These Highlights Do Not Include All The Information Needed To Use Quetiapine Extended-release Tablets Safely And Effectively. See Full Prescribing Information For Quetiapine Extended-release Tablets.

These Highlights Do Not Include All The Information Needed To Use Quetiapine Extended-release Tablets Safely And Effectively. See Full Prescribing Information For Quetiapine Extended-release Tablets.
SPL v15
SPL
SPL Set ID 6562eb60-0d70-4909-bd07-88d5c9241516
Route
ORAL
Published
Effective Date 2025-08-22
Document Type 34391-3 Human Prescription Drug Label

Drug Facts

Composition & Product

Active Ingredients
Quetiapine (50 mg)
Inactive Ingredients
Hypromellose 2208 (100 Mpa.s) Hypromellose 2208 (4000 Mpa.s) Hypromellose 2910 (6 Mpa.s) Lactose Monohydrate Magnesium Stearate Microcrystalline Cellulose Polyethylene Glycol 400 Ferric Oxide Red Titanium Dioxide Trisodium Citrate Dihydrate Ferric Oxide Yellow Hypromellose 2910 (5 Mpa.s) Propylene Glycol

Identifiers & Packaging

Pill Appearance
Imprint: Z49 Shape: capsule Color: orange Color: white Color: yellow Size: 16 mm Size: 15 mm Size: 17 mm Size: 19 mm Size: 20 mm Score: 1
Marketing Status
ANDA Active Since 2017-11-29

Description

Warnings and Precautions ( 5.15 )                                                                     1/2025

Indications and Usage

Quetiapine extended-release tablets are an atypical antipsychotic indicated for the treatment of: Schizophrenia (1.1) Bipolar I disorder, manic, or mixed episodes (1.2) Bipolar disorder, depressive episodes  (1.2) Major depressive disorder, adjunctive therapy with antidepressants  (1.3)

Dosage and Administration

Swallow tablets whole and do not split, chew or crush  (2.1) Take without food or with a light meal (approx. 300 calories)  (2.1) Administer once daily, preferably in the evening  (2.1) Geriatric Use: Consider a lower starting dose (50 mg/day), slower titration, and careful monitoring during the initial dosing period in the elderly. (2.3 ,  8.5) Hepatic Impairment: Lower starting dose (50 mg/day) and slower titration may be needed (2.4 , 8.7 ,  12.3) Indication Initial Dose Recommended Dose Maximum Dose Schizophrenia - Adults (2.2) 300 mg/day 400 to 800 mg/day 800 mg/day Schizophrenia - Adolescents (13 to 17 years) (2.2) 50 mg/day 400 to 800 mg/day 800 mg/day Bipolar I Disorder manic or mixed - Acute monotherapy or adjunct to lithium or divalproex - Adults  (2.2) 300 mg/day 400 to 800 mg/day 800 mg/day Bipolar I Disorder, manic Acute monotherapy - Children and Adolescents (10 to 17 years)  (2.2) 50 mg/day 400 to 600 mg/day 600 mg/day Bipolar Disorder, Depressive Episodes - Adults  (2.2) 50 mg/day 300 mg/day 300 mg/day Major Depressive Disorder, Adjunctive Therapy with Antidepressants - Adults  (2.2) 50 mg/day 150 to 300 mg/day 300 mg/day

Warnings and Precautions

Cerebrovascular Adverse Reactions:   Increased incidence of cerebrovascular adverse reactions (e.g., stroke, transient ischemic attack) has been seen in elderly patients with dementia-related psychoses treated with atypical antipsychotic drugs (5.3) Neuroleptic Malignant Syndrome (NMS):   Manage with immediate discontinuation and close monitoring  (5.4) Metabolic Changes:   Atypical antipsychotics have been associated with metabolic changes. These metabolic changes include hyperglycemia, dyslipidemia, and weight gain  (5.5) Hyperglycemia and Diabetes Mellitus:   Monitor patients for symptoms of hyperglycemia including polydipsia, polyuria, polyphagia, and weakness. Monitor glucose regularly in patients with diabetes or at risk for diabetes Dyslipidemia:   Undesirable alterations have been observed in patients treated with atypical antipsychotics. Appropriate clinical monitoring is recommended, including fasting blood lipid testing at the beginning of, and periodically, during treatment Weight Gain:   Gain in body weight has been observed; clinical monitoring of weight is recommended Tardive Dyskinesia:   Discontinue if clinically appropriate  (5.6) Hypotension:   Use with caution in patients with known cardiovascular or cerebrovascular disease  (5.7) Increased Blood Pressure in Children and Adolescents:   Monitor blood pressure at the beginning of, and periodically during treatment in children and adolescents ( 5.9 )   Leukopenia, Neutropenia, and Agranulocytosis:  Monitor complete blood count frequently during the first few months of treatment in patients with a pre-existing low white cell count or a history of leukopenia/neutropenia and discontinue quetiapine extended-release tablets at the first sign of a decline in WBC in absence of other causative factors ( 5.10 ) Cataracts:  Lens changes have been observed in patients during long-term quetiapine treatment. Lens examination is recommended when starting treatment and at 6-month intervals during chronic treatment ( 5.11 ) Anticholinergic(antimuscarinic) Effects: Use with caution with other anticholinergic drugs and in patients with urinary retention, prostatic hypertrophy, or constipation (5.20)

Contraindications

Hypersensitivity to quetiapine or to any excipients in the quetiapine extended-release tablets formulation. Anaphylactic reactions have been reported in patients treated with quetiapine extended-release tablets.

Adverse Reactions

In placebo-controlled trials with risperidone, aripiprazole, and olanzapine in elderly subjects with dementia, there was a higher incidence of cerebrovascular adverse reactions (cerebrovascular accidents and transient ischemic attacks), including fatalities, compared to placebo-treated subjects. Quetiapine extended-release tablets are not approved for the treatment of patients with dementia-related psychosis [see  Boxed Warning and Warnings and Precautions (5.1) ].

Drug Interactions

Concomitant use of strong CYP3A4 inhibitors:   Reduce quetiapine dose to one-sixth when coadministered with strong CYP3A4 inhibitors (e.g., ketoconazole, ritonavir) (2.5 , 7.1 ,  12.3) Concomitant use of strong CYP3A4 inducers:   Increase quetiapine dose up to 5 fold when used in combination with a chronic treatment (more than 7 to 14 days) of potent CYP3A4 inducers (e.g., phenytoin, rifampin, St. John’s wort) (2.6 , 7.1 , 12.3) Discontinuation of strong CYP3A4 inducers:  Reduce quetiapine dose by 5-fold within 7 to 14 days of discontinuation of CYP3A4 inducers (2.6 , 7.1 , 12.3 )

Storage and Handling

Quetiapine Extended-Release Tablets, USP 50 mg are peach, film-coated, capsule shaped, biconvex, tablet debossed with “Z45” on one side and plain on the other side.         Bottles of 60               NDC 65862-873-60         Bottles of 100             NDC 65862-873-01         Bottles of 500             NDC 65862-873-05 Quetiapine Extended-Release Tablets, USP 150 mg are white, film-coated, capsule shaped, biconvex, tablet debossed with “Z46” on one side and plain on the other side.         Bottles of 60               NDC 65862-874-60         Bottles of 100             NDC 65862-874-01         Bottles of 500             NDC 65862-874-05 Quetiapine Extended-Release Tablets, USP 200 mg are yellow, film-coated, capsule shaped, biconvex, tablet debossed with “Z47” on one side and plain on the other side.         Bottles of 60               NDC 65862-875-60         Bottles of 100             NDC 65862-875-01         Bottles of 500             NDC 65862-875-05 Quetiapine Extended-Release Tablets, USP 300 mg are pale yellow, film-coated, capsule shaped, biconvex, tablet debossed with “Z48” on one side and plain on the other side.         Bottles of 60               NDC 65862-876-60         Bottles of 100             NDC 65862-876-01         Bottles of 500             NDC 65862-876-05 Quetiapine Extended-Release Tablets, USP 400 mg are white, film-coated, capsule shaped, biconvex, tablet debossed with “Z49” on one side and plain on the other side.         Bottles of 60               NDC 65862-877-60         Bottles of 100             NDC 65862-877-01         Bottles of 500             NDC 65862-877-05 Store quetiapine extended-release tablets, USP at 20 o to 25ºC (68 o to 77ºF) [see USP Controlled Room Temperature].

How Supplied

Quetiapine Extended-Release Tablets, USP 50 mg are peach, film-coated, capsule shaped, biconvex, tablet debossed with “Z45” on one side and plain on the other side.         Bottles of 60               NDC 65862-873-60         Bottles of 100             NDC 65862-873-01         Bottles of 500             NDC 65862-873-05 Quetiapine Extended-Release Tablets, USP 150 mg are white, film-coated, capsule shaped, biconvex, tablet debossed with “Z46” on one side and plain on the other side.         Bottles of 60               NDC 65862-874-60         Bottles of 100             NDC 65862-874-01         Bottles of 500             NDC 65862-874-05 Quetiapine Extended-Release Tablets, USP 200 mg are yellow, film-coated, capsule shaped, biconvex, tablet debossed with “Z47” on one side and plain on the other side.         Bottles of 60               NDC 65862-875-60         Bottles of 100             NDC 65862-875-01         Bottles of 500             NDC 65862-875-05 Quetiapine Extended-Release Tablets, USP 300 mg are pale yellow, film-coated, capsule shaped, biconvex, tablet debossed with “Z48” on one side and plain on the other side.         Bottles of 60               NDC 65862-876-60         Bottles of 100             NDC 65862-876-01         Bottles of 500             NDC 65862-876-05 Quetiapine Extended-Release Tablets, USP 400 mg are white, film-coated, capsule shaped, biconvex, tablet debossed with “Z49” on one side and plain on the other side.         Bottles of 60               NDC 65862-877-60         Bottles of 100             NDC 65862-877-01         Bottles of 500             NDC 65862-877-05 Store quetiapine extended-release tablets, USP at 20 o to 25ºC (68 o to 77ºF) [see USP Controlled Room Temperature].


Medication Information

Warnings and Precautions

Cerebrovascular Adverse Reactions:   Increased incidence of cerebrovascular adverse reactions (e.g., stroke, transient ischemic attack) has been seen in elderly patients with dementia-related psychoses treated with atypical antipsychotic drugs (5.3) Neuroleptic Malignant Syndrome (NMS):   Manage with immediate discontinuation and close monitoring  (5.4) Metabolic Changes:   Atypical antipsychotics have been associated with metabolic changes. These metabolic changes include hyperglycemia, dyslipidemia, and weight gain  (5.5) Hyperglycemia and Diabetes Mellitus:   Monitor patients for symptoms of hyperglycemia including polydipsia, polyuria, polyphagia, and weakness. Monitor glucose regularly in patients with diabetes or at risk for diabetes Dyslipidemia:   Undesirable alterations have been observed in patients treated with atypical antipsychotics. Appropriate clinical monitoring is recommended, including fasting blood lipid testing at the beginning of, and periodically, during treatment Weight Gain:   Gain in body weight has been observed; clinical monitoring of weight is recommended Tardive Dyskinesia:   Discontinue if clinically appropriate  (5.6) Hypotension:   Use with caution in patients with known cardiovascular or cerebrovascular disease  (5.7) Increased Blood Pressure in Children and Adolescents:   Monitor blood pressure at the beginning of, and periodically during treatment in children and adolescents ( 5.9 )   Leukopenia, Neutropenia, and Agranulocytosis:  Monitor complete blood count frequently during the first few months of treatment in patients with a pre-existing low white cell count or a history of leukopenia/neutropenia and discontinue quetiapine extended-release tablets at the first sign of a decline in WBC in absence of other causative factors ( 5.10 ) Cataracts:  Lens changes have been observed in patients during long-term quetiapine treatment. Lens examination is recommended when starting treatment and at 6-month intervals during chronic treatment ( 5.11 ) Anticholinergic(antimuscarinic) Effects: Use with caution with other anticholinergic drugs and in patients with urinary retention, prostatic hypertrophy, or constipation (5.20)

Indications and Usage

Quetiapine extended-release tablets are an atypical antipsychotic indicated for the treatment of: Schizophrenia (1.1) Bipolar I disorder, manic, or mixed episodes (1.2) Bipolar disorder, depressive episodes  (1.2) Major depressive disorder, adjunctive therapy with antidepressants  (1.3)

Dosage and Administration

Swallow tablets whole and do not split, chew or crush  (2.1) Take without food or with a light meal (approx. 300 calories)  (2.1) Administer once daily, preferably in the evening  (2.1) Geriatric Use: Consider a lower starting dose (50 mg/day), slower titration, and careful monitoring during the initial dosing period in the elderly. (2.3 ,  8.5) Hepatic Impairment: Lower starting dose (50 mg/day) and slower titration may be needed (2.4 , 8.7 ,  12.3) Indication Initial Dose Recommended Dose Maximum Dose Schizophrenia - Adults (2.2) 300 mg/day 400 to 800 mg/day 800 mg/day Schizophrenia - Adolescents (13 to 17 years) (2.2) 50 mg/day 400 to 800 mg/day 800 mg/day Bipolar I Disorder manic or mixed - Acute monotherapy or adjunct to lithium or divalproex - Adults  (2.2) 300 mg/day 400 to 800 mg/day 800 mg/day Bipolar I Disorder, manic Acute monotherapy - Children and Adolescents (10 to 17 years)  (2.2) 50 mg/day 400 to 600 mg/day 600 mg/day Bipolar Disorder, Depressive Episodes - Adults  (2.2) 50 mg/day 300 mg/day 300 mg/day Major Depressive Disorder, Adjunctive Therapy with Antidepressants - Adults  (2.2) 50 mg/day 150 to 300 mg/day 300 mg/day

Contraindications

Hypersensitivity to quetiapine or to any excipients in the quetiapine extended-release tablets formulation. Anaphylactic reactions have been reported in patients treated with quetiapine extended-release tablets.

Adverse Reactions

In placebo-controlled trials with risperidone, aripiprazole, and olanzapine in elderly subjects with dementia, there was a higher incidence of cerebrovascular adverse reactions (cerebrovascular accidents and transient ischemic attacks), including fatalities, compared to placebo-treated subjects. Quetiapine extended-release tablets are not approved for the treatment of patients with dementia-related psychosis [see  Boxed Warning and Warnings and Precautions (5.1) ].

Drug Interactions

Concomitant use of strong CYP3A4 inhibitors:   Reduce quetiapine dose to one-sixth when coadministered with strong CYP3A4 inhibitors (e.g., ketoconazole, ritonavir) (2.5 , 7.1 ,  12.3) Concomitant use of strong CYP3A4 inducers:   Increase quetiapine dose up to 5 fold when used in combination with a chronic treatment (more than 7 to 14 days) of potent CYP3A4 inducers (e.g., phenytoin, rifampin, St. John’s wort) (2.6 , 7.1 , 12.3) Discontinuation of strong CYP3A4 inducers:  Reduce quetiapine dose by 5-fold within 7 to 14 days of discontinuation of CYP3A4 inducers (2.6 , 7.1 , 12.3 )

Storage and Handling

Quetiapine Extended-Release Tablets, USP 50 mg are peach, film-coated, capsule shaped, biconvex, tablet debossed with “Z45” on one side and plain on the other side.         Bottles of 60               NDC 65862-873-60         Bottles of 100             NDC 65862-873-01         Bottles of 500             NDC 65862-873-05 Quetiapine Extended-Release Tablets, USP 150 mg are white, film-coated, capsule shaped, biconvex, tablet debossed with “Z46” on one side and plain on the other side.         Bottles of 60               NDC 65862-874-60         Bottles of 100             NDC 65862-874-01         Bottles of 500             NDC 65862-874-05 Quetiapine Extended-Release Tablets, USP 200 mg are yellow, film-coated, capsule shaped, biconvex, tablet debossed with “Z47” on one side and plain on the other side.         Bottles of 60               NDC 65862-875-60         Bottles of 100             NDC 65862-875-01         Bottles of 500             NDC 65862-875-05 Quetiapine Extended-Release Tablets, USP 300 mg are pale yellow, film-coated, capsule shaped, biconvex, tablet debossed with “Z48” on one side and plain on the other side.         Bottles of 60               NDC 65862-876-60         Bottles of 100             NDC 65862-876-01         Bottles of 500             NDC 65862-876-05 Quetiapine Extended-Release Tablets, USP 400 mg are white, film-coated, capsule shaped, biconvex, tablet debossed with “Z49” on one side and plain on the other side.         Bottles of 60               NDC 65862-877-60         Bottles of 100             NDC 65862-877-01         Bottles of 500             NDC 65862-877-05 Store quetiapine extended-release tablets, USP at 20 o to 25ºC (68 o to 77ºF) [see USP Controlled Room Temperature].

How Supplied

Quetiapine Extended-Release Tablets, USP 50 mg are peach, film-coated, capsule shaped, biconvex, tablet debossed with “Z45” on one side and plain on the other side.         Bottles of 60               NDC 65862-873-60         Bottles of 100             NDC 65862-873-01         Bottles of 500             NDC 65862-873-05 Quetiapine Extended-Release Tablets, USP 150 mg are white, film-coated, capsule shaped, biconvex, tablet debossed with “Z46” on one side and plain on the other side.         Bottles of 60               NDC 65862-874-60         Bottles of 100             NDC 65862-874-01         Bottles of 500             NDC 65862-874-05 Quetiapine Extended-Release Tablets, USP 200 mg are yellow, film-coated, capsule shaped, biconvex, tablet debossed with “Z47” on one side and plain on the other side.         Bottles of 60               NDC 65862-875-60         Bottles of 100             NDC 65862-875-01         Bottles of 500             NDC 65862-875-05 Quetiapine Extended-Release Tablets, USP 300 mg are pale yellow, film-coated, capsule shaped, biconvex, tablet debossed with “Z48” on one side and plain on the other side.         Bottles of 60               NDC 65862-876-60         Bottles of 100             NDC 65862-876-01         Bottles of 500             NDC 65862-876-05 Quetiapine Extended-Release Tablets, USP 400 mg are white, film-coated, capsule shaped, biconvex, tablet debossed with “Z49” on one side and plain on the other side.         Bottles of 60               NDC 65862-877-60         Bottles of 100             NDC 65862-877-01         Bottles of 500             NDC 65862-877-05 Store quetiapine extended-release tablets, USP at 20 o to 25ºC (68 o to 77ºF) [see USP Controlled Room Temperature].

Description

Warnings and Precautions ( 5.15 )                                                                     1/2025

Section 43683-2

Warnings and Precautions (5.15)                                                                     1/2025

5.8 Falls

Atypical antipsychotic drugs, including quetiapine extended-release tablets, may cause somnolence, postural hypotension, motor, and sensory instability, which may lead to falls and, consequently, fractures or other injuries. For patients with diseases, conditions, or medications that could exacerbate these effects, complete fall risk assessments when initiating antipsychotic treatment and recurrently for patients on long-term antipsychotic therapy.

9.2 Abuse

Quetiapine extended-release tablets have not been systematically studied in animals or humans for its potential for abuse, tolerance, or physical dependence. While the clinical trials did not reveal any tendency for any drug-seeking behavior, these observations were not systematic and it is not possible to predict on the basis of this limited experience the extent to which a CNS-active drug will be misused, diverted, and/or abused once marketed. Consequently, patients should be evaluated carefully for a history of drug abuse, and such patients should be observed closely for signs of misuse or abuse of quetiapine extended-release tablets (e.g., development of tolerance, increases in dose, drug-seeking behavior).

5.13 Seizures

During short-term clinical trials with quetiapine extended-release tablets, seizures occurred in 0.05% (1/1866) of patients treated with quetiapine extended-release tablets across all indications compared to 0.3% (3/928) on placebo. During clinical trials with Seroquel, seizures occurred in 0.5% (20/3490) of patients treated with Seroquel compared to 0.2% (2/954) on placebo. As with other antipsychotics, quetiapine should be used cautiously in patients with a history of seizures or with conditions that potentially lower the seizure threshold, e.g., Alzheimer’s dementia. Conditions that lower the seizure threshold may be more prevalent in a population of 65 years or older.

8.1 Pregnancy

Pregnancy Exposure Registry



There is a pregnancy exposure registry that monitors pregnancy outcomes in women exposed to atypical antipsychotics, including quetiapine extended-release tablets, during pregnancy. Healthcare providers are encouraged to register patients by contacting the National Pregnancy Registry for Atypical Antipsychotics at 1-866-961-2388 or online at http://womensmentalhealth.org/clinical-and-research-programs/pregnancyregistry/



Risk Summary



Neonates exposed to antipsychotic drugs, including quetiapine extended-release tablets, during the third trimester are at risk for extrapyramidal and/or withdrawal symptoms following delivery (see Clinical Considerations). Overall available data from published epidemiologic studies of pregnant women exposed to quetiapine have not established a drug-associated risk of major birth defects, miscarriage, or adverse maternal or fetal outcomes (see Data). There are risks to the mother associated with untreated schizophrenia, bipolar I, or major depressive disorder, and with exposure to antipsychotics, including quetiapine extended-release tablets during pregnancy (see Clinical Considerations). In animal studies, embryo-fetal toxicity occurred including delays in skeletal ossification at approximately 1 and 2 times the maximum recommended human dose (MRHD) of 800 mg/day in both rats and rabbits, and an increased incidence of carpal/tarsal flexure (minor soft tissue anomaly) in rabbit fetuses at approximately 2 times the MRHD. In addition, fetal weights were decreased in both species. Maternal toxicity (observed as decreased body weights and/or death) occurred at 2 times the MRHD in rats and approximately 1 to 2 times the MRHD in rabbits.



The estimated background risk of major birth defects and miscarriage for the indicated populations is unknown. All pregnancies have a background risk of birth defect, loss, or other adverse outcomes. In the U.S. general population, the estimated background risk of major birth defects and miscarriage in clinically recognized pregnancies is 2 to 4% and 15 to 20%, respectively.



Clinical Considerations



Disease-associated maternal and/or fetal risk



There is a risk to the mother from untreated schizophrenia, or bipolar I disorder, including increased risk of relapse, hospitalization, and suicide. Schizophrenia and bipolar I disorder are associated with increased adverse perinatal outcomes, including preterm birth. It is not known if this is a direct result of the illness or other comorbid factors.



A prospective, longitudinal study followed 201 pregnant women with a history of major depressive disorder who were euthymic and taking antidepressants at the beginning of pregnancy. The women who discontinued antidepressants during pregnancy were more likely to experience a relapse of major depression than women who continued antidepressants. Consider the risk of untreated depression when discontinuing or changing treatment with antidepressant medication during pregnancy and postpartum.



Fetal/neonatal adverse reactions



Extrapyramidal and/or withdrawal symptoms, including agitation, hypertonia, hypotonia, tremor, somnolence, respiratory distress, and feeding disorder have been reported in neonates who were exposed to antipsychotic drugs, including quetiapine extended-release tablets, during the third trimester of pregnancy. These symptoms varied in severity. Monitor neonates for extrapyramidal and/or withdrawal symptoms and manage symptoms appropriately. Some neonates recovered within hours or days without specific treatment; others required prolonged hospitalization.



Data



Human Data



Published data from observational studies, birth registries, and case reports on the use of atypical antipsychotics during pregnancy do not report a clear association with antipsychotics and major birth defects. A retrospective cohort study from a Medicaid database of 9,258 women exposed to antipsychotics during pregnancy did not indicate an overall increased risk of major birth defects.



Animal Data



When pregnant rats and rabbits were exposed to quetiapine during organogenesis, there was no teratogenic effect in fetuses. Doses were 25, 50 and 200 mg/kg in rats and 25, 50 and 100 mg/kg in rabbits which are approximately 0.3, 0.6 and 2-times (rats) and 0.6, 1 and 2-times (rabbits) the MRHD, for schizophrenia of 800 mg/day based on mg/m2 body surface area. However, there was evidence of embryo-fetal toxicity, including delays in skeletal ossification at approximately 1 and 2 times the MRHD of 800 mg/day in both rats and rabbits and an increased incidence of carpal/tarsal flexure (minor soft tissue anomaly) in rabbit fetuses at approximately 2 times the MRHD. In addition, fetal weights were decreased in both species. Maternal toxicity (observed as decreased body weights and/or death) occurred at 2 times the MRHD in rats and at approximately 1 to 2 times the MRHD (all doses tested) in rabbits.



In a peri/postnatal reproductive study in rats, no drug-related effects were observed when pregnant dams were treated with quetiapine at doses 0.01, 0.1, and 0.2 times the MRHD of 800 mg/day based on mg/m2 body surface area. However, in a preliminary peri/postnatal study, there were increases in fetal and pup death, and decreases in mean litter weight at 3 times the MRHD.

8.2 Lactation

Risk Summary



Limited data from published literature report the presence of quetiapine in human breast milk at relative infant dose of <1% of the maternal weight-adjusted dosage. There are no consistent adverse events that have been reported in infants exposed to quetiapine through breast milk. There is no information on the effects of quetiapine on milk production. The developmental and health benefits of breastfeeding should be considered along with the mother’s clinical need for quetiapine extended-release tablets and any potential adverse effects on the breastfed child from quetiapine extended-release tablets or from the mother’s underlying condition.

11 Description

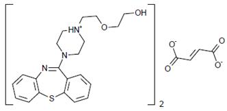
Quetiapine is an atypical antipsychotic belonging to a chemical class, the dibenzothiazepine derivatives. The chemical designation is 2-[2-(4-dibenzo [b,f]  [1,4] thiazepin-11-yl-1­-piperazinyl)ethoxy]-ethanol fumarate (2:1) (salt). It is present in tablets as the fumarate salt. All doses and tablet strengths are expressed as milligrams of base, not as fumarate salt. Its molecular formula is C42H50N6O4S2•C4H4O4 and it has a molecular weight of 883.11 (fumarate salt). The structural formula is:







Quetiapine fumarate USP is a white to off-white powder which is moderately soluble in water.



Quetiapine extended-release tablets, USP are supplied for oral administration as 50 mg (peach), 150 mg (white), 200 mg (yellow), 300 mg (pale yellow), and 400 mg (white). All tablets are capsule shaped and film-coated.



Inactive ingredients for quetiapine extended-release tablets, USP are hypromellose, lactose monohydrate, magnesium stearate, microcrystalline cellulose, polyethylene glycol, propylene glycol, sodium citrate, titanium dioxide. In addition, the 50 mg contains iron oxide red and iron oxide yellow, the 200 mg, and 300 mg contains iron oxide yellow.



Each 50 mg tablet contains 57.56 mg of quetiapine fumarate USP equivalent to 50 mg quetiapine. Each 150 mg tablet contains 172.68 mg of quetiapine fumarate USP equivalent to 150 mg quetiapine. Each 200 mg tablet contains 230.24 mg of quetiapine fumarate USP equivalent to 200 mg quetiapine. Each 300 mg tablet contains 345.37 mg of quetiapine fumarate USP equivalent to 300 mg quetiapine. Each 400 mg tablet contains 460.49 mg of quetiapine fumarate USP equivalent to 400 mg quetiapine.



Meets USP Dissolution Test 14.

5.11 Cataracts

The development of cataracts was observed in association with quetiapine treatment in chronic dog studies [see Nonclinical Toxicology (13.2)]. Lens changes have also been observed in adults, children, and adolescents during long-term quetiapine treatment but a causal relationship to quetiapine use has not been established. Nevertheless, the possibility of lenticular changes cannot be excluded at this time. Therefore, examination of the lens by methods adequate to detect cataract formation, such as slit lamp exam or other appropriately sensitive methods, is recommended at initiation of treatment or shortly thereafter, and at 6-month intervals during chronic treatment.

5.18 Dysphagia

Esophageal dysmotility and aspiration have been associated with antipsychotic drug use. Aspiration pneumonia is a common cause of morbidity and mortality in elderly patients, in particular those with advanced Alzheimer's dementia. Quetiapine extended-release tablets and other antipsychotic drugs should be used cautiously in patients at risk for aspiration pneumonia.

5.7 Hypotension

Quetiapine may induce orthostatic hypotension associated with dizziness, tachycardia and, in some patients, syncope, especially during the initial dose-titration period, probably reflecting its α1-adrenergic antagonist properties. Syncope was reported in 0.3% (5/1866) of the patients treated with quetiapine extended-release tablets across all indications, compared with 0.2% (2/928) on placebo. Syncope was reported in 1% (28/3265) of the patients treated with Seroquel, compared with 0.2% (2/954) on placebo. Orthostatic hypotension, dizziness, and syncope may lead to falls.



Quetiapine should be used with particular caution in patients with known cardiovascular disease (history of myocardial infarction or ischemic heart disease, heart failure, or conduction abnormalities), cerebrovascular disease, or conditions which would predispose patients to hypotension (dehydration, hypovolemia, and treatment with antihypertensive medications). If hypotension occurs during titration to the target dose, a return to the previous dose in the titration schedule is appropriate.

Medication Guide

Quetiapine (kwe tye' a peen)

Extended-Release Tablets, USP



Read this Medication Guide before you start taking quetiapine extended-release tablets and each time you get a refill. There may be new information. This Medication Guide does not take the place of talking to your healthcare provider about your medical condition or treatment.



What is the most important information I should know about quetiapine extended-release tablets?



Quetiapine extended-release tablets may cause serious side effects, including:



1. risk of death in the elderly with dementia:
Medicines like quetiapine extended-release tablets can increase the risk of death in elderly people who have memory loss (dementia). Quetiapine extended-release tablets are not for treating psychosis in the elderly with dementia.



2. risk of suicidal thoughts or actions (antidepressant medicines, depression and other serious mental illnesses, and suicidal thoughts or actions).



Talk to your or your family member’s, healthcare provider about:



  • all risks and benefits of treatment with antidepressant medicines
  • all treatment choices for depression or other serious mental illness
  • Antidepressant medicines may increase suicidal thoughts or actions in some children, teenagers, and young adults within the first few months of treatment.
  • Depression and other serious mental illnesses are the most important causes of suicidal thoughts and actions. Some people may have a particularly high risk of having suicidal thoughts or actions. These include people who have (or have a family history of) depression, bipolar illness (also called manic-depressive illness), or suicidal thoughts or actions.


  • How can I watch for and try to prevent suicidal thoughts and actions in myself or a family member?
  • Pay close attention to any changes, especially sudden changes, in mood, behaviors, thoughts, or feelings. This is very important when an antidepressant medicine is started or when the dose is changed.
  • Call the healthcare provider right away to report new or sudden changes in mood, behavior, thoughts, or feelings.
  • Keep all follow-up visits with the healthcare provider as scheduled. Call the healthcare provider between visits as needed, especially if you have concerns about symptoms.


Call a healthcare provider right away if you or your family member has any of the following symptoms, especially if they are new, worse, or worry you:



  • thoughts about suicide or dying
  • attempts to commit suicide
  • new or worse depression
  • new or worse anxiety
  • feeling very agitated or restless
  • panic attacks
  • trouble sleeping (insomnia)
  • new or worse irritability
  • acting aggressive, being angry, or violent
  • acting on dangerous impulses
  • an extreme increase in activity and talking (mania)
  • other unusual changes in behavior or mood


What else do I need to know about antidepressant medicines?



  • Never stop an antidepressant medicine without first talking to your healthcare provider. Stopping an antidepressant medicine suddenly can cause other symptoms.
  • Antidepressants are medicines used to treat depression and other illnesses. It is important to discuss all the risks of treating depression, and also the risks of not treating it. Patients and their families or other caregivers should discuss all treatment choices with the healthcare provider, not just the use of antidepressants.
  • Antidepressant medicines have other side effects. Talk to the healthcare provider about the side effects of the medicine prescribed for you or your family member.
  • Antidepressant medicines can interact with other medicines. Know all of the medicines that you or your family member take. Keep a list of all medicines to show the healthcare provider. Do not start new medicines without first checking with your healthcare provider.
  • Not all antidepressant medicines prescribed for children are FDA approved for use in children. Talk to your child’s healthcare provider for more information.

What are quetiapine extended-release tablets?



Quetiapine extended-release tablets are a prescription medicine used to treat:



  • schizophrenia in people 13 years of age or older
  • bipolar disorder in adults, including:
    • depressive episodes associated with bipolar disorder
    • manic episodes associated with bipolar I disorder alone or with lithium or divalproex
    • long-term treatment of bipolar I disorder with lithium or divalproex
  • manic episodes associated with bipolar I disorder in children ages 10 to 17 years old
  • major depressive disorder as add-on treatment with antidepressant medicines when your healthcare provider determines that 1 antidepressant alone is not enough to treat your depression.


It is not known if quetiapine extended-release tablets are safe and effective in children under 10 years of age.



Who should not take
quetiapine extended-release tablets ?



Do not take quetiapine extended-release tablets
if you are allergic to quetiapine or any of the ingredients in quetiapine extended-release tablets . See the end of this Medication Guide for a complete list of ingredients in quetiapine extended-release tablets.



What should I tell my healthcare provider before taking quetiapine extended-release tablets?



Before you take quetiapine extended-release tablets, tell your healthcare provider if you have or have had:



  • diabetes or high blood sugar in you or your family. Your healthcare provider should check your blood sugar before you start quetiapine extended-release tablets and also during therapy.
  • high levels of total cholesterol, triglycerides or LDL-cholesterol or low levels of HDL-cholesterol
  • low or high blood pressure
  • low white blood cell count
  • cataracts
  • seizures
  • abnormal thyroid tests
  • high prolactin levels
  • heart problems
  • liver problems
  • any other medical condition
  • pregnancy or plans to become pregnant. It is not known if quetiapine extended-release tablets will harm your unborn baby.
  • If you become pregnant while receiving quetiapine extended-release tablets, talk to your healthcare provider about registering with the National Pregnancy Registry for Atypical Antipsychotics. You can register by calling 1-866-961-2388 or go to http://womensmentalhealth.org/clinical-and-research-programs/pregnancyregistry/
  •  breast-feeding or plans to breast-feed. Quetiapine can pass into your breast milk. Talk to your healthcare provider about the best way to feed your baby if you receive quetiapine extended-release tablets.
  • if you have or have had a condition where you cannot completely empty your bladder (urinary retention), have an enlarged prostate, or constipation, or increased pressure inside your eyes.


Tell the healthcare provider about all the medicines that you take or recently have taken including prescription medicines, over-the-counter medicines, herbal supplements and vitamins.



Quetiapine extended-release tablets and other medicines may affect each other causing serious side effects. Quetiapine extended-release tablets may affect the way other medicines work, and other medicines may affect how quetiapine extended-release tablets work.



Tell your healthcare provider if you are having a urine drug screen because quetiapine extended-release tablets may affect your test results. Tell those giving the test that you are taking quetiapine extended-release tablets.



How should I take quetiapine extended-release tablets?



  • Take quetiapine extended-release tablets exactly as your healthcare provider tells you to take them. Do not change the dose yourself.
  • Take quetiapine extended-release tablets by mouth, with a light meal or without food.
  • Quetiapine extended-release tablets should be swallowed whole and not split, chewed or crushed.
  • If you feel you need to stop quetiapine extended-release tablets, talk with your healthcare provider first. If you suddenly stop taking quetiapine extended-release tablets, you may have side effects such as trouble sleeping or trouble staying asleep (insomnia), nausea, and vomiting.
  • If you miss a dose of quetiapine extended-release tablets, take them as soon as you remember. If you are close to your next dose, skip the missed dose. Just take the next dose at your regular time. Do not take 2 doses at the same time unless your healthcare provider tells you to. If you are not sure about your dosing, call your healthcare provider.


What should I avoid while taking quetiapine extended-release tablets?

  • Do not drive, operate machinery, or do other dangerous activities until you know how quetiapine extended-release tablets affect you. Quetiapine extended-release tablets may make you drowsy.
  • Avoid getting overheated or dehydrated.
    • Do not over-exercise.
    • In hot weather, stay inside in a cool place if possible.
    • Stay out of the sun. Do not wear too much or heavy clothing.
    • Drink plenty of water.
  • Do not drink alcohol while taking quetiapine extended-release tablets. They may make some side effects of quetiapine extended-release tablets worse.


What are possible side effects of quetiapine extended-release tablets?



Quetiapine extended-release tablets can cause serious side effects, including:



        See “What is the most important information I should know about quetiapine extended-release tablets?”

  • stroke that can lead to death can happen in elderly people with dementia who take medicines like quetiapine extended-release tablets
  • neuroleptic malignant syndrome (NMS). NMS is a rare but very serious condition that can happen in people who take antipsychotic medicines, including quetiapine extended-release tablets. NMS can cause death and must be treated in a hospital. Call your healthcare provider right away if you become severely ill and have some or all of these symptoms:
    • high fever
    • excessive sweating
    • rigid muscles
    • confusion
    • changes in your breathing, heartbeat, and blood pressure


  • falls can happen in some people who take quetiapine extended-release tablets. These falls may cause serious injuries.
  • high blood sugar (hyperglycemia). High blood sugar can happen if you have diabetes already or if you have never had diabetes. High blood sugar could lead to:
    • build up of acid in your blood due to ketones (ketoacidosis)
    • coma
    • death


Increases in blood sugar can happen in some people who take quetiapine extended-release tablets. Extremely high blood sugar can lead to coma or death. If you have diabetes or risk factors for diabetes (such as being overweight or a family history of diabetes) your healthcare provider should check your blood sugar before you start quetiapine extended-release tablets and during therapy.



Call your healthcare provider if you have any of these symptoms of high blood sugar (hyperglycemia) while taking quetiapine extended-release tablets:



  • feel very thirsty
  • need to urinate more than usual
  • feel very hungry
  • feel weak or tired
  • feel sick to your stomach
  • feel confused, or your breath smells fruity


  • high fat levels in your blood (increased cholesterol and triglycerides). High fat levels may happen in people treated with quetiapine extended-release tablets. You may not have any symptoms, so your healthcare provider may decide to check your cholesterol and triglycerides during your treatment with quetiapine extended-release tablets.
  • increase in weight (weight gain). Weight gain is common in people who take quetiapine extended-release tablets so you and your healthcare provider should check your weight regularly. Talk to your healthcare provider about ways to control weight gain, such as eating a healthy, balanced diet, and exercising.
  • movements you cannot control in your face, tongue, or other body parts (tardive dyskinesia). These may be signs of a serious condition. Tardive dyskinesia may not go away, even if you stop taking quetiapine extended-release tablets. Tardive dyskinesia may also start after you stop taking quetiapine extended-release tablets.
  • decreased blood pressure (orthostatic hypotension), including lightheadedness or fainting caused by a sudden change in heart rate and blood pressure when rising too quickly from a sitting or lying position.
  • increases in blood pressure in children and teenagers. Your healthcare provider should check blood pressure in children and adolescents before starting quetiapine extended-release tablets and during therapy. Quetiapine extended-release tablets are not approved for patients under 10 years of age.
  • low white blood cell count. Tell your healthcare provider as soon as possible if you have a fever, flu-like symptoms, or any other infection, as this could be a result of a very low white blood cell count. Your healthcare provider may check your white blood cell level to determine if further treatment or other action is needed
  • cataracts
  • seizures
  • abnormal thyroid tests: Your healthcare provider may do blood tests to check your thyroid hormone level.
  • increases in prolactin levels: Your healthcare provider may do blood tests to check your prolactin levels.
  • sleepiness, drowsiness, feeling tired, difficulty thinking and doing normal activities
  • increased body temperature
  • difficulty swallowing
  • trouble sleeping or trouble staying asleep (insomnia), nausea, or vomiting if you suddenly stop taking quetiapine extended-release tablets. These symptoms usually get better 1 week after you start having them.


The most common side effects of quetiapine extended-release tablets include:



  • dry mouth
  • constipation
  • dizziness
  • increased appetite
  • upset stomach
  • fatigue
  • stuffy nose
  • difficulty moving
  • disturbance in speech or language

Children and Adolescents:



  • drowsiness
  • dizziness
  • fatigue
  • stuffy nose     
  • increased appetite
  • upset stomach
  • vomiting
  • dry mouth
  • tachycardia
  • weight increased


These are not all the possible side effects of quetiapine extended-release tablets. For more information, ask your healthcare provider or pharmacist.



Call your doctor for medical advice about side effects. You may report side effects to FDA at 1-800-FDA-1088.



How should I store quetiapine extended-release tablets?



  • Store quetiapine extended-release tablets at room temperature, between 20o to 25ºC (68o to 77ºF).
  • Keep quetiapine extended-release tablets and all medicines out of the reach of children.

General information about the safe and effective use of quetiapine extended-release tablets. 



Medicines are sometimes prescribed for purposes other than those listed in a Medication Guide. Do not use quetiapine extended-release tablets for a condition for which it was not prescribed. Do not give quetiapine extended-release tablets to other people, even if they have the same symptoms you have. They may harm them.



This Medication Guide summarizes the most important information about quetiapine extended-release tablets. If you would like more information, talk with your healthcare provider. You can ask your pharmacist or healthcare provider for information about quetiapine extended-release tablets that is written for health professionals.



For more information, call Aurobindo Pharma USA, Inc. at 1-866-850-2876.



What are the ingredients in quetiapine extended-release tablets?



Active ingredient:
quetiapine



Inactive ingredients:
hypromellose, lactose monohydrate, magnesium stearate, microcrystalline cellulose, polyethylene glycol, propylene glycol, sodium citrate, titanium dioxide. In addition, the 50 mg contains iron oxide red and iron oxide yellow, the 200 mg, and 300 mg contains iron oxide yellow.



This Medication Guide has been approved by the U.S. Food and Drug Administration.



Distributed by:

Aurobindo Pharma USA, Inc.

279 Princeton-Hightstown Road

East Windsor, NJ 08520



Manufactured by:

Aurobindo Pharma Limited

Hyderabad–500 032, India



Revised: 08/2025

1.1 Schizophrenia

Quetiapine extended-release tablets are indicated for the treatment of schizophrenia. The efficacy of quetiapine extended-release tablets in schizophrenia was established in one 6-week and one maintenance trial in adults with schizophrenia. Efficacy was supported by three 6-week trials in adults with schizophrenia and one 6-week trial in adolescents with schizophrenia (13 to 17 years) treated with Seroquel [see Clinical Studies (14.1) ].

8.4 Pediatric Use

Safety and effectiveness of quetiapine extended-release tablets  are supported by studies of Seroquel for schizophrenia in adolescent patients 13 to 17 years of age and in bipolar mania in children and adolescent patients 10 to 17 years of age [see Clinical Studies (14.1 and 14.2)].



In general, the adverse reactions observed in children and adolescents during the clinical trials with Seroquel were similar to those in the adult population with few exceptions. Increases in systolic and diastolic blood pressure occurred in children and adolescents and did not occur in adults. Orthostatic hypotension occurred more frequently in adults (4 to 7%) compared to children and adolescents (<1%) [see Warnings and Precautions (5.7) and Adverse Reactions (6.1)].



