These Highlights Do Not Include All The Information Needed To Use

These Highlights Do Not Include All The Information Needed To Use
SPL v8
SPL
SPL Set ID 62f19bd8-926e-4e6b-9097-d81b894b95cc
Route
TOPICAL
Published
Effective Date 2024-08-31
Document Type 34391-3 HUMAN PRESCRIPTION DRUG LABEL

Drug Facts

Composition & Product

Active Ingredients
Ketoconazole (20 mg)
Inactive Ingredients
Cetyl Alcohol Citric Acid Monohydrate Alcohol Tert-butyl Alcohol Brucine Sulfate Polysorbate 60 Potassium Citrate Propylene Glycol Water Stearyl Alcohol Butane Propane

Identifiers & Packaging

Marketing Status
ANDA Active Since 2012-06-15

Description

Ketodan ® Foam, 2% is indicated for the topical treatment of seborrheic dermatitis in immunocompetent patients 12 years of age and older.

Indications and Usage

Ketodan ® Foam, 2% is indicated for the topical treatment of seborrheic dermatitis in immunocompetent patients 12 years of age and older.

Dosage and Administration

Ketodan ® Foam, 2% should be applied to the affected area(s) twice daily for four weeks. Hold the container upright, and dispense Ketodan ® Foam, 2% into the cap of the can or other cool surface in an amount sufficient to cover the affected area(s). Dispensing directly onto hands is not recommended, as the foam will begin to melt immediately upon contact with warm skin. Pick up small amounts of Ketodan ® Foam, 2% with the fingertips, and gently massage into the affected area(s) until the foam disappears. For hair-bearing areas, part the hair, so that Ketodan ® Foam, 2% may be applied directly to the skin (rather than on the hair). Avoid contact with the eyes and other mucous membranes. Ketodan ® Foam, 2% is not for ophthalmic, oral or intravaginal use.

Warnings and Precautions

Ketodan ® Foam, 2% may result in contact sensitization, including photoallergenicity ( 5.1 , 6.2 ). The contents of Ketodan ® Foam, 2% are flammable. Avoid fire, flame, or smoking during and immediately following application. ( 5.2 ).

Contraindications

None.

Adverse Reactions

The most common adverse reactions observed in clinical studies (incidence >1%) were application site burning and application site reaction ( 6.1 ). To report SUSPECTED ADVERSE REACTIONS, contact Medimetriks at 1-973-882-7512 or FDA at 1-800-FDA-1088 or www.fda.gov/medwatch.

Storage and Handling

Ketodan ® Foam, 2% contains 20 mg of ketoconazole, USP per gram. The thermolabile hydroethanolic foam is available as follows:   NDC 43538-530-10 100 g aluminum can

How Supplied

Ketodan ® Foam, 2% contains 20 mg of ketoconazole, USP per gram. The thermolabile hydroethanolic foam is available as follows:   NDC 43538-530-10 100 g aluminum can


Medication Information

Warnings and Precautions

Ketodan ® Foam, 2% may result in contact sensitization, including photoallergenicity ( 5.1 , 6.2 ). The contents of Ketodan ® Foam, 2% are flammable. Avoid fire, flame, or smoking during and immediately following application. ( 5.2 ).

Indications and Usage

Ketodan ® Foam, 2% is indicated for the topical treatment of seborrheic dermatitis in immunocompetent patients 12 years of age and older.

Dosage and Administration

Ketodan ® Foam, 2% should be applied to the affected area(s) twice daily for four weeks. Hold the container upright, and dispense Ketodan ® Foam, 2% into the cap of the can or other cool surface in an amount sufficient to cover the affected area(s). Dispensing directly onto hands is not recommended, as the foam will begin to melt immediately upon contact with warm skin. Pick up small amounts of Ketodan ® Foam, 2% with the fingertips, and gently massage into the affected area(s) until the foam disappears. For hair-bearing areas, part the hair, so that Ketodan ® Foam, 2% may be applied directly to the skin (rather than on the hair). Avoid contact with the eyes and other mucous membranes. Ketodan ® Foam, 2% is not for ophthalmic, oral or intravaginal use.

Contraindications

None.

Adverse Reactions

The most common adverse reactions observed in clinical studies (incidence >1%) were application site burning and application site reaction ( 6.1 ). To report SUSPECTED ADVERSE REACTIONS, contact Medimetriks at 1-973-882-7512 or FDA at 1-800-FDA-1088 or www.fda.gov/medwatch.

Storage and Handling

Ketodan ® Foam, 2% contains 20 mg of ketoconazole, USP per gram. The thermolabile hydroethanolic foam is available as follows:   NDC 43538-530-10 100 g aluminum can

How Supplied

Ketodan ® Foam, 2% contains 20 mg of ketoconazole, USP per gram. The thermolabile hydroethanolic foam is available as follows:   NDC 43538-530-10 100 g aluminum can

Description

Ketodan ® Foam, 2% is indicated for the topical treatment of seborrheic dermatitis in immunocompetent patients 12 years of age and older.

Section 42229-5

Limitations of Use

Safety and efficacy of Ketodan® Foam, 2% for treatment of fungal infections have not been established.

