may be swallowed whole or may be administered by carefully opening the capsule and sprinkling the entire contents on a small amount (teaspoon) of soft food. This drug/food mixture should be swallowed immediately and not chewed or crushed. It should not be stored for further use. Topiramate extended-release capsules can be taken without regard to meals [see Clinical Pharmacology (12.3)] .

17 Patient Counseling Information

Advise patients to read the FDA-approved patient labeling (Medication Guide).

5.3 Oligohydrosis and Hyperthermia

Oligohydrosis (decreased sweating), infrequently resulting in hospitalization in some cases, has been reported in association with topiramate use. Decreased sweating and an elevation in body temperature above normal characterized these cases. Some of the cases were reported after exposure to elevated environmental temperatures.

The majority of the reports have been in pediatric patients. Patients, (especially pediatric patients) treated with topiramate extended-release should be monitored closely for evidence of decreased sweating and increased body temperature, especially in hot weather. Caution should be used when topiramate extended-release capsules are prescribed with other drugs that predispose patients to heat-related disorders; these drugs include, but are not limited to, other carbonic anhydrase inhibitors and drugs with anticholinergic activity.

5.5 Suicidal Behavior and Ideation

Antiepileptic drugs (AEDs), including topiramate extended-release increase the risk of suicidal thoughts or behavior in patients taking these drugs for any indication. Patients treated with any AED for any indication should be monitored for the emergence or worsening of depression, suicidal thoughts or behavior, and/or any unusual changes in mood or behavior.

Pooled analyses of 199 placebo-controlled clinical trials (mono- and adjunctive therapy) of 11 different AEDs showed that patients randomized to one of the AEDs had approximately twice the risk (adjusted Relative Risk 1.8, 95% CI:1.2, 2.7) of suicidal thinking or behavior compared to patients randomized to placebo. In these trials, which had a median treatment duration of 12 weeks, the estimated incidence rate of suicidal behavior or ideation among 27,863 AED-treated patients was 0.43%, compared to 0.24% among 16,029 placebo-treated patients, representing an increase of approximately one case of suicidal thinking or behavior for every 530 patients treated. There were four suicides in drug-treated patients in the trials and none in placebo-treated patients, but the number is too small to allow any conclusion about drug effect on suicide.

The increased risk of suicidal thoughts or behavior with AEDs was observed as early as one week after starting drug treatment with AEDs and persisted for the duration of treatment assessed. Because most trials included in the analysis did not extend beyond 24 weeks, the risk of suicidal thoughts or behavior beyond 24 weeks could not be assessed.

The risk of suicidal thoughts or behavior was generally consistent among drugs in the data analyzed. The finding of increased risk with AEDs of varying mechanisms of action and across a range of indications suggests that the risk applies to all AEDs used for any indication. The risk did not vary substantially by age (5 to 100 years) in the clinical trials analyzed.

Table 4 shows absolute and relative risk by indication for all evaluated AEDs.

Table 4: Risk by Indication for Antiepileptic Drugs in the Pooled Analysis
Indication Placebo Patients with Events per 1,000 Patients Drug Patients with Events per 1,000 Patients Relative Risk: Incidence of Events in Drug Patients/ Incidence in Placebo Patients Risk Difference: Additional Drug Patients with Events per 1,000 Patients
Epilepsy 1.0 3.4 3.5 2.4
Psychiatric 5.7 8.5 1.5 2.9
Other 1.0 1.8 1.9 0.9
Total 2.4 4.3 1.8 1.9

The relative risk for suicidal thoughts or behavior was higher in clinical trials for epilepsy than in clinical trials for psychiatric or other conditions, but the absolute risk differences were similar for the epilepsy and psychiatric indications.

Anyone considering prescribing topiramate extended-release or any other AED must balance the risk of suicidal thoughts or behavior with the risk of untreated illness. Epilepsy and many other illnesses for which AEDs are prescribed are themselves associated with morbidity and mortality and an increased risk of suicidal thoughts and behavior. Should suicidal thoughts and behavior emerge during treatment, the prescriber needs to consider whether the emergence of these symptoms in any given patient may be related to the illness being treated.

5.9 Decrease in Bone Mineral Density

Results of a one-year active-controlled study in pediatric patients (N=63) demonstrated negative effects of immediate-release topiramate monotherapy on bone mineral acquisition via statistically significant decreases in bone mineral density (BMD) measured in lumbar spine and in total body less head [see Use in Specific Populations (8.4)] . Twenty-one percent of immediate-release topiramate-treated patients experienced clinically important reductions in BMD (Z score change from baseline of -0.5 or greater) compared to 0 patients in the control group. Although decreases in BMD occurred across all pediatric age subgroups, patients 6 to 9 years of age were most commonly affected. The sample size and study duration were too small to determine if fracture risk is increased. Decreased BMD in the lumbar spine was correlated with decreased serum bicarbonate, which commonly occurs with topiramate treatment and reflects metabolic acidosis, a known cause of increased bone resorption [see Warnings and Precautions (5.4)] . Although small decreases in some markers of bone metabolism (e.g., serum alkaline phosphatase, calcium, phosphorus, and 1,25-dihydroxyvitamin D) occurred in immediate-release topiramate-treated patients, more significant decreases in serum parathyroid hormone and 25-hydroxyvitamin D, hormones involved in bone metabolism, were observed, along with an increased excretion of urinary calcium.

8.7 Patients Undergoing Hemodialysis

Topiramate is cleared by hemodialysis at a rate that is 4 to 6 times greater than in a normal individual. A dosage adjustment may be required [see Dosage and Administration (2.5)and Clinical Pharmacology (12.3)] .

5.8 Withdrawal of Antiepileptic Drugs

In patients with or without a history of seizures or epilepsy, antiepileptic drugs, including topiramate extended-release, should be gradually withdrawn to minimize the potential for seizures or increased seizure frequency [see Clinical Studies (14)] . In situations where rapid withdrawal of topiramate extended-release is medically required, appropriate monitoring is recommended.

7.2 Other Carbonic Anhydrase Inhibitors

Concomitant use of topiramate, a carbonic anhydrase inhibitor, with any other carbonic anhydrase inhibitor (e.g., zonisamide or acetazolamide) may increase the severity of metabolic acidosis and may also increase the risk of kidney stone formation. Patients should be monitored for the appearance or worsening of metabolic acidosis when topiramate extended-release is given concomitantly with another carbonic anhydrase inhibitor [see Clinical Pharmacology (12.3)] .

2.4 Dosing in Patients With Renal Impairment

In patients with renal impairment (creatinine clearance less than 70 mL/min/1.73 m 2), one-half of the usual adult dose of topiramate extended-release capsules are recommended [see Use in Specific Populations (8.5, 8.6), Clinical Pharmacology (12.3)] .

2.5 Dosing in Patients Undergoing Hemodialysis

To avoid rapid drops in topiramate plasma concentration during hemodialysis, a supplemental dose of topiramate extended-release capsules may be required. The actual adjustment should take into account 1) the duration of dialysis period, 2) the clearance rate of the dialysis system being used, and 3) the effective renal clearance of topiramate in the patient being dialyzed [see Use in Specific Populations (8.7), Clinical Pharmacology (12.3)] .

5.6 Cognitive/neuropsychiatric Adverse Reactions

Immediate-release topiramate can cause cognitive/neuropsychiatric adverse reactions and therefore these are expected to be caused by topiramate extended-release. The most frequent of these can be classified into three general categories: 1) Cognitive-related dysfunction (e.g., confusion, psychomotor slowing, difficulty with concentration/attention, difficulty with memory, speech or language problems, particularly word-finding difficulties); 2) Psychiatric/behavioral disturbances (e.g., depression or mood problems); and 3) Somnolence or fatigue.

2.3 Dosing for the Preventive Treatment of Migraine

The recommended total daily dose of topiramate extended-release capsules as treatment for the preventive treatment of migraine in patients 12 years of age and older is 100 mg once daily. The recommended titration rate for topiramate extended-release capsules for the preventive treatment of migraine is as follows:

Table 3: Preventive Treatment of Migraine Titration Schedule for Patients 12 Years of Age and Older
Topiramate Extended-Release Once Daily Dose
Week 1 25 mg
Week 2 50 mg
Week 3 75 mg
Week 4 100 mg

Dose and titration rate should be guided by clinical outcome. If required, longer intervals between dose adjustment can be used.

5.10 Negative Effects On Growth (height and Weight)

Results of a one-year active-controlled study of pediatric patients (N=63) demonstrated negative effects of immediate-release topiramate monotherapy on growth (i.e., height and weight) [see Use in Specific Populations (8.4)] . Although continued growth was observed in both treatment groups, the immediate-release topiramate group showed statistically significant reductions in mean annual change from baseline in body weight compared to the control group. A similar trend of attenuation in height velocity and height change from baseline was also observed in the immediate-release topiramate group compared to the control group. Negative effects on weight and height were seen across all topiramate age subgroups. Growth (height and weight) of children receiving prolonged topiramate extended-release capsules therapy should be carefully monitored.

5.14 Hypothermia With Concomitant Valproic Acid Use

Hypothermia, defined as a drop-in body core temperature to <35°C (95°F), has been reported in association with topiramate use with concomitant valproic acid both in conjunction with hyperammonemia and in the absence of hyperammonemia. This adverse reaction in patients using concomitant topiramate and valproate can occur after starting topiramate treatment or after increasing the daily dose of topiramate [see Drug Interactions (7.1)] . Consideration should be given to stopping topiramate extended-release or valproate in patients who develop hypothermia, which may be manifested by a variety of clinical abnormalities including lethargy, confusion, coma, and significant alterations in other major organ systems such as the cardiovascular and respiratory systems. Clinical management and assessment should include examination of blood ammonia levels.