Bipolar Depression



The effectiveness of quetiapine extended-release tablets for the treatment of bipolar depression in patients under the age of 18 years has not been established. One 8-week trial was conducted to evaluate the safety and efficacy of quetiapine extended-release tablets in the treatment of bipolar depression in pediatric patients 10 to 17 years of age. The primary objective of the study was to evaluate whether quetiapine extended-release tablets at a dose of 150 to 300 mg/day demonstrated superior efficacy (as measured by change in CDRS-R total score from baseline to end of 8 weeks) compared to placebo in children and adolescents 10 to 17 years of age with bipolar depression. A total of 193 patients with bipolar depression were randomized to placebo or quetiapine extended-release tablets. The primary results of this study did not show a difference between quetiapine extended-release tablets and placebo in decreasing depression symptoms in children and adolescents with bipolar disorder. In this study, patients treated with quetiapine extended-release tablets exhibited metabolic changes, weight gain, increases in blood pressure and increases in heart rate [see Warnings and Precautions (5.55.9) and Adverse Reactions (6.1)].



Some differences in the pharmacokinetics of quetiapine were noted between children/adolescents (10 to 17 years of age) and adults. When adjusted for weight, the AUC and Cmax of quetiapine were 41% and 39% lower, respectively, in children and adolescents compared to adults. The pharmacokinetics of the active metabolite, norquetiapine, were similar between children/adolescents and adults after adjusting for weight [see Clinical Pharmacology (12.3)].



Schizophrenia



The efficacy and safety of quetiapine extended-release tablets in the treatment of schizophrenia in adolescents aged 13 to 17 years is supported by one 6-week, double-blind, placebo-controlled trial with Seroquel [see Indications and Usage (1.1), Dosage and Administration (2.2), Adverse Reactions (6.1), and Clinical Studies (14.1)].



Safety and effectiveness of quetiapine extended-release tablets in pediatric patients less than 13 years of age with schizophrenia have not been established.



The safety and effectiveness of quetiapine extended-release tablets in the maintenance treatment of schizophrenia has not been established in patients less than 18 years of age.



Bipolar Mania



The efficacy and safety of quetiapine extended-release tablets in the treatment of bipolar mania in children and adolescents ages 10 to 17 years is supported by one 3-week, double-blind, placebo-controlled trial with Seroquel [see Indications and Usage (1.2), Dosage and Administration (2.2), Adverse Reactions (6.1), and Clinical Studies (14.2)].



Safety and effectiveness of quetiapine extended-release tablets in pediatric patients less than 10 years of age with bipolar mania have not been established.



The safety and effectiveness of quetiapine extended-release tablets in the maintenance treatment of bipolar disorder has not been established in patients less than 18 years of age.

8.5 Geriatric Use

Sixty-eight patients in clinical studies with quetiapine extended-release tablets were 65 years of age or over. In general, there was no indication of any different tolerability of quetiapine extended-release tablets in the elderly compared to younger adults. Nevertheless, the presence of factors that might decrease pharmacokinetic clearance, increase the pharmacodynamic response to quetiapine extended-release tablets, or cause poorer tolerance or orthostasis, should lead to consideration of a lower starting dose, slower titration, and careful monitoring during the initial dosing period in the elderly. The mean plasma clearance of quetiapine was reduced by 30% to 50% in elderly patients when compared to younger patients [see Dosage and Administration (2.3) and Clinical Pharmacology (12.3)].

14.1 Schizophrenia

Short-term Trials – Adults



The efficacy of quetiapine extended-release tablets in the treatment of schizophrenia was demonstrated in 1 short-term, 6-week, fixed-dose, placebo-controlled trial of inpatients and outpatients with schizophrenia (n=573) who met DSM-IV criteria for schizophrenia. Quetiapine extended-release tablets (once daily) were administered as 300 mg on Day 1, and the dose was increased to either 400 mg or 600 mg by Day 2, or 800 mg by Day 3. The primary endpoint was the change from baseline of the Positive and Negative Syndrome Scale (PANSS) total score at the end of treatment (Day 42). Quetiapine extended-release tablets dose of 400 mg, 600 mg and 800 mg once daily were superior to placebo in the PANSS total score at Day 42 (Study 1 in Table 26).



Short-term Trials – Adolescents (ages 13 to 17)



The efficacy of quetiapine extended-release tablets in the treatment of schizophrenia in adolescents (13 to 17 years of age) was supported by a 6-week, double-blind, placebo-controlled trial. Patients who met DSM-IV diagnostic criteria for schizophrenia were randomized into one of three treatment groups: Seroquel 400 mg/day (n=73), Seroquel 800 mg/day (n=74), or placebo (n=75). Study medication was initiated at 50 mg/day and on day 2 increased to 100 mg/per day (divided and given two or three times per day). Subsequently, the dose was titrated to the target dose of 400 mg/day or 800 mg/day using increments of 100 mg/day, divided and given two or three times daily. The primary efficacy variable was the mean change from baseline in total Positive and Negative Syndrome Scale (PANSS). Seroquel at 400 mg/day and 800 mg/day was superior to placebo in the reduction of PANSS total score (Study 2 in Table 26).

Table 26: Schizophrenia Short-Term Trials
SD: standard deviation; SE: standard error; LS Mean: least-squares mean; CI: unadjusted confidence interval.

1. Doses that are statistically significantly superior to placebo

2. Difference (drug minus placebo) in least-squares mean change from baseline

3. Included in the trial for assay sensitivity

Study

Number

Treatment Group

Primary Efficacy Endpoint: PANSS Total

Mean Baseline

 Score (SD)

LS Mean Change

 from Baseline (SE)

Placebo-subtracted

 Difference 2

 (95% CI)

Study 1

Quetiapine Extended-Release Tablets

 (400 mg/day) 1

95.8 (13.9)

-24.8 (2.5)

-6.1 (-11.5, -0.6)

Quetiapine Extended-Release Tablets

(600 mg/day) 1

96.8 (14.1)

-30.9 (2.5)

-12.1 (-17.6, -6.7)

Quetiapine Extended-Release Tablets

(800 mg/day) 1

97.3 (14.7)

-31.3 (2.5)

-12.5 (-17.9, -7.1)

Seroquel

(400 mg/day) 1,3

96.5 (16)

-26.6 (2.4)

-7.8 (-13.1, -2.4)

Placebo

96.2 (13.3)

-18.8 (2.5)

--

Study 2

(adolescents)

Seroquel

(400 mg/day) 1

96.2 (17.7)

-27.3 (2.6)

-8.2 (-16.1, -0.3)

Seroquel

(800 mg/day) 1

96.9 (15.3)

-28.4 (1.8)

-9.3 (-16.2, -2.4)

Placebo

96.2 (17.7)

-19.2 (3)

 

Maintenance Trials



In a longer-term trial (Study 3), clinically stable adult outpatients (n=171) meeting DSM-IV criteria for schizophrenia who remained stable following 16 weeks of open-label treatment with flexible doses of quetiapine extended-release tablets (400 mg/day to 800 mg/day) were randomized to placebo or to continue on their current quetiapine extended-release tablets (400 mg/day to 800 mg/day) for observation for possible relapse during the double-blind continuation (maintenance) phase. Stabilization during the open-label phase was defined as receiving a stable dose of quetiapine extended-release tablets and having a CGI-S≤4 and a PANSS score ≤60 from beginning to end of this open-label phase (with no increase of ≥10 points in PANSS total score). Relapse during the double-blind phase was defined in terms of a ≥30% increase in the PANSS Total score, or CGI-Improvement score of ≥6, or hospitalization due to worsening of schizophrenia, or need for any other antipsychotic medication. Patients on quetiapine extended-release tablets experienced a statistically significant longer time to relapse than did patients on placebo (Figure 1).



4 Contraindications

Hypersensitivity to quetiapine or to any excipients in the quetiapine extended-release tablets formulation. Anaphylactic reactions have been reported in patients treated with quetiapine extended-release tablets.

5.14 Hypothyroidism

Adults: Clinical trials with quetiapine demonstrated dose-related decreases in thyroid hormone levels. The reduction in total and free thyroxine (T4) of approximately 20% at the higher end of the therapeutic dose range was maximal in the first six weeks of treatment and maintained without adaptation or progression during more chronic therapy. In nearly all cases, cessation of quetiapine treatment was associated with a reversal of the effects on total and free T4, irrespective of the duration of treatment. The mechanism by which quetiapine effects the thyroid axis is unclear. If there is an effect on the hypothalamic-pituitary axis, measurement of TSH alone may not accurately reflect a patient’s thyroid status. Therefore, both TSH and free T4, in addition to clinical assessment, should be measured at baseline and at follow-up.



In quetiapine extended-release tablets clinical trials across all indications 1.8% (24/1336) of patients on quetiapine extended-release tablets versus 0.6% (3/530) on placebo experienced decreased free thyroxine (<0.8 LLN) and 1.6% (21/1346) on quetiapine extended-release tablets vs. 3.4% (18/534) on placebo experienced increased thyroid stimulating hormone (TSH). About 0.7% (26/3489) of Seroquel patients did experience TSH increases in monotherapy studies. Some patients with TSH increases needed replacement thyroid treatment.



In all quetiapine trials, the incidence of shifts in thyroid hormones and TSH were1: decrease in free T4 (<0.8 LLN), 2% (357/17513); decrease in total T4 (<0.8 LLN), 4% (75/1861); decrease in free T3 (<0.8 LLN), 0.4% (53/13766); decrease in total T3 (<0.8 LLN), 2% (26/1312), and increase in TSH (>5 mIU/L), 4.9% (956/19412). In eight patients, where TBG was measured, levels of TBG were unchanged.

Table 11 shows the incidence of these shifts in short term placebo-controlled clinical trials.



Table 11: Incidence of Shifts in Thyroid Hormone Levels and TSH in Short-term Placebo-controlled Clinical Trials1, 2
1. Based on shifts from normal baseline to potentially clinically important value at anytime post-baseline. Shifts in total T4, free T4, total T3, and free T3 are defined as <0.8 x LLN (pmol/L) and shift in TSH is >5 mIU/L at any time.

2. Includes Seroquel and quetiapine extended-release tablets data.

Total T4

Free T4

Total T3

Free T3

TSH

Quetiapine

Placebo

Quetiapine

Placebo

Quetiapine

Placebo

Quetiapine

Placebo

Quetiapine

Placebo

3.4%

0.6%

0.7%

0.1%

0.5%

0%

0.2%

0%

3.2%

2.7%

(37/1097)

(4/651)

(52/7218)

(4/3668)

(2/369)

(0/113)

(11/5673)

(1/2679)

(240/7587)

(105/3912)

In short-term placebo-controlled monotherapy trials, the incidence of reciprocal shifts in T3 and TSH was 0% for both quetiapine (1/4800) and placebo (0/2190) and for T4 and TSH the shifts were 0.1% (7/6154) for quetiapine versus 0% (1/3007) for placebo.



Children and Adolescents
: Safety and effectiveness of quetiapine extended-release tablets are supported by studies of Seroquel in children and adolescent patients 10 to 17 years of age [see Clinical Studies (14.1 and 14.2)].



In acute placebo-controlled trials in children and adolescent patients with schizophrenia (6-week duration) or bipolar mania (3-week duration), the incidence of shifts at any time for Seroquel treated patients and placebo-treated patients for elevated TSH was 2.9% (8/280) vs. 0.7% (1/138), respectively, and for decreased total thyroxine was 2.8% (8/289) vs. 0% (0/145), respectively. Of the Seroquel treated patients with elevated TSH levels, 1 had simultaneous low free T4 level at end of treatment.

6 Adverse Reactions

The following adverse reactions are discussed in more detail in other sections of the labeling:



7 Drug Interactions
  • Concomitant use of strong CYP3A4 inhibitors:  Reduce quetiapine dose to one-sixth when coadministered with strong CYP3A4 inhibitors (e.g., ketoconazole, ritonavir) (2.5, 7.112.3)
  • Concomitant use of strong CYP3A4 inducers:  Increase quetiapine dose up to 5 fold when used in combination with a chronic treatment (more than 7 to 14 days) of potent CYP3A4 inducers (e.g., phenytoin, rifampin, St. John’s wort) (2.6, 7.1, 12.3)
  • Discontinuation of strong CYP3A4 inducers:  Reduce quetiapine dose by 5-fold within 7 to 14 days of discontinuation of CYP3A4 inducers (2.6, 7.1, 12.3)
1.2 Bipolar Disorder

Quetiapine extended-release tablets are indicated for the acute treatment of manic or mixed episodes associated with bipolar I disorder, both as monotherapy and as an adjunct to lithium or divalproex. The efficacy of quetiapine extended-release tablets in manic or mixed episodes of bipolar I disorder was established in one 3-week trial in adults with manic or mixed episodes associated with bipolar I disorder. Efficacy was supported by two 12-week monotherapy trials and one 3-week adjunctive trial in adults with manic episodes associated with bipolar I disorder as well as one 3-week monotherapy trial in children and adolescents (10 to 17 years) with manic episodes associated with bipolar I disorder treated with Seroquel [see Clinical Studies (14.2)].



Quetiapine extended-release tablets are indicated for the acute treatment of depressive episodes associated with bipolar disorder. The efficacy of quetiapine extended-release tablets was established in one 8-week trial in adults with bipolar I or II disorder and supported by two 8-week trials in adults with bipolar I or II disorder treated with Seroquel [see Clinical Studies (14.2)].



Quetiapine extended-release tablets are indicated for the maintenance treatment of bipolar I disorder, as an adjunct to lithium or divalproex. Efficacy was extrapolated from two maintenance trials in adults with bipolar I disorder treated with Seroquel. The effectiveness of monotherapy for the maintenance treatment of bipolar I disorder has not been systematically evaluated in controlled clinical trials [see Clinical Studies (14.2)].

5.12 Qt Prolongation

In clinical trials quetiapine was not associated with a persistent increase in QT intervals. However, the QT effect was not systematically evaluated in a thorough QT study. In post marketing experience there were cases reported of QT prolongation in patients who overdosed on quetiapine [see Overdosage (10.1)], in patients with concomitant illness, and in patients taking medicines known to cause electrolyte imbalance or increase QT interval.



The use of quetiapine should be avoided in combination with other drugs that are known to prolong QTc including Class 1A antiarrythmics (e.g., quinidine, procainamide) or Class III antiarrythmics (e.g., amiodarone, sotalol), antipsychotic medications (e.g., ziprasidone, chlorpromazine, thioridazine), antibiotics (e.g., gatifloxacin, moxifloxacin), or any other class of medications known to prolong the QTc interval (e.g., pentamidine, levomethadyl acetate, methadone).



Quetiapine should also be avoided in circumstances that may increase the risk of occurrence of torsade de pointes and/or sudden death including (1) a history of cardiac arrhythmias such as bradycardia; (2) hypokalemia or hypomagnesemia; (3) concomitant use of other drugs that prolong the QTc interval; and (4) presence of congenital prolongation of the QT interval.



Caution should also be exercised when quetiapine is prescribed in patients with increased risk of QT prolongation (e.g., cardiovascular disease, family history of QT prolongation, the elderly, congestive heart failure, and heart hypertrophy).

8.6 Renal Impairment

Clinical experience with quetiapine extended-release tablets in patients with renal impairment is limited [see Clinical Pharmacology (12.3)].

10.1 Human Experience

In clinical trials, survival has been reported in acute overdoses of up to 30 grams of quetiapine. Most patients who overdosed experienced no adverse reactions or recovered fully from the reported events. Death has been reported in a clinical trial following an overdose of 13.6 grams of quetiapine alone. In general, reported signs and symptoms were those resulting from an exaggeration of the drug’s known pharmacological effects, i.e., drowsiness, sedation, tachycardia, hypotension, and anticholinergic toxicity including coma and delirium. Patients with pre-existing severe cardiovascular disease may be at an increased risk of the effects of overdose [see Warnings and Precautions (5.12)]. One case, involving an estimated overdose of 9600 mg, was associated with hypokalemia and first degree heart block. In post-marketing experience, there were cases reported of QT prolongation with overdose.

12.2 Pharmacodynamics

Quetiapine and its metabolite norquetiapine have affinity for multiple neurotransmitter receptors with norquetiapine binding with higher affinity than quetiapine in general. The Ki values for quetiapine and norquetiapine at the dopamine D1 are 428/99.8 nM, at D2 626/489nM, at serotonin 5HT1A 1040/191 nM at 5HT2A 38/2.9 nM, at histamine H1 4.4/1.1 nM, at muscarinic M1 1086/38.3 nM, and at adrenergic α1b 14.6/46.4 nM and, at α2 receptors 617/1290 nM, respectively. Quetiapine and norquetiapine lack appreciable affinity to the benzodiazepine receptors.



Effect on QT Interval



In clinical trials quetiapine was not associated with a persistent increase in QT intervals. However, the QT effect was not systematically evaluated in a thorough QT study. In post marketing experience, there were cases reported of QT prolongation in patients who overdosed on quetiapine [see Overdosage (10.1)], in patients with concomitant illness, and in patients taking medicines known to cause electrolyte imbalance or increase QT interval.

12.3 Pharmacokinetics

Adults



Following multiple dosing of quetiapine up to a total daily dose of 800 mg, administered in divided doses, the plasma concentration of quetiapine and norquetiapine, the major active metabolite of quetiapine, were proportional to the total daily dose. Accumulation is predictable upon multiple dosing. Steady-state mean Cmax and AUC of norquetiapine are about 21 to 27% and 46 to 56%, respectively, of that observed for quetiapine. Elimination of quetiapine is mainly via hepatic metabolism. The mean-terminal half-life is approximately 7 hours for quetiapine and approximately 12 hours for norquetiapine within the clinical dose range. Steady-state concentrations are expected to be achieved within two days of dosing. Quetiapine extended-release tablets are unlikely to interfere with the metabolism of drugs metabolized by cytochrome P450 enzymes.



Children and Adolescents



At steady state, the pharmacokinetics of the parent compound, in children and adolescents (10 to 17 years of age), were similar to adults. However, when adjusted for dose and weight, AUC and Cmax of the parent compound were 41% and 39% lower, respectively, in children and adolescents than in adults. For the active metabolite, norquetiapine, AUC and Cmax were 45% and 31% higher, respectively, in children and adolescents than in adults. When adjusted for dose and weight, the pharmacokinetics of the metabolite, norquetiapine, was similar between children and adolescents and adults [see Use in Specific Populations (8.4)].



Absorption



Quetiapine reaches peak plasma concentrations approximately 6 hours following administration. Quetiapine extended-release tablets dosed once daily at steady state has comparable bioavailability to an equivalent total daily dose of Seroquel administered in divided doses, twice daily. A high-fat meal (approximately 800 to 1000 calories) was found to produce statistically significant increases in the quetiapine extended-release tablets Cmax and AUC of 44% to 52% and 20% to 22%, respectively, for the 50 mg and 300 mg tablets. In comparison, a light meal (approximately 300 calories) had no significant effect on the Cmax or AUC of quetiapine. It is recommended that quetiapine extended-release tablets be taken without food or with a light meal [see Dosage and Administration (2.1)].



Distribution



Quetiapine is widely distributed throughout the body with an apparent volume of distribution of 10±4 L/kg. It is 83% bound to plasma proteins at therapeutic concentrations. In vitro, quetiapine did not affect the binding of warfarin or diazepam to human serum albumin. In turn, neither warfarin nor diazepam altered the binding of quetiapine.



Metabolism and Elimination



Following a single oral dose of 14C-quetiapine, less than 1% of the administered dose was excreted as unchanged drug, indicating that quetiapine is highly metabolized. Approximately 73% and 20% of the dose was recovered in the urine and feces, respectively. The average dose fraction of free quetiapine and its major active metabolite is <5% excreted in the urine.



Quetiapine is extensively metabolized by the liver. The major metabolic pathways are sulfoxidation to the sulfoxide metabolite and oxidation to the parent acid metabolite; both metabolites are pharmacologically inactive. In vitro studies using human liver microsomes revealed that the cytochrome P450 3A4 isoenzyme is involved in the metabolism of quetiapine to its major, but inactive, sulfoxide metabolite and in the metabolism of its active metabolite norquetiapine.



Age



Oral clearance of quetiapine was reduced by 40% in elderly patients (≥65 years, n=9) compared to young patients (n=12), and dosing adjustment may be necessary [see Dosage and Administration (2.3)].



Gender



There is no gender effect on the pharmacokinetics of quetiapine.



Race



There is no race effect on the pharmacokinetics of quetiapine.



Smoking



Smoking has no effect on the oral clearance of quetiapine.



Renal Insufficiency



Patients with severe renal impairment (CLcr=10 to 30 mL/min/1.73m2, n=8) had a 25% lower mean oral clearance than normal subjects (CLcr>80 mL/min/1.73m2, n=8), but plasma quetiapine concentrations in the subjects with renal insufficiency were within the range of concentrations seen in normal subjects receiving the same dose. Dosage adjustment is therefore not needed in these patients [see Use in Specific Populations (8.6)].



Hepatic Insufficiency



Hepatically impaired patients (n=8) had a 30% lower mean oral clearance of quetiapine than normal subjects. In 2 of the 8 hepatically impaired patients, AUC and Cmax were 3 times higher than those observed typically in healthy subjects. Since quetiapine is extensively metabolized by the liver, higher plasma levels are expected in the hepatically impaired population, and dosage adjustment may be needed [see Dosage and Administration (2.4) and Use in Specific Populations (8.7)].



Drug-Drug Interaction Studies



The in vivo assessments of effect of other drugs on the pharmacokinetics of quetiapine are summarized in Table 24 [ see Dosage and Administration (2.5, 2.6) and Drug Interactions (7.1)].

Table 24: The Effect of Other Drugs on the Pharmacokinetics of Quetiapine
Coadministered

 Drug

Dose Schedules

Effect on Quetiapine

Pharmacokinetics

Coadministered Drug

Quetiapine

Phenytoin

100 mg three times daily

250 mg three times daily

5-fold increase in oral clearance

Divalproex

500 mg twice daily

150 mg twice daily

17% increase mean max plasma concentration at steady state.

No effect on absorption or mean oral clearance

Thioridazine

200 mg twice daily

300 mg twice daily

65% increase in oral clearance

Cimetidine

400 mg three times daily for 4 days

150 mg three times daily

20% decrease in mean oral clearance

Ketoconazole (potent CYP3A4 inhibitor)

200 mg once daily for 4 days

25 mg single dose

84% decrease in oral clearance resulting in a 6.2-fold increase in AUC of quetiapine

Fluoxetine

60 mg once daily

300 mg twice daily

No change in steady state PK

Imipramine

75 mg twice daily

300 mg twice daily

No change in steady state PK

Haloperidol

7.5 mg twice daily

300 mg twice daily

No change in steady state PK

Risperidone

3 mg twice daily

300 mg twice daily

No change in steady state PK

In vitro enzyme inhibition data suggest that quetiapine and 9 of its metabolites would have little inhibitory effect on in vivo metabolism mediated by cytochromes CYP 1A2, 2C9, 2C19, 2D6, and 3A4. Quetiapine at doses of 750 mg/day did not affect the single dose pharmacokinetics of antipyrine, lithium or lorazepam (Table 25) [ see Drug Interactions (7.2)].

Table 25: The Effect of Quetiapine on the Pharmacokinetics of Other Drugs
Coadministered

 Drug

Dose Schedules

Effect on Other Drugs

 Pharmacokinetics

Coadministered

 Drug

Quetiapine

Lorazepam

2 mg, single dose

250 mg three times daily

Oral clearance of lorazepam reduced by 20%

Divalproex

500 mg twice daily

150 mg twice daily

Cmax and AUC of free valproic acid at steady-state was decreased by 10 to 12%

Lithium

Up to 2400 mg/day given in twice daily

doses

250 mg three times daily

No effect on steady-state pharmacokinetics of lithium

Antipyrine

1 g, single dose

250 mg three times daily

No effect on clearance of antipyrine or urinary recovery of its metabolites

14.2 Bipolar Disorder

Bipolar I Disorder, manic or mixed episodes



Adults



The efficacy of quetiapine extended-release tablets in the acute treatment of manic episodes was established in one 3-week, placebo-controlled trial (Study 1 in Table 27) in patients who met DSM-IV criteria for bipolar I disorder with manic or mixed episodes with or without psychotic features (N=316). Patients were hospitalized for a minimum of 4 days at randomization. Patients randomized to quetiapine extended-release tablets received 300 mg on Day 1 and 600 mg on Day 2. Afterwards, the dose could be adjusted between 400 mg and 800 mg per day.



The primary rating instrument used for assessing manic symptoms in these trials was the Young Mania Rating Scale (YMRS), an 11-item clinician-rated scale traditionally used to assess the degree of manic symptoms in a range from 0 (no manic features) to 60 (maximum score). Quetiapine extended-release tablets were superior to placebo in the reduction of the YMRS total score at week 3.



The efficacy of Seroquel in the treatment of acute manic episodes was also established in 3 placebo-controlled trials in patients who met DSM-IV criteria for bipolar I disorder with manic episodes. These trials included patients with or without psychotic features and excluded patients with rapid cycling and mixed episodes. Of these trials, 2 were monotherapy (12 weeks) and 1 was adjunct therapy (3 weeks) to either lithium or divalproex. Key outcomes in these trials were change from baseline in the YMRS score at 3 and 12 weeks for monotherapy and at 3 weeks for adjunct therapy. Adjunct therapy is defined as the simultaneous initiation or subsequent administration of Seroquel with lithium or divalproex.



The results of the trials follow:



Monotherapy



In two 12-week trials (n=300, n=299) comparing Seroquel to placebo, Seroquel was superior to placebo in the reduction of the YMRS total score at weeks 3 and 12. The majority of patients in these trials taking Seroquel were dosed in a range between 400 mg/day and 800 mg/day (Studies 2 and 3 in Table 27).



Adjunct Therapy



In a 3-week placebo-controlled trial, 170 patients with bipolar mania (YMRS ≥20) were randomized to receive Seroquel or placebo as adjunct treatment to lithium or divalproex. Patients may or may not have received an adequate treatment course of lithium or divalproex prior to randomization. Seroquel was superior to placebo when added to lithium or divalproex alone in the reduction of YMRS total score. The majority of patients in this trial taking Seroquel were dosed in a range between 400 mg/day and 800 mg/day (Study 4 in Table 27).



Children and Adolescents (ages 10 to 17)



The efficacy of quetiapine extended-release tablets in the acute treatment of manic episodes associated with bipolar I disorder in children and adolescents (10 to 17 years of age) was extrapolated from a 3-week, double-blind, placebo-controlled, multicenter trial. Patients who met DSM-IV diagnostic criteria for a manic episode were randomized into one of three treatment groups: Seroquel 400 mg/day (n=95), Seroquel 600 mg/day (n=98), or placebo (n=91). Study medication was initiated at 50 mg/day and on day 2 increased to 100 mg/day (divided doses given two or three times daily). Subsequently, the dose was titrated to a target dose of 400 mg/day or 600 mg/day using increments of 100 mg/day, given in divided doses two or three times daily. The primary efficacy variable was the mean change from baseline in total YMRS score. Seroquel 400 mg/day and 600 mg/day were superior to placebo in the reduction of YMRS total score (Study 5 in Table 27).

Table 27: Mania Trials
Mood stabilizer: lithium or divalproex; SD: standard deviation; SE: standard error; LS Mean: least-squares mean;

CI: unadjusted confidence interval.

1. Doses that are statistically significantly superior to placebo.

2. Difference (drug minus placebo) in least-squares mean change from baseline.

3. Included in the trial as an active comparator.

4. Adult data mean baseline score is based on patients included in the primary analysis; pediatric mean baseline score is based on all patients in the ITT population.

Study Number

Treatment Group

Primary Efficacy Measure: YMRS Total

Mean Baseline

 Score (SD) 4

LS Mean Change

from Baseline (SE)

Placebo-subtracted

 Difference 2

 (95% CI)

Study 1

Quetiapine

Extended-Release

Tablets

(400 to 800 mg/day) 1

28.8 (5.4)

-14.3 (0.9)

-3.8 (-5.7, -2)

Placebo

28.4 (5.1)

-10.5 (0.9)

--

Study 2

Seroquel

(200 to 800 mg/day) 1

34 (6.1)

-12.3 (1.3)

-4 (-7, -1)

Haloperidol 1,3

32.3 (6)

-15.7 (1.3)

-7.4 (-10.4, -4.4)

Placebo

33.1 (6.6)

-8.3 (1.3)

--

Study 3

Seroquel

(200 to 800 mg/day) 1

32.7 (6.5)

-14.6 (1.5)

-7.9 (-10.9, -5)

Lithium 1,3

33.3 (7.1)

-15.2 (1.6)

-8.5 (-11.5, -5.5)

Placebo + mood stabilizer

34 (6.9)

-6.7 (1.6)

--

Study 4

Seroquel

(200 to 800 mg/day) 1

+ mood stabilizer

31.5 (5.8)

-13.8 (1.6)

-3.8 (-7.1, -0.6)

Placebo + mood

stabilizer

31.1 (5.5)

-10 (1.5)

--

Study 5

(children and

adolescents)

Seroquel 

(400 mg/day) 1

29.4 (5.9)

-14.3 (0.96)

-5.2 (-8.1, -2.3)

Seroquel 

(600 mg/day) 1

29.6 (6.4)

-15.6 (0.97)

-6.6 (-9.5, -3.7)

Placebo

30.7 (5.9)

-9 (1.1)

--

Bipolar Disorder, Depressive Episodes



Adults



The efficacy of quetiapine extended-release tablets for the acute treatment of depressive episodes associated with bipolar disorder in patients who met DSM-IV criteria for bipolar disorder was established in one 8-week, randomized, double-blind, placebo-controlled study (N=280 outpatients). This study included patients with bipolar I and II disorder, and those with and without a rapid cycling course. Patients randomized to quetiapine extended-release tablets were administered 50 mg on Day 1, 100 mg on Day 2, 200 mg on Day 3, and 300 mg on Day 4 and after.



The primary rating instrument used to assess depressive symptoms was the Montgomery-Asberg Depression Rating Scale (MADRS), a 10-item clinician-rated scale with scores ranging from 0 (no depressive features) to 60 (maximum score). The primary endpoint was the change from baseline in MADRS score at week 8. Quetiapine extended-release tablets were superior to placebo in reduction of MADRS score at week 8 (Study 6 in Table 28).



The efficacy of Seroquel for the treatment of depressive episodes associated with bipolar disorder was established in 2 identical 8-week, randomized, double-blind, placebo-controlled studies (N=1045). These studies included patients with either bipolar I or II disorder and those with or without a rapid cycling course. Patients randomized to Seroquel were administered fixed doses of either 300 mg or 600 mg once daily.



The primary rating instrument used to assess depressive symptoms in these studies was the MADRS. The primary endpoint in both studies was the change from baseline in MADRS score at week 8. In both studies, Seroquel was superior to placebo in reduction of MADRS score at week 8 (Studies 7 and 8 in Table 28). In these studies, no additional benefit was seen with the 600 mg dose. For the 300 mg dose group, statistically significant improvements over placebo were seen in overall quality of life and satisfaction related to various areas of functioning, as measured using the Q-LES-Q(SF).

Table 28: Depressive Episodes Associated with Bipolar Disorder
SD: standard deviation; SE: standard error; LS Mean: least-squares mean; CI: unadjusted confidence interval.

1. Doses that are statistically significantly superior to placebo.

2. Difference (drug minus placebo) in least-squares mean change from baseline.

Study Number

Treatment Group

Primary Efficacy Measure: MADRS Total

Mean Baseline

Score (SD)

LS Mean Change

from Baseline (SE)

Placebo-subtracted

 Difference 2

(95% CI)

Study 6

Quetiapine

Extended-Release

Tablets 

(300 mg/day) 1

29.8 (5.2)

-17.4 (1.2)

-5.5 (-7.9, -3.2)

Placebo

30.1 (5.5)

-11.9 (1.2)

--

Study 7

Seroquel

(300 mg/day) 1

30.3 (5)

-16.4 (0.9)

-6.1 (-8.3, -3.9)

Seroquel

(600 mg/day) 1

30.3 (5.3)

-16.7 (0.9)

-6.5 (-8.7, -4.3)

Placebo

30.6 (5.3)

-10.3 (0.9)

--

Study 8

Seroquel

(300 mg/day) 1

31.1 (5.7)

-16.9 (1)

-5 (-7.3, -2.7)

Seroquel

(600 mg/day) 1

29.9 (5.6)

-16 (1)

-4.1 (-6.4, -1.8)

Placebo

29.6 (5.4)

-11.9 (1)

--

Maintenance Treatment as an Adjunct to Lithium or Divalproex



The efficacy of Seroquel in the maintenance treatment of bipolar I disorder was established in 2 placebo-controlled trials in patients (n=1326) who met DSM-IV criteria for bipolar I disorder (studies 9 and 10). The trials included patients whose most recent episode was manic, depressed, or mixed, with or without psychotic features. In the open-label phase, patients were required to be stable on Seroquel plus lithium or divalproex for at least 12 weeks in order to be randomized. On average, patients were stabilized for 15 weeks. In the randomization phase, patients continued treatment with lithium or divalproex and were randomized to receive either Seroquel (administered twice-daily totaling 400 mg/day to 800 mg/day) or placebo. Approximately 50% of the patients had discontinued from the Seroquel group by day 280 and 50% of the placebo group had discontinued by day 117 of double-blind treatment. The primary endpoint in these studies was time to recurrence of a mood event (manic, mixed, or depressed episode). A mood event was defined as medication initiation or hospitalization for a mood episode; YMRS score ≥20 or MADRS score ≥20 at 2 consecutive assessments; or study discontinuation due to a mood event.



In both studies, Seroquel was superior to placebo in increasing the time to recurrence of any mood event (Figure 2 and Figure 3). The treatment effect was present for increasing time to recurrence of both manic and depressed episodes. The effect of Seroquel was independent of any specific subgroup (assigned mood stabilizer, sex, age, race, most recent bipolar episode, or rapid cycling course).









5.5 Metabolic Changes

Atypical antipsychotic drugs have been associated with metabolic changes that include hyperglycemia/diabetes mellitus, dyslipidemia, and body weight gain. While all of the drugs in the class have been shown to produce some metabolic changes, each drug has its own specific risk profile. In some patients, a worsening of more than one of the metabolic parameters of weight, blood glucose, and lipids was observed in clinical studies. Changes in these metabolic profiles should be managed as clinically appropriate.



Hyperglycemia and Diabetes Mellitus



Hyperglycemia, in some cases extreme and associated with ketoacidosis or hyperosmolar coma or death, has been reported in patients treated with atypical antipsychotics, including quetiapine. Assessment of the relationship between atypical antipsychotic use and glucose abnormalities is complicated by the possibility of an increased background risk of diabetes mellitus in patients with schizophrenia and the increasing incidence of diabetes mellitus in the general population. Given these confounders, the relationship between atypical antipsychotic use and hyperglycemia-related adverse reactions is not completely understood. However, epidemiological studies suggest an increased risk of hyperglycemia-related adverse reactions in patients treated with the atypical antipsychotics. Precise risk estimates for hyperglycemia-related adverse reactions in patients treated with atypical antipsychotics are not available.



Patients with an established diagnosis of diabetes mellitus who are started on atypical antipsychotics should be monitored regularly for worsening of glucose control. Patients with risk factors for diabetes mellitus (e.g., obesity, family history of diabetes) who are starting treatment with atypical antipsychotics should undergo fasting blood glucose testing at the beginning of treatment and periodically during treatment. Any patient treated with atypical antipsychotics should be monitored for symptoms of hyperglycemia including polydipsia, polyuria, polyphagia, and weakness. Patients who develop symptoms of hyperglycemia during treatment with atypical antipsychotics should undergo fasting blood glucose testing. In some cases, hyperglycemia has resolved when the atypical antipsychotic was discontinued; however, some patients required continuation of anti-diabetic treatment despite discontinuation of the suspect drug.



Adults:

Table 3: Fasting Glucose-Proportion of Patients Shifting to ≥126 mg/dL in Short-Term (≤12 weeks) Placebo-Controlled Studies1
1. Includes Seroquel and quetiapine extended-release tablets data.

Laboratory

Analyte



Category Change

(At Least Once)

from Baseline

Treatment Arm

N

Patients

n (%)

Fasting Glucose

Normal to High

 

(<100 mg/dL to

≥126 mg/dL)

Quetiapine

2907

71 (2.4%)

Placebo

1346

19 (1.4%)

Borderline to High

 

(≥100 mg/dL and

<126 mg/dL to

≥126 mg/dL)

Quetiapine

572

67 (11.7%)

Placebo

279

33 (11.8%)

In a 24-week trial (active-controlled, 115 patients treated with Seroquel) designed to evaluate glycemic status with oral glucose tolerance testing of all patients, at week 24 the incidence of post-glucose challenge glucose level ≥200 mg/dL was 1.7% and the incidence of a fasting blood glucose level ≥126 mg/dL was 2.6%. The mean change in fasting glucose from baseline was 3.2 mg/dL and mean change in 2-hour glucose from baseline was -1.8 mg/dL for quetiapine.



In 2 long-term placebo-controlled randomized withdrawal clinical trials for bipolar I disorder maintenance, mean exposure of 213 days for Seroquel (646 patients) and 152 days for placebo (680 patients), the mean change in glucose from baseline was +5 mg/dL for quetiapine and -0.05 mg/dL for placebo. The exposure-adjusted rate of any increased blood glucose level (≥126 mg/dL) for patients more than 8 hours since a meal (however, some patients may not have been precluded from calorie intake from fluids during fasting period) was 18 per 100 patient years for Seroquel (10.7% of patients; n=556) and 9.5 for placebo per 100 patient years (4.6% of patients; n=581).



Table 4 shows the percentage of patients with shifts in blood glucose to ≥126 mg/dL from normal baseline in MDD adjunct therapy trials by dose.

Table 4: Percentage of Patients with Shifts from Normal Baseline in Blood Glucose to ≥126 mg/dL (assumed fasting) in MDD Adjunct Therapy Trials by Dose
Laboratory

Analyte

Treatment Arm

N

Patients

n (%)

Blood Glucose

≥126 mg/dL

Quetiapine Extended-Release Tablets

150 mg

280

19 (7%)

Quetiapine Extended-Release Tablets

300 mg

269

32 (12%)

Placebo

277

17 (6%)

Children and Adolescents:



Safety and effectiveness of quetiapine extended-release tablets are supported from studies of Seroquel in children and adolescent patients 10 to 17 years of age [see Clinical Studies (14.2)]. In a placebo-controlled quetiapine extended-release tablets monotherapy study (8 weeks duration) of children and adolescent patients (10 to 17 years of age) with bipolar depression, in which efficacy was not established, the mean change in fasting glucose levels for quetiapine extended-release tablets (n=60) compared to placebo (n=62) was 1.8 mg/dL versus 1.6 mg/dL. In this study, there were no patients in the quetiapine extended-release tablets or placebo-treated groups with a baseline normal fasting glucose level (<100 mg/dL) that had an increase in blood glucose level >126 mg/dL. There was one patient in the quetiapine extended-release tablets group with a baseline borderline fasting glucose level (≥100 mg/dL and <126 mg/dL) who had an increase in blood glucose level of >126 mg/dL compared to zero patients in the placebo group.



In a placebo-controlled Seroquel monotherapy study of adolescent patients (13 to 17 years of age) with schizophrenia (6 weeks duration), the mean change in fasting glucose levels for Seroquel (n=138) compared to placebo (n=67) was –0.75 mg/dL versus –1.7 mg/dL. In a placebo-controlled Seroquel monotherapy study of children and adolescent patients (10 to 17 years of age) with bipolar mania (3 weeks duration), the mean change in fasting glucose level for Seroquel (n=170) compared to placebo (n=81) was 3.62 mg/dL versus –1.17 mg/dL. No patient in either study with a baseline normal fasting glucose level (<100 mg/dL) or a baseline borderline fasting glucose level (≥100 mg/dL and <126 mg/dL) had a blood glucose level of ≥126 mg/dL.



Dyslipidemia



Adults:



Table 5 shows the percentage of patients with changes in cholesterol and triglycerides from baseline by indication in clinical trials with quetiapine extended-release tablets.

Table 5: Percentage of Adult Patients with Shifts in Total Cholesterol, Triglycerides, LDL-Cholesterol and HDL-Cholesterol from Baseline to Clinically Significant Levels by Indication
1.  6 weeks duration

2.  8 weeks duration

3.  3 weeks duration

Laboratory

 Analyte

Indication

Treatment Arm

N

Patients

n (%)

Total Cholesterol

 ≥240 mg/dL

Schizophrenia 1

Quetiapine

 Extended-Release

 Tablets

718

67 (9%)

Placebo

232

21 (9%)

Bipolar

Depression 2

Quetiapine Extended-Release

 Tablets

85

6 (7%)

Placebo

106

3 (3%)

Bipolar Mania 3

Quetiapine

 Extended-Release

 Tablets

128

9 (7%)

Placebo

134

5 (4%)

Major Depressive Disorder

 (Adjunct Therapy) 1

Quetiapine

 Extended-Release

 Tablets

420

67 (16%)

Placebo

213

15 (7%)

Triglycerides

≥200 mg/dL

Schizophrenia 1

Quetiapine

 Extended-Release

 Tablets

659

118 (18%)

Placebo

214

11 (5%)

Bipolar

Depression 2

Quetiapine

 Extended-Release

 Tablets

84

7 (8%)

Placebo

93

7 (8%)

Bipolar Mania 3

Quetiapine

 Extended-Release

 Tablets

102

15 (15%)

Placebo

125

8 (6%)

Major Depressive Disorder

 (Adjunct Therapy) 1

Quetiapine

 Extended-Release

 Tablets

458

75 (16%)

Placebo

223

18 (8%)

LDL-Cholesterol

≥160 mg/dL

Schizophrenia 1

Quetiapine

 Extended-Release

 Tablets

691

47 (7%)

Placebo

227

17 (8%)

Bipolar

Depression 2

Quetiapine

 Extended-Release

 Tablets

86

3 (4%)

Placebo

104

2 (2%)

Bipolar Mania 3

Quetiapine

 Extended-Release

 Tablets

125

5 (4%)

Placebo

135

2 (2%)

Major Depressive Disorder

(Adjunct Therapy) 1

Quetiapine

 Extended-Release

Tablets

457

51 (11%)

Placebo

219

21 (10%)

HDL-Cholesterol

≤40 mg/dL

Schizophrenia 1

Quetiapine

 Extended-Release

 Tablets

600

87 (15%)

Placebo

195

23 (12%)

Bipolar Depression 2

Quetiapine

 Extended-Release Tablets

78

7 (9%)

Placebo

83

6 (7%)

Bipolar Mania 3

Quetiapine

 Extended-Release

 Tablets

100

19 (19%)

Placebo

115

15 (13%)

Major Depressive Disorder

 (Adjunct Therapy) 1

Quetiapine

 Extended-Release

 Tablets

470

34 (7%)

Placebo

230

19 (8%)

In Seroquel clinical trials for schizophrenia, the percentage of patients with shifts in cholesterol and triglycerides from baseline to clinically significant levels were 18% (placebo: 7%) and 22% (placebo: 16%). HDL-cholesterol and LDL-cholesterol parameters were not measured in these studies. In Seroquel clinical trials for bipolar depression, the following percentage of patients had shifts from baseline to clinically significant levels for the four lipid parameters measured: total cholesterol 9% (placebo: 6%); triglycerides 14% (placebo: 9%); LDL-cholesterol 6% (placebo: 5%) and HDL-cholesterol 14% (placebo: 14%). Lipid parameters were not measured in the bipolar mania studies.