Section 42230-3
PATIENT INFORMATION

Ketodan® Foam, 2%
Important Information: Ketodan® Foam, 2% is for use on the skin only. Do not use Ketodan® Foam, 2% in your eyes, mouth or vagina.
What is Ketodan® Foam, 2%?

Ketodan® Foam, 2% is a prescription medicine used on the skin (topical) to treat seborrheic dermatitis in people 12 years of age and older with a normal immune system.

It is not known if Ketodan® Foam, 2% is safe and effective when used to treat fungal infections.

It is not known if Ketodan® Foam, 2% is safe and effective in children less than 12 years of age.
Before using Ketodan® Foam, 2%, tell your healthcare provider about all of your medical conditions, including if you:
  • are pregnant or plan to become pregnant. It is not known if Ketodan® Foam, 2% will harm your unborn baby.
  • are breastfeeding or plan to breastfeed. It is not known if Ketodan® Foam, 2% passes into your breast milk. Talk to your healthcare provider about the best way to feed your baby during treatment with Ketodan® Foam, 2%.

Tell your healthcare provider about all the medicines you take, including prescription and over-the-counter medicines, vitamins, and herbal supplements.

How should I use Ketodan® Foam, 2%?
  • Use Ketodan® Foam, 2% exactly as your healthcare provider tells you to use it. See the detailed "Instructions for Use" at the end of this leaflet for directions about how to apply Ketodan® Foam, 2% the right way.
  • Apply Ketodan® Foam, 2% to the affected skin area(s) 2 times each day for 4 weeks. You should apply enough Ketodan® Foam, 2% to cover the entire affected area(s).
  • Talk to your healthcare provider if your skin does not improve after 4 weeks of treatment with Ketodan® Foam, 2%.
  • Dispense Ketodan® Foam, 2% directly into the cap. Do not dispense Ketodan® Foam, 2% directly onto your hands, because the foam will begin to melt on contact with warm skin.
  • Wash your hands after applying Ketodan® Foam, 2%.
What should I avoid while using Ketodan® Foam, 2%?
  • Ketodan® Foam, 2% is flammable. Avoid fire, flames, or smoking during and right after you apply Ketodan® Foam, 2% to your skin.
  • Avoid getting Ketodan® Foam, 2% in or near your eyes, mouth, lips or vagina. If you get Ketodan® Foam, 2% on your lips or in your eyes, mouth or vagina, rinse well with water.
What are the possible side effects of Ketodan® Foam, 2%?

Ketodan® Foam, 2% may cause serious side effects, including:
  • Skin irritation at the application area(s), including skin reactions caused by exposure to light. Tell your healthcare provider if you develop skin irritation during treatment with Ketodan® Foam, 2%.

The most common side effects of Ketodan® Foam, 2% include, burning, dryness, redness, irritation, numbness, itching, rash and warmth at the application site.

These are not all of the possible side effects of Ketodan® Foam, 2%.

Call your doctor for medical advice about side effects. You may report side effects to FDA at 1-800-FDA-1088.

How should I store Ketodan® Foam, 2%?
  • Store Ketodan® Foam, 2% at room temperature between 68°F to 77°F (20°C to 25°C).
  • Do not store the Ketodan® Foam, 2% can in the refrigerator or freezer.
  • Keep Ketodan® Foam, 2% away from heat. Never throw the Ketodan® Foam, 2% can into a fire, even if the can is empty.
  • Do not store Ketodan® Foam, 2% at temperatures above 120°F (49°C).
  • Do not break through (puncture) the Ketodan® Foam, 2% can.

Keep Ketodan® Foam, 2% and all medicines out of the reach of children.

General information about the safe and effective use of Ketodan® Foam, 2%.

Medicines are sometimes prescribed for purposes other than those listed in a Patient Information leaflet. Do not use Ketodan® Foam, 2% for a condition for which it was not prescribed. Do not give Ketodan® Foam, 2% to other people, even if they have the same symptoms that you have. It may harm them. You can ask your pharmacist or healthcare provider for information about Ketodan® Foam, 2% that is written for health professionals.
What are the ingredients in Ketodan® Foam, 2%?

Active ingredient: ketoconazole

Inactive Ingredients: cetyl alcohol, citric acid, ethanol 58%, polysorbate 60, potassium citrate, propylene glycol, purified water, and stearyl alcohol pressurized with a hydrocarbon (propane/butane) propellant

For more information, call Medimetriks at 1-973-882-7512

This Patient Information leaflet has been approved by the U.S. Food and Drug Administration.
Section 44425-7

Store at 20° to 25°C (68° to 77°F). [See USP Controlled Room Temperature.] Do not store under refrigerated conditions.

Contents are flammable. Do not expose containers to heat and/or store at temperatures above 49°C (120°F). Do not store in direct sunlight.

Contents under pressure. Do not puncture and/or incinerate container.

Keep out of reach of children.

Section 59845-8

Instructions for Use

Ketodan® Foam, 2%

Important Information: Ketodan® Foam, 2% is for use on the skin only. Do not use Ketodan® Foam, 2% in your eyes, mouth or vagina.

