Methocarbamol Tablets, Usp

Methocarbamol Tablets, Usp
SPL v1
SPL
SPL Set ID 64a06ef2-a062-49cc-9526-03c22b6ced2c
Route
ORAL
Published
Effective Date 2025-08-29
Document Type 34391-3 HUMAN PRESCRIPTION DRUG LABEL

Drug Facts

Composition & Product

Active Ingredients
Methocarbamol (750 mg)
Inactive Ingredients
Starch, Corn Hypromellose 2910 (6 Mpa.s) Magnesium Stearate Polyethylene Glycol 400 Povidone K30 Sodium Lauryl Sulfate Sodium Starch Glycolate Type A Potato Talc Titanium Dioxide

Identifiers & Packaging

Pill Appearance
Imprint: METT;750 Shape: capsule Color: white Size: 19 mm Score: 1
Marketing Status
ANDA Active Since 2020-08-12

Description

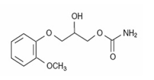
Methocarbamol tablets, USP, a carbamate derivative of guaifenesin, is a central nervous system (CNS) depressant with sedative and musculoskeletal relaxant properties. The chemical name of methocarbamol is 3-(2-methoxyphenoxy)-1,2-propanediol 1-carbamate and has the empirical formula C 11 H 15 NO 5 . Its molecular weight is 241.24. The structural formula is shown below. Methocarbamol is a white bulky powder, sparingly soluble in water and chloroform, soluble in alcohol only with heating and insoluble in benzene and n -hexane. Methocarbamol tablets USP, 750 mg are available as white in color, biconvex capsule shaped film-coated tablet containing 750 mg of methocarbamol USP for oral administration. Methocarbamol tablets USP, 750 mg contain the following inactive ingredients: corn starch, hypromellose, magnesium stearate, polyethylene glycol, povidone, sodium lauryl sulfate, sodium starch glycolate, talc and titanium dioxide.

Contraindications

Methocarbamol tablets are contraindicated in patients hypersensitive to methocarbamol or to any of the tablet components.

Adverse Reactions

Adverse reactions reported coincident with the administration of methocarbamol include: Body as a whole: Anaphylactic reaction, angioneurotic edema, fever, headache Cardiovascular system: Bradycardia, flushing, hypotension, syncope, thrombophlebitis Digestive system: Dyspepsia, jaundice (including cholestatic jaundice), nausea and vomiting Hemic and lymphatic system: Leukopenia Immune system: Hypersensitivity reactions Nervous system: Amnesia, confusion, diplopia, dizziness or lightheadedness, drowsiness, insomnia, mild muscular incoordination, nystagmus, sedation, seizures (including grand mal), vertigo Skin and special senses: Blurred vision, conjunctivitis, nasal congestion, metallic taste, pruritus, rash, urticaria

Drug Interactions

See  WARNINGS and  PRECAUTIONS for interaction with CNS drugs and alcohol. Methocarbamol may inhibit the effect of pyridostigmine bromide. Therefore, methocarbamol should be used with caution in patients with myasthenia gravis receiving anticholinesterase agents.

How Supplied

Methocarbamol Tablets USP, 750 mg are white in color, biconvex capsule shaped film-coated tablet, debossed with “METT” on one side and “750” on the other side. They are supplied as follows: Bottles of 28 NDC 85766-060-28 (repackaged from NDC 59651-341-XX) Bottles of 30 NDC 85766-060-30 (repackaged from NDC 59651-341-XX) Bottles of 42 NDC 85766-060-42 (repackaged from NDC 59651-341-XX) Bottles of 60 NDC 85766-060-60 (repackaged from NDC 59651-341-XX) Bottles of 90 NDC 85766-060-90 (repackaged from NDC 59651-341-XX) Bottles of 100 NDC 85766-060-01 (relabeled from NDC 59651-341-01) Bottles of 500 NDC 85766-060-05 (relabeled from NDC 59651-341-05) Store at 20° to 25°C (68° to 77°F) [see USP Controlled Room Temperature]. Dispense in tight container. For more information, call Aurobindo Pharma USA, Inc.at 1-866-850-2876. Distributed by: Sportpharm 2237 N Commerce Parkway, STE 1, Weston, Florida-33326 Relabeled and Repackaged by: Enovachem PHARMACEUTICALS Torrance, CA 90501


Medication Information

Contraindications

Methocarbamol tablets are contraindicated in patients hypersensitive to methocarbamol or to any of the tablet components.