Table 6 shows the percentage of patients in MDD adjunctive therapy trials with clinically significant shifts in total-cholesterol, triglycerides, LDL-cholesterol and HDL-cholesterol from baseline by dose.

Table 6: Percentage of Patients with Shifts in Total Cholesterol, Triglycerides, LDL-Cholesterol, and HDL-Cholesterol from Baseline to Clinically Significant Levels in MDD Adjunctive Therapy Trials by Dose
1. 6 weeks duration

Laboratory Analyte

Treatment Arm 1

N

Patients

n (%)

Cholesterol

≥240 mg/dL

Quetiapine

 Extended-Release Tablets

150 mg

223

41 (18%)

Quetiapine

 Extended-Release Tablets

300 mg

197

26 (13%)

Placebo

213

15 (7%)

Triglycerides

≥200 mg/dL

Quetiapine

 Extended-Release Tablets

150 mg

232

36 (16%)

Quetiapine

 Extended-Release Tablets

300 mg

226

39 (17%)

Placebo

223

18 (8%)

LDL-Cholesterol

 ≥160 mg/dL

Quetiapine

 Extended-Release Tablets

150 mg

242

29 (12%)

Quetiapine

 Extended-Release Tablets

300 mg

215

22 (10%)

Placebo

219

21 (10%)

HDL-Cholesterol

≤40 mg/dL

Quetiapine

 Extended-Release Tablets

150 mg

238

14 (6%)

Quetiapine

 Extended-Release Tablets

300 mg

232

20 (9%)

Placebo

230

19 (8%)

Children and Adolescents:



Safety and effectiveness of quetiapine extended-release tablets are supported by studies of Seroquel in children and adolescent patients 10 to 17 years of age [see Clinical Studies (14.1 and 14.2)].



In a placebo-controlled quetiapine extended-release tablets monotherapy study (8 weeks duration) of children and adolescent patients (10 to 17 years of age) with bipolar depression, in which efficacy was not established, the percentage of children and adolescents with shifts in total cholesterol (≥200 mg/dL), triglycerides (≥150 mg/dL), LDL-cholesterol (≥130 mg/dL), and HDL-cholesterol (≤40 mg/dL) from baseline to clinically significant levels were: total cholesterol 8% (7/83) for quetiapine extended-release tablets vs. 6% (5/84) for placebo; triglycerides 28% (22/80) for quetiapine extended-release tablets vs. 9% (7/82) for placebo; LDL-cholesterol 2% (2/86) for quetiapine extended-release tablets vs. 4% (3/85) for placebo and HDL-cholesterol 20% (13/65) for quetiapine extended-release tablets vs. 15% (11/74) for placebo.



Table 7 shows the percentage of children and adolescents with shifts in total cholesterol, triglycerides, LDL-cholesterol, and HDL-cholesterol from baseline to clinically significant levels by indication in clinical trials with Seroquel in adolescents (13 to 17 years) with schizophrenia and in children and adolescents (10 to 17 years) with bipolar mania.

Table 7: Percentage of Children and Adolescents with Shifts in Total Cholesterol, Triglycerides, LDL-Cholesterol, and HDL-Cholesterol from Baseline to Clinically Significant Levels by Indication
1. 13 to 17 years, 6 weeks duration

2. 10 to 17 years, 3 weeks duration

  Laboratory Analyte

Indication

Treatment Arm

N

Patients

n (%)

Total Cholesterol

≥200 mg/dL

Schizophrenia 1

 Seroquel

107

13 (12%)

Placebo

56

1 (2%)

Bipolar Mania 2

Seroquel

159

16 (10%)

Placebo

66

2 (3%)

Triglycerides

≥150 mg/dL

Schizophrenia 1

Seroquel

103

17 (17%)

Placebo

51

4 (8%)

Bipolar Mania 2

Seroquel

149

32 (22%)

Placebo

60

8 (13%)

LDL-Cholesterol

≥130 mg/dL

Schizophrenia 1

Seroquel

112

4 (4%)

Placebo

60

1 (2%)

Bipolar Mania 2

 Seroquel

169

13 (8%)

Placebo

74

4 (5%)

HDL-Cholesterol ≤40 mg/dL

Schizophrenia 1

 Seroquel

104

16 (15%)

Placebo

54

10 (19%)

Bipolar Mania 2

Seroquel

154

16 (10%)

Placebo

61

4 (7%)

Weight Gain



Increases in weight have been observed in clinical trials. Patients receiving quetiapine should receive regular monitoring of weight.



Adults:
Table 8 shows the percentage of adult patients with weight gain of ≥7% of body weight by indication.



Table 8: Percentage of Patients with Weight Gain ≥7% of Body Weight (Adults) by Indication
1. 6 weeks duration

2. 3 weeks duration

3. 8 weeks duration

Vital sign

Indication

Treatment Arm

N

Patients

n (%)

Weight Gain

≥7% of Body

 Weight

 

Schizophrenia 1

Quetiapine

 Extended-Release Tablets

907

90 (10%)

Placebo

299

16 (5%)

Bipolar Mania 2

Quetiapine

 Extended-Release Tablets

138

7 (5%)

Placebo

150

0 (0%)

Bipolar Depression 3

Quetiapine

 Extended-Release Tablets

110

9 (8%)

Placebo

125

1 (1%)

Major Depressive

 Disorder (Adjunctive

 Therapy) 1

Quetiapine

 Extended-Release Tablets

616

32 (5%)

Placebo

302

5 (2%)

In schizophrenia trials, the proportions of patients meeting a weight gain criterion of ≥7% of body weight were compared in a pool of four 3- to 6-week placebo-controlled clinical trials, revealing a statistically significant greater incidence of weight gain for Seroquel (23%) compared to placebo (6%).



Table 9 shows the percentage of adult patients with weight gain of ≥7% of body weight for MDD by dose.

Table 9: Percentage of Patients with Weight Gain ≥7% of Body Weight in MDD Adjunctive Therapy Trials by Dose (Adults)
Vital sign

Treatment Arm

N

Patients

n (%)

Weight Gain ≥7% of

Body Weight in MDD

 Adjunctive Therapy

Quetiapine

 Extended-Release Tablets

150 mg

309

10 (3%)

Quetiapine

 Extended-Release Tablets

 300 mg

307

22 (7%)

Placebo

302

5 (2%)

Children and Adolescents: Safety and effectiveness of quetiapine extended-release tablets are supported by studies of Seroquel in children and adolescent patients 10 to 17 years of age [see Clinical Studies (14.1 and 14.2)]. In a clinical trial for quetiapine extended-release tablets in children and adolescents (10 to 17 years of age) with bipolar depression, in which efficacy was not established, the percentage of patients with weight gain ≥7% of body weight at any time was 15% (14/92) for quetiapine extended-release tablets vs. 10% (10/100) for placebo. The mean change in body weight was 1.4 kg in the quetiapine extended-release tablets group vs. 0.6 kg in the placebo group.



Weight gain was greater in patients 10 to 12 years of age compared to patients 13 to 17 years of age. The percentage of patients 10 to 12 years of age with weight gain ≥7% at any time was 28% (7/25) for quetiapine extended-release tablets vs. 0% (0/28) for placebo. The percentage of patients 13 to 17 years of age with weight gain ≥7% at any time was 10.4% (7/67) for quetiapine extended-release tablets vs. 13.9% (10/72) for placebo.



Table 10 shows the percentage of children and adolescents with weight gain ≥7% of body weight in clinical trials with Seroquel in adolescents (13 to 17 years) with schizophrenia and in children and adolescents (10 to 17 years) with bipolar mania.



Table 10: Percentage of Patients with Weight Gain ≥7% of Body Weight (Children and Adolescents)


1. 6 weeks duration

2. 3 weeks duration
Vital sign

Indication

Treatment Arm

N

Patients

n (%)

Weight Gain

≥7% of Body

 Weight

Schizophrenia 1

 Seroquel

111

23 (21%)

Placebo

44

3 (7%)

Bipolar Mania 2

 Seroquel

157

18 (12%)

Placebo

68

0 (0%)

The mean change in body weight in the schizophrenia trial was 2 kg in the Seroquel group and -0.4 kg in the placebo group and in the bipolar mania trial it was 1.7 kg in the Seroquel group and 0.4 kg in the placebo group.



In an open-label study that enrolled patients from the above two pediatric trials, 63% of patients (241/380) completed 26 weeks of therapy with Seroquel. After 26 weeks of treatment, the mean increase in body weight was 4.4 kg. Forty-five percent of the patients gained ≥7% of their body weight, not adjusted for normal growth. In order to adjust for normal growth over 26 weeks, an increase of at least 0.5 standard deviation from baseline in BMI was used as a measure of a clinically significant change; 18.3% of patients on Seroquel met this criterion after 26 weeks of treatment.



When treating pediatric patients with Seroquel for any indication, weight gain should be assessed against that expected for normal growth.

2.2 Recommended Dosing

The recommended initial dose, titration, dose range and maximum quetiapine extended-release tablets dose for each approved indication is displayed in Table 1 below. After initial dosing, adjustments can be made upwards or downwards, if necessary, depending upon the clinical response and tolerability of the patient [see Clinical Studies (14.114.2 and 14.3)].

Table 1: Recommended Dosing for Quetiapine Extended-Release Tablets
Indication

Initial Dose and Titration

Recommended Dose 

Maximum Dose

Schizophrenia - Adults

 

Day 1: 300 mg/day

Dose increases can be made at intervals as short as 1 day and in increments of up to 300 mg/day

400 to 800 mg/day

 

800 mg/day

 

Schizophrenia - Adolescents (13 to 17 years)

Day 1: 50 mg/day

Day 2: 100 mg/day

Day 3: 200 mg/day

Day 4: 300 mg/day

Day 5: 400 mg/day

400 to 800 mg/day

 

800 mg/day

Schizophrenia Maintenance - Monotherapy - Adults

Not applicable

400 to 800 mg/day

800 mg/day

Bipolar I Disorder manic or mixed-Acute monotherapy or adjunct to lithium or divalproex-Adults

Day 1: 300 mg/day

Day 2: 600 mg/day

Day 3: between 400 and

800 mg/day

400 to 800 mg/day

800 mg/day

Bipolar I Disorder, manic - Acute monotherapy - Children and Adolescents (10 to 17 years)

Day 1: 50 mg/day

Day 2: 100 mg/day

Day 3: 200 mg/day

Day 4: 300 mg/day

Day 5: 400 mg/day

400 to 600 mg/day

600 mg/day

Bipolar Disorder, Depressive Episodes - Adults

Day 1: 50 mg/day

Day 2: 100 mg/day

Day 3: 200 mg/day

Day 4: 300 mg/day

300 mg/day

300 mg/day

Bipolar I Disorder Maintenance - Adjunct to lithium or divalproex - Adults

 

Not applicable

 

400 to 800 mg/day

800 mg/day

Major Depressive Disorder - Adjunctive Therapy with Antidepressants - Adults

Day 1: 50 mg/day

Day 2: 50 mg/day

Day 3: 150 mg/day

150 to 300 mg/day

300 mg/day

Maintenance Treatment for Schizophrenia and Bipolar I Disorder



Maintenance Treatment—Patients should be periodically reassessed to determine the need for maintenance treatment and the appropriate dose for such treatment [see Clinical Studies (14.1, 14.2)].

5.6 Tardive Dyskinesia

A syndrome of potentially irreversible, involuntary, dyskinetic movements may develop in patients treated with antipsychotic drugs including quetiapine. Although the prevalence of the syndrome appears to be highest among the elderly, especially elderly women, it is impossible to rely upon prevalence estimates to predict, at the inception of antipsychotic treatment, which patients are likely to develop the syndrome. Whether antipsychotic drug products differ in their potential to cause tardive dyskinesia is unknown.



The risk of developing tardive dyskinesia and the likelihood that it will become irreversible are believed to increase as the duration of treatment and the total cumulative dose of antipsychotic drugs administered to the patient increase. However, the syndrome can develop, although much less commonly, after relatively brief treatment periods at low doses or may even arise after discontinuation of treatment.



Tardive dyskinesia may remit, partially or completely, if antipsychotic treatment is withdrawn. Antipsychotic treatment, itself, however, may suppress (or partially suppress) the signs and symptoms of the syndrome and thereby may possibly mask the underlying process. The effect that symptomatic suppression has upon the long-term course of the syndrome is unknown.



Given these considerations, quetiapine extended-release tablets should be prescribed in a manner that is most likely to minimize the occurrence of tardive dyskinesia. Chronic antipsychotic treatment should generally be reserved for patients who appear to suffer from a chronic illness that (1) is known to respond to antipsychotic drugs, and (2) for whom alternative, equally effective, but potentially less harmful treatments are not available or appropriate. In patients who do require chronic treatment, the smallest dose and the shortest duration of treatment producing a satisfactory clinical response should be sought. The need for continued treatment should be reassessed periodically.



If signs and symptoms of tardive dyskinesia appear in a patient on quetiapine extended-release tablets, drug discontinuation should be considered. However, some patients may require treatment with quetiapine despite the presence of the syndrome.

8.7 Hepatic Impairment

Since quetiapine is extensively metabolized by the liver, higher plasma levels are expected in patients with hepatic impairment. In this population, a low starting dose of 50 mg/day is recommended and the dose may be increased in increments of 50 mg/day [see Dosage and Administration (2.4) and Clinical Pharmacology (12.3)].

1 Indications and Usage

Quetiapine extended-release tablets are an atypical antipsychotic indicated for the treatment of:

  • Schizophrenia (1.1)
  • Bipolar I disorder, manic, or mixed episodes (1.2)
  • Bipolar disorder, depressive episodes (1.2)
  • Major depressive disorder, adjunctive therapy with antidepressants (1.3)
5.15 Hyperprolactinemia

Adults: During clinical trials with quetiapine across all indications, the incidence of shifts in prolactin levels to a clinically significant value occurred in 3.6% (158/4416) of patients treated with quetiapine compared to 2.6% (51/1968) on placebo.



Children and Adolescents: Safety and effectiveness of quetiapine extended-release tablets are supported by studies of Seroquel in children and adolescent patients 10 to 17 years of age [see Clinical Studies (14.1 and 14.2)]. In acute placebo-controlled trials in children and adolescent patients with bipolar mania (3-week duration) or schizophrenia (6-week duration), the incidence of shifts in prolactin levels to a value (>20 mcg/L males; >26 mcg/L females at any time) was 13.4% (18/134) for Seroquel compared to 4% (3/75) for placebo in males and 8.7% (9/104) for Seroquel compared to 0% (0/39) for placebo in females.



Like other drugs that antagonize dopamine D2 receptors, quetiapine extended-release tablets elevate prolactin levels in some patients and the elevation may persist during chronic administration. Hyperprolactinemia, regardless of etiology, may suppress hypothalamic GnRH, resulting in reduced pituitary gonadotrophin secretion. This, in turn, may inhibit reproductive function by impairing gonadal steroidogenesis in both female and male patients. Galactorrhea, amenorrhea, gynecomastia, and impotence have been reported in patients receiving prolactin-elevating compounds. Long-standing hyperprolactinemia when associated with hypogonadism may lead to decreased bone density in both female and male subjects.



Tissue culture experiments indicate that approximately one-third of human breast cancers are prolactin dependent in vitro, a factor of potential importance if the prescription of these drugs is considered in a patient with previously detected breast cancer. As is common with compounds which increase prolactin release, mammary gland, and pancreatic islet cell neoplasia (mammary adenocarcinomas, pituitary, and pancreatic adenomas) was observed in carcinogenicity studies conducted in mice and rats [see Nonclinical Toxicology (13.1)]. Published epidemiologic studies have shown inconsistent results when exploring the potential association between hyperprolactinemia and breast cancer.



12.1 Mechanism of Action

The mechanism of action of quetiapine in the listed indications is unclear. However, the efficacy of quetiapine in these indications could be mediated through a combination of dopamine type 2 (D2) and serotonin type 2A (5HT2A) antagonism. The active metabolite, N-desalkyl quetiapine (norquetiapine), has similar activity at D2, but greater activity at 5HT2A receptors, than the parent drug (quetiapine).

9.1 Controlled Substance

Quetiapine extended-release tablets are not a controlled substance.

5 Warnings and Precautions
  • Cerebrovascular Adverse Reactions:  Increased incidence of cerebrovascular adverse reactions (e.g., stroke, transient ischemic attack) has been seen in elderly patients with dementia-related psychoses treated with atypical antipsychotic drugs (5.3)
  • Neuroleptic Malignant Syndrome (NMS):  Manage with immediate discontinuation and close monitoring (5.4)
  • Metabolic Changes:  Atypical antipsychotics have been associated with metabolic changes. These metabolic changes include hyperglycemia, dyslipidemia, and weight gain (5.5)
    • Hyperglycemia and Diabetes Mellitus:  Monitor patients for symptoms of hyperglycemia including polydipsia, polyuria, polyphagia, and weakness. Monitor glucose regularly in patients with diabetes or at risk for diabetes
    • Dyslipidemia:  Undesirable alterations have been observed in patients treated with atypical antipsychotics. Appropriate clinical monitoring is recommended, including fasting blood lipid testing at the beginning of, and periodically, during treatment
    • Weight Gain:  Gain in body weight has been observed; clinical monitoring of weight is recommended
  • Tardive Dyskinesia:  Discontinue if clinically appropriate (5.6)
  • Hypotension:  Use with caution in patients with known cardiovascular or cerebrovascular disease (5.7)
  • Increased Blood Pressure in Children and Adolescents:  Monitor blood pressure at the beginning of, and periodically during treatment in children and adolescents (5.9)
  •  Leukopenia, Neutropenia, and Agranulocytosis:  Monitor complete blood count frequently during the first few months of treatment in patients with a pre-existing low white cell count or a history of leukopenia/neutropenia and discontinue quetiapine extended-release tablets at the first sign of a decline in WBC in absence of other causative factors (5.10)
  • Cataracts:  Lens changes have been observed in patients during long-term quetiapine treatment. Lens examination is recommended when starting treatment and at 6-month intervals during chronic treatment (5.11)
  • Anticholinergic(antimuscarinic) Effects: Use with caution with other anticholinergic drugs and in patients with urinary retention, prostatic hypertrophy, or constipation (5.20)
2 Dosage and Administration
  • Swallow tablets whole and do not split, chew or crush (2.1)
  • Take without food or with a light meal (approx. 300 calories) (2.1)
  • Administer once daily, preferably in the evening (2.1)
  • Geriatric Use: Consider a lower starting dose (50 mg/day), slower titration, and careful monitoring during the initial dosing period in the elderly. (2.38.5)
  • Hepatic Impairment: Lower starting dose (50 mg/day) and slower titration may be needed (2.4, 8.712.3)


Indication

Initial Dose

Recommended Dose

Maximum

Dose

Schizophrenia - Adults (2.2)

300 mg/day

400 to 800 mg/day

800 mg/day

Schizophrenia -

Adolescents (13 to 17

years) (2.2)

50 mg/day

400 to 800 mg/day

800 mg/day

Bipolar I Disorder manic or mixed - Acute monotherapy or adjunct to lithium or divalproex - Adults (2.2)

300 mg/day

400 to 800 mg/day

800 mg/day

Bipolar I Disorder, manic Acute monotherapy - Children and Adolescents (10 to 17 years) (2.2)

50 mg/day

400 to 600

mg/day

600 mg/day

Bipolar Disorder, Depressive Episodes - Adults (2.2)

50 mg/day

300 mg/day

300 mg/day

Major Depressive Disorder, Adjunctive Therapy with Antidepressants - Adults (2.2)

50 mg/day

150 to 300 mg/day

300 mg/day

3 Dosage Forms and Strengths
  • Quetiapine Extended-Release Tablets, USP 50 mg are peach, film-coated, capsule shaped, biconvex, tablet debossed with “Z45” on one side and plain on the other side.
  • Quetiapine Extended-Release Tablets, USP 150 mg are white, film-coated, capsule shaped, biconvex, tablet debossed with “Z46” on one side and plain on the other side.
  • Quetiapine Extended-Release Tablets, USP 200 mg are yellow, film-coated, capsule shaped, biconvex, tablet debossed with “Z47” on one side and plain on the other side.
  • Quetiapine Extended-Release Tablets, USP 300 mg are pale yellow, film-coated, capsule shaped, biconvex, tablet debossed with “Z48” on one side and plain on the other side.
  • Quetiapine Extended-Release Tablets, USP 400 mg are white, film-coated, capsule shaped, biconvex, tablet debossed with “Z49” on one side and plain on the other side.
6.2 Postmarketing Experience

The following adverse reactions were identified during post approval use of Seroquel. Because these reactions are reported voluntarily from a population of uncertain size, it is not always possible to reliably estimate their frequency or establish a causal relationship to drug exposure.



Adverse reactions reported since market introduction which were temporally related to quetiapine therapy include anaphylactic reaction, cardiomyopathy, drug reaction with eosinophilia and systemic symptoms (DRESS), hyponatremia, myocarditis, nocturnal enuresis, pancreatitis, retrograde amnesia, rhabdomyolysis, syndrome of inappropriate antidiuretic hormone secretion (SIADH), Stevens-Johnson syndrome (SJS), toxic epidermal necrolysis (TEN), decreased platelet count, serious liver reactions (including hepatitis, liver necrosis, and hepatic failure), agranulocytosis, intestinal obstruction, ileus, colon ischemia, sleep apnea, urinary retention, acute generalized exanthematous pustulosis (AGEP), confusional state, cutaneous vasculitis, and fecal incontinence. Bezoar observed in overdosage [see Overdosage (10)].

10.2 Management of Overdosage

Establish and maintain an airway and ensure adequate oxygenation and ventilation. Cardiovascular monitoring should commence immediately and should include continuous electrocardiographic monitoring to detect possible arrhythmias.

Appropriate supportive measures are the mainstay of management. For the most up-to-date information on the management of quetiapine extended-release tablets overdosage, contact a certified Regional Poison Control Center (1-800-222-1222).



Quetiapine extended-release tablets overdose may lead to gastric bezoar formation and appropriate diagnostic imaging is recommended to further guide patient management. Routine gastric lavage may not be effective in the removal of the bezoar due to gum like sticky consistency of the mass. Endoscopic pharmacobezoar removal has been performed successfully.

5.19 Discontinuation Syndrome

Acute withdrawal symptoms, such as insomnia, nausea, and vomiting have been described after abrupt cessation of atypical antipsychotic drugs, including quetiapine. In short-term placebo-controlled, monotherapy clinical trials with quetiapine extended-release tablets that included a discontinuation phase which evaluated discontinuation symptoms, the aggregated incidence of patients experiencing one or more discontinuation symptoms after abrupt cessation was 12.1% (241/1993) for quetiapine extended-release tablets and 6.7% (71/1065) for placebo. The incidence of the individual adverse reactions (i.e., insomnia, nausea, headache, diarrhea, vomiting, dizziness, and irritability) did not exceed 5.3% in any treatment group and usually resolved after 1-week post-discontinuation. Gradual dose reduction is advised [see Use in Specific Populations (8.1)].

8 Use in Specific Populations
  • Pregnancy: May cause extrapyramidal and/or withdrawal symptoms in neonates with third trimester exposure. (8.1)
6.1 Clinical Studies Experience

Because clinical trials are conducted under widely varying conditions, adverse reaction rates observed in the clinical trials of a drug cannot be directly compared to rates in the clinical trials of another drug and may not reflect the rates observed in clinical practice.



Adults



The information below is derived from a clinical trial database for quetiapine extended-release tablets consisting of approximately 3400 patients exposed to quetiapine extended-release tablets for the treatment of Schizophrenia, Bipolar Disorder, and Major Depressive Disorder in placebo-controlled trials. This experience corresponds to approximately 1020.1 patient-years. Adverse reactions were assessed by collecting adverse reactions, results of physical examinations, vital signs, body weights, laboratory analyses, and ECG results.



The stated frequencies of adverse reactions represent the proportion of individuals who experienced, at least once, an adverse reaction of the type listed.



Adverse Reactions Associated with Discontinuation of Treatment in Short-Term, Placebo-Controlled Trials:



Schizophrenia: 
There were no adverse reactions leading to discontinuation that occurred at an incidence of ≥2% for quetiapine extended-release tablets in schizophrenia trials.



Bipolar I Disorder, Manic or Mixed Episodes:
There were no adverse reactions leading to discontinuation that occurred at an incidence of ≥2% for quetiapine extended-release tablets in the bipolar mania trial.



Bipolar Disorder, Depressive Episode
: In a single clinical trial in patients with bipolar depression, 14% (19/137) of patients on quetiapine extended-release tablets discontinued due to an adverse reaction compared to 4% (5/140) on placebo. Somnolence   was the only adverse reaction leading to discontinuation that occurred at an incidence of ≥2% in quetiapine extended-release tablets in the bipolar depression trial.



MDD, Adjunctive Therapy:
  In adjunctive therapy clinical trials in patients with MDD, 12.1% (76/627) of patients on quetiapine extended-release tablets discontinued due to adverse reaction compared to 1.9% (6/309) on placebo. Somnolence was the only adverse reaction leading to discontinuation that occurred at an incidence of ≥2% in quetiapine extended-release tablets in MDD trials.



Commonly Observed Adverse Reactions in Short-Term, Placebo-Controlled Trials:



In short-term placebo-controlled studies for schizophrenia the most commonly observed adverse reactions associated with the use of quetiapine extended-release tablets (incidence of 5% or greater) and observed at a rate on quetiapine extended-release tablets at least twice that of placebo were somnolence (25%), dry mouth (12%), dizziness (10%), and dyspepsia (5%).



Adverse Reactions Occurring at an Incidence of 2% or More Among Quetiapine Extended-Release Tablets Treated Patients in Short-Term, Placebo-Controlled Trials.



Table 12 enumerates the incidence, rounded to the nearest percent, of adverse reactions that occurred during acute therapy of schizophrenia (up to 6 weeks) in 2% or more in patients treated with quetiapine extended-release tablets (doses ranging from 300 to 800 mg/day) where the incidence in patients treated with quetiapine extended-release tablets was greater than the incidence in placebo-treated patients.

Table 12:  Adverse Reactions in 6-Week Placebo-Controlled Clinical Trials for the Treatment of Schizophrenia
1. Somnolence combines adverse reaction terms somnolence and sedation.

2. Extrapyramidal symptoms include the terms: cogwheel rigidity, drooling, dyskinesia dystonia, extrapyramidal disorder, hypertonia, movement disorder, muscle rigidity, parkinsonism, parkinsonian gait, and tardive dyskinesia.

Preferred Term

Quetiapine

 Extended-Release

 Tablets

(N=951)

Placebo

(N=319)

Somnolence 1

25%

10%

Dry Mouth

12%

1%

Dizziness

10%

4%

Extrapyramidal Symptoms 2

8%

5%

Orthostatic Hypotension

7%

5%

Constipation

6%

5%

Dyspepsia

5%

2%

Heart Rate Increased

4%

1%

Tachycardia

3%

1%

Fatigue

3%

2%

Hypotension

3%

1%

Vision Blurred

2%

1%

Toothache

2%

0%

Increased Appetite

2%

0%

Muscle Spasms

2%

1%

Tremor

2%

1%

Akathisia

2%

1%

Anxiety

2%

1%

Schizophrenia

2%

1%

Restlessness

2%

1%

In a 3-week, placebo-controlled study in bipolar mania the most commonly observed adverse reactions associated with the use of quetiapine extended-release tablets (incidence of 5% or greater) and observed at a rate on quetiapine extended-release tablets at least twice that of placebo were somnolence (50%), dry mouth (34%), dizziness (10%), constipation (10%), weight gain (7%), dysarthria (5%), and nasal congestion (5%).



Table 13 enumerates the incidence, rounded to the nearest percent, of adverse reactions that occurred during acute therapy of bipolar mania (up to 3 weeks) in 2% or more of patients treated with quetiapine extended-release tablets (doses ranging from 400 to 800 mg/day) where the incidence in patients treated with quetiapine extended-release tablets was greater than the incidence in placebo-treated patients.

Table 13: Adverse Reactions in a 3-Week Placebo-Controlled Clinical Trial for the Treatment of Bipolar Mania
1. Somnolence combines adverse reaction terms somnolence and sedation.

2. Extrapyramidal symptoms include the terms: muscle spasms, akathisia, cogwheel rigidity, dystonia, extrapyramidal disorder, restlessness, and tremor.

Preferred Term

Quetiapine

 Extended-Release

Tablets

 (N=151)

Placebo

(N=160)

Somnolence 1

50%

12%

Dry Mouth

34%

7%

Dizziness

10%

4%

Constipation

10%

3%

Dyspepsia

7%

4%

Fatigue

7%

4%

Weight Gain

7%

1%

Extrapyramidal Symptoms 2

7%

4%

Nasal Congestion

5%

1%

Dysarthria

5%

0%

Increased Appetite

4%

2%

Back Pain

3%

2%

Toothache

3%

1%

Heart Rate Increased

3%

0%

Abnormal Dreams

3%

0%

Orthostatic Hypotension

3%

0%

Tachycardia

2%

1%

Vision Blurred

2%

1%

Sluggishness

2%

1%

Lethargy

2%

1%

In the 8-week placebo-controlled bipolar depression study in adults, the most commonly observed adverse reactions associated with the use of quetiapine extended-release tablets (incidence of 5% or greater) and observed at a rate on quetiapine extended-release tablets at least twice that of placebo were somnolence (52%), dry mouth (37%), increased appetite (12%), weight gain (7%), dyspepsia (7%), and fatigue (6%).



Table 14 enumerates the incidence, rounded to the nearest percent, of adverse reactions that occurred during acute therapy of bipolar depression (up to 8 weeks) in 2% or more of adult patients treated with quetiapine extended-release tablets 300 mg/day where the incidence in patients treated with quetiapine extended-release tablets was greater than the incidence in placebo-treated patients.

Table 14: Adverse Reactions in an 8-Week Placebo-Controlled Clinical Trial for the Treatment of Bipolar Depression
1. Somnolence combines adverse reaction terms somnolence and sedation.

2. Extrapyramidal symptoms include the terms: dystonia, extrapyramidal disorder, hypertonia, and tremor.

Preferred Term

Quetiapine

 Extended-Release

 Tablets

(N=137)

Placebo

(N=140)

Somnolence 1

52%

13%

Dry Mouth

37%

7%

Dizziness

13%

11%

Increased Appetite

12%

6%

Constipation

8%

6%

Dyspepsia

7%

1%

Weight Gain

7%

1%

Fatigue

6%

2%

Irritability

4%

3%

Viral Gastroenteritis

4%

1%

Arthralgia

4%

1%

Extrapyramidal Symptoms 2

4%

1%

Paraesthesia

3%

2%

Back Pain

3%

1%

Muscle Spasms

3%

1%

Toothache

3%

0%

Abnormal Dreams

3%

0%

Ear Pain

2%

1%

Seasonal Allergy

2%

1%

Sinusitis

2%

1%

Decreased Appetite

2%

1%

Myalgia

2%

1%

Disturbance in Attention

2%

1%

Migraine

2%

1%

Restless Legs Syndrome

2%

1%

Anxiety

2%

1%

Sinus Headache

2%

1%

Libido Decreased

2%

1%

Pollakiuria

2%

1%

Sinus Congestion

2%

1%

Hyperhidrosis

2%

1%

Orthostatic Hypotension

2%

1%

Urinary Tract Infection

2%

0%

Heart Rate Increased

2%

0%

Neck Pain

2%

0%

Dysarthria

2%

0%

Akathisia

2%

0%

Hypersomnia

2%

0%

Mental Impairment

2%

0%

Confusional State

2%

0%

Disorientation

2%

0%

In the 6-week placebo-controlled fixed dose adjunctive therapy clinical trials, for MDD, the most commonly observed adverse reactions associated with the use of quetiapine extended-release tablets (incidence of 5% or greater and observed at a rate on quetiapine extended-release tablets and at least twice that of placebo) were somnolence (150 mg: 37%; 300 mg: 43%), dry mouth (150 mg: 27%; 300 mg: 40%), fatigue (150 mg: 14%; 300 mg: 11%), constipation (300 mg only: 11%), and weight increased (300 mg only: 5%).



Table 15 enumerates the incidence, rounded to the nearest percent, of adverse reactions that occurred during short-term adjunctive therapy of MDD (up to 6 weeks) in 2% or more of patients treated with quetiapine extended-release tablets (at doses of either 150 mg or 300 mg/day) where the incidence in patients treated with quetiapine extended-release tablets was greater than the incidence in placebo-treated patients.

Table 15: Adverse Reactions in Placebo-Controlled Adjunctive Therapy Clinical Trials for the Treatment of MDD by Fixed Dose
1. Somnolence combines the adverse reaction terms somnolence and sedation.

2. Extrapyramidal symptoms include the terms: cogwheel rigidity, drooling, dyskinesia, extrapyramidal disorder, hypertonia, hypokinesia, psychomotor hyperactivity, restlessness, and tremor.

Preferred Term

Quetiapine

 Extended-Release

 Tablets

150 mg

(N=315)

Quetiapine

 Extended-Release

 Tablets

300 mg

(N=312)

Placebo

(N=309)

Somnolence 1

37%

43%

9%

Dry Mouth

27%

40%

8%

Fatigue

14%

11%

4%

Dizziness

11%

12%

7%

Nausea

7%

8%

7%

Constipation

6%

11%

4%

Irritability

4%

2%

3%

Extrapyramidal Symptoms 2

4%

6%

4%

Vomiting

3%

1%

1%

Upper Respiratory Tract Infection

3%

2%

2%

Weight Increased

3%

5%

0%

Increased Appetite

3%

5%

3%

Back Pain

3%

3%

1%

Vertigo

2%

2%

1%

Vision Blurred

2%

1%

1%

Dyspepsia

2%

3%

2%

Influenza

2%

1%

0%

Fall

2%

0%

1%

Muscle Spasms

2%

1%

1%

Lethargy

2%

1%

1%

Akathisia

2%

2%

1%

Abnormal Dreams

2%

2%

1%

Anxiety

2%

2%

1%

Depression

2%

1%

1%

Adverse Reactions in clinical trials with quetiapine and not listed elsewhere in the label



Pyrexia, nightmares, peripheral edema, dyspnea, palpitations, rhinitis, eosinophilia, hypersensitivity, elevations in gamma-GT levels, and elevations in serum creatine phosphokinase (not associated with NMS), somnambulism (and other related events), hypothermia, decreased platelets, galactorrhea, bradycardia (which may occur at or near initiation of treatment and be associated with hypotension and/or syncope), and priapism.



Extrapyramidal Symptoms (EPS):



Dystonia



Class Effect
: Symptoms of dystonia, prolonged abnormal contractions of muscle groups, may occur in susceptible individuals during the first few days of treatment. Dystonic symptoms include: spasm of the neck muscles, sometimes progressing to tightness of the throat, swallowing difficulty, difficulty breathing, and/or protrusion of the tongue. While these symptoms can occur at low doses, they occur more frequently and with greater severity with high potency and at higher doses of first generation antipsychotic drugs. An elevated risk of acute dystonia is observed in males and younger age groups.



Four methods were used to measure EPS: (1) Simpson-Angus total score (mean change from baseline) which evaluates Parkinsonism and akathisia, (2) Barnes Akathisia Rating Scale (BARS) Global Assessment Score, (3) incidence of spontaneous complaints of EPS (akathisia, akinesia, cogwheel rigidity, extrapyramidal syndrome, hypertonia, hypokinesia, neck rigidity, and tremor), and (4) use of anticholinergic medications to treat EPS.



Adults
: In placebo-controlled clinical trials with quetiapine, utilizing doses up to 800 mg per day, the incidence of any adverse reactions related to EPS ranged from 8% to 11% for quetiapine and 4% to 11% for placebo.



In three-arm placebo-controlled clinical trials for the treatment of schizophrenia, utilizing doses between 300 mg and 800 mg of quetiapine extended-release tablets, the incidence of any adverse reactions related to EPS was 8% for quetiapine extended-release tablets and 8% for Seroquel (without evidence of being dose related), and 5% in the placebo group. In these studies, the incidence of the individual adverse reactions (akathisia, extrapyramidal disorder, tremor, dyskinesia, dystonia, restlessness, and muscle rigidity) was generally low and did not exceed 3% for any treatment group.



At the end of treatment, the mean change from baseline in SAS total score and BARS Global Assessment score was similar across the treatment groups. The use of concomitant anticholinergic medications was infrequent and similar across the treatment groups. The incidence of extrapyramidal symptoms was consistent with that seen with the profile of Seroquel in schizophrenia patients.



In Tables 16 to 19, dystonic event included nuchal rigidity, hypertonia, dystonia, muscle rigidity, oculogyration; parkinsonism included cogwheel rigidity, tremor, drooling, hypokinesia; akathisia included akathisia, psychomotor agitation; dyskinetic event included tardive dyskinesia, dyskinesia, choreoathetosis; and other extrapyramidal event included restlessness, extrapyramidal disorder, movement disorder.



Table 16: Adverse Reactions Associated with Extrapyramidal Symptoms in Placebo-Controlled Clinical Trials for Schizophrenia
Preferred Term

Quetiapine

Extended-

Release

Tablets

300 mg/day

(N=91)

Quetiapine

Extended-

Release

Tablets

400 mg/day

(N=227)

Quetiapine

Extended-

Release

Tablets

600 mg/day

(N=310)

Quetiapine

Extended-

Release

 Tablets

800 mg/day

(N=323)

All Doses

(N=951)

Placebo

(N=319)

n

%

n

%

n

%

n

%

n

%

n

%

Dystonic event

3

3.3

0

0

4

1.3

1

0.3

8

0.8

0

0

Parkinsonism

1

1.1

3

1.3

11

3.6

7

2.2

22

2.3

4

1.3

Akathisia

0

0

3

1.3

7

2.3

7

2.2

17

1.8

4

1.3

Dyskinetic event

2

2.2

1

0.4

1

0.3

1

0.3

5

0.5

2

0.6

Other extrapyramidal event

3

3.3

4

1.8

7

2.3

12

3.7

26

2.7

7

2.2

In a placebo-controlled clinical trial for the treatment of bipolar mania, utilizing the dose range of 400 to 800 mg/day of quetiapine extended-release tablets, the incidence of any adverse reactions related to EPS was 6.6% for quetiapine extended-release tablets and 3.8% in the placebo group. In this study, the incidence of the individual adverse reactions (akathisia, extrapyramidal disorder, tremor, dystonia, restlessness, and cogwheel rigidity) did not exceed 2% for any adverse reaction.

Table 17: Adverse Reactions Associated with Extrapyramidal Symptoms in a Placebo-Controlled Clinical Trial for Bipolar Mania
1. There were no adverse reactions with the preferred term of dyskinetic event.
Preferred Term 1

Quetiapine

Extended-Release Tablets

(N=151)

Placebo

(N=160)

n

%

n

%

Dystonic event

1

0.7

0

0

Parkinsonism

4

2.7

3

1.9

Akathisia

2

1.3

1

0.6

Other extrapyramidal event

3

2

2

1.3

In a placebo-controlled clinical trial for the treatment of bipolar depression utilizing 300 mg of quetiapine extended-release tablets, the incidence of any adverse reactions related to EPS was 4.4% for quetiapine extended-release tablets and 0.7% in the placebo group. In this study, the incidence of the individual adverse reactions (akathisia, extrapyramidal disorder, tremor, dystonia, hypertonia) did not exceed 1.5% for any individual adverse reaction.

Table 18: Adverse Reactions Associated with Extrapyramidal Symptoms in a Placebo-Controlled Clinical Trial for Bipolar Depression
1. There were no adverse reactions with the preferred term of dyskinetic event.
Preferred Term 1

Quetiapine

Extended-Release Tablets

(N=137)

Placebo

(N=140)

n

%

n

%

Dystonic event

2

1.5

0

0

Parkinsonism

1

0.7

1

0.7

Akathisia

2

1.5

0

0

Other extrapyramidal event

1

0.7

0

0

In two placebo-controlled short-term adjunctive therapy clinical trials for the treatment of MDD utilizing between 150 mg and 300 mg of quetiapine extended-release tablets, the incidence of any adverse reactions related to EPS was 5.1% for quetiapine extended-release tablets and 4.2% for the placebo group.



Table 19 shows the percentage of patients experiencing adverse reactions associated with EPS in adjunct clinical trials for MDD by dose:

Table 19: Adverse Reactions Associated with EPS in MDD Trials by Dose, Adjunctive Therapy Clinical Trials (6 weeks duration)
Preferred Term

Quetiapine

Extended-

Release

Tablets

150 mg/day

(N=315)

Quetiapine

Extended-

Release

Tablets

300 mg/day

(N=312)

All Doses

(N=627)

Placebo

(N=309)

n

%

n

%

n

%

n

%

Dystonic event

1

0.3

0

0

1

0.2

0

0

Parkinsonism

3

1

4

1.3

7

1.1

5

1.6

Akathisia

5

1.6

8

2.6

13

2.1

3

1

Dyskinetic event

0

0

1

0.3

1

0.2

0

0

Other extrapyramidal event

5

1.6

7

2.2

12

1.9

5

1.6

Children and Adolescents



The information below is derived from a clinical trial database for Seroquel consisting of over 1000 pediatric patients. This database includes 677 adolescents (13 to 17 years old) exposed to Seroquel for the treatment of schizophrenia and 393 children and adolescents (10 to 17 years old) exposed to Seroquel for the treatment of acute bipolar mania.



Adverse Reactions Associated with Discontinuation of Treatment in Short-Term, Placebo-Controlled Trials:



Schizophrenia: The incidence of discontinuation due to adverse reactions for quetiapine-treated and placebo-treated patients was 8.2% and 2.7%, respectively. The adverse reaction leading to discontinuation in 2% or more of patients on quetiapine and at a greater incidence than placebo was somnolence (2.7% and 0% for placebo).



Bipolar I Mania: The incidence of discontinuation due to adverse reactions for quetiapine-treated and placebo-treated patients was 11.4% and 4.4%, respectively. The adverse reactions leading to discontinuation in 2% or more of patients on Seroquel and at a greater incidence than placebo were somnolence (4.1% vs. 1.1%) and fatigue (2.1% vs. 0%).



Commonly Observed Adverse Reactions in Short-Term, Placebo-Controlled Trials:



In an acute (8-week) quetiapine extended-release tablets trial in children and adolescents (10 to 17 years of age) with bipolar depression, in which efficacy was not established, the most commonly observed adverse reactions associated with the use of quetiapine extended-release tablets (incidence of 5% or greater and at least twice that for placebo) were: dizziness (7%), diarrhea (5%), fatigue (5%) and nausea (5%).



In therapy for schizophrenia (up to 6 weeks), the most commonly observed adverse reactions associated with the use of quetiapine in adolescents (incidence of 5% or greater and quetiapine incidence at least twice that for placebo) were somnolence (34%), dizziness (12%), dry mouth (7%), tachycardia (7%).



In bipolar mania therapy (up to 3 weeks) the most commonly observed adverse reactions associated with the use of quetiapine in children and adolescents (incidence of 5% or greater and quetiapine incidence at least twice that for placebo) were somnolence (53%), dizziness (18%), fatigue (11%), increased appetite (9%), nausea (8%), vomiting (8%), tachycardia (7%), dry mouth (7%), and weight increased (6%).



