These Highlights Do Not Include All The Information Needed To Use Omeprazole And Sodium Bicarbonate For Oral Suspension Safely And Effectively. See Full Prescribing Information For Omeprazole And Sodium Bicarbonate For Oral Suspension.

These Highlights Do Not Include All The Information Needed To Use Omeprazole And Sodium Bicarbonate For Oral Suspension Safely And Effectively. See Full Prescribing Information For Omeprazole And Sodium Bicarbonate For Oral Suspension.
SPL v1
SPL
SPL Set ID 63c3bd6c-a586-4ec0-8f45-ed936936dfeb
Route
ORAL
Published
Effective Date 2025-12-18
Document Type 34391-3 Human Prescription Drug Label

Drug Facts

Composition & Product

Active Ingredients
Omeprazole (20 mg) Bicarbonate Ion (1680 mg)
Inactive Ingredients
Sucralose Sucrose Xanthan Gum Xylitol Acacia Maltodextrin Medium-chain Triglycerides

Identifiers & Packaging

Pill Appearance
Color: white
Marketing Status
ANDA Active Since 2026-01-15

Description

Omeprazole and sodium bicarbonate for oral suspension is indicated in adults for the : short-term treatment of active duodenal ulcer. Most patients heal within four weeks. Some patients may require an additional four weeks of therapy. short-term treatment (4 to 8 weeks) of active benign gastric ulcer. treatment of heartburn and other symptoms associated with GERD for up to 4 weeks. short-term treatment (4 to 8 weeks) of EE due to acid-mediated GERD which has been diagnosed by endoscopy in adults. The efficacy of omeprazole and sodium bicarbonate used for longer than 8 weeks in patients with EE has not been established. If a patient does not respond to 8 weeks of treatment, an additional 4 weeks of treatment may be given. If there is recurrence of EE or GERD symptoms (e.g., heartburn), additional 4 to 8-week courses of omeprazole and sodium bicarbonate may be considered.  maintenance of healing of EE due to acid-mediated GERD. Controlled studies do not extend beyond 12 months Omeprazole and sodium bicarbonate for oral suspension is indicated in adults for the : reduction of risk of upper GI bleeding in critically ill adult patients.

Warnings and Precautions

Gastric Malignancy: In adults, symptomatic response does not preclude the presence of gastric malignancy. Consider additional follow-up and diagnostic testing. (5.1) Acute Tubulointerstitial Nephritis: Discontinue treatment and evaluate patients. (5.2) Sodium Bicarbonate Buffer Content: Take sodium content into consideration in patients on a sodium-restricted diet. Avoid in patients with Bartter’s syndrome, hypokalemia, hypocalcemia, and problems with acid-base balance. (5.3) Clostridium difficile-Associated Diarrhea: PPI therapy may be associated with increased risk. (5.4) Bone Fracture: Long-term and multiple daily dose PPI therapy may be associated with an increased risk for osteoporosis-related fractures of the hip, wrist, or spine. (5.5) Severe Cutaneous Adverse Reactions: Discontinue at the first signs or symptoms of severe cutaneous adverse reactions or other signs of hypersensitivity and consider further evaluation. (5.6) Cutaneous and Systemic Lupus Erythematosus: Mostly cutaneous; new onset or exacerbation of existing disease; discontinue omeprazole and sodium bicarbonate and refer to specialist for evaluation. (5.7) Interaction with Clopidogrel: Avoid concomitant use of omeprazole and sodium bicarbonate. (5.8) Cyanocobalamin (Vitamin B-12) Deficiency: Daily long-term use (e.g., longer than 3 years) may lead to malabsorption or a deficiency of cyanocobalamin. (5.9) Hypomagnesemia and Mineral Metabolism: Reported rarely with prolonged treatment with PPIs. (5.10) Interaction with St. John’s wort or Rifampin: Avoid concomitant use of omeprazole and sodium bicarbonate. (5.11, 7) Interactions with Diagnostic Investigations for Neuroendocrine Tumors: Increased Chromogranin A (CgA) levels may interfere with diagnostic investigations for neuroendocrine tumors; temporarily stop omeprazole and sodium bicarbonate at least 14 days before assessing CgA levels. (5.12) Interaction with Methotrexate: Concomitant use with PPIs may elevate and/or prolong serum concentrations of methotrexate and/or its metabolite, possibly leading to toxicity. With high dose methotrexate administration, consider a temporary withdrawal of omeprazole and sodium bicarbonate. (5.13, 7) Fundic Gland Polyps: Risk increases with long-term use, especially beyond one year. Use the shortest duration of therapy. (5.14)

Contraindications

Omeprazole and sodium bicarbonate is contraindicated in patients with known hypersensitivity to substituted benzimidazoles or to any component of the formulation. Hypersensitivity reactions may include anaphylaxis, anaphylactic shock, angioedema, bronchospasm, acute tubulointerstitial nephritis, and urticaria [see Warnings and Precautions (5.2), Adverse Reactions (6.2)] . Proton pump inhibitors (PPIs), including omeprazole and sodium bicarbonate, are contraindicated in patients receiving rilpivirine containing products [see Drug Interactions (7)] .

Adverse Reactions

Severe cutaneous adverse reactions, including Stevens-Johnson syndrome (SJS) and toxic epidermal necrolysis (TEN), drug reaction with eosinophilia and systemic symptoms (DRESS), and acute generalized exanthematous pustulosis (AGEP) have been reported in association with the use of PPIs [see Adverse Reactions (6.2)] . Discontinue omeprazole and sodium bicarbonate at the first signs or symptoms of severe cutaneous adverse reactions or other signs of hypersensitivity and consider further evaluation.

Drug Interactions

Tables 6 and 7 include drugs with clinically important drug interactions and interaction with diagnostics when administered concomitantly with omeprazole and instructions for preventing or managing them. Consult the labeling of concomitantly used drugs to obtain further information about interactions with PPIs. Table 6: Clinically Relevant Interactions Affecting Drugs Co-Administered with Omeprazole and Interaction with Diagnostics Antiretrovirals   Clinical Impact: The effect of PPIs on antiretroviral drugs is variable. The clinical importance and the mechanisms behind these interactions are not always known. Decreased exposure of some antiretroviral drugs (e.g., rilpivirine, atazanavir and nelfinavir) when used concomitantly with omeprazole may reduce antiviral effect and promote the development of drug resistance [see Clinical Pharmacology (12.3)] . Increased exposure of other antiretroviral drugs (e.g., saquinavir) when used concomitantly with omeprazole may increase toxicity [see Clinical Pharmacology (12.3)] . There are other antiretroviral drugs which do not result in clinically relevant interactions with omeprazole.   Intervention: Rilpivirine-containing products : Concomitant use with omeprazole and sodium bicarbonate is contraindicated [see Contraindications (4) ]. Atazanavir : Avoid concomitant use with omeprazole and sodium bicarbonate. See prescribing information for atazanavir for dosing information. Nelfinavir : Avoid concomitant use with omeprazole and sodium bicarbonate. See prescribing information for nelfinavir. Saquinavir : See the prescribing information for saquinavir for monitoring of potential saquinavir-related toxicities. Other antiretrovirals : See prescribing information for specific antiretroviral drugs.   Warfarin   Clinical Impact: Increased INR and prothrombin time in patients receiving PPIs, including omeprazole, and warfarin concomitantly. Increases in INR and prothrombin time may lead to abnormal bleeding and even death.   Intervention: Monitor INR and prothrombin time and adjust the dose of warfarin, if needed, to maintain target INR range.   Methotrexate   Clinical Impact: Concomitant use of omeprazole with methotrexate (primarily at high dose) may elevate and prolong serum concentrations of methotrexate and/or its metabolite hydroxymethotrexate, possibly leading to methotrexate toxicities. No formal drug interaction studies of high-dose methotrexate with PPIs have been conducted [see Warnings and Precautions (5.12)].   Intervention: A temporary withdrawal of omeprazole and sodium bicarbonate may be considered in some patients receiving high-dose methotrexate.   CYP2C19 Substrates (e.g., clopidogrel, citalopram, cilostazol, phenytoin, diazepam)   Clopidogrel   Clinical Impact: Concomitant use of omeprazole 80 mg results in reduced plasma concentrations of the active metabolite of clopidogrel and a reduction in platelet inhibition [see Clinical Pharmacology (12.3)]. There are no adequate combination studies of a lower dose of omeprazole or a higher dose of clopidogrel in comparison with the approved dose of clopidogrel .   Intervention: Avoid concomitant use with omeprazole and sodium bicarbonate. Consider use of alternative anti-platelet therapy [see Warnings and Precautions (5.7)].   Citalopram Clinical Impact: Increased exposure of citalopram leading to an increased risk of QT prolongation [see Clinical Pharmacology (12.3)] . Intervention: Limit the dose of citalopram to a maximum of 20 mg per day. See prescribing information for citalopram. Cilostazol Clinical Impact: Increased exposure of one of the active metabolites of cilostazol (3,4-dihydro­cilostazol) [see Clinical Pharmacology (12.3)]. Intervention: Reduce the dose of cilostazol to 50 mg twice daily. See prescribing information for cilostazol. Phenytoin Clinical Impact: Potential for increased exposure of phenytoin. Intervention: Monitor phenytoin serum concentrations. Dose adjustment may be needed to maintain therapeutic drug concentrations. See prescribing information for phenytoin. Diazepam Clinical Impact: Increased exposure of diazepam [see Clinical Pharmacology (12.3)] . Intervention: Monitor patients for increased sedation and reduce the dose of diazepam as needed. Digoxin Clinical Impact: Potential for increased exposure of digoxin [see Clinical Pharmacology (12.3)]. Intervention: Monitor digoxin concentrations. Dose adjustment may be needed to maintain therapeutic drug concentrations. See digoxin prescribing information. Drugs Dependent on Gastric pH for Absorption (e.g., iron salts, erlotinib, dasatinib, nilotinib, mycophenolate mofetil, ketoconazole/itraconazole) Clinical Impact: Omeprazole can reduce the absorption of other drugs due to its effect on reducing intragastric acidity. Intervention: Mycophenolate mofetil (MMF): Co-administration of omeprazole in healthy subjects and in transplant patients receiving MMF has been reported to reduce the exposure to the active metabolite, mycophenolic acid (MPA), possibly due to a decrease in MMF solubility at an increased gastric pH. The clinical relevance of reduced MPA exposure on organ rejection has not been established in transplant patients receiving omeprazole and sodium bicarbonate and MMF. Use omeprazole and sodium bicarbonate with caution in transplant patients receiving MMF [see Clinical Pharmacology (12.3)] .   See the prescribing information for other drugs dependent on gastric pH for absorption. Tacrolimus Clinical Impact: Potential for increased exposure of tacrolimus, especially in transplant patients who are intermediate or poor metabolizers of CYP2C19 . Intervention: Monitor tacrolimus whole blood concentrations. Dose adjustment may be needed to maintain therapeutic drug concentrations. See prescribing information for tacrolimus. Interactions with Investigations of Neuroendocrine Tumors Clinical Impact: Serum chromogranin A (CgA) levels increase secondary to PPI-induced decreases in gastric acidity. The increased CgA level may cause false positive results in diagnostic investigations for neuroendocrine tumors [see Warnings and Precautions (5.11) and Clinical Pharmacology (12.2)] . Intervention: Temporarily stop PRILOSEC treatment at least 14 days before assessing CgA levels and consider repeating the test if initial CgA levels are high. If serial tests are performed (e.g., for monitoring), the same commercial laboratory should be used for testing, as reference ranges between tests may vary. Interaction with Secretin Stimulation Test Clinical Impact: Hyper-response in gastrin secretion in response to secretin stimulation test, falsely suggesting gastrinoma. Intervention: Temporarily stop omeprazole and sodium bicarbonate treatment at least 14 days before assessing to allow gastrin levels to return to baseline [see Clinical Pharmacology (12.2)] . False Positive Urine Tests for THC Clinical Impact: There have been reports of false positive urine screening tests for tetrahydrocannabinol (THC) in patients receiving PPIs. Intervention: An alternative confirmatory method should be considered to verify positive results. Other Clinical Impact: There have been clinical reports of interactions with other drugs metabolized via the cytochrome P450 system (e.g., cyclosporine, disulfiram). Intervention: Monitor patients to determine if it is necessary to adjust the dosage of these other drugs when taken concomitantly with omeprazole and sodium bicarbonate. Table 7: Clinically Relevant Interactions Affecting Omeprazole When Co-Administered with Other Drugs CYP2C19 or CYP3A4 Inducers Clinical Impact: Decreased exposure of omeprazole when used concomitantly with strong inducers [see Clinical Pharmacology (12.3)]. Intervention: St. John’s wort, rifampin : Avoid concomitant use with omeprazole and sodium bicarbonate [see Warnings and Precautions (5.10)].   Ritonavir-containing products : See prescribing information for specific drugs. CYP2C19 or CYP3A4 Inhibitors Clinical Impact: Increased exposure of omeprazole [see Clinical Pharmacology (12.3)]. Intervention: Voriconazole : Dosage adjustment of omeprazole and sodium bicarbonate is not required.

Storage and Handling

Omeprazole and sodium bicarbonate is supplied as: Omeprazole and Sodium Bicarbonate for Oral Suspension NDC Strength Quantity Description 70954-797-20 20 mg omeprazole and 1,680 mg sodium bicarbonate Cartons of 30 unit-dose packets White to off-white, flavored powder packaged in unit-dose packets 70954-798-20 40 mg omeprazole and 1,680 mg sodium bicarbonate Cartons of 30 unit-dose packets White to off-white, flavored powder packaged in unit-dose packets. Storage Store at 20° to 25°C (68° to 77°F); excursions permitted to 15° to 30°C (59° to 86°F) [see USP Controlled Room Temperature]. Protect from light and moisture.

How Supplied

Omeprazole and sodium bicarbonate is supplied as: Omeprazole and Sodium Bicarbonate for Oral Suspension NDC Strength Quantity Description 70954-797-20 20 mg omeprazole and 1,680 mg sodium bicarbonate Cartons of 30 unit-dose packets White to off-white, flavored powder packaged in unit-dose packets 70954-798-20 40 mg omeprazole and 1,680 mg sodium bicarbonate Cartons of 30 unit-dose packets White to off-white, flavored powder packaged in unit-dose packets. Storage Store at 20° to 25°C (68° to 77°F); excursions permitted to 15° to 30°C (59° to 86°F) [see USP Controlled Room Temperature]. Protect from light and moisture.


Medication Information

Warnings and Precautions

Gastric Malignancy: In adults, symptomatic response does not preclude the presence of gastric malignancy. Consider additional follow-up and diagnostic testing. (5.1) Acute Tubulointerstitial Nephritis: Discontinue treatment and evaluate patients. (5.2) Sodium Bicarbonate Buffer Content: Take sodium content into consideration in patients on a sodium-restricted diet. Avoid in patients with Bartter’s syndrome, hypokalemia, hypocalcemia, and problems with acid-base balance. (5.3) Clostridium difficile-Associated Diarrhea: PPI therapy may be associated with increased risk. (5.4) Bone Fracture: Long-term and multiple daily dose PPI therapy may be associated with an increased risk for osteoporosis-related fractures of the hip, wrist, or spine. (5.5) Severe Cutaneous Adverse Reactions: Discontinue at the first signs or symptoms of severe cutaneous adverse reactions or other signs of hypersensitivity and consider further evaluation. (5.6) Cutaneous and Systemic Lupus Erythematosus: Mostly cutaneous; new onset or exacerbation of existing disease; discontinue omeprazole and sodium bicarbonate and refer to specialist for evaluation. (5.7) Interaction with Clopidogrel: Avoid concomitant use of omeprazole and sodium bicarbonate. (5.8) Cyanocobalamin (Vitamin B-12) Deficiency: Daily long-term use (e.g., longer than 3 years) may lead to malabsorption or a deficiency of cyanocobalamin. (5.9) Hypomagnesemia and Mineral Metabolism: Reported rarely with prolonged treatment with PPIs. (5.10) Interaction with St. John’s wort or Rifampin: Avoid concomitant use of omeprazole and sodium bicarbonate. (5.11, 7) Interactions with Diagnostic Investigations for Neuroendocrine Tumors: Increased Chromogranin A (CgA) levels may interfere with diagnostic investigations for neuroendocrine tumors; temporarily stop omeprazole and sodium bicarbonate at least 14 days before assessing CgA levels. (5.12) Interaction with Methotrexate: Concomitant use with PPIs may elevate and/or prolong serum concentrations of methotrexate and/or its metabolite, possibly leading to toxicity. With high dose methotrexate administration, consider a temporary withdrawal of omeprazole and sodium bicarbonate. (5.13, 7) Fundic Gland Polyps: Risk increases with long-term use, especially beyond one year. Use the shortest duration of therapy. (5.14)

Contraindications

Omeprazole and sodium bicarbonate is contraindicated in patients with known hypersensitivity to substituted benzimidazoles or to any component of the formulation. Hypersensitivity reactions may include anaphylaxis, anaphylactic shock, angioedema, bronchospasm, acute tubulointerstitial nephritis, and urticaria [see Warnings and Precautions (5.2), Adverse Reactions (6.2)] . Proton pump inhibitors (PPIs), including omeprazole and sodium bicarbonate, are contraindicated in patients receiving rilpivirine containing products [see Drug Interactions (7)] .

Adverse Reactions

Severe cutaneous adverse reactions, including Stevens-Johnson syndrome (SJS) and toxic epidermal necrolysis (TEN), drug reaction with eosinophilia and systemic symptoms (DRESS), and acute generalized exanthematous pustulosis (AGEP) have been reported in association with the use of PPIs [see Adverse Reactions (6.2)] . Discontinue omeprazole and sodium bicarbonate at the first signs or symptoms of severe cutaneous adverse reactions or other signs of hypersensitivity and consider further evaluation.

Drug Interactions

Tables 6 and 7 include drugs with clinically important drug interactions and interaction with diagnostics when administered concomitantly with omeprazole and instructions for preventing or managing them. Consult the labeling of concomitantly used drugs to obtain further information about interactions with PPIs. Table 6: Clinically Relevant Interactions Affecting Drugs Co-Administered with Omeprazole and Interaction with Diagnostics Antiretrovirals   Clinical Impact: The effect of PPIs on antiretroviral drugs is variable. The clinical importance and the mechanisms behind these interactions are not always known. Decreased exposure of some antiretroviral drugs (e.g., rilpivirine, atazanavir and nelfinavir) when used concomitantly with omeprazole may reduce antiviral effect and promote the development of drug resistance [see Clinical Pharmacology (12.3)] . Increased exposure of other antiretroviral drugs (e.g., saquinavir) when used concomitantly with omeprazole may increase toxicity [see Clinical Pharmacology (12.3)] . There are other antiretroviral drugs which do not result in clinically relevant interactions with omeprazole.   Intervention: Rilpivirine-containing products : Concomitant use with omeprazole and sodium bicarbonate is contraindicated [see Contraindications (4) ]. Atazanavir : Avoid concomitant use with omeprazole and sodium bicarbonate. See prescribing information for atazanavir for dosing information. Nelfinavir : Avoid concomitant use with omeprazole and sodium bicarbonate. See prescribing information for nelfinavir. Saquinavir : See the prescribing information for saquinavir for monitoring of potential saquinavir-related toxicities. Other antiretrovirals : See prescribing information for specific antiretroviral drugs.   Warfarin   Clinical Impact: Increased INR and prothrombin time in patients receiving PPIs, including omeprazole, and warfarin concomitantly. Increases in INR and prothrombin time may lead to abnormal bleeding and even death.   Intervention: Monitor INR and prothrombin time and adjust the dose of warfarin, if needed, to maintain target INR range.   Methotrexate   Clinical Impact: Concomitant use of omeprazole with methotrexate (primarily at high dose) may elevate and prolong serum concentrations of methotrexate and/or its metabolite hydroxymethotrexate, possibly leading to methotrexate toxicities. No formal drug interaction studies of high-dose methotrexate with PPIs have been conducted [see Warnings and Precautions (5.12)].   Intervention: A temporary withdrawal of omeprazole and sodium bicarbonate may be considered in some patients receiving high-dose methotrexate.   CYP2C19 Substrates (e.g., clopidogrel, citalopram, cilostazol, phenytoin, diazepam)   Clopidogrel   Clinical Impact: Concomitant use of omeprazole 80 mg results in reduced plasma concentrations of the active metabolite of clopidogrel and a reduction in platelet inhibition [see Clinical Pharmacology (12.3)]. There are no adequate combination studies of a lower dose of omeprazole or a higher dose of clopidogrel in comparison with the approved dose of clopidogrel .   Intervention: Avoid concomitant use with omeprazole and sodium bicarbonate. Consider use of alternative anti-platelet therapy [see Warnings and Precautions (5.7)].   Citalopram Clinical Impact: Increased exposure of citalopram leading to an increased risk of QT prolongation [see Clinical Pharmacology (12.3)] . Intervention: Limit the dose of citalopram to a maximum of 20 mg per day. See prescribing information for citalopram. Cilostazol Clinical Impact: Increased exposure of one of the active metabolites of cilostazol (3,4-dihydro­cilostazol) [see Clinical Pharmacology (12.3)]. Intervention: Reduce the dose of cilostazol to 50 mg twice daily. See prescribing information for cilostazol. Phenytoin Clinical Impact: Potential for increased exposure of phenytoin. Intervention: Monitor phenytoin serum concentrations. Dose adjustment may be needed to maintain therapeutic drug concentrations. See prescribing information for phenytoin. Diazepam Clinical Impact: Increased exposure of diazepam [see Clinical Pharmacology (12.3)] . Intervention: Monitor patients for increased sedation and reduce the dose of diazepam as needed. Digoxin Clinical Impact: Potential for increased exposure of digoxin [see Clinical Pharmacology (12.3)]. Intervention: Monitor digoxin concentrations. Dose adjustment may be needed to maintain therapeutic drug concentrations. See digoxin prescribing information. Drugs Dependent on Gastric pH for Absorption (e.g., iron salts, erlotinib, dasatinib, nilotinib, mycophenolate mofetil, ketoconazole/itraconazole) Clinical Impact: Omeprazole can reduce the absorption of other drugs due to its effect on reducing intragastric acidity. Intervention: Mycophenolate mofetil (MMF): Co-administration of omeprazole in healthy subjects and in transplant patients receiving MMF has been reported to reduce the exposure to the active metabolite, mycophenolic acid (MPA), possibly due to a decrease in MMF solubility at an increased gastric pH. The clinical relevance of reduced MPA exposure on organ rejection has not been established in transplant patients receiving omeprazole and sodium bicarbonate and MMF. Use omeprazole and sodium bicarbonate with caution in transplant patients receiving MMF [see Clinical Pharmacology (12.3)] .   See the prescribing information for other drugs dependent on gastric pH for absorption. Tacrolimus Clinical Impact: Potential for increased exposure of tacrolimus, especially in transplant patients who are intermediate or poor metabolizers of CYP2C19 . Intervention: Monitor tacrolimus whole blood concentrations. Dose adjustment may be needed to maintain therapeutic drug concentrations. See prescribing information for tacrolimus. Interactions with Investigations of Neuroendocrine Tumors Clinical Impact: Serum chromogranin A (CgA) levels increase secondary to PPI-induced decreases in gastric acidity. The increased CgA level may cause false positive results in diagnostic investigations for neuroendocrine tumors [see Warnings and Precautions (5.11) and Clinical Pharmacology (12.2)] . Intervention: Temporarily stop PRILOSEC treatment at least 14 days before assessing CgA levels and consider repeating the test if initial CgA levels are high. If serial tests are performed (e.g., for monitoring), the same commercial laboratory should be used for testing, as reference ranges between tests may vary. Interaction with Secretin Stimulation Test Clinical Impact: Hyper-response in gastrin secretion in response to secretin stimulation test, falsely suggesting gastrinoma. Intervention: Temporarily stop omeprazole and sodium bicarbonate treatment at least 14 days before assessing to allow gastrin levels to return to baseline [see Clinical Pharmacology (12.2)] . False Positive Urine Tests for THC Clinical Impact: There have been reports of false positive urine screening tests for tetrahydrocannabinol (THC) in patients receiving PPIs. Intervention: An alternative confirmatory method should be considered to verify positive results. Other Clinical Impact: There have been clinical reports of interactions with other drugs metabolized via the cytochrome P450 system (e.g., cyclosporine, disulfiram). Intervention: Monitor patients to determine if it is necessary to adjust the dosage of these other drugs when taken concomitantly with omeprazole and sodium bicarbonate. Table 7: Clinically Relevant Interactions Affecting Omeprazole When Co-Administered with Other Drugs CYP2C19 or CYP3A4 Inducers Clinical Impact: Decreased exposure of omeprazole when used concomitantly with strong inducers [see Clinical Pharmacology (12.3)]. Intervention: St. John’s wort, rifampin : Avoid concomitant use with omeprazole and sodium bicarbonate [see Warnings and Precautions (5.10)].   Ritonavir-containing products : See prescribing information for specific drugs. CYP2C19 or CYP3A4 Inhibitors Clinical Impact: Increased exposure of omeprazole [see Clinical Pharmacology (12.3)]. Intervention: Voriconazole : Dosage adjustment of omeprazole and sodium bicarbonate is not required.

Storage and Handling

Omeprazole and sodium bicarbonate is supplied as: Omeprazole and Sodium Bicarbonate for Oral Suspension NDC Strength Quantity Description 70954-797-20 20 mg omeprazole and 1,680 mg sodium bicarbonate Cartons of 30 unit-dose packets White to off-white, flavored powder packaged in unit-dose packets 70954-798-20 40 mg omeprazole and 1,680 mg sodium bicarbonate Cartons of 30 unit-dose packets White to off-white, flavored powder packaged in unit-dose packets. Storage Store at 20° to 25°C (68° to 77°F); excursions permitted to 15° to 30°C (59° to 86°F) [see USP Controlled Room Temperature]. Protect from light and moisture.

How Supplied

Omeprazole and sodium bicarbonate is supplied as: Omeprazole and Sodium Bicarbonate for Oral Suspension NDC Strength Quantity Description 70954-797-20 20 mg omeprazole and 1,680 mg sodium bicarbonate Cartons of 30 unit-dose packets White to off-white, flavored powder packaged in unit-dose packets 70954-798-20 40 mg omeprazole and 1,680 mg sodium bicarbonate Cartons of 30 unit-dose packets White to off-white, flavored powder packaged in unit-dose packets. Storage Store at 20° to 25°C (68° to 77°F); excursions permitted to 15° to 30°C (59° to 86°F) [see USP Controlled Room Temperature]. Protect from light and moisture.