Adverse Reactions

Adverse reactions reported coincident with the administration of methocarbamol include:



Body as a whole:Anaphylactic reaction, angioneurotic edema, fever, headache



Cardiovascular system:Bradycardia, flushing, hypotension, syncope, thrombophlebitis



Digestive system:Dyspepsia, jaundice (including cholestatic jaundice), nausea and vomiting



Hemic and lymphatic system:Leukopenia



Immune system:Hypersensitivity reactions



Nervous system:
Amnesia, confusion, diplopia, dizziness or lightheadedness, drowsiness, insomnia, mild muscular incoordination, nystagmus, sedation, seizures (including grand mal), vertigo



Skin and special senses:Blurred vision, conjunctivitis, nasal congestion, metallic taste, pruritus, rash, urticaria

Drug Interactions

See  WARNINGS and  PRECAUTIONS for interaction with CNS drugs and alcohol.



Methocarbamol may inhibit the effect of pyridostigmine bromide. Therefore, methocarbamol should be used with caution in patients with myasthenia gravis receiving anticholinesterase agents.

How Supplied

Methocarbamol Tablets USP, 750 mgare white in color, biconvex capsule shaped film-coated tablet, debossed with “METT” on one side and “750” on the other side. They are supplied as follows:

Bottles of 28 NDC 85766-060-28 (repackaged from NDC 59651-341-XX)

Bottles of 30 NDC 85766-060-30 (repackaged from NDC 59651-341-XX)

Bottles of 42 NDC 85766-060-42 (repackaged from NDC 59651-341-XX)

Bottles of 60 NDC 85766-060-60 (repackaged from NDC 59651-341-XX)

Bottles of 90 NDC 85766-060-90 (repackaged from NDC 59651-341-XX)

Bottles of 100 NDC 85766-060-01 (relabeled from NDC 59651-341-01)

Bottles of 500 NDC 85766-060-05 (relabeled from NDC 59651-341-05)

Store at20° to 25°C (68° to 77°F) [see USP Controlled Room Temperature].

Dispense in tight container.

For more information, call Aurobindo Pharma USA, Inc.at 1-866-850-2876.

Distributed by:

Sportpharm

2237 N Commerce Parkway,

STE 1, Weston, Florida-33326

Relabeled and Repackaged by:

Enovachem PHARMACEUTICALS

Torrance, CA 90501

Description

Methocarbamol tablets, USP, a carbamate derivative of guaifenesin, is a central nervous system (CNS) depressant with sedative and musculoskeletal relaxant properties.

The chemical name of methocarbamol is 3-(2-methoxyphenoxy)-1,2-propanediol 1-carbamate and has the empirical formula C 11H 15NO 5. Its molecular weight is 241.24. The structural formula is shown below.

Methocarbamol is a white bulky powder, sparingly soluble in water and chloroform, soluble in alcohol only with heating and insoluble in benzene and n-hexane.



Methocarbamol tablets USP, 750 mg are available as white in color, biconvex capsule shaped film-coated tablet containing 750 mg of methocarbamol USP for oral administration.



Methocarbamol tablets USP, 750 mg contain the following inactive ingredients: corn starch, hypromellose, magnesium stearate, polyethylene glycol, povidone, sodium lauryl sulfate, sodium starch glycolate, talc and titanium dioxide.

Warnings

Since methocarbamol may possess a general CNS depressant effect, patients receiving methocarbamol should be cautioned about combined effects with alcohol and other CNS depressants.



