These Highlights Do Not Include All The Information Needed To Use Morphine Sulfate Oral Solution Safely And Effectively. See Full Prescribing Information For Morphine Sulfate Oral Solution.

These Highlights Do Not Include All The Information Needed To Use Morphine Sulfate Oral Solution Safely And Effectively. See Full Prescribing Information For Morphine Sulfate Oral Solution.
SPL v2
SPL
SPL Set ID 6654b91e-3b3f-4062-ac65-a2a70f942da4
Route
ORAL
Published
Effective Date 2024-04-30
Document Type 34391-3 HUMAN PRESCRIPTION DRUG LABEL

Drug Facts

Composition & Product

Active Ingredients
Morphine (100 mg)
Inactive Ingredients
Citric Acid Monohydrate Edetate Disodium Glycerin Sodium Benzoate Sorbitol Water D&c Red No. 33 Sucralose

Identifiers & Packaging

Pill Appearance
Color: pink
Marketing Status
NDA Active Since 2023-11-30

Description

WARNING: SERIOUS AND LIFE-THREATENING RISKS FROM USE OF MORPHINE SULFATE ORAL SOLUTION See full prescribing information for complete boxed warning. Ensure accuracy when prescribing, dispensing, and administering Morphine Sulfate Oral Solution. Dosing errors due to confusion between mg and mL, and other morphine sulfate oral solutions of different concentrations can result in accidental overdose and death. ( 2.1 , 5.1 ) Morphine Sulfate Oral Solution exposes users to risks of addiction, abuse, and misuse, which can lead to overdose and death. Assess patient's risk before prescribing and reassess regularly for these behaviors and conditions. ( 5.2 ) Serious, life-threatening, or fatal respiratory depression may occur especially during initiation and following dosage increase. To reduce the risk of respiratory depression, proper dosing and titration of Morphine Sulfate Oral Solution are essential. ( 5.3 ) Accidental ingestion of Morphine Sulfate Oral Solution, especially by children, can result in a fatal overdose of morphine. ( 5.3 ) Concomitant use of opioids with benzodiazepines or other central nervous system (CNS) depressants, including alcohol, may result in profound sedation, respiratory depression, coma, and death. Reserve concomitant prescribing for use in patients for whom alternative treatment options are inadequate. ( 5.4 , 7 ) If opioid use is required for an extended period of time in a pregnant woman, advise the patient of the risk of Neonatal Opioid Withdrawal Syndrome, which may be life-threatening if not recognized and treated. Ensure that management by neonatology experts will be available at delivery. ( 5.5 ) Healthcare providers are strongly encouraged to complete a REMS-compliant education program and to counsel patients and caregivers on serious risks, safe use, and the importance of reading the Medication Guide with each prescription. ( 5.6 )

Indications and Usage

Morphine Sulfate Oral Solution 2 mg/mL and 4 mg/mL is indicated for the management of: adults with acute and chronic pain severe enough to require an opioid analgesic and for which alternative treatments are inadequate. pediatric patients 2 years of age and older with acute pain severe enough to require an opioid analgesic and for which alternative treatments are inadequate. Morphine Sulfate Oral Solution 20 mg/mL is indicated for the relief of acute and chronic pain in opioid-tolerant adult patients.

Dosage and Administration

Ensure accuracy when prescribing, dispensing, and administering Morphine Sulfate Oral Solution to avoid dosing errors due to confusion between mg and mL, and with other morphine sulfate oral solutions of different concentrations, which could result in accidental overdose and death. Ensure the proper dose is communicated and dispensed. Morphine Sulfate Oral Solution should be prescribed only by healthcare professionals who are knowledgeable about the use of opioids and how to mitigate the associated risks. Use the lowest effective dosage for the shortest duration of time consistent with individual patient treatment goals [see Warnings and Precautions (5) ] . Because the risk of overdose increases as opioid doses increase, reserve titration to higher doses of Morphine Sulfate Oral Solution for patients in whom lower doses are insufficiently effective and in whom the expected benefits of using a higher dose opioid clearly outweigh the substantial risks. Many acute pain conditions (e.g., the pain that occurs with a number of surgical procedures or acute musculoskeletal injuries) require no more than a few days of an opioid analgesic. Clinical guidelines on opioid prescribing for some acute pain conditions are available. There is variability in the opioid analgesic dose and duration needed to adequately manage pain due both to the cause of pain and to individual patient factors. Initiate the dosing regimen for each patient individually, taking into account the patient's underlying cause and severity of pain, prior analgesic treatment and response, and risk factors for addiction, abuse, and misuse [see Warnings and Precautions (5.1) ] . Respiratory depression can occur at any time during opioid therapy, especially when initiating and following dosage increases with Morphine Sulfate Oral Solution. Consider this risk when selecting an initial dose and when making dose adjustments [see Warnings and Precautions (5) ] . Initiate the dosing regimen for each patient individually, taking into account the patient's severity of pain, patient response, prior analgesic treatment experience, and risk factors for addiction, abuse, and misuse [see Warnings and Precautions (5.2) ] .

Warnings and Precautions

Opioid-Induced Hyperalgesia and Allodynia : Opioid-Induced Hyperalgesia (OIH) occurs when an opioid analgesic paradoxically causes an increase in pain, or an increase in sensitivity to pain. If OIH is suspected, carefully consider appropriately decreasing the dose of the current opioid analgesic or opioid rotation. ( 5.7 ) Life-Threatening Respiratory Depression in Patients with Chronic Pulmonary Disease or in Elderly, Cachectic, or Debilitated Patients : Regularly evaluate closely, particularly during initiation and titration. ( 5.8 ) Adrenal Insufficiency : If diagnosed, treat with physiologic replacement of corticosteroids, and wean patient off of the opioid. ( 5.10 ) Severe Hypotension : Regularly evaluate during dosage initiation and titration. Avoid use of Morphine Sulfate Oral Solution in patients with circulatory shock. ( 5.11 ) Risks of Use in Patients with Increased Intracranial Pressure, Brain Tumors, Head Injury, or Impaired Consciousness : Monitor for sedation and respiratory depression. Avoid use of Morphine Sulfate Oral Solution in patients with impaired consciousness or coma. ( 5.12 )

Contraindications

Morphine Sulfate Oral Solution is contraindicated in patients with: Significant respiratory depression [see Warnings and Precautions (5.3) ] . Acute or severe bronchial asthma in an unmonitored setting or in the absence of resuscitative equipment [see Warnings and Precautions (5.8) ] . Concurrent use of monoamine oxidase inhibitors (MAOIs) or use of MAOIs within the last 14 days [see Warnings and Precautions (5.9) and Drug Interactions (7) ] . Known or suspected gastrointestinal obstruction, including paralytic ileus [see Warnings and Precautions (5.13) ] . Hypersensitivity to morphine (e.g., anaphylaxis) [see Adverse Reactions (6) ] .

Adverse Reactions

The following serious adverse reactions are described, or described in greater detail, in other sections: Addiction, Abuse, and Misuse [see Warnings and Precautions (5.2) ] Life-Threatening Respiratory Depression [see Warnings and Precautions (5.3) ] Interactions with Benzodiazepine or Other CNS Depressants [see Warnings and Precautions (5.4) ] Neonatal Opioid Withdrawal Syndrome [see Warnings and Precautions (5.5) ] Opioid-Induced Hyperalgesia and Allodynia [see Warnings and Precautions (5.7) ] Adrenal Insufficiency [see Warnings and Precautions (5.10) ] Severe Hypotension [see Warnings and Precautions (5.11) ] Gastrointestinal Adverse Reactions [see Warnings and Precautions (5.13) ] Seizures [see Warnings and Precautions (5.14) ] Withdrawal [see Warnings and Precautions (5.15) ] The following adverse reactions associated with the use of morphine were identified in clinical studies or postmarketing reports. Because some of these reactions were reported voluntarily from a population of uncertain size, it is not always possible to reliably estimate their frequency or establish a causal relationship to drug exposure. Serious adverse reactions associated with morphine use included: respiratory depression, apnea, and to a lesser degree, circulatory depression, respiratory arrest, shock and cardiac arrest. The common adverse reactions seen on initiation of therapy with morphine in adults were dose-dependent and were typical opioid-related adverse reactions. The most frequent of these included constipation, nausea, and somnolence. Other commonly observed adverse reactions included: lightheadedness, dizziness, sedation, vomiting, and sweating. The frequency of these events depended upon several factors including clinical setting, the patient's level of opioid tolerance, and host factors specific to the individual. Other less frequently observed adverse reactions from opioid analgesics, including morphine sulfate included: Body as a Whole: malaise, withdrawal syndrome Cardiovascular System: bradycardia, hypertension, hypotension, palpitations, syncope, tachycardia Digestive System: anorexia, biliary pain, dyspepsia, dysphagia, gastroenteritis, abnormal liver function tests, rectal disorder, thirst Endocrine: hypogonadism Hemic and Lymphatic System: anemia, thrombocytopenia Metabolic and Nutritional Disorders: edema, weight loss Musculoskeletal: skeletal muscle rigidity, decreased bone mineral density Nervous System: abnormal dreams, abnormal gait, agitation, amnesia, anxiety, ataxia, confusion, convulsions, coma, delirium, depression, dry mouth, euphoria, hallucinations, lethargy, nervousness, abnormal thinking, tremor, vasodilation, vertigo, headache Skin and Appendages: dry skin, urticaria, pruritus Special Senses: amblyopia, eye pain, taste perversion Urogenital System: abnormal ejaculation, dysuria, impotence, decreased libido, oliguria, urinary retention or hesitancy, antidiuretic effect, amenorrhea Serotonin Syndrome: Cases of serotonin syndrome, a potentially life-threatening condition, have been reported during concomitant use of opioids with serotonergic drugs. Adrenal Insufficiency: Cases of adrenal insufficiency have been reported with opioid use, more often following greater than one month of use. Anaphylaxis: Anaphylaxis has been reported with ingredients contained in Morphine Sulfate Oral Solution. Androgen Deficiency: Cases of androgen deficiency have occurred with use of opioids for an extended period of time [see Clinical Pharmacology (12.2) ] . Hyperalgesia and Allodynia: Cases of hyperalgesia and allodynia have been reported with opioid therapy of any duration [see Warnings and Precautions (5.7) ] . Hypoglycemia: Cases of hypoglycemia have been reported in patients taking opioids. Most reports were in patients with at least one predisposing risk factor (e.g., diabetes).

Drug Interactions

Table 1 includes clinically significant drug interactions with Morphine Sulfate Oral Solution. Table 1: Clinically Significant Drug Interactions with Morphine Sulfate Oral Solution Benzodiazepines and Other Central Benzodiazepines and Other Central Nervous System (CNS) Depressants Clinical Impact: Due to additive pharmacologic effect, the concomitant use of benzodiazepines or other CNS depressants, including alcohol, can increase the risk of hypotension, respiratory depression, profound sedation, coma, and death [see Warnings and Precautions (5.4) ] . Intervention: Reserve concomitant prescribing of these drugs for use in patients for whom alternative treatment options are inadequate. Limit dosages and durations to the minimum required. Inform patients and caregivers of this potential interaction and educate them on the signs and symptoms of respiratory depression (including sedation). If concomitant use is warranted, consider prescribing naloxone for the emergency treatment of opioid overdose [see Dosage and Administration (2.3) and Warnings and Precautions (5.2 , 5.3 , 5.4) ] . Examples: Benzodiazepines and other sedatives/hypnotics, anxiolytics, tranquilizers, muscle relaxants, general anesthetics, antipsychotics, other opioids, alcohol. Serotonergic Drugs Clinical Impact: The concomitant use of opioids with other drugs that affect the serotonergic neurotransmitter system has resulted in serotonin syndrome. Intervention: If concomitant use is warranted, frequently evaluate the patient, particularly during treatment initiation and dose adjustment. Discontinue Morphine Sulfate Oral Solution if serotonin syndrome is suspected. Examples: Selective serotonin reuptake inhibitors (SSRIs), serotonin and norepinephrine reuptake inhibitors (SNRIs), tricyclic antidepressants (TCAs), triptans, 5-HT3 receptor antagonists, drugs that affect the serotonin neurotransmitter system (e.g., mirtazapine, trazodone, tramadol), certain muscle relaxants (i.e., cyclobenzaprine, metaxalone), monoamine oxidase (MAO) inhibitors (those intended to treat psychiatric disorders and also others, such as linezolid and intravenous methylene blue). Monoamine Oxidase Inhibitors (MAOIs) Clinical Impact: MAOI interactions with opioids may manifest as serotonin syndrome or opioid toxicity (e.g., respiratory depression, coma) [see Warnings and Precautions (5.3 , 5.9) ] . Intervention: Do not use Morphine Sulfate Oral Solution in patients taking MAOIs or within 14 days of stopping such treatment. Examples: Phenelzine, tranylcypromine, linezolid. Mixed Agonist/Antagonist and Partial Agonist Opioid Analgesics Clinical Impact: May reduce the analgesic effect of Morphine Sulfate Oral Solution and/or precipitate withdrawal symptoms. Intervention: Avoid concomitant use. Examples: Butorphanol, nalbuphine, pentazocine, buprenorphine. Muscle Relaxants Clinical Impact: Morphine may enhance the neuromuscular blocking action of skeletal muscle relaxants and produce an increased degree of respiratory depression. Intervention: Because respiratory depression may be greater than otherwise expected decrease the dosage of Morphine Sulfate Oral Solution and/or the muscle relaxant as necessary. Due to the risk of respiratory depression with concomitant use of skeletal muscle relaxants and opioids, consider prescribing naloxone for the emergency treatment of opioid overdose [see Dosage and Administration (2.3) and Warnings and Precautions (5.3 , 5.4) ] . Examples: Cyclobenzaprine, metaxalone. Cimetidine Clinical Impact: The concomitant use of morphine and cimetidine has been reported to precipitate apnea, confusion, and muscle twitching in an isolated report. Intervention: Evaluate patients for increased respiratory and CNS depression when Morphine Sulfate Oral Solution is used concomitantly with cimetidine. Diuretics Clinical Impact: Opioids can reduce the efficacy of diuretics by inducing the release of antidiuretic hormone. Intervention: Evaluate patients for signs of diminished diuresis and/or effects on blood pressure and increase the dosage of the diuretic as needed. Anticholinergic Drugs Clinical Impact: The concomitant use of anticholinergic drugs may increase risk of urinary retention and/or severe constipation, which may lead to paralytic ileus. Intervention: Evaluate patients for signs of urinary retention or reduced gastric motility when Morphine Sulfate Oral Solution is used concomitantly with anticholinergic drugs. P-Glycoprotein (P-gp) Inhibitors Clinical Impact: The concomitant use of P-gp inhibitors can increase the exposure to morphine by two-fold and can increase the risk of hypotension, respiratory depression, profound sedation, coma, and death. Intervention: Evaluate patients for signs of respiratory depression that may be greater than otherwise expected and decrease the dosage of Morphine Sulfate Oral Solution and/or the P-gp inhibitor as necessary. Examples: Quinidine, verapamil


Medication Information

Warnings and Precautions

Opioid-Induced Hyperalgesia and Allodynia : Opioid-Induced Hyperalgesia (OIH) occurs when an opioid analgesic paradoxically causes an increase in pain, or an increase in sensitivity to pain. If OIH is suspected, carefully consider appropriately decreasing the dose of the current opioid analgesic or opioid rotation. ( 5.7 ) Life-Threatening Respiratory Depression in Patients with Chronic Pulmonary Disease or in Elderly, Cachectic, or Debilitated Patients : Regularly evaluate closely, particularly during initiation and titration. ( 5.8 ) Adrenal Insufficiency : If diagnosed, treat with physiologic replacement of corticosteroids, and wean patient off of the opioid. ( 5.10 ) Severe Hypotension : Regularly evaluate during dosage initiation and titration. Avoid use of Morphine Sulfate Oral Solution in patients with circulatory shock. ( 5.11 ) Risks of Use in Patients with Increased Intracranial Pressure, Brain Tumors, Head Injury, or Impaired Consciousness : Monitor for sedation and respiratory depression. Avoid use of Morphine Sulfate Oral Solution in patients with impaired consciousness or coma. ( 5.12 )

Indications and Usage

Morphine Sulfate Oral Solution 2 mg/mL and 4 mg/mL is indicated for the management of: adults with acute and chronic pain severe enough to require an opioid analgesic and for which alternative treatments are inadequate. pediatric patients 2 years of age and older with acute pain severe enough to require an opioid analgesic and for which alternative treatments are inadequate. Morphine Sulfate Oral Solution 20 mg/mL is indicated for the relief of acute and chronic pain in opioid-tolerant adult patients.