Step 1: Remove the clear cap from the Ketodan® Foam, 2% can.
Step 2: Hold the can upright and firmly press the nozzle to dispense Ketodan® Foam, 2% into the clear cap.
  • Dispense enough Ketodan® Foam, 2% to cover the entire affected area(s).
  • If the can seems warm or the foam seems runny, run the can under cold water.
Step 3: Pick up small amounts of Ketodan® Foam, 2% with your fingertips and gently rub the foam into the affected area(s) until the foam disappears.
  • If you are treating areas such as your scalp, part the hair so that Ketodan® Foam, 2% may be applied directly to the skin.
Step 4: Wash your hands after applying Ketodan® Foam, 2%.
  • Throw away any of the unused medicine that is left in the cap.
How should I store Ketodan® Foam, 2%?
  • Store Ketodan® Foam, 2% at room temperature between 68°F to 77°F (20°C to 25°C).
  • Do not store the Ketodan® Foam, 2% can in the refrigerator or freezer.
  • Keep Ketodan® Foam, 2% away from heat. Never throw the can into a fire, even if the can is empty.
  • Do not store Ketodan® Foam, 2% at temperatures above 120°F (49°C).
  • Do not break through (puncture) the Ketodan® Foam, 2% can.

Keep Ketodan® Foam, 2% and all medicines out of the reach of children.

This Instructions for Use has been approved by the U.S. Food and Drug Administration.

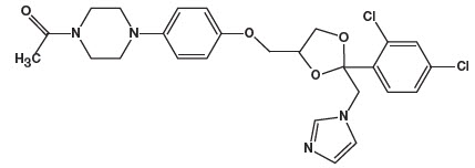
11. Description

Ketodan® Foam, 2% contains 2% ketoconazole USP, an antifungal agent, in a thermolabile hydroethanolic foam for topical application.

The chemical name for ketoconazole is piperazine, 1-acetyl-4-[4-[[2-(2,4-dichlorophenyl)-2-(1H-imidazol-1-ylmethyl)-1,3-dioxolan-4-yl]methoxy]phenyl]-, cis- with the molecular formula C26H28Cl2N4O4 and a molecular weight of 531.43. The following is the chemical structure:

Ketodan® Foam, 2% contains 20 mg ketoconazole per gram in a thermolabile hydroethanolic foam vehicle consisting of cetyl alcohol, citric acid, ethanol 58%, polysorbate 60, potassium citrate, propylene glycol, purified water, and stearyl alcohol pressurized with a hydrocarbon (propane/butane) propellant.

12.4 Microbiology

Ketoconazole is an antifungal agent which inhibits the in vitro synthesis of ergosterol, a key sterol in the cell membrane of Malassezia furfur. The clinical significance of antifungal activity in the treatment of seborrheic dermatitis is not known.

8.4 Pediatric Use

The safety and effectiveness of ketoconazole foam, 2% in pediatric patients less than 12 years of age have not been established.

Of the 672 subjects treated with ketoconazole foam, 2% in the clinical trials, 44 (7%) were from 12 to 17 years of age. [See Clinical Studies (14)].

8.5 Geriatric Use

Of the 672 subjects treated with ketoconazole foam, 2% in the clinical trials, 107 (16%) were 65 years and over.

Clinical trials of ketoconazole foam, 2% did not include sufficient numbers of subjects aged 65 and over to determine whether they respond differently than younger subjects.

14. Clinical Studies

The safety and efficacy of ketoconazole foam, 2% were evaluated in a randomized, double-blind, vehicle-controlled trial in subjects 12 years and older with mild to severe seborrheic dermatitis. In the trial, 427 subjects received ketoconazole foam, 2% and 420 subjects received vehicle foam. Subjects applied ketoconazole foam, 2% or vehicle foam twice daily for 4 weeks to affected areas on the face, scalp, and/or chest. The overall disease severity in terms of erythema, scaling, and induration was assessed at Baseline and week 4 on a 5-point Investigator's Static Global Assessment (ISGA) scale.

Treatment success was defined as achieving a Week 4 (end of treatment) ISGA score of 0 (clear) or 1 (majority of lesions have individual scores for scaling, erythema, and induration that averages 1 [minimal or faint]) and at least two grades of improvement from baseline. The results are presented in Table 2. The database was not large enough to assess whether there were differences in effects in age, gender, or race subgroups.

Table 2: Efficacy Results
Number of Subjects Ketoconazole Foam, 2%

N = 427

n (%)
Vehicle Foam

N = 420

n (%)
Subjects Achieving Treatment Success 239 (56%) 176 (42%)
4. Contraindications

None.

5.3 Systemic Effects

Hepatitis has been seen with orally administered ketoconazole (1:10,000 reported incidence). Lowered testosterone and ACTH–induced corticosteroid serum levels have been seen with high doses of orally administered ketoconazole. These effects have not been seen with topical ketoconazole.

6. Adverse Reactions

The most common adverse reactions observed in clinical studies (incidence >1%) were application site burning and application site reaction (6.1).



