These Highlights Do Not Include All The Information Needed To Use Acticlate®

These Highlights Do Not Include All The Information Needed To Use Acticlate®
SPL v2
SPL
SPL Set ID 5e96d473-63dd-4446-88cf-eef2cd3339f0
Route
ORAL
Published
Effective Date 2016-05-19
Document Type 34391-3 HUMAN PRESCRIPTION DRUG LABEL

Drug Facts

Composition & Product

Active Ingredients
Doxycycline Anhydrous (75 mg)
Inactive Ingredients
Cellulose, Microcrystalline Magnesium Stearate Titanium Dioxide Fd&c Red No. 40 Fd&c Blue No. 1

Identifiers & Packaging

Pill Appearance
Imprint: AQUA;101C75 Shape: capsule Color: blue Size: 18 mm Score: 1
Marketing Status
NDA Active Since 2018-05-31

Description

ACTICLATE ® and ACTICLATE ® CAP are tetracycline class drugs indicated for: Rickettsial infections ( 1.1 ) Sexually transmitted infections ( 1.2 ) Respiratory tract infections ( 1.3 ) Specific bacterial infections ( 1.4 ) Ophthalmic infections ( 1.5 ) Anthrax, including inhalational anthrax (post-exposure) ( 1.6 ) Alternative treatment for selected infections when penicillin is contraindicated ( 1.7 ) Adjunctive therapy for acute intestinal amebiasis and severe acne ( 1.8 ) Prophylaxis of malaria ( 1.9 ) To reduce the development of drug-resistant bacteria and maintain the effectiveness of ACTICLATE and ACTICLATE CAP and other antibacterial drugs, ACTICLATE and ACTICLATE CAP should be used only to treat or prevent infections that are proven or strongly suspected to be caused by bacteria. ( 1.10 )

Indications and Usage

ACTICLATE ® and ACTICLATE ® CAP are tetracycline class drugs indicated for: Rickettsial infections ( 1.1 ) Sexually transmitted infections ( 1.2 ) Respiratory tract infections ( 1.3 ) Specific bacterial infections ( 1.4 ) Ophthalmic infections ( 1.5 ) Anthrax, including inhalational anthrax (post-exposure) ( 1.6 ) Alternative treatment for selected infections when penicillin is contraindicated ( 1.7 ) Adjunctive therapy for acute intestinal amebiasis and severe acne ( 1.8 ) Prophylaxis of malaria ( 1.9 ) To reduce the development of drug-resistant bacteria and maintain the effectiveness of ACTICLATE and ACTICLATE CAP and other antibacterial drugs, ACTICLATE and ACTICLATE CAP should be used only to treat or prevent infections that are proven or strongly suspected to be caused by bacteria. ( 1.10 )

Dosage and Administration

Important Administration Instructions for ACTICLATE and ACTICLATE CAP ACTICLATE Tablets (150 mg) can be broken into two-thirds or one-third to provide a 50 mg and 100 mg strength, respectively. ( 2.1 ) Swallow ACTICLATE CAP Capsule whole. Do not break, open, crush, dissolve or chew the capsule. ( 2.1 ) Dosage in Adults for ACTICLATE or ACTICLATE CAP: The usual dosage is 200 mg on the first day of treatment (administered 100 mg every 12 hours) followed by a maintenance dose of 100 mg daily. ( 2.1 ) In the management of more severe infections (particularly chronic infections of the urinary tract), 100 mg every 12 hours is recommended. ( 2.1 ) Dosage in Pediatric Patients for ACTICLATE or ACTICLATE CAP: For all pediatric patients weighing less than 45 kg with severe or life-threatening infections (e.g., anthrax, Rocky Mountain spotted fever), the recommended dose is 2.2 mg per kg of body weight administered every 12 hours. Pediatric patients weighing 45 kg or more should receive the adult dose. ( 2.3 ) For pediatric patients with less severe disease (greater than 8 years of age and weighing less than 45 kg), the recommended dose is 4.4 mg per kg of body weight divided into two doses on the first day of treatment, followed by a maintenance dose of 2.2 mg per kg of body weight (given as a single daily dose or divided into two doses. For pediatric patients weighing over 45 kg, the usual adult dose should be used. ( 2.3 ) See Full Prescribing Information for additional indication specific dosage information and important administration instructions for ACTICLATE and ACTICLATE CAP. ( 2.1 , 2.4 , 2.5 )