Adverse Reactions Occurring at an Incidence of >2% among Seroquel Treated Patients in Short-Term, Placebo-Controlled Trials



Schizophrenia (Adolescents, 13 to 17 years old)



The following findings were based on a 6-week placebo-controlled trial in which quetiapine was administered in either doses of 400 or 800 mg/day.



Table 20 enumerates the incidence, rounded to the nearest percent, of adverse reactions that occurred during therapy (up to 6 weeks) of schizophrenia in 2% or more of patients treated with Seroquel (doses of 400 or 800 mg/day) where the incidence in patients treated with Seroquel was greater than the incidence in placebo-treated patients.



Adverse reactions that were potentially dose-related with higher frequency in the 800 mg group compared to the 400 mg group included dizziness (8% vs. 15%), dry mouth (4% vs. 10%), and tachycardia (6% vs. 11%).

Table 20: Adverse Reactions in a 6-­Week Placebo-Controlled Clinical Trial for the Treatment of Schizophrenia in Adolescent Patients
1. Somnolence combines adverse reaction terms somnolence and sedation.

2. Tachycardia combines adverse reaction terms tachycardia and sinus tachycardia.

Preferred Term

Seroquel

400 mg

(N=73)

Seroquel

800 mg

(N=74)

Placebo

(N=75)

Somnolence 1

33%

35%

11%

Dizziness

8%

15%

5%

Dry Mouth

4%

10%

1%

Tachycardia 2

6%

11%

0%

Irritability

3%

5%

0%

Arthralgia

1%

3%

0%

Asthenia

1%

3%

1%

Back Pain

1%

3%

0%

Dyspnea

0%

3%

0%

Abdominal Pain

3%

1%

0%

Anorexia

3%

1%

0%

Tooth Abscess

3%

1%

0%

Dyskinesia

3%

0%

0%

Epistaxis

3%

0%

1%

Muscle Rigidity

3%

0%

0%

Bipolar I Mania (Children and Adolescents 10 to 17 years old)



The following findings were based on a 3-week placebo-controlled trial in which quetiapine was administered in either doses of 400 or 600 mg/day.



Table 21 enumerates the incidence, rounded to the nearest percent, of adverse reactions that occurred during therapy (up to 3 weeks) of bipolar mania in 2% or more of patients treated with Seroquel (doses of 400 or 600 mg/day) where the incidence in patients treated with Seroquel was greater than the incidence in placebo-treated patients.



Adverse reactions that were potentially dose-related with higher frequency in the 600 mg group compared to the 400 mg group included somnolence (50% vs. 57%), nausea (6% vs. 10%), and tachycardia (6% vs. 9%).

Table 21: Adverse Reactions in a 3-Week Placebo-Controlled Clinical Trial for the Treatment of Bipolar Mania in Children and Adolescent Patients
1. Somnolence combines adverse reaction terms somnolence and sedation.

2. Tachycardia combines adverse reaction terms tachycardia and sinus tachycardia.

Preferred Term

Seroquel

400 mg

(N=95)

Seroquel

600 mg

(N=98)

Placebo

(N=90)

Somnolence 1

50%

57%

14%

Dizziness

19%

17%

2%

Nausea

6%

10%

4%

Fatigue

14%

9%

4%

Increased Appetite

10%

9%

1%

Tachycardia 2

6%

9%

0%

Dry Mouth

7%

7%

0%

Vomiting

8%

7%

3%

Nasal Congestion

3%

6%

2%

Weight Increased

6%

6%

0%

Irritability

3%

5%

1%

Pyrexia

1%

4%

1%

Aggression

1%

3%

0%

Musculoskeletal Stiffness

1%

3%

1%

Accidental Overdose

0%

2%

0%

Acne

3%

2%

0%

Arthralgia

4%

2%

1%

Lethargy

2%

2%

0%

Pallor

1%

2%

0%

Stomach Discomfort

4%

2%

1%

Syncope

2%

2%

0%

Vision Blurred

3%

2%

0%

Constipation

4%

2%

0%

Ear Pain

2%

0%

0%

Paresthesia

2%

0%

0%

Sinus Congestion

3%

0%

0%

Thirst

2%

0%

0%

Extrapyramidal Symptoms:



Safety and effectiveness of quetiapine extended-release tablets are supported by studies of Seroquel in children and adolescent patients 10 to 17 years of age [see Clinical Studies (14.1 and 14.2)].



In a short-term placebo-controlled quetiapine extended-release tablets monotherapy trial in children and adolescent patients (10 to 17 years of age) with bipolar depression (8-week duration), in which efficacy was not established, the aggregated incidence of extrapyramidal symptoms was 1.1% (1/92) for quetiapine extended-release tablets and 0% (0/100) for placebo.



In a short-term placebo-controlled Seroquel monotherapy trial in adolescent patients (13 to 17 years of age) with schizophrenia (6-week duration), the aggregated incidence of extrapyramidal symptoms was 12.9% (19/147) for Seroquel and 5.3% (4/75) for placebo, though the incidence of the individual adverse reactions (e.g., akathisia, tremor, extrapyramidal disorder, hypokinesia, restlessness, psychomotor hyperactivity, muscle rigidity, dyskinesia) did not exceed 4.1% in any treatment group. In a short-term placebo-controlled Seroquel monotherapy trial in children and adolescent patients (10 to 17 years of age) with bipolar mania (3-week duration), the aggregated incidence of extrapyramidal symptoms was 3.6% (7/193) for Seroquel and 1.1% (1/90) for placebo.



In Tables 22 and 23, dystonic events included nuchal rigidity, hypertonia, dystonia, and muscle rigidity; parkinsonism included cogwheel rigidity and tremor; akathisia included akathisia only; dyskinetic event included tardive dyskinesia, dyskinesia and choreoathetosis; and other extrapyramidal event included restlessness and extrapyramidal disorder.



Table 22 below presents a listing of patients with adverse reactions associated with EPS in the short-term placebo-controlled Seroquel monotherapy trial in adolescent patients with schizophrenia (6-week duration).

Table 22: Adverse Reactions Associated with Extrapyramidal Symptoms in the Placebo-Controlled Trial in Adolescent Patients with Schizophrenia (6-week duration)
Preferred Term

Seroquel

400 mg/day

(N=73)

Seroquel

800 mg/day

(N=74)

All

Seroquel

(N=147)

Placebo

(N=75)

n

%

n

%

n

%

n

%

 Dystonic Event

2

2.7

0

0

2

1.4

0

0

 Parkinsonism

4

5.5

4

5.4

8

5.4

2

2.7

 Akathisia

3

4.1

4

5.4

7

4.8

3

4

 Dyskinetic Event

2

2.7

0

0

2

1.4

0

0

 Other Extrapyramidal Event

2

2.7

2

2.7

4

2.7

0

0

Table 23 below presents a listing of patients with adverse reactions associated with EPS in a short-term placebo-controlled monotherapy trial in children and adolescent patients with bipolar mania (3-week duration).

Table 23: Adverse Reactions Associated with Extrapyramidal Symptoms in a Placebo- Controlled Trial in Children and Adolescent Patients with Bipolar I Mania (3-week duration)
1. There were no adverse reactions with the preferred term of dystonic or dyskinetic events.

Preferred Term 1

Seroquel

400 mg/day

(N=95)

Seroquel

600 mg/day

(N=98)

All

Seroquel

(N=193)

Placebo

(N=90)

n

%

n

%

n

%

n

%

Parkinsonism

2

2.1

1

1

3

1.6

1

1.1

Akathisia

1

1

1

1

2

1

0

0

Other Extrapyramidal Event

1

1.1

1

1

2

1

0

0

Laboratory, ECG and vital sign changes observed in clinical studies



Laboratory Changes:



Neutrophil Counts



Adults:  In three-arm quetiapine extended-release tablets placebo-controlled monotherapy clinical trials, among patients with a baseline neutrophil count ≥1.5 x 109/L, the incidence of at least one occurrence of neutrophil count <1.5 x 109/L was 1.5% in patients treated with quetiapine extended-release tablets and 1.5% for Seroquel, compared to 0.8% in placebo-treated patients.



In placebo-controlled monotherapy clinical trials involving 3368 patients on quetiapine and 1515 on placebo, the incidence of at least one occurrence of neutrophil count <1 x 109/L among patients with a normal baseline neutrophil count and at least one available follow up laboratory measurement was 0.3% (10/2967) in patients treated with quetiapine, compared to 0.1% (2/1349) in patients treated with placebo [see Warnings and Precautions (5.10)].



Transaminase Elevations



Adults
: Asymptomatic, transient and reversible elevations in serum transaminases (primarily ALT) have been reported. The proportions of adult patients with transaminase elevations of >3 times the upper limits of the normal reference range in a pool of placebo-controlled trials ranged between 1% and 2% for quetiapine extended-release tablets compared to 2% for placebo. In schizophrenia trials in adults, the proportions of patients with transaminase elevations of >3 times the upper limits of the normal reference range in a pool of 3- to 6-week placebo-controlled trials were approximately 6% (29/483) for Seroquel compared to 1% (3/194) for placebo. These hepatic enzyme elevations usually occurred within the first 3 weeks of drug treatment and promptly returned to pre-study levels with ongoing treatment with quetiapine.



Decreased Hemoglobin



Adults
: In short-term placebo-controlled trials, decreases in hemoglobin to ≤13 g/dL males, ≤12 g/dL females on at least one occasion occurred in 8.3% (594/7155) of quetiapine-treated patients compared to 6.2% (219/3536) of patients treated with placebo. In a database of controlled and uncontrolled clinical trials, decreases in hemoglobin to ≤13 g/dL males, ≤12 g/dL females on at least one occasion occurred in 11% (2277/20729) of quetiapine-treated patients.



Interference with Urine Drug Screens



There have been literature reports suggesting false positive results in urine enzyme immunoassays for methadone and tricyclic antidepressants in patients who have taken quetiapine. Caution should be exercised in the interpretation of positive urine drug screen results for these drugs, and confirmation by alternative analytical technique (e.g., chromatographic methods) should be considered.



ECG Changes:



Adults:  2.5% of quetiapine extended-release tablets patients, and 2.3% of placebo patients, had tachycardia (>120 bpm) at any time during the trials. Quetiapine extended-release tablets were associated with a mean increase in heart rate, assessed by ECG, of 6.3 beats per minute compared to a mean increase of 0.4 beats per minute for placebo. This is consistent with the rates for Seroquel. The incidence of adverse reactions of tachycardia was 1.9% for quetiapine extended-release tablets compared to 0.5% for placebo. Seroquel use was associated with a mean increase in heart rate, assessed by ECG, of 7 beats per minute compared to a mean increase of 1 beat per minute among placebo patients. The slight tendency for tachycardia may be related to quetiapine’s potential for inducing orthostatic changes [see Warnings and Precautions (5.7) ].



Children and Adolescents: 
Safety and effectiveness of quetiapine extended-release tablets are supported by studies of Seroquel in children and adolescent patients 10 to 17 years of age [see Clinical Studies (14.1 and 14.2)].



In an acute (8-week) quetiapine extended-release tablets trial in children and adolescents (10 to 17 years of age) with bipolar depression, in which efficacy was not established, increases in heart rate (>110 bpm 10 to 12 years and 13 to 17 years) occurred in 0% of patients receiving quetiapine extended-release tablets and 1.2% of patients receiving placebo. Mean increases in heart rate were 3.4 bpm for quetiapine extended-release tablets, compared to 0.3 bpm in the placebo group [see Warnings and Precautions (5.7)].



In the acute (6-week) Seroquel schizophrenia trial in adolescents (13 to 17 years of age), increases in heart rate (>110 bpm) occurred in 5.2% of patients receiving Seroquel 400 mg and 8.5% of patients receiving Seroquel 800 mg compared to 0% of patients receiving placebo. Mean increases in heart rate were 3.8 bpm and 11.2 bpm for Seroquel 400 mg and 800 mg groups, respectively, compared to a decrease of 3.3 bpm in the placebo group [see Warnings and Precautions (5.7)].



In the acute (3-week) Seroquel bipolar mania trial in children and adolescents (10 to 17 years of age), increases in heart rate (>110 bpm) occurred in 1.1% of patients receiving Seroquel 400 mg and 4.7% of patients receiving Seroquel 600 mg compared to 0% of patients receiving placebo. Mean increases in heart rate were 12.8 bpm and 13.4 bpm for Seroquel 400 mg and 600 mg groups, respectively, compared to a decrease of 1.7 bpm in the placebo group [see Warnings and Precautions (5.7)].

5.17 Body Temperature Regulation

Disruption of the body's ability to reduce core body temperature has been attributed to antipsychotic agents. Appropriate care is advised when prescribing quetiapine extended-release tablets for patients who will be experiencing conditions which may contribute to an elevation in core body temperature, e.g., exercising strenuously, exposure to extreme heat, receiving concomitant medication with anticholinergic activity, or being subject to dehydration.

17 Patient Counseling Information

Advise the patient to read the FDA-approved patient labeling (Medication Guide).



Patients should be advised of the following issues and asked to alert their prescriber if these occur while taking quetiapine extended-release tablets.



Increased Mortality in Elderly Patients with Dementia-Related Psychosis



Patients and caregivers should be advised that elderly patients with dementia-related psychoses treated with atypical antipsychotic drugs are at increased risk of death compared with placebo. Quetiapine extended-release tablets are not approved for elderly patients with dementia-related psychosis [see Warnings and Precautions (5.1)].



Suicidal Thoughts and Behaviors



Patients, their families, and their caregivers should be encouraged to be alert to the emergence of anxiety, agitation, panic attacks, insomnia, irritability, hostility, aggressiveness, impulsivity, akathisia (psychomotor restlessness), hypomania, mania, other unusual changes in behavior, worsening of depression, and suicidal ideation, especially early during antidepressant treatment and when the dose is adjusted up or down. Families and caregivers of patients should be advised to look for the emergence of such symptoms on a day-to-day basis, since changes may be abrupt. Such symptoms should be reported to the patient's prescriber or health professional, especially if they are severe, abrupt in onset, or were not part of the patient's presenting symptoms. Symptoms such as these may be associated with an increased risk for suicidal thinking and behavior and indicate a need for very close monitoring and possibly changes in the medication [see Warnings and Precautions (5.2)].



Neuroleptic Malignant Syndrome (NMS)



Patients should be advised to report to their physician any signs or symptoms that may be related to NMS. These may include muscle stiffness and high fever [see Warnings and Precautions (5.4)].



Hyperglycemia and Diabetes Mellitus



Patients should be aware of the symptoms of hyperglycemia (high blood sugar) and diabetes mellitus. Patients who are diagnosed with diabetes, those with risk factors for diabetes, or those that develop these symptoms during treatment should have their blood glucose monitored at the beginning of and periodically during treatment [see Warnings and Precautions (5.5)].



Hyperlipidemia



Patients should be advised that elevations in total cholesterol, LDL-cholesterol and triglycerides and decreases in HDL-cholesterol may occur. Patients should have their lipid profile monitored at the beginning of and periodically during treatment [see Warnings and Precautions (5.5)].



Weight Gain



Patients should be advised that they may experience weight gain. Patients should have their weight monitored regularly [see Warnings and Precautions (5.5)].



Orthostatic Hypotension



Patients should be advised of the risk of orthostatic hypotension (symptoms include feeling dizzy or lightheaded upon standing, which may lead to falls) especially during the period of initial dose titration, and also at times of re-initiating treatment or increases in dose [see Warnings and Precautions (5.7)].



Increased Blood Pressure in Children and Adolescents



Children and adolescent patients should have their blood pressure measured at the beginning of, and periodically during, treatment [ see Warnings and Precautions (5.9)].



Leukopenia/Neutropenia



Patients with a pre-existing low WBC or a history of drug induced leukopenia/neutropenia should be advised that they should have their CBC monitored while taking quetiapine extended-release tablets. Patients should be advised to talk to their doctor as soon as possible if they have a fever, flu-like symptoms, sore throat, or any other infection as this could be a result of a very low WBC, which may require quetiapine extended-release tablets to be stopped and/or treatment to be given [see Warnings and Precautions (5.10)].



Interference with Cognitive and Motor Performance



Patients should be advised of the risk of somnolence or sedation (which may lead to falls), especially during the period of initial dose titration. Patients should be cautioned about performing any activity requiring mental alertness, such as operating a motor vehicle (including automobiles) or operating machinery, until they are reasonably certain quetiapine therapy does not affect them adversely [see Warnings and Precautions (5.16)].



Heat Exposure and Dehydration



Patients should be advised regarding appropriate care in avoiding overheating and dehydration [see Warnings and Precautions (5.17)].



Concomitant Medication



As with other medications, patients should be advised to notify their physicians if they are taking, or plan to take, any prescription or over-the­-counter drugs [see Drug Interactions (7.1)].





Pregnancy

Advise pregnant women to notify their healthcare provider if they become pregnant or intend to become pregnant during treatment with quetiapine extended-release tablets. Advise patients that quetiapine extended-release tablets may cause extrapyramidal and/or withdrawal symptoms (agitation, hypertonia, hypotonia, tremor, somnolence, respiratory distress, and feeding disorder) in a neonate. Advise patients that there is a pregnancy registry that monitors pregnancy outcomes in women exposed to quetiapine extended-release tablets during pregnancy [see Use in Specific Populations (8.1)].

Infertility

Advise females of reproductive potential that quetiapine extended-release tablets may impair fertility due to an increase in serum prolactin levels. The effects on fertility are reversible [see Use in Specific Populations (8.3)].



Need for Comprehensive Treatment Program



Quetiapine extended-release tablets are indicated as an integral part of a total treatment program for adolescents with schizophrenia and pediatric bipolar disorder that may include other measures (psychological, educational, and social). Effectiveness and safety of quetiapine extended-release tablets have not been established in pediatric patients less than 13 years of age for schizophrenia or less than 10 years of age for bipolar mania. Appropriate educational placement is essential and psychosocial intervention is often helpful. The decision to prescribe atypical antipsychotic medication will depend upon the physician’s assessment of the chronicity and severity of the patient’s symptoms [see Indications and Usage (1.4)].



Brands listed are the trademarks of their respective owners.



Dispense with Medication Guide available at: www.aurobindousa.com/medication-guides



Distributed by:

Aurobindo Pharma USA, Inc.

279 Princeton-Hightstown Road

East Windsor, NJ 08520



Manufactured by:

Aurobindo Pharma Limited

Hyderabad–500 032, India



Revised: 08/2025



Dispense with Medication Guide available at: www.aurobindousa.com/medication-guides

2.9 Switching From Antipsychotics

There are no systematically collected data to specifically address switching patients from other antipsychotics to quetiapine extended-release tablets, or concerning concomitant administration with other antipsychotics. While immediate discontinuation of the previous antipsychotic treatment may be acceptable for some patients, more gradual discontinuation may be most appropriate for others. In all cases, the period of overlapping antipsychotic administration should be minimized. When switching patients from depot antipsychotics, if medically appropriate, initiate quetiapine extended-release tablets therapy in place of the next scheduled injection. The need for continuing existing extrapyramidal syndrome medication should be re-evaluated periodically.

16 How Supplied/storage and Handling

Quetiapine Extended-Release Tablets, USP 50 mg are peach, film-coated, capsule shaped, biconvex, tablet debossed with “Z45” on one side and plain on the other side.



        Bottles of 60               NDC 65862-873-60

        Bottles of 100             NDC 65862-873-01

        Bottles of 500             NDC 65862-873-05



Quetiapine Extended-Release Tablets, USP 150 mg
are white, film-coated, capsule shaped, biconvex, tablet debossed with “Z46” on one side and plain on the other side.



        Bottles of 60               NDC 65862-874-60

        Bottles of 100             NDC 65862-874-01

        Bottles of 500             NDC 65862-874-05



Quetiapine Extended-Release Tablets, USP 200 mg
are yellow, film-coated, capsule shaped, biconvex, tablet debossed with “Z47” on one side and plain on the other side.



        Bottles of 60               NDC 65862-875-60

        Bottles of 100             NDC 65862-875-01

        Bottles of 500             NDC 65862-875-05



Quetiapine Extended-Release Tablets, USP 300 mg
are pale yellow, film-coated, capsule shaped, biconvex, tablet debossed with “Z48” on one side and plain on the other side.



        Bottles of 60               NDC 65862-876-60

        Bottles of 100             NDC 65862-876-01

        Bottles of 500             NDC 65862-876-05



Quetiapine Extended-Release Tablets, USP 400 mg
are white, film-coated, capsule shaped, biconvex, tablet debossed with “Z49” on one side and plain on the other side.



        Bottles of 60               NDC 65862-877-60

        Bottles of 100             NDC 65862-877-01

        Bottles of 500             NDC 65862-877-05



Store quetiapine extended-release tablets, USP at 20o to 25ºC (68o to 77ºF) [see USP Controlled Room Temperature].

7.1 Effect of Other Drugs On Quetiapine

The risks of using quetiapine extended-release tablets in combination with other drugs have not been extensively evaluated in systematic studies. Given the primary CNS effects of quetiapine extended-release tablets, caution should be used when they are taken in combination with other centrally acting drugs. Quetiapine potentiated the cognitive and motor effects of alcohol in a clinical trial in subjects with selected psychotic disorders, and alcoholic beverages should be limited while taking quetiapine.



Quetiapine exposure is increased by the prototype CYP3A4 inhibitors (e.g., ketoconazole, itraconazole, indinavir, ritonavir, nefazodone, etc.) and decreased by the prototype of CYP3A4 inducers (e.g., phenytoin, carbamazepine, rifampin, avasimibe, St. John’s wort etc.). Dose adjustment of quetiapine will be necessary if it is co-administered with potent CYP3A4 inducers or inhibitors.



CYP3A4 inhibitors:



Coadministration of ketoconazole, a potent inhibitor of cytochrome CYP3A4, resulted in significant increase in quetiapine exposure. The dose should be reduced to one-sixth of the original dose in patients coadministered with a strong CYP3A4 inhibitor [see Dosage and Administration (2.5) and Clinical Pharmacology (12.3)].



CYP3A4 inducers:



Coadministration of quetiapine and phenytoin, a CYP3A4 inducer increased the mean oral clearance of quetiapine by 5-fold. Increased doses of quetiapine extended-release tablets up to 5-fold may be required to maintain control of symptoms of schizophrenia in patients receiving quetiapine and phenytoin, or other known potent CYP3A4 inducers [see Dosage and Administration (2.6) and Clinical Pharmacology (12.3)]. When the CYP3A4 inducer is discontinued, the dose of quetiapine extended-release tablets should be reduced to the original level within 7 to 14 days [see Dosage and Administration (2.6)].

Anticholinergic Drugs:



Concomitant treatment with quetiapine and other drugs with anticholinergic activity can increase the risk for severe gastrointestinal adverse reactions related to hypomotility. Seroquel should be used with caution in patients receiving medications having anticholinergic (antimuscarinic) effects [see Warnings and Precautions (5.20) ].



The potential effects of several concomitant medications on quetiapine pharmacokinetics were studied [see Clinical Pharmacology (12.3) ].

7.2 Effect of Quetiapine On Other Drugs

Because of its potential for inducing hypotension, quetiapine extended-release tablets may enhance the effects of certain antihypertensive agents.



Quetiapine extended-release tablets may antagonize the effects of levodopa and dopamine agonists.



There are no clinically relevant pharmacokinetic interactions of Seroquel on other drugs based on the CYP pathway. Seroquel and its metabolites are non-inhibitors of major metabolizing CYP’s (1A2, 2C9, 2C19, 2D6, and 3A4).

5.4 Neuroleptic Malignant Syndrome (nms)

A potentially fatal symptom complex sometimes referred to as Neuroleptic Malignant Syndrome (NMS) has been reported in association with administration of antipsychotic drugs, including quetiapine. Rare cases of NMS have been reported with quetiapine. Clinical manifestations of NMS are hyperpyrexia, muscle rigidity, altered mental status, and evidence of autonomic instability (irregular pulse or blood pressure, tachycardia, diaphoresis, and cardiac dysrhythmia). Additional signs may include elevated creatine phosphokinase, myoglobinuria (rhabdomyolysis), and acute renal failure.



The diagnostic evaluation of patients with this syndrome is complicated. In arriving at a diagnosis, it is important to exclude cases where the clinical presentation includes both serious medical illness (e.g., pneumonia, systemic infection, etc.) and untreated or inadequately treated extrapyramidal signs and symptoms (EPS). Other important considerations in the differential diagnosis include central anticholinergic toxicity, heat stroke, drug fever, and primary central nervous system (CNS) pathology.



The management of NMS should include: 1) immediate discontinuation of antipsychotic drugs and other drugs not essential to concurrent therapy; 2) intensive symptomatic treatment and medical monitoring; and 3) treatment of any concomitant serious medical problems for which specific treatments are available. There is no general agreement about specific pharmacological treatment regimens for NMS.



If a patient requires antipsychotic drug treatment after recovery from NMS, the potential reintroduction of drug therapy should be carefully considered. The patient should be carefully monitored since recurrences of NMS have been reported.

2.1 Important Administration Instructions

Quetiapine extended-release tablets should be swallowed whole and not split, chewed, or crushed.



It is recommended that quetiapine extended-release tablets be taken without food or with a light meal (approximately 300 calories) [see Clinical Pharmacology (12.3)].



Quetiapine extended-release tablets should be administered once daily, preferably in the evening.

13.2 Animal Toxicology And/or Pharmacology

Quetiapine caused a dose-related increase in pigment deposition in thyroid gland in rat toxicity studies which were 4 weeks in duration or longer and in a mouse 2-year carcinogenicity study. Doses were 10, 25, 50, 75, 150 and 250 mg/kg in rat studies which are approximately 0.1, 0.3, 0.6, 1, 2 and 3-times the MRHD of 800 mg/day based on mg/m2 body surface area, respectively. Doses in the mouse carcinogenicity study were 20, 75, 250 and 750 mg/kg which are approximately 0.1, 0.5, 1.5, and 4.5 times the MRHD of 800 mg/day based on mg/m2 body surface area. Pigment deposition was shown to be irreversible in rats. The identity of the pigment could not be determined, but was found to be co-localized with quetiapine in thyroid gland follicular epithelial cells. The functional effects and the relevance of this finding to human risk are unknown.



In dogs receiving quetiapine for 6 or 12 months, but not for 1-month, focal triangular cataracts occurred at the junction of posterior sutures in the outer cortex of the lens at a dose of 100 mg/kg, or 4 times the MRHD of 800 mg/day based on mg/m2 body surface area. This finding may be due to inhibition of cholesterol biosynthesis by quetiapine. Quetiapine caused a dose-related reduction in plasma cholesterol levels in repeat-dose dog and monkey studies; however, there was no correlation between plasma cholesterol and the presence of cataracts in individual dogs. The appearance of delta-8-cholestanol in plasma is consistent with inhibition of a late stage in cholesterol biosynthesis in these species. There also was a 25% reduction in cholesterol content of the outer cortex of the lens observed in a special study in quetiapine treated female dogs. Drug-related cataracts have not been seen in any other species; however, in a 1­-year study in monkeys, a striated appearance of the anterior lens surface was detected in 2/7 females at a dose of 225 mg/kg or 5.5 times the MRHD of 800 mg/day based on mg/m2 body surface area.

2.3 Dose Modifications in Elderly Patients

Consideration should be given to a slower rate of dose titration and a lower target dose in the elderly and in patients who are debilitated or who have a predisposition to hypotensive reactions [see Use in Specific Populations (8.58.7), and  Clinical Pharmacology (12.3)]. When indicated, dose escalation should be performed with caution in these patients.



Elderly patients should be started on quetiapine extended-release tablets 50 mg/day and the dose can be increased in increments of 50 mg/day depending on the clinical response and tolerability of the individual patient.

5.20 Anticholinergic (antimuscarinic) Effects

Norquetiapine, an active metabolite of quetiapine, has moderate to strong affinity for several muscarinic receptor subtypes. This contributes to anticholinergic adverse reactions when quetiapine extended-release tablets are used at therapeutic doses, taken concomitantly with other anticholinergic medications, or taken in overdose. Quetiapine extended-release tablets should be used with caution in patients receiving medications having anticholinergic (antimuscarinic) effects [see Drug Interactions (7.1) Overdosage (10.1) , and Clinical Pharmacology (12.1) ].



Constipation was a commonly reported adverse event in patients treated with quetiapine and represents a risk factor for intestinal obstruction. Intestinal obstruction has been reported with quetiapine, including fatal reports in patients who were receiving multiple concomitant medications that decrease intestinal motility.  



Quetiapine extended-release tablets should be used with caution in patients with a current diagnosis or prior history of urinary retention, clinically significant prostatic hypertrophy, or constipation.

8.3 Females and Males of Reproductive Potential

Infertility



Females



Based on the pharmacologic action of quetiapine (D2 antagonism), treatment with quetiapine extended-release tablets may result in an increase in serum prolactin levels, which may lead to a reversible reduction in fertility in females of reproductive potential [see Warnings and Precautions (5.15)].

5.10 Leukopenia, Neutropenia, and Agranulocytosis

In clinical trials and postmarketing experience, events of leukopenia/neutropenia have been reported temporally related to atypical antipsychotic agents, including quetiapine. Agranulocytosis has also been reported.

Agranulocytosis has been reported with quetiapine, including fatal cases and cases in patients without pre-existing risk factors. Neutropenia should be considered in patients presenting with infection, particularly in the absence of obvious predisposing factor(s), or in patients with unexplained fever, and should be managed as clinically appropriate.

Possible risk factors for leukopenia/neutropenia include pre-existing low white cell count (WBC) and history of drug induced leukopenia/neutropenia. Patients with a pre-existing low WBC or a history of drug induced leukopenia/neutropenia should have their complete blood count (CBC) monitored frequently during the first few months of therapy and should discontinue quetiapine extended-release tablets at the first sign of a decline in WBC in absence of other causative factors.



Patients with neutropenia should be carefully monitored for fever or other symptoms or signs of infection and treated promptly if such symptoms or signs occur. Patients with severe neutropenia (absolute neutrophil count <1000/mm3) should discontinue quetiapine extended-release tablets and have their WBC followed until recovery.

5.16 Potential for Cognitive and Motor Impairment

Somnolence was a commonly reported adverse reaction reported in patients treated with quetiapine especially during the 3-day period of initial dose titration. In schizophrenia trials, somnolence was reported in 24.7% (235/951) of patients on quetiapine extended-release tablets compared to 10.3% (33/319) of placebo patients. In a bipolar depression clinical trial, somnolence was reported in 51.8% (71/137) of patients on quetiapine extended-release tablets compared to 12.9% (18/140) of placebo patients. In a clinical trial for bipolar mania, somnolence was reported in 50.3% (76/151) of patients on quetiapine extended-release tablets compared to 11.9% (19/160) of placebo patients. Since quetiapine has the potential to impair judgment, thinking, or motor skills, patients should be cautioned about performing activities requiring mental alertness, such as operating a motor vehicle (including automobiles) or operating hazardous machinery until they are reasonably certain that quetiapine therapy does not affect them adversely. Somnolence may lead to falls.



In short-term adjunctive therapy trials for MDD, somnolence was reported in 40% (252/627) of patients on quetiapine extended-release tablets respectively compared to 9% (27/309) of placebo patients. Somnolence was dose-related in these trials (37% (117/315) and 43% (135/312) for the 150 mg and 300 mg groups, respectively).

2.6 Dose Modifications When Used With Cyp3a4 Inducers

Quetiapine extended-release tablets dose should be increased up to 5-fold of the original dose when used in combination with a chronic treatment (e.g., greater than 7 to 14 days) of a potent CYP3A4 inducer (e.g., phenytoin, carbamazepine, rifampin, avasimibe, St. John’s wort etc.). The dose should be titrated based on the clinical response and tolerance of the individual patient. When the CYP3A4 inducer is discontinued, the dose of quetiapine extended-release tablets should be reduced to the original level within 7 to 14 days [see Clinical Pharmacology (12.3) and Drug Interactions (7.1)].

2.4 Dose Modifications in Hepatically Impaired Patients

Patients with hepatic impairment should be started on quetiapine extended-release tablets 50 mg/day. The dose can be increased daily in increments of 50 mg/day to an effective dose, depending on the clinical response and tolerability of the patient.

2.5 Dose Modifications When Used With Cyp3a4 Inhibitors

Quetiapine extended-release tablets dose should be reduced to one-sixth of original dose when co-medicated with a potent CYP3A4 inhibitor (e.g., ketoconazole, itraconazole, indinavir, ritonavir, nefazodone, etc.). When the CYP3A4 inhibitor is discontinued, the dose of quetiapine extended-release tablets should be increased by 6-fold [see Clinical Pharmacology (12.3) and Drug Interactions (7.1)].

13.1 Carcinogenesis, Mutagenesis, Impairment of Fertility

Carcinogenesis



Carcinogenicity studies were conducted in C57BL mice and Wistar rats. Quetiapine was administered in the diet to mice at doses of 20, 75, 250, and 750 mg/kg and to rats by gavage at doses of 25, 75, and 250 mg/kg for two years. These doses are equivalent to 0.1, 0.5, 1.5, and 4.5 times the MRHD of 800 mg/day based on mg/m2 body surface area (mice) or 0.3, 1, and 3 times the MRHD based on mg/m2 body surface area (rats). There were statistically significant increases in thyroid gland follicular adenomas in male mice at doses 1.5 and 4.5 times the MRHD based on mg/m2 body surface area and in male rats at a dose of 3 times the MRHD on mg/m2 body surface area. Mammary gland adenocarcinomas were statistically significantly increased in female rats at all doses tested (0.3, 1, and 3 times the MRHD based on mg/m2 body surface area).



Thyroid follicular cell adenomas may have resulted from chronic stimulation of the thyroid gland by thyroid stimulating hormone (TSH) resulting from enhanced metabolism and clearance of thyroxine by rodent liver. Changes in TSH, thyroxine, and thyroxine clearance consistent with this mechanism were observed in subchronic toxicity studies in rat and mouse and in a 1-year toxicity study in rat; however, the results of these studies were not definitive. The relevance of the increases in thyroid follicular cell adenomas to human risk, through whatever mechanism, is unknown.



Antipsychotic drugs have been shown to chronically elevate prolactin levels in rodents. Serum measurements in a 1-year toxicity study showed that quetiapine increased median serum prolactin levels a maximum of 32- and 13-fold in male and female rats, respectively. Increases in mammary neoplasms have been found in rodents after chronic administration of other antipsychotic drugs and are considered to be prolactin-mediated. The relevance of this increased incidence of prolactin-mediated mammary gland tumors in rats to human risk is unknown [see Warnings and Precautions (5.15)].



Mutagenesis



Quetiapine was not mutagenic or clastogenic in standard genotoxicity tests. The mutagenic potential of quetiapine was tested in the in vitro Ames bacterial gene mutation assay and in the in vitro mammalian gene mutation assay in Chinese Hamster Ovary cells. The clastogenic potential of quetiapine was tested in the in vitro chromosomal aberration assay in cultured human lymphocytes and in the in vivo bone marrow micronucleus assay in rats up to 500 mg/kg which is 6 times the MRHD based on mg/m2 body surface area.



Impairment of Fertility



Quetiapine decreased mating and fertility in male Sprague-Dawley rats at oral doses of 50 and 150 mg/kg or approximately 1 and 3 times the MRHD of 800 mg/day based on mg/m2 body surface area. Drug-related effects included increases in interval to mate and in the number of matings required for successful impregnation. These effects continued to be observed at 3 times the MRHD even after a two-week period without treatment. The no-effect dose for impaired mating and fertility in male rats was 25 mg/kg, or 0.3 times the MRHD based on mg/m2 body surface area. Quetiapine adversely affected mating and fertility in female Sprague-Dawley rats at an oral dose approximately 1 times the MRHD of 800 mg/day based on mg/m2 body surface area. Drug-related effects included decreases in matings and in matings resulting in pregnancy, and an increase in the interval to mate. An increase in irregular estrus cycles was observed at doses of 10 and 50 mg/kg, or approximately 0.1 and 1 times the MRHD of 800 mg/day based on mg/m2 body surface area. The no-effect dose in female rats was 1 mg/kg, or 0.01 times the MRHD of 800 mg/day based on mg/m2 body surface area.

5.9 Increases in Blood Pressure (children and Adolescents)

Safety and effectiveness of quetiapine extended-release tablets are supported by studies of Seroquel in children and adolescent patients 10 to 17 years of age [see Clinical Studies (14.1 and 14.2)].



In a placebo-controlled quetiapine extended-release tablets clinical trial (8 weeks duration) in children and adolescents (10 to 17 years of age) with bipolar depression, in which efficacy was not established, the incidence of increases at any time in systolic blood pressure (≥20 mmHg) was 6.5% (6/92) for quetiapine extended-release tablets and 6% (6/100) for placebo; the incidence of increases at any time in diastolic blood pressure (≥10 mmHg) was 46.7% (43/92) for quetiapine extended-release tablets and 36% (36/100) for placebo.



In placebo-controlled trials in children and adolescents with schizophrenia (13 to 17 years old, 6-week duration) or bipolar mania (10 to 17 years old, 3-week duration), the incidence of increases at any time in systolic blood pressure (≥20 mmHg) was 15.2% (51/335) for Seroquel and 5.5% (9/163) for placebo; the incidence of increases at any time in diastolic blood pressure (≥10 mmHg) was 40.6% (136/335) for Seroquel and 24.5% (40/163) for placebo. In the 26-week open-label clinical trial, one child with a reported history of hypertension experienced a hypertensive crisis. Blood pressure in children and adolescents should be measured at the beginning of, and periodically during treatment.

1.3 Adjunctive Treatment of Major Depressive Disorder (mdd)

Quetiapine extended-release tablets are indicated for use as adjunctive therapy to antidepressants for the treatment of MDD. The efficacy of quetiapine extended-release tablets as adjunctive therapy to antidepressants in MDD was established in two 6-week trials in adults with MDD who had an inadequate response to antidepressant treatment [see Clinical Studies (14.3)].

Package Label Principal Display Panel 50 Mg (60 Tablet Bottle)

NDC 65862-873-60



Rx only

Quetiapine
Extended-Release

Tablets, USP 

50 mg Once Daily



PHARMACIST: Dispense the Medication Guide

provided separately to each patient.



AUROBINDO        60 Tablets

Package Label Principal Display Panel 150 Mg (60 Tablet Bottle)

NDC 65862-874-60



Rx only

Quetiapine
Extended-Release

Tablets, USP 

150 mg Once Daily



PHARMACIST: Dispense the Medication Guide

provided separately to each patient.



AUROBINDO        60 Tablets

Package Label Principal Display Panel 200 Mg (60 Tablet Bottle)

NDC 65862-875-60

Rx only

Quetiapine Extended-Release

Tablets, USP 

200 mg Once Daily



PHARMACIST: Dispense the Medication Guide

provided separately to each patient.



AUROBINDO        60 Tablets

Package Label Principal Display Panel 300 Mg (60 Tablet Bottle)

NDC 65862-876-60



Rx only

Quetiapine
Extended-Release

Tablets, USP 

300 mg Once Daily



PHARMACIST: Dispense the Medication Guide

provided separately to each patient.



AUROBINDO        60 Tablets

Package Label Principal Display Panel 400 Mg (60 Tablet Bottle)

NDC 65862-877-60



Rx only

Quetiapine
Extended-Release

Tablets, USP 

400 mg Once Daily



PHARMACIST: Dispense the Medication Guide

provided separately to each patient.



AUROBINDO        60 Tablets

2.7 Re Initiation of Treatment in Patients Previously Discontinued

Although there are no data to specifically address re-initiation of treatment, it is recommended that when restarting therapy of patients who have been off quetiapine extended-release tablets for more than one-week, the initial dosing schedule should be followed. When restarting patients who have been off quetiapine extended-release tablets for less than one-week, gradual dose escalation may not be required and the maintenance dose may be re-initiated.

5.2 Suicidal Thoughts and Behaviors in Adolescents and Young Adults

Patients with major depressive disorder (MDD), both adult and pediatric, may experience worsening of their depression and/or the emergence of suicidal ideation and behavior (suicidality) or unusual changes in behavior, whether or not they are taking antidepressant medications, and this risk may persist until significant remission occurs. Suicide is a known risk of depression and certain other psychiatric disorders, and these disorders themselves are the strongest predictors of suicide. There has been a long-standing concern, however, that antidepressants may have a role in inducing worsening of depression and the emergence of suicidality in certain patients during the early phases of treatment. Pooled analyses of short-term placebo-controlled trials of antidepressant drugs (SSRIs and others) showed that these drugs increase the risk of suicidal thinking and behavior (suicidality) in children, adolescents, and young adults (ages 18 to 24) with major depressive disorder (MDD) and other psychiatric disorders. Short-term studies did not show an increase in the risk of suicidality with antidepressants compared to placebo in adults beyond age 24; there was a reduction with antidepressants compared to placebo in adults aged 65 and older.



The pooled analyses of placebo-controlled trials in children and adolescents with MDD, obsessive compulsive disorder (OCD), or other psychiatric disorders included a total of 24 short-term trials of 9 antidepressant drugs in over 4,400 patients. The pooled analyses of placebo-controlled trials in adults with MDD or other psychiatric disorders included a total of 295 short-term trials (median duration of 2 months) of 11 antidepressant drugs in over 77,000 patients. There was considerable variation in risk of suicidality among drugs, but a tendency toward an increase in the younger patients for almost all drugs studied. There were differences in absolute risk of suicidality across the different indications, with the highest incidence in MDD. The risk differences (drug vs. placebo), however, were relatively stable within age strata and across indications. These risk differences (drug-placebo difference in the number of cases of suicidality per 1000 patients treated) are provided in Table 2.

Table 2: Drug-Placebo Difference in Number of Cases of Suicidality per 1000 Patients Treated
Age Range

Drug-Placebo Difference in Number of Cases

 of  Suicidality per 1000 Patients Treated

 

Increases Compared to Placebo

<18

14 additional cases

18 to 24

5 additional cases

 

Decreases Compared to Placebo

25 to 64

1 fewer case

≥65

6 fewer cases

No suicides occurred in any of the pediatric trials. There were suicides in the adult trials, but the number was not sufficient to reach any conclusion about drug effect on suicide.



It is unknown whether the suicidality risk extends to longer-term use, i.e., beyond several months. However, there is substantial evidence from placebo-controlled maintenance trials in adults with depression that the use of antidepressants can delay the recurrence of depression.



All patients being treated with antidepressants for any indication should be monitored appropriately and observed closely for clinical worsening, suicidality, and unusual changes in behavior, especially during the initial few months of a course of drug therapy, or at times of dose changes, either increases or decreases.



The following symptoms, anxiety, agitation, panic attacks, insomnia, irritability, hostility, aggressiveness, impulsivity, akathisia (psychomotor restlessness), hypomania, and mania, have been reported in adult and pediatric patients being treated with antidepressants for major depressive disorder as well as for other indications, both psychiatric and nonpsychiatric. Although a causal link between the emergence of such symptoms and either the worsening of depression and/or the emergence of suicidal impulses has not been established, there is concern that such symptoms may represent precursors to emerging suicidality.