Description

Omeprazole and sodium bicarbonate for oral suspension is indicated in adults for the : short-term treatment of active duodenal ulcer. Most patients heal within four weeks. Some patients may require an additional four weeks of therapy. short-term treatment (4 to 8 weeks) of active benign gastric ulcer. treatment of heartburn and other symptoms associated with GERD for up to 4 weeks. short-term treatment (4 to 8 weeks) of EE due to acid-mediated GERD which has been diagnosed by endoscopy in adults. The efficacy of omeprazole and sodium bicarbonate used for longer than 8 weeks in patients with EE has not been established. If a patient does not respond to 8 weeks of treatment, an additional 4 weeks of treatment may be given. If there is recurrence of EE or GERD symptoms (e.g., heartburn), additional 4 to 8-week courses of omeprazole and sodium bicarbonate may be considered.  maintenance of healing of EE due to acid-mediated GERD. Controlled studies do not extend beyond 12 months Omeprazole and sodium bicarbonate for oral suspension is indicated in adults for the : reduction of risk of upper GI bleeding in critically ill adult patients.

10 Overdosage

If over-exposure occurs, call your Poison Control Center at 1-800-222-1222 for current information on the management of poisoning or overdosage.



Omeprazole

Reports have been received of overdosage with omeprazole in humans. Doses ranged up to 2,400 mg (120 times the usual recommended clinical dose). Manifestations were variable, but included confusion, drowsiness, blurred vision, tachycardia, nausea, vomiting, diaphoresis, flushing, headache, dry mouth, and other adverse reactions similar to those seen in clinical experience with the recommended dosage [see Adverse Reactions (6)]. Symptoms were transient, and no serious clinical outcome has been reported when omeprazole was taken alone. No specific antidote for omeprazole overdosage is known. Omeprazole is extensively protein bound and is, therefore, not readily dialyzable. In the event of overdosage, treatment should be symptomatic and supportive.



Sodium Bicarbonate

Overdosage of sodium bicarbonate can cause electrolyte abnormalities (hypocalcemia, hypokalemia, hypernatremia), metabolic alkalosis, and seizures. Institute supportive care and correct electrolyte abnormalities.

8.1 Pregnancy

Risk Summary

There are no adequate and well-controlled studies with omeprazole and sodium bicarbonate in pregnant women. Omeprazole and sodium bicarbonate for oral suspension contains omeprazole and sodium bicarbonate.



Omeprazole

There are no adequate and well-controlled studies with omeprazole in pregnant women. Available epidemiologic data fail to demonstrate an increased risk of major congenital malformations or other adverse pregnancy outcomes with first trimester omeprazole use. Reproduction studies in rats and rabbits resulted in dose-dependent embryo-lethality at omeprazole doses that were approximately 3.4 to 34 times an oral human dose of 40 mg (based on a body surface area for a 60 kg person).



Teratogenicity was not observed in animal reproduction studies with administration of oral esomeprazole (an enantiomer of omeprazole) magnesium in rats and rabbits during organogenesis with doses about 68 times and 42 times, respectively, an oral human dose of 40 mg esomeprazole or 40 mg omeprazole (based on body surface area for a 60 kg person). Changes in bone morphology were observed in offspring of rats dosed through most of pregnancy and lactation at doses equal to or greater than approximately 34 times an oral human dose of 40 mg esomeprazole or 40 mg omeprazole. When maternal administration was confined to gestation only, there were no effects on bone physeal morphology in the offspring at any age (see Data).



Sodium Bicarbonate

Available data with sodium bicarbonate use in pregnant women are insufficient to identify a drug associated risk of major birth defects or miscarriage. Published animal studies report that sodium bicarbonate administered to rats, mice or rabbits during pregnancy did not cause adverse developmental effects in offspring.



The estimated background risks of major birth defects and miscarriage for the indicated population are unknown. All pregnancies have a background risk of birth defect, loss or other adverse outcomes. In the U.S. general population, the estimated background risk of major birth defects and miscarriage in clinically recognized pregnancies is 2% to 4% and 15% to 20%, respectively.



Data

Human Data

There are no adequate and well-controlled studies with omeprazole and sodium bicarbonate in pregnant women. Four published epidemiological studies compared the frequency of congenital abnormalities among infants born to women who used omeprazole during pregnancy with the frequency of abnormalities among infants of women exposed to H2-receptor antagonists or other controls.



A population-based retrospective cohort epidemiological study from the Swedish Medical Birth Register, covering approximately 99% of pregnancies, from 1995-99, reported on 955 infants (824 exposed during the first trimester with 39 of these exposed beyond first trimester, and 131 exposed after the first trimester) whose mothers used omeprazole during pregnancy. The number of infants exposed in utero to omeprazole that had any malformation, low birth weight, low Apgar score, or hospitalization was similar to the number observed in this population. The number of infants born with ventricular septal defects and the number of stillborn infants was slightly higher in the omeprazole-exposed infants than the expected number in this population.



A population-based retrospective cohort study covering all live births in Denmark from 1996-2009 reported on 1,800 live births whose mothers used omeprazole during the first trimester of pregnancy and 837,317 live births whose mothers did not use any PPI. The overall rate of birth defects in infants born to mothers with first trimester exposure to omeprazole was 2.9% and 2.6% in infants born to mothers not exposed to any PPI during the first trimester.



A retrospective cohort study reported on 689 pregnant women exposed to either H2-blockers or omeprazole in the first trimester (134 exposed to omeprazole) and 1,572 pregnant women unexposed to either during the first trimester. The overall malformation rate in offspring born to mothers with first trimester exposure to omeprazole, an H2-blocker, or were unexposed was 3.6%, 5.5%, and 4.1%, respectively.



A small prospective observational cohort study followed 113 women exposed to omeprazole during pregnancy (89% first trimester exposures). The reported rate of major congenital malformations was 4% in the omeprazole group, 2% in controls exposed to non-teratogens, and 2.8% in disease-paired controls. Rates of spontaneous and elective abortions, preterm deliveries, gestational age at delivery, and mean birth weight were similar among the groups.



Several studies have reported no apparent adverse short-term effects on the infant when single-dose oral or intravenous omeprazole was administered to over 200 pregnant women as premedication for cesarean section under general anesthesia.



Animal Data

Omeprazole

Reproductive studies conducted with omeprazole in rats at oral doses up to 138 mg/kg/day (about 34 times an oral human dose of 40 mg on a body surface area basis) and in rabbits at doses up to 69.1 mg/kg/day (about 34 times an oral human dose of 40 mg on a body surface area basis) during organogenesis did not disclose any evidence for a teratogenic potential of omeprazole. In rabbits, omeprazole in a dose range of 6.9 to 69.1 mg/kg/day (about 3.4 to 34 times an oral human dose of 40 mg on a body surface area basis) administered during organogenesis produced dose-related increases in embryo-lethality, fetal resorptions, and pregnancy disruptions. In rats, dose-related embryo/fetal toxicity and postnatal developmental toxicity were observed in offspring resulting from parents treated with omeprazole at 13.8 to 138 mg/kg/day (about 3.4 to 34 times an oral human dose of 40 mg on a body surface area basis), administered prior to mating through the lactation period.



Esomeprazole

The data described below was generated from studies using esomeprazole, an enantiomer of omeprazole. The animal to human dose multiples are based on the assumption of equal systemic exposure to esomeprazole in humans following oral administration of either 40 mg esomeprazole or 40 mg omeprazole.



No effects on embryo-fetal development were observed in reproduction studies with esomeprazole magnesium in rats at oral doses up to 280 mg/kg/day (about 68 times an oral human dose of 40 mg on a body surface area basis) and in rabbits at oral doses up to 86 mg/kg/day (about 42 times an oral human dose of 40 mg of esomeprazole or 40 mg omeprazole on a body surface area basis) administered during organogenesis.



A pre- and postnatal developmental toxicity study in rats with additional endpoints to evaluate bone development were performed with esomeprazole magnesium at oral doses of 14 to 280 mg/kg/day (about 3.4 to 68 times an oral human dose of 40 mg of esomeprazole or 40 mg omeprazole on a body surface area basis). Neonatal/early postnatal (birth to weaning) survival was decreased at doses equal to or greater than 138 mg/kg/day (about 34 times an oral human dose of 40 mg esomeprazole or 40 mg omeprazole on a body surface area basis). Body weight and body weight gain were reduced and neurobehavioral or general developmental delays in the immediate post-weaning timeframe were evident at doses equal to or greater than 69 mg/kg/day (about 17 times an oral human dose of 40 mg esomeprazole or 40 mg omeprazole on a body surface area basis). In addition, decreased femur length, width and thickness of cortical bone, decreased thickness of the tibial growth plate and minimal to mild bone marrow hypocellularity were noted at doses of esomeprazole magnesium equal to or greater than 14 mg/kg/day (about 3.4 times an oral human dose of 40 mg esomeprazole or 40 mg omeprazole on a body surface area basis). Physeal dysplasia in the femur was observed in offspring of rats treated with oral doses of esomeprazole magnesium at doses equal to or greater than 138 mg/kg/day (about 34 times an oral human dose of 40 mg esomeprazole or 40 mg omeprazole on a body surface area basis).



Effects on maternal bone were observed in pregnant and lactating rats in a pre-and postnatal toxicity study when esomeprazole magnesium was administered at oral doses of 14 to 280 mg/kg/day (about 3.4 to 68 times an oral human dose of 40 mg esomeprazole or 40 mg omeprazole on a body surface area basis). When rats were dosed from gestational Day 7 through weaning on postnatal Day 21, a statistically significant decrease in maternal femur weight of up to 14% (as compared to placebo treatment) was observed at doses of esomeprazole magnesium equal to or greater than 138 mg/kg/day (about 34 times an oral human dose of 40 mg on a body surface area basis).



A pre- and postnatal development study in rats with esomeprazole strontium (using equimolar doses compared to esomeprazole magnesium study) produced similar results in dams and pups as described above.



A follow-up developmental toxicity study in rats with further time points to evaluate pup bone development from postnatal day 2 to adulthood was performed with esomeprazole magnesium at oral doses of 280 mg/kg/day (about 68 times an oral human dose of 40 mg on a body surface area basis) where esomeprazole administration was from either gestational Day 7 or gestational Day 16 until parturition. When maternal administration was confined to gestation only, there were no effects on bone physeal morphology in the offspring at any age.

8.2 Lactation

Risk Summary

Available data from the published literature suggest both components of omeprazole and sodium bicarbonate for oral suspension, omeprazole and sodium bicarbonate, are present in human milk. There are no clinical data on the effects of omeprazole or sodium bicarbonate on the breastfed infant or on milk production. The developmental and health benefits of breastfeeding should be considered along with the mother's clinical need for omeprazole and sodium bicarbonate and any potential adverse effects on the breastfed infant from omeprazole and sodium bicarbonate or from the underlying maternal condition.

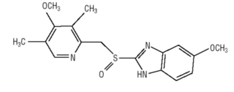
11 Description

Omeprazole and sodium bicarbonate for oral suspension is a combination of omeprazole, a proton-pump inhibitor, and sodium bicarbonate, an antacid. Omeprazole is a substituted benzimidazole, 5-methoxy-2-[[(4-methoxy-3,5-dimethyl-2­pyridinyl)methyl]sulfinyl]-1H-benzimidazole, a racemic mixture of two enantiomers that inhibits gastric acid secretion. Its empirical formula is C17H19N3O3S, with a molecular weight of 345.42. The structural formula is:

Omeprazole is a white to off-white crystalline powder which melts with decomposition at about 155°C. It is a weak base, freely soluble in ethanol and methanol, slightly soluble in acetone and isopropanol and very slightly soluble in water. The stability of omeprazole is a function of pH; it is rapidly degraded in acid media but has acceptable stability under alkaline conditions.



Omeprazole and sodium bicarbonate is supplied as unit-dose packets as powder for oral suspension. Packets of powder for oral suspension contain either 40 mg or 20 mg of omeprazole and 1,680 mg of sodium bicarbonate with the following excipients: banana flavor (acacia, maltodextrin, medium chain triglycerides and natural flavor), sucralose, sucrose, xanthan gum, and xylitol.



Omeprazole and sodium bicarbonate for oral suspension is an immediate-release formulation that contain sodium bicarbonate which raises the gastric pH and thus protects omeprazole from acid degradation.

Medication Guide

Omeprazole and Sodium Bicarbonate

(oh mep’ ra zole and soe’ dee um bye kar’ bo nate)

for Oral suspension, for oral use



What is the most important information I should know about omeprazole and sodium bicarbonate for oral suspension?



Omeprazole and sodium bicarbonate for oral suspension may help your acid-related symptoms, but you could still have serious stomach problems. Talk with your doctor.

 

Omeprazole and sodium bicarbonate for oral suspension can cause serious side effects, including:

  • A type of kidney problem (acute tubulointerstitial nephritis). Some people who take proton pump inhibitor (PPI) medicines, including omeprazole and sodium bicarbonate for oral suspension, may develop a kidney problem called acute tubulointerstitial nephritis that can happen at any time during treatment with omeprazole and sodium bicarbonate for oral suspension. Call your doctor right away if you have a decrease in the amount that you urinate or if you have blood in your urine.
  • Omeprazole and sodium bicarbonate for oral suspension contains sodium bicarbonate. Long-term use of bicarbonate with calcium or milk can cause a condition called “milk-alkali syndrome”. Long-term use of sodium bicarbonate can cause a condition called “systemic alkalosis”. Talk to your doctor about any questions you may have. Too much sodium can cause swelling and weight gain. Tell your doctor if you are on a low-sodium diet or if you have Bartter’s Syndrome (a rare kidney disorder). Tell your doctor right away if you have confusion, shaking hands, dizziness, muscle twitching, nausea, vomiting, and numbness or tingling in the face, arms, or legs.
  • Diarrhea caused by an infection (Clostridium difficile) in your intestines. Call your doctor right away if you have watery stools or stomach pain that does not go away. You may or may not have a fever.
  • Bone fractures (hip, wrist, or spine). Bone fractures in the hip, wrist or spine may happen in people who take multiple daily doses of PPI medicines and for a long period of time (a year or longer). Tell your doctor if you have bone fracture, especially in the hip, wrist, or spine. Certain types of lupus erythematosus. Lupus erythematosus is an autoimmune disorder (the body’s immune cells attack other cells or organs in the body). Some people who take PPI medicines, including omeprazole and sodium bicarbonate for oral suspension, may develop certain types of lupus erythematosus or have worsening of the lupus they already have. Call your doctor right away if you have new or worsening joint pain or a rash on your cheeks or arms that gets worse in the sun.


Talk to your doctor about your risk of these serious side effects.



Omeprazole and sodium bicarbonate for oral suspension can have other serious side effects. See “What are the possible side effects of omeprazole and sodium bicarbonate for oral suspension?”



What is omeprazole and sodium bicarbonate for oral suspension?

A prescription medicine called a proton pump inhibitor (PPI) used to reduce the amount of acid in your stomach.



Omeprazole and sodium bicarbonate for oral suspension is used in adults for:

  • up to 8 weeks for the healing of duodenal ulcers.
  • up to 8 weeks for the healing of stomach ulcers.
  • up to 4 weeks to treat heartburn and other symptoms that happen with gastroesophageal reflux disease (GERD).
  • up to 8 weeks for the healing and symptom relief of acid-related damage to the lining of the esophagus (called erosive esophagitis or EE). Your doctor may prescribe another 4 weeks of omeprazole and sodium bicarbonate for oral suspension in patients whose EE does not heal.
  • maintaining healing of EE and to help prevent the return of heartburn symptoms caused by GERD. It is not known if omeprazole and sodium bicarbonate for oral suspension is safe and effective when used for longer than 12 months for this purpose.


Omeprazole and sodium bicarbonate for oral suspension is used:

  • in critically ill adults to lower the risk of stomach bleeding (40 mg oral suspension only).


It is not known if omeprazole and sodium bicarbonate for oral suspension is safe and effective in children.



Do not take omeprazole and sodium bicarbonate for oral suspension if you are:

  • allergic to omeprazole, any other PPI medicine, or any of the ingredients in omeprazole and sodium bicarbonate for oral suspension. See the end of this Medication Guide for a complete list of ingredients in omeprazole and sodium bicarbonate for oral suspension.
  • taking a medicine that contains rilpivirine, used to treat HIV-1 (Human Immunodeficiency Virus).


Before taking omeprazole and sodium bicarbonate for oral suspension, tell your doctor about all of your medical conditions, including if you:

  • have low magnesium, calcium, or potassium levels in your blood.
  • have problems with the acid-base (pH) balance in your body.
  • have liver problems.
  • have heart failure.
  • are on a low-sodium diet.
  • have Bartter’s syndrome (a rare kidney problem).
  • are of Asian descent and have been told that your body’s ability to break down (metabolize) omeprazole is poor or if your genotype called CYP2C19 is not known.
  • are pregnant or plan to become pregnant. It is not known if omeprazole and sodium bicarbonate for oral suspension will harm your unborn baby.
  • are breastfeeding or plan to breastfeed. Omeprazole and sodium bicarbonate for oral suspension can pass into your breast milk. Talk with your doctor about the best way to feed your baby if you take omeprazole and sodium bicarbonate for oral suspension.


Tell your doctor about all the medicines you take, including prescription and over-the-counter medicines, vitamins and herbal supplements. Especially tell your doctor if you take:

  • digoxin (Lanoxin)
  • clopidogrel (Plavix)
  • St. John’s wort (Hypericum perforatum)
  • rifampin (Rifater, Rifamate, Rimactane, Rifadin)
  • methotrexate


Ask your doctor or pharmacist for a list of these medicines, if you are not sure.



Know the medicines that you take. Keep a list of them to show your doctor and pharmacist when you get a new medicine.



How should I take omeprazole and sodium bicarbonate for oral suspension?

  • Take omeprazole and sodium bicarbonate for oral suspension exactly as prescribed by your doctor.
  • Do not change your dose or stop taking omeprazole and sodium bicarbonate for oral suspension without talking to your doctor.
  • Omeprazole and sodium bicarbonate for oral suspension can be taken by mouth or given through a nasogastric (NG) or orogastric (OG) tube.
  • See the “Instructions for Use” that come with omeprazole and sodium bicarbonate for oral suspension for instructions on how to mix omeprazole and sodium bicarbonate for oral suspension with water and give the medicine through a NG tube or OG tube.
  • If you miss a dose of omeprazole and sodium bicarbonate for oral suspension, take it as soon as you remember. If it is almost time for your next dose, do not take the missed dose. Take the next dose at your regular time. Do not take two doses to make up for a missed dose.
  • Do not substitute two 20 mg packets for one 40 mg packet of omeprazole and sodium bicarbonate for oral suspension because you will receive twice the amount of sodium bicarbonate. Talk to your doctor if you have questions.
  • If you take too much omeprazole and sodium bicarbonate for oral suspension, call your doctor or Poison Control Center at 1-800-222-1222 right away or go to the nearest hospital emergency room.


What are the possible side effects of omeprazole and sodium bicarbonate for oral suspension?

Omeprazole and sodium bicarbonate for oral suspension can cause serious side effects, including:



  • See “What is the most important information I should know about omeprazole and sodium bicarbonate for oral suspension?”
  • Low vitamin B-12 levels in your body can happen in people who have taken omeprazole and sodium bicarbonate for oral suspension for a long time (more than 3 years). Tell your doctor if you have symptoms of low vitamin B-12 levels, including shortness of breath, lightheadedness, irregular heartbeat, muscle weakness, pale skin, feeling tired, mood changes, and tingling or numbness in the arms and legs.
  • Low magnesium levels in your body can happen in people who have taken omeprazole and sodium bicarbonate for oral suspension for at least 3 months. Tell your doctor right away if you have symptoms of low magnesium levels, including seizures, dizziness, irregular heartbeat, jitteriness, muscle aches or weakness, and spasms of hands, feet or voice.
  • Stomach growths (fundic gland polyps). People who take PPI medicines for a long time have an increased risk of developing a certain type of stomach growths called fundic gland polyps, especially after taking PPI medicines for more than 1 year.
  • Severe skin reactions. Omeprazole and sodium bicarbonate for oral suspension can cause rare but severe skin reactions that may affect any part of your body. These serious skin reactions may need to be treated in a hospital and may be life threatening:
    •  Skin rash which may have blistering, peeling or bleeding on any part of your skin (including your lips, eyes, mouth, nose, genitals, hands or feet).
    • You may also have fever, chills, body aches, shortness of breath, or enlarged lymph nodes.

Stop taking omeprazole and sodium bicarbonate for oral suspension and call your doctor right away. These symptoms may be the first sign of a severe skin reaction.

  • The most common side effects of omeprazole and sodium bicarbonate for oral suspension include:
  • headache
  • abdominal pain
  • nausea
  • diarrhea
  • vomiting
  • gas


These are not all the possible side effects of omeprazole and sodium bicarbonate for oral suspension.



Call your doctor for medical advice about side effects. You may report side effects to FDA at 1-800-FDA-1088.



How should I store omeprazole and sodium bicarbonate for oral suspension?

  • Store omeprazole and sodium bicarbonate for oral suspension at room temperature between 68°F to 77°F (20°C to 25°C).
  • Keep omeprazole and sodium bicarbonate for oral suspension in a dry place and out of light.


Keep omeprazole and sodium bicarbonate for oral suspension and all medicines out of the reach of children.



General information about the safe and effective use of omeprazole and sodium bicarbonate for oral suspension.



Medicines are sometimes prescribed for purposes other than those listed in a Medication Guide. Do not use omeprazole and sodium bicarbonate for oral suspension for any condition for which it was not prescribed. Do not give omeprazole and sodium bicarbonate for oral suspension to other people, even if they have the same symptoms that you have. It may harm them.



You can also ask your doctor or pharmacist for information about omeprazole and sodium bicarbonate for oral suspension that is written for health professionals.



What are the ingredients in Omeprazole and Sodium Bicarbonate for Oral Suspension?

Active ingredients: omeprazole and sodium bicarbonate

Inactive ingredients in omeprazole and sodium bicarbonate for oral suspension: banana flavor (acacia, maltodextrin, medium chain triglycerides and natural flavor), sucralose, sucrose, xanthan gum, and xylitol.



All trademarks are the property of their respective owners.



Distributed by:

ANI Pharmaceuticals, Inc.

Baudette, MN 56623



Issued: 01/2025

LB4661-00



This Medication Guide has been approved by the U.S. Food and Drug Administration.

5.5 Bone Fracture

Several published observational studies suggest that proton pump inhibitor (PPI) therapy may be associated with an increased risk for osteoporosis-related fractures of the hip, wrist, or spine. The risk of fracture was increased in patients who received high-dose, defined as multiple daily doses, and long-term PPI therapy (a year or longer). Patients should use the lowest dose and shortest duration of PPI therapy appropriate to the condition being treated. Patients at risk for osteoporosis-related fractures should be managed according to the established treatment guidelines [see Dosage and Administration (2.2) and Adverse Reactions (6.2)].

8.4 Pediatric Use

Safety and effectiveness of omeprazole and sodium bicarbonate have not been established in pediatric patients.



Juvenile Animal Data

Esomeprazole, an enantiomer of omeprazole, was shown to decrease body weight, body weight gain, femur weight, femur length, and overall growth at oral doses about 34 to 68 times a daily human dose of 40 mg esomeprazole or 40 mg omeprazole based on body surface area in a juvenile rat toxicity study. The animal to human dose multiples are based on the assumption of equal systemic exposure to esomeprazole in humans following oral administration of either 40 mg esomeprazole or 40 mg omeprazole.



A 28-day toxicity study with a 14-day recovery phase was conducted in juvenile rats with esomeprazole magnesium at doses of 70 to 280 mg/kg/day (about 17 to 68 times a daily oral human dose of 40 mg esomeprazole or 40 mg omeprazole on a body surface area basis). An increase in the number of deaths at the high dose of 280 mg/kg/day was observed when juvenile rats were administered esomeprazole magnesium from postnatal day 7 through postnatal day 35. In addition, doses equal to or greater than 140 mg/kg/day (about 34 times a daily oral human dose of 40 mg esomeprazole or 40 mg omeprazole on a body surface area basis), produced treatment-related decreases in body weight (approximately 14%) and body weight gain, decreases in femur weight and femur length, and affected overall growth. Comparable findings described above have also been observed in this study with another esomeprazole salt, esomeprazole strontium, at equimolar doses of esomeprazole.

8.5 Geriatric Use

Omeprazole was administered to over 2,000 elderly individuals (≥65 years of age) in clinical trials in the U.S. and Europe. There were no differences in safety and effectiveness between the elderly and younger subjects. Other reported clinical experience has not identified differences in response between the elderly and younger subjects, but greater sensitivity of some older individuals cannot be ruled out.



Pharmacokinetic studies with buffered omeprazole have shown the elimination rate was somewhat decreased in the elderly and bioavailability was increased. The plasma clearance of omeprazole was 250 mL/min (about half that of young subjects). The plasma half-life averaged one hour, about twice that in nonelderly, healthy subjects taking omeprazole and sodium bicarbonate. However, no dosage adjustment is necessary in the elderly [see Clinical Pharmacology (12.3)].

2.2 Dosage Regimen

The recommended dosage regimen by indication in adults of omeprazole and sodium bicarbonate for oral suspension is summarized in Table 1. Only 40 mg omeprazole and sodium bicarbonate for oral suspension is indicated for the reduction of risk of upper GI bleeding in critically ill adult patients and the dosage regimen is summarized in Table 2. All recommended dosages are based upon omeprazole content.



Table 1: Recommended Dosage Regimen of Omeprazole and Sodium Bicarbonate for Oral Suspension in Adults by Indication

Indication

Dosage of omeprazole and sodium bicarbonate for oral suspension

Treatment Duration

Treatment of Active Duodenal Ulcer

20 mg once daily

4 weeks 1,2

Treatment of Active Benign Gastric Ulcer

40 mg once daily

4 to 8 weeks

Treatment of Symptomatic GERD

20 mg once daily

Up to 4 weeks

Treatment of EE due to Acid-Mediated GERD

20 mg once daily

4 to 8 weeks 2

Maintenance of Healing of EE due to Acid-Mediated GERD

20 mg once daily

Controlled studies do not extend beyond 12 months.

1 Most patients heal within 4 weeks. Some patients may require an additional 4 weeks of therapy [see Clinical Studies (14.1)].

2 The efficacy of omeprazole and sodium bicarbonate used for longer than 8 weeks in patients with EE has not been established. If a patient does not respond to 8 weeks of treatment, an additional 4 weeks of treatment may be given. If there is recurrence of EE or GERD symptoms (e.g., heartburn), additional 4 to 8-week courses of omeprazole and sodium bicarbonate may be considered.

 

Table 2: Recommended Dosage Regimen of 40 mg Omeprazole and Sodium Bicarbonate for Oral Suspension in Adults by Indication

Indication

Dosage of 40 mg omeprazole and sodium bicarbonate for oral suspension

Treatment Duration

Reduction of Risk of Upper GI Bleeding in Critically Ill Patients

40 mg initially; followed by

40 mg 6 to 8 hours later; and

40 mg once daily thereafter

14 days



14 Clinical Studies

The effectiveness of omeprazole and sodium bicarbonate has been established, in part, based on studies of an oral delayed-release omeprazole product for the treatment of active duodenal ulcer, active benign gastric ulcer, symptomatic GERD, EE due to acid-mediated GERD, and maintenance of healing of EE due to acid-mediated GERD [see Clinical Studies (14.1, 14.2, 14.3, 14.4, 14.5)].



