These Highlights Do Not Include All The Information Needed To Use Macrilen Safely And Effectively. See Full Prescribing Information For Macrilen.

These Highlights Do Not Include All The Information Needed To Use Macrilen Safely And Effectively. See Full Prescribing Information For Macrilen.
SPL v7
SPL
SPL Set ID 6034c9b8-5a36-4961-a5dd-11ebf7bdab78
Route
ORAL
Published
Effective Date 2021-07-30
Document Type 34391-3 HUMAN PRESCRIPTION DRUG LABEL

Drug Facts

Composition & Product

Active Ingredients
Macimorelin (60 mg)
Inactive Ingredients
Lactose Monohydrate Silicon Dioxide Sodium Stearyl Fumarate Saccharin Sodium Crospovidone, Unspecified

Identifiers & Packaging

Marketing Status
NDA Completed Since 2022-01-31 Until 2027-02-28

Description

MACRILEN is indicated for the diagnosis of adult growth hormone deficiency (AGHD).

Indications and Usage

MACRILEN is indicated for the diagnosis of adult growth hormone deficiency (AGHD).

Dosage and Administration

• Recommended dose is 0.5 mg/kg as a single oral dose, after fasting for at least 8 hours ( 2.1 ). • See Full Prescribing Information for important preparation and administration instructions ( 2.3 ). • Discontinue therapy with strong CYP3A4 inducers, growth hormones and drugs that affect GH release for an adequate length of time before administering MACRILEN ( 2.2 ). • Adequately replace other hormone deficiencies before administering MACRILEN ( 2.2 ).

Warnings and Precautions

• QT Prolongation: QT prolongation can lead to development of torsade de pointes-type ventricular tachycardia. Avoid the concomitant use of MACRILEN with drugs that are known to prolong QT interval ( 5.1 , 7.1 ). • Potential for False Positive Test Results with Use of Strong CYP3A4 Inducers: Discontinue and washout strong CYP3A4 inducers before testing ( 5.2 , 7.2 ). • Potential for False Negative Test Results in Recent Onset Hypothalamic Disease: Consider repeat testing if indicated ( 5.3 ).

Contraindications

None

Adverse Reactions

The most common adverse reactions were dysgeusia, dizziness, headache, fatigue, nausea, hunger, diarrhea, upper respiratory tract infection, feeling hot, hyperhidrosis, nasopharyngitis, and sinus bradycardia ( 6.1 ). To report SUSPECTED ADVERSE REACTIONS, contact Novo Nordisk Inc. at 1-800-727-6500, or FDA at 1-800-FDA-1088 or www.fda.gov/medwatch.

Storage and Handling

MACRILEN 60 mg is supplied as white to off-white granules in an aluminum pouch. Each pouch contains 60 mg macimorelin (equivalent to 68 mg macimorelin acetate) that when reconstituted with 120 mL of water provides a 60 mg/120 mL (0.5 mg/mL) macimorelin solution. MACRILEN is available in boxes containing 1 pouch per box (NDC 0169-1401-01). Before administration, MACRILEN for oral solution must be reconstituted by a healthcare professional [see Dosage and Administration ( 2.3 )]. Store pouches under refrigeration at 2-8°C (36-46°F). The solution must be used within 30 minutes after preparation. Discard unused portion.

How Supplied

MACRILEN 60 mg is supplied as white to off-white granules in an aluminum pouch. Each pouch contains 60 mg macimorelin (equivalent to 68 mg macimorelin acetate) that when reconstituted with 120 mL of water provides a 60 mg/120 mL (0.5 mg/mL) macimorelin solution. MACRILEN is available in boxes containing 1 pouch per box (NDC 0169-1401-01). Before administration, MACRILEN for oral solution must be reconstituted by a healthcare professional [see Dosage and Administration ( 2.3 )]. Store pouches under refrigeration at 2-8°C (36-46°F). The solution must be used within 30 minutes after preparation. Discard unused portion.


Medication Information

Warnings and Precautions

• QT Prolongation: QT prolongation can lead to development of torsade de pointes-type ventricular tachycardia. Avoid the concomitant use of MACRILEN with drugs that are known to prolong QT interval ( 5.1 , 7.1 ). • Potential for False Positive Test Results with Use of Strong CYP3A4 Inducers: Discontinue and washout strong CYP3A4 inducers before testing ( 5.2 , 7.2 ). • Potential for False Negative Test Results in Recent Onset Hypothalamic Disease: Consider repeat testing if indicated ( 5.3 ).

Indications and Usage

MACRILEN is indicated for the diagnosis of adult growth hormone deficiency (AGHD).

Dosage and Administration

• Recommended dose is 0.5 mg/kg as a single oral dose, after fasting for at least 8 hours ( 2.1 ). • See Full Prescribing Information for important preparation and administration instructions ( 2.3 ). • Discontinue therapy with strong CYP3A4 inducers, growth hormones and drugs that affect GH release for an adequate length of time before administering MACRILEN ( 2.2 ). • Adequately replace other hormone deficiencies before administering MACRILEN ( 2.2 ).

Contraindications

None

Adverse Reactions

The most common adverse reactions were dysgeusia, dizziness, headache, fatigue, nausea, hunger, diarrhea, upper respiratory tract infection, feeling hot, hyperhidrosis, nasopharyngitis, and sinus bradycardia ( 6.1 ). To report SUSPECTED ADVERSE REACTIONS, contact Novo Nordisk Inc. at 1-800-727-6500, or FDA at 1-800-FDA-1088 or www.fda.gov/medwatch.