Consideration should be given to changing the therapeutic regimen, including possibly discontinuing the medication, in patients whose depression is persistently worse, or who are experiencing emergent suicidality or symptoms that might be precursors to worsening depression or suicidality, especially if these symptoms are severe, abrupt in onset, or were not part of the patient's presenting symptoms.



Families and caregivers of patients being treated with antidepressants for major depressive disorder or other indications, both psychiatric and non-psychiatric, should be alerted about the need to monitor patients for the emergence of agitation, irritability, unusual changes in behavior, and the other symptoms described above, as well as the emergence of suicidality, and to report such symptoms immediately to healthcare providers. Such monitoring should include daily observation by families and caregivers.
Prescriptions for quetiapine extended-release tablets should be written for the smallest quantity of tablets consistent with good patient management, in order to reduce the risk of overdose.



Screening Patients for Bipolar Disorder:
A major depressive episode may be the initial presentation of bipolar disorder. It is generally believed (though not established in controlled trials) that treating such an episode with an antidepressant alone may increase the likelihood of precipitation of a mixed/manic episode in patients at risk for bipolar disorder. Whether any of the symptoms described above represent such a conversion is unknown. However, prior to initiating treatment with an antidepressant, including quetiapine extended-release tablets, patients with depressive symptoms should be adequately screened to determine if they are at risk for bipolar disorder; such screening should include a detailed psychiatric history, including a family history of suicide, bipolar disorder, and depression.

14.3 Major Depressive Disorder, Adjunctive Therapy to Antidepressants

The efficacy of quetiapine extended-release tablets as adjunctive therapy to antidepressants in the treatment of MDD was demonstrated in two 6-week placebo-controlled, fixed-dose trials (n=936). Quetiapine extended-release tablets 150 mg/day or 300 mg/day was given as adjunctive therapy to existing antidepressant therapy in patients who had previously shown an inadequate response to at least one antidepressant. Quetiapine extended-release tablets were administered as 50 mg/day on Days 1 and 2, and increased to 150 mg/day on Day 3 for both dose groups. On Day 5, the dose was increased to 300 mg/day in the 300 mg/day fixed-dose group. Inadequate response was defined as having continued depressive symptoms for the current episode [Hamilton Depression Rating Scale (HAM-D) total score of ≥20] despite using an antidepressant for 6 weeks at or above the minimally effective labelled dose. The mean HAM-D total score at entry was 24, and 17% of patients scored 28 or greater. Patients were on various antidepressants prior to study entry including SSRI’s (paroxetine, fluoxetine, sertraline, escitalopram, or citalopram), SNRI’s, (duloxetine and venlafaxine), TCA (amitriptyline), and other (bupropion).



The primary endpoint in these trials was change from baseline to week 6 in the Montgomery-Asberg Depression Rating Scale (MADRS.), quetiapine extended-release tablets 300 mg once daily as adjunctive treatment to other antidepressant therapy was superior to antidepressant alone in reduction of MADRS total score in both trials. Quetiapine extended-release tablets 150 mg once daily as adjunctive treatment was superior to antidepressant therapy alone in reduction of MADRS total score in one trial (studies 1 and 2 in Table 29).

Table 29: Major Depressive Disorder, Adjunctive Therapy to Antidepressants
AD: Antidepressant; SD: standard deviation; SE: standard error; LS Mean: least-squares mean; CI: unadjusted confidence interval.

1. Doses that are statistically significantly superior to placebo.

2. Difference (drug minus placebo) in least-squares mean change from baseline.

Study Number

Treatment Group

Primary Efficacy Measure: MADRS Total

Mean Baseline

 Score (SD)

LS Mean Change

 from Baseline (SE)

Placebo-subtracted

 Difference 2

 (95% CI)

Study 1

Quetiapine

Extended-Release Tablets  

(150 mg/day) + AD

27.2 (5.2)

-13.6 (0.8)

-1.9 (-3.9, 0.1)

Quetiapine

Extended-Release Tablets

(300 mg/day) 1 + AD

27.6 (5)

-14.7 (0.8)

-3 (-5, -1)

Placebo + AD

27.6 (5.5)

-11.7 (0.8)

--

Study 2

Quetiapine

Extended-Release Tablets  

(150 mg/day) + AD

28.6 (5.4)

-15.3 (0.7)

-3.1 (-4.9, -1.2)

Quetiapine

Extended-Release Tablets  

(300 mg/day) + AD

28.4 (5.5)

-14.9 (0.7)

-2.7 (-4.6, -0.8)

 Placebo

28.2 (5.6)

-12.2 (0.7)

--

5.1 Increased Mortality in Elderly Patients With Dementia Related Psychosis

Elderly patients with dementia-related psychosis treated with antipsychotic drugs are at an increased risk of death. Analysis of 17 placebo-controlled trials (modal duration of 10 weeks), largely in patients taking atypical antipsychotic drugs, revealed a risk of death in drug-treated patients of between 1.6 to 1.7 times the risk of death in placebo-treated patients. Over the course of a typical 10-week controlled trial, the rate of death in drug-treated patients was about 4.5%, compared to a rate of about 2.6% in the placebo group. Although the causes of death were varied, most of the deaths appeared to be either cardiovascular (e.g., heart failure, sudden death) or infectious (e.g., pneumonia) in nature. Observational studies suggest that, similar to atypical antipsychotic drugs, treatment with conventional antipsychotic drugs may increase mortality. The extent to which the findings of increased mortality in observational studies may be attributed to the antipsychotic drug as opposed to some characteristic(s) of the patients is not clear. Quetiapine extended-release tablets are not approved for the treatment of patients with dementia-related psychosis [see Boxed Warning].

2.8 Switching Patients From Seroquel Tablets to Quetiapine Extended Release Tablets

Patients who are currently being treated with Seroquel (immediate release formulation) may be switched to quetiapine extended-release tablets at the equivalent total daily dose taken once daily. Individual dosage adjustments may be necessary.

1.4 Special Considerations in Treating Pediatric Schizophrenia and Bipolar I Disorder

Pediatric schizophrenia and bipolar I disorder are serious mental disorders, however, diagnosis can be challenging. For pediatric schizophrenia, symptom profiles can be variable, and for bipolar I disorder, patients may have variable patterns of periodicity of manic or mixed symptoms. It is recommended that medication therapy for pediatric schizophrenia and bipolar I disorder be initiated only after a thorough diagnostic evaluation has been performed and careful consideration given to the risks associated with medication treatment. Medication treatment for both pediatric schizophrenia and bipolar I disorder is indicated as part of a total treatment program that often includes psychological, educational and social interventions.

5.3 Cerebrovascular Adverse Reactions, Including Stroke, in Elderly Patients With Dementia Related Psychosis

In placebo-controlled trials with risperidone, aripiprazole, and olanzapine in elderly subjects with dementia, there was a higher incidence of cerebrovascular adverse reactions (cerebrovascular accidents and transient ischemic attacks), including fatalities, compared to placebo-treated subjects. Quetiapine extended-release tablets are not approved for the treatment of patients with dementia-related psychosis [see Boxed Warning and Warnings and Precautions (5.1)].

Warning: Increased Mortality in Elderly Patients With Dementia Related Psychosis; and Suicidal Thoughts and Behaviors

Increased Mortality in Elderly Patients with Dementia-Related Psychosis



Elderly patients with dementia-related psychosis treated with antipsychotic drugs are at an increased risk of death [see Warnings and Precautions (5.1)]. Quetiapine extended-release tablets are not approved for the treatment of patients with dementia-related psychosis [see Warnings and Precautions (5.1)].



Suicidal Thoughts and Behaviors



Antidepressants increased the risk of suicidal thoughts and behavior in children, adolescents, and young adults in short-term studies. These studies did not show an increase in the risk of suicidal thoughts and behavior with antidepressant use in patients over age 24; there was a reduction in risk with antidepressant use in patients aged 65 and older [see Warnings and Precautions (5.2)].



In patients of all ages who are started on antidepressant therapy, monitor closely for worsening, and for emergence of suicidal thoughts and behaviors. Advise families and caregivers of the need for close observation and communication with the prescriber [see Warnings and Precautions (5.2)].



Quetiapine extended-release tablets are not approved for use in pediatric patients under ten years of age [see Use in Specific Populations (8.4)].


Structured Label Content

Section 43683-2 (43683-2)

Warnings and Precautions (5.15)                                                                     1/2025

5.8 Falls

Atypical antipsychotic drugs, including quetiapine extended-release tablets, may cause somnolence, postural hypotension, motor, and sensory instability, which may lead to falls and, consequently, fractures or other injuries. For patients with diseases, conditions, or medications that could exacerbate these effects, complete fall risk assessments when initiating antipsychotic treatment and recurrently for patients on long-term antipsychotic therapy.

9.2 Abuse

Quetiapine extended-release tablets have not been systematically studied in animals or humans for its potential for abuse, tolerance, or physical dependence. While the clinical trials did not reveal any tendency for any drug-seeking behavior, these observations were not systematic and it is not possible to predict on the basis of this limited experience the extent to which a CNS-active drug will be misused, diverted, and/or abused once marketed. Consequently, patients should be evaluated carefully for a history of drug abuse, and such patients should be observed closely for signs of misuse or abuse of quetiapine extended-release tablets (e.g., development of tolerance, increases in dose, drug-seeking behavior).

5.13 Seizures

During short-term clinical trials with quetiapine extended-release tablets, seizures occurred in 0.05% (1/1866) of patients treated with quetiapine extended-release tablets across all indications compared to 0.3% (3/928) on placebo. During clinical trials with Seroquel, seizures occurred in 0.5% (20/3490) of patients treated with Seroquel compared to 0.2% (2/954) on placebo. As with other antipsychotics, quetiapine should be used cautiously in patients with a history of seizures or with conditions that potentially lower the seizure threshold, e.g., Alzheimer’s dementia. Conditions that lower the seizure threshold may be more prevalent in a population of 65 years or older.

8.1 Pregnancy

Pregnancy Exposure Registry



There is a pregnancy exposure registry that monitors pregnancy outcomes in women exposed to atypical antipsychotics, including quetiapine extended-release tablets, during pregnancy. Healthcare providers are encouraged to register patients by contacting the National Pregnancy Registry for Atypical Antipsychotics at 1-866-961-2388 or online at http://womensmentalhealth.org/clinical-and-research-programs/pregnancyregistry/



Risk Summary



Neonates exposed to antipsychotic drugs, including quetiapine extended-release tablets, during the third trimester are at risk for extrapyramidal and/or withdrawal symptoms following delivery (see Clinical Considerations). Overall available data from published epidemiologic studies of pregnant women exposed to quetiapine have not established a drug-associated risk of major birth defects, miscarriage, or adverse maternal or fetal outcomes (see Data). There are risks to the mother associated with untreated schizophrenia, bipolar I, or major depressive disorder, and with exposure to antipsychotics, including quetiapine extended-release tablets during pregnancy (see Clinical Considerations). In animal studies, embryo-fetal toxicity occurred including delays in skeletal ossification at approximately 1 and 2 times the maximum recommended human dose (MRHD) of 800 mg/day in both rats and rabbits, and an increased incidence of carpal/tarsal flexure (minor soft tissue anomaly) in rabbit fetuses at approximately 2 times the MRHD. In addition, fetal weights were decreased in both species. Maternal toxicity (observed as decreased body weights and/or death) occurred at 2 times the MRHD in rats and approximately 1 to 2 times the MRHD in rabbits.



The estimated background risk of major birth defects and miscarriage for the indicated populations is unknown. All pregnancies have a background risk of birth defect, loss, or other adverse outcomes. In the U.S. general population, the estimated background risk of major birth defects and miscarriage in clinically recognized pregnancies is 2 to 4% and 15 to 20%, respectively.



Clinical Considerations



Disease-associated maternal and/or fetal risk



There is a risk to the mother from untreated schizophrenia, or bipolar I disorder, including increased risk of relapse, hospitalization, and suicide. Schizophrenia and bipolar I disorder are associated with increased adverse perinatal outcomes, including preterm birth. It is not known if this is a direct result of the illness or other comorbid factors.



A prospective, longitudinal study followed 201 pregnant women with a history of major depressive disorder who were euthymic and taking antidepressants at the beginning of pregnancy. The women who discontinued antidepressants during pregnancy were more likely to experience a relapse of major depression than women who continued antidepressants. Consider the risk of untreated depression when discontinuing or changing treatment with antidepressant medication during pregnancy and postpartum.



Fetal/neonatal adverse reactions



Extrapyramidal and/or withdrawal symptoms, including agitation, hypertonia, hypotonia, tremor, somnolence, respiratory distress, and feeding disorder have been reported in neonates who were exposed to antipsychotic drugs, including quetiapine extended-release tablets, during the third trimester of pregnancy. These symptoms varied in severity. Monitor neonates for extrapyramidal and/or withdrawal symptoms and manage symptoms appropriately. Some neonates recovered within hours or days without specific treatment; others required prolonged hospitalization.



Data



Human Data



Published data from observational studies, birth registries, and case reports on the use of atypical antipsychotics during pregnancy do not report a clear association with antipsychotics and major birth defects. A retrospective cohort study from a Medicaid database of 9,258 women exposed to antipsychotics during pregnancy did not indicate an overall increased risk of major birth defects.



Animal Data



When pregnant rats and rabbits were exposed to quetiapine during organogenesis, there was no teratogenic effect in fetuses. Doses were 25, 50 and 200 mg/kg in rats and 25, 50 and 100 mg/kg in rabbits which are approximately 0.3, 0.6 and 2-times (rats) and 0.6, 1 and 2-times (rabbits) the MRHD, for schizophrenia of 800 mg/day based on mg/m2 body surface area. However, there was evidence of embryo-fetal toxicity, including delays in skeletal ossification at approximately 1 and 2 times the MRHD of 800 mg/day in both rats and rabbits and an increased incidence of carpal/tarsal flexure (minor soft tissue anomaly) in rabbit fetuses at approximately 2 times the MRHD. In addition, fetal weights were decreased in both species. Maternal toxicity (observed as decreased body weights and/or death) occurred at 2 times the MRHD in rats and at approximately 1 to 2 times the MRHD (all doses tested) in rabbits.



In a peri/postnatal reproductive study in rats, no drug-related effects were observed when pregnant dams were treated with quetiapine at doses 0.01, 0.1, and 0.2 times the MRHD of 800 mg/day based on mg/m2 body surface area. However, in a preliminary peri/postnatal study, there were increases in fetal and pup death, and decreases in mean litter weight at 3 times the MRHD.

8.2 Lactation

Risk Summary



Limited data from published literature report the presence of quetiapine in human breast milk at relative infant dose of <1% of the maternal weight-adjusted dosage. There are no consistent adverse events that have been reported in infants exposed to quetiapine through breast milk. There is no information on the effects of quetiapine on milk production. The developmental and health benefits of breastfeeding should be considered along with the mother’s clinical need for quetiapine extended-release tablets and any potential adverse effects on the breastfed child from quetiapine extended-release tablets or from the mother’s underlying condition.

11 Description (11 DESCRIPTION)

Quetiapine is an atypical antipsychotic belonging to a chemical class, the dibenzothiazepine derivatives. The chemical designation is 2-[2-(4-dibenzo [b,f]  [1,4] thiazepin-11-yl-1­-piperazinyl)ethoxy]-ethanol fumarate (2:1) (salt). It is present in tablets as the fumarate salt. All doses and tablet strengths are expressed as milligrams of base, not as fumarate salt. Its molecular formula is C42H50N6O4S2•C4H4O4 and it has a molecular weight of 883.11 (fumarate salt). The structural formula is:







Quetiapine fumarate USP is a white to off-white powder which is moderately soluble in water.



Quetiapine extended-release tablets, USP are supplied for oral administration as 50 mg (peach), 150 mg (white), 200 mg (yellow), 300 mg (pale yellow), and 400 mg (white). All tablets are capsule shaped and film-coated.



Inactive ingredients for quetiapine extended-release tablets, USP are hypromellose, lactose monohydrate, magnesium stearate, microcrystalline cellulose, polyethylene glycol, propylene glycol, sodium citrate, titanium dioxide. In addition, the 50 mg contains iron oxide red and iron oxide yellow, the 200 mg, and 300 mg contains iron oxide yellow.



Each 50 mg tablet contains 57.56 mg of quetiapine fumarate USP equivalent to 50 mg quetiapine. Each 150 mg tablet contains 172.68 mg of quetiapine fumarate USP equivalent to 150 mg quetiapine. Each 200 mg tablet contains 230.24 mg of quetiapine fumarate USP equivalent to 200 mg quetiapine. Each 300 mg tablet contains 345.37 mg of quetiapine fumarate USP equivalent to 300 mg quetiapine. Each 400 mg tablet contains 460.49 mg of quetiapine fumarate USP equivalent to 400 mg quetiapine.



Meets USP Dissolution Test 14.

5.11 Cataracts

The development of cataracts was observed in association with quetiapine treatment in chronic dog studies [see Nonclinical Toxicology (13.2)]. Lens changes have also been observed in adults, children, and adolescents during long-term quetiapine treatment but a causal relationship to quetiapine use has not been established. Nevertheless, the possibility of lenticular changes cannot be excluded at this time. Therefore, examination of the lens by methods adequate to detect cataract formation, such as slit lamp exam or other appropriately sensitive methods, is recommended at initiation of treatment or shortly thereafter, and at 6-month intervals during chronic treatment.

5.18 Dysphagia

Esophageal dysmotility and aspiration have been associated with antipsychotic drug use. Aspiration pneumonia is a common cause of morbidity and mortality in elderly patients, in particular those with advanced Alzheimer's dementia. Quetiapine extended-release tablets and other antipsychotic drugs should be used cautiously in patients at risk for aspiration pneumonia.

5.7 Hypotension

Quetiapine may induce orthostatic hypotension associated with dizziness, tachycardia and, in some patients, syncope, especially during the initial dose-titration period, probably reflecting its α1-adrenergic antagonist properties. Syncope was reported in 0.3% (5/1866) of the patients treated with quetiapine extended-release tablets across all indications, compared with 0.2% (2/928) on placebo. Syncope was reported in 1% (28/3265) of the patients treated with Seroquel, compared with 0.2% (2/954) on placebo. Orthostatic hypotension, dizziness, and syncope may lead to falls.



Quetiapine should be used with particular caution in patients with known cardiovascular disease (history of myocardial infarction or ischemic heart disease, heart failure, or conduction abnormalities), cerebrovascular disease, or conditions which would predispose patients to hypotension (dehydration, hypovolemia, and treatment with antihypertensive medications). If hypotension occurs during titration to the target dose, a return to the previous dose in the titration schedule is appropriate.

Medication Guide (MEDICATION GUIDE)

Quetiapine (kwe tye' a peen)

Extended-Release Tablets, USP



Read this Medication Guide before you start taking quetiapine extended-release tablets and each time you get a refill. There may be new information. This Medication Guide does not take the place of talking to your healthcare provider about your medical condition or treatment.



What is the most important information I should know about quetiapine extended-release tablets?



Quetiapine extended-release tablets may cause serious side effects, including:



1. risk of death in the elderly with dementia:
Medicines like quetiapine extended-release tablets can increase the risk of death in elderly people who have memory loss (dementia). Quetiapine extended-release tablets are not for treating psychosis in the elderly with dementia.



2. risk of suicidal thoughts or actions (antidepressant medicines, depression and other serious mental illnesses, and suicidal thoughts or actions).



Talk to your or your family member’s, healthcare provider about:



  • all risks and benefits of treatment with antidepressant medicines
  • all treatment choices for depression or other serious mental illness
  • Antidepressant medicines may increase suicidal thoughts or actions in some children, teenagers, and young adults within the first few months of treatment.
  • Depression and other serious mental illnesses are the most important causes of suicidal thoughts and actions. Some people may have a particularly high risk of having suicidal thoughts or actions. These include people who have (or have a family history of) depression, bipolar illness (also called manic-depressive illness), or suicidal thoughts or actions.


  • How can I watch for and try to prevent suicidal thoughts and actions in myself or a family member?
  • Pay close attention to any changes, especially sudden changes, in mood, behaviors, thoughts, or feelings. This is very important when an antidepressant medicine is started or when the dose is changed.
  • Call the healthcare provider right away to report new or sudden changes in mood, behavior, thoughts, or feelings.
  • Keep all follow-up visits with the healthcare provider as scheduled. Call the healthcare provider between visits as needed, especially if you have concerns about symptoms.


Call a healthcare provider right away if you or your family member has any of the following symptoms, especially if they are new, worse, or worry you:



  • thoughts about suicide or dying
  • attempts to commit suicide
  • new or worse depression
  • new or worse anxiety
  • feeling very agitated or restless
  • panic attacks
  • trouble sleeping (insomnia)
  • new or worse irritability
  • acting aggressive, being angry, or violent
  • acting on dangerous impulses
  • an extreme increase in activity and talking (mania)
  • other unusual changes in behavior or mood


What else do I need to know about antidepressant medicines?



  • Never stop an antidepressant medicine without first talking to your healthcare provider. Stopping an antidepressant medicine suddenly can cause other symptoms.
  • Antidepressants are medicines used to treat depression and other illnesses. It is important to discuss all the risks of treating depression, and also the risks of not treating it. Patients and their families or other caregivers should discuss all treatment choices with the healthcare provider, not just the use of antidepressants.
  • Antidepressant medicines have other side effects. Talk to the healthcare provider about the side effects of the medicine prescribed for you or your family member.
  • Antidepressant medicines can interact with other medicines. Know all of the medicines that you or your family member take. Keep a list of all medicines to show the healthcare provider. Do not start new medicines without first checking with your healthcare provider.
  • Not all antidepressant medicines prescribed for children are FDA approved for use in children. Talk to your child’s healthcare provider for more information.

What are quetiapine extended-release tablets?



Quetiapine extended-release tablets are a prescription medicine used to treat:



  • schizophrenia in people 13 years of age or older
  • bipolar disorder in adults, including:
    • depressive episodes associated with bipolar disorder
    • manic episodes associated with bipolar I disorder alone or with lithium or divalproex
    • long-term treatment of bipolar I disorder with lithium or divalproex
  • manic episodes associated with bipolar I disorder in children ages 10 to 17 years old
  • major depressive disorder as add-on treatment with antidepressant medicines when your healthcare provider determines that 1 antidepressant alone is not enough to treat your depression.


It is not known if quetiapine extended-release tablets are safe and effective in children under 10 years of age.



Who should not take
quetiapine extended-release tablets ?



Do not take quetiapine extended-release tablets
if you are allergic to quetiapine or any of the ingredients in quetiapine extended-release tablets . See the end of this Medication Guide for a complete list of ingredients in quetiapine extended-release tablets.



What should I tell my healthcare provider before taking quetiapine extended-release tablets?



Before you take quetiapine extended-release tablets, tell your healthcare provider if you have or have had:



  • diabetes or high blood sugar in you or your family. Your healthcare provider should check your blood sugar before you start quetiapine extended-release tablets and also during therapy.
  • high levels of total cholesterol, triglycerides or LDL-cholesterol or low levels of HDL-cholesterol
  • low or high blood pressure
  • low white blood cell count
  • cataracts
  • seizures
  • abnormal thyroid tests
  • high prolactin levels
  • heart problems
  • liver problems
  • any other medical condition
  • pregnancy or plans to become pregnant. It is not known if quetiapine extended-release tablets will harm your unborn baby.
  • If you become pregnant while receiving quetiapine extended-release tablets, talk to your healthcare provider about registering with the National Pregnancy Registry for Atypical Antipsychotics. You can register by calling 1-866-961-2388 or go to http://womensmentalhealth.org/clinical-and-research-programs/pregnancyregistry/
  •  breast-feeding or plans to breast-feed. Quetiapine can pass into your breast milk. Talk to your healthcare provider about the best way to feed your baby if you receive quetiapine extended-release tablets.
  • if you have or have had a condition where you cannot completely empty your bladder (urinary retention), have an enlarged prostate, or constipation, or increased pressure inside your eyes.


Tell the healthcare provider about all the medicines that you take or recently have taken including prescription medicines, over-the-counter medicines, herbal supplements and vitamins.



Quetiapine extended-release tablets and other medicines may affect each other causing serious side effects. Quetiapine extended-release tablets may affect the way other medicines work, and other medicines may affect how quetiapine extended-release tablets work.



Tell your healthcare provider if you are having a urine drug screen because quetiapine extended-release tablets may affect your test results. Tell those giving the test that you are taking quetiapine extended-release tablets.



How should I take quetiapine extended-release tablets?



  • Take quetiapine extended-release tablets exactly as your healthcare provider tells you to take them. Do not change the dose yourself.
  • Take quetiapine extended-release tablets by mouth, with a light meal or without food.
  • Quetiapine extended-release tablets should be swallowed whole and not split, chewed or crushed.
  • If you feel you need to stop quetiapine extended-release tablets, talk with your healthcare provider first. If you suddenly stop taking quetiapine extended-release tablets, you may have side effects such as trouble sleeping or trouble staying asleep (insomnia), nausea, and vomiting.
  • If you miss a dose of quetiapine extended-release tablets, take them as soon as you remember. If you are close to your next dose, skip the missed dose. Just take the next dose at your regular time. Do not take 2 doses at the same time unless your healthcare provider tells you to. If you are not sure about your dosing, call your healthcare provider.


What should I avoid while taking quetiapine extended-release tablets?

  • Do not drive, operate machinery, or do other dangerous activities until you know how quetiapine extended-release tablets affect you. Quetiapine extended-release tablets may make you drowsy.
  • Avoid getting overheated or dehydrated.
    • Do not over-exercise.
    • In hot weather, stay inside in a cool place if possible.
    • Stay out of the sun. Do not wear too much or heavy clothing.
    • Drink plenty of water.
  • Do not drink alcohol while taking quetiapine extended-release tablets. They may make some side effects of quetiapine extended-release tablets worse.


What are possible side effects of quetiapine extended-release tablets?



Quetiapine extended-release tablets can cause serious side effects, including:



        See “What is the most important information I should know about quetiapine extended-release tablets?”

  • stroke that can lead to death can happen in elderly people with dementia who take medicines like quetiapine extended-release tablets
  • neuroleptic malignant syndrome (NMS). NMS is a rare but very serious condition that can happen in people who take antipsychotic medicines, including quetiapine extended-release tablets. NMS can cause death and must be treated in a hospital. Call your healthcare provider right away if you become severely ill and have some or all of these symptoms:
    • high fever
    • excessive sweating
    • rigid muscles
    • confusion
    • changes in your breathing, heartbeat, and blood pressure


  • falls can happen in some people who take quetiapine extended-release tablets. These falls may cause serious injuries.
  • high blood sugar (hyperglycemia). High blood sugar can happen if you have diabetes already or if you have never had diabetes. High blood sugar could lead to:
    • build up of acid in your blood due to ketones (ketoacidosis)
    • coma
    • death


Increases in blood sugar can happen in some people who take quetiapine extended-release tablets. Extremely high blood sugar can lead to coma or death. If you have diabetes or risk factors for diabetes (such as being overweight or a family history of diabetes) your healthcare provider should check your blood sugar before you start quetiapine extended-release tablets and during therapy.



Call your healthcare provider if you have any of these symptoms of high blood sugar (hyperglycemia) while taking quetiapine extended-release tablets:



  • feel very thirsty
  • need to urinate more than usual
  • feel very hungry
  • feel weak or tired
  • feel sick to your stomach
  • feel confused, or your breath smells fruity


  • high fat levels in your blood (increased cholesterol and triglycerides). High fat levels may happen in people treated with quetiapine extended-release tablets. You may not have any symptoms, so your healthcare provider may decide to check your cholesterol and triglycerides during your treatment with quetiapine extended-release tablets.
  • increase in weight (weight gain). Weight gain is common in people who take quetiapine extended-release tablets so you and your healthcare provider should check your weight regularly. Talk to your healthcare provider about ways to control weight gain, such as eating a healthy, balanced diet, and exercising.
  • movements you cannot control in your face, tongue, or other body parts (tardive dyskinesia). These may be signs of a serious condition. Tardive dyskinesia may not go away, even if you stop taking quetiapine extended-release tablets. Tardive dyskinesia may also start after you stop taking quetiapine extended-release tablets.
  • decreased blood pressure (orthostatic hypotension), including lightheadedness or fainting caused by a sudden change in heart rate and blood pressure when rising too quickly from a sitting or lying position.
  • increases in blood pressure in children and teenagers. Your healthcare provider should check blood pressure in children and adolescents before starting quetiapine extended-release tablets and during therapy. Quetiapine extended-release tablets are not approved for patients under 10 years of age.
  • low white blood cell count. Tell your healthcare provider as soon as possible if you have a fever, flu-like symptoms, or any other infection, as this could be a result of a very low white blood cell count. Your healthcare provider may check your white blood cell level to determine if further treatment or other action is needed
  • cataracts
  • seizures
  • abnormal thyroid tests: Your healthcare provider may do blood tests to check your thyroid hormone level.
  • increases in prolactin levels: Your healthcare provider may do blood tests to check your prolactin levels.
  • sleepiness, drowsiness, feeling tired, difficulty thinking and doing normal activities
  • increased body temperature
  • difficulty swallowing
  • trouble sleeping or trouble staying asleep (insomnia), nausea, or vomiting if you suddenly stop taking quetiapine extended-release tablets. These symptoms usually get better 1 week after you start having them.


The most common side effects of quetiapine extended-release tablets include:



  • dry mouth
  • constipation
  • dizziness
  • increased appetite
  • upset stomach
  • fatigue
  • stuffy nose
  • difficulty moving
  • disturbance in speech or language

Children and Adolescents:



  • drowsiness
  • dizziness
  • fatigue
  • stuffy nose     
  • increased appetite
  • upset stomach
  • vomiting
  • dry mouth
  • tachycardia
  • weight increased


These are not all the possible side effects of quetiapine extended-release tablets. For more information, ask your healthcare provider or pharmacist.



Call your doctor for medical advice about side effects. You may report side effects to FDA at 1-800-FDA-1088.



How should I store quetiapine extended-release tablets?



  • Store quetiapine extended-release tablets at room temperature, between 20o to 25ºC (68o to 77ºF).
  • Keep quetiapine extended-release tablets and all medicines out of the reach of children.

General information about the safe and effective use of quetiapine extended-release tablets. 



Medicines are sometimes prescribed for purposes other than those listed in a Medication Guide. Do not use quetiapine extended-release tablets for a condition for which it was not prescribed. Do not give quetiapine extended-release tablets to other people, even if they have the same symptoms you have. They may harm them.



This Medication Guide summarizes the most important information about quetiapine extended-release tablets. If you would like more information, talk with your healthcare provider. You can ask your pharmacist or healthcare provider for information about quetiapine extended-release tablets that is written for health professionals.



For more information, call Aurobindo Pharma USA, Inc. at 1-866-850-2876.



What are the ingredients in quetiapine extended-release tablets?



Active ingredient:
quetiapine



Inactive ingredients:
hypromellose, lactose monohydrate, magnesium stearate, microcrystalline cellulose, polyethylene glycol, propylene glycol, sodium citrate, titanium dioxide. In addition, the 50 mg contains iron oxide red and iron oxide yellow, the 200 mg, and 300 mg contains iron oxide yellow.



This Medication Guide has been approved by the U.S. Food and Drug Administration.



Distributed by:

Aurobindo Pharma USA, Inc.

279 Princeton-Hightstown Road

East Windsor, NJ 08520



Manufactured by:

Aurobindo Pharma Limited

Hyderabad–500 032, India



Revised: 08/2025

1.1 Schizophrenia

Quetiapine extended-release tablets are indicated for the treatment of schizophrenia. The efficacy of quetiapine extended-release tablets in schizophrenia was established in one 6-week and one maintenance trial in adults with schizophrenia. Efficacy was supported by three 6-week trials in adults with schizophrenia and one 6-week trial in adolescents with schizophrenia (13 to 17 years) treated with Seroquel [see Clinical Studies (14.1) ].

8.4 Pediatric Use

Safety and effectiveness of quetiapine extended-release tablets  are supported by studies of Seroquel for schizophrenia in adolescent patients 13 to 17 years of age and in bipolar mania in children and adolescent patients 10 to 17 years of age [see Clinical Studies (14.1 and 14.2)].



In general, the adverse reactions observed in children and adolescents during the clinical trials with Seroquel were similar to those in the adult population with few exceptions. Increases in systolic and diastolic blood pressure occurred in children and adolescents and did not occur in adults. Orthostatic hypotension occurred more frequently in adults (4 to 7%) compared to children and adolescents (<1%) [see Warnings and Precautions (5.7) and Adverse Reactions (6.1)].



Bipolar Depression



The effectiveness of quetiapine extended-release tablets for the treatment of bipolar depression in patients under the age of 18 years has not been established. One 8-week trial was conducted to evaluate the safety and efficacy of quetiapine extended-release tablets in the treatment of bipolar depression in pediatric patients 10 to 17 years of age. The primary objective of the study was to evaluate whether quetiapine extended-release tablets at a dose of 150 to 300 mg/day demonstrated superior efficacy (as measured by change in CDRS-R total score from baseline to end of 8 weeks) compared to placebo in children and adolescents 10 to 17 years of age with bipolar depression. A total of 193 patients with bipolar depression were randomized to placebo or quetiapine extended-release tablets. The primary results of this study did not show a difference between quetiapine extended-release tablets and placebo in decreasing depression symptoms in children and adolescents with bipolar disorder. In this study, patients treated with quetiapine extended-release tablets exhibited metabolic changes, weight gain, increases in blood pressure and increases in heart rate [see Warnings and Precautions (5.55.9) and Adverse Reactions (6.1)].



Some differences in the pharmacokinetics of quetiapine were noted between children/adolescents (10 to 17 years of age) and adults. When adjusted for weight, the AUC and Cmax of quetiapine were 41% and 39% lower, respectively, in children and adolescents compared to adults. The pharmacokinetics of the active metabolite, norquetiapine, were similar between children/adolescents and adults after adjusting for weight [see Clinical Pharmacology (12.3)].



Schizophrenia



The efficacy and safety of quetiapine extended-release tablets in the treatment of schizophrenia in adolescents aged 13 to 17 years is supported by one 6-week, double-blind, placebo-controlled trial with Seroquel [see Indications and Usage (1.1), Dosage and Administration (2.2), Adverse Reactions (6.1), and Clinical Studies (14.1)].



Safety and effectiveness of quetiapine extended-release tablets in pediatric patients less than 13 years of age with schizophrenia have not been established.



The safety and effectiveness of quetiapine extended-release tablets in the maintenance treatment of schizophrenia has not been established in patients less than 18 years of age.



Bipolar Mania



The efficacy and safety of quetiapine extended-release tablets in the treatment of bipolar mania in children and adolescents ages 10 to 17 years is supported by one 3-week, double-blind, placebo-controlled trial with Seroquel [see Indications and Usage (1.2), Dosage and Administration (2.2), Adverse Reactions (6.1), and Clinical Studies (14.2)].



Safety and effectiveness of quetiapine extended-release tablets in pediatric patients less than 10 years of age with bipolar mania have not been established.



The safety and effectiveness of quetiapine extended-release tablets in the maintenance treatment of bipolar disorder has not been established in patients less than 18 years of age.

8.5 Geriatric Use

Sixty-eight patients in clinical studies with quetiapine extended-release tablets were 65 years of age or over. In general, there was no indication of any different tolerability of quetiapine extended-release tablets in the elderly compared to younger adults. Nevertheless, the presence of factors that might decrease pharmacokinetic clearance, increase the pharmacodynamic response to quetiapine extended-release tablets, or cause poorer tolerance or orthostasis, should lead to consideration of a lower starting dose, slower titration, and careful monitoring during the initial dosing period in the elderly. The mean plasma clearance of quetiapine was reduced by 30% to 50% in elderly patients when compared to younger patients [see Dosage and Administration (2.3) and Clinical Pharmacology (12.3)].

14.1 Schizophrenia

Short-term Trials – Adults



The efficacy of quetiapine extended-release tablets in the treatment of schizophrenia was demonstrated in 1 short-term, 6-week, fixed-dose, placebo-controlled trial of inpatients and outpatients with schizophrenia (n=573) who met DSM-IV criteria for schizophrenia. Quetiapine extended-release tablets (once daily) were administered as 300 mg on Day 1, and the dose was increased to either 400 mg or 600 mg by Day 2, or 800 mg by Day 3. The primary endpoint was the change from baseline of the Positive and Negative Syndrome Scale (PANSS) total score at the end of treatment (Day 42). Quetiapine extended-release tablets dose of 400 mg, 600 mg and 800 mg once daily were superior to placebo in the PANSS total score at Day 42 (Study 1 in Table 26).



Short-term Trials – Adolescents (ages 13 to 17)



The efficacy of quetiapine extended-release tablets in the treatment of schizophrenia in adolescents (13 to 17 years of age) was supported by a 6-week, double-blind, placebo-controlled trial. Patients who met DSM-IV diagnostic criteria for schizophrenia were randomized into one of three treatment groups: Seroquel 400 mg/day (n=73), Seroquel 800 mg/day (n=74), or placebo (n=75). Study medication was initiated at 50 mg/day and on day 2 increased to 100 mg/per day (divided and given two or three times per day). Subsequently, the dose was titrated to the target dose of 400 mg/day or 800 mg/day using increments of 100 mg/day, divided and given two or three times daily. The primary efficacy variable was the mean change from baseline in total Positive and Negative Syndrome Scale (PANSS). Seroquel at 400 mg/day and 800 mg/day was superior to placebo in the reduction of PANSS total score (Study 2 in Table 26).

Table 26: Schizophrenia Short-Term Trials
SD: standard deviation; SE: standard error; LS Mean: least-squares mean; CI: unadjusted confidence interval.

1. Doses that are statistically significantly superior to placebo

2. Difference (drug minus placebo) in least-squares mean change from baseline

3. Included in the trial for assay sensitivity

Study

Number

Treatment Group

Primary Efficacy Endpoint: PANSS Total

Mean Baseline

 Score (SD)

LS Mean Change

 from Baseline (SE)

Placebo-subtracted

 Difference 2

 (95% CI)

Study 1

Quetiapine Extended-Release Tablets

 (400 mg/day) 1

95.8 (13.9)

-24.8 (2.5)

-6.1 (-11.5, -0.6)

Quetiapine Extended-Release Tablets

(600 mg/day) 1

96.8 (14.1)

-30.9 (2.5)

-12.1 (-17.6, -6.7)

Quetiapine Extended-Release Tablets

(800 mg/day) 1

97.3 (14.7)

-31.3 (2.5)

-12.5 (-17.9, -7.1)

Seroquel

(400 mg/day) 1,3

96.5 (16)

-26.6 (2.4)

-7.8 (-13.1, -2.4)

Placebo

96.2 (13.3)

-18.8 (2.5)

--

Study 2

(adolescents)

Seroquel

(400 mg/day) 1

96.2 (17.7)

-27.3 (2.6)

-8.2 (-16.1, -0.3)

Seroquel

(800 mg/day) 1

96.9 (15.3)

-28.4 (1.8)

-9.3 (-16.2, -2.4)

Placebo

96.2 (17.7)

-19.2 (3)

 

Maintenance Trials



In a longer-term trial (Study 3), clinically stable adult outpatients (n=171) meeting DSM-IV criteria for schizophrenia who remained stable following 16 weeks of open-label treatment with flexible doses of quetiapine extended-release tablets (400 mg/day to 800 mg/day) were randomized to placebo or to continue on their current quetiapine extended-release tablets (400 mg/day to 800 mg/day) for observation for possible relapse during the double-blind continuation (maintenance) phase. Stabilization during the open-label phase was defined as receiving a stable dose of quetiapine extended-release tablets and having a CGI-S≤4 and a PANSS score ≤60 from beginning to end of this open-label phase (with no increase of ≥10 points in PANSS total score). Relapse during the double-blind phase was defined in terms of a ≥30% increase in the PANSS Total score, or CGI-Improvement score of ≥6, or hospitalization due to worsening of schizophrenia, or need for any other antipsychotic medication. Patients on quetiapine extended-release tablets experienced a statistically significant longer time to relapse than did patients on placebo (Figure 1).



4 Contraindications (4 CONTRAINDICATIONS)

Hypersensitivity to quetiapine or to any excipients in the quetiapine extended-release tablets formulation. Anaphylactic reactions have been reported in patients treated with quetiapine extended-release tablets.

5.14 Hypothyroidism

Adults: Clinical trials with quetiapine demonstrated dose-related decreases in thyroid hormone levels. The reduction in total and free thyroxine (T4) of approximately 20% at the higher end of the therapeutic dose range was maximal in the first six weeks of treatment and maintained without adaptation or progression during more chronic therapy. In nearly all cases, cessation of quetiapine treatment was associated with a reversal of the effects on total and free T4, irrespective of the duration of treatment. The mechanism by which quetiapine effects the thyroid axis is unclear. If there is an effect on the hypothalamic-pituitary axis, measurement of TSH alone may not accurately reflect a patient’s thyroid status. Therefore, both TSH and free T4, in addition to clinical assessment, should be measured at baseline and at follow-up.



In quetiapine extended-release tablets clinical trials across all indications 1.8% (24/1336) of patients on quetiapine extended-release tablets versus 0.6% (3/530) on placebo experienced decreased free thyroxine (<0.8 LLN) and 1.6% (21/1346) on quetiapine extended-release tablets vs. 3.4% (18/534) on placebo experienced increased thyroid stimulating hormone (TSH). About 0.7% (26/3489) of Seroquel patients did experience TSH increases in monotherapy studies. Some patients with TSH increases needed replacement thyroid treatment.



In all quetiapine trials, the incidence of shifts in thyroid hormones and TSH were1: decrease in free T4 (<0.8 LLN), 2% (357/17513); decrease in total T4 (<0.8 LLN), 4% (75/1861); decrease in free T3 (<0.8 LLN), 0.4% (53/13766); decrease in total T3 (<0.8 LLN), 2% (26/1312), and increase in TSH (>5 mIU/L), 4.9% (956/19412). In eight patients, where TBG was measured, levels of TBG were unchanged.

Table 11 shows the incidence of these shifts in short term placebo-controlled clinical trials.



Table 11: Incidence of Shifts in Thyroid Hormone Levels and TSH in Short-term Placebo-controlled Clinical Trials1, 2
1. Based on shifts from normal baseline to potentially clinically important value at anytime post-baseline. Shifts in total T4, free T4, total T3, and free T3 are defined as <0.8 x LLN (pmol/L) and shift in TSH is >5 mIU/L at any time.

2. Includes Seroquel and quetiapine extended-release tablets data.

Total T4

Free T4

Total T3

Free T3

TSH

Quetiapine

Placebo

Quetiapine

Placebo

Quetiapine

Placebo

Quetiapine

Placebo

Quetiapine

Placebo

3.4%

0.6%

0.7%

0.1%

0.5%

0%

0.2%

0%

3.2%

2.7%

(37/1097)

(4/651)

(52/7218)

(4/3668)

(2/369)

(0/113)

(11/5673)

(1/2679)

(240/7587)

(105/3912)

In short-term placebo-controlled monotherapy trials, the incidence of reciprocal shifts in T3 and TSH was 0% for both quetiapine (1/4800) and placebo (0/2190) and for T4 and TSH the shifts were 0.1% (7/6154) for quetiapine versus 0% (1/3007) for placebo.