Dosage and Administration

Ensure accuracy when prescribing, dispensing, and administering Morphine Sulfate Oral Solution to avoid dosing errors due to confusion between mg and mL, and with other morphine sulfate oral solutions of different concentrations, which could result in accidental overdose and death. Ensure the proper dose is communicated and dispensed. Morphine Sulfate Oral Solution should be prescribed only by healthcare professionals who are knowledgeable about the use of opioids and how to mitigate the associated risks. Use the lowest effective dosage for the shortest duration of time consistent with individual patient treatment goals [see Warnings and Precautions (5) ] . Because the risk of overdose increases as opioid doses increase, reserve titration to higher doses of Morphine Sulfate Oral Solution for patients in whom lower doses are insufficiently effective and in whom the expected benefits of using a higher dose opioid clearly outweigh the substantial risks. Many acute pain conditions (e.g., the pain that occurs with a number of surgical procedures or acute musculoskeletal injuries) require no more than a few days of an opioid analgesic. Clinical guidelines on opioid prescribing for some acute pain conditions are available. There is variability in the opioid analgesic dose and duration needed to adequately manage pain due both to the cause of pain and to individual patient factors. Initiate the dosing regimen for each patient individually, taking into account the patient's underlying cause and severity of pain, prior analgesic treatment and response, and risk factors for addiction, abuse, and misuse [see Warnings and Precautions (5.1) ] . Respiratory depression can occur at any time during opioid therapy, especially when initiating and following dosage increases with Morphine Sulfate Oral Solution. Consider this risk when selecting an initial dose and when making dose adjustments [see Warnings and Precautions (5) ] . Initiate the dosing regimen for each patient individually, taking into account the patient's severity of pain, patient response, prior analgesic treatment experience, and risk factors for addiction, abuse, and misuse [see Warnings and Precautions (5.2) ] .

Contraindications

Morphine Sulfate Oral Solution is contraindicated in patients with: Significant respiratory depression [see Warnings and Precautions (5.3) ] . Acute or severe bronchial asthma in an unmonitored setting or in the absence of resuscitative equipment [see Warnings and Precautions (5.8) ] . Concurrent use of monoamine oxidase inhibitors (MAOIs) or use of MAOIs within the last 14 days [see Warnings and Precautions (5.9) and Drug Interactions (7) ] . Known or suspected gastrointestinal obstruction, including paralytic ileus [see Warnings and Precautions (5.13) ] . Hypersensitivity to morphine (e.g., anaphylaxis) [see Adverse Reactions (6) ] .

Adverse Reactions

The following serious adverse reactions are described, or described in greater detail, in other sections: Addiction, Abuse, and Misuse [see Warnings and Precautions (5.2) ] Life-Threatening Respiratory Depression [see Warnings and Precautions (5.3) ] Interactions with Benzodiazepine or Other CNS Depressants [see Warnings and Precautions (5.4) ] Neonatal Opioid Withdrawal Syndrome [see Warnings and Precautions (5.5) ] Opioid-Induced Hyperalgesia and Allodynia [see Warnings and Precautions (5.7) ] Adrenal Insufficiency [see Warnings and Precautions (5.10) ] Severe Hypotension [see Warnings and Precautions (5.11) ] Gastrointestinal Adverse Reactions [see Warnings and Precautions (5.13) ] Seizures [see Warnings and Precautions (5.14) ] Withdrawal [see Warnings and Precautions (5.15) ] The following adverse reactions associated with the use of morphine were identified in clinical studies or postmarketing reports. Because some of these reactions were reported voluntarily from a population of uncertain size, it is not always possible to reliably estimate their frequency or establish a causal relationship to drug exposure. Serious adverse reactions associated with morphine use included: respiratory depression, apnea, and to a lesser degree, circulatory depression, respiratory arrest, shock and cardiac arrest. The common adverse reactions seen on initiation of therapy with morphine in adults were dose-dependent and were typical opioid-related adverse reactions. The most frequent of these included constipation, nausea, and somnolence. Other commonly observed adverse reactions included: lightheadedness, dizziness, sedation, vomiting, and sweating. The frequency of these events depended upon several factors including clinical setting, the patient's level of opioid tolerance, and host factors specific to the individual. Other less frequently observed adverse reactions from opioid analgesics, including morphine sulfate included: Body as a Whole: malaise, withdrawal syndrome Cardiovascular System: bradycardia, hypertension, hypotension, palpitations, syncope, tachycardia Digestive System: anorexia, biliary pain, dyspepsia, dysphagia, gastroenteritis, abnormal liver function tests, rectal disorder, thirst Endocrine: hypogonadism Hemic and Lymphatic System: anemia, thrombocytopenia Metabolic and Nutritional Disorders: edema, weight loss Musculoskeletal: skeletal muscle rigidity, decreased bone mineral density Nervous System: abnormal dreams, abnormal gait, agitation, amnesia, anxiety, ataxia, confusion, convulsions, coma, delirium, depression, dry mouth, euphoria, hallucinations, lethargy, nervousness, abnormal thinking, tremor, vasodilation, vertigo, headache Skin and Appendages: dry skin, urticaria, pruritus Special Senses: amblyopia, eye pain, taste perversion Urogenital System: abnormal ejaculation, dysuria, impotence, decreased libido, oliguria, urinary retention or hesitancy, antidiuretic effect, amenorrhea Serotonin Syndrome: Cases of serotonin syndrome, a potentially life-threatening condition, have been reported during concomitant use of opioids with serotonergic drugs. Adrenal Insufficiency: Cases of adrenal insufficiency have been reported with opioid use, more often following greater than one month of use. Anaphylaxis: Anaphylaxis has been reported with ingredients contained in Morphine Sulfate Oral Solution. Androgen Deficiency: Cases of androgen deficiency have occurred with use of opioids for an extended period of time [see Clinical Pharmacology (12.2) ] . Hyperalgesia and Allodynia: Cases of hyperalgesia and allodynia have been reported with opioid therapy of any duration [see Warnings and Precautions (5.7) ] . Hypoglycemia: Cases of hypoglycemia have been reported in patients taking opioids. Most reports were in patients with at least one predisposing risk factor (e.g., diabetes).

Drug Interactions

Table 1 includes clinically significant drug interactions with Morphine Sulfate Oral Solution. Table 1: Clinically Significant Drug Interactions with Morphine Sulfate Oral Solution Benzodiazepines and Other Central Benzodiazepines and Other Central Nervous System (CNS) Depressants Clinical Impact: Due to additive pharmacologic effect, the concomitant use of benzodiazepines or other CNS depressants, including alcohol, can increase the risk of hypotension, respiratory depression, profound sedation, coma, and death [see Warnings and Precautions (5.4) ] . Intervention: Reserve concomitant prescribing of these drugs for use in patients for whom alternative treatment options are inadequate. Limit dosages and durations to the minimum required. Inform patients and caregivers of this potential interaction and educate them on the signs and symptoms of respiratory depression (including sedation). If concomitant use is warranted, consider prescribing naloxone for the emergency treatment of opioid overdose [see Dosage and Administration (2.3) and Warnings and Precautions (5.2 , 5.3 , 5.4) ] . Examples: Benzodiazepines and other sedatives/hypnotics, anxiolytics, tranquilizers, muscle relaxants, general anesthetics, antipsychotics, other opioids, alcohol. Serotonergic Drugs Clinical Impact: The concomitant use of opioids with other drugs that affect the serotonergic neurotransmitter system has resulted in serotonin syndrome. Intervention: If concomitant use is warranted, frequently evaluate the patient, particularly during treatment initiation and dose adjustment. Discontinue Morphine Sulfate Oral Solution if serotonin syndrome is suspected. Examples: Selective serotonin reuptake inhibitors (SSRIs), serotonin and norepinephrine reuptake inhibitors (SNRIs), tricyclic antidepressants (TCAs), triptans, 5-HT3 receptor antagonists, drugs that affect the serotonin neurotransmitter system (e.g., mirtazapine, trazodone, tramadol), certain muscle relaxants (i.e., cyclobenzaprine, metaxalone), monoamine oxidase (MAO) inhibitors (those intended to treat psychiatric disorders and also others, such as linezolid and intravenous methylene blue). Monoamine Oxidase Inhibitors (MAOIs) Clinical Impact: MAOI interactions with opioids may manifest as serotonin syndrome or opioid toxicity (e.g., respiratory depression, coma) [see Warnings and Precautions (5.3 , 5.9) ] . Intervention: Do not use Morphine Sulfate Oral Solution in patients taking MAOIs or within 14 days of stopping such treatment. Examples: Phenelzine, tranylcypromine, linezolid. Mixed Agonist/Antagonist and Partial Agonist Opioid Analgesics Clinical Impact: May reduce the analgesic effect of Morphine Sulfate Oral Solution and/or precipitate withdrawal symptoms. Intervention: Avoid concomitant use. Examples: Butorphanol, nalbuphine, pentazocine, buprenorphine. Muscle Relaxants Clinical Impact: Morphine may enhance the neuromuscular blocking action of skeletal muscle relaxants and produce an increased degree of respiratory depression. Intervention: Because respiratory depression may be greater than otherwise expected decrease the dosage of Morphine Sulfate Oral Solution and/or the muscle relaxant as necessary. Due to the risk of respiratory depression with concomitant use of skeletal muscle relaxants and opioids, consider prescribing naloxone for the emergency treatment of opioid overdose [see Dosage and Administration (2.3) and Warnings and Precautions (5.3 , 5.4) ] . Examples: Cyclobenzaprine, metaxalone. Cimetidine Clinical Impact: The concomitant use of morphine and cimetidine has been reported to precipitate apnea, confusion, and muscle twitching in an isolated report. Intervention: Evaluate patients for increased respiratory and CNS depression when Morphine Sulfate Oral Solution is used concomitantly with cimetidine. Diuretics Clinical Impact: Opioids can reduce the efficacy of diuretics by inducing the release of antidiuretic hormone. Intervention: Evaluate patients for signs of diminished diuresis and/or effects on blood pressure and increase the dosage of the diuretic as needed. Anticholinergic Drugs Clinical Impact: The concomitant use of anticholinergic drugs may increase risk of urinary retention and/or severe constipation, which may lead to paralytic ileus. Intervention: Evaluate patients for signs of urinary retention or reduced gastric motility when Morphine Sulfate Oral Solution is used concomitantly with anticholinergic drugs. P-Glycoprotein (P-gp) Inhibitors Clinical Impact: The concomitant use of P-gp inhibitors can increase the exposure to morphine by two-fold and can increase the risk of hypotension, respiratory depression, profound sedation, coma, and death. Intervention: Evaluate patients for signs of respiratory depression that may be greater than otherwise expected and decrease the dosage of Morphine Sulfate Oral Solution and/or the P-gp inhibitor as necessary. Examples: Quinidine, verapamil

Description

WARNING: SERIOUS AND LIFE-THREATENING RISKS FROM USE OF MORPHINE SULFATE ORAL SOLUTION See full prescribing information for complete boxed warning. Ensure accuracy when prescribing, dispensing, and administering Morphine Sulfate Oral Solution. Dosing errors due to confusion between mg and mL, and other morphine sulfate oral solutions of different concentrations can result in accidental overdose and death. ( 2.1 , 5.1 ) Morphine Sulfate Oral Solution exposes users to risks of addiction, abuse, and misuse, which can lead to overdose and death. Assess patient's risk before prescribing and reassess regularly for these behaviors and conditions. ( 5.2 ) Serious, life-threatening, or fatal respiratory depression may occur especially during initiation and following dosage increase. To reduce the risk of respiratory depression, proper dosing and titration of Morphine Sulfate Oral Solution are essential. ( 5.3 ) Accidental ingestion of Morphine Sulfate Oral Solution, especially by children, can result in a fatal overdose of morphine. ( 5.3 ) Concomitant use of opioids with benzodiazepines or other central nervous system (CNS) depressants, including alcohol, may result in profound sedation, respiratory depression, coma, and death. Reserve concomitant prescribing for use in patients for whom alternative treatment options are inadequate. ( 5.4 , 7 ) If opioid use is required for an extended period of time in a pregnant woman, advise the patient of the risk of Neonatal Opioid Withdrawal Syndrome, which may be life-threatening if not recognized and treated. Ensure that management by neonatology experts will be available at delivery. ( 5.5 ) Healthcare providers are strongly encouraged to complete a REMS-compliant education program and to counsel patients and caregivers on serious risks, safe use, and the importance of reading the Medication Guide with each prescription. ( 5.6 )

Section 42229-5

Risk of Medication Errors

Ensure accuracy when prescribing, dispensing, and administering Morphine Sulfate Oral Solution.

Dosing errors due to confusion between mg and mL, and other morphine sulfate oral solutions of different concentrations can result in accidental overdose and death [see Dosage and Administration (2.1), Warnings and Precautions (5.1)].

Section 42231-1
This Medication Guide has been approved by the U.S. Food and Drug Administration
LI1656 Rev. 04/24
Medication Guide

Morphine (mor-pheen) Sulfate

Oral Solution, CII
Morphine Sulfate Oral Solution is:
  • A strong prescription pain medicine that contains an opioid (narcotic) that is used to manage short term (acute) and long term (chronic) pain severe enough to require an opioid pain medicine, when other pain treatments such as non-opioid pain medicines do not treat your pain well enough or you cannot tolerate them.
  • An opioid pain medicine that can put you at risk for overdose and death. Even if you take your dose correctly as prescribed you are at risk for opioid addiction, abuse, and misuse that can lead to death.
Important information about Morphine Sulfate Oral Solution:
  • Get emergency help or call 911 right away if you take too much Morphine Sulfate Oral Solution (overdose). When you first start taking Morphine Sulfate Oral Solution, when your dose is changed, or if you take too much (overdose), serious or life- threatening breathing problems that can lead to death may occur. Talk to your healthcare provider about naloxone, a medicine for the emergency treatment of an opioid overdose.
  • Taking Morphine Sulfate Oral Solution with other opioid medicines, benzodiazepines, alcohol, or other central nervous system depressants (including street drugs) can cause severe drowsiness, decreased awareness, breathing problems, coma, and death.
  • Never give anyone else your Morphine Sulfate Oral Solution. They could die from taking it. Selling or giving away Morphine Sulfate Oral Solution is against the law.
  • Store Morphine Sulfate Oral Solution securely, out of sight and reach of children, and in a location not accessible by others, including visitors to the home.
Do not take Morphine Sulfate Oral Solution if you have:
  • severe asthma, trouble breathing, or other lung problems.
  • a bowel blockage or have narrowing of the stomach or intestines.
  • an allergy to morphine.
Before taking Morphine Sulfate Oral Solution, tell your healthcare provider if you have a history of:
  • head injury, seizures
  • problems urinating
  • liver, kidney, thyroid problems
  • pancreas or gallbladder problems
  • abuse of street or prescription drugs, alcohol addiction, opioid overdose, or mental health problems.
Tell your healthcare provider if you are:
  • noticing your pain getting worse. If your pain gets worse after you take Morphine Sulfate Oral Solution, do not take more of Morphine Sulfate Oral Solution without first talking to your healthcare provider. Talk to your healthcare provider if the pain that you have increases, if you feel more sensitive to pain, or if you have new pain after taking Morphine Sulfate Oral Solution.
  • pregnant or planning to become pregnant. Use of Morphine Sulfate Oral Solution for an extended period of time during pregnancy can cause withdrawal symptoms in your newborn baby that could be life-threatening if not recognized and treated.
  • breastfeeding. Morphine Sulfate Oral Solution passes into breast milk and may harm your baby. Carefully observe infants for increased sleepiness (more than usual), breathing difficulties, or limpness. Seek immediate medical care if you notice these signs.
  • living in a household where there are small children or someone who has abused street or prescription drugs.
  • taking prescription or over-the-counter medicines, vitamins, or herbal supplements. Taking Morphine Sulfate Oral Solution with certain other medicines can cause serious side effects that could lead to death
When taking Morphine Sulfate Oral Solution:
  • Take Morphine Sulfate Oral Solution exactly as prescribed by your healthcare provider. Use the lowest dose possible for the shortest time needed.
  • For acute (short-term) pain, you may only need to take Morphine Sulfate Oral Solution for a few days. See disposal information at the bottom of this section for directions on how to safely throw away (dispose of) unused Morphine Sulfate Oral Solution.
  • Call your healthcare provider if the dose you are taking does not control your pain.
  • If you have been taking Morphine Sulfate Oral Solution regularly, do not stop taking Morphine Sulfate Oral Solution without talking to your healthcare provider.
  • Dispose of expired, unwanted, or unused Morphine Sulfate Oral Solution by promptly flushing down the toilet, if a drug take-back option is not readily
  • available. Visit www.fda.gov/drugdisposal for additional information on disposal of unused medicines.
While taking Morphine Sulfate Oral Solution DO NOT:
  • Drive or operate heavy machinery, until you know how Morphine Sulfate Oral Solution affects you. Morphine Sulfate Oral Solution can make you sleepy, dizzy, or lightheaded.
  • Drink alcohol or use prescription or over-the-counter medicines that contain alcohol. Using products containing alcohol during treatment with Morphine Sulfate Oral Solution may cause you to overdose and die.
The possible side effects of Morphine Sulfate Oral Solution:
  • constipation, nausea, sleepiness, vomiting, tiredness, headache, dizziness, abdominal pain. Call your healthcare provider if you have any of these symptoms and they are severe.
Get emergency medical help or call 911 right away if you have:
  • trouble breathing, shortness of breath, fast heartbeat, chest pain, swelling of your face, tongue, or throat, extreme drowsiness, light-headedness when changing positions, feeling faint, agitation, high body temperature, trouble walking, stiff muscles, or mental changes such as confusion.
These are not all the possible side effects of Morphine Sulfate Oral Solution. Call your healthcare provider for medical advice about side effects. You may report side effects to FDA at 1-800-FDA-1088.

For more information go to dailymed.nlm.nih.gov.
Packaged by:

Precision Dose, Inc.