Safe use of methocarbamol has not been established with regard to possible adverse effects upon fetal development. There have been reports of fetal and congenital abnormalities following in utero exposure to methocarbamol. Therefore, methocarbamol should not be used in women who are or may become pregnant and particularly during early pregnancy unless in the judgment of the physician the potential benefits outweigh the possible hazards (see PRECAUTIONS , Pregnancy ).



Use in Activities Requiring Mental Alertness

Methocarbamol may impair mental and/or physical abilities required for performance of hazardous tasks, such as operating machinery or driving a motor vehicle. Patients should be cautioned about operating machinery, including automobiles, until they are reasonably certain that methocarbamol therapy does not adversely affect their ability to engage in such activities.

Pregnancy

Teratogenic Effects

Animal reproduction studies have not been conducted with methocarbamol. It is also not known whether methocarbamol can cause fetal harm when administered to a pregnant woman or can affect reproduction capacity. Methocarbamol should be given to a pregnant woman only if clearly needed.



Safe use of methocarbamol has not been established with regard to possible adverse effects upon fetal development. There have been reports of fetal and congenital abnormalities following in utero exposure to methocarbamol. Therefore, methocarbamol should not be used in women who are or may become pregnant and particularly during early pregnancy unless in the judgment of the physician the potential benefits outweigh the possible hazards (see WARNINGS ).

Overdosage

Limited information is available on the acute toxicity of methocarbamol. Overdose of methocarbamol is frequently in conjunction with alcohol or other CNS depressants and includes the following symptoms: nausea, drowsiness, blurred vision, hypotension, seizures, and coma.



In post-marketing experience, deaths have been reported with an overdose of methocarbamol alone or in the presence of other CNS depressants, alcohol or psychotropic drugs.



Treatment

Management of overdose includes symptomatic and supportive treatment. Supportive measures include maintenance of an adequate airway, monitoring urinary output and vital signs, and administration of intravenous fluids if necessary. The usefulness of hemodialysis in managing overdose is unknown.

Pediatric Use

Safety and effectiveness of methocarbamol in pediatric patients below the age of 16 have not been established.

Nursing Mothers

Methocarbamol and/or its metabolites are excreted in the milk of dogs; however, it is not known whether methocarbamol or its metabolites are excreted in human milk. Because many drugs are excreted in human milk, caution should be exercised when methocarbamol is administered to a nursing woman.

Clinical Pharmacology

The mechanism of action of methocarbamol in humans has not been established, but may be due to general CNS depression. It has no direct action on the contractile mechanism of striated muscle, the motor end plate or the nerve fiber.



Pharmacokinetics

In healthy volunteers, the plasma clearance of methocarbamol ranges between 0.20 and 0.80 L/h/kg, the mean plasma elimination half-life ranges between 1 and 2 hours, and the plasma protein binding ranges between 46% and 50%.



Methocarbamol is metabolized via dealkylation and hydroxylation. Conjugation of methocarbamol also is likely. Essentially all methocarbamol metabolites are eliminated in the urine. Small amounts of unchanged methocarbamol also are excreted in the urine.



Special populations

Elderly

The mean (± SD) elimination half-life of methocarbamol in elderly healthy volunteers (mean [± SD] age, 69 [± 4] years) was slightly prolonged compared to a younger (mean [± SD] age, 53.3 [± 8.8] years), healthy population (1.5 [± 0.4] hours versus 1.1 [±0.27] hours, respectively). The fraction of bound methocarbamol was slightly decreased in the elderly versus younger volunteers (41% to 43% versus 46% to 50%, respectively).



Renally impaired

The clearance of methocarbamol in 8 renally-impaired patients on maintenance hemodialysis was reduced about 40% compared to 17 normal subjects, although the mean (± SD) elimination half-life in these two groups was similar: 1.2 (± 0.6) versus 1.1 (±0.3) hours, respectively.



Hepatically impaired

In 8 patients with cirrhosis secondary to alcohol abuse, the mean total clearance of methocarbamol was reduced approximately 70% compared to that obtained in 8 age- and weight-matched normal subjects. The mean (± SD) elimination half-life in the cirrhotic patients and the normal subjects was 3.38 (± 1.62) hours and 1.11 (± 0.27) hours, respectively. The percent of methocarbamol bound to plasma proteins was decreased to approximately 40% to 45% compared to 46% to 50% in the normal subjects.