To report SUSPECTED ADVERSE REACTIONS, contact Medimetriks at 1-973-882-7512 or FDA at 1-800-FDA-1088 or www.fda.gov/medwatch.

12.2 Pharmacodynamics

The pharmacodynamics of Ketodan® Foam, 2% has not been established.

12.3 Pharmacokinetics

In a bioavailability study, 12 subjects with moderate to severe seborrheic dermatitis applied 3 g of ketoconazole foam, 2% twice daily for 4 weeks. Circulating plasma levels of ketoconazole were < 6 ng/mL for a majority of subjects (75%), with a maximum level of 11 ng/mL observed in one subject.

5.2 Flammable Contents

The contents of Ketodan® Foam, 2% include alcohol and propane/butane, which are flammable. Avoid fire, flame and/or smoking during and immediately following application. Do not puncture and/or incinerate the containers. Do not expose containers to heat and/or store at temperatures above 120°F (49°C).

1. Indications and Usage

Ketodan® Foam, 2% is indicated for the topical treatment of seborrheic dermatitis in immunocompetent patients 12 years of age and older.

12.1 Mechanism of Action

The mechanism of action of ketoconazole in the treatment of seborrheic dermatitis is not known.

5.1 Contact Sensitization

Ketodan® Foam, 2% may result in contact sensitization, including photoallergenicity [see Adverse Reactions (6.2)].

6.2 Dermal Safety Studies

In a photoallergenicity study, 9 of 53 subjects (17%) had reactions during the challenge period at both the irradiated and non-irradiated sites treated with ketoconazole foam, 2%. Ketodan® Foam, 2% may cause contact sensitization.

5. Warnings and Precautions
  • Ketodan® Foam, 2% may result in contact sensitization, including photoallergenicity (5.1, 6.2).
  • The contents of Ketodan® Foam, 2% are flammable. Avoid fire, flame, or smoking during and immediately following application. (5.2).
2. Dosage and Administration

Ketodan® Foam, 2% should be applied to the affected area(s) twice daily for four weeks.

Hold the container upright, and dispense Ketodan® Foam, 2% into the cap of the can or other cool surface in an amount sufficient to cover the affected area(s). Dispensing directly onto hands is not recommended, as the foam will begin to melt immediately upon contact with warm skin. Pick up small amounts of Ketodan® Foam, 2% with the fingertips, and gently massage into the affected area(s) until the foam disappears. For hair-bearing areas, part the hair, so that Ketodan® Foam, 2% may be applied directly to the skin (rather than on the hair).

Avoid contact with the eyes and other mucous membranes. Ketodan® Foam, 2% is not for ophthalmic, oral or intravaginal use.

6.3 Postmarketing Experience

The following adverse events have been identified during postmarketing use of ketoconazole foam, 2%:

Gastrointestinal disorders: Cheilitis

General disorders and administration site conditions: Application site pain and application site burn Skin and subcutaneous tissue disorders: Skin burning sensation and erythema

Because these events are reported voluntarily from a population of uncertain size, it is not always possible to reliably estimate their frequency or establish a causal relationship to drug exposure.

3. Dosage Forms and Strengths

Ketodan® Foam, 2% contains 20 mg of ketoconazole, USP per gram, supplied in 100 g containers.

6.1 Clinical Trials Experience

Because clinical trials are conducted under widely varying conditions, adverse reaction rates observed in the clinical trials of a drug cannot be directly compared to rates in the clinical trials of another drug, and may not reflect the rates observed in practice. The adverse reaction information from clinical trials does, however, provide a basis for identifying the adverse reactions that appear to be related to drug use and for approximating rates.

The safety data presented in Table 1 reflect exposure to ketoconazole foam, 2% in 672 subjects, 12 years and older with seborrheic dermatitis. Subjects applied ketoconazole foam, 2% or vehicle foam twice daily for 4 weeks to affected areas on the face, scalp, and/or chest. Adverse reactions occurring in > 1% of subjects are presented in Table 1.

Table 1: Adverse Reactions Reported by > 1% Subjects in Clinical Trials
Adverse Reactions Ketoconazole Foam, 2%

N = 672

n (%)
Vehicle Foam

N = 497

n (%)
Subjects with an Adverse Reaction 188 (28%) 122 (25%)
Application site burning 67 (10%) 49 (10%)
Application site reaction 41 (6%) 24 (5%)

Application site reactions that were reported in <1% of subjects were dryness, erythema, irritation, paresthesia, pruritus, rash and warmth.

17. Patient Counseling Information

See FDA-approved patient labeling (Patient Package Insert).

Instruct patients on a proper use of Ketodan® Foam, 2%

  • Avoid fire, flame and/or smoking during and immediately following application.
  • Do not apply Ketodan® Foam, 2% directly to hands. Dispense onto a cool surface, and apply to the affected areas using the fingertips.
  • Wash their hands after application
  • Ketodan® Foam, 2% may cause skin irritation (application site burning and/or reactions)
  • Instruct a patient to contact a health care provider if the area of application shows signs of increased irritation and report any signs of adverse reactions.
16. How Supplied/storage and Handling

Ketodan® Foam, 2% contains 20 mg of ketoconazole, USP per gram. The thermolabile hydroethanolic foam is available as follows:

  •  
    NDC 43538-530-10

    100 g aluminum can
Principal Display Panel 100 G Can Carton

NDC 43538-530-10

Rx Only

Ketodan®

Ketoconazole Foam, 2%

For Topical Use Only.