Warnings and Precautions

The use of drugs of the tetracycline-class during tooth development (last half of pregnancy, infancy and childhood to the age of 8 years) may cause permanent discoloration of the teeth (yellow-gray-brown). ( 2.2 , 5.1 ) Clostridium difficile -associated diarrhea (CDAD) has been reported. Evaluate patients if diarrhea occurs. ( 5.2 ) Photosensitivity manifested by an exaggerated sunburn reaction has been observed in some individuals taking tetracyclines. Limit sun exposure. ( 5.3 ) Overgrowth of non-susceptible organisms, including fungi, may occur. If such infections occur, discontinue use and institute appropriate therapy. ( 5.4 )

Contraindications

ACTICLATE and ACTICLATE CAP are contraindicated in persons who have shown hypersensitivity to any of the tetracyclines.

Adverse Reactions

The following adverse reactions have been identified during clinical trials or post-approval use of tetracycline-class drugs, including doxycycline. Because these reactions are reported voluntarily from a population of uncertain size, it is not always possible to reliably estimate their frequency or establish a causal relationship to drug exposure. Gastrointestinal: Anorexia, nausea, vomiting, diarrhea, glossitis, dysphagia, enterocolitis, and inflammatory lesions (with monilial overgrowth) in the anogenital region, and pancreatitis. Hepatotoxicity has been reported. These reactions have been caused by both the oral and parenteral administration of tetracyclines. Superficial discoloration of the adult permanent dentition, reversible upon drug discontinuation and professional dental cleaning has been reported. Permanent tooth discoloration and enamel hypoplasia may occur with drugs of the tetracycline class when used during tooth development [ See Warnings and Precautions ( 5.1 ) ]. Instances of esophagitis and esophageal ulcerations have been reported in patients receiving capsule and tablet forms of drugs in the tetracycline-class. Most of these patients took medications immediately before going to bed [see Dosage and Administration ( 2.1 )]. Skin: Maculopapular and erythematous rashes, Stevens-Johnson syndrome, toxic epidermal necrolysis, exfoliative dermatitis, and erythema multiforme have been reported. Photosensitivity has been reported [see Warnings and Precautions ( 5.3 )]. Renal: Rise in BUN has been reported and is apparently dose-related [see Warnings and Precautions ( 5.8 )]. Hypersensitivity reactions: Urticaria, angioneurotic edema, anaphylaxis, anaphylactoid purpura, serum sickness, pericarditis, and exacerbation of systemic lupus erythematosus, and drug reaction with eosinophilia and systemic symptoms (DRESS). Blood: Hemolytic anemia, thrombocytopenia, neutropenia, and eosinophilia have been reported. Intracranial Hypertension: Intracranial hypertension (IH, pseudotumor cerebri) has been associated with the use of tetracyclines [see Warnings and Precautions ( 5.6 )]. Thyroid Gland Changes: When given over prolonged periods, tetracyclines have been reported to produce brown-black microscopic discoloration of thyroid glands. No abnormalities of thyroid function are known to occur.

Drug Interactions

Patients who are on anticoagulant therapy may require downward adjustment of their anticoagulant dosage. ( 7.1 ) Avoid co-administration of tetracyclines with penicillin. ( 7.2 ) Absorption of tetracyclines, including ACTICLATE and ACTICLATE CAP is impaired by antacids containing aluminum, calcium, or magnesium, bismuth subsalicylate and iron-containing preparations. ( 7.3 ) Concurrent use of tetracyclines, including ACTICLATE and ACTICLATE CAP may render oral contraceptives less effective. ( 7.4 ) Barbiturates, carbamazepine and phenytoin decrease the half-life of doxycycline. ( 7.5 )

Storage and Handling

How Supplied ACTICLATE (doxycycline hyclate) Tablets, 75 mg are round, convex, light-teal, film-coated, tablets with “75” debossed on one side of the tablet and “AQ101” debossed on the other. Each 75 mg tablet contains 86.6 mg of doxycycline hyclate equivalent to 75 mg of doxycycline. Bottles of 60 tablets:        NDC 16110-501-01 ACTICLATE (doxycycline hyclate) Tablets, 150 mg are oval-shaped, convex, mossy-green, film-coated tablets. Each side of the functionally scored tablet has two parallel score lines for splitting into 3 equal portions with “A” debossed on each portion of one side of the tablet, and no debossing on the other. Each 150 mg tablet contains 173.2 mg of doxycycline hyclate equivalent to 150 mg of doxycycline. Bottles of 60 tablets:        NDC 16110-502-01 ACTICLATE CAP (doxycycline hyclate) Capsules, 75 mg, have a navy blue opaque body and cap with the inscription “AQUA 101C75” in black. Each 75 mg capsule contains 86.6 mg of doxycycline hyclate equivalent to 75 mg of doxycycline. Bottles of 60 capsules:     NDC 16110-601-01