Omeprazole and sodium bicarbonate for oral suspension was studied for the reduction of risk of upper GI bleeding in critically ill adult patients [see Clinical Studies (14.6)].

4 Contraindications

Omeprazole and sodium bicarbonate is contraindicated in patients with known hypersensitivity to substituted benzimidazoles or to any component of the formulation. Hypersensitivity reactions may include anaphylaxis, anaphylactic shock, angioedema, bronchospasm, acute tubulointerstitial nephritis, and urticaria [see Warnings and Precautions (5.2), Adverse Reactions (6.2)].



Proton pump inhibitors (PPIs), including omeprazole and sodium bicarbonate, are contraindicated in patients receiving rilpivirine containing products [see Drug Interactions (7)].

6 Adverse Reactions

The following serious adverse reactions are described below and elsewhere in labeling:

  • Acute Tubulointerstitial Nephritis [see Warnings and Precautions (5.2)]
  • Clostridium difficile-Associated Diarrhea [see Warnings and Precautions (5.4)]
  • Bone Fracture [see Warnings and Precautions (5.5)]
  • Severe Cutaneous Adverse Reactions [see Warnings and Precautions (5.6)]
  • Cutaneous and Systemic Lupus Erythematosus [see Warnings and Precautions (5.7)]
  • Cyanocobalamin (Vitamin B-12) Deficiency [see Warnings and Precautions (5.9)]
  • Hypomagnesemia and Mineral Metabolism [see Warnings and Precautions (5.10)]
  • Fundic Gland Polyps [see Warnings and Precautions (5.14)]
7 Drug Interactions

Tables 6 and 7 include drugs with clinically important drug interactions and interaction with diagnostics when administered concomitantly with omeprazole and instructions for preventing or managing them.



Consult the labeling of concomitantly used drugs to obtain further information about interactions with PPIs.



Table 6: Clinically Relevant Interactions Affecting Drugs Co-Administered with Omeprazole and Interaction with Diagnostics

Antiretrovirals

 

Clinical Impact:

The effect of PPIs on antiretroviral drugs is variable. The clinical importance and the mechanisms behind these interactions are not always known.

  • Decreased exposure of some antiretroviral drugs (e.g., rilpivirine, atazanavir and nelfinavir) when used concomitantly with omeprazole may reduce antiviral effect and promote the development of drug resistance [see Clinical Pharmacology (12.3)].
  • Increased exposure of other antiretroviral drugs (e.g., saquinavir) when used concomitantly with omeprazole may increase toxicity [see Clinical Pharmacology (12.3)].
  • There are other antiretroviral drugs which do not result in clinically relevant interactions with omeprazole.
 

Intervention:

Rilpivirine-containing products: Concomitant use with omeprazole and sodium bicarbonate is contraindicated [see Contraindications (4)].

Atazanavir: Avoid concomitant use with omeprazole and sodium bicarbonate. See prescribing information for atazanavir for dosing information.

Nelfinavir: Avoid concomitant use with omeprazole and sodium bicarbonate. See prescribing information for nelfinavir.

Saquinavir: See the prescribing information for saquinavir for monitoring of potential saquinavir-related toxicities.

Other antiretrovirals: See prescribing information for specific antiretroviral drugs.

 

Warfarin

 

Clinical Impact:

Increased INR and prothrombin time in patients receiving PPIs, including omeprazole, and warfarin concomitantly. Increases in INR and prothrombin time may lead to abnormal bleeding and even death.

 

Intervention:

Monitor INR and prothrombin time and adjust the dose of warfarin, if needed, to maintain target INR range.

 

Methotrexate

 

Clinical Impact:

Concomitant use of omeprazole with methotrexate (primarily at high dose) may elevate and prolong serum concentrations of methotrexate and/or its metabolite hydroxymethotrexate, possibly leading to methotrexate toxicities. No formal drug interaction studies of high-dose methotrexate with PPIs have been conducted [see Warnings and Precautions (5.12)].

 

Intervention:

A temporary withdrawal of omeprazole and sodium bicarbonate may be considered in some patients receiving high-dose methotrexate.

 

CYP2C19 Substrates (e.g., clopidogrel, citalopram, cilostazol, phenytoin, diazepam)

 

Clopidogrel

 

Clinical Impact:

Concomitant use of omeprazole 80 mg results in reduced plasma concentrations of the active metabolite of clopidogrel and a reduction in platelet inhibition [see Clinical Pharmacology (12.3)]. There are no adequate combination studies of a lower dose of omeprazole or a higher dose of clopidogrel in comparison with the approved dose of clopidogrel.

 

Intervention:

Avoid concomitant use with omeprazole and sodium bicarbonate. Consider use of alternative anti-platelet therapy [see Warnings and Precautions (5.7)].

 

Citalopram

Clinical Impact:

Increased exposure of citalopram leading to an increased risk of QT prolongation [see Clinical Pharmacology (12.3)].

Intervention:

Limit the dose of citalopram to a maximum of 20 mg per day. See prescribing information for citalopram.

Cilostazol

Clinical Impact:

Increased exposure of one of the active metabolites of cilostazol (3,4-dihydro­cilostazol) [see Clinical Pharmacology (12.3)].

Intervention:

Reduce the dose of cilostazol to 50 mg twice daily. See prescribing information for cilostazol.

Phenytoin

Clinical Impact:

Potential for increased exposure of phenytoin.

Intervention:

Monitor phenytoin serum concentrations. Dose adjustment may be needed to maintain therapeutic drug concentrations. See prescribing information for phenytoin.

Diazepam

Clinical Impact:

Increased exposure of diazepam [see Clinical Pharmacology (12.3)].

Intervention:

Monitor patients for increased sedation and reduce the dose of diazepam as needed.

Digoxin

Clinical Impact:

Potential for increased exposure of digoxin [see Clinical Pharmacology (12.3)].

Intervention:

Monitor digoxin concentrations. Dose adjustment may be needed to maintain therapeutic drug concentrations. See digoxin prescribing information.

Drugs Dependent on Gastric pH for Absorption (e.g., iron salts, erlotinib, dasatinib, nilotinib, mycophenolate mofetil, ketoconazole/itraconazole)

Clinical Impact:

Omeprazole can reduce the absorption of other drugs due to its effect on reducing intragastric acidity.

Intervention:

Mycophenolate mofetil (MMF): Co-administration of omeprazole in healthy subjects and in transplant patients receiving MMF has been reported to reduce the exposure to the active metabolite, mycophenolic acid (MPA), possibly due to a decrease in MMF solubility at an increased gastric pH. The clinical relevance of reduced MPA exposure on organ rejection has not been established in transplant patients receiving omeprazole and sodium bicarbonate and MMF. Use omeprazole and sodium bicarbonate with caution in transplant patients receiving MMF [see Clinical Pharmacology (12.3)].

 

See the prescribing information for other drugs dependent on gastric pH for absorption.

Tacrolimus

Clinical Impact:

Potential for increased exposure of tacrolimus, especially in transplant patients who are intermediate or poor metabolizers of CYP2C19.

Intervention:

Monitor tacrolimus whole blood concentrations. Dose adjustment may be needed to maintain therapeutic drug concentrations. See prescribing information for tacrolimus.

Interactions with Investigations of Neuroendocrine Tumors

Clinical Impact:

Serum chromogranin A (CgA) levels increase secondary to PPI-induced decreases in gastric acidity. The increased CgA level may cause false positive results in diagnostic investigations for neuroendocrine tumors [see Warnings and Precautions (5.11) and Clinical Pharmacology (12.2)].

Intervention:

Temporarily stop PRILOSEC treatment at least 14 days before assessing CgA levels and consider repeating the test if initial CgA levels are high. If serial tests are performed (e.g., for monitoring), the same commercial laboratory should be used for testing, as reference ranges between tests may vary.

Interaction with Secretin Stimulation Test

Clinical Impact:

Hyper-response in gastrin secretion in response to secretin stimulation test, falsely suggesting gastrinoma.

Intervention:

Temporarily stop omeprazole and sodium bicarbonate treatment at least 14 days before assessing to allow gastrin levels to return to baseline [see Clinical Pharmacology (12.2)].

False Positive Urine Tests for THC

Clinical Impact:

There have been reports of false positive urine screening tests for tetrahydrocannabinol (THC) in patients receiving PPIs.

Intervention:

An alternative confirmatory method should be considered to verify positive results.

Other

Clinical Impact:

There have been clinical reports of interactions with other drugs metabolized via the cytochrome P450 system (e.g., cyclosporine, disulfiram).

Intervention:

Monitor patients to determine if it is necessary to adjust the dosage of these other drugs when taken concomitantly with omeprazole and sodium bicarbonate.



Table 7: Clinically Relevant Interactions Affecting Omeprazole When Co-Administered with Other Drugs

CYP2C19 or CYP3A4 Inducers

Clinical Impact:

Decreased exposure of omeprazole when used concomitantly with strong inducers [see Clinical Pharmacology (12.3)].

Intervention:

St. John’s wort, rifampin: Avoid concomitant use with omeprazole and sodium bicarbonate [see Warnings and Precautions (5.10)].

 

Ritonavir-containing products: See prescribing information for specific drugs.

CYP2C19 or CYP3A4 Inhibitors

Clinical Impact:

Increased exposure of omeprazole [see Clinical Pharmacology (12.3)].

Intervention:

Voriconazole: Dosage adjustment of omeprazole and sodium bicarbonate is not required.



8.7 Asian Population

In studies of healthy subjects, Asians had approximately a four-fold higher exposure than Caucasians. Avoid use of omeprazole and sodium bicarbonate in Asian patients for maintenance of healing of erosive esophagitis [see Clinical Pharmacology (12.5)].

Instructions for Use

Omeprazole and Sodium Bicarbonate

(oh mep’ ra zole and soe’ dee um bye kar’ bo nate)

for oral suspension



Taking omeprazole and sodium bicarbonate for oral suspension:



Important: Omeprazole and sodium bicarbonate for oral suspension should be taken on an empty stomach at least 1 hour before a meal.



  • Omeprazole and sodium bicarbonate for oral suspension comes in packets containing 20 mg or 40 mg of omeprazole.
  • Use an oral syringe to draw up the amount of water needed to mix your dose. Ask your pharmacist for an oral syringe.
  • Using the oral syringe, draw up 5 mL to 10 mL of water and add the water to a small cup. Do not mix omeprazole and sodium bicarbonate for oral suspension with foods or liquids other than water.
  • Empty the contents of the packet into the small cup.
  • Stir well to dissolve the powder and drink the mixture right away.
  • If any medicine remains after drinking, add more water, stir, and drink right away.


Giving omeprazole and sodium bicarbonate for oral suspension with water through a nasogastric (NG) tube or orogastric (OG) tube:

 

Important: For patients receiving omeprazole and sodium bicarbonate for oral suspension through a NG tube or OG tube, enteral feeding should be stopped approximately 3 hours before giving omeprazole and sodium bicarbonate for oral suspension. You should wait at least 1 hour after giving omeprazole and sodium bicarbonate for oral suspension before you start enteral feeding again.



  • Omeprazole and sodium bicarbonate for oral suspension comes in packets containing 20 mg or 40 mg of omeprazole.
  • You will mix omeprazole and sodium bicarbonate for oral suspension with 20 mL of water in a catheter tipped syringe.
  • Use only a catheter tipped syringe to give omeprazole and sodium bicarbonate for oral suspension through the NG or OG tube. Talk to your doctor about the size catheter tipped syringe you should use.
  • Add 20 mL of water to the catheter tipped syringe. Do not use any food or liquids other than water to mix omeprazole and sodium bicarbonate for oral suspension.
  • Add the contents of 1 packet of omeprazole and sodium bicarbonate for oral suspension to the syringe.
  • Shake the syringe well to dissolve the powder.
  • Inject the medicine through the NG or OG tube into the stomach right away.
  • Refill the syringe with the same amount of water (20 mL) you used to prepare your dose of omeprazole and sodium bicarbonate for oral suspension.
  • Shake the syringe and flush any remaining medicine from the NG tube or OG tube into the stomach.


All trademarks are the property of their respective owners.



Distributed by:

ANI Pharmaceuticals, Inc.

Baudette, MN 56623



Issued: 01/2025

LB4661-00



This Instructions for Use has been approved by the U.S. Food and Drug Administration.

1 Indications & Usage

Omeprazole and sodium bicarbonate for oral suspension is indicated in adults for the:

  • short-term treatment of active duodenal ulcer. Most patients heal within four weeks. Some patients may require an additional four weeks of therapy.
  • short-term treatment (4 to 8 weeks) of active benign gastric ulcer.
  • treatment of heartburn and other symptoms associated with GERD for up to 4 weeks.
  • short-term treatment (4 to 8 weeks) of EE due to acid-mediated GERD which has been diagnosed by endoscopy in adults.
    • The efficacy of omeprazole and sodium bicarbonate used for longer than 8 weeks in patients with EE has not been established. If a patient does not respond to 8 weeks of treatment, an additional 4 weeks of treatment may be given. If there is recurrence of EE or GERD symptoms (e.g., heartburn), additional 4 to 8-week courses of omeprazole and sodium bicarbonate may be considered.
  •  maintenance of healing of EE due to acid-mediated GERD. Controlled studies do not extend beyond 12 months


Omeprazole and sodium bicarbonate for oral suspension is indicated in adults for the:

  • reduction of risk of upper GI bleeding in critically ill adult patients.
12.2 Pharmacodynamics

Antisecretory Activity

Results from a pharmacokinetic/pharmacodynamic (PK/PD) study of the antisecretory effect of repeated once-daily dosing of 40 mg and 20 mg of omeprazole and sodium bicarbonate for oral suspension in healthy subjects are shown in Table 8 below.



Table 8: Effect of Omeprazole and Sodium Bicarbonate for Oral Suspension on Intragastric pH, Day 7

Once-Daily Dosage of Omeprazole and Sodium Bicarbonate for Oral Suspension

Parameter

40 mg omeprazole and 1,680 mg sodium bicarbonate

(n = 24)

20 mg omeprazole and 1,680 mg sodium bicarbonate

(n = 28)

% Decrease from Baseline for Integrated Gastric Acidity (mmol•hr/L)

84%

82%

Coefficient of Variation

20%

24%

% Time Gastric pH > 4 1

(Hours) 1

77%

(18.6 h)

51%

(12.2 h)

Coefficient of Variation

27%

43%

Median pH

5.2

4.2

Coefficient of Variation

17%

37%

Note: Values represent medians. All parameters were measured over a 24-hour period.

1. P < 0.05 20 mg vs. 40 mg



Results from a separate PK/PD study of antisecretory effect on repeated once-daily dosing of 40 mg/1,100 mg and 20 mg/1,100 mg of ZEGERID capsules in healthy subjects show similar effects in general on the above three PD parameters as those for omeprazole and sodium bicarbonate for oral suspension 40 mg/1,680 mg and 20 mg/1,680 mg, respectively.



The antisecretory effect lasts longer than would be expected from the very short (1 hour) plasma half-life, apparently due to irreversible binding to the parietal H+/K+ ATPase enzyme.



Enterochromaffin-like (ECL) Cell Effects

Human gastric biopsy specimens have been obtained from more than 3000 patients treated with omeprazole in long-term clinical trials. The incidence of ECL cell hyperplasia in these studies increased with time; however, no case of ECL cell carcinoids, dysplasia, or neoplasia has been found in these patients. These studies are of insufficient duration and size to rule out the possible influence of long-term administration of omeprazole on the development of any premalignant or malignant conditions.



Serum Gastrin Effects

In studies involving more than 200 patients, serum gastrin levels increased during the first 1 to 2 weeks of once-daily administration of therapeutic doses of omeprazole in parallel with inhibition of acid secretion. No further increase in serum gastrin occurred with continued treatment. In comparison with histamine H2-receptor antagonists, the median increases produced by 20 mg doses of omeprazole were higher (1.3 to 3.6-fold vs. 1.1- to 1.8-fold increase). Gastrin values returned to pretreatment levels, usually within 1 to 2 weeks after discontinuation of therapy.



Increased gastrin causes enterochromaffin-like cell hyperplasia and increased serum Chromogranin A (CgA) levels. The increased CgA levels may cause false positive results in diagnostic investigations for neuroendocrine tumors [see Warnings and Precautions (5.11)].



Other Effects

Systemic effects of omeprazole in the central nervous system (CNS), cardiovascular and respiratory systems have not been found to date. Omeprazole, given in oral doses of 30 or 40 mg for 2 to 4 weeks, had no effect on thyroid function, carbohydrate metabolism, or circulating levels of parathyroid hormone, cortisol, estradiol, testosterone, prolactin, cholecystokinin or secretin.



No effect on gastric emptying of the solid and liquid components of a test meal was demonstrated after a single dose of omeprazole 90 mg. In healthy subjects, a single intravenous dose of omeprazole (0.35 mg/kg) had no effect on intrinsic factor secretion. No systematic dose-dependent effect has been observed on basal or stimulated pepsin output in humans. However, when intragastric pH is maintained at 4.0 or above, basal pepsin output is low, and pepsin activity is decreased.



As do other agents that elevate intragastric pH, omeprazole administered for 14 days in healthy subjects produced a significant increase in the intragastric concentrations of viable bacteria. The pattern of the bacterial species was unchanged from that commonly found in saliva. All changes resolved within three days of stopping treatment.



The course of Barrett’s esophagus in 106 patients was evaluated in a U.S. double-blind controlled study of omeprazole 40 mg twice daily for 12 months followed by 20 mg twice daily for 12 months or ranitidine 300 mg twice daily for 24 months. No clinically significant impact on Barrett’s mucosa by antisecretory therapy was observed. Although neosquamous epithelium developed during antisecretory therapy, complete elimination of Barrett’s mucosa was not achieved. No significant difference was observed between treatment groups in development of dysplasia in Barrett’s mucosa, and no patient developed esophageal carcinoma during treatment. No significant differences between treatment groups were observed in development of ECL cell hyperplasia, corpus atrophic gastritis, corpus intestinal metaplasia, or colon polyps exceeding 3 mm in diameter.

12.3 Pharmacokinetics

Absorption

Table 10 show the systemic exposures and the time reach peak concentration (Tmax) of omeprazole in healthy subjects following administration of omeprazole and sodium bicarbonate oral suspension, on an empty stomach one hour prior to a meal.



Table 10: Arithmetic Mean (CV%) of the Systemic Exposures (Cmax, AUC) and Tmax of Omeprazole after a Single Oral Dose and Multiple Once-Daily Doses of Omeprazole and Sodium Bicarbonate Oral Suspension

 

 

20 mg Omeprazole and sodium bicarbonate oral suspension

40 mg Omeprazole and sodium bicarbonate oral suspension

 

Day 1

Day 7

% Change (Day 7/Day 1)

Day 1

Day 7

% Change (Day 7/Day 1)

Cmax (ng/mL)

671.9 (43.8)

902.2 (39.6)

34

1412 (43.7)

1954 (33.5)

38

Tmax (hr)

[min – max]

0.50 [0.17-1.5]

0.47 [0.17-1.0]

n.a.

0.44 [0.17-1.0]

0.58 [0.25-1.0]

n.a.

AUC0-inf*(ng•hr/mL)

825.4 (71.9)

1449 (61.7)

76

2228 (107)

4692 (60.5)

111

n.a.: not applicable

* AUC0-24h was used on Day 7



Following single or repeated once-daily dosing, peak plasma concentrations (Cmax) of omeprazole from omeprazole and sodium bicarbonate were approximately proportional from 20 to 40 mg doses. A greater than dose proportional increase in mean steady-state AUC (more than three-fold increase on Day 7) was observed when doubling the dose to 40 mg. The bioavailability of omeprazole from omeprazole and sodium bicarbonate increases upon repeated administration. The percent changes in Cmax and AUC between steady-state (Day 7) and single dose (Day 1) indicate omeprazole is a time-dependent autoinhibitor of CYP2C19.



When omeprazole and sodium bicarbonate for oral suspension 40 mg was administered in a two-dose loading regimen, the omeprazole AUC(0-inf) (ng•hr/mL) was 1665 after Dose 1 and 3356 after Dose 2, while Tmax was approximately 30 minutes for both Dose 1 and Dose 2.



When omeprazole and sodium bicarbonate for oral suspension 40 mg is administered one hour after a meal, the omeprazole AUC is reduced by approximately 27% and 22%, respectively, relative to administration one hour prior to a meal [see Dosage and Administration (2.3)].



Distribution

Omeprazole is bound to plasma proteins. Protein binding is approximately 95%.



Elimination

Metabolism

Omeprazole is extensively metabolized by the cytochrome P450 (CYP) enzyme system. The major part of its metabolism is dependent on the polymorphically expressed CYP2C19 [see Clinical Pharmacology (12.5)], responsible for the formation of hydroxyomeprazole, the major metabolite in plasma. The remaining part is dependent on another specific isoform, CYP3A4, responsible for the formation of omeprazole sulphone.



The mean plasma omeprazole half-life following administration of omeprazole and sodium bicarbonate for oral suspension in healthy subjects is approximately 1 hour (range 0.4 to 4.2 hours), and the total body clearance is 500 to 600 mL/min.



Excretion

Following single-dose oral administration of a buffered solution of omeprazole, the majority of the dose (about 77%) is eliminated in urine as at least six metabolites. Two metabolites have been identified as hydroxyomeprazole and the corresponding carboxylic acid. The remainder of the dose was recoverable in feces. This implies a significant biliary excretion of the metabolites of omeprazole. Three metabolites have been identified in plasma – the sulfide and sulfone derivatives of omeprazole, and hydroxyomeprazole. These metabolites have very little or no antisecretory activity.



Specific Populations

Geriatric Patients

The elimination rate of omeprazole was somewhat decreased in the elderly, and bioavailability was increased. Omeprazole was 76% bioavailable when a single 40 mg oral dose of omeprazole (buffered solution) was administered to healthy elderly subjects versus 58% in young subjects given the same dose. Nearly 70% of the dose was recovered in urine as metabolites of omeprazole, and no unchanged drug was detected. The plasma clearance of omeprazole was 250 mL/min (about half that of young subjects), and its plasma half-life averaged one hour, similar to that of young healthy subjects.



Male and Female Patients

There are no known differences in the absorption or excretion of omeprazole between males and females.



Racial or Ethnic Groups

[see Clinical Pharmacology (12.5)]



Patients with Renal Impairment

In patients with chronic renal impairment (creatinine clearance between 10 and 62 mL/min/1.73 m2), the disposition of omeprazole was very similar to that in healthy subjects, although there was a slight increase in bioavailability. Because urinary excretion is a primary route of excretion of omeprazole metabolites, their elimination slowed in proportion to the decreased creatinine clearance. This increase in bioavailability is not considered to be clinically meaningful.



Patients with Hepatic Impairment

In patients with chronic hepatic disease classified as Child-Pugh Class A (n=3), B (n=4) and C (n=1), the bioavailability of omeprazole increased to approximately 100% compared to healthy subjects, reflecting decreased first-pass effect, and the plasma half-life of the drug increased to nearly 3 hours compared to the in healthy subjects of 0.5 to 1 hour. Plasma clearance averaged 70 mL/min, compared to a value of 500 to 600 mL/min in healthy subjects [see Use in Specific Populations (8.6)].



Drug Interactions Studies

Effect of Omeprazole on Other Drugs

Omeprazole is a time-dependent inhibitor of CYP2C19 and can increase the systemic exposure of co-administered drugs that are CYP2C19 substrates. In addition, administration of omeprazole increases intragastric pH and can alter the systemic exposure of certain drugs that exhibit pH-dependent solubility [see Drug Interactions (7)].



Antiretrovirals

For some antiretroviral drugs, such as rilpivirine, atazanavir and nelfinavir, decreased serum concentrations have been reported when given together with omeprazole [see Drug Interactions (7)].



Rilpivirine: Following multiple doses of rilpivirine (150 mg, daily) and omeprazole (20 mg, daily), AUC was decreased by 40%, Cmax by 40%, and Cmin by 33% for rilpivirine.



Nelfinavir: Following multiple doses of nelfinavir (1250 mg, twice daily) and omeprazole (40 mg daily), AUC was decreased by 36% and 92%, Cmax by 37% and 89% and Cmin by 39% and 75% respectively for nelfinavir and M8.



Atazanavir: Following multiple doses of atazanavir (400 mg, daily) and omeprazole (40 mg, daily, 2 hours before atazanavir), AUC was decreased by 94%, Cmax by 96%, and Cmin by 95%.



Saquinavir: Following multiple dosing of saquinavir/ritonavir (1000/100 mg) twice daily for 15 days with omeprazole 40 mg daily co-administered days 11 to 15.



AUC was increased by 82%, Cmax by 75%, and Cmin by 106%. The mechanism behind this interaction is not fully elucidated. Therefore, clinical and laboratory monitoring for saquinavir toxicity is recommended during concurrent use with PRILOSEC.



Clopidogrel

In a crossover clinical study, 72 healthy subjects were administered clopidogrel (300 mg loading dose followed by 75 mg per day) alone and with omeprazole (80 mg at the same time as clopidogrel) for 5 days. The exposure to the active metabolite of clopidogrel was decreased by 46% (Day 1) and 42% (Day 5) when clopidogrel and omeprazole were administered together.



Results from another crossover study in healthy subjects showed a similar pharmacokinetic interaction between clopidogrel (300 mg loading dose/75 mg daily maintenance dose) and omeprazole 80 mg daily when coadministered for 30 days. Exposure to the active metabolite of clopidogrel was reduced by 41% to 46% over this time period.



In another study, 72 healthy subjects were given the same doses of clopidogrel and 80 mg omeprazole, but the drugs were administered 12 hours apart; the results were similar, indicating that administering clopidogrel and omeprazole at different times does not prevent their interaction [see Warnings and Precautions (5.7) and Drug Interactions (7)].



Mycophenolate Mofetil

Administration of omeprazole 20 mg twice daily for 4 days and a single 1000 mg dose of MMF approximately one hour after the last dose of omeprazole to 12 healthy subjects in a crossover study resulted in a 52% reduction in the Cmax and 23% reduction in the AUC of MPA [see Drug Interactions (7)].



Cilostazol

Omeprazole acts as an inhibitor of CYP2C19. Omeprazole, given in doses of 40 mg daily for one week to 20 healthy subjects in crossover study, increased Cmax and AUC of cilostazol by 18% and 26% respectively. The Cmax and AUC of one of the active metabolites, 3,4-dihydro-cilostazol, which has 4 to 7 times the activity of cilostazol, were increased by 29% and 69%, respectively. Co-administration of cilostazol with omeprazole is expected to increase concentrations of cilostazol and the above mentioned active metabolite [see Drug Interactions (7)].



Diazepam

Concomitant administration of omeprazole 20 mg once daily and diazepam 0.1 mg/kg given intravenously resulted in 27% decrease in clearance and 36% increase in diazepam half-life [see Drug Interactions (7)].