Principal Display Panel 25 Mg Capsule Bottle Label

NDC 0832-1071-30

Once-Daily Dosing

Topiramate Extended-

Release Capsules

PHARMACIST: Dispense the

Medication Guide provided

separately to each patient.

25 mg

30 Capsules

Rx only

Principal Display Panel 50 Mg Capsule Bottle Label

NDC 0832-1072-30

Once-Daily Dosing

Topiramate Extended-

Release Capsules

50 mg

PHARMACIST: Dispense the Medication

Guide provided separately to each patient.

30 Capsules

Rx only

Principal Display Panel 100 Mg Capsule Bottle Label

NDC 0832-1074-30

Once-Daily Dosing

Topiramate

Extended-Release

Capsules

100 mg

PHARMACIST: Dispense the Medication

Guide provided separately to each patient.

30 Capsules

Rx only

Principal Display Panel 150 Mg Capsule Bottle Label

NDC 0832-1075-30

Once-Daily Dosing

Topiramate

Extended-Release

Capsules

150 mg

PHARMACIST: Dispense the Medication

Guide provided separately to each patient.

30 Capsules

Rx only

Principal Display Panel 200 Mg Capsule Bottle Label

NDC 0832-1073-30

Once-Daily Dosing

Topiramate

Extended-Release

Capsules

200 mg

PHARMACIST: Dispense the Medication

Guide provided separately to each patient.

30 Capsules

Rx only

5.1 Acute Myopia and Secondary Angle Closure Glaucoma Syndrome

A syndrome consisting of acute myopia associated with secondary angle closure glaucoma has been reported in patients receiving topiramate. Symptoms include acute onset of decreased visual acuity and/or ocular pain. Ophthalmologic findings can include some or all of the following: myopia, mydriasis, anterior chamber shallowing, ocular hyperemia (redness), choroidal detachments, retinal pigment epithelial detachments, macular striae, and increased intraocular pressure. This syndrome may be associated with supraciliary effusion resulting in anterior displacement of the lens and iris, with secondary angle closure glaucoma. Symptoms typically occur within 1 month of initiating topiramate therapy. In contrast to primary narrow angle glaucoma, which is rare under 40 years of age, secondary angle closure glaucoma associated with topiramate has been reported in pediatric patients as well as adults. The primary treatment to reverse symptoms is discontinuation of topiramate extended-release capsules as rapidly as possible, according to the judgment of the treating physician. Other measures, in conjunction with discontinuation of topiramate extended-release, may be helpful.

Elevated intraocular pressure of any etiology, if left untreated, can lead to serious sequelae including permanent vision loss.

6.2 Clinical Trials Experience With Topiramate Extended Release

Because clinical trials are conducted under widely varying conditions, adverse reaction rates observed in the clinical trials of a drug cannot be directly compared to rates in the clinical trials of another drug and may not reflect the rates observed in clinical practice. In the topiramate extended-release study, a dose of 200 mg per day was administered to a limited number of patients; therefore, these results cannot be directly compared to immediate-release topiramate experience.

The safety data presented below are from 249 patients with partial epilepsy on concomitant AEDs who participated in the topiramate extended-release study [see Clinical Studies (14.4)] .

Table 10 displays the incidence of adverse reactions that occurred in ≥2% of patients and numerically greater than placebo.

Table 10: Incidence (≥2%) of Adverse Reactions in Placebo-Controlled Adjunctive Therapy Clinical Trial in Patients With Partial-Onset Seizures
Body System/

Adverse Reaction
Placebo

(N=125)
Topiramate Extended-Release

200 mg

(N=124)
General Disorders
Fatigue 5 6
Asthenia 1 2
Irritability 1 2
Nervous System Disorders
Somnolence 2 12
Dizziness 6 7
Paresthesia 2 7
Aphasia 0 2
Dysarthria 1 2
Memory impairment 1 2
Psychiatric Disorder
Psychomotor retardation 0 2
Cardiovascular Disorders, General
Hypertension 1 3
Metabolic and Nutritional Disorders
Weight decrease 0 7
Decreased appetite 2 4
Anorexia 1 2

In the controlled clinical study using topiramate extended-release, 8.9% of patients who received topiramate extended-release and 4.0% who received placebo discontinued as a result of adverse reactions.

6.1 Clinical Trials Experience With Immediate Release Topiramate

Because clinical trials are conducted under widely varying conditions, adverse reaction rates observed in the clinical trials of a drug cannot be directly compared to rates in the clinical trials of another drug and may not reflect the rates observed in clinical practice.

5.12 Hyperammonemia and Encephalopathy (without and With Concomitant Valproic Acid Use)

Topiramate treatment can cause hyperammonemia with or without encephalopathy [see Adverse Reactions (6.2)] . The risk for hyperammonemia with topiramate appears dose-related. Hyperammonemia has been reported more frequently when topiramate is used concomitantly with valproic acid. Post-marketing cases of hyperammonemia with or without encephalopathy have been reported with topiramate and valproic acid in patients who previously tolerated either drug alone [see Drug Interactions (7.1)] .

Clinical symptoms of hyperammonemic encephalopathy often include acute alterations in level of consciousness and/or cognitive function with lethargy and/or vomiting. In most cases, hyperammonemic encephalopathy abated with discontinuation of treatment.

The incidence of hyperammonemia in pediatric patients 12 to 17 years of age in the preventive treatment of migraine trials was 26% in patients taking topiramate monotherapy at 100 mg/day, and 14% in patients taking topiramate at 50 mg/day, compared to 9% in patients taking placebo. There was also an increased incidence of markedly increased hyperammonemia at the 100 mg dose.

Dose-related hyperammonemia was also seen in pediatric patients 1 to 24 months of age treated with topiramate and concomitant valproic acid for partial-onset epilepsy and this was not due to a pharmacokinetic interaction.

In some patients, hyperammonemia can be asymptomatic.

14.4 Extended Release: Adjunctive Therapy in Adult Patients With Partial Onset Seizures With Topiramate

The effectiveness of topiramate extended-release as an adjunctive treatment for adults (18 to 75 years of age) was evaluated in a randomized, international, multi-center, double-blind, parallel-group, placebo-controlled trial in patients with a history of partial-onset seizures, with or without secondary generalization (Study 14).

Patients with partial-onset seizures on a stable dose of 1 to 3 AEDs entered into an 8-week baseline period. Patients who experienced at least 8 partial onset seizures, with or without secondary generalization, and no more than 21 consecutive seizure free days during the 8-week baseline phase were randomly assigned to placebo or topiramate extended-release administered once daily in addition to their concomitant AEDs. Following randomization, 249 patients began the double-blind treatment phase, which consisted of an initial 3-week titration period followed by an 8-week maintenance period. During the titration period, patients received topiramate extended-release or placebo beginning at 50 mg once daily; the dose was increased at weekly intervals by 50 mg once daily, or the placebo equivalent, until a final dose of 200 mg once daily was achieved. Patients then entered the maintenance period at the assigned dose of 200 mg once daily, or its placebo equivalent.

The percent reduction in the frequency of partial-onset seizure, baseline period compared to the treatment phase, was the primary endpoint. Data was analyzed by the Wilcoxon rank-sum test, with the criteria of statistical significance of p<0.05. The results of the analysis are presented in Table 15. The median percent reduction in seizure rate was 39.5% in patients taking topiramate extended-release (N=124) and 21.7% in patients taking placebo (N=125). This difference was statistically significant.

Table 15: Percent Reduction From Baseline in Partial-Onset Seizure Frequency During 11-week Treatment Period in Study 14
Study End Point Topiramate extended-release

(N=124)
Placebo

(N=125)
Median Percent Reduction from Baseline
Statistically Significant by the Wilcoxon rank-sum test
39.5% 21.7%

Figure 2 shows the change from baseline during titration plus maintenance (11 weeks) in partial-onset seizure frequency by category for patients treated with topiramate extended-release and placebo. Patients in whom the seizure frequency increased are shown as "worse." Patients in whom the seizure frequency decreased are shown in four categories of reduction in seizure frequency.

Figure 2: Proportion of Patients by Category of Seizure Response to Topiramate Extended-Release Capsules and Placebo

12.6 Relative Bioavailability of Topiramate Extended Release Capsules Compared to Immediate Release Topiramate in Healthy Volunteers

Topiramate extended-release capsules, taken once daily, provides similar steady-state topiramate concentrations to immediate-release topiramate taken every 12 hours, when administered at the same total daily dose. In a healthy volunteer, multiple-dose crossover study, the 90% CI for the ratios of AUC 0–24, C maxand C min, as well as partial AUC (the area under the concentration-time curve from time 0 to time p (post dose)) for multiple time points were within the 80% to 125% bioequivalence limits, indicating no clinically significant difference between the two formulations. In addition, the 90% CI for the ratios of topiramate plasma concentration at each of multiple time points over 24 hours for the two formulations were within the 80% to 125% bioequivalence limits, except for the initial time points before 3 hours and at 8 hours post-dose, which is not expected to have a significant clinical impact.

The effects of switching between topiramate extended-release capsules and immediate-release topiramate were also evaluated in the same multiple-dose, crossover, comparative bioavailability study. In healthy subjects switched from immediate-release topiramate given every 12 hours to topiramate extended-release capsules given once daily, similar concentrations were maintained immediately after the formulation switch. On the first day following the switch, there were no significant differences in AUC 0–24, C max, and C min, as the 90% CI for the ratios were contained within the 80% to 125% equivalence limits.

14.1 Extended Release: Bridging Study to Demonstrate Pharmacokinetic Equivalence Between Extended Release and Immediate Release Topiramate Formulations

Although a controlled clinical trial was performed (Study 14) [see Clinical Studies (14.4)] , the basis for approval of the extended-release formulation included the studies described below using an immediate-release formulation [see Clinical Studies (14.2, 14.3, 14.5)] and the demonstration of the pharmacokinetic equivalence of topiramate extended-release to immediate-release topiramate through the analysis of concentrations and cumulative AUCs at multiple time points [see Clinical Pharmacology (12.6)] .