Not For Ophthalmic, Oral,

or Intravaginal Use.

Net wt. 100 g

MEDIMETRIKS

PHARMACEUTICALS, INC.

13.1 Carcinogenesis, Mutagenesis, Impairment of Fertility

Long-term animal studies have not been performed to evaluate the carcinogenic or photo-carcinogenic potential of ketoconazole foam, 2%.

In oral carcinogenicity studies in mice (18-months) and rats (24-months) at dose levels of 5, 20 and 80 mg/kg/day ketoconazole was not carcinogenic. The high dose in these studies was approximately 2.4 to 4.8 times the MRHD based on BSA comparisons. In a bacterial reverse mutation assay, ketoconazole did not express any mutagenic potential. In three in vivo assays (sister chromatid exchange in humans, dominant lethal and micronucleus tests in mice), ketoconazole did not exhibit any genotoxic potential.

In animal fertility studies, oral ketoconazole impaired both male and female fertility in rats in a dose and duration dependent manner. In females, oral doses up to 40 mg/kg (2.4 times the MRHD based on BSA comparisons) had no effect on fertility, while doses of 75 mg/kg (4.5 times the MRHD based on BSA comparisons) and higher decreased the pregnancy rate and number of implantation sites. In male rats, oral dosing at 200 mg/kg/day (12 times the MRHD based on BSA comparisons) for three days decreased fertility and 400 mg/kg/day (24 times the MRHD based on BSA comparisons) for three days resulted in a complete loss of fertility. When administered for longer durations (up to 3 months), decreased fertility in male rats was observed at doses as low as 24 mg/kg/day (1.4 times the MRHD based on BSA comparisons). In male beagle dogs, an oral dose of 25 mg/kg/day ketoconazole for up to 4 weeks (5.2 times the MRHD based on BSA comparisons) resulted in decreased sperm motility, decreased sperm count, increased abnormal sperm and atrophy of the testes. These effects were reversed subsequent to withdrawal of treatment.


Structured Label Content

Section 42229-5 (42229-5)

Limitations of Use

Safety and efficacy of Ketodan® Foam, 2% for treatment of fungal infections have not been established.

Section 42230-3 (42230-3)
PATIENT INFORMATION

Ketodan® Foam, 2%
Important Information: Ketodan® Foam, 2% is for use on the skin only. Do not use Ketodan® Foam, 2% in your eyes, mouth or vagina.
What is Ketodan® Foam, 2%?

Ketodan® Foam, 2% is a prescription medicine used on the skin (topical) to treat seborrheic dermatitis in people 12 years of age and older with a normal immune system.

It is not known if Ketodan® Foam, 2% is safe and effective when used to treat fungal infections.

It is not known if Ketodan® Foam, 2% is safe and effective in children less than 12 years of age.
Before using Ketodan® Foam, 2%, tell your healthcare provider about all of your medical conditions, including if you:
  • are pregnant or plan to become pregnant. It is not known if Ketodan® Foam, 2% will harm your unborn baby.
  • are breastfeeding or plan to breastfeed. It is not known if Ketodan® Foam, 2% passes into your breast milk. Talk to your healthcare provider about the best way to feed your baby during treatment with Ketodan® Foam, 2%.

Tell your healthcare provider about all the medicines you take, including prescription and over-the-counter medicines, vitamins, and herbal supplements.

How should I use Ketodan® Foam, 2%?
  • Use Ketodan® Foam, 2% exactly as your healthcare provider tells you to use it. See the detailed "Instructions for Use" at the end of this leaflet for directions about how to apply Ketodan® Foam, 2% the right way.
  • Apply Ketodan® Foam, 2% to the affected skin area(s) 2 times each day for 4 weeks. You should apply enough Ketodan® Foam, 2% to cover the entire affected area(s).
  • Talk to your healthcare provider if your skin does not improve after 4 weeks of treatment with Ketodan® Foam, 2%.
  • Dispense Ketodan® Foam, 2% directly into the cap. Do not dispense Ketodan® Foam, 2% directly onto your hands, because the foam will begin to melt on contact with warm skin.
  • Wash your hands after applying Ketodan® Foam, 2%.
What should I avoid while using Ketodan® Foam, 2%?
  • Ketodan® Foam, 2% is flammable. Avoid fire, flames, or smoking during and right after you apply Ketodan® Foam, 2% to your skin.
  • Avoid getting Ketodan® Foam, 2% in or near your eyes, mouth, lips or vagina. If you get Ketodan® Foam, 2% on your lips or in your eyes, mouth or vagina, rinse well with water.
What are the possible side effects of Ketodan® Foam, 2%?

Ketodan® Foam, 2% may cause serious side effects, including:
  • Skin irritation at the application area(s), including skin reactions caused by exposure to light. Tell your healthcare provider if you develop skin irritation during treatment with Ketodan® Foam, 2%.