Children and Adolescents
: Safety and effectiveness of quetiapine extended-release tablets are supported by studies of Seroquel in children and adolescent patients 10 to 17 years of age [see Clinical Studies (14.1 and 14.2)].



In acute placebo-controlled trials in children and adolescent patients with schizophrenia (6-week duration) or bipolar mania (3-week duration), the incidence of shifts at any time for Seroquel treated patients and placebo-treated patients for elevated TSH was 2.9% (8/280) vs. 0.7% (1/138), respectively, and for decreased total thyroxine was 2.8% (8/289) vs. 0% (0/145), respectively. Of the Seroquel treated patients with elevated TSH levels, 1 had simultaneous low free T4 level at end of treatment.

6 Adverse Reactions (6 ADVERSE REACTIONS)

The following adverse reactions are discussed in more detail in other sections of the labeling:



7 Drug Interactions (7 DRUG INTERACTIONS)
  • Concomitant use of strong CYP3A4 inhibitors:  Reduce quetiapine dose to one-sixth when coadministered with strong CYP3A4 inhibitors (e.g., ketoconazole, ritonavir) (2.5, 7.112.3)
  • Concomitant use of strong CYP3A4 inducers:  Increase quetiapine dose up to 5 fold when used in combination with a chronic treatment (more than 7 to 14 days) of potent CYP3A4 inducers (e.g., phenytoin, rifampin, St. John’s wort) (2.6, 7.1, 12.3)
  • Discontinuation of strong CYP3A4 inducers:  Reduce quetiapine dose by 5-fold within 7 to 14 days of discontinuation of CYP3A4 inducers (2.6, 7.1, 12.3)
1.2 Bipolar Disorder

Quetiapine extended-release tablets are indicated for the acute treatment of manic or mixed episodes associated with bipolar I disorder, both as monotherapy and as an adjunct to lithium or divalproex. The efficacy of quetiapine extended-release tablets in manic or mixed episodes of bipolar I disorder was established in one 3-week trial in adults with manic or mixed episodes associated with bipolar I disorder. Efficacy was supported by two 12-week monotherapy trials and one 3-week adjunctive trial in adults with manic episodes associated with bipolar I disorder as well as one 3-week monotherapy trial in children and adolescents (10 to 17 years) with manic episodes associated with bipolar I disorder treated with Seroquel [see Clinical Studies (14.2)].



Quetiapine extended-release tablets are indicated for the acute treatment of depressive episodes associated with bipolar disorder. The efficacy of quetiapine extended-release tablets was established in one 8-week trial in adults with bipolar I or II disorder and supported by two 8-week trials in adults with bipolar I or II disorder treated with Seroquel [see Clinical Studies (14.2)].



Quetiapine extended-release tablets are indicated for the maintenance treatment of bipolar I disorder, as an adjunct to lithium or divalproex. Efficacy was extrapolated from two maintenance trials in adults with bipolar I disorder treated with Seroquel. The effectiveness of monotherapy for the maintenance treatment of bipolar I disorder has not been systematically evaluated in controlled clinical trials [see Clinical Studies (14.2)].

5.12 Qt Prolongation (5.12 QT Prolongation)

In clinical trials quetiapine was not associated with a persistent increase in QT intervals. However, the QT effect was not systematically evaluated in a thorough QT study. In post marketing experience there were cases reported of QT prolongation in patients who overdosed on quetiapine [see Overdosage (10.1)], in patients with concomitant illness, and in patients taking medicines known to cause electrolyte imbalance or increase QT interval.



The use of quetiapine should be avoided in combination with other drugs that are known to prolong QTc including Class 1A antiarrythmics (e.g., quinidine, procainamide) or Class III antiarrythmics (e.g., amiodarone, sotalol), antipsychotic medications (e.g., ziprasidone, chlorpromazine, thioridazine), antibiotics (e.g., gatifloxacin, moxifloxacin), or any other class of medications known to prolong the QTc interval (e.g., pentamidine, levomethadyl acetate, methadone).



Quetiapine should also be avoided in circumstances that may increase the risk of occurrence of torsade de pointes and/or sudden death including (1) a history of cardiac arrhythmias such as bradycardia; (2) hypokalemia or hypomagnesemia; (3) concomitant use of other drugs that prolong the QTc interval; and (4) presence of congenital prolongation of the QT interval.



Caution should also be exercised when quetiapine is prescribed in patients with increased risk of QT prolongation (e.g., cardiovascular disease, family history of QT prolongation, the elderly, congestive heart failure, and heart hypertrophy).

8.6 Renal Impairment

Clinical experience with quetiapine extended-release tablets in patients with renal impairment is limited [see Clinical Pharmacology (12.3)].

10.1 Human Experience

In clinical trials, survival has been reported in acute overdoses of up to 30 grams of quetiapine. Most patients who overdosed experienced no adverse reactions or recovered fully from the reported events. Death has been reported in a clinical trial following an overdose of 13.6 grams of quetiapine alone. In general, reported signs and symptoms were those resulting from an exaggeration of the drug’s known pharmacological effects, i.e., drowsiness, sedation, tachycardia, hypotension, and anticholinergic toxicity including coma and delirium. Patients with pre-existing severe cardiovascular disease may be at an increased risk of the effects of overdose [see Warnings and Precautions (5.12)]. One case, involving an estimated overdose of 9600 mg, was associated with hypokalemia and first degree heart block. In post-marketing experience, there were cases reported of QT prolongation with overdose.

12.2 Pharmacodynamics

Quetiapine and its metabolite norquetiapine have affinity for multiple neurotransmitter receptors with norquetiapine binding with higher affinity than quetiapine in general. The Ki values for quetiapine and norquetiapine at the dopamine D1 are 428/99.8 nM, at D2 626/489nM, at serotonin 5HT1A 1040/191 nM at 5HT2A 38/2.9 nM, at histamine H1 4.4/1.1 nM, at muscarinic M1 1086/38.3 nM, and at adrenergic α1b 14.6/46.4 nM and, at α2 receptors 617/1290 nM, respectively. Quetiapine and norquetiapine lack appreciable affinity to the benzodiazepine receptors.



Effect on QT Interval



In clinical trials quetiapine was not associated with a persistent increase in QT intervals. However, the QT effect was not systematically evaluated in a thorough QT study. In post marketing experience, there were cases reported of QT prolongation in patients who overdosed on quetiapine [see Overdosage (10.1)], in patients with concomitant illness, and in patients taking medicines known to cause electrolyte imbalance or increase QT interval.

12.3 Pharmacokinetics

Adults



Following multiple dosing of quetiapine up to a total daily dose of 800 mg, administered in divided doses, the plasma concentration of quetiapine and norquetiapine, the major active metabolite of quetiapine, were proportional to the total daily dose. Accumulation is predictable upon multiple dosing. Steady-state mean Cmax and AUC of norquetiapine are about 21 to 27% and 46 to 56%, respectively, of that observed for quetiapine. Elimination of quetiapine is mainly via hepatic metabolism. The mean-terminal half-life is approximately 7 hours for quetiapine and approximately 12 hours for norquetiapine within the clinical dose range. Steady-state concentrations are expected to be achieved within two days of dosing. Quetiapine extended-release tablets are unlikely to interfere with the metabolism of drugs metabolized by cytochrome P450 enzymes.



Children and Adolescents



At steady state, the pharmacokinetics of the parent compound, in children and adolescents (10 to 17 years of age), were similar to adults. However, when adjusted for dose and weight, AUC and Cmax of the parent compound were 41% and 39% lower, respectively, in children and adolescents than in adults. For the active metabolite, norquetiapine, AUC and Cmax were 45% and 31% higher, respectively, in children and adolescents than in adults. When adjusted for dose and weight, the pharmacokinetics of the metabolite, norquetiapine, was similar between children and adolescents and adults [see Use in Specific Populations (8.4)].



Absorption



Quetiapine reaches peak plasma concentrations approximately 6 hours following administration. Quetiapine extended-release tablets dosed once daily at steady state has comparable bioavailability to an equivalent total daily dose of Seroquel administered in divided doses, twice daily. A high-fat meal (approximately 800 to 1000 calories) was found to produce statistically significant increases in the quetiapine extended-release tablets Cmax and AUC of 44% to 52% and 20% to 22%, respectively, for the 50 mg and 300 mg tablets. In comparison, a light meal (approximately 300 calories) had no significant effect on the Cmax or AUC of quetiapine. It is recommended that quetiapine extended-release tablets be taken without food or with a light meal [see Dosage and Administration (2.1)].



Distribution



Quetiapine is widely distributed throughout the body with an apparent volume of distribution of 10±4 L/kg. It is 83% bound to plasma proteins at therapeutic concentrations. In vitro, quetiapine did not affect the binding of warfarin or diazepam to human serum albumin. In turn, neither warfarin nor diazepam altered the binding of quetiapine.



Metabolism and Elimination



Following a single oral dose of 14C-quetiapine, less than 1% of the administered dose was excreted as unchanged drug, indicating that quetiapine is highly metabolized. Approximately 73% and 20% of the dose was recovered in the urine and feces, respectively. The average dose fraction of free quetiapine and its major active metabolite is <5% excreted in the urine.



Quetiapine is extensively metabolized by the liver. The major metabolic pathways are sulfoxidation to the sulfoxide metabolite and oxidation to the parent acid metabolite; both metabolites are pharmacologically inactive. In vitro studies using human liver microsomes revealed that the cytochrome P450 3A4 isoenzyme is involved in the metabolism of quetiapine to its major, but inactive, sulfoxide metabolite and in the metabolism of its active metabolite norquetiapine.



Age



Oral clearance of quetiapine was reduced by 40% in elderly patients (≥65 years, n=9) compared to young patients (n=12), and dosing adjustment may be necessary [see Dosage and Administration (2.3)].



Gender



There is no gender effect on the pharmacokinetics of quetiapine.



Race



There is no race effect on the pharmacokinetics of quetiapine.



Smoking



Smoking has no effect on the oral clearance of quetiapine.



Renal Insufficiency



Patients with severe renal impairment (CLcr=10 to 30 mL/min/1.73m2, n=8) had a 25% lower mean oral clearance than normal subjects (CLcr>80 mL/min/1.73m2, n=8), but plasma quetiapine concentrations in the subjects with renal insufficiency were within the range of concentrations seen in normal subjects receiving the same dose. Dosage adjustment is therefore not needed in these patients [see Use in Specific Populations (8.6)].



Hepatic Insufficiency



Hepatically impaired patients (n=8) had a 30% lower mean oral clearance of quetiapine than normal subjects. In 2 of the 8 hepatically impaired patients, AUC and Cmax were 3 times higher than those observed typically in healthy subjects. Since quetiapine is extensively metabolized by the liver, higher plasma levels are expected in the hepatically impaired population, and dosage adjustment may be needed [see Dosage and Administration (2.4) and Use in Specific Populations (8.7)].



Drug-Drug Interaction Studies



The in vivo assessments of effect of other drugs on the pharmacokinetics of quetiapine are summarized in Table 24 [ see Dosage and Administration (2.5, 2.6) and Drug Interactions (7.1)].

Table 24: The Effect of Other Drugs on the Pharmacokinetics of Quetiapine
Coadministered

 Drug

Dose Schedules

Effect on Quetiapine

Pharmacokinetics

Coadministered Drug

Quetiapine

Phenytoin

100 mg three times daily

250 mg three times daily

5-fold increase in oral clearance

Divalproex

500 mg twice daily

150 mg twice daily

17% increase mean max plasma concentration at steady state.

No effect on absorption or mean oral clearance

Thioridazine

200 mg twice daily

300 mg twice daily

65% increase in oral clearance

Cimetidine

400 mg three times daily for 4 days

150 mg three times daily

20% decrease in mean oral clearance

Ketoconazole (potent CYP3A4 inhibitor)

200 mg once daily for 4 days

25 mg single dose

84% decrease in oral clearance resulting in a 6.2-fold increase in AUC of quetiapine

Fluoxetine

60 mg once daily

300 mg twice daily

No change in steady state PK

Imipramine

75 mg twice daily

300 mg twice daily

No change in steady state PK

Haloperidol

7.5 mg twice daily

300 mg twice daily

No change in steady state PK

Risperidone

3 mg twice daily

300 mg twice daily

No change in steady state PK

In vitro enzyme inhibition data suggest that quetiapine and 9 of its metabolites would have little inhibitory effect on in vivo metabolism mediated by cytochromes CYP 1A2, 2C9, 2C19, 2D6, and 3A4. Quetiapine at doses of 750 mg/day did not affect the single dose pharmacokinetics of antipyrine, lithium or lorazepam (Table 25) [ see Drug Interactions (7.2)].

Table 25: The Effect of Quetiapine on the Pharmacokinetics of Other Drugs
Coadministered

 Drug

Dose Schedules

Effect on Other Drugs

 Pharmacokinetics

Coadministered

 Drug

Quetiapine

Lorazepam

2 mg, single dose

250 mg three times daily

Oral clearance of lorazepam reduced by 20%

Divalproex

500 mg twice daily

150 mg twice daily

Cmax and AUC of free valproic acid at steady-state was decreased by 10 to 12%

Lithium

Up to 2400 mg/day given in twice daily

doses

250 mg three times daily

No effect on steady-state pharmacokinetics of lithium

Antipyrine

1 g, single dose

250 mg three times daily

No effect on clearance of antipyrine or urinary recovery of its metabolites

14.2 Bipolar Disorder

Bipolar I Disorder, manic or mixed episodes



Adults



The efficacy of quetiapine extended-release tablets in the acute treatment of manic episodes was established in one 3-week, placebo-controlled trial (Study 1 in Table 27) in patients who met DSM-IV criteria for bipolar I disorder with manic or mixed episodes with or without psychotic features (N=316). Patients were hospitalized for a minimum of 4 days at randomization. Patients randomized to quetiapine extended-release tablets received 300 mg on Day 1 and 600 mg on Day 2. Afterwards, the dose could be adjusted between 400 mg and 800 mg per day.



The primary rating instrument used for assessing manic symptoms in these trials was the Young Mania Rating Scale (YMRS), an 11-item clinician-rated scale traditionally used to assess the degree of manic symptoms in a range from 0 (no manic features) to 60 (maximum score). Quetiapine extended-release tablets were superior to placebo in the reduction of the YMRS total score at week 3.



The efficacy of Seroquel in the treatment of acute manic episodes was also established in 3 placebo-controlled trials in patients who met DSM-IV criteria for bipolar I disorder with manic episodes. These trials included patients with or without psychotic features and excluded patients with rapid cycling and mixed episodes. Of these trials, 2 were monotherapy (12 weeks) and 1 was adjunct therapy (3 weeks) to either lithium or divalproex. Key outcomes in these trials were change from baseline in the YMRS score at 3 and 12 weeks for monotherapy and at 3 weeks for adjunct therapy. Adjunct therapy is defined as the simultaneous initiation or subsequent administration of Seroquel with lithium or divalproex.



The results of the trials follow:



Monotherapy



In two 12-week trials (n=300, n=299) comparing Seroquel to placebo, Seroquel was superior to placebo in the reduction of the YMRS total score at weeks 3 and 12. The majority of patients in these trials taking Seroquel were dosed in a range between 400 mg/day and 800 mg/day (Studies 2 and 3 in Table 27).



Adjunct Therapy



In a 3-week placebo-controlled trial, 170 patients with bipolar mania (YMRS ≥20) were randomized to receive Seroquel or placebo as adjunct treatment to lithium or divalproex. Patients may or may not have received an adequate treatment course of lithium or divalproex prior to randomization. Seroquel was superior to placebo when added to lithium or divalproex alone in the reduction of YMRS total score. The majority of patients in this trial taking Seroquel were dosed in a range between 400 mg/day and 800 mg/day (Study 4 in Table 27).



Children and Adolescents (ages 10 to 17)



The efficacy of quetiapine extended-release tablets in the acute treatment of manic episodes associated with bipolar I disorder in children and adolescents (10 to 17 years of age) was extrapolated from a 3-week, double-blind, placebo-controlled, multicenter trial. Patients who met DSM-IV diagnostic criteria for a manic episode were randomized into one of three treatment groups: Seroquel 400 mg/day (n=95), Seroquel 600 mg/day (n=98), or placebo (n=91). Study medication was initiated at 50 mg/day and on day 2 increased to 100 mg/day (divided doses given two or three times daily). Subsequently, the dose was titrated to a target dose of 400 mg/day or 600 mg/day using increments of 100 mg/day, given in divided doses two or three times daily. The primary efficacy variable was the mean change from baseline in total YMRS score. Seroquel 400 mg/day and 600 mg/day were superior to placebo in the reduction of YMRS total score (Study 5 in Table 27).

Table 27: Mania Trials
Mood stabilizer: lithium or divalproex; SD: standard deviation; SE: standard error; LS Mean: least-squares mean;

CI: unadjusted confidence interval.

1. Doses that are statistically significantly superior to placebo.

2. Difference (drug minus placebo) in least-squares mean change from baseline.

3. Included in the trial as an active comparator.

4. Adult data mean baseline score is based on patients included in the primary analysis; pediatric mean baseline score is based on all patients in the ITT population.

Study Number

Treatment Group

Primary Efficacy Measure: YMRS Total

Mean Baseline

 Score (SD) 4

LS Mean Change

from Baseline (SE)

Placebo-subtracted

 Difference 2

 (95% CI)

Study 1

Quetiapine

Extended-Release

Tablets

(400 to 800 mg/day) 1

28.8 (5.4)

-14.3 (0.9)

-3.8 (-5.7, -2)

Placebo

28.4 (5.1)

-10.5 (0.9)

--

Study 2

Seroquel

(200 to 800 mg/day) 1

34 (6.1)

-12.3 (1.3)

-4 (-7, -1)

Haloperidol 1,3

32.3 (6)

-15.7 (1.3)

-7.4 (-10.4, -4.4)

Placebo

33.1 (6.6)

-8.3 (1.3)

--

Study 3

Seroquel

(200 to 800 mg/day) 1

32.7 (6.5)

-14.6 (1.5)

-7.9 (-10.9, -5)

Lithium 1,3

33.3 (7.1)

-15.2 (1.6)

-8.5 (-11.5, -5.5)

Placebo + mood stabilizer

34 (6.9)

-6.7 (1.6)

--

Study 4

Seroquel

(200 to 800 mg/day) 1

+ mood stabilizer

31.5 (5.8)

-13.8 (1.6)

-3.8 (-7.1, -0.6)

Placebo + mood

stabilizer

31.1 (5.5)

-10 (1.5)

--

Study 5

(children and

adolescents)

Seroquel 

(400 mg/day) 1

29.4 (5.9)

-14.3 (0.96)

-5.2 (-8.1, -2.3)

Seroquel 

(600 mg/day) 1

29.6 (6.4)

-15.6 (0.97)

-6.6 (-9.5, -3.7)

Placebo

30.7 (5.9)

-9 (1.1)

--

Bipolar Disorder, Depressive Episodes



Adults



The efficacy of quetiapine extended-release tablets for the acute treatment of depressive episodes associated with bipolar disorder in patients who met DSM-IV criteria for bipolar disorder was established in one 8-week, randomized, double-blind, placebo-controlled study (N=280 outpatients). This study included patients with bipolar I and II disorder, and those with and without a rapid cycling course. Patients randomized to quetiapine extended-release tablets were administered 50 mg on Day 1, 100 mg on Day 2, 200 mg on Day 3, and 300 mg on Day 4 and after.



The primary rating instrument used to assess depressive symptoms was the Montgomery-Asberg Depression Rating Scale (MADRS), a 10-item clinician-rated scale with scores ranging from 0 (no depressive features) to 60 (maximum score). The primary endpoint was the change from baseline in MADRS score at week 8. Quetiapine extended-release tablets were superior to placebo in reduction of MADRS score at week 8 (Study 6 in Table 28).



The efficacy of Seroquel for the treatment of depressive episodes associated with bipolar disorder was established in 2 identical 8-week, randomized, double-blind, placebo-controlled studies (N=1045). These studies included patients with either bipolar I or II disorder and those with or without a rapid cycling course. Patients randomized to Seroquel were administered fixed doses of either 300 mg or 600 mg once daily.



The primary rating instrument used to assess depressive symptoms in these studies was the MADRS. The primary endpoint in both studies was the change from baseline in MADRS score at week 8. In both studies, Seroquel was superior to placebo in reduction of MADRS score at week 8 (Studies 7 and 8 in Table 28). In these studies, no additional benefit was seen with the 600 mg dose. For the 300 mg dose group, statistically significant improvements over placebo were seen in overall quality of life and satisfaction related to various areas of functioning, as measured using the Q-LES-Q(SF).

Table 28: Depressive Episodes Associated with Bipolar Disorder
SD: standard deviation; SE: standard error; LS Mean: least-squares mean; CI: unadjusted confidence interval.

1. Doses that are statistically significantly superior to placebo.

2. Difference (drug minus placebo) in least-squares mean change from baseline.

Study Number

Treatment Group

Primary Efficacy Measure: MADRS Total

Mean Baseline

Score (SD)

LS Mean Change

from Baseline (SE)

Placebo-subtracted

 Difference 2

(95% CI)

Study 6

Quetiapine

Extended-Release

Tablets 

(300 mg/day) 1

29.8 (5.2)

-17.4 (1.2)

-5.5 (-7.9, -3.2)

Placebo

30.1 (5.5)

-11.9 (1.2)

--

Study 7

Seroquel

(300 mg/day) 1

30.3 (5)

-16.4 (0.9)

-6.1 (-8.3, -3.9)

Seroquel

(600 mg/day) 1

30.3 (5.3)

-16.7 (0.9)

-6.5 (-8.7, -4.3)

Placebo

30.6 (5.3)

-10.3 (0.9)

--

Study 8

Seroquel

(300 mg/day) 1

31.1 (5.7)

-16.9 (1)

-5 (-7.3, -2.7)

Seroquel

(600 mg/day) 1

29.9 (5.6)

-16 (1)

-4.1 (-6.4, -1.8)

Placebo

29.6 (5.4)

-11.9 (1)

--

Maintenance Treatment as an Adjunct to Lithium or Divalproex



The efficacy of Seroquel in the maintenance treatment of bipolar I disorder was established in 2 placebo-controlled trials in patients (n=1326) who met DSM-IV criteria for bipolar I disorder (studies 9 and 10). The trials included patients whose most recent episode was manic, depressed, or mixed, with or without psychotic features. In the open-label phase, patients were required to be stable on Seroquel plus lithium or divalproex for at least 12 weeks in order to be randomized. On average, patients were stabilized for 15 weeks. In the randomization phase, patients continued treatment with lithium or divalproex and were randomized to receive either Seroquel (administered twice-daily totaling 400 mg/day to 800 mg/day) or placebo. Approximately 50% of the patients had discontinued from the Seroquel group by day 280 and 50% of the placebo group had discontinued by day 117 of double-blind treatment. The primary endpoint in these studies was time to recurrence of a mood event (manic, mixed, or depressed episode). A mood event was defined as medication initiation or hospitalization for a mood episode; YMRS score ≥20 or MADRS score ≥20 at 2 consecutive assessments; or study discontinuation due to a mood event.



In both studies, Seroquel was superior to placebo in increasing the time to recurrence of any mood event (Figure 2 and Figure 3). The treatment effect was present for increasing time to recurrence of both manic and depressed episodes. The effect of Seroquel was independent of any specific subgroup (assigned mood stabilizer, sex, age, race, most recent bipolar episode, or rapid cycling course).









5.5 Metabolic Changes

Atypical antipsychotic drugs have been associated with metabolic changes that include hyperglycemia/diabetes mellitus, dyslipidemia, and body weight gain. While all of the drugs in the class have been shown to produce some metabolic changes, each drug has its own specific risk profile. In some patients, a worsening of more than one of the metabolic parameters of weight, blood glucose, and lipids was observed in clinical studies. Changes in these metabolic profiles should be managed as clinically appropriate.



Hyperglycemia and Diabetes Mellitus



Hyperglycemia, in some cases extreme and associated with ketoacidosis or hyperosmolar coma or death, has been reported in patients treated with atypical antipsychotics, including quetiapine. Assessment of the relationship between atypical antipsychotic use and glucose abnormalities is complicated by the possibility of an increased background risk of diabetes mellitus in patients with schizophrenia and the increasing incidence of diabetes mellitus in the general population. Given these confounders, the relationship between atypical antipsychotic use and hyperglycemia-related adverse reactions is not completely understood. However, epidemiological studies suggest an increased risk of hyperglycemia-related adverse reactions in patients treated with the atypical antipsychotics. Precise risk estimates for hyperglycemia-related adverse reactions in patients treated with atypical antipsychotics are not available.



Patients with an established diagnosis of diabetes mellitus who are started on atypical antipsychotics should be monitored regularly for worsening of glucose control. Patients with risk factors for diabetes mellitus (e.g., obesity, family history of diabetes) who are starting treatment with atypical antipsychotics should undergo fasting blood glucose testing at the beginning of treatment and periodically during treatment. Any patient treated with atypical antipsychotics should be monitored for symptoms of hyperglycemia including polydipsia, polyuria, polyphagia, and weakness. Patients who develop symptoms of hyperglycemia during treatment with atypical antipsychotics should undergo fasting blood glucose testing. In some cases, hyperglycemia has resolved when the atypical antipsychotic was discontinued; however, some patients required continuation of anti-diabetic treatment despite discontinuation of the suspect drug.



Adults:

Table 3: Fasting Glucose-Proportion of Patients Shifting to ≥126 mg/dL in Short-Term (≤12 weeks) Placebo-Controlled Studies1
1. Includes Seroquel and quetiapine extended-release tablets data.

Laboratory

Analyte



Category Change

(At Least Once)

from Baseline

Treatment Arm

N

Patients

n (%)

Fasting Glucose

Normal to High

 

(<100 mg/dL to

≥126 mg/dL)

Quetiapine

2907

71 (2.4%)

Placebo

1346

19 (1.4%)

Borderline to High

 

(≥100 mg/dL and

<126 mg/dL to

≥126 mg/dL)

Quetiapine

572

67 (11.7%)

Placebo

279

33 (11.8%)

In a 24-week trial (active-controlled, 115 patients treated with Seroquel) designed to evaluate glycemic status with oral glucose tolerance testing of all patients, at week 24 the incidence of post-glucose challenge glucose level ≥200 mg/dL was 1.7% and the incidence of a fasting blood glucose level ≥126 mg/dL was 2.6%. The mean change in fasting glucose from baseline was 3.2 mg/dL and mean change in 2-hour glucose from baseline was -1.8 mg/dL for quetiapine.



In 2 long-term placebo-controlled randomized withdrawal clinical trials for bipolar I disorder maintenance, mean exposure of 213 days for Seroquel (646 patients) and 152 days for placebo (680 patients), the mean change in glucose from baseline was +5 mg/dL for quetiapine and -0.05 mg/dL for placebo. The exposure-adjusted rate of any increased blood glucose level (≥126 mg/dL) for patients more than 8 hours since a meal (however, some patients may not have been precluded from calorie intake from fluids during fasting period) was 18 per 100 patient years for Seroquel (10.7% of patients; n=556) and 9.5 for placebo per 100 patient years (4.6% of patients; n=581).



Table 4 shows the percentage of patients with shifts in blood glucose to ≥126 mg/dL from normal baseline in MDD adjunct therapy trials by dose.

Table 4: Percentage of Patients with Shifts from Normal Baseline in Blood Glucose to ≥126 mg/dL (assumed fasting) in MDD Adjunct Therapy Trials by Dose
Laboratory

Analyte

Treatment Arm

N

Patients

n (%)

Blood Glucose

≥126 mg/dL

Quetiapine Extended-Release Tablets

150 mg

280

19 (7%)

Quetiapine Extended-Release Tablets

300 mg

269

32 (12%)

Placebo

277

17 (6%)

Children and Adolescents:



Safety and effectiveness of quetiapine extended-release tablets are supported from studies of Seroquel in children and adolescent patients 10 to 17 years of age [see Clinical Studies (14.2)]. In a placebo-controlled quetiapine extended-release tablets monotherapy study (8 weeks duration) of children and adolescent patients (10 to 17 years of age) with bipolar depression, in which efficacy was not established, the mean change in fasting glucose levels for quetiapine extended-release tablets (n=60) compared to placebo (n=62) was 1.8 mg/dL versus 1.6 mg/dL. In this study, there were no patients in the quetiapine extended-release tablets or placebo-treated groups with a baseline normal fasting glucose level (<100 mg/dL) that had an increase in blood glucose level >126 mg/dL. There was one patient in the quetiapine extended-release tablets group with a baseline borderline fasting glucose level (≥100 mg/dL and <126 mg/dL) who had an increase in blood glucose level of >126 mg/dL compared to zero patients in the placebo group.



In a placebo-controlled Seroquel monotherapy study of adolescent patients (13 to 17 years of age) with schizophrenia (6 weeks duration), the mean change in fasting glucose levels for Seroquel (n=138) compared to placebo (n=67) was –0.75 mg/dL versus –1.7 mg/dL. In a placebo-controlled Seroquel monotherapy study of children and adolescent patients (10 to 17 years of age) with bipolar mania (3 weeks duration), the mean change in fasting glucose level for Seroquel (n=170) compared to placebo (n=81) was 3.62 mg/dL versus –1.17 mg/dL. No patient in either study with a baseline normal fasting glucose level (<100 mg/dL) or a baseline borderline fasting glucose level (≥100 mg/dL and <126 mg/dL) had a blood glucose level of ≥126 mg/dL.



Dyslipidemia



Adults:



Table 5 shows the percentage of patients with changes in cholesterol and triglycerides from baseline by indication in clinical trials with quetiapine extended-release tablets.

Table 5: Percentage of Adult Patients with Shifts in Total Cholesterol, Triglycerides, LDL-Cholesterol and HDL-Cholesterol from Baseline to Clinically Significant Levels by Indication
1.  6 weeks duration

2.  8 weeks duration

3.  3 weeks duration

Laboratory

 Analyte

Indication

Treatment Arm

N

Patients

n (%)

Total Cholesterol

 ≥240 mg/dL

Schizophrenia 1

Quetiapine

 Extended-Release

 Tablets

718

67 (9%)

Placebo

232

21 (9%)

Bipolar

Depression 2

Quetiapine Extended-Release

 Tablets

85

6 (7%)

Placebo

106

3 (3%)

Bipolar Mania 3

Quetiapine

 Extended-Release

 Tablets

128

9 (7%)

Placebo

134

5 (4%)

Major Depressive Disorder

 (Adjunct Therapy) 1

Quetiapine

 Extended-Release

 Tablets

420

67 (16%)

Placebo

213

15 (7%)

Triglycerides

≥200 mg/dL

Schizophrenia 1

Quetiapine

 Extended-Release

 Tablets

659

118 (18%)

Placebo

214

11 (5%)

Bipolar

Depression 2

Quetiapine

 Extended-Release

 Tablets

84

7 (8%)

Placebo

93

7 (8%)

Bipolar Mania 3

Quetiapine

 Extended-Release

 Tablets

102

15 (15%)

Placebo

125

8 (6%)

Major Depressive Disorder

 (Adjunct Therapy) 1

Quetiapine

 Extended-Release

 Tablets

458

75 (16%)

Placebo

223

18 (8%)

LDL-Cholesterol

≥160 mg/dL

Schizophrenia 1

Quetiapine

 Extended-Release

 Tablets

691

47 (7%)

Placebo

227

17 (8%)

Bipolar

Depression 2

Quetiapine

 Extended-Release

 Tablets

86

3 (4%)

Placebo

104

2 (2%)

Bipolar Mania 3

Quetiapine

 Extended-Release

 Tablets

125

5 (4%)

Placebo

135

2 (2%)

Major Depressive Disorder

(Adjunct Therapy) 1

Quetiapine

 Extended-Release

Tablets

457

51 (11%)

Placebo

219

21 (10%)

HDL-Cholesterol

≤40 mg/dL

Schizophrenia 1

Quetiapine

 Extended-Release

 Tablets

600

87 (15%)

Placebo

195

23 (12%)

Bipolar Depression 2

Quetiapine

 Extended-Release Tablets

78

7 (9%)

Placebo

83

6 (7%)

Bipolar Mania 3

Quetiapine

 Extended-Release

 Tablets

100

19 (19%)

Placebo

115

15 (13%)

Major Depressive Disorder

 (Adjunct Therapy) 1

Quetiapine

 Extended-Release

 Tablets

470

34 (7%)

Placebo

230

19 (8%)

In Seroquel clinical trials for schizophrenia, the percentage of patients with shifts in cholesterol and triglycerides from baseline to clinically significant levels were 18% (placebo: 7%) and 22% (placebo: 16%). HDL-cholesterol and LDL-cholesterol parameters were not measured in these studies. In Seroquel clinical trials for bipolar depression, the following percentage of patients had shifts from baseline to clinically significant levels for the four lipid parameters measured: total cholesterol 9% (placebo: 6%); triglycerides 14% (placebo: 9%); LDL-cholesterol 6% (placebo: 5%) and HDL-cholesterol 14% (placebo: 14%). Lipid parameters were not measured in the bipolar mania studies.



Table 6 shows the percentage of patients in MDD adjunctive therapy trials with clinically significant shifts in total-cholesterol, triglycerides, LDL-cholesterol and HDL-cholesterol from baseline by dose.

Table 6: Percentage of Patients with Shifts in Total Cholesterol, Triglycerides, LDL-Cholesterol, and HDL-Cholesterol from Baseline to Clinically Significant Levels in MDD Adjunctive Therapy Trials by Dose
1. 6 weeks duration

Laboratory Analyte

Treatment Arm 1

N

Patients

n (%)

Cholesterol

≥240 mg/dL

Quetiapine

 Extended-Release Tablets

150 mg

223

41 (18%)

Quetiapine

 Extended-Release Tablets

300 mg

197

26 (13%)

Placebo

213

15 (7%)

Triglycerides

≥200 mg/dL

Quetiapine

 Extended-Release Tablets

150 mg

232

36 (16%)

Quetiapine

 Extended-Release Tablets

300 mg

226

39 (17%)

Placebo

223

18 (8%)

LDL-Cholesterol

 ≥160 mg/dL

Quetiapine

 Extended-Release Tablets

150 mg

242

29 (12%)

Quetiapine

 Extended-Release Tablets

300 mg

215

22 (10%)

Placebo

219

21 (10%)

HDL-Cholesterol

≤40 mg/dL

Quetiapine

 Extended-Release Tablets

150 mg

238

14 (6%)

Quetiapine

 Extended-Release Tablets

300 mg

232

20 (9%)

Placebo

230

19 (8%)

Children and Adolescents:



Safety and effectiveness of quetiapine extended-release tablets are supported by studies of Seroquel in children and adolescent patients 10 to 17 years of age [see Clinical Studies (14.1 and 14.2)].



In a placebo-controlled quetiapine extended-release tablets monotherapy study (8 weeks duration) of children and adolescent patients (10 to 17 years of age) with bipolar depression, in which efficacy was not established, the percentage of children and adolescents with shifts in total cholesterol (≥200 mg/dL), triglycerides (≥150 mg/dL), LDL-cholesterol (≥130 mg/dL), and HDL-cholesterol (≤40 mg/dL) from baseline to clinically significant levels were: total cholesterol 8% (7/83) for quetiapine extended-release tablets vs. 6% (5/84) for placebo; triglycerides 28% (22/80) for quetiapine extended-release tablets vs. 9% (7/82) for placebo; LDL-cholesterol 2% (2/86) for quetiapine extended-release tablets vs. 4% (3/85) for placebo and HDL-cholesterol 20% (13/65) for quetiapine extended-release tablets vs. 15% (11/74) for placebo.



Table 7 shows the percentage of children and adolescents with shifts in total cholesterol, triglycerides, LDL-cholesterol, and HDL-cholesterol from baseline to clinically significant levels by indication in clinical trials with Seroquel in adolescents (13 to 17 years) with schizophrenia and in children and adolescents (10 to 17 years) with bipolar mania.

Table 7: Percentage of Children and Adolescents with Shifts in Total Cholesterol, Triglycerides, LDL-Cholesterol, and HDL-Cholesterol from Baseline to Clinically Significant Levels by Indication
1. 13 to 17 years, 6 weeks duration

2. 10 to 17 years, 3 weeks duration

  Laboratory Analyte

Indication

Treatment Arm

N

Patients

n (%)

Total Cholesterol

≥200 mg/dL

Schizophrenia 1

 Seroquel

107

13 (12%)

Placebo

56

1 (2%)

Bipolar Mania 2

Seroquel

159

16 (10%)

Placebo

66

2 (3%)

Triglycerides

≥150 mg/dL

Schizophrenia 1

Seroquel

103

17 (17%)

Placebo

51

4 (8%)

Bipolar Mania 2

Seroquel

149

32 (22%)

Placebo

60

8 (13%)

LDL-Cholesterol

≥130 mg/dL

Schizophrenia 1

Seroquel

112

4 (4%)

Placebo

60

1 (2%)

Bipolar Mania 2

 Seroquel

169

13 (8%)

Placebo

74

4 (5%)

HDL-Cholesterol ≤40 mg/dL

Schizophrenia 1

 Seroquel

104

16 (15%)

Placebo

54

10 (19%)

Bipolar Mania 2

Seroquel

154

16 (10%)

Placebo

61

4 (7%)

Weight Gain



Increases in weight have been observed in clinical trials. Patients receiving quetiapine should receive regular monitoring of weight.



Adults:
Table 8 shows the percentage of adult patients with weight gain of ≥7% of body weight by indication.



Table 8: Percentage of Patients with Weight Gain ≥7% of Body Weight (Adults) by Indication
1. 6 weeks duration

2. 3 weeks duration

3. 8 weeks duration

Vital sign

Indication

Treatment Arm

N

Patients

n (%)

Weight Gain

≥7% of Body

 Weight

 

Schizophrenia 1

Quetiapine

 Extended-Release Tablets

907

90 (10%)

Placebo

299

16 (5%)

Bipolar Mania 2

Quetiapine

 Extended-Release Tablets

138

7 (5%)

Placebo

150

0 (0%)

Bipolar Depression 3

Quetiapine

 Extended-Release Tablets

110

9 (8%)

Placebo

125

1 (1%)

Major Depressive

 Disorder (Adjunctive

 Therapy) 1

Quetiapine

 Extended-Release Tablets

616

32 (5%)

Placebo

302

5 (2%)

In schizophrenia trials, the proportions of patients meeting a weight gain criterion of ≥7% of body weight were compared in a pool of four 3- to 6-week placebo-controlled clinical trials, revealing a statistically significant greater incidence of weight gain for Seroquel (23%) compared to placebo (6%).



Table 9 shows the percentage of adult patients with weight gain of ≥7% of body weight for MDD by dose.

Table 9: Percentage of Patients with Weight Gain ≥7% of Body Weight in MDD Adjunctive Therapy Trials by Dose (Adults)
Vital sign

Treatment Arm

N

Patients

n (%)

Weight Gain ≥7% of

Body Weight in MDD

 Adjunctive Therapy

Quetiapine

 Extended-Release Tablets

150 mg

309

10 (3%)

Quetiapine

 Extended-Release Tablets

 300 mg

307

22 (7%)

Placebo

302

5 (2%)

Children and Adolescents: Safety and effectiveness of quetiapine extended-release tablets are supported by studies of Seroquel in children and adolescent patients 10 to 17 years of age [see Clinical Studies (14.1 and 14.2)]. In a clinical trial for quetiapine extended-release tablets in children and adolescents (10 to 17 years of age) with bipolar depression, in which efficacy was not established, the percentage of patients with weight gain ≥7% of body weight at any time was 15% (14/92) for quetiapine extended-release tablets vs. 10% (10/100) for placebo. The mean change in body weight was 1.4 kg in the quetiapine extended-release tablets group vs. 0.6 kg in the placebo group.



Weight gain was greater in patients 10 to 12 years of age compared to patients 13 to 17 years of age. The percentage of patients 10 to 12 years of age with weight gain ≥7% at any time was 28% (7/25) for quetiapine extended-release tablets vs. 0% (0/28) for placebo. The percentage of patients 13 to 17 years of age with weight gain ≥7% at any time was 10.4% (7/67) for quetiapine extended-release tablets vs. 13.9% (10/72) for placebo.



Table 10 shows the percentage of children and adolescents with weight gain ≥7% of body weight in clinical trials with Seroquel in adolescents (13 to 17 years) with schizophrenia and in children and adolescents (10 to 17 years) with bipolar mania.



Table 10: Percentage of Patients with Weight Gain ≥7% of Body Weight (Children and Adolescents)


1. 6 weeks duration

2. 3 weeks duration
Vital sign

Indication

Treatment Arm

N

Patients

n (%)

Weight Gain

≥7% of Body

 Weight

Schizophrenia 1

 Seroquel

111

23 (21%)

Placebo

44

3 (7%)

Bipolar Mania 2

 Seroquel

157

18 (12%)

Placebo

68

0 (0%)

The mean change in body weight in the schizophrenia trial was 2 kg in the Seroquel group and -0.4 kg in the placebo group and in the bipolar mania trial it was 1.7 kg in the Seroquel group and 0.4 kg in the placebo group.



In an open-label study that enrolled patients from the above two pediatric trials, 63% of patients (241/380) completed 26 weeks of therapy with Seroquel. After 26 weeks of treatment, the mean increase in body weight was 4.4 kg. Forty-five percent of the patients gained ≥7% of their body weight, not adjusted for normal growth. In order to adjust for normal growth over 26 weeks, an increase of at least 0.5 standard deviation from baseline in BMI was used as a measure of a clinically significant change; 18.3% of patients on Seroquel met this criterion after 26 weeks of treatment.



When treating pediatric patients with Seroquel for any indication, weight gain should be assessed against that expected for normal growth.

2.2 Recommended Dosing

The recommended initial dose, titration, dose range and maximum quetiapine extended-release tablets dose for each approved indication is displayed in Table 1 below. After initial dosing, adjustments can be made upwards or downwards, if necessary, depending upon the clinical response and tolerability of the patient [see Clinical Studies (14.114.2 and 14.3)].

Table 1: Recommended Dosing for Quetiapine Extended-Release Tablets
Indication

Initial Dose and Titration

Recommended Dose 

Maximum Dose

Schizophrenia - Adults

 

Day 1: 300 mg/day

Dose increases can be made at intervals as short as 1 day and in increments of up to 300 mg/day

400 to 800 mg/day

 

800 mg/day

 

Schizophrenia - Adolescents (13 to 17 years)

Day 1: 50 mg/day

Day 2: 100 mg/day

Day 3: 200 mg/day

Day 4: 300 mg/day

Day 5: 400 mg/day

400 to 800 mg/day

 

800 mg/day

Schizophrenia Maintenance - Monotherapy - Adults

Not applicable

400 to 800 mg/day

800 mg/day

Bipolar I Disorder manic or mixed-Acute monotherapy or adjunct to lithium or divalproex-Adults

Day 1: 300 mg/day

Day 2: 600 mg/day

Day 3: between 400 and

800 mg/day

400 to 800 mg/day

800 mg/day

Bipolar I Disorder, manic - Acute monotherapy - Children and Adolescents (10 to 17 years)

Day 1: 50 mg/day

Day 2: 100 mg/day

Day 3: 200 mg/day

Day 4: 300 mg/day

Day 5: 400 mg/day

400 to 600 mg/day

600 mg/day

Bipolar Disorder, Depressive Episodes - Adults

Day 1: 50 mg/day

Day 2: 100 mg/day

Day 3: 200 mg/day

Day 4: 300 mg/day

300 mg/day

300 mg/day

Bipolar I Disorder Maintenance - Adjunct to lithium or divalproex - Adults

 

Not applicable

 

400 to 800 mg/day

800 mg/day

Major Depressive Disorder - Adjunctive Therapy with Antidepressants - Adults

Day 1: 50 mg/day

Day 2: 50 mg/day

Day 3: 150 mg/day

150 to 300 mg/day

300 mg/day

Maintenance Treatment for Schizophrenia and Bipolar I Disorder



Maintenance Treatment—Patients should be periodically reassessed to determine the need for maintenance treatment and the appropriate dose for such treatment [see Clinical Studies (14.1, 14.2)].