South Beloit, IL 61080

For inquiries call Precision Dose, Inc. at

1-800-397-9228 or email [email protected]
Section 43683-2
Boxed Warning 12/2023
Indications and Usage (1) 12/2023
Dosage and Administration (2.2, 2.4, 2.5) 12/2023
Warnings and Precautions (5.7) 12/2023
Section 44425-7

Storage

Store at 20° to 25°C (68° to 77°F). [See USP Controlled Room Temperature.]

Protect from moisture.

Store Morphine Sulfate Oral Solution securely and dispose of properly.

9.2 Abuse

Morphine Sulfate Oral Solution contains morphine, a substance with a high potential for misuse and abuse, which can lead to the development of substance use disorder, including addiction [see Warnings and Precautions (5.2)].

Misuse is the intentional use, for therapeutic purposes, of a drug by an individual in a way other than prescribed by a healthcare provider or for whom it was not prescribed.

Abuse is the intentional, non-therapeutic use of a drug, even once, for its desirable psychological or physiological effects.

Drug addiction is a cluster of behavioral, cognitive, and physiological phenomena that may include a strong desire to take the drug, difficulties in controlling drug use (e.g., continuing drug use despite harmful consequences, giving a higher priority to drug use than other activities and obligations), and possible tolerance or physical dependence.

Misuse and abuse of Morphine Sulfate Oral Solution increases risk of overdose, which may lead to central nervous system and respiratory depression, hypotension, seizures, and death. The risk is increased with concurrent abuse of Morphine Sulfate Oral Solution with alcohol and/or other CNS depressants. Abuse of and addiction to opioids in some individuals may not be accompanied by concurrent tolerance and symptoms of physical dependence. In addition, abuse of opioids can occur in the absence of addiction.

All patients treated with opioids require careful and frequent reevaluation for signs of misuse, abuse, and addiction, because use of opioid analgesic products carries the risk of addiction even under appropriate medical use.

Patients at high risk of Morphine Sulfate Oral Solution abuse include those with a history of prolonged use of any opioids, including products containing morphine, those with a history of drug or alcohol abuse, or those who use Morphine Sulfate Oral Solution in combination with other abused drugs.

"Drug-seeking" behavior is very common in persons with substance use disorders. Drug-seeking tactics include emergency calls or visits near the end of office hours, refusal to undergo appropriate examination, testing, or referral, repeated "loss" of prescriptions, tampering with prescriptions, and reluctance to provide prior medical records or contact information for other treating healthcare provider(s). "Doctor shopping" (visiting multiple prescribers to obtain additional prescriptions) is common among people who abuse drugs and people with substance use disorder. Preoccupation with achieving adequate pain relief can be appropriate behavior in a patient with inadequate pain control.

Morphine Sulfate Oral Solution, like other opioids, can be diverted for nonmedical use into illicit channels of distribution. Careful record-keeping of prescribing information, including quantity, frequency, and renewal requests, as required by state and federal law, is strongly advised.

Proper assessment of the patient, proper prescribing practices, periodic reevaluation of therapy, and proper dispensing and storage are appropriate measures that help to limit abuse of opioid drugs.

11 Description

Morphine Sulfate Oral Solution is an opioid agonist, available in the following concentrations for oral administration:

  • 10 mg per 5 mL (2 mg/mL): Each 1 mL of oral solution contains 2 mg of morphine sulfate, USP (equivalent to 1.5 mg morphine).
  • 20 mg per 5 mL (4 mg/mL): Each 1 mL of oral solution contains 4 mg of morphine sulfate, USP (equivalent to 3 mg morphine).
  • 100 mg per 5 mL (20 mg/mL): Each 1 mL of oral solution contains 20 mg of morphine sulfate, USP (equivalent to 15 mg morphine).

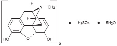
The chemical name is 7,8-didehydro-4,5 alpha-epoxy-17 methyl-morphinan-3,6 alpha-diol sulfate (2:1) (salt) pentahydrate. The molecular weight is 758.83. Its molecular formula is (C17H21NO3)2∙H2SO4∙5H2O, and it has the following chemical structure.

Morphine sulfate, USP is a white to off-white crystalline powder or a fine white to light yellow powder. It is soluble in water and slightly soluble in alcohol, but is practically insoluble in chloroform or ether. The octanol:water partition coefficient of morphine is 1.42 at physiologic pH and the pKa is 7.9 for the tertiary nitrogen (the majority is ionized at pH 7.4).

For the 10 mg per 5 mL (2 mg/mL) concentration: Each 5 mL of oral solution contains 10 mg of morphine sulfate, USP and the following inactive ingredients: citric acid anhydrous, disodium edetate, FD&C Green No. 3 (fast green), glycerin, sodium benzoate, sorbitol and purified water.

For the 20 mg per 5 mL (4 mg/mL) concentration: Each 5 mL of oral solution contains 20 mg of morphine sulfate, USP and the following inactive ingredients: citric acid anhydrous, disodium edetate, FD&C Green No. 3 (fast green), glycerin, methylparaben, propylparaben, sodium benzoate, sorbitol and purified water.

For the 100 mg per 5 mL (20 mg/mL) concentration (only for opioid-tolerant adults): Each 5 mL of oral solution contains 100 mg of morphine sulfate, USP and the following inactive ingredients: citric acid anhydrous, disodium edetate, glycerin, sodium benzoate, sorbitol and purified water. Additionally, the tinted solution contains D & C Red No. 33 and sucralose.

9.3 Dependence

Both tolerance and physical dependence can develop during chronic opioid therapy.

Tolerance is a physiological state characterized by a reduced response to a drug after repeated administration (i.e., a higher dose of a drug is required to produce the same effect that was once obtained at a lower dose).

Physical dependence is a state that develops as a result of a physiological adaptation in response to repeated drug use, manifested by withdrawal signs and symptoms after abrupt discontinuation or a significant dose reduction of a drug.

Withdrawal may be precipitated through the administration of drugs with opioid antagonist activity (e.g., naloxone), mixed agonist/antagonist analgesics (e.g., pentazocine, butorphanol, nalbuphine), or partial agonists (e.g., buprenorphine). Physical dependence may not occur to a clinically significant degree until after several days to weeks of continued use.

Do not abruptly discontinue Morphine Sulfate Oral Solution in a patient physically dependent on opioids. Rapid tapering of Morphine Sulfate Oral Solution in a patient physically dependent on opioids may lead to serious withdrawal symptoms, uncontrolled pain, and suicide. Rapid discontinuation has also been associated with attempts to find other sources of opioid analgesics, which may be confused with drug-seeking for abuse.

When discontinuing Morphine Sulfate Oral Solution, gradually taper the dosage using a patient-specific plan that considers the following: the dose of Morphine Sulfate Oral Solution the patient has been taking, the duration of treatment, and the physical and psychological attributes of the patient. To improve the likelihood of a successful taper and minimize withdrawal symptoms, it is important that the opioid tapering schedule is agreed upon by the patient. In patients taking opioids for a long duration at high doses, ensure that a multimodal approach to pain management, including mental health support (if needed), is in place prior to initiating an opioid analgesic taper [see Dosage and Administration (2.6) and Warnings and Precautions (5.15)].

Infants born to mothers physically dependent on opioids will also be physically dependent and may exhibit respiratory difficulties and withdrawal signs [see Use in Specific Populations (8.1)].

5.15 Withdrawal

Do not abruptly discontinue Morphine Sulfate Oral Solution in a patient physically dependent on opioids. When discontinuing Morphine Sulfate Oral Solution in a physically dependent patient, gradually taper the dosage. Rapid tapering of morphine in a patient physically dependent on opioids may lead to a withdrawal syndrome and return of pain [see Dosage and Administration (2.6) and Drug Abuse and Dependence (9.3)].

Additionally, avoid the use of mixed agonist/antagonist (e.g., pentazocine, nalbuphine, and butorphanol) or partial agonist (e.g., buprenorphine) analgesics in patients who are receiving a full opioid agonist analgesic, including Morphine Sulfate Oral Solution. In these patients, mixed agonist/antagonist and partial agonist analgesics may reduce the analgesic effect and/or precipitate withdrawal symptoms [see Drug Interactions (7)].

8.4 Pediatric Use

The safety and effectiveness of Morphine Sulfate Oral Solution (2 mg/mL and 4 mg/mL) have been established for the management of pediatric patients 2 to 17 years of age with acute pain severe enough to require an opioid analgesic when alternative treatments are inadequate. Use of Morphine Sulfate Oral Solution in this age group is supported by clinical evidence in adults and supportive data from an open-label, safety and pharmacokinetic study in pediatric patients 2 through 17 years of age with post-operative acute pain. Patients were excluded if they had used opioids for more than 7 days within the previous 30 days prior to surgery or had received opioids in any form in the previous 7 days prior to surgery. Initial dosing was approximately 0.15 mg/kg to 0.3 mg/kg. Pharmacokinetic modeling and simulation indicate that an initial dose of 0.3 mg/kg in pediatric patients 2 years of age and older is expected to produce a maximum systemic exposure (Cmax) similar to that achieved after single dose administration of 10 mg Morphine Sulfate Oral Solution to adults [see Clinical Pharmacology (12.3)]. Safety data were available in 81 patients who received single and multiple doses (63 patients aged 2 to 17 years received Morphine Sulfate Oral Solution; 18 patients aged 12 to 17 years received Morphine Sulfate Tablets). The median duration of treatment was 20 hours (range 4 hours to 36 hours). Opioid and non-opioid rescue analgesics were allowed. The safety profile in pediatric patients consisted primarily of opioidrelated adverse reactions and is similar to that observed in adults [see Adverse Reactions (6)].

The safety and effectiveness of Morphine Sulfate Oral Solution (2 mg/mL and 4 mg/mL) have not been established for the management of pediatric patients 2 to 17 years of age with chronic pain severe enough to require an opioid analgesic when alternative treatments are inadequate.

The safety and effectiveness of Morphine Sulfate Oral Solution (2 mg/mL and 4 mg/mL) have not been established in pediatric patients less than 2 years of age. The safety and effectiveness of Morphine Sulfate Oral Solution 20 mg/mL have not been established in pediatric patients.

8.5 Geriatric Use

Elderly patients (aged 65 years or older) may have increased sensitivity to morphine. In general, use caution when selecting a dose for an elderly patient, usually starting at the low end of the dosing range, reflecting the greater frequency of decreased hepatic, renal, or cardiac function and of concomitant disease or other drug therapy. Respiratory depression is the chief risk for elderly patients treated with opioids and has occurred after large initial doses were administered to patients who were not opioid-tolerant or when opioids were co-administered with other agents that depress respiration. Titrate the dosage of Morphine Sulfate Oral Solution slowly in geriatric patients and frequently reevaluate the patient for signs of central nervous system and respiratory depression [see Warnings and Precautions (5.8)].

Morphine is known to be substantially excreted by the kidney, and the risk of adverse reactions to this drug may be greater in patients with impaired renal function. Because elderly patients are more likely to have decreased renal function, care should be taken in dose selection, and it may be useful to regularly evaluate renal function.

4 Contraindications

Morphine Sulfate Oral Solution is contraindicated in patients with:

6 Adverse Reactions

The following serious adverse reactions are described, or described in greater detail, in other sections:

The following adverse reactions associated with the use of morphine were identified in clinical studies or postmarketing reports. Because some of these reactions were reported voluntarily from a population of uncertain size, it is not always possible to reliably estimate their frequency or establish a causal relationship to drug exposure.

Serious adverse reactions associated with morphine use included: respiratory depression, apnea, and to a lesser degree, circulatory depression, respiratory arrest, shock and cardiac arrest.

The common adverse reactions seen on initiation of therapy with morphine in adults were dose-dependent and were typical opioid-related adverse reactions. The most frequent of these included constipation, nausea, and somnolence.

Other commonly observed adverse reactions included: lightheadedness, dizziness, sedation, vomiting, and sweating. The frequency of these events depended upon several factors including clinical setting, the patient's level of opioid tolerance, and host factors specific to the individual.

Other less frequently observed adverse reactions from opioid analgesics, including morphine sulfate included:

Body as a Whole: malaise, withdrawal syndrome

Cardiovascular System: bradycardia, hypertension, hypotension, palpitations, syncope, tachycardia

Digestive System: anorexia, biliary pain, dyspepsia, dysphagia, gastroenteritis, abnormal liver function tests, rectal disorder, thirst

Endocrine: hypogonadism

Hemic and Lymphatic System: anemia, thrombocytopenia

Metabolic and Nutritional Disorders: edema, weight loss

Musculoskeletal: skeletal muscle rigidity, decreased bone mineral density

Nervous System: abnormal dreams, abnormal gait, agitation, amnesia, anxiety, ataxia, confusion, convulsions, coma, delirium, depression, dry mouth, euphoria, hallucinations, lethargy, nervousness, abnormal thinking, tremor, vasodilation, vertigo, headache

Skin and Appendages: dry skin, urticaria, pruritus

Special Senses: amblyopia, eye pain, taste perversion

Urogenital System: abnormal ejaculation, dysuria, impotence, decreased libido, oliguria, urinary retention or hesitancy, antidiuretic effect, amenorrhea

Serotonin Syndrome: Cases of serotonin syndrome, a potentially life-threatening condition, have been reported during concomitant use of opioids with serotonergic drugs.

Adrenal Insufficiency: Cases of adrenal insufficiency have been reported with opioid use, more often following greater than one month of use.

Anaphylaxis: Anaphylaxis has been reported with ingredients contained in Morphine Sulfate Oral Solution.

Androgen Deficiency: Cases of androgen deficiency have occurred with use of opioids for an extended period of time [see Clinical Pharmacology (12.2)].

Hyperalgesia and Allodynia: Cases of hyperalgesia and allodynia have been reported with opioid therapy of any duration [see Warnings and Precautions (5.7)].

Hypoglycemia: Cases of hypoglycemia have been reported in patients taking opioids. Most reports were in patients with at least one predisposing risk factor (e.g., diabetes).

7 Drug Interactions

Table 1 includes clinically significant drug interactions with Morphine Sulfate Oral Solution.

Table 1: Clinically Significant Drug Interactions with Morphine Sulfate Oral Solution Benzodiazepines and Other Central
Benzodiazepines and Other Central Nervous System (CNS) Depressants
Clinical Impact: Due to additive pharmacologic effect, the concomitant use of benzodiazepines or other CNS depressants, including alcohol, can increase the risk of hypotension, respiratory depression, profound sedation, coma, and death [see Warnings and Precautions (5.4)].
Intervention: Reserve concomitant prescribing of these drugs for use in patients for whom alternative treatment options are inadequate. Limit dosages and durations to the minimum required. Inform patients and caregivers of this potential interaction and educate them on the signs and symptoms of respiratory depression (including sedation). If concomitant use is warranted, consider prescribing naloxone for the emergency treatment of opioid overdose [see Dosage and Administration (2.3) and Warnings and Precautions (5.2, 5.3, 5.4)].
Examples: Benzodiazepines and other sedatives/hypnotics, anxiolytics, tranquilizers, muscle relaxants, general anesthetics, antipsychotics, other opioids, alcohol.
Serotonergic Drugs
Clinical Impact: The concomitant use of opioids with other drugs that affect the serotonergic neurotransmitter system has resulted in serotonin syndrome.
Intervention: If concomitant use is warranted, frequently evaluate the patient, particularly during treatment initiation and dose adjustment. Discontinue Morphine Sulfate Oral Solution if serotonin syndrome is suspected.
Examples: Selective serotonin reuptake inhibitors (SSRIs), serotonin and norepinephrine reuptake inhibitors (SNRIs), tricyclic antidepressants (TCAs), triptans, 5-HT3 receptor antagonists, drugs that affect the serotonin neurotransmitter system (e.g., mirtazapine, trazodone, tramadol), certain muscle relaxants (i.e., cyclobenzaprine, metaxalone), monoamine oxidase (MAO) inhibitors (those intended to treat psychiatric disorders and also others, such as linezolid and intravenous methylene blue).
Monoamine Oxidase Inhibitors (MAOIs)
Clinical Impact: MAOI interactions with opioids may manifest as serotonin syndrome or opioid toxicity (e.g., respiratory depression, coma) [see Warnings and Precautions (5.3, 5.9)].
Intervention: Do not use Morphine Sulfate Oral Solution in patients taking MAOIs or within 14 days of stopping such treatment.
Examples: Phenelzine, tranylcypromine, linezolid.
Mixed Agonist/Antagonist and Partial Agonist Opioid Analgesics
Clinical Impact: May reduce the analgesic effect of Morphine Sulfate Oral Solution and/or precipitate withdrawal symptoms.
Intervention: Avoid concomitant use.
Examples: Butorphanol, nalbuphine, pentazocine, buprenorphine.
Muscle Relaxants
Clinical Impact: Morphine may enhance the neuromuscular blocking action of skeletal muscle relaxants and produce an increased degree of respiratory depression.
Intervention: Because respiratory depression may be greater than otherwise expected decrease the dosage of Morphine Sulfate Oral Solution and/or the muscle relaxant as necessary. Due to the risk of respiratory depression with concomitant use of skeletal muscle relaxants and opioids, consider prescribing naloxone for the emergency treatment of opioid overdose [see Dosage and Administration (2.3) and Warnings and Precautions (5.3, 5.4)].
Examples: Cyclobenzaprine, metaxalone.
Cimetidine
Clinical Impact: The concomitant use of morphine and cimetidine has been reported to precipitate apnea, confusion, and muscle twitching in an isolated report.
Intervention: Evaluate patients for increased respiratory and CNS depression when Morphine Sulfate Oral Solution is used concomitantly with cimetidine.
Diuretics
Clinical Impact: Opioids can reduce the efficacy of diuretics by inducing the release of antidiuretic hormone.
Intervention: Evaluate patients for signs of diminished diuresis and/or effects on blood pressure and increase the dosage of the diuretic as needed.
Anticholinergic Drugs
Clinical Impact: The concomitant use of anticholinergic drugs may increase risk of urinary retention and/or severe constipation, which may lead to paralytic ileus.
Intervention: Evaluate patients for signs of urinary retention or reduced gastric motility when Morphine Sulfate Oral Solution is used concomitantly with anticholinergic drugs.
P-Glycoprotein (P-gp) Inhibitors
Clinical Impact: The concomitant use of P-gp inhibitors can increase the exposure to morphine by two-fold and can increase the risk of hypotension, respiratory depression, profound sedation, coma, and death.
Intervention: Evaluate patients for signs of respiratory depression that may be greater than otherwise expected and decrease the dosage of Morphine Sulfate Oral Solution and/or the P-gp inhibitor as necessary.
Examples: Quinidine, verapamil
8.7 Renal Impairment

Morphine pharmacokinetics are altered in patients with renal failure. Start these patients with a lower than usual dosage of Morphine Sulfate Oral Solution and titrate slowly while regularly evaluating for signs of respiratory depression, sedation, and hypotension [see Clinical Pharmacology (12.3)].

