lactulose solution usp

lactulose solution usp
SPL v10
SPL
SPL Set ID 6619b25c-26b7-4c43-8c4f-9d33a23c61ca
Route
oral
Published
Effective Date 2020-01-30
Document Type 34391-3 HUMAN PRESCRIPTION DRUG LABEL

Drug Facts

Composition & Product

Active Ingredients
lactulose (10 g)
Inactive Ingredients
fd&c yellow no. 6 water sodium hydroxide fd&c blue no. 1

Identifiers & Packaging

Pill Appearance
Color: green
Marketing Status
anda active Since 2001-07-26

Indications and Usage

For the treatment of constipation. In patients with a history of chronic constipation, lactulose solution therapy increases the number of bowel movements per day and the number of days on which bowel movements occur.

Dosage and Administration

The usual dose is 1 to 2 tablespoonfuls (15 to 30 mL, containing 10 g to 20 g of lactulose) daily. The dose may be increased to 60 mL daily if necessary. Twenty-four to 48 hours may be required to produce a normal bowel movement. Note: Some patients have found that lactulose solution may be more acceptable when mixed with fruit juice, water or milk.

Contraindications

Since lactulose solution contains galactose (less than 1.6 g/15 mL), it is contraindicated in patients who require a low galactose diet.

Adverse Reactions

Precise frequency data are not available. Initial dosing may produce flatulence and intestinal cramps, which are usually transient. Excessive dosage can lead to diarrhea with potential complications such as loss of fluids, hypokalemia, and hypernatremia. Nausea and vomiting have been reported. To report SUSPECTED ADVERSE REACTIONS, contact Lannett Company, Inc. at 1-844-834-0530.

Drug Interactions

Results of preliminary studies in humans and rats suggest that nonabsorbable antacids given concurrently with lactulose may inhibit the desired lactulose-induced drop in colonic pH. Therefore, a possible lack of desired effect of treatment should be taken into consideration before such drugs are given concomitantly with lactulose solution.

How Supplied

Lactulose Solution USP 10 g/15 mL is available as follows: NDC 0527-5125-68:  8 fl oz (237 mL) bottle NDC 0527-5125-70:  16 fl oz (473 mL) bottle NDC 0527-5125-78:  32 fl oz (946 mL) bottle NDC 0527-5125-82:  64 fl oz (1892 mL) bottle Lactulose solution contains lactulose 667 mg/mL (10 g/15 mL). Store at controlled room temperature, 20°-25°C (68°-77°F). [See USP] Do not freeze. Under recommended storage conditions, a normal darkening of color may occur.  Such darkening is characteristic of sugar solutions and does not affect therapeutic action. Prolonged exposure to temperatures above 30°C (86°F) or to direct light may cause extreme darkening and turbidity which may be pharmaceutically objectionable. If this condition develops, do not use. Prolonged exposure to freezing temperatures may cause change to a semi-solid, too viscous to pour. Viscosity will return to normal upon warming to room temperature. Keep tightly closed. Dispense in original container or tight, light-resistant container with a child-resistant closure. To the Pharmacist: When ordering this product, include the product number (or NDC) in the description.

Description

FOR ORAL ADMINISTRATION Rx Only


Medication Information

Warnings

A theoretical hazard may exist for patients being treated with lactulose solution who may be required to undergo electrocautery procedures during proctoscopy or colonoscopy.  Accumulation of H2 gas in significant concentration in the presence of an electrical spark may result in an explosive reaction.  Although this complication has not been reported with lactulose, patients on lactulose therapy undergoing such procedures should have a thorough bowel cleansing with a non-fermentable solution. Insufflation of CO2 as an additional safeguard may be pursued but is considered to be a redundant measure.

Indications and Usage

For the treatment of constipation. In patients with a history of chronic constipation, lactulose solution therapy increases the number of bowel movements per day and the number of days on which bowel movements occur.

Dosage and Administration

The usual dose is 1 to 2 tablespoonfuls (15 to 30 mL, containing 10 g to 20 g of lactulose) daily. The dose may be increased to 60 mL daily if necessary. Twenty-four to 48 hours may be required to produce a normal bowel movement.

Note: Some patients have found that lactulose solution may be more acceptable when mixed with fruit juice, water or milk.

Contraindications

Since lactulose solution contains galactose (less than 1.6 g/15 mL), it is contraindicated in patients who require a low galactose diet.

Adverse Reactions

Precise frequency data are not available.