Digoxin

Concomitant administration of omeprazole 20 mg once daily and digoxin in healthy subjects increased the bioavailability of digoxin by 10% (30% in two subjects) [see Drug Interactions (7)].



Effect of Other Drugs on Omeprazole

Voriconazole

Concomitant administration of omeprazole and voriconazole (a combined inhibitor of CYP2C19 and CYP3A4) resulted in more than doubling of the omeprazole exposure. When voriconazole (400 mg every 12 hours for one day, followed by 200 mg once daily for 6 days) was given with omeprazole (40 mg once daily for 7 days) to healthy subjects, the steady-state Cmax and AUC0-24 of omeprazole significantly increased: an average of 2 times (90% CI: 1.8, 2.6) and 4 times (90% CI:3.3, 4.4), respectively, as compared to when omeprazole was given without voriconazole [see Drug Interactions (7)].

12.5 Pharmacogenomics

CYP2C19, a polymorphic enzyme, is involved in the metabolism of omeprazole. The CYP2C19*1 allele is fully functional while the CYP2C19*2 and *3 alleles are nonfunctional. There are other alleles associated with no or reduced enzymatic function. Patients carrying two fully functional alleles are extensive metabolizers and those carrying two loss-of-function alleles are poor metabolizers. In extensive metabolizers, omeprazole is primarily metabolized by CYP2C19. The systemic exposure to omeprazole varies with a patient’s metabolism status: poor metabolizers > intermediate metabolizers > extensive metabolizers. Approximately 3% of Caucasians and 15 to 20% of Asians are CYP2C19 poor metabolizers.



In pharmacokinetic studies of single 20 mg omeprazole dose, the AUC of omeprazole in Asian subjects was approximately four-fold of that in Caucasians [see Use in Specific Populations (8.7)].

14.3 Symptomatic Gerd

A placebo-controlled study was conducted in Scandinavia to compare the efficacy of omeprazole 20 mg or 10 mg once daily for up to 4 weeks in the treatment of heartburn and other symptoms in GERD patients without EE. Results are shown in Table 16.



Table 16: % Successful Symptomatic Outcome 1

 

Omeprazole

20 mg a.m.

Omeprazole

10 mg a.m.

Placebo

a.m.

All Patients

462,3

(n = 205)

313

(n = 199)

13

(n = 105)

Patients with Confirmed GERD

562,3

(n = 115)

363

(n = 109)

14

(n = 59)

1. Defined as complete resolution of heartburn

2. (p < 0.005) versus 10 mg

3. (p < 0.005) versus placebo

8.6 Hepatic Impairment

In patients with hepatic impairment (Child-Pugh Class A, B, or C) exposure to omeprazole substantially increased compared to healthy subjects. Avoid use of omeprazole and sodium bicarbonate in patients with hepatic impairment for maintenance of healing of erosive esophagitis [see Clinical Pharmacology (12.3)].

12.1 Mechanism of Action

Omeprazole belongs to a class of antisecretory compounds, the substituted benzimidazoles, that suppress gastric acid secretion by specific inhibition of the H+/K+ ATPase enzyme system at the secretory surface of the gastric parietal cell. Because this enzyme system is regarded as the acid (proton) pump within the gastric mucosa, omeprazole has been characterized as a gastric acid-pump inhibitor, in that it blocks the final step of acid production. This effect is dose related and leads to inhibition of both basal and stimulated acid secretion irrespective of the stimulus.

5.14 Fundic Gland Polyps

PPI use is associated with an increased risk of fundic gland polyps that increases with long-term use, especially beyond one year. Most PPIs users who developed fundic gland polyps were asymptomatic and fundic gland polyps were identified incidentally on endoscopy. Use the shortest duration of PPI therapy appropriate to the condition being treated.

2 Dosage & Administration


Indication

Recommended Adult Dosage

Omeprazole and Sodium Bicarbonate for oral suspension

Active Duodenal Ulcer

20 mg once daily for 4 weeks; some patients may require an additional 4 weeks

Active Benign Gastric Ulcer

40 mg once daily for 4 to 8 weeks

Treatment of Symptomatic GERD

20 mg once daily for up to 4 weeks

Treatment of EE due to Acid-Mediated GERD

20 mg once daily for 4 to 8 weeks*

Maintenance of Healing of EE due to Acid-Mediated GERD

20 mg once daily**

40 mg Omeprazole and Sodium Bicarbonate for oral suspension

Reduction of Risk of Upper GI Bleeding in Critically Ill Patients

40 mg initially followed by 40 mg 6 to 8 hours later and 40 mg once daily thereafter for 14 days

*an additional 4 weeks of treatment may be given if no response; if recurrence, additional 4 to 8-week courses may be considered.

**studied for 12 months.

14.1 Active Duodenal Ulcer

In a multicenter, double-blind, placebo-controlled study of 147 patients with endoscopically documented duodenal ulcer, the percentage of patients healed (per protocol) at 2 and 4 weeks was significantly higher with omeprazole delayed-release capsules 20 mg once a day than with placebo (p ≤ 0.01) (See Table 11).



Table 11: Treatment of Active Duodenal Ulcer

% of Patients Healed

 

Omeprazole

20 mg a.m.

(n = 99)

Placebo

a.m.

(n = 48)

Week 2

411

13

Week 4

751

27

1. (p ≤ 0.01)



Complete daytime and nighttime pain relief occurred significantly faster (p ≤ 0.01) in patients treated with omeprazole 20 mg than in patients treated with placebo. At the end of the study, significantly more patients who had received omeprazole had complete relief of daytime pain (p ≤ 0.05) and nighttime pain (p ≤ 0.01).



In a multicenter, double-blind study of 293 patients with endoscopically documented duodenal ulcer, the percentage of patients healed (per protocol) at 4 weeks was significantly higher with omeprazole 20 mg once a day than with ranitidine 150 mg twice daily (p < 0.01) (See Table 12).



Table 12: Treatment of Active Duodenal Ulcer % of Patients Healed

 

Omeprazole

20 mg a.m.

(n = 145)

Ranitidine

150 mg twice daily

(n = 148)

Week 2

42

34

Week 4

821

63

1. (p < 0.01)



Healing occurred significantly faster in patients treated with omeprazole than in those treated with ranitidine 150 mg twice daily (p < 0.01).



In a foreign multinational randomized, double-blind study of 105 patients with endoscopically documented duodenal ulcer, 40 mg and 20 mg of omeprazole were compared to 150 mg twice daily of ranitidine at 2, 4 and 8 weeks. At 2 and 4 weeks both doses of omeprazole were statistically superior (per protocol) to ranitidine, but 40 mg was not superior to 20 mg of omeprazole, and at 8 weeks there was no significant difference between any of the active drugs. (See Table 13.)



Table 13: Treatment of Active Duodenal Ulcer % of Patients Healed

 

Omeprazole

Ranitidine

150 mg twice daily

(n = 35)

 

40 mg

(n = 36)

20 mg

(n = 34)

Week 2

831

831

53

Week 4

1001

971

82

Week 8

100

100

94

1. (p ≤ 0.01)



3 Dosage Forms & Strengths

Omeprazole and sodium bicarbonate is available as:

For Oral Suspension

  • 20 mg: white to off-white, flavored powder packaged in unit-dose packets. Each packet contains 20 mg omeprazole and 1,680 mg sodium bicarbonate.
  • 40 mg: white to off-white, flavored powder packaged in unit-dose packets. Each packet contains 40 mg omeprazole and 1,680 mg sodium bicarbonate. 
5 Warnings and Precautions
  • Gastric Malignancy: In adults, symptomatic response does not preclude the presence of gastric malignancy. Consider additional follow-up and diagnostic testing. (5.1)
  • Acute Tubulointerstitial Nephritis: Discontinue treatment and evaluate patients. (5.2)
  • Sodium Bicarbonate Buffer Content: Take sodium content into consideration in patients on a sodium-restricted diet. Avoid in patients with Bartter’s syndrome, hypokalemia, hypocalcemia, and problems with acid-base balance. (5.3)
  • Clostridium difficile-Associated Diarrhea: PPI therapy may be associated with increased risk. (5.4)
  • Bone Fracture: Long-term and multiple daily dose PPI therapy may be associated with an increased risk for osteoporosis-related fractures of the hip, wrist, or spine. (5.5)
  • Severe Cutaneous Adverse Reactions: Discontinue at the first signs or symptoms of severe cutaneous adverse reactions or other signs of hypersensitivity and consider further evaluation. (5.6)
  • Cutaneous and Systemic Lupus Erythematosus: Mostly cutaneous; new onset or exacerbation of existing disease; discontinue omeprazole and sodium bicarbonate and refer to specialist for evaluation. (5.7)
  • Interaction with Clopidogrel: Avoid concomitant use of omeprazole and sodium bicarbonate. (5.8)
  • Cyanocobalamin (Vitamin B-12) Deficiency: Daily long-term use (e.g., longer than 3 years) may lead to malabsorption or a deficiency of cyanocobalamin. (5.9)
  • Hypomagnesemia and Mineral Metabolism: Reported rarely with prolonged treatment with PPIs. (5.10)
  • Interaction with St. John’s wort or Rifampin: Avoid concomitant use of omeprazole and sodium bicarbonate. (5.11, 7)
  • Interactions with Diagnostic Investigations for Neuroendocrine Tumors: Increased Chromogranin A (CgA) levels may interfere with diagnostic investigations for neuroendocrine tumors; temporarily stop omeprazole and sodium bicarbonate at least 14 days before assessing CgA levels. (5.12)
  • Interaction with Methotrexate: Concomitant use with PPIs may elevate and/or prolong serum concentrations of methotrexate and/or its metabolite, possibly leading to toxicity. With high dose methotrexate administration, consider a temporary withdrawal of omeprazole and sodium bicarbonate. (5.13, 7)
  • Fundic Gland Polyps: Risk increases with long-term use, especially beyond one year. Use the shortest duration of therapy. (5.14)
6.2 Postmarketing Experience

The following adverse reactions have been identified during post-approval use of omeprazole and sodium bicarbonate. Because these reactions are reported voluntarily from a population of uncertain size, it is not always possible to reliably estimate their frequency or establish a causal relationship to drug exposure.



Omeprazole

Body as a Whole: Hypersensitivity reactions, including anaphylaxis, anaphylactic shock, angioedema, bronchospasm, urticaria (see also Skin below), fever, pain, fatigue, malaise, and systemic lupus erythematosus.



Cardiovascular: Chest pain or angina, tachycardia, bradycardia, palpitation, elevated blood pressure, and peripheral edema.



Gastrointestinal: Pancreatitis (some fatal), anorexia, irritable colon, flatulence, fecal discoloration, esophageal candidiasis, mucosal atrophy of the tongue, dry mouth, stomatitis, abdominal swelling and fundic gland polyps. Gastroduodenal carcinoids have been reported in patients with Zollinger-Ellison syndrome on long-term treatment with omeprazole. This finding is believed to be a manifestation of the underlying condition, which is known to be associated with such tumors.



Hepatic: Mild and, rarely, marked elevations of liver function tests [ALT (SGPT), AST (SGOT), ᵞ-glutamyl transpeptidase, alkaline phosphatase, and bilirubin (jaundice)]. In rare instances, overt liver disease has occurred, including hepatocellular, cholestatic, or mixed hepatitis, liver necrosis (some fatal), hepatic failure (some fatal), and hepatic encephalopathy.



Infections and Infestations: Clostridium difficile-associated diarrhea.



Metabolism and Nutritional Disorders: Hypomagnesemia, hypocalcemia, hypokalemia [see Warnings and Precautions (5.10)], hyponatremia, hypoglycemia, and weight gain.



Musculoskeletal: Muscle cramps, myalgia, muscle weakness, joint pain, bone fracture, and leg pain.



Nervous System/Psychiatric: Psychic disturbances including depression, agitation, aggression, hallucinations, confusion, insomnia, nervousness, tremors, apathy, somnolence, anxiety, dream abnormalities; vertigo; paresthesia; and hemifacial dysesthesia.



Respiratory: Epistaxis, pharyngeal pain. Skin: Severe generalized skin reactions including TEN (some fatal), SJS, DRESS, AGEP, cutaneous lupus erythematosus and erythema multiforme (some severe); purpura and/or petechiae (some with rechallenge); skin inflammation, urticaria, angioedema, pruritus, photosensitivity, alopecia, dry skin, and hyperhidrosis.



Special Senses: Tinnitus, taste perversion.



Ocular: Blurred vision, ocular irritation, dry eye syndrome, optic atrophy, anterior ischemic optic neuropathy, optic neuritis, and double vision. Urogenital: Tubulointerstitial nephritis, urinary tract infection, microscopic pyuria, urinary frequency, elevated serum creatinine, proteinuria, hematuria, glycosuria, testicular pain, gynecomastia, and erectile dysfunction



Hematologic: Rare instances of pancytopenia, agranulocytosis (some fatal), thrombocytopenia, neutropenia, leukopenia, anemia, leukocytosis, and hemolytic anemia have been reported.



Sodium Bicarbonate

Metabolic alkalosis, seizures, and tetany.

8 Use in Specific Populations

Hepatic Impairment and Asian Patients: Avoid use for maintenance of healing of erosive esophagitis. (8.6, 8.7)

6.1 Clinical Trials Experience

Because clinical trials are conducted under widely varying conditions, adverse reaction rates observed in the clinical trials of a drug cannot be directly compared to rates in the clinical trials of another drug and may not reflect the rates observed in practice.



The safety of omeprazole and sodium bicarbonate has been established, in part, based on oral studies of an oral delayed-release omeprazole product.



Clinical Trials with Omeprazole

In the U.S. clinical trial population of 465 adult patients, the adverse reactions summarized in Table 3 were reported to occur in 1% or more of patients on therapy with omeprazole.



Table 3: Adverse Reactions Occurring in 1% or More of Adult Patients in US Clinical Trials of Omeprazole Therapy

 

Omeprazole

%

(n = 465)

Placebo

%

(n = 64)

Ranitidine

%

(n = 195)

Headache

7

6

8

Diarrhea

3

3

2

Abdominal Pain

2

3

3

Nausea

2

3

4

Upper Respiratory Infection (URI)

2

2

3

Dizziness

2

0

3

Vomiting

2

5

2

Rash

2

0

0

Constipation

1

0

0

Cough

1

0

2

Asthenia

1

2

2

Back Pain

1

0

1



Table 4 summarizes the adverse reactions that occurred in 1% or more of omeprazole-treated patients from international double-blind and open-label clinical trials in which 2,631 patients and subjects received omeprazole.



Table 4: Adverse Reactions Occurring in 1% or More of Adult Patients in International Clinical Trials of Omeprazole Therapy

 

Omeprazole

%

(N = 2631)

Placebo

%

(N = 120)

Abdominal Pain

5.2

3.3

Nausea

4.0

6.7

Diarrhea

3.7

2.5

Vomiting

3.2

10.0

Headache

2.9

2.5

Flatulence

2.7

5.8

Acid Regurgitation

1.9

3.3

Constipation

1.5

0.8

Asthenia

1.3

0.8



Clinical Trial of 40 mg Omeprazole and Sodium Bicarbonate for Oral Suspension

Adverse reactions reported in at least 3% of critically ill adult patients in a clinical trial of 40 mg omeprazole and sodium bicarbonate for oral suspension compared to intravenous cimetidine for up to 14 days are presented in Table 5.



Table 5: Common Adverse Reactions1 by Body System and Preferred Term in a Randomized Controlled Trial of Critically Ill Adult Patients Treated up to 14 Days

Body System

Preferred Term

Omeprazole and sodium bicarbonate 40 mg for oral suspension once daily

%

(N=178)

Intravenous Cimetidine

1,200 mg per day

%

(N=181)

Blood and Lymphatic System Disorders

Anemia NOS

7.9

7.7

Anemia NOS Aggravated

2.2

3.9

Thrombocytopenia

10.1

6.1

Cardiac Disorders

Atrial Fibrillation

6.2

3.9

Bradycardia NOS

3.9

2.8

Supraventricular Tachycardia

3.4

1.1

Tachycardia NOS

3.4

3.3

Ventricular Tachycardia

4.5

3.3

Gastrointestinal Disorders2

Constipation

4.5

4.4

Diarrhea NOS

3.9

8.3

Gastric Hypomotility

1.7

3.3

General Disorders and Administration Site Conditions

Hyperpyrexia

4.5

1.7

Edema NOS

2.8

6.1

Pyrexia

20.2

16.0

Infections and Infestations

Candidal Infection NOS

1.7

3.9

Oral Candidiasis

3.9

0.6

Sepsis NOS

5.1

5.0

Urinary Tract Infection

2.2

3.3

Investigations

 

 

Liver Function Tests NOS Abnormal

1.7

3.3

Metabolism and Nutrition Disorders

Fluid Overload

5.1

7.7

Hyperglycemia NOS

10.7

11.6

Hyperkalemia

2.2

3.3

Hypernatremia

1.7

5.0

Hypocalcemia

6.2

5.5

Hypoglycemia NOS

3.4

4.4

Hypokalemia

12.4

13.3

Hypomagnesemia

10.1

9.9

Hyponatremia

3.9

2.8

Hypophosphatemia

6.2

3.9

Psychiatric Disorders

 

 

Agitation

3.4

8.8

Respiratory, Thoracic and Mediastinal Disorders

Acute Respiratory Distress Syndrome

3.4

3.9

Nosocomial Pneumonia

11.2

9.4

Pneumothorax NOS

0.6

4.4

Respiratory Failure

1.7

3.3

Skin and Subcutaneous Tissue Disorders

Decubitus Ulcer

3.4

2.8

Rash NOS

5.6

6.1

Vascular Disorders

Hypertension NOS

7.9

3.3

Hypotension NOS

9.6

6.6

NOS = not otherwise specified

1reported in at least 3% of patients in either treatment group.

2 In this trial, clinically significant upper gastrointestinal bleeding was considered a serious adverse reaction, but it is not included in this table.

14.2 Active Benign Gastric Ulcer

In a U.S. multicenter, double-blind study of omeprazole 40 mg once a day, 20 mg once a day, and placebo in 520 patients with endoscopically diagnosed gastric ulcer, the following results were obtained. (See Table 14.)



Table 14: Treatment of Gastric Ulcer % of Patients Healed (All Patients Treated)

 

Omeprazole

40 mg once daily

(n = 214)

Omeprazole

20 mg once daily

(n = 202)

Placebo

(n = 104)

Week 4

55.61

47.51

30.8

Week 8

82.71,2

74.81

48.1

1. (p < 0.01) omeprazole 40 mg or 20 mg versus placebo

2. (p < 0.05) omeprazole 40 mg versus 20 mg



For the stratified groups of patients with ulcer size less than or equal to 1 cm, no difference in healing rates between 40 mg and 20 mg was detected at either 4 or 8 weeks. For patients with ulcer size greater than 1 cm, 40 mg was significantly more effective than 20 mg at 8 weeks.



In a foreign, multinational, double-blind study of 602 patients with endoscopically diagnosed gastric ulcer, omeprazole 40 mg once a day, 20 mg once a day, and ranitidine 150 mg twice a day were evaluated. (See Table 15.)



Table 15: Treatment of Gastric Ulcer % of Patients Healed (All Patients Treated)

 

Omeprazole

40 mg once daily

(n = 187)

Omeprazole

20 mg once daily

(n = 200)

Ranitidine

150 mg twice daily

(n = 199)

Week 4

78.11,2

63.5

56.3

Week 8

91.41,2

81.5

78.4

1. (p < 0.01) omeprazole 40 mg versus ranitidine

2. (p < 0.01) omeprazole 40 mg versus 20 mg

5.8 Interaction With Clopidogrel

Avoid concomitant use of omeprazole and sodium bicarbonate with clopidogrel. Clopidogrel is a prodrug. Inhibition of platelet aggregation by clopidogrel is entirely due to an active metabolite. The metabolism of clopidogrel to its active metabolite can be impaired by use with concomitant medications, such as omeprazole, that interfere with CYP2C19 activity. Concomitant use of clopidogrel with 80 mg omeprazole reduces the pharmacological activity of clopidogrel, even when administered 12 hours apart. When using omeprazole and sodium bicarbonate, consider alternative antiplatelet therapy [see Drug Interactions (7) and Clinical Pharmacology (12.3)].

14.4 Ee Due to Acid Mediated Gerd

In a U.S. multicenter, double-blind, placebo-controlled study of 40 mg or 20 mg of omeprazole delayed-release capsules in patients with symptoms of GERD and endoscopically diagnosed erosive esophagitis of grade 2 or above, the percentage healing rates (per protocol) were as shown in Table 17.



Table 17: % Patients Healed

 

Omeprazole

40 mg

(n = 87)

Omeprazole

20 mg

(n = 83)

Placebo

(n = 43)

Week 4

451

391

7

Week 8

751

741

14

1. (p < 0.01) omeprazole versus placebo.



In this study, the 40 mg dose was not superior to the 20 mg dose of omeprazole in the percentage healing rate. Other controlled clinical trials have also shown that omeprazole is effective in severe GERD. In comparisons with histamine H2-receptor antagonists in patients with erosive esophagitis, grade 2 or above, omeprazole in a dose of 20 mg was significantly more effective than the active controls. Complete daytime and nighttime heartburn relief occurred significantly faster (p < 0.01) in patients treated with omeprazole than in those taking placebo or histamine H2-receptor antagonists.



In this and five other controlled GERD studies, significantly more patients taking 20 mg omeprazole (84%) reported complete relief of GERD symptoms than patients receiving placebo (12%).

17 Patient Counseling Information

Advise the patient to read the FDA-approved patient labeling (Medication Guide).



Acute Tubulointerstitial Nephritis

Advise the patient to call their healthcare provider immediately if they experience signs and/or symptoms associated with acute tubulointerstitial nephritis [see Warnings and Precautions (5.2)].



Sodium Bicarbonate Buffer Content

Inform patients on a sodium-restricted diet or patients at risk of developing congestive heart failure of the sodium content of omeprazole and sodium bicarbonate for oral suspension (460 mg per packet).



Advise patients that:

  • chronic use of bicarbonate with calcium or milk can cause milk-alkali syndrome
  • chronic use of sodium bicarbonate may systemic alkalosis
  • increased sodium intake can cause swelling and weight gain.


If any of these occur, instruct patients to contact their healthcare provider [see Warnings and Precautions (5.3)].



Clostridium difficile -Associated Diarrhea

Advise the patient to immediately call their healthcare provider if they experience diarrhea that does not improve [see Warnings and Precautions (5.4)].

Bone Fracture

Advise the patient to report any fractures, especially of the hip, wrist or spine, to their healthcare provider [see Warnings and Precautions (5.5)].



Severe Cutaneous Adverse Reactions

Advise the patient to discontinue omeprazole and sodium bicarbonate and immediately call their healthcare provider at first appearance of a severe cutaneous adverse reaction or other sign of hypersensitivity [see Warnings and Precautions (5.6)].



Cutaneous and Systemic Lupus Erythematosus

Advise the patient to immediately call their healthcare provider for any new or worsening of symptoms associated with cutaneous or systemic lupus erythematosus [see Warnings and Precautions (5.7)].



Cyanocobalamin (Vitamin B-12) Deficiency

Advise the patient to report any clinical symptoms that may be associated with cyanocobalamin deficiency to their healthcare provider if they have been receiving omeprazole and sodium bicarbonate for longer than 3 years [see Warnings and Precautions (5.9)].



Hypomagnesemia and Mineral Metabolism

Advise the patient to report any clinical symptoms that may be associated with hypomagnesemia, hypocalcemia, and/or hypokalemia to their healthcare provider, if they have been receiving omeprazole and sodium bicarbonate for at least 3 months [see Warnings and Precautions (5.10)].



Drug Interactions

Advise patients to report to their healthcare provider if they start treatment with rilpivirine-containing products, clopidogrel, St. John’s wort or rifampin, or if they take high-dose methotrexate [see Contraindications (4) and Warnings and Precautions (5.8, 5.11, 5.13)].



Administration

Instruct patients not to substitute:

  • Two packets of 20 mg omeprazole and sodium bicarbonate for oral suspension with one packet of 40 mg omeprazole and sodium bicarbonate for oral suspension.


 Administration of Omeprazole and Sodium Bicarbonate for Oral Suspension

  • Advise patients that omeprazole and sodium bicarbonate for oral suspension is intended to be mixed with water and administered orally or via a nasogastric (NG)/orogastric (OG) tube, as described in the Medication Guide.
  • Instruct patients to suspend enteral feeding approximately 3 hours before and 1 hour after administration of omeprazole and sodium bicarbonate for oral suspension [see Dosage and Administration (2.3)].


All trademarks are the property of their respective owners.



Distributed by:

ANI Pharmaceuticals, Inc.

Baudette, MN 56623



Issued: 01/2025

LB4661-00

2.3 Preparation and Administration

Omeprazole and Sodium Bicarbonate for Oral Suspension

  • Omeprazole and sodium bicarbonate for oral suspension is intended to be mixed with water and administered orally or via a nasogastric (NG) or orogastric (OG) tube.
  • If administered orally, take on an empty stomach at least one hour before a meal.
  • If administered via NG or OG tube, suspend enteral feeding approximately 3 hours before and 1 hour after administration of omeprazole and sodium bicarbonate for oral suspension.


Oral Administration

  • Empty the contents of a packet into a small cup containing 5 to 10 mL of water. Do not mix with liquids or foods other than water.
  • Stir well and drink immediately.
  • Refill cup with water and drink immediately.


Nasogastric (NG) or Orogastric (OG) Tube Administration

  • Add 20 mL of water to a catheter tipped syringe and then add the contents of a packet. Use an appropriately-sized catheter tipped syringe. Do not mix with liquids or foods other than water.
  • Shake the syringe to dissolve the powder.
  • Administer through the NG or orogastric tube into the stomach right away.
  • Refill the syringe with an equal amount of water.
  • Shake and flush any remaining contents from the NG tube or orogastric tube into the stomach.
5.1 Presence of Gastric Malignancy

In adults, symptomatic response to therapy with omeprazole and sodium bicarbonate does not preclude the presence of gastric malignancy. Consider additional follow-up and diagnostic testing in adult patients who have a suboptimal response or an early symptomatic relapse after completing treatment with a proton pump inhibitor (PPI). In older patients, also consider an endoscopy.

5.13 Interaction With Methotrexate

Literature suggests that concomitant use of PPIs with methotrexate (primarily at high dose) may elevate and prolong serum levels of methotrexate and/or its metabolite, possibly leading to methotrexate toxicities. In high-dose methotrexate administration, a temporary withdrawal of the PPI may be considered in some patients [see Drug Interactions (7)].

16 How Supplied/storage and Handling

Omeprazole and sodium bicarbonate is supplied as:

Omeprazole and Sodium Bicarbonate for Oral Suspension

NDC

Strength

Quantity

Description

70954-797-20

20 mg omeprazole and 1,680 mg sodium bicarbonate

Cartons of 30 unit-dose packets

White to off-white, flavored powder packaged in unit-dose packets

70954-798-20

40 mg omeprazole and 1,680 mg sodium bicarbonate

Cartons of 30 unit-dose packets

White to off-white, flavored powder packaged in unit-dose packets.



