5% Dextrose Injection Usp

5% Dextrose Injection Usp
SPL v7
SPL
SPL Set ID 60b6d7c3-0164-46c9-aa38-b5aa1c31a5d5
Route
INTRAVENOUS
Published
Effective Date 2024-01-05
Document Type 34391-3 HUMAN PRESCRIPTION DRUG LABEL

Drug Facts

Composition & Product

Active Ingredients
Anhydrous Dextrose (50 mg)
Inactive Ingredients
Water

Identifiers & Packaging

Marketing Status
NDA Active Since 1973-12-21

Description

Partial Fill

Indications and Usage

5% Dextrose Injection USP is indicated for use in adults and pediatric patients as sources of calories and water for hydration. This product is designed for use as a diluent and delivery system for intermittent intravenous administration of compatible drug additives. Consult prescribing information for INDICATIONS AND USAGE of drug additives to be administered in this manner.

Dosage and Administration

This solution is for intravenous use only. As directed by a physician. Dosage is dependent upon the age, weight, and clinical condition of the patient as well as laboratory determinations. Do not use plastic container in series connection. If administration is controlled by a pumping device, care must be taken to discontinue pumping action before the container runs dry or air embolism may result. This solution is intended for intravenous administration using sterile equipment. It is recommended that intravenous administration apparatus be replaced at least once every 24 hours. Use only if solution is clear and container and seals are intact. When using this product as a diluent or vehicle for administration of drug additives, consult the prescribing information of the drug to be used. Addition of medication should be accomplished using aseptic technique in order to assure sterility. Physicochemical studies have shown that the container and solution can withstand freezing. Some additives may be incompatible. Consult with pharmacist. When introducing additives, use aseptic techniques. Mix thoroughly. Do not store. Parenteral drug products should be inspected visually for particulate matter and discoloration prior to administration, whenever solution and container permit.

Contraindications

Solutions containing dextrose may be contraindicated in patients with hypersensitivity to corn products. Do not administer 5% Dextrose Injection USP simultaneously with blood through the same infusion set because hemolysis or pseudoagglutination may occur.

Adverse Reactions

Reactions which may occur because of the solution or the technique of administration include febrile response, infection at the site of injection, venous thrombosis or phlebitis extending from the site of injection, extravasation, and hypervolemia. The physician should also be alert to the possibility of adverse reactions to drug additives diluted and administered from the plastic partial fill container. Prescribing information for drug additives to be administered in this manner should be consulted. If an adverse reaction does occur, discontinue the infusion, evaluate the patient, institute appropriate therapeutic countermeasures, and save the remainder of the fluid for examination if deemed necessary.

Drug Interactions

Some additives may be incompatible. Consult with pharmacist. When introducing additives, use aseptic techniques. Mix thoroughly. Do not store.

How Supplied

5% Dextrose Injection USP is supplied sterile and nonpyrogenic in partial fill polyolefin containers. The 100/150 mL product is packaged 64 per case. The 50/100 mL product is packaged 84 per case. The 25/100 mL product is packaged 116 per case. NDC REF Fill/Container (mL)  5% Dextrose Injection USP      0264-1510-36  S5104-5410  25/100  0264-1510-31  S5104-5384  50/100  0264-1510-32  S5104-5264  100/150


Medication Information

Indications and Usage

5% Dextrose Injection USP is indicated for use in adults and pediatric patients as sources of calories and water for hydration.

This product is designed for use as a diluent and delivery system for intermittent intravenous administration of compatible drug additives. Consult prescribing information for INDICATIONS AND USAGE of drug additives to be administered in this manner.

Dosage and Administration

This solution is for intravenous use only.

As directed by a physician. Dosage is dependent upon the age, weight, and clinical condition of the patient as well as laboratory determinations.

Do not use plastic container in series connection.

If administration is controlled by a pumping device, care must be taken to discontinue pumping action before the container runs dry or air embolism may result.

This solution is intended for intravenous administration using sterile equipment. It is recommended that intravenous administration apparatus be replaced at least once every 24 hours.

Use only if solution is clear and container and seals are intact.