How Supplied

How Supplied ACTICLATE (doxycycline hyclate) Tablets, 75 mg are round, convex, light-teal, film-coated, tablets with “75” debossed on one side of the tablet and “AQ101” debossed on the other. Each 75 mg tablet contains 86.6 mg of doxycycline hyclate equivalent to 75 mg of doxycycline. Bottles of 60 tablets:        NDC 16110-501-01 ACTICLATE (doxycycline hyclate) Tablets, 150 mg are oval-shaped, convex, mossy-green, film-coated tablets. Each side of the functionally scored tablet has two parallel score lines for splitting into 3 equal portions with “A” debossed on each portion of one side of the tablet, and no debossing on the other. Each 150 mg tablet contains 173.2 mg of doxycycline hyclate equivalent to 150 mg of doxycycline. Bottles of 60 tablets:        NDC 16110-502-01 ACTICLATE CAP (doxycycline hyclate) Capsules, 75 mg, have a navy blue opaque body and cap with the inscription “AQUA 101C75” in black. Each 75 mg capsule contains 86.6 mg of doxycycline hyclate equivalent to 75 mg of doxycycline. Bottles of 60 capsules:     NDC 16110-601-01


Medication Information

Warnings and Precautions

The use of drugs of the tetracycline-class during tooth development (last half of pregnancy, infancy and childhood to the age of 8 years) may cause permanent discoloration of the teeth (yellow-gray-brown). ( 2.2 , 5.1 ) Clostridium difficile -associated diarrhea (CDAD) has been reported. Evaluate patients if diarrhea occurs. ( 5.2 ) Photosensitivity manifested by an exaggerated sunburn reaction has been observed in some individuals taking tetracyclines. Limit sun exposure. ( 5.3 ) Overgrowth of non-susceptible organisms, including fungi, may occur. If such infections occur, discontinue use and institute appropriate therapy. ( 5.4 )

Indications and Usage

ACTICLATE ® and ACTICLATE ® CAP are tetracycline class drugs indicated for: Rickettsial infections ( 1.1 ) Sexually transmitted infections ( 1.2 ) Respiratory tract infections ( 1.3 ) Specific bacterial infections ( 1.4 ) Ophthalmic infections ( 1.5 ) Anthrax, including inhalational anthrax (post-exposure) ( 1.6 ) Alternative treatment for selected infections when penicillin is contraindicated ( 1.7 ) Adjunctive therapy for acute intestinal amebiasis and severe acne ( 1.8 ) Prophylaxis of malaria ( 1.9 ) To reduce the development of drug-resistant bacteria and maintain the effectiveness of ACTICLATE and ACTICLATE CAP and other antibacterial drugs, ACTICLATE and ACTICLATE CAP should be used only to treat or prevent infections that are proven or strongly suspected to be caused by bacteria. ( 1.10 )

Dosage and Administration

Important Administration Instructions for ACTICLATE and ACTICLATE CAP ACTICLATE Tablets (150 mg) can be broken into two-thirds or one-third to provide a 50 mg and 100 mg strength, respectively. ( 2.1 ) Swallow ACTICLATE CAP Capsule whole. Do not break, open, crush, dissolve or chew the capsule. ( 2.1 ) Dosage in Adults for ACTICLATE or ACTICLATE CAP: The usual dosage is 200 mg on the first day of treatment (administered 100 mg every 12 hours) followed by a maintenance dose of 100 mg daily. ( 2.1 ) In the management of more severe infections (particularly chronic infections of the urinary tract), 100 mg every 12 hours is recommended. ( 2.1 ) Dosage in Pediatric Patients for ACTICLATE or ACTICLATE CAP: For all pediatric patients weighing less than 45 kg with severe or life-threatening infections (e.g., anthrax, Rocky Mountain spotted fever), the recommended dose is 2.2 mg per kg of body weight administered every 12 hours. Pediatric patients weighing 45 kg or more should receive the adult dose. ( 2.3 ) For pediatric patients with less severe disease (greater than 8 years of age and weighing less than 45 kg), the recommended dose is 4.4 mg per kg of body weight divided into two doses on the first day of treatment, followed by a maintenance dose of 2.2 mg per kg of body weight (given as a single daily dose or divided into two doses. For pediatric patients weighing over 45 kg, the usual adult dose should be used. ( 2.3 ) See Full Prescribing Information for additional indication specific dosage information and important administration instructions for ACTICLATE and ACTICLATE CAP. ( 2.1 , 2.4 , 2.5 )

Contraindications

ACTICLATE and ACTICLATE CAP are contraindicated in persons who have shown hypersensitivity to any of the tetracyclines.