8.6 Hepatic Impairment

Morphine pharmacokinetics have been reported to be significantly altered in patients with cirrhosis. Start these patients with a lower than usual dosage of Morphine Sulfate Oral Solution and titrate slowly while regularly evaluating for signs of respiratory depression, sedation, and hypotension [see Clinical Pharmacology (12.3)].

1 Indications and Usage

Morphine Sulfate Oral Solution 2 mg/mL and 4 mg/mL is indicated for the management of:

  • adults with acute and chronic pain severe enough to require an opioid analgesic and for which alternative treatments are inadequate.
  • pediatric patients 2 years of age and older with acute pain severe enough to require an opioid analgesic and for which alternative treatments are inadequate.

Morphine Sulfate Oral Solution 20 mg/mL is indicated for the relief of acute and chronic pain in opioid-tolerant adult patients.

5.11 Severe Hypotension

Morphine Sulfate Oral Solution may cause severe hypotension including orthostatic hypotension and syncope in ambulatory patients. There is increased risk in patients whose ability to maintain blood pressure has already been compromised by a reduced blood volume or concurrent administration of certain CNS depressant drugs (e.g., phenothiazines or general anesthetics) [see Drug Interactions (7)]. Regularly evaluate these patients for signs of hypotension after initiating or titrating the dosage of Morphine Sulfate Oral Solution. In patients with circulatory shock, Morphine Sulfate Oral Solution may cause vasodilation that can further reduce cardiac output and blood pressure. Avoid the use of Morphine Sulfate Oral Solution in patients with circulatory shock.

12.1 Mechanism of Action

Morphine is a full opioid agonist and is relatively selective for the mu-opioid receptor, although it can bind to other opioid receptors at higher doses. The principal therapeutic action of morphine is analgesia. Like all full opioid agonists, there is no ceiling effect for analgesia with morphine. Clinically, dosage is titrated to provide adequate analgesia and may be limited by adverse reactions, including respiratory and CNS depression.

The precise mechanism of the analgesic action is unknown. However, specific CNS opioid receptors for endogenous compounds with opioid-like activity have been identified throughout the brain and spinal cord and are thought to play a role in the analgesic effects of this drug.

9.1 Controlled Substance

Morphine Sulfate Oral Solution contains morphine, a Schedule II controlled substance.

5 Warnings and Precautions
  • Opioid-Induced Hyperalgesia and Allodynia: Opioid-Induced Hyperalgesia (OIH) occurs when an opioid analgesic paradoxically causes an increase in pain, or an increase in sensitivity to pain. If OIH is suspected, carefully consider appropriately decreasing the dose of the current opioid analgesic or opioid rotation. (5.7)
  • Life-Threatening Respiratory Depression in Patients with Chronic Pulmonary Disease or in Elderly, Cachectic, or Debilitated Patients: Regularly evaluate closely, particularly during initiation and titration. (5.8)
  • Adrenal Insufficiency: If diagnosed, treat with physiologic replacement of corticosteroids, and wean patient off of the opioid. (5.10)
  • Severe Hypotension: Regularly evaluate during dosage initiation and titration. Avoid use of Morphine Sulfate Oral Solution in patients with circulatory shock. (5.11)
  • Risks of Use in Patients with Increased Intracranial Pressure, Brain Tumors, Head Injury, or Impaired Consciousness: Monitor for sedation and respiratory depression. Avoid use of Morphine Sulfate Oral Solution in patients with impaired consciousness or coma. (5.12)
5.10 Adrenal Insufficiency

Cases of adrenal insufficiency have been reported with opioid use, more often following greater than one month of use. Presentation of adrenal insufficiency may include non-specific symptoms and signs including nausea, vomiting, anorexia, fatigue, weakness, dizziness, and low blood pressure. If adrenal insufficiency is suspected, confirm the diagnosis with diagnostic testing as soon as possible. If adrenal insufficiency is diagnosed, treat with physiologic replacement doses of corticosteroids. Wean the patient off of the opioid to allow adrenal function to recover and continue corticosteroid treatment until adrenal function recovers. Other opioids may be tried as some cases reported use of a different opioid without recurrence of adrenal insufficiency. The information available does not identify any particular opioids as being more likely to be associated with adrenal insufficiency.

2 Dosage and Administration
  • Morphine Sulfate Oral Solution 20 mg/mL is only for opioid-tolerant adult patients . (2.1)
  • Morphine Sulfate Oral Solution should be prescribed only by healthcare professionals who are knowledgeable about the use of opioids and how to mitigate the associated risks. (2.2)
  • Use the lowest effective dosage for the shortest duration of time consistent with individual patient treatment goals. Reserve titration to higher doses of Morphine Sulfate Oral Solution for patients in whom lower doses are insufficiently effective and in whom the expected benefits of using a higher dose opioid clearly outweigh the substantial risks. (2.2, 5)
  • Many acute pain conditions (e.g., the pain that occurs with a number of surgical procedures or acute musculoskeletal injuries) require no more than a few days of an opioid analgesic. Clinical guidelines on opioid prescribing for some acute pain conditions are available. (2.2)
  • Initiate the dosing regimen for each patient individually, taking into account the patient's underlying cause and severity of pain, prior analgesic treatment and response, and risk factors for addiction, abuse, and misuse. (2.2, 5.2)
  • Respiratory depression can occur at any time during opioid therapy, especially when initiating and following dosage increases with Morphine Sulfate Oral Solution. Consider this risk when selecting an initial dose andwhen making dose adjustments. (2.1, 5.3)
  • Discuss availability of naloxone with the patient and caregiver and assess each patient's need for access to naloxone, both when initiating and renewing treatment with Morphine Sulfate Oral Solution. Considerprescribing naloxone based on the patient's risk factors for overdose. (2.3, 5.2, 5.3, 5.4)
  • Adults : Initiate treatment with Morphine Sulfate Oral Solution 10 to 20 mg every 4 hours as needed for pain, and at the lowest dose necessary to achieve adequate analgesia. Titrate the dose based upon the individualpatient's response to their initial dose of Morphine Sulfate Oral Solution. (2.4, 2.5)
  • Pediatric Patients 2 Years of Age and Older : Initiate treatment with Morphine Oral Solution 2 mg/mL or 4 mg/mL at a dose of 0.15 mg/kg to 0.3 mg/kg every 4 hours as needed for pain, and at the lowest dose necessaryto achieve adequate analgesia. Do not exceed 20 mg as an initial dose in pediatrics. See Full PrescribingInformation for complete information on pediatric dosing. (2.3)
  • Do not abruptly discontinue Morphine Sulfate Oral Solution in a physically dependent patient because rapid discontinuation of opioid analgesics has resulted in serious withdrawal symptoms, uncontrolled pain, andsuicide. (2.6, 5.15)
3 Dosage Forms and Strengths

Morphine Sulfate Oral Solution:

  • 10 mg per 5 mL (2 mg/mL): Each 1 mL of clear, blue-green oral solution contains 2 mg of morphine sulfate, USP (equivalent to 1.5 mg morphine).
  • 20 mg per 5 mL (4 mg/mL): Each 1 mL of clear, blue-green oral solution contains 4 mg of morphine sulfate, USP (equivalent to 3 mg morphine).
  • 100 mg per 5 mL (20 mg/mL) (only for opioid-tolerant adults ): Each 1 mL of clear, colorless or clear, pink oral solution contains 20 mg of morphine sulfate, USP (equivalent to 15 mg morphine).
8 Use in Specific Populations

Pregnancy: May cause fetal harm. (8.1)

5.2 Addiction, Abuse, and Misuse

Morphine Sulfate Oral Solution contains morphine, a Schedule II controlled substance. As an opioid, Morphine Sulfate Oral Solution exposes users to the risks of addiction, abuse, and misuse [see Drug Abuse and Dependence (9)].

Although the risk of addiction in any individual is unknown, it can occur in patients appropriately prescribed morphine sulfate. Addiction can occur at recommended dosages and if the drug is misused or abused.

Assess each patient's risk for opioid addiction, abuse, or misuse prior to prescribing Morphine Sulfate Oral Solution, and reassess all patients receiving Morphine Sulfate Oral Solution for the development of these behaviors and conditions. Risks are increased in patients with a personal or family history of substance abuse (including drug or alcohol abuse or addiction) or mental illness (e.g., major depression). The potential for these risks should not, however, prevent the proper management of pain in any given patient. Patients at increased risk may be prescribed opioids such as Morphine Sulfate Oral Solution but use in such patients necessitates intensive counseling about the risks and proper use of Morphine Sulfate Oral Solution along with frequent reevaluation for signs of addiction, abuse, and misuse. Consider prescribing naloxone for the emergency treatment of opioid overdose [see Dosage and Administration (2.2) and Warnings and Precautions (5.3)].

Opioids are sought for nonmedical use and are subject to diversion from legitimate prescribed use. Consider these risks when prescribing or dispensing Morphine Sulfate Oral Solution. Strategies to reduce these risks include prescribing the drug in the smallest appropriate quantity and advising the patient on careful storage of the drug during the course of treatment and on the proper disposal of unused drug. Contact local state professional licensing board or state-controlled substances authority for information on how to prevent and detect abuse or diversion of this product.

17 Patient Counseling Information

Advise the patients or caregivers to read the FDA-approved patient labeling (Medication Guide and Instruction for Use).

2.1 Dosage and Administration Overview

Morphine Sulfate Oral Solution is available in three concentrations: 2 mg/mL, 4 mg/mL, and 20 mg/mL [see Dosage Forms and Strengths (3)].

  • Morphine Sulfate Oral Solution 2 mg/mL and 4 mg/mL is indicated for use in adults and pediatric patients 2 years of age and older.
    • Strongly advise patients and caregivers to always use a graduated oral syringe with metric units of measurement (i.e., mL) when administering Morphine Sulfate Oral Solution 2 mg/mL and 4 mg/mL to correctly measure the prescribed amount of medication.
  • Morphine Sulfate Oral Solution 20 mg/mL is only indicated for use in opioid-tolerant adult patients who have already been receiving opioid therapy. This concentration is to be used only in adult patients who have already been titrated to a stable analgesic regimen using lower concentrations of morphine sulfate and who can benefit from use of a higher concentration (smaller volume) of oral solution.
    • Adult patients considered to be opioid tolerant are those who are receiving, for one week or longer, at least 60 mg oral morphine per day, 25 mcg transdermal fentanyl per hour, 30 mg oral oxycodone per day, 8 mg oral hydromorphone per day, 25 mg oral oxymorphone per day, 60 mg oral hydrocodone per day, or an equianalgesic dose of another opioid.
  • Ensure accuracy when prescribing, dispensing, and administering Morphine Sulfate Oral Solution to avoid dosing errors due to confusion between mg and mL, and with other morphine solutions of different concentrations, which could result in accidental overdose and death. Ensure the proper dose is communicated and dispensed.
5.5 Neonatal Opioid Withdrawal Syndrome

Use of Morphine Sulfate Oral Solution for an extended period of time during pregnancy can result in withdrawal in the neonate. Neonatal opioid withdrawal syndrome, unlike opioid withdrawal syndrome in adults, may be life-threatening if not recognized and treated, and requires management according to protocols developed by neonatology experts. Observe newborns for signs of neonatal opioid withdrawal syndrome and manage accordingly. Advise pregnant women using opioids for an extended period of time of the risk of neonatal opioid withdrawal syndrome and ensure that appropriate treatment will be available [see Use in Specific Populations (8.1)]

2.5 Titration and Maintenance of Therapy

Individually titrate Morphine Sulfate Oral Solution to a dose that provides adequate analgesia and minimizes adverse reactions. Continually reevaluate patients receiving Morphine Sulfate Oral Solution to assess the maintenance of pain control, signs and symptoms of opioid withdrawal, and other adverse reactions, as well as to reassess for the development of addiction, abuse, or misuse [see Warnings and Precautions (5.2, 5.15)]. Frequent communication is important among the prescriber, other members of the healthcare team, the patient, and the caregiver/family during periods of changing analgesic requirements, including initial titration.

If the level of pain increases after dosage stabilization, attempt to identify the source of increased pain before increasing the Morphine Sulfate Oral Solution dosage. If after increasing the dosage, unacceptable opioid-related adverse reactions are observed (including an increase in pain after a dosage increase), consider reducing the dosage [see Warnings and Precautions (5)]. Adjust the dosage to obtain an appropriate balance between management of pain and opioid-related adverse reactions.

5.3 Life Threatening Respiratory Depression

Serious, life-threatening, or fatal respiratory depression has been reported with the use of opioids, even when used as recommended. Respiratory depression, if not immediately recognized and treated, may lead to respiratory arrest and death. Management of respiratory depression may include close observation, supportive measures, and use of opioid antagonists, depending on the patient's clinical status [see Overdosage (10)]. Carbon dioxide (CO2) retention from opioid-induced respiratory depression can exacerbate the sedating effects of opioids.

While serious, life-threatening, or fatal respiratory depression can occur at any time during the use of Morphine Sulfate Oral Solution, the risk is greatest during the initiation of therapy or following a dosage increase of Morphine Sulfate Oral Solution.

To reduce the risk of respiratory depression, proper dosing and titration of Morphine Sulfate Oral Solution are essential [see Dosage and Administration (2) ]. Overestimating the Morphine Sulfate Oral Solution dosage when converting patients from another opioid product can result in a fatal overdose with the first dose.

Morphine Sulfate Oral Solution 20 mg/mL is for use only in opioid-tolerant adult patients. Administration of this formulation may cause fatal respiratory depression when administered to patients who are not tolerant to the respiratory depressant effects of opioids.

Accidental ingestion of even one dose of Morphine Sulfate Oral Solution, especially by children, can result in respiratory depression and death due to an overdose of morphine.

Educate patients and caregivers on how to recognize respiratory depression and emphasize the importance of calling 911 or getting emergency medical help right away in the event of a known or suspected overdose .

Opioids can cause sleep-related breathing disorders including central sleep apnea (CSA) and sleep-related hypoxemia.

Opioid use increases the risk of CSA in a dose-dependent fashion. In patients who present with CSA, consider decreasing the opioid dosage using best practices for opioid taper [see Dosage and Administration (2.6)].

5.16 Risks of Driving and Operating Machinery

Morphine Sulfate Oral Solution may impair the mental or physical abilities needed to perform potentially hazardous activities such as driving a car or operating machinery. Warn patients not to drive or operate dangerous machinery unless they are tolerant to the effects of Morphine Sulfate Oral Solution and know how they will react to the medication.

5.7 Opioid Induced Hyperalgesia and Allodynia

Opioid-Induced Hyperalgesia (OIH) occurs when an opioid analgesic paradoxically causes an increase in pain, or an increase in sensitivity to pain. This condition differs from tolerance, which is the need for increasing doses of opioids to maintain a defined effect [see Dependence (9.3)]. Symptoms of OIH include (but may not be limited to) increased levels of pain upon opioid dosage increase, decreased levels of pain upon opioid dosage decrease, or pain from ordinarily nonpainful stimuli (allodynia). These symptoms may suggest OIH only if there is no evidence of underlying disease progression, opioid tolerance, opioid withdrawal, or addictive behavior.

Cases of OIH have been reported, both with short-term and longer-term use of opioid analgesics. Though the mechanism of OIH is not fully understood, multiple biochemical pathways have been implicated. Medical literature suggests a strong biologic plausibility between opioid analgesics and OIH and allodynia. If a patient is suspected to be experiencing OIH, carefully consider appropriately decreasing the dose of the current opioid analgesic or opioid rotation (safely switching the patient to a different opioid moiety) [see Dosage and Administration (2.6), Warnings and Precautions (5.15)].

Principal Display Panel 1 Ml Syringe Bag Label

Morphine Sulfate Oral Solution* CII

*Color Added 20 mg/ 1 mL • Delivers 1 mL

Store at 20° to 25°C (68° to 77°F).

ONLY FOR USE IN ADULTS

WHO ARE OPIOID TOLERANT

Each 1 mL of oral solution contains 20 mg

Morphine Sulfate, USP equivalent to 15 mg

Morphine base.