Storage and Handling

MACRILEN 60 mg is supplied as white to off-white granules in an aluminum pouch. Each pouch contains 60 mg macimorelin (equivalent to 68 mg macimorelin acetate) that when reconstituted with 120 mL of water provides a 60 mg/120 mL (0.5 mg/mL) macimorelin solution. MACRILEN is available in boxes containing 1 pouch per box (NDC 0169-1401-01). Before administration, MACRILEN for oral solution must be reconstituted by a healthcare professional [see Dosage and Administration ( 2.3 )]. Store pouches under refrigeration at 2-8°C (36-46°F). The solution must be used within 30 minutes after preparation. Discard unused portion.

How Supplied

MACRILEN 60 mg is supplied as white to off-white granules in an aluminum pouch. Each pouch contains 60 mg macimorelin (equivalent to 68 mg macimorelin acetate) that when reconstituted with 120 mL of water provides a 60 mg/120 mL (0.5 mg/mL) macimorelin solution. MACRILEN is available in boxes containing 1 pouch per box (NDC 0169-1401-01). Before administration, MACRILEN for oral solution must be reconstituted by a healthcare professional [see Dosage and Administration ( 2.3 )]. Store pouches under refrigeration at 2-8°C (36-46°F). The solution must be used within 30 minutes after preparation. Discard unused portion.

Description

MACRILEN is indicated for the diagnosis of adult growth hormone deficiency (AGHD).

Section 42229-5

Limitations of Use

The safety and diagnostic performance of MACRILEN have not been established for subjects with a body mass index (BMI) > 40 kg/m2.

Section 51945-4
  •  
    NDC 0169-1401-01 List: 140101

Macrilen™

(macimorelin) for oral solution

60 mg

CONTAINS ONE POUCH.

Use the Macrilen™ solution within

30 minutes after preparation.

Discard any unused Macrilen™ solution.

For oral use only.

Rx only

10 Overdosage

In the event of an overdose, symptomatic and supportive measures should be employed.

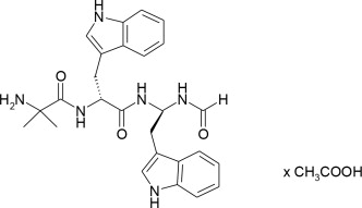
11 Description

MACRILEN for oral solution is macimorelin acetate, a synthetic growth hormone secretagogue receptor agonist. Macimorelin acetate is described chemically as D-Tryptophanamide, 2-methylalanyl-N-[(1R)-1-(formylamino)-2-(1H-indol-3-yl)ethyl]-acetate.

The molecular formula for macimorelin acetate is C28H34N6O5 with a molecular weight of 534.6 g/mol.

Figure 1: Chemical structure of macimorelin acetate

Each aluminum pouch of MACRILEN contains 60 mg of macimorelin, equivalent to 68 mg of macimorelin acetate, and the following inactive ingredients: lactose monohydrate, crospovidone, sodium stearyl fumarate, saccharin sodium and colloidal silicon dioxide.

8.4 Pediatric Use

The safety and efficacy of MACRILEN in pediatric patients have not been established.

8.5 Geriatric Use

Growth hormone secretion normally decreases with age. Therefore, elderly subjects might require a lower cut-off point for diagnosis of adult growth hormone deficiency. Clinical studies of MACRILEN did not include a sufficient number of subjects aged 65 and over to determine whether elderly patients respond differently from younger subjects.

14 Clinical Studies

The diagnostic efficacy of the MACRILEN test was established in a randomized, open-label, single-dose, cross-over study. The objective of the study was to compare the level of agreement between MACRILEN test results and insulin tolerance test (ITT) results in adult patients with different pre-test probability of growth hormone deficiency and healthy control subjects. The four groups of individuals evaluated were:

  • Group A: Adults with a high likelihood of growth hormone deficiency (GHD)
    • o
      Structural hypothalamic or pituitary lesions and low insulin-like growth factor 1 (IGF-1), and/or
    • o
      Three or more pituitary hormone deficiencies and low IGF-1, or
    • o
      Childhood onset GHD with structural lesions and low IGF-1.
  • Group B: Adults with an intermediate likelihood of GHD
    • o
      Eligible subjects not qualifying for either high or low likelihood.
  • Group C: Adults with a low likelihood of GHD
    • o
      One risk factor for GHD only, such as history of distant traumatic brain injury or one pituitary hormone deficiency only with otherwise normal pituitary function, or
    • o
      Isolated idiopathic childhood onset GHD without additional pituitary deficits.
  • Group D: Healthy adult controls
    • o
      Healthy subjects matching Group A subjects by sex, age ± 5 years, body mass index (BMI ± 2 kg/m2), and estrogen status (females only).

For both the ITT and the MACRILEN test, serum concentrations of growth hormone were measured at 30, 45, 60, and 90 minutes after drug administration. The test was considered positive (i.e., growth hormone deficiency diagnosed) if the maximum serum GH level observed after stimulation was less than the pre-specified cut point value of 2.8 ng/mL for the MACRILEN test or 5.1 ng/mL for the ITT.