Adverse Reactions

The following adverse reactions have been identified during clinical trials or post-approval use of tetracycline-class drugs, including doxycycline. Because these reactions are reported voluntarily from a population of uncertain size, it is not always possible to reliably estimate their frequency or establish a causal relationship to drug exposure. Gastrointestinal: Anorexia, nausea, vomiting, diarrhea, glossitis, dysphagia, enterocolitis, and inflammatory lesions (with monilial overgrowth) in the anogenital region, and pancreatitis. Hepatotoxicity has been reported. These reactions have been caused by both the oral and parenteral administration of tetracyclines. Superficial discoloration of the adult permanent dentition, reversible upon drug discontinuation and professional dental cleaning has been reported. Permanent tooth discoloration and enamel hypoplasia may occur with drugs of the tetracycline class when used during tooth development [ See Warnings and Precautions ( 5.1 ) ]. Instances of esophagitis and esophageal ulcerations have been reported in patients receiving capsule and tablet forms of drugs in the tetracycline-class. Most of these patients took medications immediately before going to bed [see Dosage and Administration ( 2.1 )]. Skin: Maculopapular and erythematous rashes, Stevens-Johnson syndrome, toxic epidermal necrolysis, exfoliative dermatitis, and erythema multiforme have been reported. Photosensitivity has been reported [see Warnings and Precautions ( 5.3 )]. Renal: Rise in BUN has been reported and is apparently dose-related [see Warnings and Precautions ( 5.8 )]. Hypersensitivity reactions: Urticaria, angioneurotic edema, anaphylaxis, anaphylactoid purpura, serum sickness, pericarditis, and exacerbation of systemic lupus erythematosus, and drug reaction with eosinophilia and systemic symptoms (DRESS). Blood: Hemolytic anemia, thrombocytopenia, neutropenia, and eosinophilia have been reported. Intracranial Hypertension: Intracranial hypertension (IH, pseudotumor cerebri) has been associated with the use of tetracyclines [see Warnings and Precautions ( 5.6 )]. Thyroid Gland Changes: When given over prolonged periods, tetracyclines have been reported to produce brown-black microscopic discoloration of thyroid glands. No abnormalities of thyroid function are known to occur.

Drug Interactions

Patients who are on anticoagulant therapy may require downward adjustment of their anticoagulant dosage. ( 7.1 ) Avoid co-administration of tetracyclines with penicillin. ( 7.2 ) Absorption of tetracyclines, including ACTICLATE and ACTICLATE CAP is impaired by antacids containing aluminum, calcium, or magnesium, bismuth subsalicylate and iron-containing preparations. ( 7.3 ) Concurrent use of tetracyclines, including ACTICLATE and ACTICLATE CAP may render oral contraceptives less effective. ( 7.4 ) Barbiturates, carbamazepine and phenytoin decrease the half-life of doxycycline. ( 7.5 )

Storage and Handling

How Supplied ACTICLATE (doxycycline hyclate) Tablets, 75 mg are round, convex, light-teal, film-coated, tablets with “75” debossed on one side of the tablet and “AQ101” debossed on the other. Each 75 mg tablet contains 86.6 mg of doxycycline hyclate equivalent to 75 mg of doxycycline. Bottles of 60 tablets:        NDC 16110-501-01 ACTICLATE (doxycycline hyclate) Tablets, 150 mg are oval-shaped, convex, mossy-green, film-coated tablets. Each side of the functionally scored tablet has two parallel score lines for splitting into 3 equal portions with “A” debossed on each portion of one side of the tablet, and no debossing on the other. Each 150 mg tablet contains 173.2 mg of doxycycline hyclate equivalent to 150 mg of doxycycline. Bottles of 60 tablets:        NDC 16110-502-01 ACTICLATE CAP (doxycycline hyclate) Capsules, 75 mg, have a navy blue opaque body and cap with the inscription “AQUA 101C75” in black. Each 75 mg capsule contains 86.6 mg of doxycycline hyclate equivalent to 75 mg of doxycycline. Bottles of 60 capsules:     NDC 16110-601-01