When using this product as a diluent or vehicle for administration of drug additives, consult the prescribing information of the drug to be used.

Addition of medication should be accomplished using aseptic technique in order to assure sterility.

Physicochemical studies have shown that the container and solution can withstand freezing.

Some additives may be incompatible. Consult with pharmacist. When introducing additives, use aseptic techniques. Mix thoroughly. Do not store.

Parenteral drug products should be inspected visually for particulate matter and discoloration prior to administration, whenever solution and container permit.

Contraindications

Solutions containing dextrose may be contraindicated in patients with hypersensitivity to corn products.

Do not administer 5% Dextrose Injection USP simultaneously with blood through the same infusion set because hemolysis or pseudoagglutination may occur.

Adverse Reactions

Reactions which may occur because of the solution or the technique of administration include febrile response, infection at the site of injection, venous thrombosis or phlebitis extending from the site of injection, extravasation, and hypervolemia.

The physician should also be alert to the possibility of adverse reactions to drug additives diluted and administered from the plastic partial fill container. Prescribing information for drug additives to be administered in this manner should be consulted.

If an adverse reaction does occur, discontinue the infusion, evaluate the patient, institute appropriate therapeutic countermeasures, and save the remainder of the fluid for examination if deemed necessary.

Drug Interactions

Some additives may be incompatible. Consult with pharmacist. When introducing additives, use aseptic techniques. Mix thoroughly. Do not store.

How Supplied

5% Dextrose Injection USP is supplied sterile and nonpyrogenic in partial fill polyolefin containers. The 100/150 mL product is packaged 64 per case. The 50/100 mL product is packaged 84 per case. The 25/100 mL product is packaged 116 per case.

NDC REF Fill/Container (mL)
 5% Dextrose Injection USP    
 0264-1510-36  S5104-5410  25/100
 0264-1510-31  S5104-5384  50/100
 0264-1510-32  S5104-5264  100/150
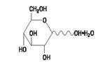
Description

Each mL of 5% Dextrose Injection USP contains:

Hydrous Dextrose USP 50 mg; Water for Injection USP qs

pH: 4.5 (3.5–6.5)

Calculated Osmolarity: 250 mOsmol/liter

Calories per 100 mL: 17

This solution is sterile, nonpyrogenic, isotonic and contains no bacteriostatic or antimicrobial agents. This product is intended for intravenous administration.

The formula of the active ingredient is:

Ingredient Molecular Formula Molecular Weight
      
 Hydrous Dextrose USP  
 198.17



      

Not made with natural rubber latex, PVC, or DEHP. 

The plastic container is a copolymer of ethylene and propylene formulated and developed for parenteral drugs. The copolymer contains no plasticizers and exhibits virtually no leachability. The safety of the plastic container has been confirmed by biological evaluation procedures. The material passes Class VI testing as specified in the U.S. Pharmacopeia for Biological Tests — Plastic Containers. These tests have shown that the container is nontoxic and biologically inert.

The container/solution unit is a closed system and is not dependent upon entry of external air during administration. The container has two ports, one is for the intravenous administration set and the other is a medication addition site. Each is covered by a tamperproof barrier. Refer to the Directions for Use of the container to properly identify the ports.

No vapor barrier is necessary.

Section 42229-5

Partial Fill

Section 44425-7

Exposure of pharmaceutical products to heat should be minimized. Avoid excessive heat. It is recommended that the product be stored at room temperature (25°C); however, brief exposure up to 40°C does not adversely affect the product.

General

This solution should be used with care in patients with hypervolemia, renal insufficiency, urinary tract obstruction, or impending or frank cardiac decompensation.

Solutions containing dextrose should be used with caution in patients with overt or known subclinical diabetes mellitus or carbohydrate intolerance for any reason.

To minimize the risk of possible incompatibilities arising from mixing this solution with other additives that may be prescribed, the final infusate should be inspected for cloudiness or precipitation immediately after mixing, prior to administration, and periodically during administration.

Warnings

The administration of intravenous solutions can cause fluid and/or solute overload resulting in dilution of serum electrolyte concentrations, overhydration, congested states or pulmonary edema. The risk of dilutional states is inversely proportional to the electrolyte concentrations of administered parenteral solutions.