The level of negative and positive agreement between the results of the ITT and the MACRILEN test was used to evaluate the performance of the MACRILEN test. In the study, the ITT is used as the benchmark (i.e., a negative ITT indicates absence of disease and a positive ITT indicates presence of disease). Negative agreement is the proportion of subjects with a negative ITT (i.e., those who do not have GHD per the ITT) who also have a negative MACRILEN test. With a high level of negative agreement, the MACRILEN test will not wrongly diagnose an individual without GHD per the ITT as having GHD. Positive agreement is the proportion of subjects with a positive ITT (i.e., those who have GHD per the ITT) who also have a positive MACRILEN test. With a high level of positive agreement, the MACRILEN test will not wrongly diagnose an individual with GHD per the ITT as not having GHD. The agreement measures are defined mathematically below (see Table 2).

Table 2: Definition of Agreement between ITT and MACRILEN

Insulin Tolerance Test

Total

+

-

MACRILEN

+

a

b

a+b

Positive Agreement (%)=100% x a/(a+c)

-

c

d

c+d

Negative Agreement (%)=100% x d/(b+d)

Total

a+c

b+d

a+b+c+d

Overall Agreement (%)=100% x (a+d)/(a+b+c+d)

4 Contraindications

None

5.1 Qt Prolongation

MACRILEN causes an increase of about 11 msec in the corrected QT (QTc) interval [see Clinical Pharmacology (12.2)]. QT prolongation can lead to development of torsade de pointes-type ventricular tachycardia with the risk increasing as the degree of prolongation increases. The concomitant use of MACRILEN with drugs that are known to prolong the QT interval should be avoided [see Dosage and Administration (2.2) and Drug Interactions (7.1)].

6 Adverse Reactions

The most common adverse reactions were dysgeusia, dizziness, headache, fatigue, nausea, hunger, diarrhea, upper respiratory tract infection, feeling hot, hyperhidrosis, nasopharyngitis, and sinus bradycardia (6.1).

To report SUSPECTED ADVERSE REACTIONS, contact Novo Nordisk Inc. at 1-800-727-6500, or FDA at 1-800-FDA-1088 or www.fda.gov/medwatch.

2.1 Recommended Dose

The recommended dose is a single oral dose of 0.5 mg/kg of macimorelin. The dose is administered as a reconstituted solution [see Dosage and Administration (2.3)] in patients fasted for at least 8 hours.

12.3 Pharmacokinetics

The mean plasma macimorelin concentrations are similar between patients with AGHD and healthy subjects for 1.5 hours following administration of a single oral dose of 0.5 mg macimorelin/kg body weight.

Absorption

The maximum plasma macimorelin concentrations (Cmax) were observed between 0.5 hour and 1.5 hours following oral administration of 0.5 mg macimorelin/kg body weight to patients with AGHD under fasting for at least 8 hours. A liquid meal decreased the macimorelin Cmax and AUC by 55% and 49%, respectively.

Elimination

An in vitro human liver microsomes study showed that CYP3A4 is the major enzyme to metabolize macimorelin.

Macimorelin was eliminated with a mean terminal half-life (T1/2) of 4.1 hours following administration of a single oral dose of 0.5 mg macimorelin/kg body weight in healthy subjects.

1 Indications and Usage

MACRILEN is indicated for the diagnosis of adult growth hormone deficiency (AGHD).

12.1 Mechanism of Action

Macimorelin stimulates GH release by activating growth hormone secretagogue receptors present in the pituitary and hypothalamus.

5 Warnings and Precautions
  • QT Prolongation: QT prolongation can lead to development of torsade de pointes-type ventricular tachycardia. Avoid the concomitant use of MACRILEN with drugs that are known to prolong QT interval (5.1, 7.1).
  • Potential for False Positive Test Results with Use of Strong CYP3A4 Inducers: Discontinue and washout strong CYP3A4 inducers before testing (5.2, 7.2).
  • Potential for False Negative Test Results in Recent Onset Hypothalamic Disease: Consider repeat testing if indicated (5.3).
2 Dosage and Administration
  • Recommended dose is 0.5 mg/kg as a single oral dose, after fasting for at least 8 hours (2.1).
  • See Full Prescribing Information for important preparation and administration instructions (2.3).
  • Discontinue therapy with strong CYP3A4 inducers, growth hormones and drugs that affect GH release for an adequate length of time before administering MACRILEN (2.2).
  • Adequately replace other hormone deficiencies before administering MACRILEN (2.2).
3 Dosage Forms and Strengths

For oral solution: 60 mg white to off-white granules in a pouch for reconstitution in 120 mL of water, resulting in a solution of 0.5 mg/mL of macimorelin.

6.1 Clinical Studies Experience

Because clinical trials are conducted under widely varying conditions, adverse reaction rates observed in the clinical trials of a drug cannot be directly compared to rates in the clinical trial of another drug and may not reflect the rates observed in practice.

The data in Table 1 are derived from an open-label, randomized, cross-over study that compared the diagnostic performance of MACRILEN to the insulin tolerance test (ITT) for the diagnosis of adult growth hormone deficiency [see Clinical Studies (14)]. A total of 154 subjects with a high to low pre-test probability of having adult growth hormone deficiency received a single oral dose of 0.5 mg/kg MACRILEN. Out of 154 subjects, 58% were male, 42% female, and 86% of white origin. Median values were for age 41 years (range: 18 – 66 years) and body mass index was 27.5 kg/m2 (range: 16 – 40 kg/m2). Common adverse reactions presented in Table 1 were adverse reactions that were not present at baseline and occurred during MACRILEN dosing in at least two individuals.