Structured Label Content

Section 42229-5 (42229-5)

Adults and Pediatric Patients 10 Years of Age and Older

The recommended dose for topiramate extended-release capsules monotherapy in adults and pediatric patients 10 years of age and older is 400 mg orally once daily. Titrate topiramate extended-release capsules according to the following schedule (see Table 1).

Table 1: Monotherapy Titration Schedule for Adults and Pediatric Patients 10 Years of Age and Older
Topiramate Extended-Release Once Daily Dose
Week 1 50 mg
Week 2 100 mg
Week 3 150 mg
Week 4 200 mg
Week 5 300 mg
Week 6 400 mg
Section 42231-1 (42231-1)
MEDICATION GUIDE

Topiramate (toe pir′ a mate)

Extended-Release Capsules, for oral use
This Medication Guide has been approved by the U.S. Food and Drug Administration. Revised: 4/2025
What is the most important information I should know about topiramate extended-release capsules?

Topiramate extended-release capsules may cause eye problems.Serious eye problems include:
  • any sudden decrease in vision with or without eye pain and redness,
  • a blockage of fluid in the eye causing increased pressure in the eye (secondary angle closure glaucoma).


These eye problems can lead to permanent loss of vision if not treated. You should call your healthcare provider right away if you have any new eye symptoms, including any new problems with your vision.

Topiramate extended-release capsules may cause decreased sweating and increased body temperature (fever).People, especially children, should be watched for signs of decreased sweating and fever, especially in hot temperatures. Some people may need to be hospitalized for this condition. If you have a high fever, a fever that does not go away, or decreased sweating develops, call your healthcare provider right away.

Topiramate extended-release capsules can increase the level of acid in your blood (metabolic acidosis).If left untreated, metabolic acidosis can cause brittle or soft bones (osteoporosis, osteomalacia, osteopenia), kidney stones, can slow the rate of growth in children, and may possibly harm your baby if you are pregnant. Metabolic acidosis can happen with or without symptoms. Sometimes people with metabolic acidosis will:
  • feel tired
  • not feel hungry (loss of appetite)
  • feel changes in heartbeat
  • have trouble thinking clearly


Your healthcare provider should do a blood test to measure the level of acid in your blood before and during your treatment with topiramate extended-release capsules.

If you are pregnant, you should talk to your healthcare provider about whether you have metabolic acidosis.

Like other antiepileptic drugs, topiramate extended-release capsules may cause suicidal thoughts or actions in a very small number of people, about 1 in 500.

Call a healthcare provider right away if you have any of these symptoms, especially if they are new, worse, or worry you:
  • thoughts about suicide or dying
  • attempts to commit suicide
  • new or worse depression
  • new or worse anxiety
  • feeling agitated or restless
  • panic attacks
  • trouble sleeping (insomnia)
  • new or worse irritability
  • acting aggressive, being angry, or violent
  • acting on dangerous impulses
  • an extreme increase in activity and talking (mania)
  • other unusual changes in behavior or mood
Do not stop topiramate extended-release capsules without first talking to a healthcare provider.
  • Stopping topiramate extended-release capsules suddenly can cause serious problems.
  • Suicidal thoughts or actions can be caused by things other than medicines. If you have suicidal thoughts or actions, your healthcare provider may check for other causes.


How can I watch for early symptoms of suicidal thoughts and actions?
  • Pay attention to any changes, especially sudden changes, in mood, behaviors, thoughts, or feelings.
  • Keep all follow-up visits with your healthcare provider as scheduled.
  • Call your healthcare provider between visits as needed, especially if you are worried about symptoms.


Topiramate extended-release capsules can harm your unborn baby.
  • If you take topiramate extended-release capsules during pregnancy, your baby has a higher risk for birth defects including cleft lip and cleft palate. These defects can begin early in pregnancy, even before you know you are pregnant.
  • Birth defects may happen even in children born to women who are not taking any medicines and do not have other risk factors.
  • There may be other medicines to treat your condition that have a lower chance of birth defects.
  • All women of childbearing age should talk to their healthcare providers about using other possible treatments instead of topiramate extended-release capsules. If the decision is made to use topiramate extended-release capsules, you should use effective birth control (contraception) unless you are planning to become pregnant. You should talk to your healthcare provider about the best kind of birth control to use while you are taking topiramate extended-release capsules.
  • Tell your healthcare provider right away if you become pregnant while taking topiramate extended-release capsules. You and your healthcare provider should decide if you will continue to take topiramate extended-release capsules while you are pregnant.
  • If you take topiramate extended-release capsules during pregnancy, your baby may be smaller than expected at birth. The long-term effects of this are not known. Talk to your healthcare provider if you have any questions about this risk during pregnancy.
  • Metabolic acidosis may have harmful effects on your baby. Talk to your healthcare provider if topiramate extended-release capsules has caused metabolic acidosis during your pregnancy.
  • Pregnancy Registry: If you become pregnant while taking topiramate extended-release capsules, talk to your healthcare provider about registering with the North American Antiepileptic Drug Pregnancy Registry. You can enroll in this registry by calling 1-888-233-2334. The purpose of this registry is to collect information about the safety of topiramate extended-release capsules and other antiepileptic drugs during pregnancy.
Topiramate extended-release capsules may decrease the density of bones when used over a long period.

Topiramate extended-release capsules may slow height increase and weight gain in children and adolescents when used over a long period.
What is topiramate extended-release capsules?

Topiramate extended-release capsules is a prescription medicine used:
  • to treat certain types of seizures (partial-onset seizures and primary generalized tonic-clonic seizures) in adults and children 2 years of age and older,
  • with other medicines to treat certain types of seizures (partial-onset seizures, primary generalized tonic-clonic seizures, and seizures associated with Lennox-Gastaut syndrome) in adults and children 2 years of age and older,
  • to prevent migraine headaches in adults and adolescents 12 years of age and older.
What should I tell my healthcare provider before taking topiramate extended-release capsules?

Before taking topiramate extended-release capsules, tell your healthcare provider about all of your medical conditions, including if you:
  • have or have had depression, mood problems or suicidal thoughts or behavior
  • have kidney problems, kidney stones or are getting kidney dialysis
  • have a history of metabolic acidosis (too much acid in the blood)
  • have liver problems
  • have weak, brittle or soft bones (osteomalacia, osteoporosis, osteopenia, or decreased bone density)
  • have lung or breathing problems
  • have eye problems, especially glaucoma
  • have diarrhea
  • have a growth problem
  • are on a diet high in fat and low in carbohydrates, which is called a ketogenic diet
  • are having surgery
  • are pregnant or plan to become pregnant
  • are breastfeeding or plan to breastfeed. Topiramate extended-release passes into breast milk. Breastfed babies may be sleepy or have diarrhea. It is not known if the topiramate extended-release that passes into breast milk can cause other serious harm to your baby. Talk to your healthcare provider about the best way to feed your baby if you take topiramate extended-release capsules.


Tell your healthcare provider about all the medicines you take, including prescription and over-the-counter medicines, vitamins, and herbal supplements. Topiramate extended-release capsules and other medicines may affect each other causing side effects.

Especially tell your healthcare provider if you take:
  • Valproic acid (such as DEPAKENE ®or DEPAKOTE ®)
  • any medicines that impair or decrease your thinking, concentration, or muscle coordination
  • birth control that contains hormones (such as pills, implants, patches or injections). Topiramate extended-release capsules may make your birth control less effective. Tell your healthcare provider if your menstrual bleeding changes while you are using birth control and topiramate extended-release capsules.


Ask your healthcare provider if you are not sure if your medicine is listed above.

Know the medicines you take. Keep a list of them to show your healthcare provider and pharmacist each time you get a new medicine. Do not start a new medicine without talking with your healthcare provider.
How should I take topiramate extended-release capsules?
  • Take topiramate extended-release capsules exactly as your healthcare provider tells you to.
  • Your healthcare provider may change your dose. Do notchange your dose without talking to your healthcare provider.
  • Topiramate extended-release capsules may be swallowed whole or, if you cannot swallow the capsule whole, you may carefully open the topiramate extended-release capsules and sprinkle the medicine on a spoonful of soft food like applesauce.
    • Swallow the food and medicine mixture right away. Do notstore the food and medicine mixture to use later.
    • Do not crush or chew topiramate extended-release capsules before swallowing.
  • Drink plenty fluids during the day. This may help prevent kidney stones while taking topiramate extended-release capsules.
  • If you take too much topiramate extended-release capsules, call your healthcare provider right away or go to the nearest emergency room.
  • Topiramate extended-release capsules can be taken before, during, or after a meal.
  • If you miss a single dose of topiramate extended-release capsules, take it as soon as you can. If you have missed more than one dose, you should call your healthcare provider for advice.
  • Do not stop taking topiramate extended-release capsules without talking to your healthcare provider. Stopping topiramate extended-release capsules suddenly may cause serious problems. If you have epilepsy and you stop taking topiramate extended-release capsules suddenly, you may have seizures that do not stop. Your healthcare provider will tell you how to stop taking topiramate extended-release capsules slowly.
  • Your healthcare provider may do blood tests while you take topiramate extended-release capsules.
What should I avoid while taking topiramate extended-release capsules?
  • You should not drink alcohol while taking topiramate extended-release capsules. Topiramate extended-release capsules and alcohol can affect each other causing side effects such as sleepiness and dizziness.
  • Do not drive a car or operate machinery until you know how topiramate extended-release capsules affects you. Topiramate extended-release capsules can slow your thinking and motor skills and may affect vision.
What are the possible side effects of topiramate extended-release capsules?