How Supplied

How Supplied ACTICLATE (doxycycline hyclate) Tablets, 75 mg are round, convex, light-teal, film-coated, tablets with “75” debossed on one side of the tablet and “AQ101” debossed on the other. Each 75 mg tablet contains 86.6 mg of doxycycline hyclate equivalent to 75 mg of doxycycline. Bottles of 60 tablets:        NDC 16110-501-01 ACTICLATE (doxycycline hyclate) Tablets, 150 mg are oval-shaped, convex, mossy-green, film-coated tablets. Each side of the functionally scored tablet has two parallel score lines for splitting into 3 equal portions with “A” debossed on each portion of one side of the tablet, and no debossing on the other. Each 150 mg tablet contains 173.2 mg of doxycycline hyclate equivalent to 150 mg of doxycycline. Bottles of 60 tablets:        NDC 16110-502-01 ACTICLATE CAP (doxycycline hyclate) Capsules, 75 mg, have a navy blue opaque body and cap with the inscription “AQUA 101C75” in black. Each 75 mg capsule contains 86.6 mg of doxycycline hyclate equivalent to 75 mg of doxycycline. Bottles of 60 capsules:     NDC 16110-601-01

Description

ACTICLATE ® and ACTICLATE ® CAP are tetracycline class drugs indicated for: Rickettsial infections ( 1.1 ) Sexually transmitted infections ( 1.2 ) Respiratory tract infections ( 1.3 ) Specific bacterial infections ( 1.4 ) Ophthalmic infections ( 1.5 ) Anthrax, including inhalational anthrax (post-exposure) ( 1.6 ) Alternative treatment for selected infections when penicillin is contraindicated ( 1.7 ) Adjunctive therapy for acute intestinal amebiasis and severe acne ( 1.8 ) Prophylaxis of malaria ( 1.9 ) To reduce the development of drug-resistant bacteria and maintain the effectiveness of ACTICLATE and ACTICLATE CAP and other antibacterial drugs, ACTICLATE and ACTICLATE CAP should be used only to treat or prevent infections that are proven or strongly suspected to be caused by bacteria. ( 1.10 )

Section 34077-8

Teratogenic Effects. Pregnancy Category D: [see Warnings and Precautions ( 5.7 )]

There are no adequate and well-controlled studies on the use of doxycycline in pregnant women. The vast majority of reported experience with doxycycline during human pregnancy is short-term, first trimester exposure. There are no human data available to assess the effects of long-term therapy of doxycycline in pregnant women such as that proposed for the treatment of anthrax exposure. An expert review of published data on experiences with doxycycline use during pregnancy by TERIS - the Teratogen Information System - concluded that therapeutic doses during pregnancy are unlikely to pose a substantial teratogenic risk (the quantity and quality of data were assessed as limited to fair), but the data are insufficient to state that there is no risk.1

A case-control study (18,515 mothers of infants with congenital anomalies and 32,804 mothers of infants with no congenital anomalies) shows a weak but marginally statistically significant association with total malformations and use of doxycycline anytime during pregnancy. Sixty-three (0.19%) of the controls and 56 (0.30%) of the cases were treated with doxycycline. This association was not seen when the analysis was confined to maternal treatment during the period of organogenesis (that is, in the second and third months of gestation), with the exception of a marginal relationship with neural tube defect based on only two-exposed cases.2

A small prospective study of 81 pregnancies describes 43 pregnant women treated for 10 days with doxycycline during early first trimester. All mothers reported their exposed infants were normal at 1 year of age.3

Nonteratogenic effects: [see Warnings and Precautions ( 5.1, 5.7 )].

Section 44425-7

Storage

Store at 20° to 25°C (68° to 77°F) excursions permitted to 15° to 30°C (59° to 86°F) [See USP Controlled Room Temperature]. Protect from light and moisture. Dispense in a tight, light-resistant container as defined in the USP using a child-resistant closure.

Section 59845-8

FDA-Approved Patient Labeling

Instructions for Use

ACTICLATE® (‘aktəˌklāt)

(doxycycline hyclate)

tablets

for oral use

Read this Instructions for Use before you start using ACTICLATE and each time you get a refill. There may be new information. This information does not take the place of talking to your healthcare provider about your medical condition or treatment.