Prolonged infusion of isotonic or hypotonic dextrose in water may increase the volume of extracellular fluid and cause water intoxication.

Solutions containing dextrose without electrolytes should not be administered simultaneously with blood through the same infusion set because of the possibility of agglomeration.

Excessive administration of potassium-free dextrose solutions may result in significant hypokalemia. Serum potassium levels should be maintained and potassium supplemented as required.

In very low birth weight infants, excessive or rapid administration of dextrose injection may result in increased serum osmolality and possible intracerebral hemorrhage.

Overdosage

In the event of a fluid or solute overload, reevaluate the patient's condition, and institute appropriate corrective treatment.

The administration of intravenous solutions can cause fluid and/or solute overload resulting in dilution of serum electrolyte concentrations, overhydration, congested states or pulmonary edema. The risk of dilutional states is inversely proportional to the electrolyte concentrations of administered parenteral solutions.

Prolonged infusion of isotonic or hypotonic dextrose in water may increase the volume of extracellular fluid and cause water intoxication.

Geriatric Use

An evaluation of current literature revealed no clinical experience identifying differences in responses between the elderly and younger patients. In general, dose selection for an elderly patient should be cautious, usually starting at the low end of the dosing range, reflecting the greater frequency of decreased hepatic, renal, or cardiac function, and of concomitant disease or other drug therapy.

This drug is known to be substantially excreted by the kidney, and the risk of toxic reactions to this drug may be greater in patients with impaired renal function. Because elderly patients are more likely to have decreased renal function, care should be taken in dose selection, and it may be useful to monitor renal function.

Pediatric Use

The safety and effectiveness in the pediatric population are based on the similarity of the clinical conditions of the pediatric and adult populations.

In neonates or in very small infants even small volumes of fluid may affect fluid and electrolyte balance. Care must be exercised in treatment of neonates, especially pre-term neonates, whose renal function may be immature and whose ability to excrete fluid and solute loads may be limited. Fluid intake, urine output, and serum electrolytes should be monitored closely.

In very low birth weight infants, excessive or rapid administration of dextrose injection may result in increased serum osmolality and possible intracerebral hemorrhage.

Serum glucose concentrations should be frequently monitored when dextrose is prescribed to pediatric patients, particularly infants, neonates, and low birth weight infants. See WARNINGS and DOSAGE AND ADMINISTRATION .

Nursing Mothers

Because many drugs are excreted in human milk, caution should be exercised when 5% Dextrose Injection USP is administered to a nursing woman.

Laboratory Tests

Clinical evaluation and periodic laboratory determinations are necessary to monitor changes in fluid balance, electrolyte concentrations, and acid-base balance during prolonged parenteral therapy or whenever the condition of the patient warrants such evaluation. Significant deviations from normal concentrations may require tailoring of the electrolyte pattern, in this or an alternative solution(s).

Labor and Delivery

As reported in the literature, dextrose solutions have been administered during labor and delivery. Caution should be exercised, and the fluid balance, glucose and electrolyte concentrations and acid-base balance, of both mother and fetus should be evaluated periodically or whenever warranted by the condition of the patient or fetus.

Teratogenic Effects

Animal reproduction studies have not been conducted with 5% Dextrose Injection USP. It is also not known whether 5% Dextrose Injection USP can cause fetal harm when administered to a pregnant woman or can affect reproduction capacity. 5% Dextrose Injection USP should be given to a pregnant woman only if clearly needed.

Clinical Pharmacology

5% Dextrose Injection USP provides calories and is a source of water for hydration. It is capable of inducing diuresis depending on the volume administered and the clinical condition of the patient.

Dextrose is readily metabolized, may decrease losses of body protein and nitrogen, promotes glycogen deposition and decreases or prevents ketosis if sufficient doses are provided.

Water is an essential constituent of all body tissues and accounts for approximately 70% of total body weight. Average normal adult daily requirements range from two to three liters (1.0 to 1.5 liters each for insensible water loss by perspiration and urine production).

Directions for Use of Pab® Container

Aseptic technique is required.