Indications and Usage

Methocarbamol tablets are indicated as an adjunct to rest, physical therapy, and other measures for the relief of discomfort associated with acute, painful musculoskeletal conditions. The mode of action of methocarbamol has not been clearly identified, but may be related to its sedative properties. Methocarbamol does not directly relax tense skeletal muscles in man.

Information for Patients

Patients should be cautioned that methocarbamol may cause drowsiness or dizziness, which may impair their ability to operate motor vehicles or machinery.



Because methocarbamol may possess a general CNS-depressant effect, patients should be cautioned about combined effects with alcohol and other CNS depressants.

Dosage and administration

Methocarbamol tablets, 500 mg - Adults:

Initial dosage: 3 tablets 4 times daily.

Maintenance dosage: 2 tablets 4 times daily.



Methocarbamol tablets: 750 mg - Adults:

Initial dosage: 2 tablets 4 times daily.

Maintenance dosage: 1 tablet q.4h. or 2 tablets 3 times daily.



Six grams a day are recommended for the first 48 to 72 hours of treatment. (For severe conditions 8 grams a day may be administered.) Thereafter, the dosage can usually be reduced to approximately 4 grams a day.

Drug/laboratory Test Interactions

Methocarbamol may cause a color interference in certain screening tests for 5-hydroxyindoleacetic acid (5-HIAA) using nitrosonaphthol reagent and in screening tests for urinary vanillylmandelic acid (VMA) using the Gitlow method.

Package Label Principal Display Panel

Carcinogenesis, Mutagenesis, Impairment of Fertility

Long-term studies to evaluate the carcinogenic potential of methocarbamol have not been performed. No studies have been conducted to assess the effect of methocarbamol on mutagenesis or its potential to impair fertility.


Structured Label Content

Warnings (WARNINGS)

Since methocarbamol may possess a general CNS depressant effect, patients receiving methocarbamol should be cautioned about combined effects with alcohol and other CNS depressants.



Safe use of methocarbamol has not been established with regard to possible adverse effects upon fetal development. There have been reports of fetal and congenital abnormalities following in utero exposure to methocarbamol. Therefore, methocarbamol should not be used in women who are or may become pregnant and particularly during early pregnancy unless in the judgment of the physician the potential benefits outweigh the possible hazards (see PRECAUTIONS , Pregnancy ).



Use in Activities Requiring Mental Alertness

Methocarbamol may impair mental and/or physical abilities required for performance of hazardous tasks, such as operating machinery or driving a motor vehicle. Patients should be cautioned about operating machinery, including automobiles, until they are reasonably certain that methocarbamol therapy does not adversely affect their ability to engage in such activities.

Pregnancy

Teratogenic Effects

Animal reproduction studies have not been conducted with methocarbamol. It is also not known whether methocarbamol can cause fetal harm when administered to a pregnant woman or can affect reproduction capacity. Methocarbamol should be given to a pregnant woman only if clearly needed.



Safe use of methocarbamol has not been established with regard to possible adverse effects upon fetal development. There have been reports of fetal and congenital abnormalities following in utero exposure to methocarbamol. Therefore, methocarbamol should not be used in women who are or may become pregnant and particularly during early pregnancy unless in the judgment of the physician the potential benefits outweigh the possible hazards (see WARNINGS ).

Overdosage (OVERDOSAGE)

Limited information is available on the acute toxicity of methocarbamol. Overdose of methocarbamol is frequently in conjunction with alcohol or other CNS depressants and includes the following symptoms: nausea, drowsiness, blurred vision, hypotension, seizures, and coma.



In post-marketing experience, deaths have been reported with an overdose of methocarbamol alone or in the presence of other CNS depressants, alcohol or psychotropic drugs.



Treatment

Management of overdose includes symptomatic and supportive treatment. Supportive measures include maintenance of an adequate airway, monitoring urinary output and vital signs, and administration of intravenous fluids if necessary. The usefulness of hemodialysis in managing overdose is unknown.