Table 1: Common Adverse Reactions Reported in at Least Two Individuals Dosed with MACRILEN in an Open-Label Study

Number of Subjects

(n = 154)

Proportion of Subjects

(%)

Dysgeusia

7

4.5

Dizziness

6

3.9

Headache

6

3.9

Fatigue

6

3.9

Nausea

5

3.2

Hunger

5

3.2

Diarrhea

3

1.9

Upper respiratory tract infection

3

1.9

Feeling hot

2

1.3

Hyperhidrosis

2

1.3

Nasopharyngitis

2

1.3

Sinus bradycardia

2

1.3

17 Patient Counseling Information

Instruct patients to discontinue treatment with GH at least one week before administering MACRILEN. Also, instruct patients to discontinue other medications that may interfere with the diagnostic test results prior to MACRILEN administration [see Drug Interactions (7.2, 7.3)].

Instruct patients to fast for at least 8 hours before MACRILEN administration [see Dosage and Administration (2.2)].

Manufactured by:

Allphamed Pharbil Arzneimittel GmbH, Goettingen, Germany

Distributed by: Novo Nordisk Inc. Plainsboro, NJ, USA

MACRILEN™ is a trademark of Aeterna Zentaris GmbH, licensed exclusively in the U.S. and Canada to Novo Nordisk Health Care AG.

Novo Nordisk® is a registered trademark of Novo Nordisk A/S.

MACRILEN is the subject of U.S. Patent Nos. 6,861,409 and 8,192,719.

For information contact:

Novo Nordisk Inc.

800 Scudders Mill Road

Plainsboro, NJ 08536

1-800-727-6500

www.novonordisk-us.com

Revised: 7/2021

7.1 Drugs That Prolong Qt Interval

Co-administration of MACRILEN with drugs that prolong the QT interval (such as antipsychotic medications (e.g., chlorpromazine, haloperidol, thioridazine, ziprasidone), antibiotics (e.g., moxifloxacin), Class 1A (e.g., quinidine, procainamide) and Class III (e.g., amiodarone, sotalol) antiarrhythmic medications or any other medications known to prolong the QT interval) may lead to development of torsade de pointes-type ventricular tachycardia. Avoid concomitant use of MACRILEN with drugs that prolong the QT interval. Sufficient washout time of drugs that are known to prolong the QT interval prior to administration of MACRILEN is recommended [see Dosage and Administration (2.2) and Warnings and Precautions (5.1)].

16 How Supplied/storage and Handling

MACRILEN 60 mg is supplied as white to off-white granules in an aluminum pouch. Each pouch contains 60 mg macimorelin (equivalent to 68 mg macimorelin acetate) that when reconstituted with 120 mL of water provides a 60 mg/120 mL (0.5 mg/mL) macimorelin solution.

MACRILEN is available in boxes containing 1 pouch per box (NDC 0169-1401-01).

Before administration, MACRILEN for oral solution must be reconstituted by a healthcare professional [see Dosage and Administration (2.3)].

Store pouches under refrigeration at 2-8°C (36-46°F).

The solution must be used within 30 minutes after preparation. Discard unused portion.

7.2 Cytochrome P450 (cyp) 3a4 Inducers

Co-administration of a strong CYP3A4 inducer with MACRILEN (e.g., carbamazepine, enzalutamide, mitotane, phenytoin, rifampin, St. John's wort, bosentan, efavirenz, etravirine, modafinil, armodafinil, rufinamide) may reduce the plasma macimorelin concentrations and may lead to false positive test results. Discontinue strong CYP3A4 inducers prior to MACRILEN use. Sufficient washout time of strong CYP3A4 inducers prior to administration of MACRILEN is recommended [see Dosage and Administration (2.2) and Warnings and Precautions (5.2)].

7.3 Drugs Affecting Growth Hormone Release

The following drugs may impact the accuracy of the MACRILEN diagnostic test. Avoid concomitant use of MACRILEN with the following [see Dosage and Administration (2.2)]:

  • Drugs that directly affect the pituitary secretion of growth hormone (such as somatostatin, insulin, glucocorticoids, and cyclooxygenase inhibitors such as aspirin or indomethacin).
  • Drugs that may transiently elevate growth hormone concentrations (such as clonidine, levodopa, and insulin).
  • Drugs that may blunt the growth hormone response to MACRILEN (such as muscarinic antagonists: atropine, anti-thyroid medication: propylthiouracil, and growth hormone products). Discontinue growth hormone products at least one week before administering the MACRILEN diagnostic test.

Sufficient washout time of drugs affecting growth hormone release prior to administration of MACRILEN is recommended.

2.4 Interpretation of Macrilen Test Results

Clinical studies have established that a maximally stimulated serum GH level of less than 2.8 ng/mL (i.e., at the 30, 45, 60 and 90 minute timepoints) following MACRILEN administration confirms the presence of adult growth hormone deficiency.

2.2 Important Recommendations Before Macrilen Use
  • Discontinue strong CYP3A4 inducers prior to MACRILEN use [see Warning and Precautions (5.2) and Drug Interactions (7.2)].
  • Discontinue growth hormone (GH) therapy at least one week before administering MACRILEN [see Drug Interactions (7.3)].
  • Avoid the use of MACRILEN with drugs known to affect pituitary GH secretion [see Drug Interactions (7.3)].
  • For patients with deficiencies in sex hormones, thyroid hormone and/or glucocorticoid, adequately replace each of the missing hormones before administering MACRILEN.
  • Ensure that the patient has fasted for at least 8 hours before MACRILEN use.
2.3 Directions for Preparation and Administration

Prepare and administer by a healthcare professional exactly as follows.