Caution: Before use, perform the following checks: Read the label. Ensure solution is the one ordered and is within the expiration date.

Inspect the solution in good light for cloudiness, haze or particulate matter; check the container for leakage or damage. Any container which is suspect should not be used.

Use only if solution is clear and container and seals are intact. Single dose container. Discard unused portion. Consult Package Insert for complete product information.

The physician should also be alert to the possibility of adverse reactions to drug additives diluted and administered from the plastic partial fill container. Prescribing information for drug additives to be administered in this manner should be consulted.

Do not use plastic container in series connection.

This solution is intended for intravenous administration using sterile equipment. It is recommended that intravenous administration apparatus be replaced at least once every 24 hours.

Physicochemical studies have shown that the container and solution can withstand freezing.

  • Identify Two Ports (See Figure A).

  • To Add Medication

    Remove additive port closure: hold container  below additive port and grasp cap between thumb and forefinger then flip cap upward (See Figure B). Swab exposed additive port. Using a syringe with 18 gauge or smaller needle, insert cannula through resealable additive port and add desired drug. Mix thoroughly.

    Note: Partial fill bags have been designed to accept an overfill of up to 50 mL.

  • To Attach Administration Set

    To aseptically remove the set port closure: hold container below the set port and grasp the foil tab between the thumb and forefinger then pull the tab in two steps as shown in Figure C Steps 1 and 2.

  • Push spike through the diaphragm of the port (See Figure D). Hang container using hole on the lower flap. Prime set in accordance with the Directions for Use provided with the set in use.

When the container is to be used as a diluent and delivery system for intermittent intravenous administration of compatible drug additives, consult prescribing information for INDICATIONS AND USAGE of drug additives to be administered in this manner.

Warning: Some additives may be incompatible. Consult with pharmacist. When introducing additives, use aseptic techniques. Mix thoroughly. Do not store.

PAB containers can be safely transported in a standard 6-inch carrier through a pneumatic tube system that is well maintained and running properly.

Principal Display Panel 25 Ml Partial Fill

5% Dextrose

Injection USP

NDC 0264-1510-36

REF S5104-5410

25 mL Partial Fill

in 100 mL PAB® Container

Each mL contains: Hydrous Dextrose USP 50 mg; Water for Injection USP qs

pH: 4.5 (3.5-6.5) Calc. Osmolarity: 250 mOsmol/liter

Do not administer simultaneously with blood.

Sterile, nonpyrogenic. Single dose container. For intravenous use only.

Use only if solution is clear and container and seals are intact.

WARNING:  Some additives may be incompatible. Consult with

pharmacist. When introducing additives, use aseptic techniques.

Mix thoroughly. Do not store.

Recommended Storage: Room temperature (25°C).

Avoid excessive heat. See Package Insert.                Rx only

Not made with natural rubber latex, PVC, or DEHP. 

PAB is a registered trademark of B. Braun Medical Inc.

B. Braun Medical Inc.

Bethlehem, PA 18018-3524 USA

1-800-227-2862

Y94-003-467   LD-214-3

LOT   EXP







Principal Display Panel 50 Ml Partial Fill

5% Dextrose

Injection USP

NDC 0264-1510-31

REF S5104-5384

50 mL Partial Fill

in 100 mL PAB® Container

Each mL contains: Hydrous Dextrose USP 50 mg; Water for Injection USP qs

pH: 4.5 (3.5-6.5) Calc. Osmolarity: 250 mOsmol/liter



Do not administer simultaneously with blood.

Sterile, nonpyrogenic. Single dose container. For intravenous use only.

Use only if solution is clear and container and seals are intact.

WARNING:  Some additives may be incompatible. Consult with

pharmacist. When introducing additives, use aseptic techniques.

Mix thoroughly. Do not store.

Recommended Storage: Room temperature (25°C).

Avoid excessive heat. See Package Insert.                 Rx Only

Not made with natural rubber latex, PVC, or DEHP.

PAB is a registered trademark of B. Braun Medical Inc.