The most common side effects of Ketodan® Foam, 2% include, burning, dryness, redness, irritation, numbness, itching, rash and warmth at the application site.

These are not all of the possible side effects of Ketodan® Foam, 2%.

Call your doctor for medical advice about side effects. You may report side effects to FDA at 1-800-FDA-1088.

How should I store Ketodan® Foam, 2%?
  • Store Ketodan® Foam, 2% at room temperature between 68°F to 77°F (20°C to 25°C).
  • Do not store the Ketodan® Foam, 2% can in the refrigerator or freezer.
  • Keep Ketodan® Foam, 2% away from heat. Never throw the Ketodan® Foam, 2% can into a fire, even if the can is empty.
  • Do not store Ketodan® Foam, 2% at temperatures above 120°F (49°C).
  • Do not break through (puncture) the Ketodan® Foam, 2% can.

Keep Ketodan® Foam, 2% and all medicines out of the reach of children.

General information about the safe and effective use of Ketodan® Foam, 2%.

Medicines are sometimes prescribed for purposes other than those listed in a Patient Information leaflet. Do not use Ketodan® Foam, 2% for a condition for which it was not prescribed. Do not give Ketodan® Foam, 2% to other people, even if they have the same symptoms that you have. It may harm them. You can ask your pharmacist or healthcare provider for information about Ketodan® Foam, 2% that is written for health professionals.
What are the ingredients in Ketodan® Foam, 2%?

Active ingredient: ketoconazole

Inactive Ingredients: cetyl alcohol, citric acid, ethanol 58%, polysorbate 60, potassium citrate, propylene glycol, purified water, and stearyl alcohol pressurized with a hydrocarbon (propane/butane) propellant

For more information, call Medimetriks at 1-973-882-7512

This Patient Information leaflet has been approved by the U.S. Food and Drug Administration.
Section 44425-7 (44425-7)

Store at 20° to 25°C (68° to 77°F). [See USP Controlled Room Temperature.] Do not store under refrigerated conditions.

Contents are flammable. Do not expose containers to heat and/or store at temperatures above 49°C (120°F). Do not store in direct sunlight.

Contents under pressure. Do not puncture and/or incinerate container.

Keep out of reach of children.

Section 59845-8 (59845-8)

Instructions for Use

Ketodan® Foam, 2%

Important Information: Ketodan® Foam, 2% is for use on the skin only. Do not use Ketodan® Foam, 2% in your eyes, mouth or vagina.

Step 1: Remove the clear cap from the Ketodan® Foam, 2% can.
Step 2: Hold the can upright and firmly press the nozzle to dispense Ketodan® Foam, 2% into the clear cap.
  • Dispense enough Ketodan® Foam, 2% to cover the entire affected area(s).
  • If the can seems warm or the foam seems runny, run the can under cold water.
Step 3: Pick up small amounts of Ketodan® Foam, 2% with your fingertips and gently rub the foam into the affected area(s) until the foam disappears.
  • If you are treating areas such as your scalp, part the hair so that Ketodan® Foam, 2% may be applied directly to the skin.
Step 4: Wash your hands after applying Ketodan® Foam, 2%.
  • Throw away any of the unused medicine that is left in the cap.
How should I store Ketodan® Foam, 2%?
  • Store Ketodan® Foam, 2% at room temperature between 68°F to 77°F (20°C to 25°C).
  • Do not store the Ketodan® Foam, 2% can in the refrigerator or freezer.
  • Keep Ketodan® Foam, 2% away from heat. Never throw the can into a fire, even if the can is empty.
  • Do not store Ketodan® Foam, 2% at temperatures above 120°F (49°C).
  • Do not break through (puncture) the Ketodan® Foam, 2% can.

Keep Ketodan® Foam, 2% and all medicines out of the reach of children.

This Instructions for Use has been approved by the U.S. Food and Drug Administration.

11. Description (11. DESCRIPTION)

Ketodan® Foam, 2% contains 2% ketoconazole USP, an antifungal agent, in a thermolabile hydroethanolic foam for topical application.

The chemical name for ketoconazole is piperazine, 1-acetyl-4-[4-[[2-(2,4-dichlorophenyl)-2-(1H-imidazol-1-ylmethyl)-1,3-dioxolan-4-yl]methoxy]phenyl]-, cis- with the molecular formula C26H28Cl2N4O4 and a molecular weight of 531.43. The following is the chemical structure:

Ketodan® Foam, 2% contains 20 mg ketoconazole per gram in a thermolabile hydroethanolic foam vehicle consisting of cetyl alcohol, citric acid, ethanol 58%, polysorbate 60, potassium citrate, propylene glycol, purified water, and stearyl alcohol pressurized with a hydrocarbon (propane/butane) propellant.

12.4 Microbiology

Ketoconazole is an antifungal agent which inhibits the in vitro synthesis of ergosterol, a key sterol in the cell membrane of Malassezia furfur. The clinical significance of antifungal activity in the treatment of seborrheic dermatitis is not known.