Prepare the MACRILEN solution:

  • a.
    Weigh the patient in kilograms (i.e., kg).
  • b.
    Determine the number of MACRILEN pouches needed to prepare the dose:
  •  
    i. For a patient weighing up to 120 kg, use 1 pouch.
  •  
    ii. For a patient weighing more than 120 kg, use 2 pouches.
  • c.
    Use a glass or transparent plastic container with graduation in milliliters (i.e., mL) to dissolve the entire contents of the pouch(es) in the appropriate volume of water.
  •  
    i. For 1 pouch dissolve in 120 mL of water (corresponds to 60 mg/120 mL).
  •  
    ii. For 2 pouches dissolve in 240 mL of water (corresponds to 120 mg/240 mL).
  • d.
    Stir the MACRILEN solution gently for about 2 to 3 minutes (a small amount of un-dissolved particles will remain). The solution will have a final concentration of 0.5 mg/mL.
  • e.
    Use the MACRILEN solution within 30 minutes after preparation.
  • f.
    Discard any unused MACRILEN solution.

Determine the volume of MACRILEN solution needed for the test:

  • g.
    Determine the recommended dose to be administered by multiplying the patient weight in kilogram by 0.5 mg/kg.

    For example, a 70 kg patient will need a 35 mg dose.

  • h.
    Determine the volume of prepared MACRILEN solution to be administered by dividing the recommended dose by 0.5 mg/mL.

    For example, a patient requiring a dose of 35 mg will need 70 mL of reconstituted MACRILEN solution.

  • i.
    Use a syringe (without a needle) with graduations in mL to measure the exact volume of MACRILEN solution to be administered and transfer the required volume of MACRILEN solution into a drinking glass.

Administer the MACRILEN solution and perform the test:

  • j.
    Have the patient being tested drink the entire volume of MACRILEN solution in the drinking glass (i.e., the dose) within 30 seconds.
  • k.
    Observe the patient being tested per routine for the duration of the test.
  • l.
    Draw venous blood samples for GH determination at 30 minutes, 45 minutes, 60 minutes and 90 minutes after administration of MACRILEN.
  • m.
    Prepare serum samples and send to a laboratory for growth hormone determinations.
  • n.
  • o.
  • p.
  • q.
  • r.
  • s.
  • t.
  • u.
  • v.
5.2 Potential for False Positive Test Results With Use of Strong Cyp3a4 Inducers

Concomitant use of strong CYP3A4 inducers with MACRILEN can decrease macimorelin plasma levels significantly and thereby lead to a false positive result [see Drug Interactions (7.2)]. Strong CYP3A4 inducers should be discontinued and enough time should be given to allow washout of CYP3A4 inducers prior to test administration [see Dosage and Administration (2.2)].

5.3 Potential for False Negative Test Results in Recent Onset Hypothalamic Disease

Adult growth hormone (GH) deficiency caused by a hypothalamic lesion may not be detected early in the disease process. Macimorelin acts downstream from the hypothalamus and macimorelin stimulated release of stored GH reserves from the anterior pituitary could produce a false negative result early when the lesion involves the hypothalamus. Repeat testing may be warranted in this situation.


Structured Label Content

Section 42229-5 (42229-5)

Limitations of Use

The safety and diagnostic performance of MACRILEN have not been established for subjects with a body mass index (BMI) > 40 kg/m2.

Section 51945-4 (51945-4)
  •  
    NDC 0169-1401-01 List: 140101

Macrilen™

(macimorelin) for oral solution

60 mg

CONTAINS ONE POUCH.

Use the Macrilen™ solution within

30 minutes after preparation.

Discard any unused Macrilen™ solution.

For oral use only.

Rx only

10 Overdosage (10 OVERDOSAGE)

In the event of an overdose, symptomatic and supportive measures should be employed.

11 Description (11 DESCRIPTION)

MACRILEN for oral solution is macimorelin acetate, a synthetic growth hormone secretagogue receptor agonist. Macimorelin acetate is described chemically as D-Tryptophanamide, 2-methylalanyl-N-[(1R)-1-(formylamino)-2-(1H-indol-3-yl)ethyl]-acetate.

The molecular formula for macimorelin acetate is C28H34N6O5 with a molecular weight of 534.6 g/mol.

Figure 1: Chemical structure of macimorelin acetate

Each aluminum pouch of MACRILEN contains 60 mg of macimorelin, equivalent to 68 mg of macimorelin acetate, and the following inactive ingredients: lactose monohydrate, crospovidone, sodium stearyl fumarate, saccharin sodium and colloidal silicon dioxide.

8.4 Pediatric Use

The safety and efficacy of MACRILEN in pediatric patients have not been established.

8.5 Geriatric Use

Growth hormone secretion normally decreases with age. Therefore, elderly subjects might require a lower cut-off point for diagnosis of adult growth hormone deficiency. Clinical studies of MACRILEN did not include a sufficient number of subjects aged 65 and over to determine whether elderly patients respond differently from younger subjects.