Topiramate extended-release capsules may cause serious side effects, including:

See " What is the most important information I should know about topiramate extended-release capsules?"
  • High blood ammonia levels.High ammonia in the blood can affect your mental activities, slow your alertness, make you feel tired, or cause vomiting. This has happened when topiramate extended-release is taken with a medicine called valproic acid (DEPAKENE ®and DEPAKOTE ®).
  • Kidney stones.Drink plenty of fluids when taking topiramate extended-release capsules to decrease your chances of getting kidney stones.
  • Low body temperature.Taking topiramate extended-release capsules when you are also taking valproic acid can cause a drop in body temperature to less than 95°F, or can cause tiredness, confusion, or coma.
  • Effects on thinking and alertness.Topiramate extended-release capsules may affect how you think, and cause confusion, problems with concentration, attention, memory, or speech. Topiramate extended-release capsules may cause depression or mood problems, tiredness, and sleepiness.
  • Dizziness or loss of muscle coordination.
  • Serious skin reactions.Topiramate extended-release capsules may cause a severe rash with blisters and peeling skin, especially around the mouth, nose, eyes, and genitals (Stevens-Johnson syndrome). Topiramate extended-release capsules may also cause a rash with blisters and peeling skin over much of the body that may cause death (toxic epidermal necrolysis). Call your healthcare provider right away if you develop a skin rash or blisters.


Call your healthcare provider right away if you have any of the symptoms above.

The most common side effects of topiramate extended-release capsules include:
  • tingling of the arms and legs (paresthesia)
  • not feeling hungry
  • weight loss
  • nervousness
  • nausea
  • speech problems
  • tiredness
  • dizziness
  • sleepiness/drowsiness
  • a change in the way foods taste
  • upper respiratory tract infection
  • decreased feeling or sensitivity, especially in the skin
  • slow reactions
  • difficulty with memory
  • fever
  • abnormal vision
  • diarrhea
  • pain in the abdomen
Tell your healthcare provider about any side effect that bothers you or that does not go away.

These are not all the possible side effects of topiramate extended-release capsules. For more information, ask your healthcare provider or pharmacist.

Call your doctor for medical advice about side effects. You may report side effects to FDA at 1-800-FDA-1088.
You may also report side effects to Upsher-Smith Laboratories, LLC at 1-855-899-9180.
How should I store topiramate extended-release capsules?
  • Store topiramate extended-release capsules at room temperature between 68°F to 77°F (20°C to 25°C).
  • Keep topiramate extended-release capsules in a tightly closed container.
  • Keep topiramate extended-release capsules dry and away from moisture.
  • Keep topiramate extended-release capsules and all medicines out of the reach of children.
General information about the safe and effective use of topiramate extended-release capsules.

Medicines are sometimes prescribed for purposes other than those listed in a Medication Guide. Do not use topiramate extended-release capsules for a condition for which it was not prescribed. Do not give topiramate extended-release capsules to other people, even if they have the same symptoms that you have. It may harm them. You can ask your pharmacist or healthcare provider for information about topiramate extended-release capsules that is written for health professionals.
What are the ingredients in topiramate extended-release capsules?

Active ingredient:topiramate

Inactive ingredients:microcrystalline cellulose, hypromellose 2910, ethylcellulose, diethyl phthalate, titanium dioxide, black iron oxide, red iron oxide and/or yellow iron oxide, black pharmaceutical ink, and white pharmaceutical ink (200 mg only).

Manufactured for: UPSHER-SMITH LABORATORIES, LLC, Maple Grove, MN 55369

All trademarks are property of their respective owners.

This product may be covered by one or more U.S. patent(s). See www.uslpatents.com.

For more information, go to www.upsher-smith.com or call UPSHER-SMITH LABORATORIES, LLC at 1-888-650-3789.
7.7 Lithium

An increase in systemic exposure of lithium following topiramate doses of up to 600 mg/day can occur. Lithium levels should be monitored when co-administered with high-dose topiramate [see Clinical Pharmacology (12.3)] .

10 Overdosage (10 OVERDOSAGE)

Overdoses of topiramate have been reported. Signs and symptoms included convulsions, drowsiness, speech disturbance, blurred vision, diplopia, impaired mentation, lethargy, abnormal coordination, stupor, hypotension, abdominal pain, agitation, dizziness and depression. The clinical consequences were not severe in most cases, but deaths have been reported after overdoses involving topiramate.

Topiramate overdose has resulted in severe metabolic acidosis [see Warnings and Precautions (5.4)] .

A patient who ingested a dose of immediate-release topiramate between 96 g and 110 g was admitted to a hospital with a coma lasting 20 to 24 hours followed by full recovery after 3 to 4 days.

Similar signs, symptoms, and clinical consequences are expected to occur with overdosage of topiramate extended-release. Therefore, in the event of topiramate extended-release overdose, topiramate extended-release should be discontinued and general supportive treatment given until clinical toxicity has been diminished or resolved.

Hemodialysis is an effective means of removing topiramate from the body.

11 Description (11 DESCRIPTION)

Topiramate, USP, is a sulfamate-substituted monosaccharide. Topiramate extended-release capsules are available as 25 mg, 50 mg, 100 mg, 150 mg, and 200 mg capsules for oral administration as whole capsules or opened and sprinkled onto a spoonful of soft food.

Topiramate is a white to off-white powder. Topiramate is freely soluble in polar organic solvents such as acetonitrile and acetone; and very slightly soluble to practically insoluble in non-polar organic solvents such as hexanes. Topiramate has the molecular formula C 12H 21NO 8S and a molecular weight of 339.4. Topiramate is designated chemically as 2,3:4,5-Di-O-isopropylidene-β-D-fructopyranose sulfamate and has the following structural formula:

Topiramate extended-release capsules contain beads of topiramate in a capsule. The inactive ingredients are microcrystalline cellulose, hypromellose 2910, ethylcellulose, diethyl phthalate.

In addition, the capsule shells for all strengths contain hypromellose 2910, titanium dioxide, black iron oxide, red iron oxide and/or yellow iron oxide, black pharmaceutical ink, and white pharmaceutical ink (200 mg only).

Meets USP Dissolution Test 2

7.6 Pioglitazone

A decrease in the exposure of pioglitazone and its active metabolites were noted with the concurrent use of pioglitazone and immediate-release topiramate in a clinical trial. The clinical relevance of these observations is unknown; however, when topiramate extended-release is added to pioglitazone therapy or pioglitazone is added to topiramate extended-release therapy, careful attention should be given to the routine monitoring of patients for adequate control of their diabetic disease state [see Clinical Pharmacology (12.3)] .

16.1 How Supplied

Topiramate extended-release capsules contain beads of topiramate in a capsule and are available in the following strengths and colors:

25 mg: light pink and grey capsules, printed with "UPSHER-SMITH" on the cap in black ink and "25 mg" on the body in black ink. 25 mg capsules are supplied in the following package configurations:

  • Bottles of 30 with desiccant and a child-resistant closure, NDC 0832-1071-30
  • Bottles of 90 with desiccant and a child-resistant closure, NDC 0832-1071-90

50 mg: golden yellow and grey capsules, printed with "UPSHER-SMITH" on the cap in black ink and "50 mg" on the body in black ink. 50 mg capsules are supplied in the following package configurations:

  • Bottles of 30 with desiccant and a child-resistant closure, NDC 0832-1072-30
  • Bottles of 90 with desiccant and a child-resistant closure, NDC 0832-1072-90

100 mg: reddish brown and grey capsules, printed with "UPSHER-SMITH" on the cap in black ink and "100 mg" on the body in black ink. 100 mg capsules are supplied in the following package configurations:

  • Bottles of 30 with desiccant and a child-resistant closure, NDC 0832-1074-30
  • Bottles of 90 with desiccant and a child-resistant closure, NDC 0832-1074-90

150 mg: pale yellow and grey capsules, printed with "UPSHER-SMITH" on the cap in black ink and "150 mg" on the body in black ink. 150 mg capsules are supplied in the following package configurations:

  • Bottles of 30 with desiccant and a child-resistant closure, NDC 0832-1075-30
  • Bottles of 90 with desiccant and a child-resistant closure, NDC 0832-1075-90

200 mg: brown and grey capsules, printed with "UPSHER-SMITH" on the cap in white ink and "200 mg" on the body in black ink. 200 mg capsules are supplied in the following package configurations:

  • Bottles of 30 with desiccant and a child-resistant closure, NDC 0832-1073-30
  • Bottles of 90 with desiccant and a child-resistant closure, NDC 0832-1073-90
7.8 Amitriptyline

Some patients may experience a large increase in amitriptyline concentration in the presence of topiramate extended-release and any adjustments in amitriptyline dose should be made according to the patient's clinical response and not on the basis of plasma levels [see Clinical Pharmacology (12.3)] .

8.5 Geriatric Use

Clinical studies of immediate-release topiramate did not include sufficient numbers of subjects age 65 and over to determine whether they respond differently than younger subjects. Dosage adjustment may be necessary for elderly with creatinine clearance less than 70 mL/min/1.73 m 2. Estimate GFR should be measured prior to dosing [see Dosage and Administration (2.3)and Clinical Pharmacology (12.3)] .

5.13 Kidney Stones

Topiramate increases the risk of kidney stones. During adjunctive epilepsy trials, the risk for kidney stones in immediate-release topiramate-treated adults was 1.5%, an incidence about 2 to 4 times greater than expected in a similar, untreated population. As in the general population, the incidence of stone formation among topiramate-treated patients was higher in men. Kidney stones have also been reported in pediatric patients taking topiramate for epilepsy or migraine. During long-term (up to 1 year) topiramate treatment in an open-label extension study of 284 pediatric patients 1 to 24 months old with epilepsy, 7% developed kidney or bladder stones. Topiramate is not approved for treatment of epilepsy in pediatric patients less than 2 years old [see Use in Specific Populations (8.4)] .