Initial dosing may produce flatulence and intestinal cramps, which are usually transient. Excessive dosage can lead to diarrhea with potential complications such as loss of fluids, hypokalemia, and hypernatremia.

Nausea and vomiting have been reported.

To report SUSPECTED ADVERSE REACTIONS, contact Lannett Company, Inc. at 1-844-834-0530.

Drug Interactions

Results of preliminary studies in humans and rats suggest that nonabsorbable antacids given concurrently with lactulose may inhibit the desired lactulose-induced drop in colonic pH. Therefore, a possible lack of desired effect of treatment should be taken into consideration before such drugs are given concomitantly with lactulose solution.

How Supplied

Lactulose Solution USP 10 g/15 mL is available as follows:

NDC 0527-5125-68:  8 fl oz (237 mL) bottle

NDC 0527-5125-70:  16 fl oz (473 mL) bottle

NDC 0527-5125-78:  32 fl oz (946 mL) bottle

NDC 0527-5125-82:  64 fl oz (1892 mL) bottle

Lactulose solution contains lactulose 667 mg/mL (10 g/15 mL).

Store at controlled room temperature, 20°-25°C (68°-77°F). [See USP] Do not freeze.

Under recommended storage conditions, a normal darkening of color may occur.  Such darkening is characteristic of sugar solutions and does not affect therapeutic action. Prolonged exposure to temperatures above 30°C (86°F) or to direct light may cause extreme darkening and turbidity which may be pharmaceutically objectionable. If this condition develops, do not use.

Prolonged exposure to freezing temperatures may cause change to a semi-solid, too viscous to pour. Viscosity will return to normal upon warming to room temperature.

Keep tightly closed.

Dispense in original container or tight, light-resistant container with a child-resistant closure.

To the Pharmacist: When ordering this product, include the product number (or NDC) in the description.



Description

Lactulose is a synthetic disaccharide in solution form for oral administration. Each 15 mL of Lactulose Solution contains: 10 g lactulose (and less than 1.6 g galactose, less than 1.2 g lactose, and 1.2 g or less of other sugars). Also contains FD&C Blue No. 1, FD&C Yellow No. 6, purified water, and flavoring. Sodium hydroxide used to adjust pH. The pH range is 2.5 to 6.5.

Lactulose is a colonic acidifier which promotes laxation.

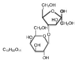
The chemical name for lactulose is 4-0-ß-D-galactopyranosyl-D-fructofuranose. The molecular formula is C12H22O11. It has the following structural formula:

The molecular weight is 342.30. It is freely soluble in water.

Section 42229-5

FOR ORAL ADMINISTRATION

Rx Only

Section 44425-7

Distributed by:

Lannett Company, Inc.

Philadelphia, PA 19136

L6868B

Rev. 01/20

General

Since lactulose solution contains galactose (less than 1.6 g/15 mL) and lactose (less than 1.2 g/15 mL), it should be used with caution in diabetics.

Dialysis

Dialysis data are not available for lactulose. Its molecular similarity to sucrose, however, would suggest that it should be dialyzable.

Oral Ld50

The acute oral LD50 of the drug is 48.8 mL/kg in mice and greater than 30 mL/kg in rats.

Pediatric Use

Safety and effectiveness in pediatric patients have not been established.

Nursing Mothers

It is not known whether this drug is excreted in human milk.  Because many drugs are excreted in human milk, caution should be exercised when lactulose solution is administered to a nursing woman.

Laboratory Tests

Elderly, debilitated patients who receive lactulose solution for more than six months should have serum electrolytes (potassium, chloride, carbon dioxide) measured periodically.

Signs and Symptoms

There have been no reports of accidental overdosage. In the event of overdosage, it is expected that diarrhea and abdominal cramps would be the major symptoms. Medication should be terminated.

Teratogenic Effects

Pregnancy Category B

Reproduction studies have been performed in mice, rats, and rabbits at doses up to 3 or 6 times the usual human oral dose and have revealed no evidence of impaired fertility or harm to the fetus due to lactulose. There are, however, no adequate and well-controlled studies in pregnant women. Because animal reproduction studies are not always predictive of human response, this drug should be used during pregnancy only if clearly needed.

Clinical Pharmacology

Lactulose is poorly absorbed from the gastrointestinal tract and no enzyme capable of hydrolysis of this disaccharide is present in human gastrointestinal tissue. As a result, oral doses of lactulose solution reach the colon virtually unchanged. In the colon, lactulose is broken down primarily to lactic acid, and also to small amounts of formic and acetic acids, by the action of colonic bacteria, which results in an increase in osmotic pressure and slight acidification of the colonic contents. This in turn causes an increase in stool water content and softens the stool.