Storage

Store at 20° to 25°C (68° to 77°F); excursions permitted to 15° to 30°C (59° to 86°F) [see USP Controlled Room Temperature].



Protect from light and moisture.

5.3 Sodium Bicarbonate Buffer Content

Each 20 mg and 40 mg packet of omeprazole and sodium bicarbonate for oral suspension contains 1,680 mg (20 mEq) of sodium bicarbonate. The total content of sodium in each packet is 460 mg.



Chronic administration of bicarbonate with calcium or milk can cause milk-alkali syndrome. Chronic use of sodium bicarbonate may lead to systemic alkalosis, and increased sodium intake can produce edema and weight gain.



The sodium content of omeprazole and sodium bicarbonate products should be taken into consideration when administering to patients on a sodium-restricted diet or those at risk for developing congestive heart failure.



Avoid omeprazole and sodium bicarbonate in patients with Bartter’s syndrome, hypokalemia, hypocalcemia, and problems with acid-base balance.

Package Label.principal Display Panel

Omeprazole and Sodium Bicarbonate For Oral Suspension, 20 mg/1680 mg 





 

Omeprazole and Sodium Bicarbonate For Oral Suspension, 40 mg/1680 mg







5.2 Acute Tubulointerstitial Nephritis

Acute tubulointerstitial nephritis (TIN) has been observed in patients taking PPIs and may occur at any point during PPI therapy. Patients may present with varying signs and symptoms from symptomatic hypersensitivity reactions to non-specific symptoms of decreased renal function (e.g., malaise, nausea and anorexia). In reported case series, some patients were diagnosed on biopsy and in the absence of extra-renal manifestations (e.g., fever, rash or arthralgia).



Discontinue omeprazole and sodium bicarbonate and evaluate patients with suspected acute TIN [see Contraindications (4)].

5.6 Severe Cutaneous Adverse Reactions

Severe cutaneous adverse reactions, including Stevens-Johnson syndrome (SJS) and toxic epidermal necrolysis (TEN), drug reaction with eosinophilia and systemic symptoms (DRESS), and acute generalized exanthematous pustulosis (AGEP) have been reported in association with the use of PPIs [see Adverse Reactions (6.2)]. Discontinue omeprazole and sodium bicarbonate at the first signs or symptoms of severe cutaneous adverse reactions or other signs of hypersensitivity and consider further evaluation.

2.1 Important Administration Instructions
  • Omeprazole and sodium bicarbonate is available as a powder for oral suspension in 20 mg and 40 mg strengths of omeprazole for adult use. All recommended doses throughout the labeling are based upon omeprazole.
  • The sodium content of omeprazole and sodium bicarbonate for oral suspension should be taken into consideration when prescribing this product [see Warnings and Precautions (5.3)]:
    •  Omeprazole and sodium bicarbonate for oral suspension: each 20 mg and 40 mg packet of contains 1,680 mg (20 mEq) of sodium bicarbonate. The total content of sodium in each packet is 460 mg.


Due to the sodium bicarbonate content of omeprazole and sodium bicarbonate for oral suspension:

  • Do not substitute two packets of 20 mg omeprazole and sodium bicarbonate for oral suspension with one packet of 40 mg omeprazole and sodium bicarbonate for oral suspension.
5.10 Hypomagnesemia and Mineral Metabolism

Hypomagnesemia, symptomatic and asymptomatic, has been reported rarely in patients treated with PPIs for at least three months, in most cases after a year of therapy. Serious adverse events include tetany, arrhythmias, and seizures. Hypomagnesemia may lead to hypocalcemia and/or hypokalemia and may exacerbate underlying hypocalcemia in at-risk patients. In most patients, treatment of hypomagnesemia required magnesium replacement and discontinuation of the PPI.



For patients expected to be on prolonged treatment or who take PPIs with medications such as digoxin or drugs that may cause hypomagnesemia (e.g., diuretics), health care professionals may consider monitoring magnesium levels prior to initiation of PPI treatment and periodically [see Adverse Reactions (6.2)].



Consider monitoring magnesium and calcium levels prior to initiation of omeprazole and sodium bicarbonate and periodically while on treatment in patients with a preexisting risk of hypocalcemia (e.g., hypoparathyroidism). Supplement with magnesium and/or calcium as necessary. If hypocalcemia is refractory to treatment, consider discontinuing the PPI.

5.9 Cyanocobalamin (vitamin B 12) Deficiency

Daily treatment with any acid-suppressing medications over a long period of time (e.g., longer than 3 years) may lead to malabsorption of cyanocobalamin (vitamin B-12) caused by hypo-or achlorhydria. Rare reports of cyanocobalamin deficiency occurring with acid-suppressing therapy have been reported in the literature. This diagnosis should be considered if clinical symptoms consistent with cyanocobalamin deficiency are observed in patients treated with omeprazole and sodium bicarbonate.

5.4 Clostridium Difficile Associated Diarrhea

Published observational studies suggest that PPI therapy like omeprazole and sodium bicarbonate may be associated with an increased risk of Clostridium difficile-associated diarrhea, especially in hospitalized patients. This diagnosis should be considered for diarrhea that does not improve [see Adverse Reactions (6.2)].



Patients should use the lowest dose and shortest duration of PPI therapy appropriate to the condition being treated.

5.7 Cutaneous and Systemic Lupus Erythematosus

Cutaneous lupus erythematosus (CLE) and systemic lupus erythematosus (SLE) have been reported in patients taking PPIs, including omeprazole. These events have occurred as both new onset and an exacerbation of existing autoimmune disease. The majority of PPI-induced lupus erythematosus cases were CLE.



The most common form of CLE reported in patients treated with PPIs was subacute CLE (SCLE) and occurred within weeks to years after continuous drug therapy in patients ranging from infants to the elderly. Generally, histological findings were observed without organ involvement.



Systemic lupus erythematosus (SLE) is less commonly reported than CLE in patients receiving PPIs. PPI associated SLE is usually milder than non-drug induced SLE. Onset of SLE typically occurred within days to years after initiating treatment in patients ranging from young adults to the elderly. The majority of patients presented with rash; however, arthralgia and cytopenia were also reported.



Avoid administration of PPIs for longer than medically indicated. If signs or symptoms consistent with CLE or SLE are noted in patients receiving omeprazole and sodium bicarbonate, discontinue the drug and refer the patient to the appropriate specialist for evaluation. Most patients improve with discontinuation of the PPI alone in 4 to 12 weeks. Serological testing (e.g., ANA) may be positive and elevated serological test results may take longer to resolve than clinical manifestations.

5.11 Interaction With St. John’s Wort Or Rifampin

Drugs which induce CYP2C19 or CYP3A4 (such as St. John’s wort or rifampin) can substantially decrease omeprazole concentrations [see Drug Interactions (7)]. Avoid concomitant use of omeprazole and sodium bicarbonate with St. John’s wort or rifampin.

13.1 Carcinogenesis & Mutagenesis & Impairment of Fertility

In two 24-month carcinogenicity studies in rats, omeprazole at daily doses of 1.7, 3.4, 13.8, 44 and 140.8 mg/kg/day (approximately 0.4 to 34.2 times the human dose of 40 mg/day on a body surface area basis) produced gastric ECL cell carcinoids in a dose-related manner in both male and female rats; the incidence of this effect was markedly higher in female rats, which had higher blood levels of omeprazole. Gastric carcinoids seldom occur in the untreated rat. In addition, ECL cell hyperplasia was present in all treated groups of both sexes. In one of these studies, female rats were treated with 13.8 mg omeprazole/kg/day (approximately 3.36 times the human dose of 40 mg/day on a body surface area basis) for one year, then followed for an additional year without the drug. No carcinoids were seen in these rats. An increased incidence of treatment-related ECL cell hyperplasia was observed at the end of one year (94% treated versus 10% controls). By the second year the difference between treated and control rats was much smaller (46% versus 26%) but still showed more hyperplasia in the treated group. Gastric adenocarcinoma was seen in one rat (2%). No similar tumor was seen in male or female rats treated for two years. For this strain of rat no similar tumor has been noted historically, but a finding involving only one tumor is difficult to interpret. In a 52-week toxicity study in Sprague Dawley rats, brain astrocytomas were found in a small number of males that received omeprazole at dose levels of 0.4, 2, and 16 mg/kg/day (about 0.1 to 3.9 times the human dose of 40 mg/day on a body surface area basis). No astrocytomas were observed in female rats in this study. In a 2-year carcinogenicity study in Sprague Dawley rats, no astrocytomas were found in males and females at the high dose of 140.8 mg/kg/day (about 34 times the human dose of 40 mg/day on a body surface area basis). A 78-week mouse carcinogenicity study of omeprazole did not show increased tumor occurrence, but the study was not conclusive. A 26-week p53 (+/-) transgenic mouse carcinogenicity study was not positive.



Omeprazole was positive for clastogenic effects in an in vitro human lymphocyte chromosomal aberration assay, in one of two in vivo mouse micronucleus tests, and in an in vivo bone marrow cell chromosomal aberration assay. Omeprazole was negative in the in vitro Ames test, an in vitro mouse lymphoma cell forward mutation assay and an in vivo rat liver DNA damage assay.



In a 24-month carcinogenicity studies in rats, a dose-related significant increase in gastric carcinoid tumors and ECL cell hyperplasia was observed in both male and female animals. Carcinoid tumors have also been observed in rats subjected to fundectomy or long-term treatment with other PPIs or high doses of H2-receptor antagonists.



Omeprazole at oral doses up to 138 mg/kg/day (about 33.6 times the human dose of 40 mg/day on a body surface area basis) was found to have no effect on the fertility and general reproductive performance in rats.

14.5 Maintenance of Healing of Ee Due to Acid Mediated Gerd

In a U.S. double-blind, randomized, multicenter, placebo-controlled study; two dose regimens of omeprazole were studied in patients with endoscopically confirmed healed esophagitis. Results to determine maintenance of healing of erosive esophagitis are shown in Table 18.



Table 18: Life Table Analysis

 

Omeprazole

20 mg once daily

(n = 138)

Omeprazole

20 mg 3 days per week

(n = 137)

Placebo

(n = 131)

Percent in Endoscopic Remission at 6 Months

70 1

34

11

1. (p < 0.01) omeprazole 20 mg once daily versus omeprazole 20 mg 3 consecutive days per week or placebo.



In an international, multicenter, double-blind study, omeprazole 20 mg daily and 10 mg daily were compared to ranitidine 150 mg twice daily in patients with endoscopically confirmed healed esophagitis. Table 19 provides the results of this study for maintenance of healing of EE.



Table 19: Life Table Analysis

 

Omeprazole

20 mg once daily

(n = 131)

Omeprazole

10 mg once daily

(n = 133)

Ranitidine

150 mg twice daily

(n = 128)

 

Percent in Endoscopic Remission at 12 Months

77 1

58 2

46

1. (p = 0.01) omeprazole 20 mg once daily versus omeprazole 10 mg once daily or Ranitidine.

2. (p = 0.03) omeprazole 10 mg once daily versus Ranitidine.



In patients who initially had grades 3 or 4 erosive esophagitis, for maintenance after healing 20 mg daily of omeprazole was effective, while 10 mg did not demonstrate effectiveness.

5.12 Interactions With Investigations for Neuroendocrine Tumors

Serum chromogranin A (CgA) levels increase secondary to drug-induced decreases in gastric acidity. The increased CgA level may cause false positive results in diagnostic investigations for neuroendocrine tumors. Providers should temporarily stop omeprazole and sodium bicarbonate treatment for at least 14 days before assessing CgA levels and consider repeating the test if initial CgA levels are high. If serial tests are performed (e.g., for monitoring), the same commercial laboratory should be used for testing, as reference ranges between tests may vary [see Drug Interactions (7)].

14.6 Reduction of Risk of Upper Gastrointestinal Bleeding in Critically Ill Patients

A double-blind, multicenter, randomized, non-inferiority clinical trial was conducted to compare omeprazole and sodium bicarbonate for oral suspension and intravenous cimetidine for the reduction of risk of upper gastrointestinal (GI) bleeding in critically ill patients (mean APACHE II score = 23.7). The primary endpoint was significant upper GI bleeding defined as bright red blood which did not clear after adjustment of the nasogastric tube and a 5 to 10 minute lavage, or persistent Gastroccult­positive coffee grounds for 8 consecutive hours which did not clear with 100 mL lavage. Omeprazole and sodium bicarbonate for oral suspension was administered as 40 mg (two doses administered 6 to 8 hours apart on the first day via orogastric or nasogastric tube, followed by 40 mg once daily thereafter) and intravenous cimetidine (300 mg bolus, followed by 50 to 100 mg/hr continuously thereafter) for up to 14 days (mean = 6.8 days). A total of 359 patients were studied, age range 16 to 91 (mean = 56 years), 58.5% were males, and 64% were Caucasians. The results of the study showed that omeprazole and sodium bicarbonate for oral suspension was non-inferior to intravenous cimetidine, 7/178 (3.9%) patients in the omeprazole and sodium bicarbonate group vs. 10/181 (5.5%) patients in the cimetidine group experienced clinically significant upper GI bleeding.


Structured Label Content

10 Overdosage (10 OVERDOSAGE)

If over-exposure occurs, call your Poison Control Center at 1-800-222-1222 for current information on the management of poisoning or overdosage.



Omeprazole

Reports have been received of overdosage with omeprazole in humans. Doses ranged up to 2,400 mg (120 times the usual recommended clinical dose). Manifestations were variable, but included confusion, drowsiness, blurred vision, tachycardia, nausea, vomiting, diaphoresis, flushing, headache, dry mouth, and other adverse reactions similar to those seen in clinical experience with the recommended dosage [see Adverse Reactions (6)]. Symptoms were transient, and no serious clinical outcome has been reported when omeprazole was taken alone. No specific antidote for omeprazole overdosage is known. Omeprazole is extensively protein bound and is, therefore, not readily dialyzable. In the event of overdosage, treatment should be symptomatic and supportive.



Sodium Bicarbonate

Overdosage of sodium bicarbonate can cause electrolyte abnormalities (hypocalcemia, hypokalemia, hypernatremia), metabolic alkalosis, and seizures. Institute supportive care and correct electrolyte abnormalities.

8.1 Pregnancy

Risk Summary

There are no adequate and well-controlled studies with omeprazole and sodium bicarbonate in pregnant women. Omeprazole and sodium bicarbonate for oral suspension contains omeprazole and sodium bicarbonate.



Omeprazole

There are no adequate and well-controlled studies with omeprazole in pregnant women. Available epidemiologic data fail to demonstrate an increased risk of major congenital malformations or other adverse pregnancy outcomes with first trimester omeprazole use. Reproduction studies in rats and rabbits resulted in dose-dependent embryo-lethality at omeprazole doses that were approximately 3.4 to 34 times an oral human dose of 40 mg (based on a body surface area for a 60 kg person).



Teratogenicity was not observed in animal reproduction studies with administration of oral esomeprazole (an enantiomer of omeprazole) magnesium in rats and rabbits during organogenesis with doses about 68 times and 42 times, respectively, an oral human dose of 40 mg esomeprazole or 40 mg omeprazole (based on body surface area for a 60 kg person). Changes in bone morphology were observed in offspring of rats dosed through most of pregnancy and lactation at doses equal to or greater than approximately 34 times an oral human dose of 40 mg esomeprazole or 40 mg omeprazole. When maternal administration was confined to gestation only, there were no effects on bone physeal morphology in the offspring at any age (see Data).



Sodium Bicarbonate

Available data with sodium bicarbonate use in pregnant women are insufficient to identify a drug associated risk of major birth defects or miscarriage. Published animal studies report that sodium bicarbonate administered to rats, mice or rabbits during pregnancy did not cause adverse developmental effects in offspring.



The estimated background risks of major birth defects and miscarriage for the indicated population are unknown. All pregnancies have a background risk of birth defect, loss or other adverse outcomes. In the U.S. general population, the estimated background risk of major birth defects and miscarriage in clinically recognized pregnancies is 2% to 4% and 15% to 20%, respectively.



Data

Human Data

There are no adequate and well-controlled studies with omeprazole and sodium bicarbonate in pregnant women. Four published epidemiological studies compared the frequency of congenital abnormalities among infants born to women who used omeprazole during pregnancy with the frequency of abnormalities among infants of women exposed to H2-receptor antagonists or other controls.



A population-based retrospective cohort epidemiological study from the Swedish Medical Birth Register, covering approximately 99% of pregnancies, from 1995-99, reported on 955 infants (824 exposed during the first trimester with 39 of these exposed beyond first trimester, and 131 exposed after the first trimester) whose mothers used omeprazole during pregnancy. The number of infants exposed in utero to omeprazole that had any malformation, low birth weight, low Apgar score, or hospitalization was similar to the number observed in this population. The number of infants born with ventricular septal defects and the number of stillborn infants was slightly higher in the omeprazole-exposed infants than the expected number in this population.



A population-based retrospective cohort study covering all live births in Denmark from 1996-2009 reported on 1,800 live births whose mothers used omeprazole during the first trimester of pregnancy and 837,317 live births whose mothers did not use any PPI. The overall rate of birth defects in infants born to mothers with first trimester exposure to omeprazole was 2.9% and 2.6% in infants born to mothers not exposed to any PPI during the first trimester.



A retrospective cohort study reported on 689 pregnant women exposed to either H2-blockers or omeprazole in the first trimester (134 exposed to omeprazole) and 1,572 pregnant women unexposed to either during the first trimester. The overall malformation rate in offspring born to mothers with first trimester exposure to omeprazole, an H2-blocker, or were unexposed was 3.6%, 5.5%, and 4.1%, respectively.



A small prospective observational cohort study followed 113 women exposed to omeprazole during pregnancy (89% first trimester exposures). The reported rate of major congenital malformations was 4% in the omeprazole group, 2% in controls exposed to non-teratogens, and 2.8% in disease-paired controls. Rates of spontaneous and elective abortions, preterm deliveries, gestational age at delivery, and mean birth weight were similar among the groups.



Several studies have reported no apparent adverse short-term effects on the infant when single-dose oral or intravenous omeprazole was administered to over 200 pregnant women as premedication for cesarean section under general anesthesia.



Animal Data

Omeprazole

Reproductive studies conducted with omeprazole in rats at oral doses up to 138 mg/kg/day (about 34 times an oral human dose of 40 mg on a body surface area basis) and in rabbits at doses up to 69.1 mg/kg/day (about 34 times an oral human dose of 40 mg on a body surface area basis) during organogenesis did not disclose any evidence for a teratogenic potential of omeprazole. In rabbits, omeprazole in a dose range of 6.9 to 69.1 mg/kg/day (about 3.4 to 34 times an oral human dose of 40 mg on a body surface area basis) administered during organogenesis produced dose-related increases in embryo-lethality, fetal resorptions, and pregnancy disruptions. In rats, dose-related embryo/fetal toxicity and postnatal developmental toxicity were observed in offspring resulting from parents treated with omeprazole at 13.8 to 138 mg/kg/day (about 3.4 to 34 times an oral human dose of 40 mg on a body surface area basis), administered prior to mating through the lactation period.



Esomeprazole

The data described below was generated from studies using esomeprazole, an enantiomer of omeprazole. The animal to human dose multiples are based on the assumption of equal systemic exposure to esomeprazole in humans following oral administration of either 40 mg esomeprazole or 40 mg omeprazole.



No effects on embryo-fetal development were observed in reproduction studies with esomeprazole magnesium in rats at oral doses up to 280 mg/kg/day (about 68 times an oral human dose of 40 mg on a body surface area basis) and in rabbits at oral doses up to 86 mg/kg/day (about 42 times an oral human dose of 40 mg of esomeprazole or 40 mg omeprazole on a body surface area basis) administered during organogenesis.



A pre- and postnatal developmental toxicity study in rats with additional endpoints to evaluate bone development were performed with esomeprazole magnesium at oral doses of 14 to 280 mg/kg/day (about 3.4 to 68 times an oral human dose of 40 mg of esomeprazole or 40 mg omeprazole on a body surface area basis). Neonatal/early postnatal (birth to weaning) survival was decreased at doses equal to or greater than 138 mg/kg/day (about 34 times an oral human dose of 40 mg esomeprazole or 40 mg omeprazole on a body surface area basis). Body weight and body weight gain were reduced and neurobehavioral or general developmental delays in the immediate post-weaning timeframe were evident at doses equal to or greater than 69 mg/kg/day (about 17 times an oral human dose of 40 mg esomeprazole or 40 mg omeprazole on a body surface area basis). In addition, decreased femur length, width and thickness of cortical bone, decreased thickness of the tibial growth plate and minimal to mild bone marrow hypocellularity were noted at doses of esomeprazole magnesium equal to or greater than 14 mg/kg/day (about 3.4 times an oral human dose of 40 mg esomeprazole or 40 mg omeprazole on a body surface area basis). Physeal dysplasia in the femur was observed in offspring of rats treated with oral doses of esomeprazole magnesium at doses equal to or greater than 138 mg/kg/day (about 34 times an oral human dose of 40 mg esomeprazole or 40 mg omeprazole on a body surface area basis).



Effects on maternal bone were observed in pregnant and lactating rats in a pre-and postnatal toxicity study when esomeprazole magnesium was administered at oral doses of 14 to 280 mg/kg/day (about 3.4 to 68 times an oral human dose of 40 mg esomeprazole or 40 mg omeprazole on a body surface area basis). When rats were dosed from gestational Day 7 through weaning on postnatal Day 21, a statistically significant decrease in maternal femur weight of up to 14% (as compared to placebo treatment) was observed at doses of esomeprazole magnesium equal to or greater than 138 mg/kg/day (about 34 times an oral human dose of 40 mg on a body surface area basis).



A pre- and postnatal development study in rats with esomeprazole strontium (using equimolar doses compared to esomeprazole magnesium study) produced similar results in dams and pups as described above.



A follow-up developmental toxicity study in rats with further time points to evaluate pup bone development from postnatal day 2 to adulthood was performed with esomeprazole magnesium at oral doses of 280 mg/kg/day (about 68 times an oral human dose of 40 mg on a body surface area basis) where esomeprazole administration was from either gestational Day 7 or gestational Day 16 until parturition. When maternal administration was confined to gestation only, there were no effects on bone physeal morphology in the offspring at any age.

8.2 Lactation

Risk Summary

Available data from the published literature suggest both components of omeprazole and sodium bicarbonate for oral suspension, omeprazole and sodium bicarbonate, are present in human milk. There are no clinical data on the effects of omeprazole or sodium bicarbonate on the breastfed infant or on milk production. The developmental and health benefits of breastfeeding should be considered along with the mother's clinical need for omeprazole and sodium bicarbonate and any potential adverse effects on the breastfed infant from omeprazole and sodium bicarbonate or from the underlying maternal condition.

11 Description (11 DESCRIPTION)

Omeprazole and sodium bicarbonate for oral suspension is a combination of omeprazole, a proton-pump inhibitor, and sodium bicarbonate, an antacid. Omeprazole is a substituted benzimidazole, 5-methoxy-2-[[(4-methoxy-3,5-dimethyl-2­pyridinyl)methyl]sulfinyl]-1H-benzimidazole, a racemic mixture of two enantiomers that inhibits gastric acid secretion. Its empirical formula is C17H19N3O3S, with a molecular weight of 345.42. The structural formula is:

Omeprazole is a white to off-white crystalline powder which melts with decomposition at about 155°C. It is a weak base, freely soluble in ethanol and methanol, slightly soluble in acetone and isopropanol and very slightly soluble in water. The stability of omeprazole is a function of pH; it is rapidly degraded in acid media but has acceptable stability under alkaline conditions.



Omeprazole and sodium bicarbonate is supplied as unit-dose packets as powder for oral suspension. Packets of powder for oral suspension contain either 40 mg or 20 mg of omeprazole and 1,680 mg of sodium bicarbonate with the following excipients: banana flavor (acacia, maltodextrin, medium chain triglycerides and natural flavor), sucralose, sucrose, xanthan gum, and xylitol.



Omeprazole and sodium bicarbonate for oral suspension is an immediate-release formulation that contain sodium bicarbonate which raises the gastric pH and thus protects omeprazole from acid degradation.

Medication Guide (MEDICATION GUIDE)

Omeprazole and Sodium Bicarbonate

(oh mep’ ra zole and soe’ dee um bye kar’ bo nate)

for Oral suspension, for oral use



What is the most important information I should know about omeprazole and sodium bicarbonate for oral suspension?



Omeprazole and sodium bicarbonate for oral suspension may help your acid-related symptoms, but you could still have serious stomach problems. Talk with your doctor.

 

Omeprazole and sodium bicarbonate for oral suspension can cause serious side effects, including:

  • A type of kidney problem (acute tubulointerstitial nephritis). Some people who take proton pump inhibitor (PPI) medicines, including omeprazole and sodium bicarbonate for oral suspension, may develop a kidney problem called acute tubulointerstitial nephritis that can happen at any time during treatment with omeprazole and sodium bicarbonate for oral suspension. Call your doctor right away if you have a decrease in the amount that you urinate or if you have blood in your urine.
  • Omeprazole and sodium bicarbonate for oral suspension contains sodium bicarbonate. Long-term use of bicarbonate with calcium or milk can cause a condition called “milk-alkali syndrome”. Long-term use of sodium bicarbonate can cause a condition called “systemic alkalosis”. Talk to your doctor about any questions you may have. Too much sodium can cause swelling and weight gain. Tell your doctor if you are on a low-sodium diet or if you have Bartter’s Syndrome (a rare kidney disorder). Tell your doctor right away if you have confusion, shaking hands, dizziness, muscle twitching, nausea, vomiting, and numbness or tingling in the face, arms, or legs.
  • Diarrhea caused by an infection (Clostridium difficile) in your intestines. Call your doctor right away if you have watery stools or stomach pain that does not go away. You may or may not have a fever.
  • Bone fractures (hip, wrist, or spine). Bone fractures in the hip, wrist or spine may happen in people who take multiple daily doses of PPI medicines and for a long period of time (a year or longer). Tell your doctor if you have bone fracture, especially in the hip, wrist, or spine. Certain types of lupus erythematosus. Lupus erythematosus is an autoimmune disorder (the body’s immune cells attack other cells or organs in the body). Some people who take PPI medicines, including omeprazole and sodium bicarbonate for oral suspension, may develop certain types of lupus erythematosus or have worsening of the lupus they already have. Call your doctor right away if you have new or worsening joint pain or a rash on your cheeks or arms that gets worse in the sun.


Talk to your doctor about your risk of these serious side effects.



Omeprazole and sodium bicarbonate for oral suspension can have other serious side effects. See “What are the possible side effects of omeprazole and sodium bicarbonate for oral suspension?”



What is omeprazole and sodium bicarbonate for oral suspension?

A prescription medicine called a proton pump inhibitor (PPI) used to reduce the amount of acid in your stomach.