Topiramate is a carbonic anhydrase inhibitor. Carbonic anhydrase inhibitors can promote stone formation by reducing urinary citrate excretion and by increasing urinary pH [see Warnings and Precautions (5.4)] . The concomitant use of topiramate extended-release with any other drug producing metabolic acidosis, or potentially in patients on a ketogenic diet, may create a physiological environment that increases the risk of kidney stone formation, and should therefore be avoided.

Increased fluid intake increases the urinary output, lowering the concentration of substances involved in stone formation. Hydration is recommended to reduce new stone formation.

An increase in urinary calcium and a marked decrease in urinary citrate was observed in immediate-release topiramate-treated pediatric patients in one-year active-controlled study [see Use in Specific Populations (8.4)] . This increased ratio of urinary calcium/citrate increases the risk of kidney stones and/or nephrocalcinosis.

5.7 Fetal Toxicity

Topiramate extended-release can cause fetal harm when administered to a pregnant woman. Data from pregnancy registries indicate that infants exposed to topiramate in uterohave an increased risk of major congenital malformation, including but not limited to cleft lip and/or cleft palate (oral clefts), and of being small for gestational age (SGA). When multiple species of pregnant animals received topiramate at clinically relevant doses, structural malformations, including craniofacial defects, and reduced fetal weights occurred in offspring [see Use in Specific Populations (8.1)] .

Consider the benefits and risks of topiramate extended-release when administering this drug in women of childbearing potential, particularly when topiramate extended-release is considered for a condition not usually associated with permanent injury or death [see Use in Specific Populations (8.1), Patient Counseling Information (17)] . Topiramate extended-release capsules should be used during pregnancy only if the potential benefit outweighs the potential risk. If this drug is used during pregnancy, or if the patient becomes pregnant while taking this drug, the patient should be informed of the potential hazard to a fetus [see Use in Specific Populations (8.1)] .

7.4 Contraceptives

The possibility of decreased contraceptive efficacy and increased breakthrough bleeding may occur in patients taking contraceptive products with topiramate extended-release. Patients taking estrogen-containing or progestin-only contraceptives should be asked to report any change in their bleeding patterns. Contraceptive efficacy can be decreased even in the absence of breakthrough bleeding [see Clinical Pharmacology (12.3)] .

4 Contraindications (4 CONTRAINDICATIONS)

None.

6 Adverse Reactions (6 ADVERSE REACTIONS)

The following serious adverse reactions are discussed in more detail in other sections of the labeling:

The data described in section 6.1 were obtained using immediate-release topiramate tablets.

7 Drug Interactions (7 DRUG INTERACTIONS)
  • Contraceptives: decreased contraceptive efficacy and increased breakthrough bleeding, especially at doses greater than 200 mg per day ( 7.4)
  • Monitor lithium levels if lithium is used with high-dose topiramate extended-release ( 7.7)

See 17 for PATIENT COUNSELING INFORMATION and Medication Guide.

7.3 Cns Depressants (7.3 CNS Depressants)

Concomitant administration of topiramate and alcohol or other CNS depressant drugs has not been evaluated in clinical studies. Because of the potential of topiramate to cause CNS depression, as well as other cognitive and/or neuropsychiatric adverse reactions, topiramate extended-release capsules should be used with extreme caution if used in combination with alcohol and other CNS depressants.

8.6 Renal Impairment

The clearance of topiramate is reduced in patients with moderate (creatinine clearance 30 to 69 mL/min/1.73 m 2) and severe (creatinine clearance less than 30 mL/min/1.73 m 2) renal impairment. A dosage adjustment is recommended in patients with moderate or severe renal impairment [see Dosage and Administration (2.4)and Clinical Pharmacology (12.3)] .

12.2 Pharmacodynamics

Topiramate has anticonvulsant activity in rat and mouse maximal electroshock seizure (MES) tests. Topiramate is only weakly effective in blocking clonic seizures induced by the GABA-A receptor antagonist, pentylenetetrazole. Topiramate is also effective in rodent models of epilepsy, which include tonic and absence-like seizures in the spontaneous epileptic rat (SER) and tonic and clonic seizures induced in rats by kindling of the amygdala or by global ischemia.

Changes (increases and decreases) from baseline in vital signs (systolic blood pressure-SBP, diastolic blood pressure-DBP, pulse) occurred more frequently in pediatric patients (6 to 17 years) treated with various daily doses of topiramate (50 mg, 100 mg, 200 mg, 2 to 3 mg/kg) than in patients treated with placebo in controlled trials for the preventive treatment of migraine. The most notable changes were SBP < 90 mm Hg, DBP < 50 mm Hg, SBP or DBP increases or decreases ≥ 20 mm Hg, and pulse increases or decreases ≥ 30 beats per minute. These changes were often dose-related and were most frequently associated with the greatest treatment difference at the 200 mg dose level. Systematic collection of orthostatic vital signs has not been conducted. The clinical significance of these various changes in vital signs has not been clearly established.

12.3 Pharmacokinetics

Absorption and Distribution

The pharmacokinetics of topiramate extended-release are linear with dose proportional increases in plasma concentration when administered as a single oral dose over the range of 50 mg to 1,400 mg. At 25 mg, the pharmacokinetics of topiramate extended-release are nonlinear, possibly due to the binding of topiramate to carbonic anhydrase in red blood cells.

Topiramate extended-release capsules sprinkled on a spoonful of soft food is bioequivalent to the intact capsule formulation.

Following a single 200 mg oral dose of topiramate extended-release, peak plasma concentrations (Tmax) occurred approximately 20 hours after dosing. Steady-state was reached in about 5 days following daily dosing of topiramate extended-release in subjects with normal renal function, with a Tmax of approximately 6 hours.

At steady-state, the plasma exposure (AUC0–24hr, Cmax, and Cmin) of topiramate from topiramate extended-release administered once daily and the immediate-release topiramate tablets administered twice‑daily were shown to be bioequivalent. Fluctuation of topiramate plasma concentrations at steady-state for topiramate extended-release administered once daily was approximately 40% in healthy subjects, compared to approximately 53% for immediate-release topiramate [see Clinical Pharmacology (12.6)].

Compared to the fasted state, high-fat meal had no effect on bioavailability (AUC and Cmax) but delayed the Tmax by approximately 4 hours following a single dose of topiramate extended-release. Topiramate extended-release capsules can be taken without regard to meals.

Topiramate is 15% to 41% bound to human plasma proteins over the blood concentration range of 0.5 mcg/mL to 250 mcg/mL. The fraction bound decreased as blood concentration increased.

Carbamazepine and phenytoin do not alter the binding of immediate-release topiramate. Sodium valproate, at 500 mcg/mL (a concentration 5 to 10 times higher than considered therapeutic for valproate) decreased the protein binding of immediate-release topiramate from 23% to 13%. Immediate-release topiramate does not influence the binding of sodium valproate.

5.4 Metabolic Acidosis

Topiramate extended-release can cause hyperchloremic, non-anion gap, metabolic acidosis (i.e., decreased serum bicarbonate below the normal reference range in the absence of chronic respiratory alkalosis). This metabolic acidosis is caused by renal bicarbonate loss due to carbonic anhydrase inhibition by topiramate. Topiramate-induced metabolic acidosis can occur at any time during treatment. Bicarbonate decrements are usually mild to moderate (average decrease of 4 mEq/L at daily doses of 400 mg in adults and at approximately 6 mg/kg/day in pediatric patients); rarely, patients can experience severe decrements to values below 10 mEq/L. Conditions or therapies that predispose patients to acidosis (such as renal disease, severe respiratory disorders, status epilepticus, diarrhea, ketogenic diet or specific drugs) may be additive to the bicarbonate lowering effects of topiramate extended-release capsules.

Metabolic acidosis was commonly observed in adult and pediatric patients treated with immediate-release topiramate in clinical trials. The incidence of decreased serum bicarbonate in pediatric trials, for adjunctive treatment of Lennox-Gastaut syndrome or refractory partial-onset seizures was as high as 67% for immediate-release topiramate (at approximately 6 mg/kg/day), and 10% for placebo. The incidence of a markedly abnormally low serum bicarbonate (i.e., absolute value < 17 mEq/L and >5 mEq/L decrease from pretreatment) in these trials was up to 11%, compared to ≤ 2% for placebo.

Manifestations of acute or chronic metabolic acidosis may include hyperventilation, nonspecific symptoms such as fatigue and anorexia, or more severe sequelae including cardiac arrhythmias or stupor. Chronic, untreated metabolic acidosis may increase the risk for nephrolithiasis or nephrocalcinosis and may also result in osteomalacia (referred to as rickets in pediatric patients) and/or osteoporosis with an increased risk for fractures [see Warnings and Precautions (5.9, 5.13)]. A one-year, active-controlled study of pediatric patients treated with immediate-release topiramate demonstrated that topiramate decreased lumbar spine bone mineral density and that this lumbar spine bone mineral density decrease was correlated (using change from baseline for lumbar spine Z score at final visit versus lowest post-treatment serum bicarbonate) with decreased serum bicarbonate, a reflection of metabolic acidosis [see Warnings and Precautions (5.9), Use in Specific Populations (8.4)] . Chronic metabolic acidosis in pediatric patients may also reduce growth rates, which may decrease the maximal height achieved. Long-term, open-label treatment of pediatric patients 1 to 24 months old with intractable partial epilepsy, for up to 1 year, showed reductions from baseline in length, weight, and head circumference compared to age and sex-matched normative data, although these patients with epilepsy are likely to have different growth rates than normal 1 to 24-month old patients. Reductions in length and weight were correlated to the degree of acidosis [see Use in Specific Populations (8.4)] . Topiramate extended-release treatment that causes metabolic acidosis during pregnancy can possibly produce adverse effects on the fetus and might also cause metabolic acidosis in the neonate from possible transfer of topiramate to the fetus [see Warnings and Precautions (5.7), Use in Specific Populations (8.1)] .