8.4 Pediatric Use

The safety and effectiveness of ketoconazole foam, 2% in pediatric patients less than 12 years of age have not been established.

Of the 672 subjects treated with ketoconazole foam, 2% in the clinical trials, 44 (7%) were from 12 to 17 years of age. [See Clinical Studies (14)].

8.5 Geriatric Use

Of the 672 subjects treated with ketoconazole foam, 2% in the clinical trials, 107 (16%) were 65 years and over.

Clinical trials of ketoconazole foam, 2% did not include sufficient numbers of subjects aged 65 and over to determine whether they respond differently than younger subjects.

14. Clinical Studies (14. CLINICAL STUDIES)

The safety and efficacy of ketoconazole foam, 2% were evaluated in a randomized, double-blind, vehicle-controlled trial in subjects 12 years and older with mild to severe seborrheic dermatitis. In the trial, 427 subjects received ketoconazole foam, 2% and 420 subjects received vehicle foam. Subjects applied ketoconazole foam, 2% or vehicle foam twice daily for 4 weeks to affected areas on the face, scalp, and/or chest. The overall disease severity in terms of erythema, scaling, and induration was assessed at Baseline and week 4 on a 5-point Investigator's Static Global Assessment (ISGA) scale.

Treatment success was defined as achieving a Week 4 (end of treatment) ISGA score of 0 (clear) or 1 (majority of lesions have individual scores for scaling, erythema, and induration that averages 1 [minimal or faint]) and at least two grades of improvement from baseline. The results are presented in Table 2. The database was not large enough to assess whether there were differences in effects in age, gender, or race subgroups.

Table 2: Efficacy Results
Number of Subjects Ketoconazole Foam, 2%

N = 427

n (%)
Vehicle Foam

N = 420

n (%)
Subjects Achieving Treatment Success 239 (56%) 176 (42%)
4. Contraindications (4. CONTRAINDICATIONS)

None.

5.3 Systemic Effects

Hepatitis has been seen with orally administered ketoconazole (1:10,000 reported incidence). Lowered testosterone and ACTH–induced corticosteroid serum levels have been seen with high doses of orally administered ketoconazole. These effects have not been seen with topical ketoconazole.

6. Adverse Reactions (6. ADVERSE REACTIONS)

The most common adverse reactions observed in clinical studies (incidence >1%) were application site burning and application site reaction (6.1).



To report SUSPECTED ADVERSE REACTIONS, contact Medimetriks at 1-973-882-7512 or FDA at 1-800-FDA-1088 or www.fda.gov/medwatch.

12.2 Pharmacodynamics

The pharmacodynamics of Ketodan® Foam, 2% has not been established.

12.3 Pharmacokinetics

In a bioavailability study, 12 subjects with moderate to severe seborrheic dermatitis applied 3 g of ketoconazole foam, 2% twice daily for 4 weeks. Circulating plasma levels of ketoconazole were < 6 ng/mL for a majority of subjects (75%), with a maximum level of 11 ng/mL observed in one subject.

5.2 Flammable Contents

The contents of Ketodan® Foam, 2% include alcohol and propane/butane, which are flammable. Avoid fire, flame and/or smoking during and immediately following application. Do not puncture and/or incinerate the containers. Do not expose containers to heat and/or store at temperatures above 120°F (49°C).

1. Indications and Usage (1. INDICATIONS AND USAGE)

Ketodan® Foam, 2% is indicated for the topical treatment of seborrheic dermatitis in immunocompetent patients 12 years of age and older.

12.1 Mechanism of Action

The mechanism of action of ketoconazole in the treatment of seborrheic dermatitis is not known.

5.1 Contact Sensitization

Ketodan® Foam, 2% may result in contact sensitization, including photoallergenicity [see Adverse Reactions (6.2)].

6.2 Dermal Safety Studies

In a photoallergenicity study, 9 of 53 subjects (17%) had reactions during the challenge period at both the irradiated and non-irradiated sites treated with ketoconazole foam, 2%. Ketodan® Foam, 2% may cause contact sensitization.

5. Warnings and Precautions (5. WARNINGS AND PRECAUTIONS)
  • Ketodan® Foam, 2% may result in contact sensitization, including photoallergenicity (5.1, 6.2).
  • The contents of Ketodan® Foam, 2% are flammable. Avoid fire, flame, or smoking during and immediately following application. (5.2).
2. Dosage and Administration (2. DOSAGE AND ADMINISTRATION)

Ketodan® Foam, 2% should be applied to the affected area(s) twice daily for four weeks.

Hold the container upright, and dispense Ketodan® Foam, 2% into the cap of the can or other cool surface in an amount sufficient to cover the affected area(s). Dispensing directly onto hands is not recommended, as the foam will begin to melt immediately upon contact with warm skin. Pick up small amounts of Ketodan® Foam, 2% with the fingertips, and gently massage into the affected area(s) until the foam disappears. For hair-bearing areas, part the hair, so that Ketodan® Foam, 2% may be applied directly to the skin (rather than on the hair).

Avoid contact with the eyes and other mucous membranes. Ketodan® Foam, 2% is not for ophthalmic, oral or intravaginal use.