B. Braun Medical Inc.

Bethlehem, PA 18018-3524 USA

1-800-227-2862

Y94-003-466   LD-215-3

LOT      EXP





Principal Display Panel 100 Ml Partial Fill

5% Dextrose

Injection USP

NDC 0264-1510-32

REF S5104-5264

100 mL Partial Fill

in 150 mL

PAB® Container 

Each mL contains:

Hydrous Dextrose USP 50 mg

Water for Injection USP qs



pH: 4.5 (3.5-6.5)

Calc. Osmolarity: 250 mOsmol/liter



Do not administer simultaneously with blood.



Sterile, nonpyrogenic. Single dose container.

For intravenous use only. Use only if solution is clear

and container and seals are intact.



WARNING: Some additives may be incompatible.

Consult with pharmacist. When introducing additives,

use aseptic techniques. Mix thoroughly. Do not store.



Recommended Storage: Room temperature (25°C).

Avoid excessive heat. See Package Insert.         



Not made with natural rubber latex, PVC, or DEHP.        Rx only



PAB is a registered trademark of B. Braun Medical Inc.

B. Braun Medical Inc.

Bethlehem, PA 18018-3524 USA

1-800-227-2862

Y94-003-465  LD-216-3

LOT       EXP

Carcinogenesis, Mutagenesis, Impairment of Fertility

Studies with 5% Dextrose Injection USP have not been performed to evaluate carcinogenic potential, mutagenic potential or effects on fertility.


Structured Label Content

Section 42229-5 (42229-5)

Partial Fill

Section 44425-7 (44425-7)

Exposure of pharmaceutical products to heat should be minimized. Avoid excessive heat. It is recommended that the product be stored at room temperature (25°C); however, brief exposure up to 40°C does not adversely affect the product.

General

This solution should be used with care in patients with hypervolemia, renal insufficiency, urinary tract obstruction, or impending or frank cardiac decompensation.

Solutions containing dextrose should be used with caution in patients with overt or known subclinical diabetes mellitus or carbohydrate intolerance for any reason.

To minimize the risk of possible incompatibilities arising from mixing this solution with other additives that may be prescribed, the final infusate should be inspected for cloudiness or precipitation immediately after mixing, prior to administration, and periodically during administration.

Warnings (WARNINGS)

The administration of intravenous solutions can cause fluid and/or solute overload resulting in dilution of serum electrolyte concentrations, overhydration, congested states or pulmonary edema. The risk of dilutional states is inversely proportional to the electrolyte concentrations of administered parenteral solutions.

Prolonged infusion of isotonic or hypotonic dextrose in water may increase the volume of extracellular fluid and cause water intoxication.

Solutions containing dextrose without electrolytes should not be administered simultaneously with blood through the same infusion set because of the possibility of agglomeration.

Excessive administration of potassium-free dextrose solutions may result in significant hypokalemia. Serum potassium levels should be maintained and potassium supplemented as required.

In very low birth weight infants, excessive or rapid administration of dextrose injection may result in increased serum osmolality and possible intracerebral hemorrhage.

Overdosage (OVERDOSAGE)

In the event of a fluid or solute overload, reevaluate the patient's condition, and institute appropriate corrective treatment.

The administration of intravenous solutions can cause fluid and/or solute overload resulting in dilution of serum electrolyte concentrations, overhydration, congested states or pulmonary edema. The risk of dilutional states is inversely proportional to the electrolyte concentrations of administered parenteral solutions.

Prolonged infusion of isotonic or hypotonic dextrose in water may increase the volume of extracellular fluid and cause water intoxication.

Description (DESCRIPTION)

Each mL of 5% Dextrose Injection USP contains:

Hydrous Dextrose USP 50 mg; Water for Injection USP qs

pH: 4.5 (3.5–6.5)

Calculated Osmolarity: 250 mOsmol/liter

Calories per 100 mL: 17

This solution is sterile, nonpyrogenic, isotonic and contains no bacteriostatic or antimicrobial agents. This product is intended for intravenous administration.

The formula of the active ingredient is:

Ingredient Molecular Formula Molecular Weight
      
 Hydrous Dextrose USP  
 198.17



      

Not made with natural rubber latex, PVC, or DEHP. 