1 Indications and Usage (1 INDICATIONS AND USAGE)

1.1 Monotherapy Epilepsy

Topiramate extended-release capsules are indicated as initial monotherapy for the treatment of partial-onset or primary generalized tonic-clonic seizures in patients 2 years of age and older.

1.2 Adjunctive Therapy Epilepsy

Topiramate extended-release capsules are indicated as adjunctive therapy for the treatment of partial-onset seizures, primary generalized tonic-clonic seizures, and seizures associated with Lennox-Gastaut Syndrome in patients 2 years of age and older.

1.3 Migraine

Topiramate extended-release capsules are indicated for the preventive treatment of migraine in patients 12 years of age and older.

7.1 Antiepileptic Drugs

Concomitant administration of phenytoin or carbamazepine with topiramate resulted in a clinically significant decrease in plasma concentrations of topiramate when compared to topiramate given alone. A dosage adjustment may be needed [see Clinical Pharmacology (12.3)] .

Concomitant administration of valproic acid and topiramate has been associated with hypothermia and hyperammonemia with and without encephalopathy. Examine blood ammonia levels in patients in whom the onset of hypothermia has been reported [see Warnings and Precautions (5.12, 5.14), Clinical Pharmacology (12.3)] .

12 Clinical Pharmacology (12 CLINICAL PHARMACOLOGY)

12.1 Mechanism of Action

The precise mechanisms by which topiramate exerts its anticonvulsant and preventive migraine effects are unknown; however, preclinical studies have revealed four properties that may contribute to topiramate’s efficacy for epilepsy and the preventive treatment of migraine. Electrophysiological and biochemical evidence suggests that topiramate, at pharmacologically relevant concentrations, blocks voltage-dependent sodium channels, augments the activity of the neurotransmitter gamma-aminobutyrate at some subtypes of the GABA‑A receptor, antagonizes the AMPA/kainate subtype of the glutamate receptor, and inhibits the carbonic anhydrase enzyme, particularly isozymes II and IV.

5.2 Visual Field Defects

Visual field defects (independent of elevated intraocular pressure) have been reported in clinical trials and in postmarketing experience in patients receiving topiramate independent of elevated intraocular pressure. In clinical trials, most of these events were reversible after topiramate discontinuation. If visual problems occur at any time during treatment with topiramate, consideration should be given to discontinuing the drug.

16.2 Storage and Handling

Topiramate extended-release capsules should be stored in a tightly closed container at 20°C to 25°C (68°F to 77°F); excursions permitted to 15°C to 30°C (59°F to 86°F) [See USP Controlled Room Temperature]. Protect from moisture.

5 Warnings and Precautions (5 WARNINGS AND PRECAUTIONS)
  • Acute myopia and secondary angle closure glaucoma: can lead to permanent visual loss; discontinue topiramate extended-release capsules as soon as possible ( 5.1)
  • Visual field defects; consider discontinuation of topiramate extended-release capsules ( 5.2)
  • Oligohydrosis and hyperthermia: monitor decreased sweating and increased body temperature, especially in pediatric patients ( 5.3)
  • Metabolic acidosis: baseline and periodic measurement of serum bicarbonate is recommended; consider dose reduction or discontinuation of topiramate extended-release capsules if clinically appropriate ( 5.4)
  • Suicidal behavior and ideation: antiepileptic drugs increase the risk of suicidal behavior or ideation ( 5.5)
  • Cognitive/neuropsychiatric adverse reactions: use caution when operating machinery including cars; depression and mood problems may occur ( 5.6)
  • Fetal Toxicity: use during pregnancy can cause major congenital malformations, including but not limited to cleft lip and/or palate, and being small for gestational age ( 5.7)
  • Withdrawal of AEDs: withdraw topiramate extended-release capsules gradually ( 5.8)
  • Decrease in Bone Mineral Density: has been shown to decrease bone mineral density and bone mineral content in pediatric patients ( 5.9)
  • Negative effects on growth (height and weight): may slow height increase and weight gain; carefully monitor children receiving prolonged therapy ( 5.10)
  • Serious skin reactions: If SJS or TEN is suspected, discontinue topiramate extended-release capsules ( 5.11)
  • Hyperammonemia/encephalopathy: measure ammonia if encephalopathic symptoms occur ( 5.12)
  • Kidney stones: avoid use with other carbonic anhydrase inhibitors, drugs causing metabolic acidosis, or in patients on a ketogenic diet ( 5.13)
  • Hypothermia has been reported with and without hyperammonemia during topiramate treatment with concomitant valproic acid use ( 5.14)
2 Dosage and Administration (2 DOSAGE AND ADMINISTRATION)
  • Topiramate extended-release capsules initial dose, titration, and recommended maintenance dose varies by indication and age group. See Full Prescribing Information for recommended dosage, and dosing considerations in patients with renal impairment, geriatric patients, and patients undergoing hemodialysis ( 2.1, 2.2, 2.3, 2.4, 2.5, 2.6)
  • Capsules may be swallowed whole or opened and sprinkled on a spoonful of soft food ( 2.6).
5.11 Serious Skin Reactions

Serious skin reactions (Stevens-Johnson Syndrome [SJS] and Toxic Epidermal Necrolysis [TEN]) have been reported in patients receiving topiramate. Topiramate extended-release capsules should be discontinued at the first sign of a rash, unless the rash is clearly not drug-related. If signs or symptoms suggest SJS/TEN, use of this drug should not be resumed and alternative therapy should be considered. Inform patients about the signs of serious skin reactions.

3 Dosage Forms and Strengths (3 DOSAGE FORMS AND STRENGTHS)

Topiramate extended-release capsules are available in the following strengths and colors:

  • 25 mg: light pink and grey capsules, printed with "UPSHER-SMITH" on the cap in black ink and "25 mg" on the body in black ink
  • 50 mg: golden yellow and grey capsules, printed with "UPSHER-SMITH" on the cap in black ink and "50 mg" on the body in black ink
  • 100 mg: reddish brown and grey capsules, printed with "UPSHER-SMITH" on the cap in black ink and "100 mg" on the body in black ink
  • 150 mg: pale yellow and grey capsules, printed with "UPSHER-SMITH" on the cap in black ink and "150 mg" on the body in black ink
  • 200 mg: brown and grey capsules, printed with "UPSHER-SMITH" on the cap in white ink and "200 mg" on the body in black ink
6.3 Postmarketing Experience

The following adverse reactions have been identified during post-approval use of immediate-release topiramate. Because these reactions are reported voluntarily from a population of uncertain size, it is not always possible to reliably estimate their frequency or establish a causal relationship to drug exposure.

Body as a Whole–General Disorders: oligohydrosis and hyperthermia [see Warnings and Precautions (5.3)] , hyperammonemia, hyperammonemic encephalopathy [see Warnings and Precautions (5.12)] , hypothermia with concomitant valproic acid [see Warnings and Precautions (5.14)]

Gastrointestinal System Disorders: hepatic failure (including fatalities), hepatitis, pancreatitis

Skin and Appendage Disorders: bullous skin reactions (including erythema multiforme, Stevens-Johnson syndrome, toxic epidermal necrolysis) [see Warnings and Precautions (5.11)] , pemphigus

Urinary System Disorders: kidney stones, nephrocalcinosis [see Warnings and Precautions (5.4, 5.13)]

Vision Disorders: acute myopia, secondary angle closure glaucoma [see Warnings and Precautions (5.1)] , maculopathy

Hematological Disorders: decrease of the International Normalized Ratio (INR) or prothrombin time when given concomitantly with Vitamin K antagonist anticoagulant medications such as warfarin.

7.5 Hydrochlorothiazide (hctz) (7.5 Hydrochlorothiazide (HCTZ))

Topiramate C maxand AUC increased when HCTZ was added to immediate-release topiramate. The clinical significance of this change is unknown. The addition of HCTZ to topiramate extended-release may require a decrease in the topiramate extended-release dose [see Clinical Pharmacology (12.3)] .

2.6 Administration Instructions

Topiramate extended-release capsules may be swallowed whole or may be administered by carefully opening the capsule and sprinkling the entire contents on a small amount (teaspoon) of soft food. This drug/food mixture should be swallowed immediately and not chewed or crushed. It should not be stored for further use. Topiramate extended-release capsules can be taken without regard to meals [see Clinical Pharmacology (12.3)] .

17 Patient Counseling Information (17 PATIENT COUNSELING INFORMATION)

Advise patients to read the FDA-approved patient labeling (Medication Guide).

5.3 Oligohydrosis and Hyperthermia

Oligohydrosis (decreased sweating), infrequently resulting in hospitalization in some cases, has been reported in association with topiramate use. Decreased sweating and an elevation in body temperature above normal characterized these cases. Some of the cases were reported after exposure to elevated environmental temperatures.

The majority of the reports have been in pediatric patients. Patients, (especially pediatric patients) treated with topiramate extended-release should be monitored closely for evidence of decreased sweating and increased body temperature, especially in hot weather. Caution should be used when topiramate extended-release capsules are prescribed with other drugs that predispose patients to heat-related disorders; these drugs include, but are not limited to, other carbonic anhydrase inhibitors and drugs with anticholinergic activity.

5.5 Suicidal Behavior and Ideation

Antiepileptic drugs (AEDs), including topiramate extended-release increase the risk of suicidal thoughts or behavior in patients taking these drugs for any indication. Patients treated with any AED for any indication should be monitored for the emergence or worsening of depression, suicidal thoughts or behavior, and/or any unusual changes in mood or behavior.