Omeprazole and sodium bicarbonate for oral suspension is used in adults for:

  • up to 8 weeks for the healing of duodenal ulcers.
  • up to 8 weeks for the healing of stomach ulcers.
  • up to 4 weeks to treat heartburn and other symptoms that happen with gastroesophageal reflux disease (GERD).
  • up to 8 weeks for the healing and symptom relief of acid-related damage to the lining of the esophagus (called erosive esophagitis or EE). Your doctor may prescribe another 4 weeks of omeprazole and sodium bicarbonate for oral suspension in patients whose EE does not heal.
  • maintaining healing of EE and to help prevent the return of heartburn symptoms caused by GERD. It is not known if omeprazole and sodium bicarbonate for oral suspension is safe and effective when used for longer than 12 months for this purpose.


Omeprazole and sodium bicarbonate for oral suspension is used:

  • in critically ill adults to lower the risk of stomach bleeding (40 mg oral suspension only).


It is not known if omeprazole and sodium bicarbonate for oral suspension is safe and effective in children.



Do not take omeprazole and sodium bicarbonate for oral suspension if you are:

  • allergic to omeprazole, any other PPI medicine, or any of the ingredients in omeprazole and sodium bicarbonate for oral suspension. See the end of this Medication Guide for a complete list of ingredients in omeprazole and sodium bicarbonate for oral suspension.
  • taking a medicine that contains rilpivirine, used to treat HIV-1 (Human Immunodeficiency Virus).


Before taking omeprazole and sodium bicarbonate for oral suspension, tell your doctor about all of your medical conditions, including if you:

  • have low magnesium, calcium, or potassium levels in your blood.
  • have problems with the acid-base (pH) balance in your body.
  • have liver problems.
  • have heart failure.
  • are on a low-sodium diet.
  • have Bartter’s syndrome (a rare kidney problem).
  • are of Asian descent and have been told that your body’s ability to break down (metabolize) omeprazole is poor or if your genotype called CYP2C19 is not known.
  • are pregnant or plan to become pregnant. It is not known if omeprazole and sodium bicarbonate for oral suspension will harm your unborn baby.
  • are breastfeeding or plan to breastfeed. Omeprazole and sodium bicarbonate for oral suspension can pass into your breast milk. Talk with your doctor about the best way to feed your baby if you take omeprazole and sodium bicarbonate for oral suspension.


Tell your doctor about all the medicines you take, including prescription and over-the-counter medicines, vitamins and herbal supplements. Especially tell your doctor if you take:

  • digoxin (Lanoxin)
  • clopidogrel (Plavix)
  • St. John’s wort (Hypericum perforatum)
  • rifampin (Rifater, Rifamate, Rimactane, Rifadin)
  • methotrexate


Ask your doctor or pharmacist for a list of these medicines, if you are not sure.



Know the medicines that you take. Keep a list of them to show your doctor and pharmacist when you get a new medicine.



How should I take omeprazole and sodium bicarbonate for oral suspension?

  • Take omeprazole and sodium bicarbonate for oral suspension exactly as prescribed by your doctor.
  • Do not change your dose or stop taking omeprazole and sodium bicarbonate for oral suspension without talking to your doctor.
  • Omeprazole and sodium bicarbonate for oral suspension can be taken by mouth or given through a nasogastric (NG) or orogastric (OG) tube.
  • See the “Instructions for Use” that come with omeprazole and sodium bicarbonate for oral suspension for instructions on how to mix omeprazole and sodium bicarbonate for oral suspension with water and give the medicine through a NG tube or OG tube.
  • If you miss a dose of omeprazole and sodium bicarbonate for oral suspension, take it as soon as you remember. If it is almost time for your next dose, do not take the missed dose. Take the next dose at your regular time. Do not take two doses to make up for a missed dose.
  • Do not substitute two 20 mg packets for one 40 mg packet of omeprazole and sodium bicarbonate for oral suspension because you will receive twice the amount of sodium bicarbonate. Talk to your doctor if you have questions.
  • If you take too much omeprazole and sodium bicarbonate for oral suspension, call your doctor or Poison Control Center at 1-800-222-1222 right away or go to the nearest hospital emergency room.


What are the possible side effects of omeprazole and sodium bicarbonate for oral suspension?

Omeprazole and sodium bicarbonate for oral suspension can cause serious side effects, including:



  • See “What is the most important information I should know about omeprazole and sodium bicarbonate for oral suspension?”
  • Low vitamin B-12 levels in your body can happen in people who have taken omeprazole and sodium bicarbonate for oral suspension for a long time (more than 3 years). Tell your doctor if you have symptoms of low vitamin B-12 levels, including shortness of breath, lightheadedness, irregular heartbeat, muscle weakness, pale skin, feeling tired, mood changes, and tingling or numbness in the arms and legs.
  • Low magnesium levels in your body can happen in people who have taken omeprazole and sodium bicarbonate for oral suspension for at least 3 months. Tell your doctor right away if you have symptoms of low magnesium levels, including seizures, dizziness, irregular heartbeat, jitteriness, muscle aches or weakness, and spasms of hands, feet or voice.
  • Stomach growths (fundic gland polyps). People who take PPI medicines for a long time have an increased risk of developing a certain type of stomach growths called fundic gland polyps, especially after taking PPI medicines for more than 1 year.
  • Severe skin reactions. Omeprazole and sodium bicarbonate for oral suspension can cause rare but severe skin reactions that may affect any part of your body. These serious skin reactions may need to be treated in a hospital and may be life threatening:
    •  Skin rash which may have blistering, peeling or bleeding on any part of your skin (including your lips, eyes, mouth, nose, genitals, hands or feet).
    • You may also have fever, chills, body aches, shortness of breath, or enlarged lymph nodes.

Stop taking omeprazole and sodium bicarbonate for oral suspension and call your doctor right away. These symptoms may be the first sign of a severe skin reaction.

  • The most common side effects of omeprazole and sodium bicarbonate for oral suspension include:
  • headache
  • abdominal pain
  • nausea
  • diarrhea
  • vomiting
  • gas


These are not all the possible side effects of omeprazole and sodium bicarbonate for oral suspension.



Call your doctor for medical advice about side effects. You may report side effects to FDA at 1-800-FDA-1088.



How should I store omeprazole and sodium bicarbonate for oral suspension?

  • Store omeprazole and sodium bicarbonate for oral suspension at room temperature between 68°F to 77°F (20°C to 25°C).
  • Keep omeprazole and sodium bicarbonate for oral suspension in a dry place and out of light.


Keep omeprazole and sodium bicarbonate for oral suspension and all medicines out of the reach of children.



General information about the safe and effective use of omeprazole and sodium bicarbonate for oral suspension.



Medicines are sometimes prescribed for purposes other than those listed in a Medication Guide. Do not use omeprazole and sodium bicarbonate for oral suspension for any condition for which it was not prescribed. Do not give omeprazole and sodium bicarbonate for oral suspension to other people, even if they have the same symptoms that you have. It may harm them.



You can also ask your doctor or pharmacist for information about omeprazole and sodium bicarbonate for oral suspension that is written for health professionals.



What are the ingredients in Omeprazole and Sodium Bicarbonate for Oral Suspension?

Active ingredients: omeprazole and sodium bicarbonate

Inactive ingredients in omeprazole and sodium bicarbonate for oral suspension: banana flavor (acacia, maltodextrin, medium chain triglycerides and natural flavor), sucralose, sucrose, xanthan gum, and xylitol.



All trademarks are the property of their respective owners.



Distributed by:

ANI Pharmaceuticals, Inc.

Baudette, MN 56623



Issued: 01/2025

LB4661-00



This Medication Guide has been approved by the U.S. Food and Drug Administration.

5.5 Bone Fracture

Several published observational studies suggest that proton pump inhibitor (PPI) therapy may be associated with an increased risk for osteoporosis-related fractures of the hip, wrist, or spine. The risk of fracture was increased in patients who received high-dose, defined as multiple daily doses, and long-term PPI therapy (a year or longer). Patients should use the lowest dose and shortest duration of PPI therapy appropriate to the condition being treated. Patients at risk for osteoporosis-related fractures should be managed according to the established treatment guidelines [see Dosage and Administration (2.2) and Adverse Reactions (6.2)].

8.4 Pediatric Use

Safety and effectiveness of omeprazole and sodium bicarbonate have not been established in pediatric patients.



Juvenile Animal Data

Esomeprazole, an enantiomer of omeprazole, was shown to decrease body weight, body weight gain, femur weight, femur length, and overall growth at oral doses about 34 to 68 times a daily human dose of 40 mg esomeprazole or 40 mg omeprazole based on body surface area in a juvenile rat toxicity study. The animal to human dose multiples are based on the assumption of equal systemic exposure to esomeprazole in humans following oral administration of either 40 mg esomeprazole or 40 mg omeprazole.



A 28-day toxicity study with a 14-day recovery phase was conducted in juvenile rats with esomeprazole magnesium at doses of 70 to 280 mg/kg/day (about 17 to 68 times a daily oral human dose of 40 mg esomeprazole or 40 mg omeprazole on a body surface area basis). An increase in the number of deaths at the high dose of 280 mg/kg/day was observed when juvenile rats were administered esomeprazole magnesium from postnatal day 7 through postnatal day 35. In addition, doses equal to or greater than 140 mg/kg/day (about 34 times a daily oral human dose of 40 mg esomeprazole or 40 mg omeprazole on a body surface area basis), produced treatment-related decreases in body weight (approximately 14%) and body weight gain, decreases in femur weight and femur length, and affected overall growth. Comparable findings described above have also been observed in this study with another esomeprazole salt, esomeprazole strontium, at equimolar doses of esomeprazole.

8.5 Geriatric Use

Omeprazole was administered to over 2,000 elderly individuals (≥65 years of age) in clinical trials in the U.S. and Europe. There were no differences in safety and effectiveness between the elderly and younger subjects. Other reported clinical experience has not identified differences in response between the elderly and younger subjects, but greater sensitivity of some older individuals cannot be ruled out.



Pharmacokinetic studies with buffered omeprazole have shown the elimination rate was somewhat decreased in the elderly and bioavailability was increased. The plasma clearance of omeprazole was 250 mL/min (about half that of young subjects). The plasma half-life averaged one hour, about twice that in nonelderly, healthy subjects taking omeprazole and sodium bicarbonate. However, no dosage adjustment is necessary in the elderly [see Clinical Pharmacology (12.3)].

2.2 Dosage Regimen

The recommended dosage regimen by indication in adults of omeprazole and sodium bicarbonate for oral suspension is summarized in Table 1. Only 40 mg omeprazole and sodium bicarbonate for oral suspension is indicated for the reduction of risk of upper GI bleeding in critically ill adult patients and the dosage regimen is summarized in Table 2. All recommended dosages are based upon omeprazole content.



Table 1: Recommended Dosage Regimen of Omeprazole and Sodium Bicarbonate for Oral Suspension in Adults by Indication

Indication

Dosage of omeprazole and sodium bicarbonate for oral suspension

Treatment Duration

Treatment of Active Duodenal Ulcer

20 mg once daily

4 weeks 1,2

Treatment of Active Benign Gastric Ulcer

40 mg once daily

4 to 8 weeks

Treatment of Symptomatic GERD

20 mg once daily

Up to 4 weeks

Treatment of EE due to Acid-Mediated GERD

20 mg once daily

4 to 8 weeks 2

Maintenance of Healing of EE due to Acid-Mediated GERD

20 mg once daily

Controlled studies do not extend beyond 12 months.

1 Most patients heal within 4 weeks. Some patients may require an additional 4 weeks of therapy [see Clinical Studies (14.1)].

2 The efficacy of omeprazole and sodium bicarbonate used for longer than 8 weeks in patients with EE has not been established. If a patient does not respond to 8 weeks of treatment, an additional 4 weeks of treatment may be given. If there is recurrence of EE or GERD symptoms (e.g., heartburn), additional 4 to 8-week courses of omeprazole and sodium bicarbonate may be considered.

 

Table 2: Recommended Dosage Regimen of 40 mg Omeprazole and Sodium Bicarbonate for Oral Suspension in Adults by Indication

Indication

Dosage of 40 mg omeprazole and sodium bicarbonate for oral suspension

Treatment Duration

Reduction of Risk of Upper GI Bleeding in Critically Ill Patients

40 mg initially; followed by

40 mg 6 to 8 hours later; and

40 mg once daily thereafter

14 days



14 Clinical Studies (14 CLINICAL STUDIES)

The effectiveness of omeprazole and sodium bicarbonate has been established, in part, based on studies of an oral delayed-release omeprazole product for the treatment of active duodenal ulcer, active benign gastric ulcer, symptomatic GERD, EE due to acid-mediated GERD, and maintenance of healing of EE due to acid-mediated GERD [see Clinical Studies (14.1, 14.2, 14.3, 14.4, 14.5)].



Omeprazole and sodium bicarbonate for oral suspension was studied for the reduction of risk of upper GI bleeding in critically ill adult patients [see Clinical Studies (14.6)].

4 Contraindications (4 CONTRAINDICATIONS)

Omeprazole and sodium bicarbonate is contraindicated in patients with known hypersensitivity to substituted benzimidazoles or to any component of the formulation. Hypersensitivity reactions may include anaphylaxis, anaphylactic shock, angioedema, bronchospasm, acute tubulointerstitial nephritis, and urticaria [see Warnings and Precautions (5.2), Adverse Reactions (6.2)].



Proton pump inhibitors (PPIs), including omeprazole and sodium bicarbonate, are contraindicated in patients receiving rilpivirine containing products [see Drug Interactions (7)].

6 Adverse Reactions (6 ADVERSE REACTIONS)

The following serious adverse reactions are described below and elsewhere in labeling:

  • Acute Tubulointerstitial Nephritis [see Warnings and Precautions (5.2)]
  • Clostridium difficile-Associated Diarrhea [see Warnings and Precautions (5.4)]
  • Bone Fracture [see Warnings and Precautions (5.5)]
  • Severe Cutaneous Adverse Reactions [see Warnings and Precautions (5.6)]
  • Cutaneous and Systemic Lupus Erythematosus [see Warnings and Precautions (5.7)]
  • Cyanocobalamin (Vitamin B-12) Deficiency [see Warnings and Precautions (5.9)]
  • Hypomagnesemia and Mineral Metabolism [see Warnings and Precautions (5.10)]
  • Fundic Gland Polyps [see Warnings and Precautions (5.14)]
7 Drug Interactions (7 DRUG INTERACTIONS)

Tables 6 and 7 include drugs with clinically important drug interactions and interaction with diagnostics when administered concomitantly with omeprazole and instructions for preventing or managing them.



Consult the labeling of concomitantly used drugs to obtain further information about interactions with PPIs.



Table 6: Clinically Relevant Interactions Affecting Drugs Co-Administered with Omeprazole and Interaction with Diagnostics

Antiretrovirals

 

Clinical Impact:

The effect of PPIs on antiretroviral drugs is variable. The clinical importance and the mechanisms behind these interactions are not always known.

  • Decreased exposure of some antiretroviral drugs (e.g., rilpivirine, atazanavir and nelfinavir) when used concomitantly with omeprazole may reduce antiviral effect and promote the development of drug resistance [see Clinical Pharmacology (12.3)].
  • Increased exposure of other antiretroviral drugs (e.g., saquinavir) when used concomitantly with omeprazole may increase toxicity [see Clinical Pharmacology (12.3)].
  • There are other antiretroviral drugs which do not result in clinically relevant interactions with omeprazole.
 

Intervention:

Rilpivirine-containing products: Concomitant use with omeprazole and sodium bicarbonate is contraindicated [see Contraindications (4)].

Atazanavir: Avoid concomitant use with omeprazole and sodium bicarbonate. See prescribing information for atazanavir for dosing information.

Nelfinavir: Avoid concomitant use with omeprazole and sodium bicarbonate. See prescribing information for nelfinavir.

Saquinavir: See the prescribing information for saquinavir for monitoring of potential saquinavir-related toxicities.

Other antiretrovirals: See prescribing information for specific antiretroviral drugs.

 

Warfarin

 

Clinical Impact:

Increased INR and prothrombin time in patients receiving PPIs, including omeprazole, and warfarin concomitantly. Increases in INR and prothrombin time may lead to abnormal bleeding and even death.

 

Intervention:

Monitor INR and prothrombin time and adjust the dose of warfarin, if needed, to maintain target INR range.

 

Methotrexate

 

Clinical Impact:

Concomitant use of omeprazole with methotrexate (primarily at high dose) may elevate and prolong serum concentrations of methotrexate and/or its metabolite hydroxymethotrexate, possibly leading to methotrexate toxicities. No formal drug interaction studies of high-dose methotrexate with PPIs have been conducted [see Warnings and Precautions (5.12)].

 

Intervention:

A temporary withdrawal of omeprazole and sodium bicarbonate may be considered in some patients receiving high-dose methotrexate.

 

CYP2C19 Substrates (e.g., clopidogrel, citalopram, cilostazol, phenytoin, diazepam)

 

Clopidogrel

 

Clinical Impact:

Concomitant use of omeprazole 80 mg results in reduced plasma concentrations of the active metabolite of clopidogrel and a reduction in platelet inhibition [see Clinical Pharmacology (12.3)]. There are no adequate combination studies of a lower dose of omeprazole or a higher dose of clopidogrel in comparison with the approved dose of clopidogrel.

 

Intervention:

Avoid concomitant use with omeprazole and sodium bicarbonate. Consider use of alternative anti-platelet therapy [see Warnings and Precautions (5.7)].

 

Citalopram

Clinical Impact:

Increased exposure of citalopram leading to an increased risk of QT prolongation [see Clinical Pharmacology (12.3)].

Intervention:

Limit the dose of citalopram to a maximum of 20 mg per day. See prescribing information for citalopram.

Cilostazol

Clinical Impact:

Increased exposure of one of the active metabolites of cilostazol (3,4-dihydro­cilostazol) [see Clinical Pharmacology (12.3)].

Intervention:

Reduce the dose of cilostazol to 50 mg twice daily. See prescribing information for cilostazol.

Phenytoin

Clinical Impact:

Potential for increased exposure of phenytoin.

Intervention:

Monitor phenytoin serum concentrations. Dose adjustment may be needed to maintain therapeutic drug concentrations. See prescribing information for phenytoin.

Diazepam

Clinical Impact:

Increased exposure of diazepam [see Clinical Pharmacology (12.3)].

Intervention:

Monitor patients for increased sedation and reduce the dose of diazepam as needed.

Digoxin

Clinical Impact:

Potential for increased exposure of digoxin [see Clinical Pharmacology (12.3)].

Intervention:

Monitor digoxin concentrations. Dose adjustment may be needed to maintain therapeutic drug concentrations. See digoxin prescribing information.

Drugs Dependent on Gastric pH for Absorption (e.g., iron salts, erlotinib, dasatinib, nilotinib, mycophenolate mofetil, ketoconazole/itraconazole)

Clinical Impact:

Omeprazole can reduce the absorption of other drugs due to its effect on reducing intragastric acidity.

Intervention:

Mycophenolate mofetil (MMF): Co-administration of omeprazole in healthy subjects and in transplant patients receiving MMF has been reported to reduce the exposure to the active metabolite, mycophenolic acid (MPA), possibly due to a decrease in MMF solubility at an increased gastric pH. The clinical relevance of reduced MPA exposure on organ rejection has not been established in transplant patients receiving omeprazole and sodium bicarbonate and MMF. Use omeprazole and sodium bicarbonate with caution in transplant patients receiving MMF [see Clinical Pharmacology (12.3)].

 

See the prescribing information for other drugs dependent on gastric pH for absorption.

Tacrolimus

Clinical Impact:

Potential for increased exposure of tacrolimus, especially in transplant patients who are intermediate or poor metabolizers of CYP2C19.

Intervention:

Monitor tacrolimus whole blood concentrations. Dose adjustment may be needed to maintain therapeutic drug concentrations. See prescribing information for tacrolimus.

Interactions with Investigations of Neuroendocrine Tumors

Clinical Impact:

Serum chromogranin A (CgA) levels increase secondary to PPI-induced decreases in gastric acidity. The increased CgA level may cause false positive results in diagnostic investigations for neuroendocrine tumors [see Warnings and Precautions (5.11) and Clinical Pharmacology (12.2)].

Intervention:

Temporarily stop PRILOSEC treatment at least 14 days before assessing CgA levels and consider repeating the test if initial CgA levels are high. If serial tests are performed (e.g., for monitoring), the same commercial laboratory should be used for testing, as reference ranges between tests may vary.

Interaction with Secretin Stimulation Test

Clinical Impact:

Hyper-response in gastrin secretion in response to secretin stimulation test, falsely suggesting gastrinoma.

Intervention:

Temporarily stop omeprazole and sodium bicarbonate treatment at least 14 days before assessing to allow gastrin levels to return to baseline [see Clinical Pharmacology (12.2)].

False Positive Urine Tests for THC

Clinical Impact:

There have been reports of false positive urine screening tests for tetrahydrocannabinol (THC) in patients receiving PPIs.

Intervention:

An alternative confirmatory method should be considered to verify positive results.

Other

Clinical Impact:

There have been clinical reports of interactions with other drugs metabolized via the cytochrome P450 system (e.g., cyclosporine, disulfiram).

Intervention:

Monitor patients to determine if it is necessary to adjust the dosage of these other drugs when taken concomitantly with omeprazole and sodium bicarbonate.



Table 7: Clinically Relevant Interactions Affecting Omeprazole When Co-Administered with Other Drugs

CYP2C19 or CYP3A4 Inducers

Clinical Impact:

Decreased exposure of omeprazole when used concomitantly with strong inducers [see Clinical Pharmacology (12.3)].

Intervention:

St. John’s wort, rifampin: Avoid concomitant use with omeprazole and sodium bicarbonate [see Warnings and Precautions (5.10)].

 

Ritonavir-containing products: See prescribing information for specific drugs.

CYP2C19 or CYP3A4 Inhibitors

Clinical Impact:

Increased exposure of omeprazole [see Clinical Pharmacology (12.3)].

Intervention:

Voriconazole: Dosage adjustment of omeprazole and sodium bicarbonate is not required.



8.7 Asian Population

In studies of healthy subjects, Asians had approximately a four-fold higher exposure than Caucasians. Avoid use of omeprazole and sodium bicarbonate in Asian patients for maintenance of healing of erosive esophagitis [see Clinical Pharmacology (12.5)].

Instructions for Use (INSTRUCTIONS FOR USE)

Omeprazole and Sodium Bicarbonate

(oh mep’ ra zole and soe’ dee um bye kar’ bo nate)

for oral suspension



Taking omeprazole and sodium bicarbonate for oral suspension:



Important: Omeprazole and sodium bicarbonate for oral suspension should be taken on an empty stomach at least 1 hour before a meal.



  • Omeprazole and sodium bicarbonate for oral suspension comes in packets containing 20 mg or 40 mg of omeprazole.
  • Use an oral syringe to draw up the amount of water needed to mix your dose. Ask your pharmacist for an oral syringe.
  • Using the oral syringe, draw up 5 mL to 10 mL of water and add the water to a small cup. Do not mix omeprazole and sodium bicarbonate for oral suspension with foods or liquids other than water.
  • Empty the contents of the packet into the small cup.
  • Stir well to dissolve the powder and drink the mixture right away.
  • If any medicine remains after drinking, add more water, stir, and drink right away.


Giving omeprazole and sodium bicarbonate for oral suspension with water through a nasogastric (NG) tube or orogastric (OG) tube:

 

Important: For patients receiving omeprazole and sodium bicarbonate for oral suspension through a NG tube or OG tube, enteral feeding should be stopped approximately 3 hours before giving omeprazole and sodium bicarbonate for oral suspension. You should wait at least 1 hour after giving omeprazole and sodium bicarbonate for oral suspension before you start enteral feeding again.



  • Omeprazole and sodium bicarbonate for oral suspension comes in packets containing 20 mg or 40 mg of omeprazole.
  • You will mix omeprazole and sodium bicarbonate for oral suspension with 20 mL of water in a catheter tipped syringe.
  • Use only a catheter tipped syringe to give omeprazole and sodium bicarbonate for oral suspension through the NG or OG tube. Talk to your doctor about the size catheter tipped syringe you should use.
  • Add 20 mL of water to the catheter tipped syringe. Do not use any food or liquids other than water to mix omeprazole and sodium bicarbonate for oral suspension.
  • Add the contents of 1 packet of omeprazole and sodium bicarbonate for oral suspension to the syringe.
  • Shake the syringe well to dissolve the powder.
  • Inject the medicine through the NG or OG tube into the stomach right away.
  • Refill the syringe with the same amount of water (20 mL) you used to prepare your dose of omeprazole and sodium bicarbonate for oral suspension.
  • Shake the syringe and flush any remaining medicine from the NG tube or OG tube into the stomach.


All trademarks are the property of their respective owners.



Distributed by:

ANI Pharmaceuticals, Inc.

Baudette, MN 56623



Issued: 01/2025

LB4661-00



This Instructions for Use has been approved by the U.S. Food and Drug Administration.

1 Indications & Usage (1 INDICATIONS & USAGE)

Omeprazole and sodium bicarbonate for oral suspension is indicated in adults for the:

  • short-term treatment of active duodenal ulcer. Most patients heal within four weeks. Some patients may require an additional four weeks of therapy.
  • short-term treatment (4 to 8 weeks) of active benign gastric ulcer.
  • treatment of heartburn and other symptoms associated with GERD for up to 4 weeks.
  • short-term treatment (4 to 8 weeks) of EE due to acid-mediated GERD which has been diagnosed by endoscopy in adults.
    • The efficacy of omeprazole and sodium bicarbonate used for longer than 8 weeks in patients with EE has not been established. If a patient does not respond to 8 weeks of treatment, an additional 4 weeks of treatment may be given. If there is recurrence of EE or GERD symptoms (e.g., heartburn), additional 4 to 8-week courses of omeprazole and sodium bicarbonate may be considered.
  •  maintenance of healing of EE due to acid-mediated GERD. Controlled studies do not extend beyond 12 months


Omeprazole and sodium bicarbonate for oral suspension is indicated in adults for the:

  • reduction of risk of upper GI bleeding in critically ill adult patients.
12.2 Pharmacodynamics

Antisecretory Activity

Results from a pharmacokinetic/pharmacodynamic (PK/PD) study of the antisecretory effect of repeated once-daily dosing of 40 mg and 20 mg of omeprazole and sodium bicarbonate for oral suspension in healthy subjects are shown in Table 8 below.



Table 8: Effect of Omeprazole and Sodium Bicarbonate for Oral Suspension on Intragastric pH, Day 7

Once-Daily Dosage of Omeprazole and Sodium Bicarbonate for Oral Suspension

Parameter

40 mg omeprazole and 1,680 mg sodium bicarbonate

(n = 24)

20 mg omeprazole and 1,680 mg sodium bicarbonate

(n = 28)

% Decrease from Baseline for Integrated Gastric Acidity (mmol•hr/L)

84%

82%

Coefficient of Variation

20%

24%

% Time Gastric pH > 4 1

(Hours) 1

77%

(18.6 h)

51%

(12.2 h)

Coefficient of Variation

27%

43%

Median pH

5.2

4.2

Coefficient of Variation

17%

37%

Note: Values represent medians. All parameters were measured over a 24-hour period.