The plastic container is a copolymer of ethylene and propylene formulated and developed for parenteral drugs. The copolymer contains no plasticizers and exhibits virtually no leachability. The safety of the plastic container has been confirmed by biological evaluation procedures. The material passes Class VI testing as specified in the U.S. Pharmacopeia for Biological Tests — Plastic Containers. These tests have shown that the container is nontoxic and biologically inert.

The container/solution unit is a closed system and is not dependent upon entry of external air during administration. The container has two ports, one is for the intravenous administration set and the other is a medication addition site. Each is covered by a tamperproof barrier. Refer to the Directions for Use of the container to properly identify the ports.

No vapor barrier is necessary.

How Supplied (HOW SUPPLIED)

5% Dextrose Injection USP is supplied sterile and nonpyrogenic in partial fill polyolefin containers. The 100/150 mL product is packaged 64 per case. The 50/100 mL product is packaged 84 per case. The 25/100 mL product is packaged 116 per case.

NDC REF Fill/Container (mL)
 5% Dextrose Injection USP    
 0264-1510-36  S5104-5410  25/100
 0264-1510-31  S5104-5384  50/100
 0264-1510-32  S5104-5264  100/150
Geriatric Use

An evaluation of current literature revealed no clinical experience identifying differences in responses between the elderly and younger patients. In general, dose selection for an elderly patient should be cautious, usually starting at the low end of the dosing range, reflecting the greater frequency of decreased hepatic, renal, or cardiac function, and of concomitant disease or other drug therapy.

This drug is known to be substantially excreted by the kidney, and the risk of toxic reactions to this drug may be greater in patients with impaired renal function. Because elderly patients are more likely to have decreased renal function, care should be taken in dose selection, and it may be useful to monitor renal function.

Pediatric Use

The safety and effectiveness in the pediatric population are based on the similarity of the clinical conditions of the pediatric and adult populations.

In neonates or in very small infants even small volumes of fluid may affect fluid and electrolyte balance. Care must be exercised in treatment of neonates, especially pre-term neonates, whose renal function may be immature and whose ability to excrete fluid and solute loads may be limited. Fluid intake, urine output, and serum electrolytes should be monitored closely.

In very low birth weight infants, excessive or rapid administration of dextrose injection may result in increased serum osmolality and possible intracerebral hemorrhage.

Serum glucose concentrations should be frequently monitored when dextrose is prescribed to pediatric patients, particularly infants, neonates, and low birth weight infants. See WARNINGS and DOSAGE AND ADMINISTRATION .

Nursing Mothers

Because many drugs are excreted in human milk, caution should be exercised when 5% Dextrose Injection USP is administered to a nursing woman.

Laboratory Tests

Clinical evaluation and periodic laboratory determinations are necessary to monitor changes in fluid balance, electrolyte concentrations, and acid-base balance during prolonged parenteral therapy or whenever the condition of the patient warrants such evaluation. Significant deviations from normal concentrations may require tailoring of the electrolyte pattern, in this or an alternative solution(s).

Adverse Reactions (ADVERSE REACTIONS)

Reactions which may occur because of the solution or the technique of administration include febrile response, infection at the site of injection, venous thrombosis or phlebitis extending from the site of injection, extravasation, and hypervolemia.

The physician should also be alert to the possibility of adverse reactions to drug additives diluted and administered from the plastic partial fill container. Prescribing information for drug additives to be administered in this manner should be consulted.

If an adverse reaction does occur, discontinue the infusion, evaluate the patient, institute appropriate therapeutic countermeasures, and save the remainder of the fluid for examination if deemed necessary.

Contraindications (CONTRAINDICATIONS)

Solutions containing dextrose may be contraindicated in patients with hypersensitivity to corn products.

Do not administer 5% Dextrose Injection USP simultaneously with blood through the same infusion set because hemolysis or pseudoagglutination may occur.

Drug Interactions

Some additives may be incompatible. Consult with pharmacist. When introducing additives, use aseptic techniques. Mix thoroughly. Do not store.

Labor and Delivery

As reported in the literature, dextrose solutions have been administered during labor and delivery. Caution should be exercised, and the fluid balance, glucose and electrolyte concentrations and acid-base balance, of both mother and fetus should be evaluated periodically or whenever warranted by the condition of the patient or fetus.