FOR ORAL USE ONLY

Pkg: Precision Dose, Inc. S. Beloit, IL 61080

5.9 Interaction With Monoamine Oxidase Inhibitors

Monoamine oxidase inhibitors (MAOIs) may potentiate the effects of morphine, including respiratory depression, coma, and confusion. Morphine Sulfate Oral Solution should not be used in patients taking MAOIs or within 14 days of stopping such treatment.

2.2 Important Dosage and Administration Instructions

Ensure accuracy when prescribing, dispensing, and administering Morphine Sulfate Oral Solution to avoid dosing errors due to confusion between mg and mL, and with other morphine sulfate oral solutions of different concentrations, which could result in accidental overdose and death. Ensure the proper dose is communicated and dispensed.

  • Morphine Sulfate Oral Solution should be prescribed only by healthcare professionals who are knowledgeable about the use of opioids and how to mitigate the associated risks.
  • Use the lowest effective dosage for the shortest duration of time consistent with individual patient treatment goals [see Warnings and Precautions (5)]. Because the risk of overdose increases as opioid doses increase, reserve titration to higher doses of Morphine Sulfate Oral Solution for patients in whom lower doses are insufficiently effective and in whom the expected benefits of using a higher dose opioid clearly outweigh the substantial risks.
  • Many acute pain conditions (e.g., the pain that occurs with a number of surgical procedures or acute musculoskeletal injuries) require no more than a few days of an opioid analgesic. Clinical guidelines on opioid prescribing for some acute pain conditions are available.
  • There is variability in the opioid analgesic dose and duration needed to adequately manage pain due both to the cause of pain and to individual patient factors. Initiate the dosing regimen for each patient individually, taking into account the patient's underlying cause and severity of pain, prior analgesic treatment and response, and risk factors for addiction, abuse, and misuse [see Warnings and Precautions (5.1)].
  • Respiratory depression can occur at any time during opioid therapy, especially when initiating and following dosage increases with Morphine Sulfate Oral Solution. Consider this risk when selecting an initial dose and when making dose adjustments [see Warnings and Precautions (5)].
  • Initiate the dosing regimen for each patient individually, taking into account the patient's severity of pain, patient response, prior analgesic treatment experience, and risk factors for addiction, abuse, and misuse [see Warnings and Precautions (5.2)].
5.13 Risks of Use in Patients With Gastrointestinal Conditions

Morphine Sulfate Oral Solution is contraindicated in patients with known or suspected gastrointestinal obstruction, including paralytic ileus.

The morphine in Morphine Sulfate Oral Solution may cause spasm of the sphincter of Oddi. Opioids may cause increases in serum amylase. Regularly evaluate patients with biliary tract disease, including acute pancreatitis, for worsening symptoms.

5.1 Risk of Accidental Overdose and Death Due to Medication Errors

Dosing errors can result in accidental overdose and death. Avoid dosing errors that may result from confusion between mg and mL and confusion with morphine sulfate oral solutions of different concentrations, when prescribing, dispensing, and administering Morphine Sulfate Oral Solution. Ensure that the dose is communicated clearly and dispensed accurately.

5.14 Increased Risk of Seizures in Patients With Seizure Disorders

The morphine in Morphine Sulfate Oral Solution may increase the frequency of seizures in patients with seizure disorders and may increase the risk of seizures occurring in other clinical settings associated with seizures. Regularly evaluate patients with a history of seizure disorders for worsened seizure control during Morphine Sulfate Oral Solution therapy.

5.6 Opioid Analgesic Risk Evaluation and Mitigation Strategy (rems)

To ensure that the benefits of opioid analgesics outweigh the risks of addiction, abuse, and misuse, the Food and Drug Administration (FDA) has required a Risk Evaluation and Mitigation Strategy (REMS) for these products. Under the requirements of the REMS, drug companies with approved opioid analgesic products must make REMS-compliant education programs available to healthcare providers. Healthcare providers are strongly encouraged to do all of the following:

  • Complete a REMS-compliant education program offered by an accredited provider of continuing education (CE) or another education program that includes all the elements of the FDA Education Blueprint for Health Care Providers Involved in the Management or Support of Patients with Pain.
  • Discuss the safe use, serious risks, and proper storage and disposal of opioid analgesics with patients and/or their caregivers every time these medicines are prescribed. The Patient Counseling Guide (PCG) can be obtained at this link: www.fda.gov/OpioidAnalgesicREMSPCG.
  • Emphasize to patients and their caregivers the importance of reading the Medication Guide that they will receive from their pharmacist every time an opioid analgesic is dispensed to them.
  • Consider using other tools to improve patient, household, and community safety, such as patient-prescriber agreements that reinforce patient-prescriber responsibilities.

To obtain further information on the opioid analgesic REMS and for a list of accredited REMS CME/CE, call 1-800-503-0784, or log on to www.opioidanalgesicrems.com. The FDA Blueprint can be found at www.fda.gov/OpioidAnalgesicREMSBlueprint.

2.6 Safe Reduction Or Discontinuation of Morphine Sulfate Oral Solution

Do not abruptly discontinue Morphine Sulfate Oral Solution in patients who may be physically dependent on opioids. Rapid discontinuation of opioid analgesics in patients who are physically dependent on opioids has resulted in serious withdrawal symptoms, uncontrolled pain, and suicide. Rapid discontinuation has also been associated with attempts to find other sources of opioid analgesics, which may be confused with drug-seeking for abuse. Patients may also attempt to treat their pain or withdrawal symptoms with illicit opioids, such as heroin, and other substances.

When a decision has been made to decrease the dose or discontinue therapy in an opioid-dependent patient taking Morphine Sulfate Oral Solution, there are a variety of factors that should be considered, including the total daily dose of opioid (including Morphine Sulfate Oral Solution) the patient has been taking, the duration of treatment, the type of pain being treated, and the physical and psychological attributes of the patient. It is important to ensure ongoing care of the patient and to agree on an appropriate tapering schedule and follow-up plan so that patient and provider goals and expectations are clear and realistic. When opioid analgesics are being discontinued due to a suspected substance use disorder, evaluate and treat the patient, or refer for evaluation and treatment of the substance use disorder. Treatment should include evidence-based approaches, such as medication assisted treatment of opioid use disorder. Complex patients with co-morbid pain and substance use disorders may benefit from referral to a specialist.

There are no standard opioid tapering schedules that are suitable for all patients. Good clinical practice dictates a patientspecific plan to taper the dose of the opioid gradually. For patients on Morphine Sulfate Oral Solution who are physically opioiddependent, initiate the taper by a small enough increment (e.g., no greater than 10% to 25% of the total daily dose) to avoid withdrawal symptoms, and proceed with dose-lowering at an interval of every 2 to 4 weeks. Patients who have been taking opioids for briefer periods of time may tolerate a more rapid taper.

It may be necessary to provide the patient with lower dosage strengths to accomplish a successful taper. Reassess the patient frequently to manage pain and withdrawal symptoms, should they emerge. Common withdrawal symptoms include restlessness, lacrimation, rhinorrhea, yawning, perspiration, chills, myalgia, and mydriasis. Other signs and symptoms also may develop, including irritability, anxiety, backache, joint pain, weakness, abdominal cramps, insomnia, nausea, anorexia, vomiting, diarrhea, or increased blood pressure, respiratory rate, or heart rate. If withdrawal symptoms arise, it may be necessary to pause the taper for a period of time or raise the dose of the opioid analgesic to the previous dose, and then proceed with a slower taper. In addition, evaluate patients for any changes in mood, emergence of suicidal thoughts, or use of other substances.

When managing patients taking opioid analgesics, particularly those who have been treated for an extended period of time, and/or with high doses for chronic pain, ensure that a multimodal approach to pain management, including mental health support (if needed), is in place prior to initiating an opioid analgesic taper. A multimodal approach to pain management may optimize the treatment of chronic pain, as well as assist with the successful tapering of the opioid analgesic [see Warnings and Precautions (5.15), Drug Abuse and Dependence (9.3)].

5.4 Risks From Concomitant Use With Benzodiazepines Or Other Cns Depressants

Profound sedation, respiratory depression, coma, and death may result from the concomitant use of Morphine Sulfate Oral Solution with benzodiazepines and/or other CNS depressants, including alcohol (e.g., non-benzodiazepine sedatives/ hypnotics, anxiolytics, tranquilizers, muscle relaxants, general anesthetics, antipsychotics, other opioids). Because of these risks, reserve concomitant prescribing of these drugs for use in patients for whom alternative treatment options are inadequate.

Observational studies have demonstrated that concomitant use of opioid analgesics and benzodiazepines increases the risk of drug-related mortality compared to use of opioid analgesics alone. Because of similar pharmacological properties, it is reasonable to expect similar risk with the concomitant use of other CNS depressant drugs with opioid analgesics [see Drug Interactions (7)].

If the decision is made to prescribe a benzodiazepine or other CNS depressant concomitantly with an opioid analgesic, prescribe the lowest effective dosages and minimum durations of concomitant use. In patients already receiving an opioid analgesic, prescribe a lower initial dose of the benzodiazepine or other CNS depressant than indicated in the absence of an opioid, and titrate based on clinical response. If an opioid analgesic is initiated in a patient already taking a benzodiazepine or other CNS depressant, prescribe a lower initial dose of the opioid analgesic, and titrate based on clinical response. Inform patients and caregivers of this potential interaction and educate them on the signs and symptoms of respiratory depression (including sedation). If concomitant use is warranted, consider prescribing naloxone for the emergency treatment of opioid overdose [see Dosage and Administration (2.3), Warnings and Precautions (5.3), Overdosage (10)].

Advise both patients and caregivers about the risks of respiratory depression and sedation when Morphine Sulfate Oral Solution is used with benzodiazepines or other CNS depressants (including alcohol and illicit drugs). Advise patients not to drive or operate heavy machinery until the effects of concomitant use of the benzodiazepine or other CNS depressant have been determined. Screen patients for risk of substance use disorders, including opioid abuse and misuse, and warn them of the risk for overdose and death associated with the use of additional CNS depressants including alcohol and illicit drugs [see Drug Interactions (7)].

2.3 Patient Access to Naloxone for the Emergency Treatment of Opioid Overdose

Discuss the availability of naloxone for the emergency treatment of opioid overdose with the patient and caregiver and assess the potential need for access to naloxone, both when initiating and renewing treatment with Morphine Sulfate Oral Solution [see Warnings and Precautions (5.3)].

Inform patients and caregivers about the various ways to obtain naloxone as permitted by individual state naloxone dispensing and prescribing requirements or guidelines (e.g., by prescription, directly from a pharmacist, or as part of a community-based program).

Consider prescribing naloxone, based on the patient's risk factors for overdose, such as concomitant use of CNS depressants, a history of opioid use disorder, or prior opioid overdose. The presence of risk factors for overdose should not prevent the proper management of pain in any given patient [see Warnings and Precautions (5.2, 5.3, 5.4)].

Consider prescribing naloxone if the patient has household members (including children) or other close contacts at risk for accidental ingestion or overdose.

Warning: Serious and Life Threatening Risks From Use of Morphine Sulfate Oral Solution

WARNING: SERIOUS AND LIFE-THREATENING RISKS FROM USE OF MORPHINE SULFATE ORAL SOLUTION

See full prescribing information for complete boxed warning.

  • Ensure accuracy when prescribing, dispensing, and administering Morphine Sulfate Oral Solution. Dosing errors due to confusion between mg and mL, and other morphine sulfate oral solutions of different concentrations can result in accidental overdose and death. (2.1, 5.1)
  • Morphine Sulfate Oral Solution exposes users to risks of addiction, abuse, and misuse, which can lead to overdose and death. Assess patient's risk before prescribing and reassess regularly for these behaviors and conditions. (5.2)
  • Serious, life-threatening, or fatal respiratory depression may occur especially during initiation and following dosage increase. To reduce the risk of respiratory depression, proper dosing and titration of Morphine Sulfate Oral Solution are essential. (5.3)
  • Accidental ingestion of Morphine Sulfate Oral Solution, especially by children, can result in a fatal overdose of morphine. (5.3)
  • Concomitant use of opioids with benzodiazepines or other central nervous system (CNS) depressants, including alcohol, may result in profound sedation, respiratory depression, coma, and death. Reserve concomitant prescribing for use in patients for whom alternative treatment options are inadequate. (5.4, 7)
  • If opioid use is required for an extended period of time in a pregnant woman, advise the patient of the risk of Neonatal Opioid Withdrawal Syndrome, which may be life-threatening if not recognized and treated. Ensure that management by neonatology experts will be available at delivery. (5.5)
  • Healthcare providers are strongly encouraged to complete a REMS-compliant education program and to counsel patients and caregivers on serious risks, safe use, and the importance of reading the Medication Guide with each prescription. (5.6)
5.12 Risks of Use in Patients With Increased Intracranial Pressure, Brain Tumors, Head Injury, Or Impaired Consciousness

In patients who may be susceptible to the intracranial effects of CO2 retention (e.g., those with evidence of increased intracranial pressure or brain tumors), Morphine Sulfate Oral Solution may reduce respiratory drive, and the resultant CO2 retention can further increase intracranial pressure. Monitor such patients for signs of sedation and respiratory depression, particularly when initiating therapy with Morphine Sulfate Oral Solution. Opioids may also obscure the clinical course in a patient with a head injury. Avoid the use of Morphine Sulfate Oral Solution in patients with impaired consciousness or coma.

5.8 Life Threatening Respiratory Depression in Patients With Chronic Pulmonary Disease Or in Elderly, Cachectic, Or Debilitated Patients

The use of Morphine Sulfate Oral Solution in patients with acute or severe bronchial asthma in an unmonitored setting or in the absence of resuscitative equipment is contraindicated.


Structured Label Content

Section 42229-5 (42229-5)

Risk of Medication Errors

Ensure accuracy when prescribing, dispensing, and administering Morphine Sulfate Oral Solution.

Dosing errors due to confusion between mg and mL, and other morphine sulfate oral solutions of different concentrations can result in accidental overdose and death [see Dosage and Administration (2.1), Warnings and Precautions (5.1)].

Section 42231-1 (42231-1)
This Medication Guide has been approved by the U.S. Food and Drug Administration
LI1656 Rev. 04/24
Medication Guide

Morphine (mor-pheen) Sulfate

Oral Solution, CII
Morphine Sulfate Oral Solution is:
  • A strong prescription pain medicine that contains an opioid (narcotic) that is used to manage short term (acute) and long term (chronic) pain severe enough to require an opioid pain medicine, when other pain treatments such as non-opioid pain medicines do not treat your pain well enough or you cannot tolerate them.
  • An opioid pain medicine that can put you at risk for overdose and death. Even if you take your dose correctly as prescribed you are at risk for opioid addiction, abuse, and misuse that can lead to death.
Important information about Morphine Sulfate Oral Solution:
  • Get emergency help or call 911 right away if you take too much Morphine Sulfate Oral Solution (overdose). When you first start taking Morphine Sulfate Oral Solution, when your dose is changed, or if you take too much (overdose), serious or life- threatening breathing problems that can lead to death may occur. Talk to your healthcare provider about naloxone, a medicine for the emergency treatment of an opioid overdose.
  • Taking Morphine Sulfate Oral Solution with other opioid medicines, benzodiazepines, alcohol, or other central nervous system depressants (including street drugs) can cause severe drowsiness, decreased awareness, breathing problems, coma, and death.
  • Never give anyone else your Morphine Sulfate Oral Solution. They could die from taking it. Selling or giving away Morphine Sulfate Oral Solution is against the law.
  • Store Morphine Sulfate Oral Solution securely, out of sight and reach of children, and in a location not accessible by others, including visitors to the home.
Do not take Morphine Sulfate Oral Solution if you have:
  • severe asthma, trouble breathing, or other lung problems.
  • a bowel blockage or have narrowing of the stomach or intestines.
  • an allergy to morphine.
Before taking Morphine Sulfate Oral Solution, tell your healthcare provider if you have a history of:
  • head injury, seizures
  • problems urinating
  • liver, kidney, thyroid problems
  • pancreas or gallbladder problems
  • abuse of street or prescription drugs, alcohol addiction, opioid overdose, or mental health problems.
Tell your healthcare provider if you are:
  • noticing your pain getting worse. If your pain gets worse after you take Morphine Sulfate Oral Solution, do not take more of Morphine Sulfate Oral Solution without first talking to your healthcare provider. Talk to your healthcare provider if the pain that you have increases, if you feel more sensitive to pain, or if you have new pain after taking Morphine Sulfate Oral Solution.
  • pregnant or planning to become pregnant. Use of Morphine Sulfate Oral Solution for an extended period of time during pregnancy can cause withdrawal symptoms in your newborn baby that could be life-threatening if not recognized and treated.
  • breastfeeding. Morphine Sulfate Oral Solution passes into breast milk and may harm your baby. Carefully observe infants for increased sleepiness (more than usual), breathing difficulties, or limpness. Seek immediate medical care if you notice these signs.
  • living in a household where there are small children or someone who has abused street or prescription drugs.
  • taking prescription or over-the-counter medicines, vitamins, or herbal supplements. Taking Morphine Sulfate Oral Solution with certain other medicines can cause serious side effects that could lead to death
When taking Morphine Sulfate Oral Solution:
  • Take Morphine Sulfate Oral Solution exactly as prescribed by your healthcare provider. Use the lowest dose possible for the shortest time needed.
  • For acute (short-term) pain, you may only need to take Morphine Sulfate Oral Solution for a few days. See disposal information at the bottom of this section for directions on how to safely throw away (dispose of) unused Morphine Sulfate Oral Solution.
  • Call your healthcare provider if the dose you are taking does not control your pain.
  • If you have been taking Morphine Sulfate Oral Solution regularly, do not stop taking Morphine Sulfate Oral Solution without talking to your healthcare provider.
  • Dispose of expired, unwanted, or unused Morphine Sulfate Oral Solution by promptly flushing down the toilet, if a drug take-back option is not readily
  • available. Visit www.fda.gov/drugdisposal for additional information on disposal of unused medicines.
While taking Morphine Sulfate Oral Solution DO NOT:
  • Drive or operate heavy machinery, until you know how Morphine Sulfate Oral Solution affects you. Morphine Sulfate Oral Solution can make you sleepy, dizzy, or lightheaded.
  • Drink alcohol or use prescription or over-the-counter medicines that contain alcohol. Using products containing alcohol during treatment with Morphine Sulfate Oral Solution may cause you to overdose and die.
The possible side effects of Morphine Sulfate Oral Solution:
  • constipation, nausea, sleepiness, vomiting, tiredness, headache, dizziness, abdominal pain. Call your healthcare provider if you have any of these symptoms and they are severe.
Get emergency medical help or call 911 right away if you have:
  • trouble breathing, shortness of breath, fast heartbeat, chest pain, swelling of your face, tongue, or throat, extreme drowsiness, light-headedness when changing positions, feeling faint, agitation, high body temperature, trouble walking, stiff muscles, or mental changes such as confusion.
These are not all the possible side effects of Morphine Sulfate Oral Solution. Call your healthcare provider for medical advice about side effects. You may report side effects to FDA at 1-800-FDA-1088.