14 Clinical Studies (14 CLINICAL STUDIES)

The diagnostic efficacy of the MACRILEN test was established in a randomized, open-label, single-dose, cross-over study. The objective of the study was to compare the level of agreement between MACRILEN test results and insulin tolerance test (ITT) results in adult patients with different pre-test probability of growth hormone deficiency and healthy control subjects. The four groups of individuals evaluated were:

  • Group A: Adults with a high likelihood of growth hormone deficiency (GHD)
    • o
      Structural hypothalamic or pituitary lesions and low insulin-like growth factor 1 (IGF-1), and/or
    • o
      Three or more pituitary hormone deficiencies and low IGF-1, or
    • o
      Childhood onset GHD with structural lesions and low IGF-1.
  • Group B: Adults with an intermediate likelihood of GHD
    • o
      Eligible subjects not qualifying for either high or low likelihood.
  • Group C: Adults with a low likelihood of GHD
    • o
      One risk factor for GHD only, such as history of distant traumatic brain injury or one pituitary hormone deficiency only with otherwise normal pituitary function, or
    • o
      Isolated idiopathic childhood onset GHD without additional pituitary deficits.
  • Group D: Healthy adult controls
    • o
      Healthy subjects matching Group A subjects by sex, age ± 5 years, body mass index (BMI ± 2 kg/m2), and estrogen status (females only).

For both the ITT and the MACRILEN test, serum concentrations of growth hormone were measured at 30, 45, 60, and 90 minutes after drug administration. The test was considered positive (i.e., growth hormone deficiency diagnosed) if the maximum serum GH level observed after stimulation was less than the pre-specified cut point value of 2.8 ng/mL for the MACRILEN test or 5.1 ng/mL for the ITT.

The level of negative and positive agreement between the results of the ITT and the MACRILEN test was used to evaluate the performance of the MACRILEN test. In the study, the ITT is used as the benchmark (i.e., a negative ITT indicates absence of disease and a positive ITT indicates presence of disease). Negative agreement is the proportion of subjects with a negative ITT (i.e., those who do not have GHD per the ITT) who also have a negative MACRILEN test. With a high level of negative agreement, the MACRILEN test will not wrongly diagnose an individual without GHD per the ITT as having GHD. Positive agreement is the proportion of subjects with a positive ITT (i.e., those who have GHD per the ITT) who also have a positive MACRILEN test. With a high level of positive agreement, the MACRILEN test will not wrongly diagnose an individual with GHD per the ITT as not having GHD. The agreement measures are defined mathematically below (see Table 2).

Table 2: Definition of Agreement between ITT and MACRILEN

Insulin Tolerance Test

Total

+

-

MACRILEN

+

a

b

a+b

Positive Agreement (%)=100% x a/(a+c)

-

c

d

c+d

Negative Agreement (%)=100% x d/(b+d)

Total

a+c

b+d

a+b+c+d

Overall Agreement (%)=100% x (a+d)/(a+b+c+d)

4 Contraindications (4 CONTRAINDICATIONS)

None

5.1 Qt Prolongation (5.1 QT Prolongation)

MACRILEN causes an increase of about 11 msec in the corrected QT (QTc) interval [see Clinical Pharmacology (12.2)]. QT prolongation can lead to development of torsade de pointes-type ventricular tachycardia with the risk increasing as the degree of prolongation increases. The concomitant use of MACRILEN with drugs that are known to prolong the QT interval should be avoided [see Dosage and Administration (2.2) and Drug Interactions (7.1)].

6 Adverse Reactions (6 ADVERSE REACTIONS)

The most common adverse reactions were dysgeusia, dizziness, headache, fatigue, nausea, hunger, diarrhea, upper respiratory tract infection, feeling hot, hyperhidrosis, nasopharyngitis, and sinus bradycardia (6.1).

To report SUSPECTED ADVERSE REACTIONS, contact Novo Nordisk Inc. at 1-800-727-6500, or FDA at 1-800-FDA-1088 or www.fda.gov/medwatch.

2.1 Recommended Dose

The recommended dose is a single oral dose of 0.5 mg/kg of macimorelin. The dose is administered as a reconstituted solution [see Dosage and Administration (2.3)] in patients fasted for at least 8 hours.

12.3 Pharmacokinetics

The mean plasma macimorelin concentrations are similar between patients with AGHD and healthy subjects for 1.5 hours following administration of a single oral dose of 0.5 mg macimorelin/kg body weight.

Absorption

The maximum plasma macimorelin concentrations (Cmax) were observed between 0.5 hour and 1.5 hours following oral administration of 0.5 mg macimorelin/kg body weight to patients with AGHD under fasting for at least 8 hours. A liquid meal decreased the macimorelin Cmax and AUC by 55% and 49%, respectively.

Elimination

An in vitro human liver microsomes study showed that CYP3A4 is the major enzyme to metabolize macimorelin.

Macimorelin was eliminated with a mean terminal half-life (T1/2) of 4.1 hours following administration of a single oral dose of 0.5 mg macimorelin/kg body weight in healthy subjects.

1 Indications and Usage (1 INDICATIONS AND USAGE)

MACRILEN is indicated for the diagnosis of adult growth hormone deficiency (AGHD).

12.1 Mechanism of Action

Macimorelin stimulates GH release by activating growth hormone secretagogue receptors present in the pituitary and hypothalamus.