Note:

  • Your healthcare provider may need to change your dose of ACTICLATE during treatment as needed.
  • ACTICLATE tablets can be taken whole or broken at scored lines.
  • ACTICLATE tablets are marked with scored lines and may be broken at these scored lines to provide the following doses:

150 mg treatment (take the entire whole tablet)

100 mg treatment (take two-thirds of the tablet)

50 mg treatment (take one-third of the tablet)

How to break your ACTICLATE tablet:

  • Hold the tablet between your thumb and index finger close to the scored line for your dose of ACTICLATE as shown above.
  • Apply enough pressure to break the tablet at the scored line.
  • Do not break the ACTICLATE tablet in any other way.


AQUA PHARMACEUTICALS

an Almirall company

Manufactured by Catalent Pharma Solutions, Winchester, KY 40391

For Aqua Pharmaceuticals, an Almirall Company Exton, PA 19341



This Instructions for Use has been approved by the U.S. Food and Drug Administration.

Revised: 10/2017

Rx only



1.10 Usage

To reduce the development of drug-resistant bacteria and maintain the effectiveness of ACTICLATE and ACTICLATE CAP and other antibacterial drugs, ACTICLATE and ACTICLATE CAP should be used only to treat or prevent infections that are proven or strongly suspected to be caused by susceptible bacteria. When culture and susceptibility information are available, they should be considered in selecting or modifying antibacterial therapy. In the absence of such data, local epidemiology and susceptibility patterns may contribute to the empiric selection of therapy.

10 Overdosage

In case of overdosage, discontinue medication, treat symptomatically and institute supportive measures. Dialysis does not alter serum half-life and thus would not be of benefit in treating cases of overdosage.

15 References
  • Friedman JM, Polifka JE. Teratogenic Effects of Drugs. A Resource for Clinicians (TERIS). Baltimore, MD: The Johns Hopkins University Press: 2000: 149-195. The TERIS (Teratogen Information System) is available at: http://www.micromedexsolutions.com/ (cited: 2016 Jan).
  • Cziezel AE and Rockenbauer M. Teratogenic study of doxycycline. Obstet Gynecol 1997; 89: 524-528.
  • Horne HW Jr. and Kundsin RB. The role of mycoplasma among 81 consecutive pregnancies: a prospective study. Int J Fertil 1980; 25: 315-317.
  • Drugs and Lactation Database (LactMed) [Internet]. Bethesda (MD): National Library of Medicine (US); [Last Revision Date 2015 March 10; cited 2016 Jan]. Doxycycline; LactMed Record Number: 100; [about 3 screens]. Available from: http://toxnet.nlm.nih.gov/newtoxnet/lactmed.htm
  • Clinical and Laboratory Standards Institute (CLSI). Performance Standards for Antimicrobial Susceptibility Testing; Twenty-seventh Informational Supplement. CLSI document M100S-S27. Clinical and Laboratory Standards Institute, 950 West Valley Road, Suite 2500, Wayne, Pennsylvania 19087, USA, 2017.
  • Clinical and Laboratory Standards Institute (CLSI). Methods for Dilution Antimicrobial Susceptibility Tests for Bacteria that Grow Aerobically; Approved Standard – Tenth Edition. CLSI document M07-A10, Clinical Laboratory Standards Institute, 950 West Valley Road, Suite 2500, Wayne, Pennsylvania 19087, USA, 2015.
  • Clinical and Laboratory Standards Institute (CLSI). Methods for Antimicrobial Dilution and Disk Susceptibility Testing of Infrequently Isolated or Fastidious Bacteria. Third Edition. CLSI Guideline M45, Clinical Laboratory Standards Institute, 950 West Valley Road, Suite 2500, Wayne, Pennsylvania 19087, USA, 2015.
  • Clinical and Laboratory Standards Institute (CLSI). Methods for Mycobacteria, Nocardiae, and Other Aerobic Actinomycetes; Approved Standard – Second Edition. CLSI document M24-A2, Clinical Laboratory Standards Institute, 950 West Valley Road, Suite 2500, Wayne, Pennsylvania 19087, USA, 2011.
  • Clinical and Laboratory Standards Institute (CLSI). Methods for Antimicrobial Susceptibility Testing for Human Mycoplasmas; Approved Guideline. CLSI document M43-A, Clinical Laboratory Standards Institute, 950 West Valley Road, Suite 2500, Wayne, Pennsylvania 19087, USA, 2011.
  • Clinical and Laboratory Standards Institute (CLSI). Performance Standards for Antimicrobial Disk Diffusion Susceptibility Tests; Approved Standard – Twelfth Edition. CLSI document M02-A12, Clinical Laboratory Standards Institute, 950 West Valley Road, Suite 2500, Wayne, Pennsylvania 19087, USA, 2015.
  • Clinical and Laboratory Standards Institute (CLSI). Methods for Antimicrobial Susceptibility Testing of Anaerobic Bacteria; Approved Standard – Eighth Edition. CLSI document M11-A8, Clinical Laboratory Standards Institute, 950 West Valley Road, Suite 2500, Wayne, Pennsylvania 19087, USA, 2012.
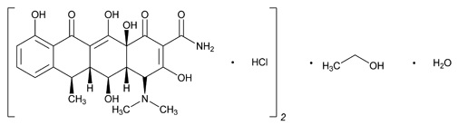
11 Description