For more information go to dailymed.nlm.nih.gov.
Packaged by:

Precision Dose, Inc.

South Beloit, IL 61080

For inquiries call Precision Dose, Inc. at

1-800-397-9228 or email [email protected]
Section 43683-2 (43683-2)
Boxed Warning 12/2023
Indications and Usage (1) 12/2023
Dosage and Administration (2.2, 2.4, 2.5) 12/2023
Warnings and Precautions (5.7) 12/2023
Section 44425-7 (44425-7)

Storage

Store at 20° to 25°C (68° to 77°F). [See USP Controlled Room Temperature.]

Protect from moisture.

Store Morphine Sulfate Oral Solution securely and dispose of properly.

9.2 Abuse

Morphine Sulfate Oral Solution contains morphine, a substance with a high potential for misuse and abuse, which can lead to the development of substance use disorder, including addiction [see Warnings and Precautions (5.2)].

Misuse is the intentional use, for therapeutic purposes, of a drug by an individual in a way other than prescribed by a healthcare provider or for whom it was not prescribed.

Abuse is the intentional, non-therapeutic use of a drug, even once, for its desirable psychological or physiological effects.

Drug addiction is a cluster of behavioral, cognitive, and physiological phenomena that may include a strong desire to take the drug, difficulties in controlling drug use (e.g., continuing drug use despite harmful consequences, giving a higher priority to drug use than other activities and obligations), and possible tolerance or physical dependence.

Misuse and abuse of Morphine Sulfate Oral Solution increases risk of overdose, which may lead to central nervous system and respiratory depression, hypotension, seizures, and death. The risk is increased with concurrent abuse of Morphine Sulfate Oral Solution with alcohol and/or other CNS depressants. Abuse of and addiction to opioids in some individuals may not be accompanied by concurrent tolerance and symptoms of physical dependence. In addition, abuse of opioids can occur in the absence of addiction.

All patients treated with opioids require careful and frequent reevaluation for signs of misuse, abuse, and addiction, because use of opioid analgesic products carries the risk of addiction even under appropriate medical use.

Patients at high risk of Morphine Sulfate Oral Solution abuse include those with a history of prolonged use of any opioids, including products containing morphine, those with a history of drug or alcohol abuse, or those who use Morphine Sulfate Oral Solution in combination with other abused drugs.

"Drug-seeking" behavior is very common in persons with substance use disorders. Drug-seeking tactics include emergency calls or visits near the end of office hours, refusal to undergo appropriate examination, testing, or referral, repeated "loss" of prescriptions, tampering with prescriptions, and reluctance to provide prior medical records or contact information for other treating healthcare provider(s). "Doctor shopping" (visiting multiple prescribers to obtain additional prescriptions) is common among people who abuse drugs and people with substance use disorder. Preoccupation with achieving adequate pain relief can be appropriate behavior in a patient with inadequate pain control.

Morphine Sulfate Oral Solution, like other opioids, can be diverted for nonmedical use into illicit channels of distribution. Careful record-keeping of prescribing information, including quantity, frequency, and renewal requests, as required by state and federal law, is strongly advised.

Proper assessment of the patient, proper prescribing practices, periodic reevaluation of therapy, and proper dispensing and storage are appropriate measures that help to limit abuse of opioid drugs.

11 Description (11 DESCRIPTION)

Morphine Sulfate Oral Solution is an opioid agonist, available in the following concentrations for oral administration:

  • 10 mg per 5 mL (2 mg/mL): Each 1 mL of oral solution contains 2 mg of morphine sulfate, USP (equivalent to 1.5 mg morphine).
  • 20 mg per 5 mL (4 mg/mL): Each 1 mL of oral solution contains 4 mg of morphine sulfate, USP (equivalent to 3 mg morphine).
  • 100 mg per 5 mL (20 mg/mL): Each 1 mL of oral solution contains 20 mg of morphine sulfate, USP (equivalent to 15 mg morphine).

The chemical name is 7,8-didehydro-4,5 alpha-epoxy-17 methyl-morphinan-3,6 alpha-diol sulfate (2:1) (salt) pentahydrate. The molecular weight is 758.83. Its molecular formula is (C17H21NO3)2∙H2SO4∙5H2O, and it has the following chemical structure.

Morphine sulfate, USP is a white to off-white crystalline powder or a fine white to light yellow powder. It is soluble in water and slightly soluble in alcohol, but is practically insoluble in chloroform or ether. The octanol:water partition coefficient of morphine is 1.42 at physiologic pH and the pKa is 7.9 for the tertiary nitrogen (the majority is ionized at pH 7.4).

For the 10 mg per 5 mL (2 mg/mL) concentration: Each 5 mL of oral solution contains 10 mg of morphine sulfate, USP and the following inactive ingredients: citric acid anhydrous, disodium edetate, FD&C Green No. 3 (fast green), glycerin, sodium benzoate, sorbitol and purified water.

For the 20 mg per 5 mL (4 mg/mL) concentration: Each 5 mL of oral solution contains 20 mg of morphine sulfate, USP and the following inactive ingredients: citric acid anhydrous, disodium edetate, FD&C Green No. 3 (fast green), glycerin, methylparaben, propylparaben, sodium benzoate, sorbitol and purified water.

For the 100 mg per 5 mL (20 mg/mL) concentration (only for opioid-tolerant adults): Each 5 mL of oral solution contains 100 mg of morphine sulfate, USP and the following inactive ingredients: citric acid anhydrous, disodium edetate, glycerin, sodium benzoate, sorbitol and purified water. Additionally, the tinted solution contains D & C Red No. 33 and sucralose.

9.3 Dependence

Both tolerance and physical dependence can develop during chronic opioid therapy.

Tolerance is a physiological state characterized by a reduced response to a drug after repeated administration (i.e., a higher dose of a drug is required to produce the same effect that was once obtained at a lower dose).

Physical dependence is a state that develops as a result of a physiological adaptation in response to repeated drug use, manifested by withdrawal signs and symptoms after abrupt discontinuation or a significant dose reduction of a drug.

Withdrawal may be precipitated through the administration of drugs with opioid antagonist activity (e.g., naloxone), mixed agonist/antagonist analgesics (e.g., pentazocine, butorphanol, nalbuphine), or partial agonists (e.g., buprenorphine). Physical dependence may not occur to a clinically significant degree until after several days to weeks of continued use.

Do not abruptly discontinue Morphine Sulfate Oral Solution in a patient physically dependent on opioids. Rapid tapering of Morphine Sulfate Oral Solution in a patient physically dependent on opioids may lead to serious withdrawal symptoms, uncontrolled pain, and suicide. Rapid discontinuation has also been associated with attempts to find other sources of opioid analgesics, which may be confused with drug-seeking for abuse.

When discontinuing Morphine Sulfate Oral Solution, gradually taper the dosage using a patient-specific plan that considers the following: the dose of Morphine Sulfate Oral Solution the patient has been taking, the duration of treatment, and the physical and psychological attributes of the patient. To improve the likelihood of a successful taper and minimize withdrawal symptoms, it is important that the opioid tapering schedule is agreed upon by the patient. In patients taking opioids for a long duration at high doses, ensure that a multimodal approach to pain management, including mental health support (if needed), is in place prior to initiating an opioid analgesic taper [see Dosage and Administration (2.6) and Warnings and Precautions (5.15)].

Infants born to mothers physically dependent on opioids will also be physically dependent and may exhibit respiratory difficulties and withdrawal signs [see Use in Specific Populations (8.1)].

5.15 Withdrawal

Do not abruptly discontinue Morphine Sulfate Oral Solution in a patient physically dependent on opioids. When discontinuing Morphine Sulfate Oral Solution in a physically dependent patient, gradually taper the dosage. Rapid tapering of morphine in a patient physically dependent on opioids may lead to a withdrawal syndrome and return of pain [see Dosage and Administration (2.6) and Drug Abuse and Dependence (9.3)].

Additionally, avoid the use of mixed agonist/antagonist (e.g., pentazocine, nalbuphine, and butorphanol) or partial agonist (e.g., buprenorphine) analgesics in patients who are receiving a full opioid agonist analgesic, including Morphine Sulfate Oral Solution. In these patients, mixed agonist/antagonist and partial agonist analgesics may reduce the analgesic effect and/or precipitate withdrawal symptoms [see Drug Interactions (7)].

8.4 Pediatric Use

The safety and effectiveness of Morphine Sulfate Oral Solution (2 mg/mL and 4 mg/mL) have been established for the management of pediatric patients 2 to 17 years of age with acute pain severe enough to require an opioid analgesic when alternative treatments are inadequate. Use of Morphine Sulfate Oral Solution in this age group is supported by clinical evidence in adults and supportive data from an open-label, safety and pharmacokinetic study in pediatric patients 2 through 17 years of age with post-operative acute pain. Patients were excluded if they had used opioids for more than 7 days within the previous 30 days prior to surgery or had received opioids in any form in the previous 7 days prior to surgery. Initial dosing was approximately 0.15 mg/kg to 0.3 mg/kg. Pharmacokinetic modeling and simulation indicate that an initial dose of 0.3 mg/kg in pediatric patients 2 years of age and older is expected to produce a maximum systemic exposure (Cmax) similar to that achieved after single dose administration of 10 mg Morphine Sulfate Oral Solution to adults [see Clinical Pharmacology (12.3)]. Safety data were available in 81 patients who received single and multiple doses (63 patients aged 2 to 17 years received Morphine Sulfate Oral Solution; 18 patients aged 12 to 17 years received Morphine Sulfate Tablets). The median duration of treatment was 20 hours (range 4 hours to 36 hours). Opioid and non-opioid rescue analgesics were allowed. The safety profile in pediatric patients consisted primarily of opioidrelated adverse reactions and is similar to that observed in adults [see Adverse Reactions (6)].

The safety and effectiveness of Morphine Sulfate Oral Solution (2 mg/mL and 4 mg/mL) have not been established for the management of pediatric patients 2 to 17 years of age with chronic pain severe enough to require an opioid analgesic when alternative treatments are inadequate.

The safety and effectiveness of Morphine Sulfate Oral Solution (2 mg/mL and 4 mg/mL) have not been established in pediatric patients less than 2 years of age. The safety and effectiveness of Morphine Sulfate Oral Solution 20 mg/mL have not been established in pediatric patients.

8.5 Geriatric Use

Elderly patients (aged 65 years or older) may have increased sensitivity to morphine. In general, use caution when selecting a dose for an elderly patient, usually starting at the low end of the dosing range, reflecting the greater frequency of decreased hepatic, renal, or cardiac function and of concomitant disease or other drug therapy. Respiratory depression is the chief risk for elderly patients treated with opioids and has occurred after large initial doses were administered to patients who were not opioid-tolerant or when opioids were co-administered with other agents that depress respiration. Titrate the dosage of Morphine Sulfate Oral Solution slowly in geriatric patients and frequently reevaluate the patient for signs of central nervous system and respiratory depression [see Warnings and Precautions (5.8)].

Morphine is known to be substantially excreted by the kidney, and the risk of adverse reactions to this drug may be greater in patients with impaired renal function. Because elderly patients are more likely to have decreased renal function, care should be taken in dose selection, and it may be useful to regularly evaluate renal function.

4 Contraindications (4 CONTRAINDICATIONS)

Morphine Sulfate Oral Solution is contraindicated in patients with:

6 Adverse Reactions (6 ADVERSE REACTIONS)

The following serious adverse reactions are described, or described in greater detail, in other sections:

The following adverse reactions associated with the use of morphine were identified in clinical studies or postmarketing reports. Because some of these reactions were reported voluntarily from a population of uncertain size, it is not always possible to reliably estimate their frequency or establish a causal relationship to drug exposure.

Serious adverse reactions associated with morphine use included: respiratory depression, apnea, and to a lesser degree, circulatory depression, respiratory arrest, shock and cardiac arrest.

The common adverse reactions seen on initiation of therapy with morphine in adults were dose-dependent and were typical opioid-related adverse reactions. The most frequent of these included constipation, nausea, and somnolence.

Other commonly observed adverse reactions included: lightheadedness, dizziness, sedation, vomiting, and sweating. The frequency of these events depended upon several factors including clinical setting, the patient's level of opioid tolerance, and host factors specific to the individual.

Other less frequently observed adverse reactions from opioid analgesics, including morphine sulfate included:

Body as a Whole: malaise, withdrawal syndrome

Cardiovascular System: bradycardia, hypertension, hypotension, palpitations, syncope, tachycardia

Digestive System: anorexia, biliary pain, dyspepsia, dysphagia, gastroenteritis, abnormal liver function tests, rectal disorder, thirst

Endocrine: hypogonadism

Hemic and Lymphatic System: anemia, thrombocytopenia

Metabolic and Nutritional Disorders: edema, weight loss

Musculoskeletal: skeletal muscle rigidity, decreased bone mineral density

Nervous System: abnormal dreams, abnormal gait, agitation, amnesia, anxiety, ataxia, confusion, convulsions, coma, delirium, depression, dry mouth, euphoria, hallucinations, lethargy, nervousness, abnormal thinking, tremor, vasodilation, vertigo, headache

Skin and Appendages: dry skin, urticaria, pruritus

Special Senses: amblyopia, eye pain, taste perversion

Urogenital System: abnormal ejaculation, dysuria, impotence, decreased libido, oliguria, urinary retention or hesitancy, antidiuretic effect, amenorrhea

Serotonin Syndrome: Cases of serotonin syndrome, a potentially life-threatening condition, have been reported during concomitant use of opioids with serotonergic drugs.

Adrenal Insufficiency: Cases of adrenal insufficiency have been reported with opioid use, more often following greater than one month of use.

Anaphylaxis: Anaphylaxis has been reported with ingredients contained in Morphine Sulfate Oral Solution.

Androgen Deficiency: Cases of androgen deficiency have occurred with use of opioids for an extended period of time [see Clinical Pharmacology (12.2)].

Hyperalgesia and Allodynia: Cases of hyperalgesia and allodynia have been reported with opioid therapy of any duration [see Warnings and Precautions (5.7)].

Hypoglycemia: Cases of hypoglycemia have been reported in patients taking opioids. Most reports were in patients with at least one predisposing risk factor (e.g., diabetes).

7 Drug Interactions (7 DRUG INTERACTIONS)

Table 1 includes clinically significant drug interactions with Morphine Sulfate Oral Solution.