Description (DESCRIPTION)

Methocarbamol tablets, USP, a carbamate derivative of guaifenesin, is a central nervous system (CNS) depressant with sedative and musculoskeletal relaxant properties.

The chemical name of methocarbamol is 3-(2-methoxyphenoxy)-1,2-propanediol 1-carbamate and has the empirical formula C 11H 15NO 5. Its molecular weight is 241.24. The structural formula is shown below.

Methocarbamol is a white bulky powder, sparingly soluble in water and chloroform, soluble in alcohol only with heating and insoluble in benzene and n-hexane.



Methocarbamol tablets USP, 750 mg are available as white in color, biconvex capsule shaped film-coated tablet containing 750 mg of methocarbamol USP for oral administration.



Methocarbamol tablets USP, 750 mg contain the following inactive ingredients: corn starch, hypromellose, magnesium stearate, polyethylene glycol, povidone, sodium lauryl sulfate, sodium starch glycolate, talc and titanium dioxide.

How Supplied (HOW SUPPLIED)

Methocarbamol Tablets USP, 750 mgare white in color, biconvex capsule shaped film-coated tablet, debossed with “METT” on one side and “750” on the other side. They are supplied as follows:

Bottles of 28 NDC 85766-060-28 (repackaged from NDC 59651-341-XX)

Bottles of 30 NDC 85766-060-30 (repackaged from NDC 59651-341-XX)

Bottles of 42 NDC 85766-060-42 (repackaged from NDC 59651-341-XX)

Bottles of 60 NDC 85766-060-60 (repackaged from NDC 59651-341-XX)

Bottles of 90 NDC 85766-060-90 (repackaged from NDC 59651-341-XX)

Bottles of 100 NDC 85766-060-01 (relabeled from NDC 59651-341-01)

Bottles of 500 NDC 85766-060-05 (relabeled from NDC 59651-341-05)

Store at20° to 25°C (68° to 77°F) [see USP Controlled Room Temperature].

Dispense in tight container.

For more information, call Aurobindo Pharma USA, Inc.at 1-866-850-2876.

Distributed by:

Sportpharm

2237 N Commerce Parkway,

STE 1, Weston, Florida-33326

Relabeled and Repackaged by:

Enovachem PHARMACEUTICALS

Torrance, CA 90501

Pediatric Use

Safety and effectiveness of methocarbamol in pediatric patients below the age of 16 have not been established.

Nursing Mothers

Methocarbamol and/or its metabolites are excreted in the milk of dogs; however, it is not known whether methocarbamol or its metabolites are excreted in human milk. Because many drugs are excreted in human milk, caution should be exercised when methocarbamol is administered to a nursing woman.

Adverse Reactions (ADVERSE REACTIONS)

Adverse reactions reported coincident with the administration of methocarbamol include:



Body as a whole:Anaphylactic reaction, angioneurotic edema, fever, headache



Cardiovascular system:Bradycardia, flushing, hypotension, syncope, thrombophlebitis



Digestive system:Dyspepsia, jaundice (including cholestatic jaundice), nausea and vomiting



Hemic and lymphatic system:Leukopenia



Immune system:Hypersensitivity reactions



Nervous system:
Amnesia, confusion, diplopia, dizziness or lightheadedness, drowsiness, insomnia, mild muscular incoordination, nystagmus, sedation, seizures (including grand mal), vertigo



Skin and special senses:Blurred vision, conjunctivitis, nasal congestion, metallic taste, pruritus, rash, urticaria

Contraindications (CONTRAINDICATIONS)

Methocarbamol tablets are contraindicated in patients hypersensitive to methocarbamol or to any of the tablet components.

Drug Interactions

See  WARNINGS and  PRECAUTIONS for interaction with CNS drugs and alcohol.



Methocarbamol may inhibit the effect of pyridostigmine bromide. Therefore, methocarbamol should be used with caution in patients with myasthenia gravis receiving anticholinesterase agents.