5 Warnings and Precautions (5 WARNINGS AND PRECAUTIONS)
  • QT Prolongation: QT prolongation can lead to development of torsade de pointes-type ventricular tachycardia. Avoid the concomitant use of MACRILEN with drugs that are known to prolong QT interval (5.1, 7.1).
  • Potential for False Positive Test Results with Use of Strong CYP3A4 Inducers: Discontinue and washout strong CYP3A4 inducers before testing (5.2, 7.2).
  • Potential for False Negative Test Results in Recent Onset Hypothalamic Disease: Consider repeat testing if indicated (5.3).
2 Dosage and Administration (2 DOSAGE AND ADMINISTRATION)
  • Recommended dose is 0.5 mg/kg as a single oral dose, after fasting for at least 8 hours (2.1).
  • See Full Prescribing Information for important preparation and administration instructions (2.3).
  • Discontinue therapy with strong CYP3A4 inducers, growth hormones and drugs that affect GH release for an adequate length of time before administering MACRILEN (2.2).
  • Adequately replace other hormone deficiencies before administering MACRILEN (2.2).
3 Dosage Forms and Strengths (3 DOSAGE FORMS AND STRENGTHS)

For oral solution: 60 mg white to off-white granules in a pouch for reconstitution in 120 mL of water, resulting in a solution of 0.5 mg/mL of macimorelin.

6.1 Clinical Studies Experience

Because clinical trials are conducted under widely varying conditions, adverse reaction rates observed in the clinical trials of a drug cannot be directly compared to rates in the clinical trial of another drug and may not reflect the rates observed in practice.

The data in Table 1 are derived from an open-label, randomized, cross-over study that compared the diagnostic performance of MACRILEN to the insulin tolerance test (ITT) for the diagnosis of adult growth hormone deficiency [see Clinical Studies (14)]. A total of 154 subjects with a high to low pre-test probability of having adult growth hormone deficiency received a single oral dose of 0.5 mg/kg MACRILEN. Out of 154 subjects, 58% were male, 42% female, and 86% of white origin. Median values were for age 41 years (range: 18 – 66 years) and body mass index was 27.5 kg/m2 (range: 16 – 40 kg/m2). Common adverse reactions presented in Table 1 were adverse reactions that were not present at baseline and occurred during MACRILEN dosing in at least two individuals.

Table 1: Common Adverse Reactions Reported in at Least Two Individuals Dosed with MACRILEN in an Open-Label Study

Number of Subjects

(n = 154)

Proportion of Subjects

(%)

Dysgeusia

7

4.5

Dizziness

6

3.9

Headache

6

3.9

Fatigue

6

3.9

Nausea

5

3.2

Hunger

5

3.2

Diarrhea

3

1.9

Upper respiratory tract infection

3

1.9

Feeling hot

2

1.3

Hyperhidrosis

2

1.3

Nasopharyngitis

2

1.3

Sinus bradycardia

2

1.3

17 Patient Counseling Information (17 PATIENT COUNSELING INFORMATION)

Instruct patients to discontinue treatment with GH at least one week before administering MACRILEN. Also, instruct patients to discontinue other medications that may interfere with the diagnostic test results prior to MACRILEN administration [see Drug Interactions (7.2, 7.3)].

Instruct patients to fast for at least 8 hours before MACRILEN administration [see Dosage and Administration (2.2)].

Manufactured by:

Allphamed Pharbil Arzneimittel GmbH, Goettingen, Germany

Distributed by: Novo Nordisk Inc. Plainsboro, NJ, USA

MACRILEN™ is a trademark of Aeterna Zentaris GmbH, licensed exclusively in the U.S. and Canada to Novo Nordisk Health Care AG.

Novo Nordisk® is a registered trademark of Novo Nordisk A/S.

MACRILEN is the subject of U.S. Patent Nos. 6,861,409 and 8,192,719.

For information contact:

Novo Nordisk Inc.

800 Scudders Mill Road

Plainsboro, NJ 08536

1-800-727-6500

www.novonordisk-us.com

Revised: 7/2021

7.1 Drugs That Prolong Qt Interval (7.1 Drugs that Prolong QT Interval)

Co-administration of MACRILEN with drugs that prolong the QT interval (such as antipsychotic medications (e.g., chlorpromazine, haloperidol, thioridazine, ziprasidone), antibiotics (e.g., moxifloxacin), Class 1A (e.g., quinidine, procainamide) and Class III (e.g., amiodarone, sotalol) antiarrhythmic medications or any other medications known to prolong the QT interval) may lead to development of torsade de pointes-type ventricular tachycardia. Avoid concomitant use of MACRILEN with drugs that prolong the QT interval. Sufficient washout time of drugs that are known to prolong the QT interval prior to administration of MACRILEN is recommended [see Dosage and Administration (2.2) and Warnings and Precautions (5.1)].

16 How Supplied/storage and Handling (16 HOW SUPPLIED/STORAGE AND HANDLING)

MACRILEN 60 mg is supplied as white to off-white granules in an aluminum pouch. Each pouch contains 60 mg macimorelin (equivalent to 68 mg macimorelin acetate) that when reconstituted with 120 mL of water provides a 60 mg/120 mL (0.5 mg/mL) macimorelin solution.

MACRILEN is available in boxes containing 1 pouch per box (NDC 0169-1401-01).

Before administration, MACRILEN for oral solution must be reconstituted by a healthcare professional [see Dosage and Administration (2.3)].

Store pouches under refrigeration at 2-8°C (36-46°F).

The solution must be used within 30 minutes after preparation. Discard unused portion.

7.2 Cytochrome P450 (cyp) 3a4 Inducers (7.2 Cytochrome P450 (CYP) 3A4 Inducers)

Co-administration of a strong CYP3A4 inducer with MACRILEN (e.g., carbamazepine, enzalutamide, mitotane, phenytoin, rifampin, St. John's wort, bosentan, efavirenz, etravirine, modafinil, armodafinil, rufinamide) may reduce the plasma macimorelin concentrations and may lead to false positive test results. Discontinue strong CYP3A4 inducers prior to MACRILEN use. Sufficient washout time of strong CYP3A4 inducers prior to administration of MACRILEN is recommended [see Dosage and Administration (2.2) and Warnings and Precautions (5.2)].