Table 1: Clinically Significant Drug Interactions with Morphine Sulfate Oral Solution Benzodiazepines and Other Central
Benzodiazepines and Other Central Nervous System (CNS) Depressants
Clinical Impact: Due to additive pharmacologic effect, the concomitant use of benzodiazepines or other CNS depressants, including alcohol, can increase the risk of hypotension, respiratory depression, profound sedation, coma, and death [see Warnings and Precautions (5.4)].
Intervention: Reserve concomitant prescribing of these drugs for use in patients for whom alternative treatment options are inadequate. Limit dosages and durations to the minimum required. Inform patients and caregivers of this potential interaction and educate them on the signs and symptoms of respiratory depression (including sedation). If concomitant use is warranted, consider prescribing naloxone for the emergency treatment of opioid overdose [see Dosage and Administration (2.3) and Warnings and Precautions (5.2, 5.3, 5.4)].
Examples: Benzodiazepines and other sedatives/hypnotics, anxiolytics, tranquilizers, muscle relaxants, general anesthetics, antipsychotics, other opioids, alcohol.
Serotonergic Drugs
Clinical Impact: The concomitant use of opioids with other drugs that affect the serotonergic neurotransmitter system has resulted in serotonin syndrome.
Intervention: If concomitant use is warranted, frequently evaluate the patient, particularly during treatment initiation and dose adjustment. Discontinue Morphine Sulfate Oral Solution if serotonin syndrome is suspected.
Examples: Selective serotonin reuptake inhibitors (SSRIs), serotonin and norepinephrine reuptake inhibitors (SNRIs), tricyclic antidepressants (TCAs), triptans, 5-HT3 receptor antagonists, drugs that affect the serotonin neurotransmitter system (e.g., mirtazapine, trazodone, tramadol), certain muscle relaxants (i.e., cyclobenzaprine, metaxalone), monoamine oxidase (MAO) inhibitors (those intended to treat psychiatric disorders and also others, such as linezolid and intravenous methylene blue).
Monoamine Oxidase Inhibitors (MAOIs)
Clinical Impact: MAOI interactions with opioids may manifest as serotonin syndrome or opioid toxicity (e.g., respiratory depression, coma) [see Warnings and Precautions (5.3, 5.9)].
Intervention: Do not use Morphine Sulfate Oral Solution in patients taking MAOIs or within 14 days of stopping such treatment.
Examples: Phenelzine, tranylcypromine, linezolid.
Mixed Agonist/Antagonist and Partial Agonist Opioid Analgesics
Clinical Impact: May reduce the analgesic effect of Morphine Sulfate Oral Solution and/or precipitate withdrawal symptoms.
Intervention: Avoid concomitant use.
Examples: Butorphanol, nalbuphine, pentazocine, buprenorphine.
Muscle Relaxants
Clinical Impact: Morphine may enhance the neuromuscular blocking action of skeletal muscle relaxants and produce an increased degree of respiratory depression.
Intervention: Because respiratory depression may be greater than otherwise expected decrease the dosage of Morphine Sulfate Oral Solution and/or the muscle relaxant as necessary. Due to the risk of respiratory depression with concomitant use of skeletal muscle relaxants and opioids, consider prescribing naloxone for the emergency treatment of opioid overdose [see Dosage and Administration (2.3) and Warnings and Precautions (5.3, 5.4)].
Examples: Cyclobenzaprine, metaxalone.
Cimetidine
Clinical Impact: The concomitant use of morphine and cimetidine has been reported to precipitate apnea, confusion, and muscle twitching in an isolated report.
Intervention: Evaluate patients for increased respiratory and CNS depression when Morphine Sulfate Oral Solution is used concomitantly with cimetidine.
Diuretics
Clinical Impact: Opioids can reduce the efficacy of diuretics by inducing the release of antidiuretic hormone.
Intervention: Evaluate patients for signs of diminished diuresis and/or effects on blood pressure and increase the dosage of the diuretic as needed.
Anticholinergic Drugs
Clinical Impact: The concomitant use of anticholinergic drugs may increase risk of urinary retention and/or severe constipation, which may lead to paralytic ileus.
Intervention: Evaluate patients for signs of urinary retention or reduced gastric motility when Morphine Sulfate Oral Solution is used concomitantly with anticholinergic drugs.
P-Glycoprotein (P-gp) Inhibitors
Clinical Impact: The concomitant use of P-gp inhibitors can increase the exposure to morphine by two-fold and can increase the risk of hypotension, respiratory depression, profound sedation, coma, and death.
Intervention: Evaluate patients for signs of respiratory depression that may be greater than otherwise expected and decrease the dosage of Morphine Sulfate Oral Solution and/or the P-gp inhibitor as necessary.
Examples: Quinidine, verapamil
8.7 Renal Impairment

Morphine pharmacokinetics are altered in patients with renal failure. Start these patients with a lower than usual dosage of Morphine Sulfate Oral Solution and titrate slowly while regularly evaluating for signs of respiratory depression, sedation, and hypotension [see Clinical Pharmacology (12.3)].

8.6 Hepatic Impairment

Morphine pharmacokinetics have been reported to be significantly altered in patients with cirrhosis. Start these patients with a lower than usual dosage of Morphine Sulfate Oral Solution and titrate slowly while regularly evaluating for signs of respiratory depression, sedation, and hypotension [see Clinical Pharmacology (12.3)].

1 Indications and Usage (1 INDICATIONS AND USAGE)

Morphine Sulfate Oral Solution 2 mg/mL and 4 mg/mL is indicated for the management of:

  • adults with acute and chronic pain severe enough to require an opioid analgesic and for which alternative treatments are inadequate.
  • pediatric patients 2 years of age and older with acute pain severe enough to require an opioid analgesic and for which alternative treatments are inadequate.

Morphine Sulfate Oral Solution 20 mg/mL is indicated for the relief of acute and chronic pain in opioid-tolerant adult patients.

5.11 Severe Hypotension

Morphine Sulfate Oral Solution may cause severe hypotension including orthostatic hypotension and syncope in ambulatory patients. There is increased risk in patients whose ability to maintain blood pressure has already been compromised by a reduced blood volume or concurrent administration of certain CNS depressant drugs (e.g., phenothiazines or general anesthetics) [see Drug Interactions (7)]. Regularly evaluate these patients for signs of hypotension after initiating or titrating the dosage of Morphine Sulfate Oral Solution. In patients with circulatory shock, Morphine Sulfate Oral Solution may cause vasodilation that can further reduce cardiac output and blood pressure. Avoid the use of Morphine Sulfate Oral Solution in patients with circulatory shock.

12.1 Mechanism of Action

Morphine is a full opioid agonist and is relatively selective for the mu-opioid receptor, although it can bind to other opioid receptors at higher doses. The principal therapeutic action of morphine is analgesia. Like all full opioid agonists, there is no ceiling effect for analgesia with morphine. Clinically, dosage is titrated to provide adequate analgesia and may be limited by adverse reactions, including respiratory and CNS depression.

The precise mechanism of the analgesic action is unknown. However, specific CNS opioid receptors for endogenous compounds with opioid-like activity have been identified throughout the brain and spinal cord and are thought to play a role in the analgesic effects of this drug.

9.1 Controlled Substance

Morphine Sulfate Oral Solution contains morphine, a Schedule II controlled substance.

5 Warnings and Precautions (5 WARNINGS AND PRECAUTIONS)
  • Opioid-Induced Hyperalgesia and Allodynia: Opioid-Induced Hyperalgesia (OIH) occurs when an opioid analgesic paradoxically causes an increase in pain, or an increase in sensitivity to pain. If OIH is suspected, carefully consider appropriately decreasing the dose of the current opioid analgesic or opioid rotation. (5.7)
  • Life-Threatening Respiratory Depression in Patients with Chronic Pulmonary Disease or in Elderly, Cachectic, or Debilitated Patients: Regularly evaluate closely, particularly during initiation and titration. (5.8)
  • Adrenal Insufficiency: If diagnosed, treat with physiologic replacement of corticosteroids, and wean patient off of the opioid. (5.10)
  • Severe Hypotension: Regularly evaluate during dosage initiation and titration. Avoid use of Morphine Sulfate Oral Solution in patients with circulatory shock. (5.11)
  • Risks of Use in Patients with Increased Intracranial Pressure, Brain Tumors, Head Injury, or Impaired Consciousness: Monitor for sedation and respiratory depression. Avoid use of Morphine Sulfate Oral Solution in patients with impaired consciousness or coma. (5.12)
5.10 Adrenal Insufficiency

Cases of adrenal insufficiency have been reported with opioid use, more often following greater than one month of use. Presentation of adrenal insufficiency may include non-specific symptoms and signs including nausea, vomiting, anorexia, fatigue, weakness, dizziness, and low blood pressure. If adrenal insufficiency is suspected, confirm the diagnosis with diagnostic testing as soon as possible. If adrenal insufficiency is diagnosed, treat with physiologic replacement doses of corticosteroids. Wean the patient off of the opioid to allow adrenal function to recover and continue corticosteroid treatment until adrenal function recovers. Other opioids may be tried as some cases reported use of a different opioid without recurrence of adrenal insufficiency. The information available does not identify any particular opioids as being more likely to be associated with adrenal insufficiency.

2 Dosage and Administration (2 DOSAGE AND ADMINISTRATION)
  • Morphine Sulfate Oral Solution 20 mg/mL is only for opioid-tolerant adult patients . (2.1)
  • Morphine Sulfate Oral Solution should be prescribed only by healthcare professionals who are knowledgeable about the use of opioids and how to mitigate the associated risks. (2.2)
  • Use the lowest effective dosage for the shortest duration of time consistent with individual patient treatment goals. Reserve titration to higher doses of Morphine Sulfate Oral Solution for patients in whom lower doses are insufficiently effective and in whom the expected benefits of using a higher dose opioid clearly outweigh the substantial risks. (2.2, 5)
  • Many acute pain conditions (e.g., the pain that occurs with a number of surgical procedures or acute musculoskeletal injuries) require no more than a few days of an opioid analgesic. Clinical guidelines on opioid prescribing for some acute pain conditions are available. (2.2)
  • Initiate the dosing regimen for each patient individually, taking into account the patient's underlying cause and severity of pain, prior analgesic treatment and response, and risk factors for addiction, abuse, and misuse. (2.2, 5.2)
  • Respiratory depression can occur at any time during opioid therapy, especially when initiating and following dosage increases with Morphine Sulfate Oral Solution. Consider this risk when selecting an initial dose andwhen making dose adjustments. (2.1, 5.3)
  • Discuss availability of naloxone with the patient and caregiver and assess each patient's need for access to naloxone, both when initiating and renewing treatment with Morphine Sulfate Oral Solution. Considerprescribing naloxone based on the patient's risk factors for overdose. (2.3, 5.2, 5.3, 5.4)
  • Adults : Initiate treatment with Morphine Sulfate Oral Solution 10 to 20 mg every 4 hours as needed for pain, and at the lowest dose necessary to achieve adequate analgesia. Titrate the dose based upon the individualpatient's response to their initial dose of Morphine Sulfate Oral Solution. (2.4, 2.5)
  • Pediatric Patients 2 Years of Age and Older : Initiate treatment with Morphine Oral Solution 2 mg/mL or 4 mg/mL at a dose of 0.15 mg/kg to 0.3 mg/kg every 4 hours as needed for pain, and at the lowest dose necessaryto achieve adequate analgesia. Do not exceed 20 mg as an initial dose in pediatrics. See Full PrescribingInformation for complete information on pediatric dosing. (2.3)
  • Do not abruptly discontinue Morphine Sulfate Oral Solution in a physically dependent patient because rapid discontinuation of opioid analgesics has resulted in serious withdrawal symptoms, uncontrolled pain, andsuicide. (2.6, 5.15)
3 Dosage Forms and Strengths (3 DOSAGE FORMS AND STRENGTHS)

Morphine Sulfate Oral Solution:

  • 10 mg per 5 mL (2 mg/mL): Each 1 mL of clear, blue-green oral solution contains 2 mg of morphine sulfate, USP (equivalent to 1.5 mg morphine).
  • 20 mg per 5 mL (4 mg/mL): Each 1 mL of clear, blue-green oral solution contains 4 mg of morphine sulfate, USP (equivalent to 3 mg morphine).
  • 100 mg per 5 mL (20 mg/mL) (only for opioid-tolerant adults ): Each 1 mL of clear, colorless or clear, pink oral solution contains 20 mg of morphine sulfate, USP (equivalent to 15 mg morphine).
8 Use in Specific Populations (8 USE IN SPECIFIC POPULATIONS)

Pregnancy: May cause fetal harm. (8.1)

5.2 Addiction, Abuse, and Misuse

Morphine Sulfate Oral Solution contains morphine, a Schedule II controlled substance. As an opioid, Morphine Sulfate Oral Solution exposes users to the risks of addiction, abuse, and misuse [see Drug Abuse and Dependence (9)].

Although the risk of addiction in any individual is unknown, it can occur in patients appropriately prescribed morphine sulfate. Addiction can occur at recommended dosages and if the drug is misused or abused.

Assess each patient's risk for opioid addiction, abuse, or misuse prior to prescribing Morphine Sulfate Oral Solution, and reassess all patients receiving Morphine Sulfate Oral Solution for the development of these behaviors and conditions. Risks are increased in patients with a personal or family history of substance abuse (including drug or alcohol abuse or addiction) or mental illness (e.g., major depression). The potential for these risks should not, however, prevent the proper management of pain in any given patient. Patients at increased risk may be prescribed opioids such as Morphine Sulfate Oral Solution but use in such patients necessitates intensive counseling about the risks and proper use of Morphine Sulfate Oral Solution along with frequent reevaluation for signs of addiction, abuse, and misuse. Consider prescribing naloxone for the emergency treatment of opioid overdose [see Dosage and Administration (2.2) and Warnings and Precautions (5.3)].

Opioids are sought for nonmedical use and are subject to diversion from legitimate prescribed use. Consider these risks when prescribing or dispensing Morphine Sulfate Oral Solution. Strategies to reduce these risks include prescribing the drug in the smallest appropriate quantity and advising the patient on careful storage of the drug during the course of treatment and on the proper disposal of unused drug. Contact local state professional licensing board or state-controlled substances authority for information on how to prevent and detect abuse or diversion of this product.

17 Patient Counseling Information (17 PATIENT COUNSELING INFORMATION)

Advise the patients or caregivers to read the FDA-approved patient labeling (Medication Guide and Instruction for Use).

2.1 Dosage and Administration Overview

Morphine Sulfate Oral Solution is available in three concentrations: 2 mg/mL, 4 mg/mL, and 20 mg/mL [see Dosage Forms and Strengths (3)].

  • Morphine Sulfate Oral Solution 2 mg/mL and 4 mg/mL is indicated for use in adults and pediatric patients 2 years of age and older.
    • Strongly advise patients and caregivers to always use a graduated oral syringe with metric units of measurement (i.e., mL) when administering Morphine Sulfate Oral Solution 2 mg/mL and 4 mg/mL to correctly measure the prescribed amount of medication.
  • Morphine Sulfate Oral Solution 20 mg/mL is only indicated for use in opioid-tolerant adult patients who have already been receiving opioid therapy. This concentration is to be used only in adult patients who have already been titrated to a stable analgesic regimen using lower concentrations of morphine sulfate and who can benefit from use of a higher concentration (smaller volume) of oral solution.
    • Adult patients considered to be opioid tolerant are those who are receiving, for one week or longer, at least 60 mg oral morphine per day, 25 mcg transdermal fentanyl per hour, 30 mg oral oxycodone per day, 8 mg oral hydromorphone per day, 25 mg oral oxymorphone per day, 60 mg oral hydrocodone per day, or an equianalgesic dose of another opioid.
  • Ensure accuracy when prescribing, dispensing, and administering Morphine Sulfate Oral Solution to avoid dosing errors due to confusion between mg and mL, and with other morphine solutions of different concentrations, which could result in accidental overdose and death. Ensure the proper dose is communicated and dispensed.
5.5 Neonatal Opioid Withdrawal Syndrome

Use of Morphine Sulfate Oral Solution for an extended period of time during pregnancy can result in withdrawal in the neonate. Neonatal opioid withdrawal syndrome, unlike opioid withdrawal syndrome in adults, may be life-threatening if not recognized and treated, and requires management according to protocols developed by neonatology experts. Observe newborns for signs of neonatal opioid withdrawal syndrome and manage accordingly. Advise pregnant women using opioids for an extended period of time of the risk of neonatal opioid withdrawal syndrome and ensure that appropriate treatment will be available [see Use in Specific Populations (8.1)]

2.5 Titration and Maintenance of Therapy

Individually titrate Morphine Sulfate Oral Solution to a dose that provides adequate analgesia and minimizes adverse reactions. Continually reevaluate patients receiving Morphine Sulfate Oral Solution to assess the maintenance of pain control, signs and symptoms of opioid withdrawal, and other adverse reactions, as well as to reassess for the development of addiction, abuse, or misuse [see Warnings and Precautions (5.2, 5.15)]. Frequent communication is important among the prescriber, other members of the healthcare team, the patient, and the caregiver/family during periods of changing analgesic requirements, including initial titration.

If the level of pain increases after dosage stabilization, attempt to identify the source of increased pain before increasing the Morphine Sulfate Oral Solution dosage. If after increasing the dosage, unacceptable opioid-related adverse reactions are observed (including an increase in pain after a dosage increase), consider reducing the dosage [see Warnings and Precautions (5)]. Adjust the dosage to obtain an appropriate balance between management of pain and opioid-related adverse reactions.

5.3 Life Threatening Respiratory Depression (5.3 Life-Threatening Respiratory Depression)

Serious, life-threatening, or fatal respiratory depression has been reported with the use of opioids, even when used as recommended. Respiratory depression, if not immediately recognized and treated, may lead to respiratory arrest and death. Management of respiratory depression may include close observation, supportive measures, and use of opioid antagonists, depending on the patient's clinical status [see Overdosage (10)]. Carbon dioxide (CO2) retention from opioid-induced respiratory depression can exacerbate the sedating effects of opioids.

While serious, life-threatening, or fatal respiratory depression can occur at any time during the use of Morphine Sulfate Oral Solution, the risk is greatest during the initiation of therapy or following a dosage increase of Morphine Sulfate Oral Solution.

To reduce the risk of respiratory depression, proper dosing and titration of Morphine Sulfate Oral Solution are essential [see Dosage and Administration (2) ]. Overestimating the Morphine Sulfate Oral Solution dosage when converting patients from another opioid product can result in a fatal overdose with the first dose.

Morphine Sulfate Oral Solution 20 mg/mL is for use only in opioid-tolerant adult patients. Administration of this formulation may cause fatal respiratory depression when administered to patients who are not tolerant to the respiratory depressant effects of opioids.