Clinical Pharmacology (CLINICAL PHARMACOLOGY)

The mechanism of action of methocarbamol in humans has not been established, but may be due to general CNS depression. It has no direct action on the contractile mechanism of striated muscle, the motor end plate or the nerve fiber.



Pharmacokinetics

In healthy volunteers, the plasma clearance of methocarbamol ranges between 0.20 and 0.80 L/h/kg, the mean plasma elimination half-life ranges between 1 and 2 hours, and the plasma protein binding ranges between 46% and 50%.



Methocarbamol is metabolized via dealkylation and hydroxylation. Conjugation of methocarbamol also is likely. Essentially all methocarbamol metabolites are eliminated in the urine. Small amounts of unchanged methocarbamol also are excreted in the urine.



Special populations

Elderly

The mean (± SD) elimination half-life of methocarbamol in elderly healthy volunteers (mean [± SD] age, 69 [± 4] years) was slightly prolonged compared to a younger (mean [± SD] age, 53.3 [± 8.8] years), healthy population (1.5 [± 0.4] hours versus 1.1 [±0.27] hours, respectively). The fraction of bound methocarbamol was slightly decreased in the elderly versus younger volunteers (41% to 43% versus 46% to 50%, respectively).



Renally impaired

The clearance of methocarbamol in 8 renally-impaired patients on maintenance hemodialysis was reduced about 40% compared to 17 normal subjects, although the mean (± SD) elimination half-life in these two groups was similar: 1.2 (± 0.6) versus 1.1 (±0.3) hours, respectively.



Hepatically impaired

In 8 patients with cirrhosis secondary to alcohol abuse, the mean total clearance of methocarbamol was reduced approximately 70% compared to that obtained in 8 age- and weight-matched normal subjects. The mean (± SD) elimination half-life in the cirrhotic patients and the normal subjects was 3.38 (± 1.62) hours and 1.11 (± 0.27) hours, respectively. The percent of methocarbamol bound to plasma proteins was decreased to approximately 40% to 45% compared to 46% to 50% in the normal subjects.

Indications and Usage (INDICATIONS AND USAGE)

Methocarbamol tablets are indicated as an adjunct to rest, physical therapy, and other measures for the relief of discomfort associated with acute, painful musculoskeletal conditions. The mode of action of methocarbamol has not been clearly identified, but may be related to its sedative properties. Methocarbamol does not directly relax tense skeletal muscles in man.

Information for Patients

Patients should be cautioned that methocarbamol may cause drowsiness or dizziness, which may impair their ability to operate motor vehicles or machinery.



Because methocarbamol may possess a general CNS-depressant effect, patients should be cautioned about combined effects with alcohol and other CNS depressants.

Dosage and administration (DOSAGE AND ADMINISTRATION)

Methocarbamol tablets, 500 mg - Adults:

Initial dosage: 3 tablets 4 times daily.

Maintenance dosage: 2 tablets 4 times daily.



Methocarbamol tablets: 750 mg - Adults:

Initial dosage: 2 tablets 4 times daily.

Maintenance dosage: 1 tablet q.4h. or 2 tablets 3 times daily.



Six grams a day are recommended for the first 48 to 72 hours of treatment. (For severe conditions 8 grams a day may be administered.) Thereafter, the dosage can usually be reduced to approximately 4 grams a day.

Drug/laboratory Test Interactions (Drug/Laboratory Test Interactions)

Methocarbamol may cause a color interference in certain screening tests for 5-hydroxyindoleacetic acid (5-HIAA) using nitrosonaphthol reagent and in screening tests for urinary vanillylmandelic acid (VMA) using the Gitlow method.

Package Label Principal Display Panel (PACKAGE LABEL-PRINCIPAL DISPLAY PANEL)

Carcinogenesis, Mutagenesis, Impairment of Fertility

Long-term studies to evaluate the carcinogenic potential of methocarbamol have not been performed. No studies have been conducted to assess the effect of methocarbamol on mutagenesis or its potential to impair fertility.


Advanced Ingredient Data


Raw Label Data

All Sections (JSON)