1. P < 0.05 20 mg vs. 40 mg



Results from a separate PK/PD study of antisecretory effect on repeated once-daily dosing of 40 mg/1,100 mg and 20 mg/1,100 mg of ZEGERID capsules in healthy subjects show similar effects in general on the above three PD parameters as those for omeprazole and sodium bicarbonate for oral suspension 40 mg/1,680 mg and 20 mg/1,680 mg, respectively.



The antisecretory effect lasts longer than would be expected from the very short (1 hour) plasma half-life, apparently due to irreversible binding to the parietal H+/K+ ATPase enzyme.



Enterochromaffin-like (ECL) Cell Effects

Human gastric biopsy specimens have been obtained from more than 3000 patients treated with omeprazole in long-term clinical trials. The incidence of ECL cell hyperplasia in these studies increased with time; however, no case of ECL cell carcinoids, dysplasia, or neoplasia has been found in these patients. These studies are of insufficient duration and size to rule out the possible influence of long-term administration of omeprazole on the development of any premalignant or malignant conditions.



Serum Gastrin Effects

In studies involving more than 200 patients, serum gastrin levels increased during the first 1 to 2 weeks of once-daily administration of therapeutic doses of omeprazole in parallel with inhibition of acid secretion. No further increase in serum gastrin occurred with continued treatment. In comparison with histamine H2-receptor antagonists, the median increases produced by 20 mg doses of omeprazole were higher (1.3 to 3.6-fold vs. 1.1- to 1.8-fold increase). Gastrin values returned to pretreatment levels, usually within 1 to 2 weeks after discontinuation of therapy.



Increased gastrin causes enterochromaffin-like cell hyperplasia and increased serum Chromogranin A (CgA) levels. The increased CgA levels may cause false positive results in diagnostic investigations for neuroendocrine tumors [see Warnings and Precautions (5.11)].



Other Effects

Systemic effects of omeprazole in the central nervous system (CNS), cardiovascular and respiratory systems have not been found to date. Omeprazole, given in oral doses of 30 or 40 mg for 2 to 4 weeks, had no effect on thyroid function, carbohydrate metabolism, or circulating levels of parathyroid hormone, cortisol, estradiol, testosterone, prolactin, cholecystokinin or secretin.



No effect on gastric emptying of the solid and liquid components of a test meal was demonstrated after a single dose of omeprazole 90 mg. In healthy subjects, a single intravenous dose of omeprazole (0.35 mg/kg) had no effect on intrinsic factor secretion. No systematic dose-dependent effect has been observed on basal or stimulated pepsin output in humans. However, when intragastric pH is maintained at 4.0 or above, basal pepsin output is low, and pepsin activity is decreased.



As do other agents that elevate intragastric pH, omeprazole administered for 14 days in healthy subjects produced a significant increase in the intragastric concentrations of viable bacteria. The pattern of the bacterial species was unchanged from that commonly found in saliva. All changes resolved within three days of stopping treatment.



The course of Barrett’s esophagus in 106 patients was evaluated in a U.S. double-blind controlled study of omeprazole 40 mg twice daily for 12 months followed by 20 mg twice daily for 12 months or ranitidine 300 mg twice daily for 24 months. No clinically significant impact on Barrett’s mucosa by antisecretory therapy was observed. Although neosquamous epithelium developed during antisecretory therapy, complete elimination of Barrett’s mucosa was not achieved. No significant difference was observed between treatment groups in development of dysplasia in Barrett’s mucosa, and no patient developed esophageal carcinoma during treatment. No significant differences between treatment groups were observed in development of ECL cell hyperplasia, corpus atrophic gastritis, corpus intestinal metaplasia, or colon polyps exceeding 3 mm in diameter.

12.3 Pharmacokinetics

Absorption

Table 10 show the systemic exposures and the time reach peak concentration (Tmax) of omeprazole in healthy subjects following administration of omeprazole and sodium bicarbonate oral suspension, on an empty stomach one hour prior to a meal.



Table 10: Arithmetic Mean (CV%) of the Systemic Exposures (Cmax, AUC) and Tmax of Omeprazole after a Single Oral Dose and Multiple Once-Daily Doses of Omeprazole and Sodium Bicarbonate Oral Suspension

 

 

20 mg Omeprazole and sodium bicarbonate oral suspension

40 mg Omeprazole and sodium bicarbonate oral suspension

 

Day 1

Day 7

% Change (Day 7/Day 1)

Day 1

Day 7

% Change (Day 7/Day 1)

Cmax (ng/mL)

671.9 (43.8)

902.2 (39.6)

34

1412 (43.7)

1954 (33.5)

38

Tmax (hr)

[min – max]

0.50 [0.17-1.5]

0.47 [0.17-1.0]

n.a.

0.44 [0.17-1.0]

0.58 [0.25-1.0]

n.a.

AUC0-inf*(ng•hr/mL)

825.4 (71.9)

1449 (61.7)

76

2228 (107)

4692 (60.5)

111

n.a.: not applicable

* AUC0-24h was used on Day 7



Following single or repeated once-daily dosing, peak plasma concentrations (Cmax) of omeprazole from omeprazole and sodium bicarbonate were approximately proportional from 20 to 40 mg doses. A greater than dose proportional increase in mean steady-state AUC (more than three-fold increase on Day 7) was observed when doubling the dose to 40 mg. The bioavailability of omeprazole from omeprazole and sodium bicarbonate increases upon repeated administration. The percent changes in Cmax and AUC between steady-state (Day 7) and single dose (Day 1) indicate omeprazole is a time-dependent autoinhibitor of CYP2C19.



When omeprazole and sodium bicarbonate for oral suspension 40 mg was administered in a two-dose loading regimen, the omeprazole AUC(0-inf) (ng•hr/mL) was 1665 after Dose 1 and 3356 after Dose 2, while Tmax was approximately 30 minutes for both Dose 1 and Dose 2.



When omeprazole and sodium bicarbonate for oral suspension 40 mg is administered one hour after a meal, the omeprazole AUC is reduced by approximately 27% and 22%, respectively, relative to administration one hour prior to a meal [see Dosage and Administration (2.3)].



Distribution

Omeprazole is bound to plasma proteins. Protein binding is approximately 95%.



Elimination

Metabolism

Omeprazole is extensively metabolized by the cytochrome P450 (CYP) enzyme system. The major part of its metabolism is dependent on the polymorphically expressed CYP2C19 [see Clinical Pharmacology (12.5)], responsible for the formation of hydroxyomeprazole, the major metabolite in plasma. The remaining part is dependent on another specific isoform, CYP3A4, responsible for the formation of omeprazole sulphone.



The mean plasma omeprazole half-life following administration of omeprazole and sodium bicarbonate for oral suspension in healthy subjects is approximately 1 hour (range 0.4 to 4.2 hours), and the total body clearance is 500 to 600 mL/min.



Excretion

Following single-dose oral administration of a buffered solution of omeprazole, the majority of the dose (about 77%) is eliminated in urine as at least six metabolites. Two metabolites have been identified as hydroxyomeprazole and the corresponding carboxylic acid. The remainder of the dose was recoverable in feces. This implies a significant biliary excretion of the metabolites of omeprazole. Three metabolites have been identified in plasma – the sulfide and sulfone derivatives of omeprazole, and hydroxyomeprazole. These metabolites have very little or no antisecretory activity.



Specific Populations

Geriatric Patients

The elimination rate of omeprazole was somewhat decreased in the elderly, and bioavailability was increased. Omeprazole was 76% bioavailable when a single 40 mg oral dose of omeprazole (buffered solution) was administered to healthy elderly subjects versus 58% in young subjects given the same dose. Nearly 70% of the dose was recovered in urine as metabolites of omeprazole, and no unchanged drug was detected. The plasma clearance of omeprazole was 250 mL/min (about half that of young subjects), and its plasma half-life averaged one hour, similar to that of young healthy subjects.



Male and Female Patients

There are no known differences in the absorption or excretion of omeprazole between males and females.



Racial or Ethnic Groups

[see Clinical Pharmacology (12.5)]



Patients with Renal Impairment

In patients with chronic renal impairment (creatinine clearance between 10 and 62 mL/min/1.73 m2), the disposition of omeprazole was very similar to that in healthy subjects, although there was a slight increase in bioavailability. Because urinary excretion is a primary route of excretion of omeprazole metabolites, their elimination slowed in proportion to the decreased creatinine clearance. This increase in bioavailability is not considered to be clinically meaningful.



Patients with Hepatic Impairment

In patients with chronic hepatic disease classified as Child-Pugh Class A (n=3), B (n=4) and C (n=1), the bioavailability of omeprazole increased to approximately 100% compared to healthy subjects, reflecting decreased first-pass effect, and the plasma half-life of the drug increased to nearly 3 hours compared to the in healthy subjects of 0.5 to 1 hour. Plasma clearance averaged 70 mL/min, compared to a value of 500 to 600 mL/min in healthy subjects [see Use in Specific Populations (8.6)].



Drug Interactions Studies

Effect of Omeprazole on Other Drugs

Omeprazole is a time-dependent inhibitor of CYP2C19 and can increase the systemic exposure of co-administered drugs that are CYP2C19 substrates. In addition, administration of omeprazole increases intragastric pH and can alter the systemic exposure of certain drugs that exhibit pH-dependent solubility [see Drug Interactions (7)].



Antiretrovirals

For some antiretroviral drugs, such as rilpivirine, atazanavir and nelfinavir, decreased serum concentrations have been reported when given together with omeprazole [see Drug Interactions (7)].



Rilpivirine: Following multiple doses of rilpivirine (150 mg, daily) and omeprazole (20 mg, daily), AUC was decreased by 40%, Cmax by 40%, and Cmin by 33% for rilpivirine.



Nelfinavir: Following multiple doses of nelfinavir (1250 mg, twice daily) and omeprazole (40 mg daily), AUC was decreased by 36% and 92%, Cmax by 37% and 89% and Cmin by 39% and 75% respectively for nelfinavir and M8.



Atazanavir: Following multiple doses of atazanavir (400 mg, daily) and omeprazole (40 mg, daily, 2 hours before atazanavir), AUC was decreased by 94%, Cmax by 96%, and Cmin by 95%.



Saquinavir: Following multiple dosing of saquinavir/ritonavir (1000/100 mg) twice daily for 15 days with omeprazole 40 mg daily co-administered days 11 to 15.



AUC was increased by 82%, Cmax by 75%, and Cmin by 106%. The mechanism behind this interaction is not fully elucidated. Therefore, clinical and laboratory monitoring for saquinavir toxicity is recommended during concurrent use with PRILOSEC.



Clopidogrel

In a crossover clinical study, 72 healthy subjects were administered clopidogrel (300 mg loading dose followed by 75 mg per day) alone and with omeprazole (80 mg at the same time as clopidogrel) for 5 days. The exposure to the active metabolite of clopidogrel was decreased by 46% (Day 1) and 42% (Day 5) when clopidogrel and omeprazole were administered together.



Results from another crossover study in healthy subjects showed a similar pharmacokinetic interaction between clopidogrel (300 mg loading dose/75 mg daily maintenance dose) and omeprazole 80 mg daily when coadministered for 30 days. Exposure to the active metabolite of clopidogrel was reduced by 41% to 46% over this time period.



In another study, 72 healthy subjects were given the same doses of clopidogrel and 80 mg omeprazole, but the drugs were administered 12 hours apart; the results were similar, indicating that administering clopidogrel and omeprazole at different times does not prevent their interaction [see Warnings and Precautions (5.7) and Drug Interactions (7)].



Mycophenolate Mofetil

Administration of omeprazole 20 mg twice daily for 4 days and a single 1000 mg dose of MMF approximately one hour after the last dose of omeprazole to 12 healthy subjects in a crossover study resulted in a 52% reduction in the Cmax and 23% reduction in the AUC of MPA [see Drug Interactions (7)].



Cilostazol

Omeprazole acts as an inhibitor of CYP2C19. Omeprazole, given in doses of 40 mg daily for one week to 20 healthy subjects in crossover study, increased Cmax and AUC of cilostazol by 18% and 26% respectively. The Cmax and AUC of one of the active metabolites, 3,4-dihydro-cilostazol, which has 4 to 7 times the activity of cilostazol, were increased by 29% and 69%, respectively. Co-administration of cilostazol with omeprazole is expected to increase concentrations of cilostazol and the above mentioned active metabolite [see Drug Interactions (7)].



Diazepam

Concomitant administration of omeprazole 20 mg once daily and diazepam 0.1 mg/kg given intravenously resulted in 27% decrease in clearance and 36% increase in diazepam half-life [see Drug Interactions (7)].



Digoxin

Concomitant administration of omeprazole 20 mg once daily and digoxin in healthy subjects increased the bioavailability of digoxin by 10% (30% in two subjects) [see Drug Interactions (7)].



Effect of Other Drugs on Omeprazole

Voriconazole

Concomitant administration of omeprazole and voriconazole (a combined inhibitor of CYP2C19 and CYP3A4) resulted in more than doubling of the omeprazole exposure. When voriconazole (400 mg every 12 hours for one day, followed by 200 mg once daily for 6 days) was given with omeprazole (40 mg once daily for 7 days) to healthy subjects, the steady-state Cmax and AUC0-24 of omeprazole significantly increased: an average of 2 times (90% CI: 1.8, 2.6) and 4 times (90% CI:3.3, 4.4), respectively, as compared to when omeprazole was given without voriconazole [see Drug Interactions (7)].

12.5 Pharmacogenomics

CYP2C19, a polymorphic enzyme, is involved in the metabolism of omeprazole. The CYP2C19*1 allele is fully functional while the CYP2C19*2 and *3 alleles are nonfunctional. There are other alleles associated with no or reduced enzymatic function. Patients carrying two fully functional alleles are extensive metabolizers and those carrying two loss-of-function alleles are poor metabolizers. In extensive metabolizers, omeprazole is primarily metabolized by CYP2C19. The systemic exposure to omeprazole varies with a patient’s metabolism status: poor metabolizers > intermediate metabolizers > extensive metabolizers. Approximately 3% of Caucasians and 15 to 20% of Asians are CYP2C19 poor metabolizers.



In pharmacokinetic studies of single 20 mg omeprazole dose, the AUC of omeprazole in Asian subjects was approximately four-fold of that in Caucasians [see Use in Specific Populations (8.7)].

14.3 Symptomatic Gerd (14.3 Symptomatic GERD)

A placebo-controlled study was conducted in Scandinavia to compare the efficacy of omeprazole 20 mg or 10 mg once daily for up to 4 weeks in the treatment of heartburn and other symptoms in GERD patients without EE. Results are shown in Table 16.



Table 16: % Successful Symptomatic Outcome 1

 

Omeprazole

20 mg a.m.

Omeprazole

10 mg a.m.

Placebo

a.m.

All Patients

462,3

(n = 205)

313

(n = 199)

13

(n = 105)

Patients with Confirmed GERD

562,3

(n = 115)

363

(n = 109)

14

(n = 59)

1. Defined as complete resolution of heartburn

2. (p < 0.005) versus 10 mg

3. (p < 0.005) versus placebo

8.6 Hepatic Impairment

In patients with hepatic impairment (Child-Pugh Class A, B, or C) exposure to omeprazole substantially increased compared to healthy subjects. Avoid use of omeprazole and sodium bicarbonate in patients with hepatic impairment for maintenance of healing of erosive esophagitis [see Clinical Pharmacology (12.3)].

12.1 Mechanism of Action

Omeprazole belongs to a class of antisecretory compounds, the substituted benzimidazoles, that suppress gastric acid secretion by specific inhibition of the H+/K+ ATPase enzyme system at the secretory surface of the gastric parietal cell. Because this enzyme system is regarded as the acid (proton) pump within the gastric mucosa, omeprazole has been characterized as a gastric acid-pump inhibitor, in that it blocks the final step of acid production. This effect is dose related and leads to inhibition of both basal and stimulated acid secretion irrespective of the stimulus.

5.14 Fundic Gland Polyps

PPI use is associated with an increased risk of fundic gland polyps that increases with long-term use, especially beyond one year. Most PPIs users who developed fundic gland polyps were asymptomatic and fundic gland polyps were identified incidentally on endoscopy. Use the shortest duration of PPI therapy appropriate to the condition being treated.

2 Dosage & Administration (2 DOSAGE & ADMINISTRATION)


Indication

Recommended Adult Dosage

Omeprazole and Sodium Bicarbonate for oral suspension

Active Duodenal Ulcer

20 mg once daily for 4 weeks; some patients may require an additional 4 weeks

Active Benign Gastric Ulcer

40 mg once daily for 4 to 8 weeks

Treatment of Symptomatic GERD

20 mg once daily for up to 4 weeks

Treatment of EE due to Acid-Mediated GERD

20 mg once daily for 4 to 8 weeks*

Maintenance of Healing of EE due to Acid-Mediated GERD

20 mg once daily**

40 mg Omeprazole and Sodium Bicarbonate for oral suspension

Reduction of Risk of Upper GI Bleeding in Critically Ill Patients

40 mg initially followed by 40 mg 6 to 8 hours later and 40 mg once daily thereafter for 14 days

*an additional 4 weeks of treatment may be given if no response; if recurrence, additional 4 to 8-week courses may be considered.

**studied for 12 months.

14.1 Active Duodenal Ulcer

In a multicenter, double-blind, placebo-controlled study of 147 patients with endoscopically documented duodenal ulcer, the percentage of patients healed (per protocol) at 2 and 4 weeks was significantly higher with omeprazole delayed-release capsules 20 mg once a day than with placebo (p ≤ 0.01) (See Table 11).



Table 11: Treatment of Active Duodenal Ulcer

% of Patients Healed

 

Omeprazole

20 mg a.m.

(n = 99)

Placebo

a.m.

(n = 48)

Week 2

411

13

Week 4

751

27

1. (p ≤ 0.01)



Complete daytime and nighttime pain relief occurred significantly faster (p ≤ 0.01) in patients treated with omeprazole 20 mg than in patients treated with placebo. At the end of the study, significantly more patients who had received omeprazole had complete relief of daytime pain (p ≤ 0.05) and nighttime pain (p ≤ 0.01).



In a multicenter, double-blind study of 293 patients with endoscopically documented duodenal ulcer, the percentage of patients healed (per protocol) at 4 weeks was significantly higher with omeprazole 20 mg once a day than with ranitidine 150 mg twice daily (p < 0.01) (See Table 12).



Table 12: Treatment of Active Duodenal Ulcer % of Patients Healed

 

Omeprazole

20 mg a.m.

(n = 145)

Ranitidine

150 mg twice daily

(n = 148)

Week 2

42

34

Week 4

821

63

1. (p < 0.01)



Healing occurred significantly faster in patients treated with omeprazole than in those treated with ranitidine 150 mg twice daily (p < 0.01).



In a foreign multinational randomized, double-blind study of 105 patients with endoscopically documented duodenal ulcer, 40 mg and 20 mg of omeprazole were compared to 150 mg twice daily of ranitidine at 2, 4 and 8 weeks. At 2 and 4 weeks both doses of omeprazole were statistically superior (per protocol) to ranitidine, but 40 mg was not superior to 20 mg of omeprazole, and at 8 weeks there was no significant difference between any of the active drugs. (See Table 13.)



Table 13: Treatment of Active Duodenal Ulcer % of Patients Healed

 

Omeprazole

Ranitidine

150 mg twice daily

(n = 35)

 

40 mg

(n = 36)

20 mg

(n = 34)

Week 2

831

831

53

Week 4

1001

971

82

Week 8

100

100

94

1. (p ≤ 0.01)



3 Dosage Forms & Strengths (3 DOSAGE FORMS & STRENGTHS)

Omeprazole and sodium bicarbonate is available as:

For Oral Suspension

  • 20 mg: white to off-white, flavored powder packaged in unit-dose packets. Each packet contains 20 mg omeprazole and 1,680 mg sodium bicarbonate.
  • 40 mg: white to off-white, flavored powder packaged in unit-dose packets. Each packet contains 40 mg omeprazole and 1,680 mg sodium bicarbonate. 
5 Warnings and Precautions (5 WARNINGS AND PRECAUTIONS)
  • Gastric Malignancy: In adults, symptomatic response does not preclude the presence of gastric malignancy. Consider additional follow-up and diagnostic testing. (5.1)
  • Acute Tubulointerstitial Nephritis: Discontinue treatment and evaluate patients. (5.2)
  • Sodium Bicarbonate Buffer Content: Take sodium content into consideration in patients on a sodium-restricted diet. Avoid in patients with Bartter’s syndrome, hypokalemia, hypocalcemia, and problems with acid-base balance. (5.3)
  • Clostridium difficile-Associated Diarrhea: PPI therapy may be associated with increased risk. (5.4)
  • Bone Fracture: Long-term and multiple daily dose PPI therapy may be associated with an increased risk for osteoporosis-related fractures of the hip, wrist, or spine. (5.5)
  • Severe Cutaneous Adverse Reactions: Discontinue at the first signs or symptoms of severe cutaneous adverse reactions or other signs of hypersensitivity and consider further evaluation. (5.6)
  • Cutaneous and Systemic Lupus Erythematosus: Mostly cutaneous; new onset or exacerbation of existing disease; discontinue omeprazole and sodium bicarbonate and refer to specialist for evaluation. (5.7)
  • Interaction with Clopidogrel: Avoid concomitant use of omeprazole and sodium bicarbonate. (5.8)
  • Cyanocobalamin (Vitamin B-12) Deficiency: Daily long-term use (e.g., longer than 3 years) may lead to malabsorption or a deficiency of cyanocobalamin. (5.9)
  • Hypomagnesemia and Mineral Metabolism: Reported rarely with prolonged treatment with PPIs. (5.10)
  • Interaction with St. John’s wort or Rifampin: Avoid concomitant use of omeprazole and sodium bicarbonate. (5.11, 7)
  • Interactions with Diagnostic Investigations for Neuroendocrine Tumors: Increased Chromogranin A (CgA) levels may interfere with diagnostic investigations for neuroendocrine tumors; temporarily stop omeprazole and sodium bicarbonate at least 14 days before assessing CgA levels. (5.12)
  • Interaction with Methotrexate: Concomitant use with PPIs may elevate and/or prolong serum concentrations of methotrexate and/or its metabolite, possibly leading to toxicity. With high dose methotrexate administration, consider a temporary withdrawal of omeprazole and sodium bicarbonate. (5.13, 7)
  • Fundic Gland Polyps: Risk increases with long-term use, especially beyond one year. Use the shortest duration of therapy. (5.14)
6.2 Postmarketing Experience

The following adverse reactions have been identified during post-approval use of omeprazole and sodium bicarbonate. Because these reactions are reported voluntarily from a population of uncertain size, it is not always possible to reliably estimate their frequency or establish a causal relationship to drug exposure.



Omeprazole

Body as a Whole: Hypersensitivity reactions, including anaphylaxis, anaphylactic shock, angioedema, bronchospasm, urticaria (see also Skin below), fever, pain, fatigue, malaise, and systemic lupus erythematosus.



Cardiovascular: Chest pain or angina, tachycardia, bradycardia, palpitation, elevated blood pressure, and peripheral edema.



Gastrointestinal: Pancreatitis (some fatal), anorexia, irritable colon, flatulence, fecal discoloration, esophageal candidiasis, mucosal atrophy of the tongue, dry mouth, stomatitis, abdominal swelling and fundic gland polyps. Gastroduodenal carcinoids have been reported in patients with Zollinger-Ellison syndrome on long-term treatment with omeprazole. This finding is believed to be a manifestation of the underlying condition, which is known to be associated with such tumors.



Hepatic: Mild and, rarely, marked elevations of liver function tests [ALT (SGPT), AST (SGOT), ᵞ-glutamyl transpeptidase, alkaline phosphatase, and bilirubin (jaundice)]. In rare instances, overt liver disease has occurred, including hepatocellular, cholestatic, or mixed hepatitis, liver necrosis (some fatal), hepatic failure (some fatal), and hepatic encephalopathy.



Infections and Infestations: Clostridium difficile-associated diarrhea.



Metabolism and Nutritional Disorders: Hypomagnesemia, hypocalcemia, hypokalemia [see Warnings and Precautions (5.10)], hyponatremia, hypoglycemia, and weight gain.



Musculoskeletal: Muscle cramps, myalgia, muscle weakness, joint pain, bone fracture, and leg pain.



Nervous System/Psychiatric: Psychic disturbances including depression, agitation, aggression, hallucinations, confusion, insomnia, nervousness, tremors, apathy, somnolence, anxiety, dream abnormalities; vertigo; paresthesia; and hemifacial dysesthesia.



Respiratory: Epistaxis, pharyngeal pain. Skin: Severe generalized skin reactions including TEN (some fatal), SJS, DRESS, AGEP, cutaneous lupus erythematosus and erythema multiforme (some severe); purpura and/or petechiae (some with rechallenge); skin inflammation, urticaria, angioedema, pruritus, photosensitivity, alopecia, dry skin, and hyperhidrosis.



Special Senses: Tinnitus, taste perversion.



Ocular: Blurred vision, ocular irritation, dry eye syndrome, optic atrophy, anterior ischemic optic neuropathy, optic neuritis, and double vision. Urogenital: Tubulointerstitial nephritis, urinary tract infection, microscopic pyuria, urinary frequency, elevated serum creatinine, proteinuria, hematuria, glycosuria, testicular pain, gynecomastia, and erectile dysfunction



Hematologic: Rare instances of pancytopenia, agranulocytosis (some fatal), thrombocytopenia, neutropenia, leukopenia, anemia, leukocytosis, and hemolytic anemia have been reported.



Sodium Bicarbonate

Metabolic alkalosis, seizures, and tetany.

8 Use in Specific Populations (8 USE IN SPECIFIC POPULATIONS)

Hepatic Impairment and Asian Patients: Avoid use for maintenance of healing of erosive esophagitis. (8.6, 8.7)

6.1 Clinical Trials Experience

Because clinical trials are conducted under widely varying conditions, adverse reaction rates observed in the clinical trials of a drug cannot be directly compared to rates in the clinical trials of another drug and may not reflect the rates observed in practice.



The safety of omeprazole and sodium bicarbonate has been established, in part, based on oral studies of an oral delayed-release omeprazole product.



Clinical Trials with Omeprazole

In the U.S. clinical trial population of 465 adult patients, the adverse reactions summarized in Table 3 were reported to occur in 1% or more of patients on therapy with omeprazole.