Accidental ingestion of even one dose of Morphine Sulfate Oral Solution, especially by children, can result in respiratory depression and death due to an overdose of morphine.

Educate patients and caregivers on how to recognize respiratory depression and emphasize the importance of calling 911 or getting emergency medical help right away in the event of a known or suspected overdose .

Opioids can cause sleep-related breathing disorders including central sleep apnea (CSA) and sleep-related hypoxemia.

Opioid use increases the risk of CSA in a dose-dependent fashion. In patients who present with CSA, consider decreasing the opioid dosage using best practices for opioid taper [see Dosage and Administration (2.6)].

5.16 Risks of Driving and Operating Machinery

Morphine Sulfate Oral Solution may impair the mental or physical abilities needed to perform potentially hazardous activities such as driving a car or operating machinery. Warn patients not to drive or operate dangerous machinery unless they are tolerant to the effects of Morphine Sulfate Oral Solution and know how they will react to the medication.

5.7 Opioid Induced Hyperalgesia and Allodynia (5.7 Opioid-Induced Hyperalgesia and Allodynia)

Opioid-Induced Hyperalgesia (OIH) occurs when an opioid analgesic paradoxically causes an increase in pain, or an increase in sensitivity to pain. This condition differs from tolerance, which is the need for increasing doses of opioids to maintain a defined effect [see Dependence (9.3)]. Symptoms of OIH include (but may not be limited to) increased levels of pain upon opioid dosage increase, decreased levels of pain upon opioid dosage decrease, or pain from ordinarily nonpainful stimuli (allodynia). These symptoms may suggest OIH only if there is no evidence of underlying disease progression, opioid tolerance, opioid withdrawal, or addictive behavior.

Cases of OIH have been reported, both with short-term and longer-term use of opioid analgesics. Though the mechanism of OIH is not fully understood, multiple biochemical pathways have been implicated. Medical literature suggests a strong biologic plausibility between opioid analgesics and OIH and allodynia. If a patient is suspected to be experiencing OIH, carefully consider appropriately decreasing the dose of the current opioid analgesic or opioid rotation (safely switching the patient to a different opioid moiety) [see Dosage and Administration (2.6), Warnings and Precautions (5.15)].

Principal Display Panel 1 Ml Syringe Bag Label (PRINCIPAL DISPLAY PANEL - 1 mL Syringe Bag Label)

Morphine Sulfate Oral Solution* CII

*Color Added 20 mg/ 1 mL • Delivers 1 mL

Store at 20° to 25°C (68° to 77°F).

ONLY FOR USE IN ADULTS

WHO ARE OPIOID TOLERANT

Each 1 mL of oral solution contains 20 mg

Morphine Sulfate, USP equivalent to 15 mg

Morphine base.

FOR ORAL USE ONLY

Pkg: Precision Dose, Inc. S. Beloit, IL 61080

5.9 Interaction With Monoamine Oxidase Inhibitors (5.9 Interaction with Monoamine Oxidase Inhibitors)

Monoamine oxidase inhibitors (MAOIs) may potentiate the effects of morphine, including respiratory depression, coma, and confusion. Morphine Sulfate Oral Solution should not be used in patients taking MAOIs or within 14 days of stopping such treatment.

2.2 Important Dosage and Administration Instructions

Ensure accuracy when prescribing, dispensing, and administering Morphine Sulfate Oral Solution to avoid dosing errors due to confusion between mg and mL, and with other morphine sulfate oral solutions of different concentrations, which could result in accidental overdose and death. Ensure the proper dose is communicated and dispensed.

  • Morphine Sulfate Oral Solution should be prescribed only by healthcare professionals who are knowledgeable about the use of opioids and how to mitigate the associated risks.
  • Use the lowest effective dosage for the shortest duration of time consistent with individual patient treatment goals [see Warnings and Precautions (5)]. Because the risk of overdose increases as opioid doses increase, reserve titration to higher doses of Morphine Sulfate Oral Solution for patients in whom lower doses are insufficiently effective and in whom the expected benefits of using a higher dose opioid clearly outweigh the substantial risks.
  • Many acute pain conditions (e.g., the pain that occurs with a number of surgical procedures or acute musculoskeletal injuries) require no more than a few days of an opioid analgesic. Clinical guidelines on opioid prescribing for some acute pain conditions are available.
  • There is variability in the opioid analgesic dose and duration needed to adequately manage pain due both to the cause of pain and to individual patient factors. Initiate the dosing regimen for each patient individually, taking into account the patient's underlying cause and severity of pain, prior analgesic treatment and response, and risk factors for addiction, abuse, and misuse [see Warnings and Precautions (5.1)].
  • Respiratory depression can occur at any time during opioid therapy, especially when initiating and following dosage increases with Morphine Sulfate Oral Solution. Consider this risk when selecting an initial dose and when making dose adjustments [see Warnings and Precautions (5)].
  • Initiate the dosing regimen for each patient individually, taking into account the patient's severity of pain, patient response, prior analgesic treatment experience, and risk factors for addiction, abuse, and misuse [see Warnings and Precautions (5.2)].
5.13 Risks of Use in Patients With Gastrointestinal Conditions (5.13 Risks of Use in Patients with Gastrointestinal Conditions)

Morphine Sulfate Oral Solution is contraindicated in patients with known or suspected gastrointestinal obstruction, including paralytic ileus.

The morphine in Morphine Sulfate Oral Solution may cause spasm of the sphincter of Oddi. Opioids may cause increases in serum amylase. Regularly evaluate patients with biliary tract disease, including acute pancreatitis, for worsening symptoms.

5.1 Risk of Accidental Overdose and Death Due to Medication Errors (5.1 Risk of Accidental Overdose and Death due to Medication Errors)

Dosing errors can result in accidental overdose and death. Avoid dosing errors that may result from confusion between mg and mL and confusion with morphine sulfate oral solutions of different concentrations, when prescribing, dispensing, and administering Morphine Sulfate Oral Solution. Ensure that the dose is communicated clearly and dispensed accurately.

5.14 Increased Risk of Seizures in Patients With Seizure Disorders (5.14 Increased Risk of Seizures in Patients with Seizure Disorders)

The morphine in Morphine Sulfate Oral Solution may increase the frequency of seizures in patients with seizure disorders and may increase the risk of seizures occurring in other clinical settings associated with seizures. Regularly evaluate patients with a history of seizure disorders for worsened seizure control during Morphine Sulfate Oral Solution therapy.

5.6 Opioid Analgesic Risk Evaluation and Mitigation Strategy (rems) (5.6 Opioid Analgesic Risk Evaluation and Mitigation Strategy (REMS))

To ensure that the benefits of opioid analgesics outweigh the risks of addiction, abuse, and misuse, the Food and Drug Administration (FDA) has required a Risk Evaluation and Mitigation Strategy (REMS) for these products. Under the requirements of the REMS, drug companies with approved opioid analgesic products must make REMS-compliant education programs available to healthcare providers. Healthcare providers are strongly encouraged to do all of the following:

  • Complete a REMS-compliant education program offered by an accredited provider of continuing education (CE) or another education program that includes all the elements of the FDA Education Blueprint for Health Care Providers Involved in the Management or Support of Patients with Pain.
  • Discuss the safe use, serious risks, and proper storage and disposal of opioid analgesics with patients and/or their caregivers every time these medicines are prescribed. The Patient Counseling Guide (PCG) can be obtained at this link: www.fda.gov/OpioidAnalgesicREMSPCG.
  • Emphasize to patients and their caregivers the importance of reading the Medication Guide that they will receive from their pharmacist every time an opioid analgesic is dispensed to them.
  • Consider using other tools to improve patient, household, and community safety, such as patient-prescriber agreements that reinforce patient-prescriber responsibilities.

To obtain further information on the opioid analgesic REMS and for a list of accredited REMS CME/CE, call 1-800-503-0784, or log on to www.opioidanalgesicrems.com. The FDA Blueprint can be found at www.fda.gov/OpioidAnalgesicREMSBlueprint.

2.6 Safe Reduction Or Discontinuation of Morphine Sulfate Oral Solution (2.6 Safe Reduction or Discontinuation of Morphine Sulfate Oral Solution)

Do not abruptly discontinue Morphine Sulfate Oral Solution in patients who may be physically dependent on opioids. Rapid discontinuation of opioid analgesics in patients who are physically dependent on opioids has resulted in serious withdrawal symptoms, uncontrolled pain, and suicide. Rapid discontinuation has also been associated with attempts to find other sources of opioid analgesics, which may be confused with drug-seeking for abuse. Patients may also attempt to treat their pain or withdrawal symptoms with illicit opioids, such as heroin, and other substances.

When a decision has been made to decrease the dose or discontinue therapy in an opioid-dependent patient taking Morphine Sulfate Oral Solution, there are a variety of factors that should be considered, including the total daily dose of opioid (including Morphine Sulfate Oral Solution) the patient has been taking, the duration of treatment, the type of pain being treated, and the physical and psychological attributes of the patient. It is important to ensure ongoing care of the patient and to agree on an appropriate tapering schedule and follow-up plan so that patient and provider goals and expectations are clear and realistic. When opioid analgesics are being discontinued due to a suspected substance use disorder, evaluate and treat the patient, or refer for evaluation and treatment of the substance use disorder. Treatment should include evidence-based approaches, such as medication assisted treatment of opioid use disorder. Complex patients with co-morbid pain and substance use disorders may benefit from referral to a specialist.

There are no standard opioid tapering schedules that are suitable for all patients. Good clinical practice dictates a patientspecific plan to taper the dose of the opioid gradually. For patients on Morphine Sulfate Oral Solution who are physically opioiddependent, initiate the taper by a small enough increment (e.g., no greater than 10% to 25% of the total daily dose) to avoid withdrawal symptoms, and proceed with dose-lowering at an interval of every 2 to 4 weeks. Patients who have been taking opioids for briefer periods of time may tolerate a more rapid taper.

It may be necessary to provide the patient with lower dosage strengths to accomplish a successful taper. Reassess the patient frequently to manage pain and withdrawal symptoms, should they emerge. Common withdrawal symptoms include restlessness, lacrimation, rhinorrhea, yawning, perspiration, chills, myalgia, and mydriasis. Other signs and symptoms also may develop, including irritability, anxiety, backache, joint pain, weakness, abdominal cramps, insomnia, nausea, anorexia, vomiting, diarrhea, or increased blood pressure, respiratory rate, or heart rate. If withdrawal symptoms arise, it may be necessary to pause the taper for a period of time or raise the dose of the opioid analgesic to the previous dose, and then proceed with a slower taper. In addition, evaluate patients for any changes in mood, emergence of suicidal thoughts, or use of other substances.

When managing patients taking opioid analgesics, particularly those who have been treated for an extended period of time, and/or with high doses for chronic pain, ensure that a multimodal approach to pain management, including mental health support (if needed), is in place prior to initiating an opioid analgesic taper. A multimodal approach to pain management may optimize the treatment of chronic pain, as well as assist with the successful tapering of the opioid analgesic [see Warnings and Precautions (5.15), Drug Abuse and Dependence (9.3)].

5.4 Risks From Concomitant Use With Benzodiazepines Or Other Cns Depressants (5.4 Risks from Concomitant Use with Benzodiazepines or Other CNS Depressants)

Profound sedation, respiratory depression, coma, and death may result from the concomitant use of Morphine Sulfate Oral Solution with benzodiazepines and/or other CNS depressants, including alcohol (e.g., non-benzodiazepine sedatives/ hypnotics, anxiolytics, tranquilizers, muscle relaxants, general anesthetics, antipsychotics, other opioids). Because of these risks, reserve concomitant prescribing of these drugs for use in patients for whom alternative treatment options are inadequate.

Observational studies have demonstrated that concomitant use of opioid analgesics and benzodiazepines increases the risk of drug-related mortality compared to use of opioid analgesics alone. Because of similar pharmacological properties, it is reasonable to expect similar risk with the concomitant use of other CNS depressant drugs with opioid analgesics [see Drug Interactions (7)].

If the decision is made to prescribe a benzodiazepine or other CNS depressant concomitantly with an opioid analgesic, prescribe the lowest effective dosages and minimum durations of concomitant use. In patients already receiving an opioid analgesic, prescribe a lower initial dose of the benzodiazepine or other CNS depressant than indicated in the absence of an opioid, and titrate based on clinical response. If an opioid analgesic is initiated in a patient already taking a benzodiazepine or other CNS depressant, prescribe a lower initial dose of the opioid analgesic, and titrate based on clinical response. Inform patients and caregivers of this potential interaction and educate them on the signs and symptoms of respiratory depression (including sedation). If concomitant use is warranted, consider prescribing naloxone for the emergency treatment of opioid overdose [see Dosage and Administration (2.3), Warnings and Precautions (5.3), Overdosage (10)].

Advise both patients and caregivers about the risks of respiratory depression and sedation when Morphine Sulfate Oral Solution is used with benzodiazepines or other CNS depressants (including alcohol and illicit drugs). Advise patients not to drive or operate heavy machinery until the effects of concomitant use of the benzodiazepine or other CNS depressant have been determined. Screen patients for risk of substance use disorders, including opioid abuse and misuse, and warn them of the risk for overdose and death associated with the use of additional CNS depressants including alcohol and illicit drugs [see Drug Interactions (7)].

2.3 Patient Access to Naloxone for the Emergency Treatment of Opioid Overdose

Discuss the availability of naloxone for the emergency treatment of opioid overdose with the patient and caregiver and assess the potential need for access to naloxone, both when initiating and renewing treatment with Morphine Sulfate Oral Solution [see Warnings and Precautions (5.3)].

Inform patients and caregivers about the various ways to obtain naloxone as permitted by individual state naloxone dispensing and prescribing requirements or guidelines (e.g., by prescription, directly from a pharmacist, or as part of a community-based program).

Consider prescribing naloxone, based on the patient's risk factors for overdose, such as concomitant use of CNS depressants, a history of opioid use disorder, or prior opioid overdose. The presence of risk factors for overdose should not prevent the proper management of pain in any given patient [see Warnings and Precautions (5.2, 5.3, 5.4)].

Consider prescribing naloxone if the patient has household members (including children) or other close contacts at risk for accidental ingestion or overdose.

Warning: Serious and Life Threatening Risks From Use of Morphine Sulfate Oral Solution (WARNING: SERIOUS AND LIFE-THREATENING RISKS FROM USE OF MORPHINE SULFATE ORAL SOLUTION)

WARNING: SERIOUS AND LIFE-THREATENING RISKS FROM USE OF MORPHINE SULFATE ORAL SOLUTION

See full prescribing information for complete boxed warning.

  • Ensure accuracy when prescribing, dispensing, and administering Morphine Sulfate Oral Solution. Dosing errors due to confusion between mg and mL, and other morphine sulfate oral solutions of different concentrations can result in accidental overdose and death. (2.1, 5.1)
  • Morphine Sulfate Oral Solution exposes users to risks of addiction, abuse, and misuse, which can lead to overdose and death. Assess patient's risk before prescribing and reassess regularly for these behaviors and conditions. (5.2)
  • Serious, life-threatening, or fatal respiratory depression may occur especially during initiation and following dosage increase. To reduce the risk of respiratory depression, proper dosing and titration of Morphine Sulfate Oral Solution are essential. (5.3)
  • Accidental ingestion of Morphine Sulfate Oral Solution, especially by children, can result in a fatal overdose of morphine. (5.3)
  • Concomitant use of opioids with benzodiazepines or other central nervous system (CNS) depressants, including alcohol, may result in profound sedation, respiratory depression, coma, and death. Reserve concomitant prescribing for use in patients for whom alternative treatment options are inadequate. (5.4, 7)
  • If opioid use is required for an extended period of time in a pregnant woman, advise the patient of the risk of Neonatal Opioid Withdrawal Syndrome, which may be life-threatening if not recognized and treated. Ensure that management by neonatology experts will be available at delivery. (5.5)
  • Healthcare providers are strongly encouraged to complete a REMS-compliant education program and to counsel patients and caregivers on serious risks, safe use, and the importance of reading the Medication Guide with each prescription. (5.6)
5.12 Risks of Use in Patients With Increased Intracranial Pressure, Brain Tumors, Head Injury, Or Impaired Consciousness (5.12 Risks of Use in Patients with Increased Intracranial Pressure, Brain Tumors, Head Injury, or Impaired Consciousness)

In patients who may be susceptible to the intracranial effects of CO2 retention (e.g., those with evidence of increased intracranial pressure or brain tumors), Morphine Sulfate Oral Solution may reduce respiratory drive, and the resultant CO2 retention can further increase intracranial pressure. Monitor such patients for signs of sedation and respiratory depression, particularly when initiating therapy with Morphine Sulfate Oral Solution. Opioids may also obscure the clinical course in a patient with a head injury. Avoid the use of Morphine Sulfate Oral Solution in patients with impaired consciousness or coma.

5.8 Life Threatening Respiratory Depression in Patients With Chronic Pulmonary Disease Or in Elderly, Cachectic, Or Debilitated Patients (5.8 Life-Threatening Respiratory Depression in Patients with Chronic Pulmonary Disease or in Elderly, Cachectic, or Debilitated Patients)

The use of Morphine Sulfate Oral Solution in patients with acute or severe bronchial asthma in an unmonitored setting or in the absence of resuscitative equipment is contraindicated.


Advanced Ingredient Data


Raw Label Data

All Sections (JSON)