ACTICLATE (doxycycline hyclate) Tablets and ACTICLATE CAP (doxycycline hyclate) Capsules contain doxycycline hyclate, a tetracycline class drug synthetically derived from oxytetracycline, in an immediate release formulation for oral administration.

The molecular formula of doxycycline hyclate is (C22H24N2O8 • HCl)2• C2H6O• H2O and the molecular weight of doxycycline hyclate is 1025.87. The chemical name for doxycycline hyclate is:

4-(Dimethylamino)-1,4,4a,5,5a,6,11,12a-octahydro-3,5,10,12,12a-pentahydroxy-6-methyl-1,11-dioxo-2-naphthacenecarboxamide monohydrochloride, compound with ethyl alcohol (2:1), monohydrate.

The structural formula for doxycycline hyclate is:

Figure 1: Structure of Doxycycline Hyclate

Doxycycline hyclate is a yellow crystalline powder soluble in water and in solutions of alkali hydroxides and carbonates.

ACTICLATE Tablet:

ACTICLATE is available as 75 mg and 150 mg tablets. Each 75 mg tablet contains 86.6 mg of doxycycline hyclate equivalent to 75 mg of doxycycline. Each 150 mg tablet contains 173.2 mg of doxycycline hyclate equivalent to 150 mg of doxycycline.

Inactive ingredients in the tablet formulation are: microcrystalline cellulose, sodium lauryl sulfate, croscarmellose sodium and magnesium stearate. Film-coating contains: polyvinyl alcohol, titanium dioxide, polyethylene glycol, talc, FD&C Blue #1 (75 mg Tablet), FD&C Blue #2 (150 mg Tablet) and yellow iron oxide (150 mg Tablet). ACTICLATE Tablets, 75 mg contain 0.34 mg (0.0146 mEq) of sodium. ACTICLATE Tablets, 150 mg contain 0.68 mg (0.0295 mEq) of sodium.

ACTICLATE CAP Capsule:

ACTICLATE CAP is available as 75 mg capsules. Each 75 mg capsule contains 86.6 mg of doxycycline hyclate equivalent to 75 mg of doxycycline.

Inactive ingredients in the capsule formulation are: microcrystalline cellulose, magnesium stearate, and a hard gelatin capsule which contains titanium dioxide, FD&C Red #40 and FD&C Blue #1. The capsules are printed with edible ink containing ammonium hydroxide, propylene glycol, isopropyl alcohol, N-butyl alcohol, black iron oxide, and shellac glaze in ethanol.

7.2 Penicillin

Since bacteriostatic drugs may interfere with the bactericidal action of penicillin, it is advisable to avoid giving tetracyclines, including ACTICLATE and ACTICLATE CAP in conjunction with penicillin.

7.6 Penthrane®

The concurrent use of tetracycline and Penthrane® (methoxyflurane) has been reported to result in fatal renal toxicity.

12.4 Microbiology

Mechanism of Action

Doxycycline inhibits bacterial protein synthesis by binding to the 30S ribosomal subunit. Doxycycline has bacteriostatic activity against a broad range of Gram-positive and Gram-negative bacteria.

Resistance

Cross resistance with other tetracyclines is common.

Antimicrobial Activity

Doxycycline has been shown to be active against most isolates of the following microorganisms, both in vitro and in clinical infections [see Indications and Usage (1)].