5.6 Tardive Dyskinesia

A syndrome of potentially irreversible, involuntary, dyskinetic movements may develop in patients treated with antipsychotic drugs including quetiapine. Although the prevalence of the syndrome appears to be highest among the elderly, especially elderly women, it is impossible to rely upon prevalence estimates to predict, at the inception of antipsychotic treatment, which patients are likely to develop the syndrome. Whether antipsychotic drug products differ in their potential to cause tardive dyskinesia is unknown.



The risk of developing tardive dyskinesia and the likelihood that it will become irreversible are believed to increase as the duration of treatment and the total cumulative dose of antipsychotic drugs administered to the patient increase. However, the syndrome can develop, although much less commonly, after relatively brief treatment periods at low doses or may even arise after discontinuation of treatment.



Tardive dyskinesia may remit, partially or completely, if antipsychotic treatment is withdrawn. Antipsychotic treatment, itself, however, may suppress (or partially suppress) the signs and symptoms of the syndrome and thereby may possibly mask the underlying process. The effect that symptomatic suppression has upon the long-term course of the syndrome is unknown.



Given these considerations, quetiapine extended-release tablets should be prescribed in a manner that is most likely to minimize the occurrence of tardive dyskinesia. Chronic antipsychotic treatment should generally be reserved for patients who appear to suffer from a chronic illness that (1) is known to respond to antipsychotic drugs, and (2) for whom alternative, equally effective, but potentially less harmful treatments are not available or appropriate. In patients who do require chronic treatment, the smallest dose and the shortest duration of treatment producing a satisfactory clinical response should be sought. The need for continued treatment should be reassessed periodically.



If signs and symptoms of tardive dyskinesia appear in a patient on quetiapine extended-release tablets, drug discontinuation should be considered. However, some patients may require treatment with quetiapine despite the presence of the syndrome.

8.7 Hepatic Impairment

Since quetiapine is extensively metabolized by the liver, higher plasma levels are expected in patients with hepatic impairment. In this population, a low starting dose of 50 mg/day is recommended and the dose may be increased in increments of 50 mg/day [see Dosage and Administration (2.4) and Clinical Pharmacology (12.3)].

1 Indications and Usage (1 INDICATIONS AND USAGE)

Quetiapine extended-release tablets are an atypical antipsychotic indicated for the treatment of:

  • Schizophrenia (1.1)
  • Bipolar I disorder, manic, or mixed episodes (1.2)
  • Bipolar disorder, depressive episodes (1.2)
  • Major depressive disorder, adjunctive therapy with antidepressants (1.3)
5.15 Hyperprolactinemia

Adults: During clinical trials with quetiapine across all indications, the incidence of shifts in prolactin levels to a clinically significant value occurred in 3.6% (158/4416) of patients treated with quetiapine compared to 2.6% (51/1968) on placebo.



Children and Adolescents: Safety and effectiveness of quetiapine extended-release tablets are supported by studies of Seroquel in children and adolescent patients 10 to 17 years of age [see Clinical Studies (14.1 and 14.2)]. In acute placebo-controlled trials in children and adolescent patients with bipolar mania (3-week duration) or schizophrenia (6-week duration), the incidence of shifts in prolactin levels to a value (>20 mcg/L males; >26 mcg/L females at any time) was 13.4% (18/134) for Seroquel compared to 4% (3/75) for placebo in males and 8.7% (9/104) for Seroquel compared to 0% (0/39) for placebo in females.



Like other drugs that antagonize dopamine D2 receptors, quetiapine extended-release tablets elevate prolactin levels in some patients and the elevation may persist during chronic administration. Hyperprolactinemia, regardless of etiology, may suppress hypothalamic GnRH, resulting in reduced pituitary gonadotrophin secretion. This, in turn, may inhibit reproductive function by impairing gonadal steroidogenesis in both female and male patients. Galactorrhea, amenorrhea, gynecomastia, and impotence have been reported in patients receiving prolactin-elevating compounds. Long-standing hyperprolactinemia when associated with hypogonadism may lead to decreased bone density in both female and male subjects.



Tissue culture experiments indicate that approximately one-third of human breast cancers are prolactin dependent in vitro, a factor of potential importance if the prescription of these drugs is considered in a patient with previously detected breast cancer. As is common with compounds which increase prolactin release, mammary gland, and pancreatic islet cell neoplasia (mammary adenocarcinomas, pituitary, and pancreatic adenomas) was observed in carcinogenicity studies conducted in mice and rats [see Nonclinical Toxicology (13.1)]. Published epidemiologic studies have shown inconsistent results when exploring the potential association between hyperprolactinemia and breast cancer.



12.1 Mechanism of Action

The mechanism of action of quetiapine in the listed indications is unclear. However, the efficacy of quetiapine in these indications could be mediated through a combination of dopamine type 2 (D2) and serotonin type 2A (5HT2A) antagonism. The active metabolite, N-desalkyl quetiapine (norquetiapine), has similar activity at D2, but greater activity at 5HT2A receptors, than the parent drug (quetiapine).

9.1 Controlled Substance

Quetiapine extended-release tablets are not a controlled substance.

5 Warnings and Precautions (5 WARNINGS AND PRECAUTIONS)
  • Cerebrovascular Adverse Reactions:  Increased incidence of cerebrovascular adverse reactions (e.g., stroke, transient ischemic attack) has been seen in elderly patients with dementia-related psychoses treated with atypical antipsychotic drugs (5.3)
  • Neuroleptic Malignant Syndrome (NMS):  Manage with immediate discontinuation and close monitoring (5.4)
  • Metabolic Changes:  Atypical antipsychotics have been associated with metabolic changes. These metabolic changes include hyperglycemia, dyslipidemia, and weight gain (5.5)
    • Hyperglycemia and Diabetes Mellitus:  Monitor patients for symptoms of hyperglycemia including polydipsia, polyuria, polyphagia, and weakness. Monitor glucose regularly in patients with diabetes or at risk for diabetes
    • Dyslipidemia:  Undesirable alterations have been observed in patients treated with atypical antipsychotics. Appropriate clinical monitoring is recommended, including fasting blood lipid testing at the beginning of, and periodically, during treatment
    • Weight Gain:  Gain in body weight has been observed; clinical monitoring of weight is recommended
  • Tardive Dyskinesia:  Discontinue if clinically appropriate (5.6)
  • Hypotension:  Use with caution in patients with known cardiovascular or cerebrovascular disease (5.7)
  • Increased Blood Pressure in Children and Adolescents:  Monitor blood pressure at the beginning of, and periodically during treatment in children and adolescents (5.9)
  •  Leukopenia, Neutropenia, and Agranulocytosis:  Monitor complete blood count frequently during the first few months of treatment in patients with a pre-existing low white cell count or a history of leukopenia/neutropenia and discontinue quetiapine extended-release tablets at the first sign of a decline in WBC in absence of other causative factors (5.10)
  • Cataracts:  Lens changes have been observed in patients during long-term quetiapine treatment. Lens examination is recommended when starting treatment and at 6-month intervals during chronic treatment (5.11)
  • Anticholinergic(antimuscarinic) Effects: Use with caution with other anticholinergic drugs and in patients with urinary retention, prostatic hypertrophy, or constipation (5.20)
2 Dosage and Administration (2 DOSAGE AND ADMINISTRATION)
  • Swallow tablets whole and do not split, chew or crush (2.1)
  • Take without food or with a light meal (approx. 300 calories) (2.1)
  • Administer once daily, preferably in the evening (2.1)
  • Geriatric Use: Consider a lower starting dose (50 mg/day), slower titration, and careful monitoring during the initial dosing period in the elderly. (2.38.5)
  • Hepatic Impairment: Lower starting dose (50 mg/day) and slower titration may be needed (2.4, 8.712.3)


Indication

Initial Dose

Recommended Dose

Maximum

Dose

Schizophrenia - Adults (2.2)

300 mg/day

400 to 800 mg/day

800 mg/day

Schizophrenia -

Adolescents (13 to 17

years) (2.2)

50 mg/day

400 to 800 mg/day

800 mg/day

Bipolar I Disorder manic or mixed - Acute monotherapy or adjunct to lithium or divalproex - Adults (2.2)

300 mg/day

400 to 800 mg/day

800 mg/day

Bipolar I Disorder, manic Acute monotherapy - Children and Adolescents (10 to 17 years) (2.2)

50 mg/day

400 to 600

mg/day

600 mg/day

Bipolar Disorder, Depressive Episodes - Adults (2.2)

50 mg/day

300 mg/day

300 mg/day

Major Depressive Disorder, Adjunctive Therapy with Antidepressants - Adults (2.2)

50 mg/day

150 to 300 mg/day

300 mg/day

3 Dosage Forms and Strengths (3 DOSAGE FORMS AND STRENGTHS)
  • Quetiapine Extended-Release Tablets, USP 50 mg are peach, film-coated, capsule shaped, biconvex, tablet debossed with “Z45” on one side and plain on the other side.
  • Quetiapine Extended-Release Tablets, USP 150 mg are white, film-coated, capsule shaped, biconvex, tablet debossed with “Z46” on one side and plain on the other side.
  • Quetiapine Extended-Release Tablets, USP 200 mg are yellow, film-coated, capsule shaped, biconvex, tablet debossed with “Z47” on one side and plain on the other side.
  • Quetiapine Extended-Release Tablets, USP 300 mg are pale yellow, film-coated, capsule shaped, biconvex, tablet debossed with “Z48” on one side and plain on the other side.
  • Quetiapine Extended-Release Tablets, USP 400 mg are white, film-coated, capsule shaped, biconvex, tablet debossed with “Z49” on one side and plain on the other side.
6.2 Postmarketing Experience

The following adverse reactions were identified during post approval use of Seroquel. Because these reactions are reported voluntarily from a population of uncertain size, it is not always possible to reliably estimate their frequency or establish a causal relationship to drug exposure.



Adverse reactions reported since market introduction which were temporally related to quetiapine therapy include anaphylactic reaction, cardiomyopathy, drug reaction with eosinophilia and systemic symptoms (DRESS), hyponatremia, myocarditis, nocturnal enuresis, pancreatitis, retrograde amnesia, rhabdomyolysis, syndrome of inappropriate antidiuretic hormone secretion (SIADH), Stevens-Johnson syndrome (SJS), toxic epidermal necrolysis (TEN), decreased platelet count, serious liver reactions (including hepatitis, liver necrosis, and hepatic failure), agranulocytosis, intestinal obstruction, ileus, colon ischemia, sleep apnea, urinary retention, acute generalized exanthematous pustulosis (AGEP), confusional state, cutaneous vasculitis, and fecal incontinence. Bezoar observed in overdosage [see Overdosage (10)].

10.2 Management of Overdosage

Establish and maintain an airway and ensure adequate oxygenation and ventilation. Cardiovascular monitoring should commence immediately and should include continuous electrocardiographic monitoring to detect possible arrhythmias.

Appropriate supportive measures are the mainstay of management. For the most up-to-date information on the management of quetiapine extended-release tablets overdosage, contact a certified Regional Poison Control Center (1-800-222-1222).



Quetiapine extended-release tablets overdose may lead to gastric bezoar formation and appropriate diagnostic imaging is recommended to further guide patient management. Routine gastric lavage may not be effective in the removal of the bezoar due to gum like sticky consistency of the mass. Endoscopic pharmacobezoar removal has been performed successfully.

5.19 Discontinuation Syndrome

Acute withdrawal symptoms, such as insomnia, nausea, and vomiting have been described after abrupt cessation of atypical antipsychotic drugs, including quetiapine. In short-term placebo-controlled, monotherapy clinical trials with quetiapine extended-release tablets that included a discontinuation phase which evaluated discontinuation symptoms, the aggregated incidence of patients experiencing one or more discontinuation symptoms after abrupt cessation was 12.1% (241/1993) for quetiapine extended-release tablets and 6.7% (71/1065) for placebo. The incidence of the individual adverse reactions (i.e., insomnia, nausea, headache, diarrhea, vomiting, dizziness, and irritability) did not exceed 5.3% in any treatment group and usually resolved after 1-week post-discontinuation. Gradual dose reduction is advised [see Use in Specific Populations (8.1)].

8 Use in Specific Populations (8 USE IN SPECIFIC POPULATIONS)
  • Pregnancy: May cause extrapyramidal and/or withdrawal symptoms in neonates with third trimester exposure. (8.1)
6.1 Clinical Studies Experience

Because clinical trials are conducted under widely varying conditions, adverse reaction rates observed in the clinical trials of a drug cannot be directly compared to rates in the clinical trials of another drug and may not reflect the rates observed in clinical practice.



Adults



The information below is derived from a clinical trial database for quetiapine extended-release tablets consisting of approximately 3400 patients exposed to quetiapine extended-release tablets for the treatment of Schizophrenia, Bipolar Disorder, and Major Depressive Disorder in placebo-controlled trials. This experience corresponds to approximately 1020.1 patient-years. Adverse reactions were assessed by collecting adverse reactions, results of physical examinations, vital signs, body weights, laboratory analyses, and ECG results.



The stated frequencies of adverse reactions represent the proportion of individuals who experienced, at least once, an adverse reaction of the type listed.



Adverse Reactions Associated with Discontinuation of Treatment in Short-Term, Placebo-Controlled Trials:



Schizophrenia: 
There were no adverse reactions leading to discontinuation that occurred at an incidence of ≥2% for quetiapine extended-release tablets in schizophrenia trials.



Bipolar I Disorder, Manic or Mixed Episodes:
There were no adverse reactions leading to discontinuation that occurred at an incidence of ≥2% for quetiapine extended-release tablets in the bipolar mania trial.



Bipolar Disorder, Depressive Episode
: In a single clinical trial in patients with bipolar depression, 14% (19/137) of patients on quetiapine extended-release tablets discontinued due to an adverse reaction compared to 4% (5/140) on placebo. Somnolence   was the only adverse reaction leading to discontinuation that occurred at an incidence of ≥2% in quetiapine extended-release tablets in the bipolar depression trial.



MDD, Adjunctive Therapy:
  In adjunctive therapy clinical trials in patients with MDD, 12.1% (76/627) of patients on quetiapine extended-release tablets discontinued due to adverse reaction compared to 1.9% (6/309) on placebo. Somnolence was the only adverse reaction leading to discontinuation that occurred at an incidence of ≥2% in quetiapine extended-release tablets in MDD trials.



Commonly Observed Adverse Reactions in Short-Term, Placebo-Controlled Trials:



In short-term placebo-controlled studies for schizophrenia the most commonly observed adverse reactions associated with the use of quetiapine extended-release tablets (incidence of 5% or greater) and observed at a rate on quetiapine extended-release tablets at least twice that of placebo were somnolence (25%), dry mouth (12%), dizziness (10%), and dyspepsia (5%).



Adverse Reactions Occurring at an Incidence of 2% or More Among Quetiapine Extended-Release Tablets Treated Patients in Short-Term, Placebo-Controlled Trials.



Table 12 enumerates the incidence, rounded to the nearest percent, of adverse reactions that occurred during acute therapy of schizophrenia (up to 6 weeks) in 2% or more in patients treated with quetiapine extended-release tablets (doses ranging from 300 to 800 mg/day) where the incidence in patients treated with quetiapine extended-release tablets was greater than the incidence in placebo-treated patients.

Table 12:  Adverse Reactions in 6-Week Placebo-Controlled Clinical Trials for the Treatment of Schizophrenia
1. Somnolence combines adverse reaction terms somnolence and sedation.

2. Extrapyramidal symptoms include the terms: cogwheel rigidity, drooling, dyskinesia dystonia, extrapyramidal disorder, hypertonia, movement disorder, muscle rigidity, parkinsonism, parkinsonian gait, and tardive dyskinesia.

Preferred Term

Quetiapine

 Extended-Release

 Tablets

(N=951)

Placebo

(N=319)

Somnolence 1

25%

10%

Dry Mouth

12%

1%

Dizziness

10%

4%

Extrapyramidal Symptoms 2

8%

5%

Orthostatic Hypotension

7%

5%

Constipation

6%

5%

Dyspepsia

5%

2%

Heart Rate Increased

4%

1%

Tachycardia

3%

1%

Fatigue

3%

2%

Hypotension

3%

1%

Vision Blurred

2%

1%

Toothache

2%

0%

Increased Appetite

2%

0%

Muscle Spasms

2%

1%

Tremor

2%

1%

Akathisia

2%

1%

Anxiety

2%

1%

Schizophrenia

2%

1%

Restlessness

2%

1%

In a 3-week, placebo-controlled study in bipolar mania the most commonly observed adverse reactions associated with the use of quetiapine extended-release tablets (incidence of 5% or greater) and observed at a rate on quetiapine extended-release tablets at least twice that of placebo were somnolence (50%), dry mouth (34%), dizziness (10%), constipation (10%), weight gain (7%), dysarthria (5%), and nasal congestion (5%).



Table 13 enumerates the incidence, rounded to the nearest percent, of adverse reactions that occurred during acute therapy of bipolar mania (up to 3 weeks) in 2% or more of patients treated with quetiapine extended-release tablets (doses ranging from 400 to 800 mg/day) where the incidence in patients treated with quetiapine extended-release tablets was greater than the incidence in placebo-treated patients.

Table 13: Adverse Reactions in a 3-Week Placebo-Controlled Clinical Trial for the Treatment of Bipolar Mania
1. Somnolence combines adverse reaction terms somnolence and sedation.

2. Extrapyramidal symptoms include the terms: muscle spasms, akathisia, cogwheel rigidity, dystonia, extrapyramidal disorder, restlessness, and tremor.

Preferred Term

Quetiapine

 Extended-Release

Tablets

 (N=151)

Placebo

(N=160)

Somnolence 1

50%

12%

Dry Mouth

34%

7%

Dizziness

10%

4%

Constipation

10%

3%

Dyspepsia

7%

4%

Fatigue

7%

4%

Weight Gain

7%

1%

Extrapyramidal Symptoms 2

7%

4%

Nasal Congestion

5%

1%

Dysarthria

5%

0%

Increased Appetite

4%

2%

Back Pain

3%

2%

Toothache

3%

1%

Heart Rate Increased

3%

0%

Abnormal Dreams

3%

0%

Orthostatic Hypotension

3%

0%

Tachycardia

2%

1%

Vision Blurred

2%

1%

Sluggishness

2%

1%

Lethargy

2%

1%

In the 8-week placebo-controlled bipolar depression study in adults, the most commonly observed adverse reactions associated with the use of quetiapine extended-release tablets (incidence of 5% or greater) and observed at a rate on quetiapine extended-release tablets at least twice that of placebo were somnolence (52%), dry mouth (37%), increased appetite (12%), weight gain (7%), dyspepsia (7%), and fatigue (6%).



Table 14 enumerates the incidence, rounded to the nearest percent, of adverse reactions that occurred during acute therapy of bipolar depression (up to 8 weeks) in 2% or more of adult patients treated with quetiapine extended-release tablets 300 mg/day where the incidence in patients treated with quetiapine extended-release tablets was greater than the incidence in placebo-treated patients.

Table 14: Adverse Reactions in an 8-Week Placebo-Controlled Clinical Trial for the Treatment of Bipolar Depression
1. Somnolence combines adverse reaction terms somnolence and sedation.

2. Extrapyramidal symptoms include the terms: dystonia, extrapyramidal disorder, hypertonia, and tremor.

Preferred Term

Quetiapine

 Extended-Release

 Tablets

(N=137)

Placebo

(N=140)

Somnolence 1

52%

13%

Dry Mouth

37%

7%

Dizziness

13%

11%

Increased Appetite

12%

6%

Constipation

8%

6%

Dyspepsia

7%

1%

Weight Gain

7%

1%

Fatigue

6%

2%

Irritability

4%

3%

Viral Gastroenteritis

4%

1%

Arthralgia

4%

1%

Extrapyramidal Symptoms 2

4%

1%

Paraesthesia

3%

2%

Back Pain

3%

1%

Muscle Spasms

3%

1%

Toothache

3%

0%

Abnormal Dreams

3%

0%

Ear Pain

2%

1%

Seasonal Allergy

2%

1%

Sinusitis

2%

1%

Decreased Appetite

2%

1%

Myalgia

2%

1%

Disturbance in Attention

2%

1%

Migraine

2%

1%

Restless Legs Syndrome

2%

1%

Anxiety

2%

1%

Sinus Headache

2%

1%

Libido Decreased

2%

1%

Pollakiuria

2%

1%

Sinus Congestion

2%

1%

Hyperhidrosis

2%

1%

Orthostatic Hypotension

2%

1%

Urinary Tract Infection

2%

0%

Heart Rate Increased

2%

0%

Neck Pain

2%

0%

Dysarthria

2%

0%

Akathisia

2%

0%

Hypersomnia

2%

0%

Mental Impairment

2%

0%

Confusional State

2%

0%

Disorientation

2%

0%

In the 6-week placebo-controlled fixed dose adjunctive therapy clinical trials, for MDD, the most commonly observed adverse reactions associated with the use of quetiapine extended-release tablets (incidence of 5% or greater and observed at a rate on quetiapine extended-release tablets and at least twice that of placebo) were somnolence (150 mg: 37%; 300 mg: 43%), dry mouth (150 mg: 27%; 300 mg: 40%), fatigue (150 mg: 14%; 300 mg: 11%), constipation (300 mg only: 11%), and weight increased (300 mg only: 5%).



Table 15 enumerates the incidence, rounded to the nearest percent, of adverse reactions that occurred during short-term adjunctive therapy of MDD (up to 6 weeks) in 2% or more of patients treated with quetiapine extended-release tablets (at doses of either 150 mg or 300 mg/day) where the incidence in patients treated with quetiapine extended-release tablets was greater than the incidence in placebo-treated patients.

Table 15: Adverse Reactions in Placebo-Controlled Adjunctive Therapy Clinical Trials for the Treatment of MDD by Fixed Dose
1. Somnolence combines the adverse reaction terms somnolence and sedation.

2. Extrapyramidal symptoms include the terms: cogwheel rigidity, drooling, dyskinesia, extrapyramidal disorder, hypertonia, hypokinesia, psychomotor hyperactivity, restlessness, and tremor.

Preferred Term

Quetiapine

 Extended-Release

 Tablets

150 mg

(N=315)

Quetiapine

 Extended-Release

 Tablets

300 mg

(N=312)

Placebo

(N=309)

Somnolence 1

37%

43%

9%

Dry Mouth

27%

40%

8%

Fatigue

14%

11%

4%

Dizziness

11%

12%

7%

Nausea

7%

8%

7%

Constipation

6%

11%

4%

Irritability

4%

2%

3%

Extrapyramidal Symptoms 2

4%

6%

4%

Vomiting

3%

1%

1%

Upper Respiratory Tract Infection

3%

2%

2%

Weight Increased

3%

5%

0%

Increased Appetite

3%

5%

3%

Back Pain

3%

3%

1%

Vertigo

2%

2%

1%

Vision Blurred

2%

1%

1%

Dyspepsia

2%

3%

2%

Influenza

2%

1%

0%

Fall

2%

0%

1%

Muscle Spasms

2%

1%

1%

Lethargy

2%

1%

1%

Akathisia

2%

2%

1%

Abnormal Dreams

2%

2%

1%

Anxiety

2%

2%

1%

Depression

2%

1%

1%

Adverse Reactions in clinical trials with quetiapine and not listed elsewhere in the label



Pyrexia, nightmares, peripheral edema, dyspnea, palpitations, rhinitis, eosinophilia, hypersensitivity, elevations in gamma-GT levels, and elevations in serum creatine phosphokinase (not associated with NMS), somnambulism (and other related events), hypothermia, decreased platelets, galactorrhea, bradycardia (which may occur at or near initiation of treatment and be associated with hypotension and/or syncope), and priapism.



Extrapyramidal Symptoms (EPS):



Dystonia



Class Effect
: Symptoms of dystonia, prolonged abnormal contractions of muscle groups, may occur in susceptible individuals during the first few days of treatment. Dystonic symptoms include: spasm of the neck muscles, sometimes progressing to tightness of the throat, swallowing difficulty, difficulty breathing, and/or protrusion of the tongue. While these symptoms can occur at low doses, they occur more frequently and with greater severity with high potency and at higher doses of first generation antipsychotic drugs. An elevated risk of acute dystonia is observed in males and younger age groups.



Four methods were used to measure EPS: (1) Simpson-Angus total score (mean change from baseline) which evaluates Parkinsonism and akathisia, (2) Barnes Akathisia Rating Scale (BARS) Global Assessment Score, (3) incidence of spontaneous complaints of EPS (akathisia, akinesia, cogwheel rigidity, extrapyramidal syndrome, hypertonia, hypokinesia, neck rigidity, and tremor), and (4) use of anticholinergic medications to treat EPS.



Adults
: In placebo-controlled clinical trials with quetiapine, utilizing doses up to 800 mg per day, the incidence of any adverse reactions related to EPS ranged from 8% to 11% for quetiapine and 4% to 11% for placebo.



In three-arm placebo-controlled clinical trials for the treatment of schizophrenia, utilizing doses between 300 mg and 800 mg of quetiapine extended-release tablets, the incidence of any adverse reactions related to EPS was 8% for quetiapine extended-release tablets and 8% for Seroquel (without evidence of being dose related), and 5% in the placebo group. In these studies, the incidence of the individual adverse reactions (akathisia, extrapyramidal disorder, tremor, dyskinesia, dystonia, restlessness, and muscle rigidity) was generally low and did not exceed 3% for any treatment group.



At the end of treatment, the mean change from baseline in SAS total score and BARS Global Assessment score was similar across the treatment groups. The use of concomitant anticholinergic medications was infrequent and similar across the treatment groups. The incidence of extrapyramidal symptoms was consistent with that seen with the profile of Seroquel in schizophrenia patients.



In Tables 16 to 19, dystonic event included nuchal rigidity, hypertonia, dystonia, muscle rigidity, oculogyration; parkinsonism included cogwheel rigidity, tremor, drooling, hypokinesia; akathisia included akathisia, psychomotor agitation; dyskinetic event included tardive dyskinesia, dyskinesia, choreoathetosis; and other extrapyramidal event included restlessness, extrapyramidal disorder, movement disorder.



Table 16: Adverse Reactions Associated with Extrapyramidal Symptoms in Placebo-Controlled Clinical Trials for Schizophrenia
Preferred Term

Quetiapine

Extended-

Release

Tablets

300 mg/day

(N=91)

Quetiapine

Extended-

Release

Tablets

400 mg/day

(N=227)

Quetiapine

Extended-

Release

Tablets

600 mg/day

(N=310)

Quetiapine

Extended-

Release

 Tablets

800 mg/day

(N=323)

All Doses

(N=951)

Placebo

(N=319)

n

%

n

%

n

%

n

%

n

%

n

%

Dystonic event

3

3.3

0

0

4

1.3

1

0.3

8

0.8

0

0

Parkinsonism

1

1.1

3

1.3

11

3.6

7

2.2

22

2.3

4

1.3

Akathisia

0

0

3

1.3

7

2.3

7

2.2

17

1.8

4

1.3

Dyskinetic event

2

2.2

1

0.4

1

0.3

1

0.3

5

0.5

2

0.6

Other extrapyramidal event

3

3.3

4

1.8

7

2.3

12

3.7

26

2.7

7

2.2

In a placebo-controlled clinical trial for the treatment of bipolar mania, utilizing the dose range of 400 to 800 mg/day of quetiapine extended-release tablets, the incidence of any adverse reactions related to EPS was 6.6% for quetiapine extended-release tablets and 3.8% in the placebo group. In this study, the incidence of the individual adverse reactions (akathisia, extrapyramidal disorder, tremor, dystonia, restlessness, and cogwheel rigidity) did not exceed 2% for any adverse reaction.

Table 17: Adverse Reactions Associated with Extrapyramidal Symptoms in a Placebo-Controlled Clinical Trial for Bipolar Mania
1. There were no adverse reactions with the preferred term of dyskinetic event.
Preferred Term 1

Quetiapine

Extended-Release Tablets

(N=151)

Placebo

(N=160)

n

%

n

%

Dystonic event

1

0.7

0

0

Parkinsonism

4

2.7

3

1.9

Akathisia

2

1.3

1

0.6

Other extrapyramidal event

3

2

2

1.3

In a placebo-controlled clinical trial for the treatment of bipolar depression utilizing 300 mg of quetiapine extended-release tablets, the incidence of any adverse reactions related to EPS was 4.4% for quetiapine extended-release tablets and 0.7% in the placebo group. In this study, the incidence of the individual adverse reactions (akathisia, extrapyramidal disorder, tremor, dystonia, hypertonia) did not exceed 1.5% for any individual adverse reaction.

Table 18: Adverse Reactions Associated with Extrapyramidal Symptoms in a Placebo-Controlled Clinical Trial for Bipolar Depression
1. There were no adverse reactions with the preferred term of dyskinetic event.
Preferred Term 1

Quetiapine

Extended-Release Tablets

(N=137)

Placebo

(N=140)

n

%

n

%

Dystonic event

2

1.5

0

0

Parkinsonism

1

0.7

1

0.7

Akathisia

2

1.5

0

0

Other extrapyramidal event

1

0.7

0

0

In two placebo-controlled short-term adjunctive therapy clinical trials for the treatment of MDD utilizing between 150 mg and 300 mg of quetiapine extended-release tablets, the incidence of any adverse reactions related to EPS was 5.1% for quetiapine extended-release tablets and 4.2% for the placebo group.



Table 19 shows the percentage of patients experiencing adverse reactions associated with EPS in adjunct clinical trials for MDD by dose:

Table 19: Adverse Reactions Associated with EPS in MDD Trials by Dose, Adjunctive Therapy Clinical Trials (6 weeks duration)
Preferred Term

Quetiapine

Extended-

Release

Tablets

150 mg/day

(N=315)

Quetiapine

Extended-

Release

Tablets

300 mg/day

(N=312)

All Doses

(N=627)

Placebo

(N=309)

n

%

n

%

n

%

n

%

Dystonic event

1

0.3

0

0

1

0.2

0

0

Parkinsonism

3

1

4

1.3

7

1.1

5

1.6

Akathisia

5

1.6

8

2.6

13

2.1

3

1

Dyskinetic event

0

0

1

0.3

1

0.2

0

0

Other extrapyramidal event

5

1.6

7

2.2

12

1.9

5

1.6

Children and Adolescents



The information below is derived from a clinical trial database for Seroquel consisting of over 1000 pediatric patients. This database includes 677 adolescents (13 to 17 years old) exposed to Seroquel for the treatment of schizophrenia and 393 children and adolescents (10 to 17 years old) exposed to Seroquel for the treatment of acute bipolar mania.



Adverse Reactions Associated with Discontinuation of Treatment in Short-Term, Placebo-Controlled Trials:



Schizophrenia: The incidence of discontinuation due to adverse reactions for quetiapine-treated and placebo-treated patients was 8.2% and 2.7%, respectively. The adverse reaction leading to discontinuation in 2% or more of patients on quetiapine and at a greater incidence than placebo was somnolence (2.7% and 0% for placebo).



Bipolar I Mania: The incidence of discontinuation due to adverse reactions for quetiapine-treated and placebo-treated patients was 11.4% and 4.4%, respectively. The adverse reactions leading to discontinuation in 2% or more of patients on Seroquel and at a greater incidence than placebo were somnolence (4.1% vs. 1.1%) and fatigue (2.1% vs. 0%).



Commonly Observed Adverse Reactions in Short-Term, Placebo-Controlled Trials:



In an acute (8-week) quetiapine extended-release tablets trial in children and adolescents (10 to 17 years of age) with bipolar depression, in which efficacy was not established, the most commonly observed adverse reactions associated with the use of quetiapine extended-release tablets (incidence of 5% or greater and at least twice that for placebo) were: dizziness (7%), diarrhea (5%), fatigue (5%) and nausea (5%).



In therapy for schizophrenia (up to 6 weeks), the most commonly observed adverse reactions associated with the use of quetiapine in adolescents (incidence of 5% or greater and quetiapine incidence at least twice that for placebo) were somnolence (34%), dizziness (12%), dry mouth (7%), tachycardia (7%).



In bipolar mania therapy (up to 3 weeks) the most commonly observed adverse reactions associated with the use of quetiapine in children and adolescents (incidence of 5% or greater and quetiapine incidence at least twice that for placebo) were somnolence (53%), dizziness (18%), fatigue (11%), increased appetite (9%), nausea (8%), vomiting (8%), tachycardia (7%), dry mouth (7%), and weight increased (6%).



Adverse Reactions Occurring at an Incidence of >2% among Seroquel Treated Patients in Short-Term, Placebo-Controlled Trials



Schizophrenia (Adolescents, 13 to 17 years old)



The following findings were based on a 6-week placebo-controlled trial in which quetiapine was administered in either doses of 400 or 800 mg/day.



Table 20 enumerates the incidence, rounded to the nearest percent, of adverse reactions that occurred during therapy (up to 6 weeks) of schizophrenia in 2% or more of patients treated with Seroquel (doses of 400 or 800 mg/day) where the incidence in patients treated with Seroquel was greater than the incidence in placebo-treated patients.



Adverse reactions that were potentially dose-related with higher frequency in the 800 mg group compared to the 400 mg group included dizziness (8% vs. 15%), dry mouth (4% vs. 10%), and tachycardia (6% vs. 11%).

Table 20: Adverse Reactions in a 6-­Week Placebo-Controlled Clinical Trial for the Treatment of Schizophrenia in Adolescent Patients
1. Somnolence combines adverse reaction terms somnolence and sedation.

2. Tachycardia combines adverse reaction terms tachycardia and sinus tachycardia.

Preferred Term

Seroquel

400 mg

(N=73)

Seroquel

800 mg

(N=74)

Placebo

(N=75)

Somnolence 1

33%

35%

11%

Dizziness

8%

15%

5%

Dry Mouth

4%

10%

1%

Tachycardia 2

6%

11%

0%

Irritability

3%

5%

0%

Arthralgia

1%

3%

0%

Asthenia

1%

3%

1%

Back Pain

1%

3%

0%

Dyspnea

0%

3%

0%

Abdominal Pain

3%

1%

0%

Anorexia

3%

1%

0%

Tooth Abscess

3%

1%

0%

Dyskinesia

3%

0%

0%

Epistaxis

3%

0%

1%

Muscle Rigidity

3%

0%

0%

Bipolar I Mania (Children and Adolescents 10 to 17 years old)



The following findings were based on a 3-week placebo-controlled trial in which quetiapine was administered in either doses of 400 or 600 mg/day.



Table 21 enumerates the incidence, rounded to the nearest percent, of adverse reactions that occurred during therapy (up to 3 weeks) of bipolar mania in 2% or more of patients treated with Seroquel (doses of 400 or 600 mg/day) where the incidence in patients treated with Seroquel was greater than the incidence in placebo-treated patients.



Adverse reactions that were potentially dose-related with higher frequency in the 600 mg group compared to the 400 mg group included somnolence (50% vs. 57%), nausea (6% vs. 10%), and tachycardia (6% vs. 9%).

Table 21: Adverse Reactions in a 3-Week Placebo-Controlled Clinical Trial for the Treatment of Bipolar Mania in Children and Adolescent Patients
1. Somnolence combines adverse reaction terms somnolence and sedation.

2. Tachycardia combines adverse reaction terms tachycardia and sinus tachycardia.

Preferred Term

Seroquel

400 mg

(N=95)

Seroquel

600 mg

(N=98)

Placebo

(N=90)

Somnolence 1

50%

57%

14%

Dizziness

19%

17%

2%

Nausea

6%

10%

4%

Fatigue

14%

9%

4%

Increased Appetite

10%

9%

1%

Tachycardia 2

6%

9%

0%

Dry Mouth

7%

7%

0%

Vomiting

8%

7%

3%

Nasal Congestion

3%

6%

2%

Weight Increased

6%

6%

0%

Irritability

3%

5%

1%

Pyrexia

1%

4%

1%

Aggression

1%

3%

0%

Musculoskeletal Stiffness

1%

3%

1%

Accidental Overdose

0%

2%

0%

Acne

3%

2%

0%

Arthralgia

4%

2%

1%

Lethargy

2%

2%

0%

Pallor

1%

2%

0%

Stomach Discomfort

4%

2%

1%

Syncope

2%

2%

0%

Vision Blurred

3%

2%

0%

Constipation

4%

2%

0%

Ear Pain

2%

0%

0%

Paresthesia

2%

0%

0%

Sinus Congestion

3%

0%

0%

Thirst

2%

0%

0%

Extrapyramidal Symptoms:



Safety and effectiveness of quetiapine extended-release tablets are supported by studies of Seroquel in children and adolescent patients 10 to 17 years of age [see Clinical Studies (14.1 and 14.2)].



In a short-term placebo-controlled quetiapine extended-release tablets monotherapy trial in children and adolescent patients (10 to 17 years of age) with bipolar depression (8-week duration), in which efficacy was not established, the aggregated incidence of extrapyramidal symptoms was 1.1% (1/92) for quetiapine extended-release tablets and 0% (0/100) for placebo.



In a short-term placebo-controlled Seroquel monotherapy trial in adolescent patients (13 to 17 years of age) with schizophrenia (6-week duration), the aggregated incidence of extrapyramidal symptoms was 12.9% (19/147) for Seroquel and 5.3% (4/75) for placebo, though the incidence of the individual adverse reactions (e.g., akathisia, tremor, extrapyramidal disorder, hypokinesia, restlessness, psychomotor hyperactivity, muscle rigidity, dyskinesia) did not exceed 4.1% in any treatment group. In a short-term placebo-controlled Seroquel monotherapy trial in children and adolescent patients (10 to 17 years of age) with bipolar mania (3-week duration), the aggregated incidence of extrapyramidal symptoms was 3.6% (7/193) for Seroquel and 1.1% (1/90) for placebo.



In Tables 22 and 23, dystonic events included nuchal rigidity, hypertonia, dystonia, and muscle rigidity; parkinsonism included cogwheel rigidity and tremor; akathisia included akathisia only; dyskinetic event included tardive dyskinesia, dyskinesia and choreoathetosis; and other extrapyramidal event included restlessness and extrapyramidal disorder.



Table 22 below presents a listing of patients with adverse reactions associated with EPS in the short-term placebo-controlled Seroquel monotherapy trial in adolescent patients with schizophrenia (6-week duration).

Table 22: Adverse Reactions Associated with Extrapyramidal Symptoms in the Placebo-Controlled Trial in Adolescent Patients with Schizophrenia (6-week duration)
Preferred Term

Seroquel

400 mg/day

(N=73)

Seroquel

800 mg/day

(N=74)

All

Seroquel

(N=147)

Placebo

(N=75)

n

%

n

%

n

%

n

%

 Dystonic Event

2

2.7

0

0

2

1.4

0

0

 Parkinsonism

4

5.5

4

5.4

8

5.4

2

2.7

 Akathisia

3

4.1

4

5.4

7

4.8

3

4

 Dyskinetic Event

2

2.7

0

0

2

1.4

0

0

 Other Extrapyramidal Event

2

2.7

2

2.7

4

2.7

0

0

Table 23 below presents a listing of patients with adverse reactions associated with EPS in a short-term placebo-controlled monotherapy trial in children and adolescent patients with bipolar mania (3-week duration).

Table 23: Adverse Reactions Associated with Extrapyramidal Symptoms in a Placebo- Controlled Trial in Children and Adolescent Patients with Bipolar I Mania (3-week duration)
1. There were no adverse reactions with the preferred term of dystonic or dyskinetic events.

Preferred Term 1

Seroquel

400 mg/day

(N=95)

Seroquel

600 mg/day

(N=98)

All

Seroquel

(N=193)

Placebo

(N=90)

n

%

n

%

n

%

n

%

Parkinsonism

2

2.1

1

1

3

1.6

1

1.1

Akathisia

1

1

1

1

2

1

0

0

Other Extrapyramidal Event

1

1.1

1

1

2

1

0

0

Laboratory, ECG and vital sign changes observed in clinical studies



Laboratory Changes:



Neutrophil Counts



Adults:  In three-arm quetiapine extended-release tablets placebo-controlled monotherapy clinical trials, among patients with a baseline neutrophil count ≥1.5 x 109/L, the incidence of at least one occurrence of neutrophil count <1.5 x 109/L was 1.5% in patients treated with quetiapine extended-release tablets and 1.5% for Seroquel, compared to 0.8% in placebo-treated patients.



In placebo-controlled monotherapy clinical trials involving 3368 patients on quetiapine and 1515 on placebo, the incidence of at least one occurrence of neutrophil count <1 x 109/L among patients with a normal baseline neutrophil count and at least one available follow up laboratory measurement was 0.3% (10/2967) in patients treated with quetiapine, compared to 0.1% (2/1349) in patients treated with placebo [see Warnings and Precautions (5.10)].



Transaminase Elevations



Adults
: Asymptomatic, transient and reversible elevations in serum transaminases (primarily ALT) have been reported. The proportions of adult patients with transaminase elevations of >3 times the upper limits of the normal reference range in a pool of placebo-controlled trials ranged between 1% and 2% for quetiapine extended-release tablets compared to 2% for placebo. In schizophrenia trials in adults, the proportions of patients with transaminase elevations of >3 times the upper limits of the normal reference range in a pool of 3- to 6-week placebo-controlled trials were approximately 6% (29/483) for Seroquel compared to 1% (3/194) for placebo. These hepatic enzyme elevations usually occurred within the first 3 weeks of drug treatment and promptly returned to pre-study levels with ongoing treatment with quetiapine.



Decreased Hemoglobin



Adults
: In short-term placebo-controlled trials, decreases in hemoglobin to ≤13 g/dL males, ≤12 g/dL females on at least one occasion occurred in 8.3% (594/7155) of quetiapine-treated patients compared to 6.2% (219/3536) of patients treated with placebo. In a database of controlled and uncontrolled clinical trials, decreases in hemoglobin to ≤13 g/dL males, ≤12 g/dL females on at least one occasion occurred in 11% (2277/20729) of quetiapine-treated patients.



Interference with Urine Drug Screens



There have been literature reports suggesting false positive results in urine enzyme immunoassays for methadone and tricyclic antidepressants in patients who have taken quetiapine. Caution should be exercised in the interpretation of positive urine drug screen results for these drugs, and confirmation by alternative analytical technique (e.g., chromatographic methods) should be considered.