Teratogenic Effects

Animal reproduction studies have not been conducted with 5% Dextrose Injection USP. It is also not known whether 5% Dextrose Injection USP can cause fetal harm when administered to a pregnant woman or can affect reproduction capacity. 5% Dextrose Injection USP should be given to a pregnant woman only if clearly needed.

Clinical Pharmacology (CLINICAL PHARMACOLOGY)

5% Dextrose Injection USP provides calories and is a source of water for hydration. It is capable of inducing diuresis depending on the volume administered and the clinical condition of the patient.

Dextrose is readily metabolized, may decrease losses of body protein and nitrogen, promotes glycogen deposition and decreases or prevents ketosis if sufficient doses are provided.

Water is an essential constituent of all body tissues and accounts for approximately 70% of total body weight. Average normal adult daily requirements range from two to three liters (1.0 to 1.5 liters each for insensible water loss by perspiration and urine production).

Indications and Usage (INDICATIONS AND USAGE)

5% Dextrose Injection USP is indicated for use in adults and pediatric patients as sources of calories and water for hydration.

This product is designed for use as a diluent and delivery system for intermittent intravenous administration of compatible drug additives. Consult prescribing information for INDICATIONS AND USAGE of drug additives to be administered in this manner.

Dosage and Administration (DOSAGE AND ADMINISTRATION)

This solution is for intravenous use only.

As directed by a physician. Dosage is dependent upon the age, weight, and clinical condition of the patient as well as laboratory determinations.

Do not use plastic container in series connection.

If administration is controlled by a pumping device, care must be taken to discontinue pumping action before the container runs dry or air embolism may result.

This solution is intended for intravenous administration using sterile equipment. It is recommended that intravenous administration apparatus be replaced at least once every 24 hours.

Use only if solution is clear and container and seals are intact.

When using this product as a diluent or vehicle for administration of drug additives, consult the prescribing information of the drug to be used.

Addition of medication should be accomplished using aseptic technique in order to assure sterility.

Physicochemical studies have shown that the container and solution can withstand freezing.

Some additives may be incompatible. Consult with pharmacist. When introducing additives, use aseptic techniques. Mix thoroughly. Do not store.

Parenteral drug products should be inspected visually for particulate matter and discoloration prior to administration, whenever solution and container permit.

Directions for Use of Pab® Container (Directions For Use of PAB® Container)

Aseptic technique is required.

Caution: Before use, perform the following checks: Read the label. Ensure solution is the one ordered and is within the expiration date.

Inspect the solution in good light for cloudiness, haze or particulate matter; check the container for leakage or damage. Any container which is suspect should not be used.

Use only if solution is clear and container and seals are intact. Single dose container. Discard unused portion. Consult Package Insert for complete product information.

The physician should also be alert to the possibility of adverse reactions to drug additives diluted and administered from the plastic partial fill container. Prescribing information for drug additives to be administered in this manner should be consulted.

Do not use plastic container in series connection.

This solution is intended for intravenous administration using sterile equipment. It is recommended that intravenous administration apparatus be replaced at least once every 24 hours.

Physicochemical studies have shown that the container and solution can withstand freezing.

  • Identify Two Ports (See Figure A).

  • To Add Medication

    Remove additive port closure: hold container  below additive port and grasp cap between thumb and forefinger then flip cap upward (See Figure B). Swab exposed additive port. Using a syringe with 18 gauge or smaller needle, insert cannula through resealable additive port and add desired drug. Mix thoroughly.

    Note: Partial fill bags have been designed to accept an overfill of up to 50 mL.

  • To Attach Administration Set

    To aseptically remove the set port closure: hold container below the set port and grasp the foil tab between the thumb and forefinger then pull the tab in two steps as shown in Figure C Steps 1 and 2.

  • Push spike through the diaphragm of the port (See Figure D). Hang container using hole on the lower flap. Prime set in accordance with the Directions for Use provided with the set in use.

When the container is to be used as a diluent and delivery system for intermittent intravenous administration of compatible drug additives, consult prescribing information for INDICATIONS AND USAGE of drug additives to be administered in this manner.