Pooled analyses of 199 placebo-controlled clinical trials (mono- and adjunctive therapy) of 11 different AEDs showed that patients randomized to one of the AEDs had approximately twice the risk (adjusted Relative Risk 1.8, 95% CI:1.2, 2.7) of suicidal thinking or behavior compared to patients randomized to placebo. In these trials, which had a median treatment duration of 12 weeks, the estimated incidence rate of suicidal behavior or ideation among 27,863 AED-treated patients was 0.43%, compared to 0.24% among 16,029 placebo-treated patients, representing an increase of approximately one case of suicidal thinking or behavior for every 530 patients treated. There were four suicides in drug-treated patients in the trials and none in placebo-treated patients, but the number is too small to allow any conclusion about drug effect on suicide.

The increased risk of suicidal thoughts or behavior with AEDs was observed as early as one week after starting drug treatment with AEDs and persisted for the duration of treatment assessed. Because most trials included in the analysis did not extend beyond 24 weeks, the risk of suicidal thoughts or behavior beyond 24 weeks could not be assessed.

The risk of suicidal thoughts or behavior was generally consistent among drugs in the data analyzed. The finding of increased risk with AEDs of varying mechanisms of action and across a range of indications suggests that the risk applies to all AEDs used for any indication. The risk did not vary substantially by age (5 to 100 years) in the clinical trials analyzed.

Table 4 shows absolute and relative risk by indication for all evaluated AEDs.

Table 4: Risk by Indication for Antiepileptic Drugs in the Pooled Analysis
Indication Placebo Patients with Events per 1,000 Patients Drug Patients with Events per 1,000 Patients Relative Risk: Incidence of Events in Drug Patients/ Incidence in Placebo Patients Risk Difference: Additional Drug Patients with Events per 1,000 Patients
Epilepsy 1.0 3.4 3.5 2.4
Psychiatric 5.7 8.5 1.5 2.9
Other 1.0 1.8 1.9 0.9
Total 2.4 4.3 1.8 1.9

The relative risk for suicidal thoughts or behavior was higher in clinical trials for epilepsy than in clinical trials for psychiatric or other conditions, but the absolute risk differences were similar for the epilepsy and psychiatric indications.

Anyone considering prescribing topiramate extended-release or any other AED must balance the risk of suicidal thoughts or behavior with the risk of untreated illness. Epilepsy and many other illnesses for which AEDs are prescribed are themselves associated with morbidity and mortality and an increased risk of suicidal thoughts and behavior. Should suicidal thoughts and behavior emerge during treatment, the prescriber needs to consider whether the emergence of these symptoms in any given patient may be related to the illness being treated.

5.9 Decrease in Bone Mineral Density

Results of a one-year active-controlled study in pediatric patients (N=63) demonstrated negative effects of immediate-release topiramate monotherapy on bone mineral acquisition via statistically significant decreases in bone mineral density (BMD) measured in lumbar spine and in total body less head [see Use in Specific Populations (8.4)] . Twenty-one percent of immediate-release topiramate-treated patients experienced clinically important reductions in BMD (Z score change from baseline of -0.5 or greater) compared to 0 patients in the control group. Although decreases in BMD occurred across all pediatric age subgroups, patients 6 to 9 years of age were most commonly affected. The sample size and study duration were too small to determine if fracture risk is increased. Decreased BMD in the lumbar spine was correlated with decreased serum bicarbonate, which commonly occurs with topiramate treatment and reflects metabolic acidosis, a known cause of increased bone resorption [see Warnings and Precautions (5.4)] . Although small decreases in some markers of bone metabolism (e.g., serum alkaline phosphatase, calcium, phosphorus, and 1,25-dihydroxyvitamin D) occurred in immediate-release topiramate-treated patients, more significant decreases in serum parathyroid hormone and 25-hydroxyvitamin D, hormones involved in bone metabolism, were observed, along with an increased excretion of urinary calcium.

8.7 Patients Undergoing Hemodialysis

Topiramate is cleared by hemodialysis at a rate that is 4 to 6 times greater than in a normal individual. A dosage adjustment may be required [see Dosage and Administration (2.5)and Clinical Pharmacology (12.3)] .

5.8 Withdrawal of Antiepileptic Drugs

In patients with or without a history of seizures or epilepsy, antiepileptic drugs, including topiramate extended-release, should be gradually withdrawn to minimize the potential for seizures or increased seizure frequency [see Clinical Studies (14)] . In situations where rapid withdrawal of topiramate extended-release is medically required, appropriate monitoring is recommended.

7.2 Other Carbonic Anhydrase Inhibitors

Concomitant use of topiramate, a carbonic anhydrase inhibitor, with any other carbonic anhydrase inhibitor (e.g., zonisamide or acetazolamide) may increase the severity of metabolic acidosis and may also increase the risk of kidney stone formation. Patients should be monitored for the appearance or worsening of metabolic acidosis when topiramate extended-release is given concomitantly with another carbonic anhydrase inhibitor [see Clinical Pharmacology (12.3)] .

2.4 Dosing in Patients With Renal Impairment (2.4 Dosing in Patients with Renal Impairment)

In patients with renal impairment (creatinine clearance less than 70 mL/min/1.73 m 2), one-half of the usual adult dose of topiramate extended-release capsules are recommended [see Use in Specific Populations (8.5, 8.6), Clinical Pharmacology (12.3)] .

2.5 Dosing in Patients Undergoing Hemodialysis

To avoid rapid drops in topiramate plasma concentration during hemodialysis, a supplemental dose of topiramate extended-release capsules may be required. The actual adjustment should take into account 1) the duration of dialysis period, 2) the clearance rate of the dialysis system being used, and 3) the effective renal clearance of topiramate in the patient being dialyzed [see Use in Specific Populations (8.7), Clinical Pharmacology (12.3)] .

5.6 Cognitive/neuropsychiatric Adverse Reactions (5.6 Cognitive/Neuropsychiatric Adverse Reactions)

Immediate-release topiramate can cause cognitive/neuropsychiatric adverse reactions and therefore these are expected to be caused by topiramate extended-release. The most frequent of these can be classified into three general categories: 1) Cognitive-related dysfunction (e.g., confusion, psychomotor slowing, difficulty with concentration/attention, difficulty with memory, speech or language problems, particularly word-finding difficulties); 2) Psychiatric/behavioral disturbances (e.g., depression or mood problems); and 3) Somnolence or fatigue.

2.3 Dosing for the Preventive Treatment of Migraine

The recommended total daily dose of topiramate extended-release capsules as treatment for the preventive treatment of migraine in patients 12 years of age and older is 100 mg once daily. The recommended titration rate for topiramate extended-release capsules for the preventive treatment of migraine is as follows:

Table 3: Preventive Treatment of Migraine Titration Schedule for Patients 12 Years of Age and Older
Topiramate Extended-Release Once Daily Dose
Week 1 25 mg
Week 2 50 mg
Week 3 75 mg
Week 4 100 mg

Dose and titration rate should be guided by clinical outcome. If required, longer intervals between dose adjustment can be used.

5.10 Negative Effects On Growth (height and Weight) (5.10 Negative Effects on Growth (Height and Weight))

Results of a one-year active-controlled study of pediatric patients (N=63) demonstrated negative effects of immediate-release topiramate monotherapy on growth (i.e., height and weight) [see Use in Specific Populations (8.4)] . Although continued growth was observed in both treatment groups, the immediate-release topiramate group showed statistically significant reductions in mean annual change from baseline in body weight compared to the control group. A similar trend of attenuation in height velocity and height change from baseline was also observed in the immediate-release topiramate group compared to the control group. Negative effects on weight and height were seen across all topiramate age subgroups. Growth (height and weight) of children receiving prolonged topiramate extended-release capsules therapy should be carefully monitored.

5.14 Hypothermia With Concomitant Valproic Acid Use (5.14 Hypothermia with Concomitant Valproic Acid Use)

Hypothermia, defined as a drop-in body core temperature to <35°C (95°F), has been reported in association with topiramate use with concomitant valproic acid both in conjunction with hyperammonemia and in the absence of hyperammonemia. This adverse reaction in patients using concomitant topiramate and valproate can occur after starting topiramate treatment or after increasing the daily dose of topiramate [see Drug Interactions (7.1)] . Consideration should be given to stopping topiramate extended-release or valproate in patients who develop hypothermia, which may be manifested by a variety of clinical abnormalities including lethargy, confusion, coma, and significant alterations in other major organ systems such as the cardiovascular and respiratory systems. Clinical management and assessment should include examination of blood ammonia levels.

Principal Display Panel 25 Mg Capsule Bottle Label (PRINCIPAL DISPLAY PANEL - 25 mg Capsule Bottle Label)

NDC 0832-1071-30

Once-Daily Dosing

Topiramate Extended-

Release Capsules

PHARMACIST: Dispense the

Medication Guide provided

separately to each patient.

25 mg

30 Capsules

Rx only

Principal Display Panel 50 Mg Capsule Bottle Label (PRINCIPAL DISPLAY PANEL - 50 mg Capsule Bottle Label)

NDC 0832-1072-30

Once-Daily Dosing

Topiramate Extended-

Release Capsules

50 mg

PHARMACIST: Dispense the Medication

Guide provided separately to each patient.

30 Capsules

Rx only

Principal Display Panel 100 Mg Capsule Bottle Label (PRINCIPAL DISPLAY PANEL - 100 mg Capsule Bottle Label)

NDC 0832-1074-30

Once-Daily Dosing

Topiramate

Extended-Release

Capsules

100 mg

PHARMACIST: Dispense the Medication

Guide provided separately to each patient.

30 Capsules

Rx only

Principal Display Panel 150 Mg Capsule Bottle Label (PRINCIPAL DISPLAY PANEL - 150 mg Capsule Bottle Label)

NDC 0832-1075-30

Once-Daily Dosing

Topiramate

Extended-Release

Capsules

150 mg

PHARMACIST: Dispense the Medication

Guide provided separately to each patient.