Since lactulose does not exert its effect until it reaches the colon, and since transit time through the colon may be slow, 24 to 48 hours may be required to produce the desired bowel movement.

Lactulose solution given orally to man and experimental animals resulted in only small amounts reaching the blood.

Urinary excretion has been determined to be 3% or less and is essentially complete within 24 hours.

Information for Patients

In the event that an unusual diarrheal condition occurs, contact your physician.

Principal Display Panel 473 Ml Bottle Label

NDC 0527-5125-70

Lactulose Solution USP

10 g/15 mL

To the Pharmacist: When ordering this product,

include the product number (or NDC) in the

description.

Rx Only

16 fl oz (473 mL)

Lannett

Carcinogenesis, Mutagenesis, Impairment of Fertility

There are no known human data on long-term potential for carcinogenicity, mutagenicity, or impairment of fertility.

There are no known animal data on long-term potential for mutagenicity.

Administration of lactulose solution in the diet of mice for 18 months in concentrations of 3 and 10 percent (v/w) did not produce any evidence of carcinogenicity.

In studies of mice, rats, and rabbits, doses of lactulose solution up to 6 or 12 mL/kg/day produced no deleterious effects in breeding, conception, or parturition.


Structured Label Content

Warnings (WARNINGS)

A theoretical hazard may exist for patients being treated with lactulose solution who may be required to undergo electrocautery procedures during proctoscopy or colonoscopy.  Accumulation of H2 gas in significant concentration in the presence of an electrical spark may result in an explosive reaction.  Although this complication has not been reported with lactulose, patients on lactulose therapy undergoing such procedures should have a thorough bowel cleansing with a non-fermentable solution. Insufflation of CO2 as an additional safeguard may be pursued but is considered to be a redundant measure.

Indications and Usage (INDICATIONS AND USAGE)

For the treatment of constipation. In patients with a history of chronic constipation, lactulose solution therapy increases the number of bowel movements per day and the number of days on which bowel movements occur.

Dosage and Administration (DOSAGE AND ADMINISTRATION)

The usual dose is 1 to 2 tablespoonfuls (15 to 30 mL, containing 10 g to 20 g of lactulose) daily. The dose may be increased to 60 mL daily if necessary. Twenty-four to 48 hours may be required to produce a normal bowel movement.

Note: Some patients have found that lactulose solution may be more acceptable when mixed with fruit juice, water or milk.

Contraindications (CONTRAINDICATIONS)

Since lactulose solution contains galactose (less than 1.6 g/15 mL), it is contraindicated in patients who require a low galactose diet.

Adverse Reactions (ADVERSE REACTIONS)

Precise frequency data are not available.

Initial dosing may produce flatulence and intestinal cramps, which are usually transient. Excessive dosage can lead to diarrhea with potential complications such as loss of fluids, hypokalemia, and hypernatremia.

Nausea and vomiting have been reported.

To report SUSPECTED ADVERSE REACTIONS, contact Lannett Company, Inc. at 1-844-834-0530.

Drug Interactions

Results of preliminary studies in humans and rats suggest that nonabsorbable antacids given concurrently with lactulose may inhibit the desired lactulose-induced drop in colonic pH. Therefore, a possible lack of desired effect of treatment should be taken into consideration before such drugs are given concomitantly with lactulose solution.

How Supplied (HOW SUPPLIED)

Lactulose Solution USP 10 g/15 mL is available as follows:

NDC 0527-5125-68:  8 fl oz (237 mL) bottle

NDC 0527-5125-70:  16 fl oz (473 mL) bottle

NDC 0527-5125-78:  32 fl oz (946 mL) bottle

NDC 0527-5125-82:  64 fl oz (1892 mL) bottle

Lactulose solution contains lactulose 667 mg/mL (10 g/15 mL).

Store at controlled room temperature, 20°-25°C (68°-77°F). [See USP] Do not freeze.

Under recommended storage conditions, a normal darkening of color may occur.  Such darkening is characteristic of sugar solutions and does not affect therapeutic action. Prolonged exposure to temperatures above 30°C (86°F) or to direct light may cause extreme darkening and turbidity which may be pharmaceutically objectionable. If this condition develops, do not use.

Prolonged exposure to freezing temperatures may cause change to a semi-solid, too viscous to pour. Viscosity will return to normal upon warming to room temperature.

Keep tightly closed.