6.3 Postmarketing Experience

The following adverse events have been identified during postmarketing use of ketoconazole foam, 2%:

Gastrointestinal disorders: Cheilitis

General disorders and administration site conditions: Application site pain and application site burn Skin and subcutaneous tissue disorders: Skin burning sensation and erythema

Because these events are reported voluntarily from a population of uncertain size, it is not always possible to reliably estimate their frequency or establish a causal relationship to drug exposure.

3. Dosage Forms and Strengths (3. DOSAGE FORMS AND STRENGTHS)

Ketodan® Foam, 2% contains 20 mg of ketoconazole, USP per gram, supplied in 100 g containers.

6.1 Clinical Trials Experience

Because clinical trials are conducted under widely varying conditions, adverse reaction rates observed in the clinical trials of a drug cannot be directly compared to rates in the clinical trials of another drug, and may not reflect the rates observed in practice. The adverse reaction information from clinical trials does, however, provide a basis for identifying the adverse reactions that appear to be related to drug use and for approximating rates.

The safety data presented in Table 1 reflect exposure to ketoconazole foam, 2% in 672 subjects, 12 years and older with seborrheic dermatitis. Subjects applied ketoconazole foam, 2% or vehicle foam twice daily for 4 weeks to affected areas on the face, scalp, and/or chest. Adverse reactions occurring in > 1% of subjects are presented in Table 1.

Table 1: Adverse Reactions Reported by > 1% Subjects in Clinical Trials
Adverse Reactions Ketoconazole Foam, 2%

N = 672

n (%)
Vehicle Foam

N = 497

n (%)
Subjects with an Adverse Reaction 188 (28%) 122 (25%)
Application site burning 67 (10%) 49 (10%)
Application site reaction 41 (6%) 24 (5%)

Application site reactions that were reported in <1% of subjects were dryness, erythema, irritation, paresthesia, pruritus, rash and warmth.

17. Patient Counseling Information (17. PATIENT COUNSELING INFORMATION)

See FDA-approved patient labeling (Patient Package Insert).

Instruct patients on a proper use of Ketodan® Foam, 2%

  • Avoid fire, flame and/or smoking during and immediately following application.
  • Do not apply Ketodan® Foam, 2% directly to hands. Dispense onto a cool surface, and apply to the affected areas using the fingertips.
  • Wash their hands after application
  • Ketodan® Foam, 2% may cause skin irritation (application site burning and/or reactions)
  • Instruct a patient to contact a health care provider if the area of application shows signs of increased irritation and report any signs of adverse reactions.
16. How Supplied/storage and Handling (16. HOW SUPPLIED/STORAGE AND HANDLING)

Ketodan® Foam, 2% contains 20 mg of ketoconazole, USP per gram. The thermolabile hydroethanolic foam is available as follows:

  •  
    NDC 43538-530-10

    100 g aluminum can
Principal Display Panel 100 G Can Carton (PRINCIPAL DISPLAY PANEL - 100 g Can Carton)

NDC 43538-530-10

Rx Only

Ketodan®

Ketoconazole Foam, 2%

For Topical Use Only.

Not For Ophthalmic, Oral,

or Intravaginal Use.

Net wt. 100 g

MEDIMETRIKS

PHARMACEUTICALS, INC.

13.1 Carcinogenesis, Mutagenesis, Impairment of Fertility

Long-term animal studies have not been performed to evaluate the carcinogenic or photo-carcinogenic potential of ketoconazole foam, 2%.

In oral carcinogenicity studies in mice (18-months) and rats (24-months) at dose levels of 5, 20 and 80 mg/kg/day ketoconazole was not carcinogenic. The high dose in these studies was approximately 2.4 to 4.8 times the MRHD based on BSA comparisons. In a bacterial reverse mutation assay, ketoconazole did not express any mutagenic potential. In three in vivo assays (sister chromatid exchange in humans, dominant lethal and micronucleus tests in mice), ketoconazole did not exhibit any genotoxic potential.

In animal fertility studies, oral ketoconazole impaired both male and female fertility in rats in a dose and duration dependent manner. In females, oral doses up to 40 mg/kg (2.4 times the MRHD based on BSA comparisons) had no effect on fertility, while doses of 75 mg/kg (4.5 times the MRHD based on BSA comparisons) and higher decreased the pregnancy rate and number of implantation sites. In male rats, oral dosing at 200 mg/kg/day (12 times the MRHD based on BSA comparisons) for three days decreased fertility and 400 mg/kg/day (24 times the MRHD based on BSA comparisons) for three days resulted in a complete loss of fertility. When administered for longer durations (up to 3 months), decreased fertility in male rats was observed at doses as low as 24 mg/kg/day (1.4 times the MRHD based on BSA comparisons). In male beagle dogs, an oral dose of 25 mg/kg/day ketoconazole for up to 4 weeks (5.2 times the MRHD based on BSA comparisons) resulted in decreased sperm motility, decreased sperm count, increased abnormal sperm and atrophy of the testes. These effects were reversed subsequent to withdrawal of treatment.


Advanced Ingredient Data


Raw Label Data

All Sections (JSON)