30 Capsules

Rx only

Principal Display Panel 200 Mg Capsule Bottle Label (PRINCIPAL DISPLAY PANEL - 200 mg Capsule Bottle Label)

NDC 0832-1073-30

Once-Daily Dosing

Topiramate

Extended-Release

Capsules

200 mg

PHARMACIST: Dispense the Medication

Guide provided separately to each patient.

30 Capsules

Rx only

5.1 Acute Myopia and Secondary Angle Closure Glaucoma Syndrome

A syndrome consisting of acute myopia associated with secondary angle closure glaucoma has been reported in patients receiving topiramate. Symptoms include acute onset of decreased visual acuity and/or ocular pain. Ophthalmologic findings can include some or all of the following: myopia, mydriasis, anterior chamber shallowing, ocular hyperemia (redness), choroidal detachments, retinal pigment epithelial detachments, macular striae, and increased intraocular pressure. This syndrome may be associated with supraciliary effusion resulting in anterior displacement of the lens and iris, with secondary angle closure glaucoma. Symptoms typically occur within 1 month of initiating topiramate therapy. In contrast to primary narrow angle glaucoma, which is rare under 40 years of age, secondary angle closure glaucoma associated with topiramate has been reported in pediatric patients as well as adults. The primary treatment to reverse symptoms is discontinuation of topiramate extended-release capsules as rapidly as possible, according to the judgment of the treating physician. Other measures, in conjunction with discontinuation of topiramate extended-release, may be helpful.

Elevated intraocular pressure of any etiology, if left untreated, can lead to serious sequelae including permanent vision loss.

6.2 Clinical Trials Experience With Topiramate Extended Release (6.2 Clinical Trials Experience with Topiramate Extended-Release)

Because clinical trials are conducted under widely varying conditions, adverse reaction rates observed in the clinical trials of a drug cannot be directly compared to rates in the clinical trials of another drug and may not reflect the rates observed in clinical practice. In the topiramate extended-release study, a dose of 200 mg per day was administered to a limited number of patients; therefore, these results cannot be directly compared to immediate-release topiramate experience.

The safety data presented below are from 249 patients with partial epilepsy on concomitant AEDs who participated in the topiramate extended-release study [see Clinical Studies (14.4)] .

Table 10 displays the incidence of adverse reactions that occurred in ≥2% of patients and numerically greater than placebo.

Table 10: Incidence (≥2%) of Adverse Reactions in Placebo-Controlled Adjunctive Therapy Clinical Trial in Patients With Partial-Onset Seizures
Body System/

Adverse Reaction
Placebo

(N=125)
Topiramate Extended-Release

200 mg

(N=124)
General Disorders
Fatigue 5 6
Asthenia 1 2
Irritability 1 2
Nervous System Disorders
Somnolence 2 12
Dizziness 6 7
Paresthesia 2 7
Aphasia 0 2
Dysarthria 1 2
Memory impairment 1 2
Psychiatric Disorder
Psychomotor retardation 0 2
Cardiovascular Disorders, General
Hypertension 1 3
Metabolic and Nutritional Disorders
Weight decrease 0 7
Decreased appetite 2 4
Anorexia 1 2

In the controlled clinical study using topiramate extended-release, 8.9% of patients who received topiramate extended-release and 4.0% who received placebo discontinued as a result of adverse reactions.

6.1 Clinical Trials Experience With Immediate Release Topiramate (6.1 Clinical Trials Experience with Immediate-Release Topiramate)

Because clinical trials are conducted under widely varying conditions, adverse reaction rates observed in the clinical trials of a drug cannot be directly compared to rates in the clinical trials of another drug and may not reflect the rates observed in clinical practice.

5.12 Hyperammonemia and Encephalopathy (without and With Concomitant Valproic Acid Use) (5.12 Hyperammonemia and Encephalopathy (Without and With Concomitant Valproic Acid Use))

Topiramate treatment can cause hyperammonemia with or without encephalopathy [see Adverse Reactions (6.2)] . The risk for hyperammonemia with topiramate appears dose-related. Hyperammonemia has been reported more frequently when topiramate is used concomitantly with valproic acid. Post-marketing cases of hyperammonemia with or without encephalopathy have been reported with topiramate and valproic acid in patients who previously tolerated either drug alone [see Drug Interactions (7.1)] .

Clinical symptoms of hyperammonemic encephalopathy often include acute alterations in level of consciousness and/or cognitive function with lethargy and/or vomiting. In most cases, hyperammonemic encephalopathy abated with discontinuation of treatment.

The incidence of hyperammonemia in pediatric patients 12 to 17 years of age in the preventive treatment of migraine trials was 26% in patients taking topiramate monotherapy at 100 mg/day, and 14% in patients taking topiramate at 50 mg/day, compared to 9% in patients taking placebo. There was also an increased incidence of markedly increased hyperammonemia at the 100 mg dose.

Dose-related hyperammonemia was also seen in pediatric patients 1 to 24 months of age treated with topiramate and concomitant valproic acid for partial-onset epilepsy and this was not due to a pharmacokinetic interaction.

In some patients, hyperammonemia can be asymptomatic.

14.4 Extended Release: Adjunctive Therapy in Adult Patients With Partial Onset Seizures With Topiramate (14.4 Extended-Release: Adjunctive Therapy in Adult Patients with Partial-Onset Seizures with Topiramate)

The effectiveness of topiramate extended-release as an adjunctive treatment for adults (18 to 75 years of age) was evaluated in a randomized, international, multi-center, double-blind, parallel-group, placebo-controlled trial in patients with a history of partial-onset seizures, with or without secondary generalization (Study 14).

Patients with partial-onset seizures on a stable dose of 1 to 3 AEDs entered into an 8-week baseline period. Patients who experienced at least 8 partial onset seizures, with or without secondary generalization, and no more than 21 consecutive seizure free days during the 8-week baseline phase were randomly assigned to placebo or topiramate extended-release administered once daily in addition to their concomitant AEDs. Following randomization, 249 patients began the double-blind treatment phase, which consisted of an initial 3-week titration period followed by an 8-week maintenance period. During the titration period, patients received topiramate extended-release or placebo beginning at 50 mg once daily; the dose was increased at weekly intervals by 50 mg once daily, or the placebo equivalent, until a final dose of 200 mg once daily was achieved. Patients then entered the maintenance period at the assigned dose of 200 mg once daily, or its placebo equivalent.

The percent reduction in the frequency of partial-onset seizure, baseline period compared to the treatment phase, was the primary endpoint. Data was analyzed by the Wilcoxon rank-sum test, with the criteria of statistical significance of p<0.05. The results of the analysis are presented in Table 15. The median percent reduction in seizure rate was 39.5% in patients taking topiramate extended-release (N=124) and 21.7% in patients taking placebo (N=125). This difference was statistically significant.

Table 15: Percent Reduction From Baseline in Partial-Onset Seizure Frequency During 11-week Treatment Period in Study 14
Study End Point Topiramate extended-release

(N=124)
Placebo

(N=125)
Median Percent Reduction from Baseline
Statistically Significant by the Wilcoxon rank-sum test
39.5% 21.7%

Figure 2 shows the change from baseline during titration plus maintenance (11 weeks) in partial-onset seizure frequency by category for patients treated with topiramate extended-release and placebo. Patients in whom the seizure frequency increased are shown as "worse." Patients in whom the seizure frequency decreased are shown in four categories of reduction in seizure frequency.

Figure 2: Proportion of Patients by Category of Seizure Response to Topiramate Extended-Release Capsules and Placebo

12.6 Relative Bioavailability of Topiramate Extended Release Capsules Compared to Immediate Release Topiramate in Healthy Volunteers (12.6 Relative Bioavailability of Topiramate Extended-Release Capsules Compared to Immediate-Release Topiramate in Healthy Volunteers)

Topiramate extended-release capsules, taken once daily, provides similar steady-state topiramate concentrations to immediate-release topiramate taken every 12 hours, when administered at the same total daily dose. In a healthy volunteer, multiple-dose crossover study, the 90% CI for the ratios of AUC 0–24, C maxand C min, as well as partial AUC (the area under the concentration-time curve from time 0 to time p (post dose)) for multiple time points were within the 80% to 125% bioequivalence limits, indicating no clinically significant difference between the two formulations. In addition, the 90% CI for the ratios of topiramate plasma concentration at each of multiple time points over 24 hours for the two formulations were within the 80% to 125% bioequivalence limits, except for the initial time points before 3 hours and at 8 hours post-dose, which is not expected to have a significant clinical impact.

The effects of switching between topiramate extended-release capsules and immediate-release topiramate were also evaluated in the same multiple-dose, crossover, comparative bioavailability study. In healthy subjects switched from immediate-release topiramate given every 12 hours to topiramate extended-release capsules given once daily, similar concentrations were maintained immediately after the formulation switch. On the first day following the switch, there were no significant differences in AUC 0–24, C max, and C min, as the 90% CI for the ratios were contained within the 80% to 125% equivalence limits.

14.1 Extended Release: Bridging Study to Demonstrate Pharmacokinetic Equivalence Between Extended Release and Immediate Release Topiramate Formulations (14.1 Extended-Release: Bridging Study to Demonstrate Pharmacokinetic Equivalence between Extended-Release and Immediate-Release Topiramate Formulations)

Although a controlled clinical trial was performed (Study 14) [see Clinical Studies (14.4)] , the basis for approval of the extended-release formulation included the studies described below using an immediate-release formulation [see Clinical Studies (14.2, 14.3, 14.5)] and the demonstration of the pharmacokinetic equivalence of topiramate extended-release to immediate-release topiramate through the analysis of concentrations and cumulative AUCs at multiple time points [see Clinical Pharmacology (12.6)] .


Advanced Ingredient Data


Raw Label Data

All Sections (JSON)