Dispense in original container or tight, light-resistant container with a child-resistant closure.

To the Pharmacist: When ordering this product, include the product number (or NDC) in the description.



Description (DESCRIPTION)

Lactulose is a synthetic disaccharide in solution form for oral administration. Each 15 mL of Lactulose Solution contains: 10 g lactulose (and less than 1.6 g galactose, less than 1.2 g lactose, and 1.2 g or less of other sugars). Also contains FD&C Blue No. 1, FD&C Yellow No. 6, purified water, and flavoring. Sodium hydroxide used to adjust pH. The pH range is 2.5 to 6.5.

Lactulose is a colonic acidifier which promotes laxation.

The chemical name for lactulose is 4-0-ß-D-galactopyranosyl-D-fructofuranose. The molecular formula is C12H22O11. It has the following structural formula:

The molecular weight is 342.30. It is freely soluble in water.

Section 42229-5 (42229-5)

FOR ORAL ADMINISTRATION

Rx Only

Section 44425-7 (44425-7)

Distributed by:

Lannett Company, Inc.

Philadelphia, PA 19136

L6868B

Rev. 01/20

General

Since lactulose solution contains galactose (less than 1.6 g/15 mL) and lactose (less than 1.2 g/15 mL), it should be used with caution in diabetics.

Dialysis

Dialysis data are not available for lactulose. Its molecular similarity to sucrose, however, would suggest that it should be dialyzable.

Oral Ld50 (Oral LD50)

The acute oral LD50 of the drug is 48.8 mL/kg in mice and greater than 30 mL/kg in rats.

Pediatric Use

Safety and effectiveness in pediatric patients have not been established.

Nursing Mothers

It is not known whether this drug is excreted in human milk.  Because many drugs are excreted in human milk, caution should be exercised when lactulose solution is administered to a nursing woman.

Laboratory Tests

Elderly, debilitated patients who receive lactulose solution for more than six months should have serum electrolytes (potassium, chloride, carbon dioxide) measured periodically.

Signs and Symptoms

There have been no reports of accidental overdosage. In the event of overdosage, it is expected that diarrhea and abdominal cramps would be the major symptoms. Medication should be terminated.

Teratogenic Effects

Pregnancy Category B

Reproduction studies have been performed in mice, rats, and rabbits at doses up to 3 or 6 times the usual human oral dose and have revealed no evidence of impaired fertility or harm to the fetus due to lactulose. There are, however, no adequate and well-controlled studies in pregnant women. Because animal reproduction studies are not always predictive of human response, this drug should be used during pregnancy only if clearly needed.

Clinical Pharmacology (CLINICAL PHARMACOLOGY)

Lactulose is poorly absorbed from the gastrointestinal tract and no enzyme capable of hydrolysis of this disaccharide is present in human gastrointestinal tissue. As a result, oral doses of lactulose solution reach the colon virtually unchanged. In the colon, lactulose is broken down primarily to lactic acid, and also to small amounts of formic and acetic acids, by the action of colonic bacteria, which results in an increase in osmotic pressure and slight acidification of the colonic contents. This in turn causes an increase in stool water content and softens the stool.

Since lactulose does not exert its effect until it reaches the colon, and since transit time through the colon may be slow, 24 to 48 hours may be required to produce the desired bowel movement.

Lactulose solution given orally to man and experimental animals resulted in only small amounts reaching the blood.

Urinary excretion has been determined to be 3% or less and is essentially complete within 24 hours.

Information for Patients

In the event that an unusual diarrheal condition occurs, contact your physician.

Principal Display Panel 473 Ml Bottle Label (PRINCIPAL DISPLAY PANEL - 473 mL Bottle Label)

NDC 0527-5125-70

Lactulose Solution USP

10 g/15 mL

To the Pharmacist: When ordering this product,

include the product number (or NDC) in the

description.

Rx Only

16 fl oz (473 mL)

Lannett

Carcinogenesis, Mutagenesis, Impairment of Fertility

There are no known human data on long-term potential for carcinogenicity, mutagenicity, or impairment of fertility.

There are no known animal data on long-term potential for mutagenicity.

Administration of lactulose solution in the diet of mice for 18 months in concentrations of 3 and 10 percent (v/w) did not produce any evidence of carcinogenicity.

In studies of mice, rats, and rabbits, doses of lactulose solution up to 6 or 12 mL/kg/day produced no deleterious effects in breeding, conception, or parturition.


Advanced Ingredient Data


Raw Label Data

All Sections (JSON)