7.3 Drugs Affecting Growth Hormone Release

The following drugs may impact the accuracy of the MACRILEN diagnostic test. Avoid concomitant use of MACRILEN with the following [see Dosage and Administration (2.2)]:

  • Drugs that directly affect the pituitary secretion of growth hormone (such as somatostatin, insulin, glucocorticoids, and cyclooxygenase inhibitors such as aspirin or indomethacin).
  • Drugs that may transiently elevate growth hormone concentrations (such as clonidine, levodopa, and insulin).
  • Drugs that may blunt the growth hormone response to MACRILEN (such as muscarinic antagonists: atropine, anti-thyroid medication: propylthiouracil, and growth hormone products). Discontinue growth hormone products at least one week before administering the MACRILEN diagnostic test.

Sufficient washout time of drugs affecting growth hormone release prior to administration of MACRILEN is recommended.

2.4 Interpretation of Macrilen Test Results (2.4 Interpretation of MACRILEN Test Results)

Clinical studies have established that a maximally stimulated serum GH level of less than 2.8 ng/mL (i.e., at the 30, 45, 60 and 90 minute timepoints) following MACRILEN administration confirms the presence of adult growth hormone deficiency.

2.2 Important Recommendations Before Macrilen Use (2.2 Important Recommendations Before MACRILEN Use)
  • Discontinue strong CYP3A4 inducers prior to MACRILEN use [see Warning and Precautions (5.2) and Drug Interactions (7.2)].
  • Discontinue growth hormone (GH) therapy at least one week before administering MACRILEN [see Drug Interactions (7.3)].
  • Avoid the use of MACRILEN with drugs known to affect pituitary GH secretion [see Drug Interactions (7.3)].
  • For patients with deficiencies in sex hormones, thyroid hormone and/or glucocorticoid, adequately replace each of the missing hormones before administering MACRILEN.
  • Ensure that the patient has fasted for at least 8 hours before MACRILEN use.
2.3 Directions for Preparation and Administration

Prepare and administer by a healthcare professional exactly as follows.

Prepare the MACRILEN solution:

  • a.
    Weigh the patient in kilograms (i.e., kg).
  • b.
    Determine the number of MACRILEN pouches needed to prepare the dose:
  •  
    i. For a patient weighing up to 120 kg, use 1 pouch.
  •  
    ii. For a patient weighing more than 120 kg, use 2 pouches.
  • c.
    Use a glass or transparent plastic container with graduation in milliliters (i.e., mL) to dissolve the entire contents of the pouch(es) in the appropriate volume of water.
  •  
    i. For 1 pouch dissolve in 120 mL of water (corresponds to 60 mg/120 mL).
  •  
    ii. For 2 pouches dissolve in 240 mL of water (corresponds to 120 mg/240 mL).
  • d.
    Stir the MACRILEN solution gently for about 2 to 3 minutes (a small amount of un-dissolved particles will remain). The solution will have a final concentration of 0.5 mg/mL.
  • e.
    Use the MACRILEN solution within 30 minutes after preparation.
  • f.
    Discard any unused MACRILEN solution.

Determine the volume of MACRILEN solution needed for the test:

  • g.
    Determine the recommended dose to be administered by multiplying the patient weight in kilogram by 0.5 mg/kg.

    For example, a 70 kg patient will need a 35 mg dose.

  • h.
    Determine the volume of prepared MACRILEN solution to be administered by dividing the recommended dose by 0.5 mg/mL.

    For example, a patient requiring a dose of 35 mg will need 70 mL of reconstituted MACRILEN solution.

  • i.
    Use a syringe (without a needle) with graduations in mL to measure the exact volume of MACRILEN solution to be administered and transfer the required volume of MACRILEN solution into a drinking glass.

Administer the MACRILEN solution and perform the test:

  • j.
    Have the patient being tested drink the entire volume of MACRILEN solution in the drinking glass (i.e., the dose) within 30 seconds.
  • k.
    Observe the patient being tested per routine for the duration of the test.
  • l.
    Draw venous blood samples for GH determination at 30 minutes, 45 minutes, 60 minutes and 90 minutes after administration of MACRILEN.
  • m.
    Prepare serum samples and send to a laboratory for growth hormone determinations.
  • n.
  • o.
  • p.
  • q.
  • r.
  • s.
  • t.
  • u.
  • v.
5.2 Potential for False Positive Test Results With Use of Strong Cyp3a4 Inducers (5.2 Potential for False Positive Test Results with Use of Strong CYP3A4 Inducers)

Concomitant use of strong CYP3A4 inducers with MACRILEN can decrease macimorelin plasma levels significantly and thereby lead to a false positive result [see Drug Interactions (7.2)]. Strong CYP3A4 inducers should be discontinued and enough time should be given to allow washout of CYP3A4 inducers prior to test administration [see Dosage and Administration (2.2)].

5.3 Potential for False Negative Test Results in Recent Onset Hypothalamic Disease

Adult growth hormone (GH) deficiency caused by a hypothalamic lesion may not be detected early in the disease process. Macimorelin acts downstream from the hypothalamus and macimorelin stimulated release of stored GH reserves from the anterior pituitary could produce a false negative result early when the lesion involves the hypothalamus. Repeat testing may be warranted in this situation.


Advanced Ingredient Data


Raw Label Data

All Sections (JSON)