Table 3: Adverse Reactions Occurring in 1% or More of Adult Patients in US Clinical Trials of Omeprazole Therapy

 

Omeprazole

%

(n = 465)

Placebo

%

(n = 64)

Ranitidine

%

(n = 195)

Headache

7

6

8

Diarrhea

3

3

2

Abdominal Pain

2

3

3

Nausea

2

3

4

Upper Respiratory Infection (URI)

2

2

3

Dizziness

2

0

3

Vomiting

2

5

2

Rash

2

0

0

Constipation

1

0

0

Cough

1

0

2

Asthenia

1

2

2

Back Pain

1

0

1



Table 4 summarizes the adverse reactions that occurred in 1% or more of omeprazole-treated patients from international double-blind and open-label clinical trials in which 2,631 patients and subjects received omeprazole.



Table 4: Adverse Reactions Occurring in 1% or More of Adult Patients in International Clinical Trials of Omeprazole Therapy

 

Omeprazole

%

(N = 2631)

Placebo

%

(N = 120)

Abdominal Pain

5.2

3.3

Nausea

4.0

6.7

Diarrhea

3.7

2.5

Vomiting

3.2

10.0

Headache

2.9

2.5

Flatulence

2.7

5.8

Acid Regurgitation

1.9

3.3

Constipation

1.5

0.8

Asthenia

1.3

0.8



Clinical Trial of 40 mg Omeprazole and Sodium Bicarbonate for Oral Suspension

Adverse reactions reported in at least 3% of critically ill adult patients in a clinical trial of 40 mg omeprazole and sodium bicarbonate for oral suspension compared to intravenous cimetidine for up to 14 days are presented in Table 5.



Table 5: Common Adverse Reactions1 by Body System and Preferred Term in a Randomized Controlled Trial of Critically Ill Adult Patients Treated up to 14 Days

Body System

Preferred Term

Omeprazole and sodium bicarbonate 40 mg for oral suspension once daily

%

(N=178)

Intravenous Cimetidine

1,200 mg per day

%

(N=181)

Blood and Lymphatic System Disorders

Anemia NOS

7.9

7.7

Anemia NOS Aggravated

2.2

3.9

Thrombocytopenia

10.1

6.1

Cardiac Disorders

Atrial Fibrillation

6.2

3.9

Bradycardia NOS

3.9

2.8

Supraventricular Tachycardia

3.4

1.1

Tachycardia NOS

3.4

3.3

Ventricular Tachycardia

4.5

3.3

Gastrointestinal Disorders2

Constipation

4.5

4.4

Diarrhea NOS

3.9

8.3

Gastric Hypomotility

1.7

3.3

General Disorders and Administration Site Conditions

Hyperpyrexia

4.5

1.7

Edema NOS

2.8

6.1

Pyrexia

20.2

16.0

Infections and Infestations

Candidal Infection NOS

1.7

3.9

Oral Candidiasis

3.9

0.6

Sepsis NOS

5.1

5.0

Urinary Tract Infection

2.2

3.3

Investigations

 

 

Liver Function Tests NOS Abnormal

1.7

3.3

Metabolism and Nutrition Disorders

Fluid Overload

5.1

7.7

Hyperglycemia NOS

10.7

11.6

Hyperkalemia

2.2

3.3

Hypernatremia

1.7

5.0

Hypocalcemia

6.2

5.5

Hypoglycemia NOS

3.4

4.4

Hypokalemia

12.4

13.3

Hypomagnesemia

10.1

9.9

Hyponatremia

3.9

2.8

Hypophosphatemia

6.2

3.9

Psychiatric Disorders

 

 

Agitation

3.4

8.8

Respiratory, Thoracic and Mediastinal Disorders

Acute Respiratory Distress Syndrome

3.4

3.9

Nosocomial Pneumonia

11.2

9.4

Pneumothorax NOS

0.6

4.4

Respiratory Failure

1.7

3.3

Skin and Subcutaneous Tissue Disorders

Decubitus Ulcer

3.4

2.8

Rash NOS

5.6

6.1

Vascular Disorders

Hypertension NOS

7.9

3.3

Hypotension NOS

9.6

6.6

NOS = not otherwise specified

1reported in at least 3% of patients in either treatment group.

2 In this trial, clinically significant upper gastrointestinal bleeding was considered a serious adverse reaction, but it is not included in this table.

14.2 Active Benign Gastric Ulcer

In a U.S. multicenter, double-blind study of omeprazole 40 mg once a day, 20 mg once a day, and placebo in 520 patients with endoscopically diagnosed gastric ulcer, the following results were obtained. (See Table 14.)



Table 14: Treatment of Gastric Ulcer % of Patients Healed (All Patients Treated)

 

Omeprazole

40 mg once daily

(n = 214)

Omeprazole

20 mg once daily

(n = 202)

Placebo

(n = 104)

Week 4

55.61

47.51

30.8

Week 8

82.71,2

74.81

48.1

1. (p < 0.01) omeprazole 40 mg or 20 mg versus placebo

2. (p < 0.05) omeprazole 40 mg versus 20 mg



For the stratified groups of patients with ulcer size less than or equal to 1 cm, no difference in healing rates between 40 mg and 20 mg was detected at either 4 or 8 weeks. For patients with ulcer size greater than 1 cm, 40 mg was significantly more effective than 20 mg at 8 weeks.



In a foreign, multinational, double-blind study of 602 patients with endoscopically diagnosed gastric ulcer, omeprazole 40 mg once a day, 20 mg once a day, and ranitidine 150 mg twice a day were evaluated. (See Table 15.)



Table 15: Treatment of Gastric Ulcer % of Patients Healed (All Patients Treated)

 

Omeprazole

40 mg once daily

(n = 187)

Omeprazole

20 mg once daily

(n = 200)

Ranitidine

150 mg twice daily

(n = 199)

Week 4

78.11,2

63.5

56.3

Week 8

91.41,2

81.5

78.4

1. (p < 0.01) omeprazole 40 mg versus ranitidine

2. (p < 0.01) omeprazole 40 mg versus 20 mg

5.8 Interaction With Clopidogrel (5.8 Interaction with Clopidogrel)

Avoid concomitant use of omeprazole and sodium bicarbonate with clopidogrel. Clopidogrel is a prodrug. Inhibition of platelet aggregation by clopidogrel is entirely due to an active metabolite. The metabolism of clopidogrel to its active metabolite can be impaired by use with concomitant medications, such as omeprazole, that interfere with CYP2C19 activity. Concomitant use of clopidogrel with 80 mg omeprazole reduces the pharmacological activity of clopidogrel, even when administered 12 hours apart. When using omeprazole and sodium bicarbonate, consider alternative antiplatelet therapy [see Drug Interactions (7) and Clinical Pharmacology (12.3)].

14.4 Ee Due to Acid Mediated Gerd (14.4 EE Due to Acid-Mediated GERD)

In a U.S. multicenter, double-blind, placebo-controlled study of 40 mg or 20 mg of omeprazole delayed-release capsules in patients with symptoms of GERD and endoscopically diagnosed erosive esophagitis of grade 2 or above, the percentage healing rates (per protocol) were as shown in Table 17.



Table 17: % Patients Healed

 

Omeprazole

40 mg

(n = 87)

Omeprazole

20 mg

(n = 83)

Placebo

(n = 43)

Week 4

451

391

7

Week 8

751

741

14

1. (p < 0.01) omeprazole versus placebo.



In this study, the 40 mg dose was not superior to the 20 mg dose of omeprazole in the percentage healing rate. Other controlled clinical trials have also shown that omeprazole is effective in severe GERD. In comparisons with histamine H2-receptor antagonists in patients with erosive esophagitis, grade 2 or above, omeprazole in a dose of 20 mg was significantly more effective than the active controls. Complete daytime and nighttime heartburn relief occurred significantly faster (p < 0.01) in patients treated with omeprazole than in those taking placebo or histamine H2-receptor antagonists.



In this and five other controlled GERD studies, significantly more patients taking 20 mg omeprazole (84%) reported complete relief of GERD symptoms than patients receiving placebo (12%).

17 Patient Counseling Information (17 PATIENT COUNSELING INFORMATION)

Advise the patient to read the FDA-approved patient labeling (Medication Guide).



Acute Tubulointerstitial Nephritis

Advise the patient to call their healthcare provider immediately if they experience signs and/or symptoms associated with acute tubulointerstitial nephritis [see Warnings and Precautions (5.2)].



Sodium Bicarbonate Buffer Content

Inform patients on a sodium-restricted diet or patients at risk of developing congestive heart failure of the sodium content of omeprazole and sodium bicarbonate for oral suspension (460 mg per packet).



Advise patients that:

  • chronic use of bicarbonate with calcium or milk can cause milk-alkali syndrome
  • chronic use of sodium bicarbonate may systemic alkalosis
  • increased sodium intake can cause swelling and weight gain.


If any of these occur, instruct patients to contact their healthcare provider [see Warnings and Precautions (5.3)].



Clostridium difficile -Associated Diarrhea

Advise the patient to immediately call their healthcare provider if they experience diarrhea that does not improve [see Warnings and Precautions (5.4)].

Bone Fracture

Advise the patient to report any fractures, especially of the hip, wrist or spine, to their healthcare provider [see Warnings and Precautions (5.5)].



Severe Cutaneous Adverse Reactions

Advise the patient to discontinue omeprazole and sodium bicarbonate and immediately call their healthcare provider at first appearance of a severe cutaneous adverse reaction or other sign of hypersensitivity [see Warnings and Precautions (5.6)].



Cutaneous and Systemic Lupus Erythematosus

Advise the patient to immediately call their healthcare provider for any new or worsening of symptoms associated with cutaneous or systemic lupus erythematosus [see Warnings and Precautions (5.7)].



Cyanocobalamin (Vitamin B-12) Deficiency

Advise the patient to report any clinical symptoms that may be associated with cyanocobalamin deficiency to their healthcare provider if they have been receiving omeprazole and sodium bicarbonate for longer than 3 years [see Warnings and Precautions (5.9)].



Hypomagnesemia and Mineral Metabolism

Advise the patient to report any clinical symptoms that may be associated with hypomagnesemia, hypocalcemia, and/or hypokalemia to their healthcare provider, if they have been receiving omeprazole and sodium bicarbonate for at least 3 months [see Warnings and Precautions (5.10)].



Drug Interactions

Advise patients to report to their healthcare provider if they start treatment with rilpivirine-containing products, clopidogrel, St. John’s wort or rifampin, or if they take high-dose methotrexate [see Contraindications (4) and Warnings and Precautions (5.8, 5.11, 5.13)].



Administration

Instruct patients not to substitute:

  • Two packets of 20 mg omeprazole and sodium bicarbonate for oral suspension with one packet of 40 mg omeprazole and sodium bicarbonate for oral suspension.


 Administration of Omeprazole and Sodium Bicarbonate for Oral Suspension

  • Advise patients that omeprazole and sodium bicarbonate for oral suspension is intended to be mixed with water and administered orally or via a nasogastric (NG)/orogastric (OG) tube, as described in the Medication Guide.
  • Instruct patients to suspend enteral feeding approximately 3 hours before and 1 hour after administration of omeprazole and sodium bicarbonate for oral suspension [see Dosage and Administration (2.3)].


All trademarks are the property of their respective owners.



Distributed by:

ANI Pharmaceuticals, Inc.

Baudette, MN 56623



Issued: 01/2025

LB4661-00

2.3 Preparation and Administration

Omeprazole and Sodium Bicarbonate for Oral Suspension

  • Omeprazole and sodium bicarbonate for oral suspension is intended to be mixed with water and administered orally or via a nasogastric (NG) or orogastric (OG) tube.
  • If administered orally, take on an empty stomach at least one hour before a meal.
  • If administered via NG or OG tube, suspend enteral feeding approximately 3 hours before and 1 hour after administration of omeprazole and sodium bicarbonate for oral suspension.


Oral Administration

  • Empty the contents of a packet into a small cup containing 5 to 10 mL of water. Do not mix with liquids or foods other than water.
  • Stir well and drink immediately.
  • Refill cup with water and drink immediately.


Nasogastric (NG) or Orogastric (OG) Tube Administration

  • Add 20 mL of water to a catheter tipped syringe and then add the contents of a packet. Use an appropriately-sized catheter tipped syringe. Do not mix with liquids or foods other than water.
  • Shake the syringe to dissolve the powder.
  • Administer through the NG or orogastric tube into the stomach right away.
  • Refill the syringe with an equal amount of water.
  • Shake and flush any remaining contents from the NG tube or orogastric tube into the stomach.
5.1 Presence of Gastric Malignancy

In adults, symptomatic response to therapy with omeprazole and sodium bicarbonate does not preclude the presence of gastric malignancy. Consider additional follow-up and diagnostic testing in adult patients who have a suboptimal response or an early symptomatic relapse after completing treatment with a proton pump inhibitor (PPI). In older patients, also consider an endoscopy.

5.13 Interaction With Methotrexate (5.13 Interaction with Methotrexate)

Literature suggests that concomitant use of PPIs with methotrexate (primarily at high dose) may elevate and prolong serum levels of methotrexate and/or its metabolite, possibly leading to methotrexate toxicities. In high-dose methotrexate administration, a temporary withdrawal of the PPI may be considered in some patients [see Drug Interactions (7)].

16 How Supplied/storage and Handling (16 HOW SUPPLIED/STORAGE AND HANDLING)

Omeprazole and sodium bicarbonate is supplied as:

Omeprazole and Sodium Bicarbonate for Oral Suspension

NDC

Strength

Quantity

Description

70954-797-20

20 mg omeprazole and 1,680 mg sodium bicarbonate

Cartons of 30 unit-dose packets

White to off-white, flavored powder packaged in unit-dose packets

70954-798-20

40 mg omeprazole and 1,680 mg sodium bicarbonate

Cartons of 30 unit-dose packets

White to off-white, flavored powder packaged in unit-dose packets.



Storage

Store at 20° to 25°C (68° to 77°F); excursions permitted to 15° to 30°C (59° to 86°F) [see USP Controlled Room Temperature].



Protect from light and moisture.

5.3 Sodium Bicarbonate Buffer Content

Each 20 mg and 40 mg packet of omeprazole and sodium bicarbonate for oral suspension contains 1,680 mg (20 mEq) of sodium bicarbonate. The total content of sodium in each packet is 460 mg.



Chronic administration of bicarbonate with calcium or milk can cause milk-alkali syndrome. Chronic use of sodium bicarbonate may lead to systemic alkalosis, and increased sodium intake can produce edema and weight gain.



The sodium content of omeprazole and sodium bicarbonate products should be taken into consideration when administering to patients on a sodium-restricted diet or those at risk for developing congestive heart failure.



Avoid omeprazole and sodium bicarbonate in patients with Bartter’s syndrome, hypokalemia, hypocalcemia, and problems with acid-base balance.

Package Label.principal Display Panel (PACKAGE LABEL.PRINCIPAL DISPLAY PANEL)

Omeprazole and Sodium Bicarbonate For Oral Suspension, 20 mg/1680 mg 





 

Omeprazole and Sodium Bicarbonate For Oral Suspension, 40 mg/1680 mg







5.2 Acute Tubulointerstitial Nephritis

Acute tubulointerstitial nephritis (TIN) has been observed in patients taking PPIs and may occur at any point during PPI therapy. Patients may present with varying signs and symptoms from symptomatic hypersensitivity reactions to non-specific symptoms of decreased renal function (e.g., malaise, nausea and anorexia). In reported case series, some patients were diagnosed on biopsy and in the absence of extra-renal manifestations (e.g., fever, rash or arthralgia).



Discontinue omeprazole and sodium bicarbonate and evaluate patients with suspected acute TIN [see Contraindications (4)].

5.6 Severe Cutaneous Adverse Reactions

Severe cutaneous adverse reactions, including Stevens-Johnson syndrome (SJS) and toxic epidermal necrolysis (TEN), drug reaction with eosinophilia and systemic symptoms (DRESS), and acute generalized exanthematous pustulosis (AGEP) have been reported in association with the use of PPIs [see Adverse Reactions (6.2)]. Discontinue omeprazole and sodium bicarbonate at the first signs or symptoms of severe cutaneous adverse reactions or other signs of hypersensitivity and consider further evaluation.

2.1 Important Administration Instructions
  • Omeprazole and sodium bicarbonate is available as a powder for oral suspension in 20 mg and 40 mg strengths of omeprazole for adult use. All recommended doses throughout the labeling are based upon omeprazole.
  • The sodium content of omeprazole and sodium bicarbonate for oral suspension should be taken into consideration when prescribing this product [see Warnings and Precautions (5.3)]:
    •  Omeprazole and sodium bicarbonate for oral suspension: each 20 mg and 40 mg packet of contains 1,680 mg (20 mEq) of sodium bicarbonate. The total content of sodium in each packet is 460 mg.


Due to the sodium bicarbonate content of omeprazole and sodium bicarbonate for oral suspension:

  • Do not substitute two packets of 20 mg omeprazole and sodium bicarbonate for oral suspension with one packet of 40 mg omeprazole and sodium bicarbonate for oral suspension.
5.10 Hypomagnesemia and Mineral Metabolism

Hypomagnesemia, symptomatic and asymptomatic, has been reported rarely in patients treated with PPIs for at least three months, in most cases after a year of therapy. Serious adverse events include tetany, arrhythmias, and seizures. Hypomagnesemia may lead to hypocalcemia and/or hypokalemia and may exacerbate underlying hypocalcemia in at-risk patients. In most patients, treatment of hypomagnesemia required magnesium replacement and discontinuation of the PPI.



For patients expected to be on prolonged treatment or who take PPIs with medications such as digoxin or drugs that may cause hypomagnesemia (e.g., diuretics), health care professionals may consider monitoring magnesium levels prior to initiation of PPI treatment and periodically [see Adverse Reactions (6.2)].



Consider monitoring magnesium and calcium levels prior to initiation of omeprazole and sodium bicarbonate and periodically while on treatment in patients with a preexisting risk of hypocalcemia (e.g., hypoparathyroidism). Supplement with magnesium and/or calcium as necessary. If hypocalcemia is refractory to treatment, consider discontinuing the PPI.

5.9 Cyanocobalamin (vitamin B 12) Deficiency (5.9 Cyanocobalamin (Vitamin B-12) Deficiency)

Daily treatment with any acid-suppressing medications over a long period of time (e.g., longer than 3 years) may lead to malabsorption of cyanocobalamin (vitamin B-12) caused by hypo-or achlorhydria. Rare reports of cyanocobalamin deficiency occurring with acid-suppressing therapy have been reported in the literature. This diagnosis should be considered if clinical symptoms consistent with cyanocobalamin deficiency are observed in patients treated with omeprazole and sodium bicarbonate.

5.4 Clostridium Difficile Associated Diarrhea (5.4 Clostridium difficile-Associated Diarrhea)

Published observational studies suggest that PPI therapy like omeprazole and sodium bicarbonate may be associated with an increased risk of Clostridium difficile-associated diarrhea, especially in hospitalized patients. This diagnosis should be considered for diarrhea that does not improve [see Adverse Reactions (6.2)].



Patients should use the lowest dose and shortest duration of PPI therapy appropriate to the condition being treated.

5.7 Cutaneous and Systemic Lupus Erythematosus

Cutaneous lupus erythematosus (CLE) and systemic lupus erythematosus (SLE) have been reported in patients taking PPIs, including omeprazole. These events have occurred as both new onset and an exacerbation of existing autoimmune disease. The majority of PPI-induced lupus erythematosus cases were CLE.



The most common form of CLE reported in patients treated with PPIs was subacute CLE (SCLE) and occurred within weeks to years after continuous drug therapy in patients ranging from infants to the elderly. Generally, histological findings were observed without organ involvement.



Systemic lupus erythematosus (SLE) is less commonly reported than CLE in patients receiving PPIs. PPI associated SLE is usually milder than non-drug induced SLE. Onset of SLE typically occurred within days to years after initiating treatment in patients ranging from young adults to the elderly. The majority of patients presented with rash; however, arthralgia and cytopenia were also reported.



Avoid administration of PPIs for longer than medically indicated. If signs or symptoms consistent with CLE or SLE are noted in patients receiving omeprazole and sodium bicarbonate, discontinue the drug and refer the patient to the appropriate specialist for evaluation. Most patients improve with discontinuation of the PPI alone in 4 to 12 weeks. Serological testing (e.g., ANA) may be positive and elevated serological test results may take longer to resolve than clinical manifestations.

5.11 Interaction With St. John’s Wort Or Rifampin (5.11 Interaction with St. John’s wort or Rifampin)

Drugs which induce CYP2C19 or CYP3A4 (such as St. John’s wort or rifampin) can substantially decrease omeprazole concentrations [see Drug Interactions (7)]. Avoid concomitant use of omeprazole and sodium bicarbonate with St. John’s wort or rifampin.

13.1 Carcinogenesis & Mutagenesis & Impairment of Fertility (13.1 Carcinogenesis & Mutagenesis & Impairment Of Fertility)

In two 24-month carcinogenicity studies in rats, omeprazole at daily doses of 1.7, 3.4, 13.8, 44 and 140.8 mg/kg/day (approximately 0.4 to 34.2 times the human dose of 40 mg/day on a body surface area basis) produced gastric ECL cell carcinoids in a dose-related manner in both male and female rats; the incidence of this effect was markedly higher in female rats, which had higher blood levels of omeprazole. Gastric carcinoids seldom occur in the untreated rat. In addition, ECL cell hyperplasia was present in all treated groups of both sexes. In one of these studies, female rats were treated with 13.8 mg omeprazole/kg/day (approximately 3.36 times the human dose of 40 mg/day on a body surface area basis) for one year, then followed for an additional year without the drug. No carcinoids were seen in these rats. An increased incidence of treatment-related ECL cell hyperplasia was observed at the end of one year (94% treated versus 10% controls). By the second year the difference between treated and control rats was much smaller (46% versus 26%) but still showed more hyperplasia in the treated group. Gastric adenocarcinoma was seen in one rat (2%). No similar tumor was seen in male or female rats treated for two years. For this strain of rat no similar tumor has been noted historically, but a finding involving only one tumor is difficult to interpret. In a 52-week toxicity study in Sprague Dawley rats, brain astrocytomas were found in a small number of males that received omeprazole at dose levels of 0.4, 2, and 16 mg/kg/day (about 0.1 to 3.9 times the human dose of 40 mg/day on a body surface area basis). No astrocytomas were observed in female rats in this study. In a 2-year carcinogenicity study in Sprague Dawley rats, no astrocytomas were found in males and females at the high dose of 140.8 mg/kg/day (about 34 times the human dose of 40 mg/day on a body surface area basis). A 78-week mouse carcinogenicity study of omeprazole did not show increased tumor occurrence, but the study was not conclusive. A 26-week p53 (+/-) transgenic mouse carcinogenicity study was not positive.



Omeprazole was positive for clastogenic effects in an in vitro human lymphocyte chromosomal aberration assay, in one of two in vivo mouse micronucleus tests, and in an in vivo bone marrow cell chromosomal aberration assay. Omeprazole was negative in the in vitro Ames test, an in vitro mouse lymphoma cell forward mutation assay and an in vivo rat liver DNA damage assay.



In a 24-month carcinogenicity studies in rats, a dose-related significant increase in gastric carcinoid tumors and ECL cell hyperplasia was observed in both male and female animals. Carcinoid tumors have also been observed in rats subjected to fundectomy or long-term treatment with other PPIs or high doses of H2-receptor antagonists.



Omeprazole at oral doses up to 138 mg/kg/day (about 33.6 times the human dose of 40 mg/day on a body surface area basis) was found to have no effect on the fertility and general reproductive performance in rats.

14.5 Maintenance of Healing of Ee Due to Acid Mediated Gerd (14.5 Maintenance of Healing of EE Due to Acid-Mediated GERD)

In a U.S. double-blind, randomized, multicenter, placebo-controlled study; two dose regimens of omeprazole were studied in patients with endoscopically confirmed healed esophagitis. Results to determine maintenance of healing of erosive esophagitis are shown in Table 18.



Table 18: Life Table Analysis

 

Omeprazole

20 mg once daily

(n = 138)

Omeprazole

20 mg 3 days per week

(n = 137)

Placebo

(n = 131)

Percent in Endoscopic Remission at 6 Months

70 1

34

11

1. (p < 0.01) omeprazole 20 mg once daily versus omeprazole 20 mg 3 consecutive days per week or placebo.



In an international, multicenter, double-blind study, omeprazole 20 mg daily and 10 mg daily were compared to ranitidine 150 mg twice daily in patients with endoscopically confirmed healed esophagitis. Table 19 provides the results of this study for maintenance of healing of EE.



Table 19: Life Table Analysis

 

Omeprazole

20 mg once daily

(n = 131)

Omeprazole

10 mg once daily

(n = 133)

Ranitidine

150 mg twice daily

(n = 128)

 

Percent in Endoscopic Remission at 12 Months

77 1

58 2

46

1. (p = 0.01) omeprazole 20 mg once daily versus omeprazole 10 mg once daily or Ranitidine.

2. (p = 0.03) omeprazole 10 mg once daily versus Ranitidine.



In patients who initially had grades 3 or 4 erosive esophagitis, for maintenance after healing 20 mg daily of omeprazole was effective, while 10 mg did not demonstrate effectiveness.

5.12 Interactions With Investigations for Neuroendocrine Tumors (5.12 Interactions with Investigations for Neuroendocrine Tumors)

Serum chromogranin A (CgA) levels increase secondary to drug-induced decreases in gastric acidity. The increased CgA level may cause false positive results in diagnostic investigations for neuroendocrine tumors. Providers should temporarily stop omeprazole and sodium bicarbonate treatment for at least 14 days before assessing CgA levels and consider repeating the test if initial CgA levels are high. If serial tests are performed (e.g., for monitoring), the same commercial laboratory should be used for testing, as reference ranges between tests may vary [see Drug Interactions (7)].

14.6 Reduction of Risk of Upper Gastrointestinal Bleeding in Critically Ill Patients

A double-blind, multicenter, randomized, non-inferiority clinical trial was conducted to compare omeprazole and sodium bicarbonate for oral suspension and intravenous cimetidine for the reduction of risk of upper gastrointestinal (GI) bleeding in critically ill patients (mean APACHE II score = 23.7). The primary endpoint was significant upper GI bleeding defined as bright red blood which did not clear after adjustment of the nasogastric tube and a 5 to 10 minute lavage, or persistent Gastroccult­positive coffee grounds for 8 consecutive hours which did not clear with 100 mL lavage. Omeprazole and sodium bicarbonate for oral suspension was administered as 40 mg (two doses administered 6 to 8 hours apart on the first day via orogastric or nasogastric tube, followed by 40 mg once daily thereafter) and intravenous cimetidine (300 mg bolus, followed by 50 to 100 mg/hr continuously thereafter) for up to 14 days (mean = 6.8 days). A total of 359 patients were studied, age range 16 to 91 (mean = 56 years), 58.5% were males, and 64% were Caucasians. The results of the study showed that omeprazole and sodium bicarbonate for oral suspension was non-inferior to intravenous cimetidine, 7/178 (3.9%) patients in the omeprazole and sodium bicarbonate group vs. 10/181 (5.5%) patients in the cimetidine group experienced clinically significant upper GI bleeding.


Advanced Ingredient Data


Raw Label Data

All Sections (JSON)