Warning: Some additives may be incompatible. Consult with pharmacist. When introducing additives, use aseptic techniques. Mix thoroughly. Do not store.

PAB containers can be safely transported in a standard 6-inch carrier through a pneumatic tube system that is well maintained and running properly.

Principal Display Panel 25 Ml Partial Fill (PRINCIPAL DISPLAY PANEL - 25 mL Partial Fill)

5% Dextrose

Injection USP

NDC 0264-1510-36

REF S5104-5410

25 mL Partial Fill

in 100 mL PAB® Container

Each mL contains: Hydrous Dextrose USP 50 mg; Water for Injection USP qs

pH: 4.5 (3.5-6.5) Calc. Osmolarity: 250 mOsmol/liter

Do not administer simultaneously with blood.

Sterile, nonpyrogenic. Single dose container. For intravenous use only.

Use only if solution is clear and container and seals are intact.

WARNING:  Some additives may be incompatible. Consult with

pharmacist. When introducing additives, use aseptic techniques.

Mix thoroughly. Do not store.

Recommended Storage: Room temperature (25°C).

Avoid excessive heat. See Package Insert.                Rx only

Not made with natural rubber latex, PVC, or DEHP. 

PAB is a registered trademark of B. Braun Medical Inc.

B. Braun Medical Inc.

Bethlehem, PA 18018-3524 USA

1-800-227-2862

Y94-003-467   LD-214-3

LOT   EXP







Principal Display Panel 50 Ml Partial Fill (PRINCIPAL DISPLAY PANEL - 50 mL Partial Fill)

5% Dextrose

Injection USP

NDC 0264-1510-31

REF S5104-5384

50 mL Partial Fill

in 100 mL PAB® Container

Each mL contains: Hydrous Dextrose USP 50 mg; Water for Injection USP qs

pH: 4.5 (3.5-6.5) Calc. Osmolarity: 250 mOsmol/liter



Do not administer simultaneously with blood.

Sterile, nonpyrogenic. Single dose container. For intravenous use only.

Use only if solution is clear and container and seals are intact.

WARNING:  Some additives may be incompatible. Consult with

pharmacist. When introducing additives, use aseptic techniques.

Mix thoroughly. Do not store.

Recommended Storage: Room temperature (25°C).

Avoid excessive heat. See Package Insert.                 Rx Only

Not made with natural rubber latex, PVC, or DEHP.

PAB is a registered trademark of B. Braun Medical Inc.

B. Braun Medical Inc.

Bethlehem, PA 18018-3524 USA

1-800-227-2862

Y94-003-466   LD-215-3

LOT      EXP





Principal Display Panel 100 Ml Partial Fill (PRINCIPAL DISPLAY PANEL - 100 mL Partial Fill)

5% Dextrose

Injection USP

NDC 0264-1510-32

REF S5104-5264

100 mL Partial Fill

in 150 mL

PAB® Container 

Each mL contains:

Hydrous Dextrose USP 50 mg

Water for Injection USP qs



pH: 4.5 (3.5-6.5)

Calc. Osmolarity: 250 mOsmol/liter



Do not administer simultaneously with blood.



Sterile, nonpyrogenic. Single dose container.

For intravenous use only. Use only if solution is clear

and container and seals are intact.



WARNING: Some additives may be incompatible.

Consult with pharmacist. When introducing additives,

use aseptic techniques. Mix thoroughly. Do not store.



Recommended Storage: Room temperature (25°C).

Avoid excessive heat. See Package Insert.         



Not made with natural rubber latex, PVC, or DEHP.        Rx only



PAB is a registered trademark of B. Braun Medical Inc.

B. Braun Medical Inc.

Bethlehem, PA 18018-3524 USA

1-800-227-2862

Y94-003-465  LD-216-3

LOT       EXP

Carcinogenesis, Mutagenesis, Impairment of Fertility

Studies with 5% Dextrose Injection USP have not been performed to evaluate carcinogenic potential, mutagenic potential or effects on fertility.


Advanced Ingredient Data


Raw Label Data

All Sections (JSON)