ECG Changes:



Adults:  2.5% of quetiapine extended-release tablets patients, and 2.3% of placebo patients, had tachycardia (>120 bpm) at any time during the trials. Quetiapine extended-release tablets were associated with a mean increase in heart rate, assessed by ECG, of 6.3 beats per minute compared to a mean increase of 0.4 beats per minute for placebo. This is consistent with the rates for Seroquel. The incidence of adverse reactions of tachycardia was 1.9% for quetiapine extended-release tablets compared to 0.5% for placebo. Seroquel use was associated with a mean increase in heart rate, assessed by ECG, of 7 beats per minute compared to a mean increase of 1 beat per minute among placebo patients. The slight tendency for tachycardia may be related to quetiapine’s potential for inducing orthostatic changes [see Warnings and Precautions (5.7) ].



Children and Adolescents: 
Safety and effectiveness of quetiapine extended-release tablets are supported by studies of Seroquel in children and adolescent patients 10 to 17 years of age [see Clinical Studies (14.1 and 14.2)].



In an acute (8-week) quetiapine extended-release tablets trial in children and adolescents (10 to 17 years of age) with bipolar depression, in which efficacy was not established, increases in heart rate (>110 bpm 10 to 12 years and 13 to 17 years) occurred in 0% of patients receiving quetiapine extended-release tablets and 1.2% of patients receiving placebo. Mean increases in heart rate were 3.4 bpm for quetiapine extended-release tablets, compared to 0.3 bpm in the placebo group [see Warnings and Precautions (5.7)].



In the acute (6-week) Seroquel schizophrenia trial in adolescents (13 to 17 years of age), increases in heart rate (>110 bpm) occurred in 5.2% of patients receiving Seroquel 400 mg and 8.5% of patients receiving Seroquel 800 mg compared to 0% of patients receiving placebo. Mean increases in heart rate were 3.8 bpm and 11.2 bpm for Seroquel 400 mg and 800 mg groups, respectively, compared to a decrease of 3.3 bpm in the placebo group [see Warnings and Precautions (5.7)].



In the acute (3-week) Seroquel bipolar mania trial in children and adolescents (10 to 17 years of age), increases in heart rate (>110 bpm) occurred in 1.1% of patients receiving Seroquel 400 mg and 4.7% of patients receiving Seroquel 600 mg compared to 0% of patients receiving placebo. Mean increases in heart rate were 12.8 bpm and 13.4 bpm for Seroquel 400 mg and 600 mg groups, respectively, compared to a decrease of 1.7 bpm in the placebo group [see Warnings and Precautions (5.7)].

5.17 Body Temperature Regulation

Disruption of the body's ability to reduce core body temperature has been attributed to antipsychotic agents. Appropriate care is advised when prescribing quetiapine extended-release tablets for patients who will be experiencing conditions which may contribute to an elevation in core body temperature, e.g., exercising strenuously, exposure to extreme heat, receiving concomitant medication with anticholinergic activity, or being subject to dehydration.

17 Patient Counseling Information (17 PATIENT COUNSELING INFORMATION)

Advise the patient to read the FDA-approved patient labeling (Medication Guide).



Patients should be advised of the following issues and asked to alert their prescriber if these occur while taking quetiapine extended-release tablets.



Increased Mortality in Elderly Patients with Dementia-Related Psychosis



Patients and caregivers should be advised that elderly patients with dementia-related psychoses treated with atypical antipsychotic drugs are at increased risk of death compared with placebo. Quetiapine extended-release tablets are not approved for elderly patients with dementia-related psychosis [see Warnings and Precautions (5.1)].



Suicidal Thoughts and Behaviors



Patients, their families, and their caregivers should be encouraged to be alert to the emergence of anxiety, agitation, panic attacks, insomnia, irritability, hostility, aggressiveness, impulsivity, akathisia (psychomotor restlessness), hypomania, mania, other unusual changes in behavior, worsening of depression, and suicidal ideation, especially early during antidepressant treatment and when the dose is adjusted up or down. Families and caregivers of patients should be advised to look for the emergence of such symptoms on a day-to-day basis, since changes may be abrupt. Such symptoms should be reported to the patient's prescriber or health professional, especially if they are severe, abrupt in onset, or were not part of the patient's presenting symptoms. Symptoms such as these may be associated with an increased risk for suicidal thinking and behavior and indicate a need for very close monitoring and possibly changes in the medication [see Warnings and Precautions (5.2)].



Neuroleptic Malignant Syndrome (NMS)



Patients should be advised to report to their physician any signs or symptoms that may be related to NMS. These may include muscle stiffness and high fever [see Warnings and Precautions (5.4)].



Hyperglycemia and Diabetes Mellitus



Patients should be aware of the symptoms of hyperglycemia (high blood sugar) and diabetes mellitus. Patients who are diagnosed with diabetes, those with risk factors for diabetes, or those that develop these symptoms during treatment should have their blood glucose monitored at the beginning of and periodically during treatment [see Warnings and Precautions (5.5)].



Hyperlipidemia



Patients should be advised that elevations in total cholesterol, LDL-cholesterol and triglycerides and decreases in HDL-cholesterol may occur. Patients should have their lipid profile monitored at the beginning of and periodically during treatment [see Warnings and Precautions (5.5)].



Weight Gain



Patients should be advised that they may experience weight gain. Patients should have their weight monitored regularly [see Warnings and Precautions (5.5)].



Orthostatic Hypotension



Patients should be advised of the risk of orthostatic hypotension (symptoms include feeling dizzy or lightheaded upon standing, which may lead to falls) especially during the period of initial dose titration, and also at times of re-initiating treatment or increases in dose [see Warnings and Precautions (5.7)].



Increased Blood Pressure in Children and Adolescents



Children and adolescent patients should have their blood pressure measured at the beginning of, and periodically during, treatment [ see Warnings and Precautions (5.9)].



Leukopenia/Neutropenia



Patients with a pre-existing low WBC or a history of drug induced leukopenia/neutropenia should be advised that they should have their CBC monitored while taking quetiapine extended-release tablets. Patients should be advised to talk to their doctor as soon as possible if they have a fever, flu-like symptoms, sore throat, or any other infection as this could be a result of a very low WBC, which may require quetiapine extended-release tablets to be stopped and/or treatment to be given [see Warnings and Precautions (5.10)].



Interference with Cognitive and Motor Performance



Patients should be advised of the risk of somnolence or sedation (which may lead to falls), especially during the period of initial dose titration. Patients should be cautioned about performing any activity requiring mental alertness, such as operating a motor vehicle (including automobiles) or operating machinery, until they are reasonably certain quetiapine therapy does not affect them adversely [see Warnings and Precautions (5.16)].



Heat Exposure and Dehydration



Patients should be advised regarding appropriate care in avoiding overheating and dehydration [see Warnings and Precautions (5.17)].



Concomitant Medication



As with other medications, patients should be advised to notify their physicians if they are taking, or plan to take, any prescription or over-the­-counter drugs [see Drug Interactions (7.1)].





Pregnancy

Advise pregnant women to notify their healthcare provider if they become pregnant or intend to become pregnant during treatment with quetiapine extended-release tablets. Advise patients that quetiapine extended-release tablets may cause extrapyramidal and/or withdrawal symptoms (agitation, hypertonia, hypotonia, tremor, somnolence, respiratory distress, and feeding disorder) in a neonate. Advise patients that there is a pregnancy registry that monitors pregnancy outcomes in women exposed to quetiapine extended-release tablets during pregnancy [see Use in Specific Populations (8.1)].

Infertility

Advise females of reproductive potential that quetiapine extended-release tablets may impair fertility due to an increase in serum prolactin levels. The effects on fertility are reversible [see Use in Specific Populations (8.3)].



Need for Comprehensive Treatment Program



Quetiapine extended-release tablets are indicated as an integral part of a total treatment program for adolescents with schizophrenia and pediatric bipolar disorder that may include other measures (psychological, educational, and social). Effectiveness and safety of quetiapine extended-release tablets have not been established in pediatric patients less than 13 years of age for schizophrenia or less than 10 years of age for bipolar mania. Appropriate educational placement is essential and psychosocial intervention is often helpful. The decision to prescribe atypical antipsychotic medication will depend upon the physician’s assessment of the chronicity and severity of the patient’s symptoms [see Indications and Usage (1.4)].



Brands listed are the trademarks of their respective owners.



Dispense with Medication Guide available at: www.aurobindousa.com/medication-guides



Distributed by:

Aurobindo Pharma USA, Inc.

279 Princeton-Hightstown Road

East Windsor, NJ 08520



Manufactured by:

Aurobindo Pharma Limited

Hyderabad–500 032, India



Revised: 08/2025



Dispense with Medication Guide available at: www.aurobindousa.com/medication-guides

2.9 Switching From Antipsychotics (2.9 Switching from Antipsychotics)

There are no systematically collected data to specifically address switching patients from other antipsychotics to quetiapine extended-release tablets, or concerning concomitant administration with other antipsychotics. While immediate discontinuation of the previous antipsychotic treatment may be acceptable for some patients, more gradual discontinuation may be most appropriate for others. In all cases, the period of overlapping antipsychotic administration should be minimized. When switching patients from depot antipsychotics, if medically appropriate, initiate quetiapine extended-release tablets therapy in place of the next scheduled injection. The need for continuing existing extrapyramidal syndrome medication should be re-evaluated periodically.

16 How Supplied/storage and Handling (16 HOW SUPPLIED/STORAGE AND HANDLING)

Quetiapine Extended-Release Tablets, USP 50 mg are peach, film-coated, capsule shaped, biconvex, tablet debossed with “Z45” on one side and plain on the other side.



        Bottles of 60               NDC 65862-873-60

        Bottles of 100             NDC 65862-873-01

        Bottles of 500             NDC 65862-873-05



Quetiapine Extended-Release Tablets, USP 150 mg
are white, film-coated, capsule shaped, biconvex, tablet debossed with “Z46” on one side and plain on the other side.



        Bottles of 60               NDC 65862-874-60

        Bottles of 100             NDC 65862-874-01

        Bottles of 500             NDC 65862-874-05



Quetiapine Extended-Release Tablets, USP 200 mg
are yellow, film-coated, capsule shaped, biconvex, tablet debossed with “Z47” on one side and plain on the other side.



        Bottles of 60               NDC 65862-875-60

        Bottles of 100             NDC 65862-875-01

        Bottles of 500             NDC 65862-875-05



Quetiapine Extended-Release Tablets, USP 300 mg
are pale yellow, film-coated, capsule shaped, biconvex, tablet debossed with “Z48” on one side and plain on the other side.



        Bottles of 60               NDC 65862-876-60

        Bottles of 100             NDC 65862-876-01

        Bottles of 500             NDC 65862-876-05



Quetiapine Extended-Release Tablets, USP 400 mg
are white, film-coated, capsule shaped, biconvex, tablet debossed with “Z49” on one side and plain on the other side.



        Bottles of 60               NDC 65862-877-60

        Bottles of 100             NDC 65862-877-01

        Bottles of 500             NDC 65862-877-05



Store quetiapine extended-release tablets, USP at 20o to 25ºC (68o to 77ºF) [see USP Controlled Room Temperature].

7.1 Effect of Other Drugs On Quetiapine (7.1 Effect of Other Drugs on Quetiapine)

The risks of using quetiapine extended-release tablets in combination with other drugs have not been extensively evaluated in systematic studies. Given the primary CNS effects of quetiapine extended-release tablets, caution should be used when they are taken in combination with other centrally acting drugs. Quetiapine potentiated the cognitive and motor effects of alcohol in a clinical trial in subjects with selected psychotic disorders, and alcoholic beverages should be limited while taking quetiapine.



Quetiapine exposure is increased by the prototype CYP3A4 inhibitors (e.g., ketoconazole, itraconazole, indinavir, ritonavir, nefazodone, etc.) and decreased by the prototype of CYP3A4 inducers (e.g., phenytoin, carbamazepine, rifampin, avasimibe, St. John’s wort etc.). Dose adjustment of quetiapine will be necessary if it is co-administered with potent CYP3A4 inducers or inhibitors.



CYP3A4 inhibitors:



Coadministration of ketoconazole, a potent inhibitor of cytochrome CYP3A4, resulted in significant increase in quetiapine exposure. The dose should be reduced to one-sixth of the original dose in patients coadministered with a strong CYP3A4 inhibitor [see Dosage and Administration (2.5) and Clinical Pharmacology (12.3)].



CYP3A4 inducers:



Coadministration of quetiapine and phenytoin, a CYP3A4 inducer increased the mean oral clearance of quetiapine by 5-fold. Increased doses of quetiapine extended-release tablets up to 5-fold may be required to maintain control of symptoms of schizophrenia in patients receiving quetiapine and phenytoin, or other known potent CYP3A4 inducers [see Dosage and Administration (2.6) and Clinical Pharmacology (12.3)]. When the CYP3A4 inducer is discontinued, the dose of quetiapine extended-release tablets should be reduced to the original level within 7 to 14 days [see Dosage and Administration (2.6)].

Anticholinergic Drugs:



Concomitant treatment with quetiapine and other drugs with anticholinergic activity can increase the risk for severe gastrointestinal adverse reactions related to hypomotility. Seroquel should be used with caution in patients receiving medications having anticholinergic (antimuscarinic) effects [see Warnings and Precautions (5.20) ].



The potential effects of several concomitant medications on quetiapine pharmacokinetics were studied [see Clinical Pharmacology (12.3) ].

7.2 Effect of Quetiapine On Other Drugs (7.2 Effect of Quetiapine on Other Drugs)

Because of its potential for inducing hypotension, quetiapine extended-release tablets may enhance the effects of certain antihypertensive agents.



Quetiapine extended-release tablets may antagonize the effects of levodopa and dopamine agonists.



There are no clinically relevant pharmacokinetic interactions of Seroquel on other drugs based on the CYP pathway. Seroquel and its metabolites are non-inhibitors of major metabolizing CYP’s (1A2, 2C9, 2C19, 2D6, and 3A4).

5.4 Neuroleptic Malignant Syndrome (nms) (5.4 Neuroleptic Malignant Syndrome (NMS))

A potentially fatal symptom complex sometimes referred to as Neuroleptic Malignant Syndrome (NMS) has been reported in association with administration of antipsychotic drugs, including quetiapine. Rare cases of NMS have been reported with quetiapine. Clinical manifestations of NMS are hyperpyrexia, muscle rigidity, altered mental status, and evidence of autonomic instability (irregular pulse or blood pressure, tachycardia, diaphoresis, and cardiac dysrhythmia). Additional signs may include elevated creatine phosphokinase, myoglobinuria (rhabdomyolysis), and acute renal failure.



The diagnostic evaluation of patients with this syndrome is complicated. In arriving at a diagnosis, it is important to exclude cases where the clinical presentation includes both serious medical illness (e.g., pneumonia, systemic infection, etc.) and untreated or inadequately treated extrapyramidal signs and symptoms (EPS). Other important considerations in the differential diagnosis include central anticholinergic toxicity, heat stroke, drug fever, and primary central nervous system (CNS) pathology.



The management of NMS should include: 1) immediate discontinuation of antipsychotic drugs and other drugs not essential to concurrent therapy; 2) intensive symptomatic treatment and medical monitoring; and 3) treatment of any concomitant serious medical problems for which specific treatments are available. There is no general agreement about specific pharmacological treatment regimens for NMS.



If a patient requires antipsychotic drug treatment after recovery from NMS, the potential reintroduction of drug therapy should be carefully considered. The patient should be carefully monitored since recurrences of NMS have been reported.

2.1 Important Administration Instructions

Quetiapine extended-release tablets should be swallowed whole and not split, chewed, or crushed.



It is recommended that quetiapine extended-release tablets be taken without food or with a light meal (approximately 300 calories) [see Clinical Pharmacology (12.3)].



Quetiapine extended-release tablets should be administered once daily, preferably in the evening.

13.2 Animal Toxicology And/or Pharmacology (13.2 Animal Toxicology and/or Pharmacology)

Quetiapine caused a dose-related increase in pigment deposition in thyroid gland in rat toxicity studies which were 4 weeks in duration or longer and in a mouse 2-year carcinogenicity study. Doses were 10, 25, 50, 75, 150 and 250 mg/kg in rat studies which are approximately 0.1, 0.3, 0.6, 1, 2 and 3-times the MRHD of 800 mg/day based on mg/m2 body surface area, respectively. Doses in the mouse carcinogenicity study were 20, 75, 250 and 750 mg/kg which are approximately 0.1, 0.5, 1.5, and 4.5 times the MRHD of 800 mg/day based on mg/m2 body surface area. Pigment deposition was shown to be irreversible in rats. The identity of the pigment could not be determined, but was found to be co-localized with quetiapine in thyroid gland follicular epithelial cells. The functional effects and the relevance of this finding to human risk are unknown.



In dogs receiving quetiapine for 6 or 12 months, but not for 1-month, focal triangular cataracts occurred at the junction of posterior sutures in the outer cortex of the lens at a dose of 100 mg/kg, or 4 times the MRHD of 800 mg/day based on mg/m2 body surface area. This finding may be due to inhibition of cholesterol biosynthesis by quetiapine. Quetiapine caused a dose-related reduction in plasma cholesterol levels in repeat-dose dog and monkey studies; however, there was no correlation between plasma cholesterol and the presence of cataracts in individual dogs. The appearance of delta-8-cholestanol in plasma is consistent with inhibition of a late stage in cholesterol biosynthesis in these species. There also was a 25% reduction in cholesterol content of the outer cortex of the lens observed in a special study in quetiapine treated female dogs. Drug-related cataracts have not been seen in any other species; however, in a 1­-year study in monkeys, a striated appearance of the anterior lens surface was detected in 2/7 females at a dose of 225 mg/kg or 5.5 times the MRHD of 800 mg/day based on mg/m2 body surface area.

2.3 Dose Modifications in Elderly Patients

Consideration should be given to a slower rate of dose titration and a lower target dose in the elderly and in patients who are debilitated or who have a predisposition to hypotensive reactions [see Use in Specific Populations (8.58.7), and  Clinical Pharmacology (12.3)]. When indicated, dose escalation should be performed with caution in these patients.



Elderly patients should be started on quetiapine extended-release tablets 50 mg/day and the dose can be increased in increments of 50 mg/day depending on the clinical response and tolerability of the individual patient.

5.20 Anticholinergic (antimuscarinic) Effects

Norquetiapine, an active metabolite of quetiapine, has moderate to strong affinity for several muscarinic receptor subtypes. This contributes to anticholinergic adverse reactions when quetiapine extended-release tablets are used at therapeutic doses, taken concomitantly with other anticholinergic medications, or taken in overdose. Quetiapine extended-release tablets should be used with caution in patients receiving medications having anticholinergic (antimuscarinic) effects [see Drug Interactions (7.1) Overdosage (10.1) , and Clinical Pharmacology (12.1) ].



Constipation was a commonly reported adverse event in patients treated with quetiapine and represents a risk factor for intestinal obstruction. Intestinal obstruction has been reported with quetiapine, including fatal reports in patients who were receiving multiple concomitant medications that decrease intestinal motility.  



Quetiapine extended-release tablets should be used with caution in patients with a current diagnosis or prior history of urinary retention, clinically significant prostatic hypertrophy, or constipation.

8.3 Females and Males of Reproductive Potential

Infertility



Females



Based on the pharmacologic action of quetiapine (D2 antagonism), treatment with quetiapine extended-release tablets may result in an increase in serum prolactin levels, which may lead to a reversible reduction in fertility in females of reproductive potential [see Warnings and Precautions (5.15)].

5.10 Leukopenia, Neutropenia, and Agranulocytosis

In clinical trials and postmarketing experience, events of leukopenia/neutropenia have been reported temporally related to atypical antipsychotic agents, including quetiapine. Agranulocytosis has also been reported.

Agranulocytosis has been reported with quetiapine, including fatal cases and cases in patients without pre-existing risk factors. Neutropenia should be considered in patients presenting with infection, particularly in the absence of obvious predisposing factor(s), or in patients with unexplained fever, and should be managed as clinically appropriate.

Possible risk factors for leukopenia/neutropenia include pre-existing low white cell count (WBC) and history of drug induced leukopenia/neutropenia. Patients with a pre-existing low WBC or a history of drug induced leukopenia/neutropenia should have their complete blood count (CBC) monitored frequently during the first few months of therapy and should discontinue quetiapine extended-release tablets at the first sign of a decline in WBC in absence of other causative factors.



Patients with neutropenia should be carefully monitored for fever or other symptoms or signs of infection and treated promptly if such symptoms or signs occur. Patients with severe neutropenia (absolute neutrophil count <1000/mm3) should discontinue quetiapine extended-release tablets and have their WBC followed until recovery.

5.16 Potential for Cognitive and Motor Impairment

Somnolence was a commonly reported adverse reaction reported in patients treated with quetiapine especially during the 3-day period of initial dose titration. In schizophrenia trials, somnolence was reported in 24.7% (235/951) of patients on quetiapine extended-release tablets compared to 10.3% (33/319) of placebo patients. In a bipolar depression clinical trial, somnolence was reported in 51.8% (71/137) of patients on quetiapine extended-release tablets compared to 12.9% (18/140) of placebo patients. In a clinical trial for bipolar mania, somnolence was reported in 50.3% (76/151) of patients on quetiapine extended-release tablets compared to 11.9% (19/160) of placebo patients. Since quetiapine has the potential to impair judgment, thinking, or motor skills, patients should be cautioned about performing activities requiring mental alertness, such as operating a motor vehicle (including automobiles) or operating hazardous machinery until they are reasonably certain that quetiapine therapy does not affect them adversely. Somnolence may lead to falls.



In short-term adjunctive therapy trials for MDD, somnolence was reported in 40% (252/627) of patients on quetiapine extended-release tablets respectively compared to 9% (27/309) of placebo patients. Somnolence was dose-related in these trials (37% (117/315) and 43% (135/312) for the 150 mg and 300 mg groups, respectively).

2.6 Dose Modifications When Used With Cyp3a4 Inducers (2.6 Dose Modifications when used with CYP3A4 Inducers)

Quetiapine extended-release tablets dose should be increased up to 5-fold of the original dose when used in combination with a chronic treatment (e.g., greater than 7 to 14 days) of a potent CYP3A4 inducer (e.g., phenytoin, carbamazepine, rifampin, avasimibe, St. John’s wort etc.). The dose should be titrated based on the clinical response and tolerance of the individual patient. When the CYP3A4 inducer is discontinued, the dose of quetiapine extended-release tablets should be reduced to the original level within 7 to 14 days [see Clinical Pharmacology (12.3) and Drug Interactions (7.1)].

2.4 Dose Modifications in Hepatically Impaired Patients

Patients with hepatic impairment should be started on quetiapine extended-release tablets 50 mg/day. The dose can be increased daily in increments of 50 mg/day to an effective dose, depending on the clinical response and tolerability of the patient.

2.5 Dose Modifications When Used With Cyp3a4 Inhibitors (2.5 Dose Modifications when used with CYP3A4 Inhibitors)

Quetiapine extended-release tablets dose should be reduced to one-sixth of original dose when co-medicated with a potent CYP3A4 inhibitor (e.g., ketoconazole, itraconazole, indinavir, ritonavir, nefazodone, etc.). When the CYP3A4 inhibitor is discontinued, the dose of quetiapine extended-release tablets should be increased by 6-fold [see Clinical Pharmacology (12.3) and Drug Interactions (7.1)].

13.1 Carcinogenesis, Mutagenesis, Impairment of Fertility

Carcinogenesis



Carcinogenicity studies were conducted in C57BL mice and Wistar rats. Quetiapine was administered in the diet to mice at doses of 20, 75, 250, and 750 mg/kg and to rats by gavage at doses of 25, 75, and 250 mg/kg for two years. These doses are equivalent to 0.1, 0.5, 1.5, and 4.5 times the MRHD of 800 mg/day based on mg/m2 body surface area (mice) or 0.3, 1, and 3 times the MRHD based on mg/m2 body surface area (rats). There were statistically significant increases in thyroid gland follicular adenomas in male mice at doses 1.5 and 4.5 times the MRHD based on mg/m2 body surface area and in male rats at a dose of 3 times the MRHD on mg/m2 body surface area. Mammary gland adenocarcinomas were statistically significantly increased in female rats at all doses tested (0.3, 1, and 3 times the MRHD based on mg/m2 body surface area).



Thyroid follicular cell adenomas may have resulted from chronic stimulation of the thyroid gland by thyroid stimulating hormone (TSH) resulting from enhanced metabolism and clearance of thyroxine by rodent liver. Changes in TSH, thyroxine, and thyroxine clearance consistent with this mechanism were observed in subchronic toxicity studies in rat and mouse and in a 1-year toxicity study in rat; however, the results of these studies were not definitive. The relevance of the increases in thyroid follicular cell adenomas to human risk, through whatever mechanism, is unknown.



Antipsychotic drugs have been shown to chronically elevate prolactin levels in rodents. Serum measurements in a 1-year toxicity study showed that quetiapine increased median serum prolactin levels a maximum of 32- and 13-fold in male and female rats, respectively. Increases in mammary neoplasms have been found in rodents after chronic administration of other antipsychotic drugs and are considered to be prolactin-mediated. The relevance of this increased incidence of prolactin-mediated mammary gland tumors in rats to human risk is unknown [see Warnings and Precautions (5.15)].



Mutagenesis



Quetiapine was not mutagenic or clastogenic in standard genotoxicity tests. The mutagenic potential of quetiapine was tested in the in vitro Ames bacterial gene mutation assay and in the in vitro mammalian gene mutation assay in Chinese Hamster Ovary cells. The clastogenic potential of quetiapine was tested in the in vitro chromosomal aberration assay in cultured human lymphocytes and in the in vivo bone marrow micronucleus assay in rats up to 500 mg/kg which is 6 times the MRHD based on mg/m2 body surface area.



Impairment of Fertility



Quetiapine decreased mating and fertility in male Sprague-Dawley rats at oral doses of 50 and 150 mg/kg or approximately 1 and 3 times the MRHD of 800 mg/day based on mg/m2 body surface area. Drug-related effects included increases in interval to mate and in the number of matings required for successful impregnation. These effects continued to be observed at 3 times the MRHD even after a two-week period without treatment. The no-effect dose for impaired mating and fertility in male rats was 25 mg/kg, or 0.3 times the MRHD based on mg/m2 body surface area. Quetiapine adversely affected mating and fertility in female Sprague-Dawley rats at an oral dose approximately 1 times the MRHD of 800 mg/day based on mg/m2 body surface area. Drug-related effects included decreases in matings and in matings resulting in pregnancy, and an increase in the interval to mate. An increase in irregular estrus cycles was observed at doses of 10 and 50 mg/kg, or approximately 0.1 and 1 times the MRHD of 800 mg/day based on mg/m2 body surface area. The no-effect dose in female rats was 1 mg/kg, or 0.01 times the MRHD of 800 mg/day based on mg/m2 body surface area.

5.9 Increases in Blood Pressure (children and Adolescents) (5.9 Increases in Blood Pressure (Children and Adolescents))

Safety and effectiveness of quetiapine extended-release tablets are supported by studies of Seroquel in children and adolescent patients 10 to 17 years of age [see Clinical Studies (14.1 and 14.2)].



In a placebo-controlled quetiapine extended-release tablets clinical trial (8 weeks duration) in children and adolescents (10 to 17 years of age) with bipolar depression, in which efficacy was not established, the incidence of increases at any time in systolic blood pressure (≥20 mmHg) was 6.5% (6/92) for quetiapine extended-release tablets and 6% (6/100) for placebo; the incidence of increases at any time in diastolic blood pressure (≥10 mmHg) was 46.7% (43/92) for quetiapine extended-release tablets and 36% (36/100) for placebo.



In placebo-controlled trials in children and adolescents with schizophrenia (13 to 17 years old, 6-week duration) or bipolar mania (10 to 17 years old, 3-week duration), the incidence of increases at any time in systolic blood pressure (≥20 mmHg) was 15.2% (51/335) for Seroquel and 5.5% (9/163) for placebo; the incidence of increases at any time in diastolic blood pressure (≥10 mmHg) was 40.6% (136/335) for Seroquel and 24.5% (40/163) for placebo. In the 26-week open-label clinical trial, one child with a reported history of hypertension experienced a hypertensive crisis. Blood pressure in children and adolescents should be measured at the beginning of, and periodically during treatment.

1.3 Adjunctive Treatment of Major Depressive Disorder (mdd) (1.3 Adjunctive Treatment of Major Depressive Disorder (MDD))

Quetiapine extended-release tablets are indicated for use as adjunctive therapy to antidepressants for the treatment of MDD. The efficacy of quetiapine extended-release tablets as adjunctive therapy to antidepressants in MDD was established in two 6-week trials in adults with MDD who had an inadequate response to antidepressant treatment [see Clinical Studies (14.3)].

Package Label Principal Display Panel 50 Mg (60 Tablet Bottle) (PACKAGE LABEL-PRINCIPAL DISPLAY PANEL - 50 mg (60 Tablet Bottle))

NDC 65862-873-60



Rx only

Quetiapine
Extended-Release

Tablets, USP 

50 mg Once Daily



PHARMACIST: Dispense the Medication Guide

provided separately to each patient.



AUROBINDO        60 Tablets

Package Label Principal Display Panel 150 Mg (60 Tablet Bottle) (PACKAGE LABEL-PRINCIPAL DISPLAY PANEL - 150 mg (60 Tablet Bottle))

NDC 65862-874-60



Rx only

Quetiapine
Extended-Release

Tablets, USP 

150 mg Once Daily



PHARMACIST: Dispense the Medication Guide

provided separately to each patient.



AUROBINDO        60 Tablets

Package Label Principal Display Panel 200 Mg (60 Tablet Bottle) (PACKAGE LABEL-PRINCIPAL DISPLAY PANEL - 200 mg (60 Tablet Bottle))

NDC 65862-875-60

Rx only

Quetiapine Extended-Release

Tablets, USP 

200 mg Once Daily



PHARMACIST: Dispense the Medication Guide

provided separately to each patient.



AUROBINDO        60 Tablets

Package Label Principal Display Panel 300 Mg (60 Tablet Bottle) (PACKAGE LABEL-PRINCIPAL DISPLAY PANEL - 300 mg (60 Tablet Bottle))

NDC 65862-876-60



Rx only

Quetiapine
Extended-Release

Tablets, USP 

300 mg Once Daily



PHARMACIST: Dispense the Medication Guide

provided separately to each patient.



AUROBINDO        60 Tablets

Package Label Principal Display Panel 400 Mg (60 Tablet Bottle) (PACKAGE LABEL-PRINCIPAL DISPLAY PANEL - 400 mg (60 Tablet Bottle))

NDC 65862-877-60



Rx only

Quetiapine
Extended-Release

Tablets, USP 

400 mg Once Daily



PHARMACIST: Dispense the Medication Guide

provided separately to each patient.



AUROBINDO        60 Tablets

2.7 Re Initiation of Treatment in Patients Previously Discontinued (2.7 Re-initiation of Treatment in Patients Previously Discontinued)

Although there are no data to specifically address re-initiation of treatment, it is recommended that when restarting therapy of patients who have been off quetiapine extended-release tablets for more than one-week, the initial dosing schedule should be followed. When restarting patients who have been off quetiapine extended-release tablets for less than one-week, gradual dose escalation may not be required and the maintenance dose may be re-initiated.

5.2 Suicidal Thoughts and Behaviors in Adolescents and Young Adults

Patients with major depressive disorder (MDD), both adult and pediatric, may experience worsening of their depression and/or the emergence of suicidal ideation and behavior (suicidality) or unusual changes in behavior, whether or not they are taking antidepressant medications, and this risk may persist until significant remission occurs. Suicide is a known risk of depression and certain other psychiatric disorders, and these disorders themselves are the strongest predictors of suicide. There has been a long-standing concern, however, that antidepressants may have a role in inducing worsening of depression and the emergence of suicidality in certain patients during the early phases of treatment. Pooled analyses of short-term placebo-controlled trials of antidepressant drugs (SSRIs and others) showed that these drugs increase the risk of suicidal thinking and behavior (suicidality) in children, adolescents, and young adults (ages 18 to 24) with major depressive disorder (MDD) and other psychiatric disorders. Short-term studies did not show an increase in the risk of suicidality with antidepressants compared to placebo in adults beyond age 24; there was a reduction with antidepressants compared to placebo in adults aged 65 and older.



The pooled analyses of placebo-controlled trials in children and adolescents with MDD, obsessive compulsive disorder (OCD), or other psychiatric disorders included a total of 24 short-term trials of 9 antidepressant drugs in over 4,400 patients. The pooled analyses of placebo-controlled trials in adults with MDD or other psychiatric disorders included a total of 295 short-term trials (median duration of 2 months) of 11 antidepressant drugs in over 77,000 patients. There was considerable variation in risk of suicidality among drugs, but a tendency toward an increase in the younger patients for almost all drugs studied. There were differences in absolute risk of suicidality across the different indications, with the highest incidence in MDD. The risk differences (drug vs. placebo), however, were relatively stable within age strata and across indications. These risk differences (drug-placebo difference in the number of cases of suicidality per 1000 patients treated) are provided in Table 2.

Table 2: Drug-Placebo Difference in Number of Cases of Suicidality per 1000 Patients Treated
Age Range

Drug-Placebo Difference in Number of Cases

 of  Suicidality per 1000 Patients Treated

 

Increases Compared to Placebo

<18

14 additional cases

18 to 24

5 additional cases

 

Decreases Compared to Placebo

25 to 64

1 fewer case

≥65

6 fewer cases

No suicides occurred in any of the pediatric trials. There were suicides in the adult trials, but the number was not sufficient to reach any conclusion about drug effect on suicide.



It is unknown whether the suicidality risk extends to longer-term use, i.e., beyond several months. However, there is substantial evidence from placebo-controlled maintenance trials in adults with depression that the use of antidepressants can delay the recurrence of depression.



All patients being treated with antidepressants for any indication should be monitored appropriately and observed closely for clinical worsening, suicidality, and unusual changes in behavior, especially during the initial few months of a course of drug therapy, or at times of dose changes, either increases or decreases.



The following symptoms, anxiety, agitation, panic attacks, insomnia, irritability, hostility, aggressiveness, impulsivity, akathisia (psychomotor restlessness), hypomania, and mania, have been reported in adult and pediatric patients being treated with antidepressants for major depressive disorder as well as for other indications, both psychiatric and nonpsychiatric. Although a causal link between the emergence of such symptoms and either the worsening of depression and/or the emergence of suicidal impulses has not been established, there is concern that such symptoms may represent precursors to emerging suicidality.



Consideration should be given to changing the therapeutic regimen, including possibly discontinuing the medication, in patients whose depression is persistently worse, or who are experiencing emergent suicidality or symptoms that might be precursors to worsening depression or suicidality, especially if these symptoms are severe, abrupt in onset, or were not part of the patient's presenting symptoms.



Families and caregivers of patients being treated with antidepressants for major depressive disorder or other indications, both psychiatric and non-psychiatric, should be alerted about the need to monitor patients for the emergence of agitation, irritability, unusual changes in behavior, and the other symptoms described above, as well as the emergence of suicidality, and to report such symptoms immediately to healthcare providers. Such monitoring should include daily observation by families and caregivers.
Prescriptions for quetiapine extended-release tablets should be written for the smallest quantity of tablets consistent with good patient management, in order to reduce the risk of overdose.



Screening Patients for Bipolar Disorder:
A major depressive episode may be the initial presentation of bipolar disorder. It is generally believed (though not established in controlled trials) that treating such an episode with an antidepressant alone may increase the likelihood of precipitation of a mixed/manic episode in patients at risk for bipolar disorder. Whether any of the symptoms described above represent such a conversion is unknown. However, prior to initiating treatment with an antidepressant, including quetiapine extended-release tablets, patients with depressive symptoms should be adequately screened to determine if they are at risk for bipolar disorder; such screening should include a detailed psychiatric history, including a family history of suicide, bipolar disorder, and depression.

14.3 Major Depressive Disorder, Adjunctive Therapy to Antidepressants

The efficacy of quetiapine extended-release tablets as adjunctive therapy to antidepressants in the treatment of MDD was demonstrated in two 6-week placebo-controlled, fixed-dose trials (n=936). Quetiapine extended-release tablets 150 mg/day or 300 mg/day was given as adjunctive therapy to existing antidepressant therapy in patients who had previously shown an inadequate response to at least one antidepressant. Quetiapine extended-release tablets were administered as 50 mg/day on Days 1 and 2, and increased to 150 mg/day on Day 3 for both dose groups. On Day 5, the dose was increased to 300 mg/day in the 300 mg/day fixed-dose group. Inadequate response was defined as having continued depressive symptoms for the current episode [Hamilton Depression Rating Scale (HAM-D) total score of ≥20] despite using an antidepressant for 6 weeks at or above the minimally effective labelled dose. The mean HAM-D total score at entry was 24, and 17% of patients scored 28 or greater. Patients were on various antidepressants prior to study entry including SSRI’s (paroxetine, fluoxetine, sertraline, escitalopram, or citalopram), SNRI’s, (duloxetine and venlafaxine), TCA (amitriptyline), and other (bupropion).



The primary endpoint in these trials was change from baseline to week 6 in the Montgomery-Asberg Depression Rating Scale (MADRS.), quetiapine extended-release tablets 300 mg once daily as adjunctive treatment to other antidepressant therapy was superior to antidepressant alone in reduction of MADRS total score in both trials. Quetiapine extended-release tablets 150 mg once daily as adjunctive treatment was superior to antidepressant therapy alone in reduction of MADRS total score in one trial (studies 1 and 2 in Table 29).

Table 29: Major Depressive Disorder, Adjunctive Therapy to Antidepressants
AD: Antidepressant; SD: standard deviation; SE: standard error; LS Mean: least-squares mean; CI: unadjusted confidence interval.

1. Doses that are statistically significantly superior to placebo.

2. Difference (drug minus placebo) in least-squares mean change from baseline.

Study Number

Treatment Group

Primary Efficacy Measure: MADRS Total

Mean Baseline

 Score (SD)

LS Mean Change

 from Baseline (SE)

Placebo-subtracted

 Difference 2

 (95% CI)

Study 1

Quetiapine

Extended-Release Tablets  

(150 mg/day) + AD

27.2 (5.2)

-13.6 (0.8)

-1.9 (-3.9, 0.1)

Quetiapine

Extended-Release Tablets

(300 mg/day) 1 + AD

27.6 (5)

-14.7 (0.8)

-3 (-5, -1)

Placebo + AD

27.6 (5.5)

-11.7 (0.8)

--

Study 2

Quetiapine

Extended-Release Tablets  

(150 mg/day) + AD

28.6 (5.4)

-15.3 (0.7)

-3.1 (-4.9, -1.2)

Quetiapine

Extended-Release Tablets  

(300 mg/day) + AD

28.4 (5.5)

-14.9 (0.7)

-2.7 (-4.6, -0.8)

 Placebo

28.2 (5.6)

-12.2 (0.7)

--

5.1 Increased Mortality in Elderly Patients With Dementia Related Psychosis (5.1 Increased Mortality in Elderly Patients with Dementia-Related Psychosis)

Elderly patients with dementia-related psychosis treated with antipsychotic drugs are at an increased risk of death. Analysis of 17 placebo-controlled trials (modal duration of 10 weeks), largely in patients taking atypical antipsychotic drugs, revealed a risk of death in drug-treated patients of between 1.6 to 1.7 times the risk of death in placebo-treated patients. Over the course of a typical 10-week controlled trial, the rate of death in drug-treated patients was about 4.5%, compared to a rate of about 2.6% in the placebo group. Although the causes of death were varied, most of the deaths appeared to be either cardiovascular (e.g., heart failure, sudden death) or infectious (e.g., pneumonia) in nature. Observational studies suggest that, similar to atypical antipsychotic drugs, treatment with conventional antipsychotic drugs may increase mortality. The extent to which the findings of increased mortality in observational studies may be attributed to the antipsychotic drug as opposed to some characteristic(s) of the patients is not clear. Quetiapine extended-release tablets are not approved for the treatment of patients with dementia-related psychosis [see Boxed Warning].

2.8 Switching Patients From Seroquel Tablets to Quetiapine Extended Release Tablets (2.8 Switching Patients from Seroquel Tablets to Quetiapine Extended-Release Tablets)

Patients who are currently being treated with Seroquel (immediate release formulation) may be switched to quetiapine extended-release tablets at the equivalent total daily dose taken once daily. Individual dosage adjustments may be necessary.

1.4 Special Considerations in Treating Pediatric Schizophrenia and Bipolar I Disorder

Pediatric schizophrenia and bipolar I disorder are serious mental disorders, however, diagnosis can be challenging. For pediatric schizophrenia, symptom profiles can be variable, and for bipolar I disorder, patients may have variable patterns of periodicity of manic or mixed symptoms. It is recommended that medication therapy for pediatric schizophrenia and bipolar I disorder be initiated only after a thorough diagnostic evaluation has been performed and careful consideration given to the risks associated with medication treatment. Medication treatment for both pediatric schizophrenia and bipolar I disorder is indicated as part of a total treatment program that often includes psychological, educational and social interventions.

5.3 Cerebrovascular Adverse Reactions, Including Stroke, in Elderly Patients With Dementia Related Psychosis (5.3 Cerebrovascular Adverse Reactions, Including Stroke, in Elderly Patients with Dementia-Related Psychosis)

In placebo-controlled trials with risperidone, aripiprazole, and olanzapine in elderly subjects with dementia, there was a higher incidence of cerebrovascular adverse reactions (cerebrovascular accidents and transient ischemic attacks), including fatalities, compared to placebo-treated subjects. Quetiapine extended-release tablets are not approved for the treatment of patients with dementia-related psychosis [see Boxed Warning and Warnings and Precautions (5.1)].

Warning: Increased Mortality in Elderly Patients With Dementia Related Psychosis; and Suicidal Thoughts and Behaviors (WARNING: INCREASED MORTALITY IN ELDERLY PATIENTS WITH DEMENTIA-RELATED PSYCHOSIS; and SUICIDAL THOUGHTS AND BEHAVIORS)

Increased Mortality in Elderly Patients with Dementia-Related Psychosis



Elderly patients with dementia-related psychosis treated with antipsychotic drugs are at an increased risk of death [see Warnings and Precautions (5.1)]. Quetiapine extended-release tablets are not approved for the treatment of patients with dementia-related psychosis [see Warnings and Precautions (5.1)].



Suicidal Thoughts and Behaviors



Antidepressants increased the risk of suicidal thoughts and behavior in children, adolescents, and young adults in short-term studies. These studies did not show an increase in the risk of suicidal thoughts and behavior with antidepressant use in patients over age 24; there was a reduction in risk with antidepressant use in patients aged 65 and older [see Warnings and Precautions (5.2)].



In patients of all ages who are started on antidepressant therapy, monitor closely for worsening, and for emergence of suicidal thoughts and behaviors. Advise families and caregivers of the need for close observation and communication with the prescriber [see Warnings and Precautions (5.2)].



Quetiapine extended-release tablets are not approved for use in pediatric patients under ten years of age [see Use in Specific Populations (8.4)].


Advanced Ingredient Data


Raw Label Data

All Sections (JSON)