Gram-negative bacteria

Acinetobacter species

Bartonella bacilliformis

Brucella
species

Campylobacter fetus

Enterobacter aerogenes

Escherichia coli

Francisella tularensis

Haemophilus ducreyi

Haemophilus influenzae

Klebsiella granulomatis

Klebsiella
species

Neisseria gonorrhoeae

Shigella
species

Vibrio cholerae

Yersinia pestis

Gram-positive bacteria

Bacillus anthracis

Listeria monocytogenes

Streptococcus pneumoniae

Anaerobic bacteria

Clostridium species

Fusobacterium fusiforme

Propionibacterium acnes

Other bacteria

Nocardiae and other aerobic Actinomyces species

Borrelia recurrentis

Chlamydophila psittaci

Chlamydia trachomatis

Mycoplasma pneumoniae

Rickettsiae species

Treponema pallidum

Treponema pallidum subspecies pertenue

Ureaplasma urealyticum

Parasites

Balantidium coli

Entamoeba species

Plasmodium falciparum*


*Doxycycline has been found to be active against the asexual erythrocytic forms of Plasmodium falciparum, but not against the gametocytes of P. falciparum. The precise mechanism of action of the drug is not known.

Susceptibility Testing Methods

When available, the clinical microbiology laboratory should provide cumulative reports of in vitro susceptibility test results for antimicrobial drugs used in local hospitals and practice as periodic reports that describe the susceptibility profile of nosocomial and community-acquired pathogens. These reports should aid in the selection of an appropriate antibacterial drug for treatment.

Dilution techniques:

Quantitative methods are used to determine antimicrobial minimum inhibitory concentrations (MICs). These MICs provide estimates of the susceptibility of bacteria to antimicrobial compounds. The MICs values should be determined using a standardized test method5,6,7,8,9 (broth and/or agar). The MIC values should be interpreted according to criteria provided in Table 1.

Diffusion techniques:

Quantitative methods that require measurement of zone diameters can also provide reproducible estimates of the susceptibility of bacteria to antimicrobial compounds.

The zone size should be determined using a standardized test method5,7,10. This procedure uses paper disks impregnated with 30 mcg doxycycline to test the susceptibility of bacteria to doxycycline. The disk diffusion interpretive criteria are provided in Table 1.

Anaerobic Techniques:

For anaerobic bacteria, the susceptibility to doxycycline can be determined by a standardized test method5,11. The MIC values obtained should be interpreted according to the criteria provided in Table 1.

a Organisms susceptible to tetracycline are also considered susceptible to doxycycline. However, some organisms that are intermediate or resistant to tetracycline may be susceptible to doxycycline.

b The current absence of resistance isolates precludes defining any results other than "Susceptible". If isolates yielding MIC results other than susceptible, they should be submitted to a reference laboratory for further testing.

c Gonococci with 30 mcg tetracycline disk zone diameters of less than 19 mm usually indicate a plasmid-mediated tetracycline resistant Neisseria gonorrhoeae isolate. Resistance in these strains should be confirmed by a dilution test (MIC ≥ 16 mcg per mL).
Table 1: Susceptibility Test Interpretive Criteria for Doxycycline and Tetracycline
Pathogena Minimal Inhibitory Concentrations

(mcg/mL)
Disk Diffusion Zone Diameters (mm) Agar Dilution (mcg/mL)
S I R S I R S I R
Acinetobacter spp.
    Doxycycline ≤4 8 ≥16 ≥13 10 - 12 ≤9 - - -
    Tetracycline ≤4 8 ≥16 ≥15 12-14 ≤11 - - -
Anaerobes
    Tetracycline - - - - - - ≤4 8 ≥16
Bacillus anthracisb
    Doxycycline ≤1 - - - - - - - -
    Tetracycline ≤1 - - - - - - - -
Brucella speciesb
    Doxycycline ≤1 - - - - - - - -
    Tetracycline ≤1 - - - - - - - -
Enterobacteriaceae
    Doxycycline ≤4 8 ≥16 ≥14 11-13 ≤10 - - -
    Tetracycline ≤4 8 ≥16 ≥15 12-14 ≤11 - - -
Franciscella tularensisc
    Doxycycline ≤4 - - - - - - - -
    Tetracycline ≤4 - - - - - - - -
Haemophilus influenzae
    Tetracycline ≤2 4 ≥8 ≥29 26-28 ≤25 - - -
Mycoplasma pneumoniaeb
    Tetracycline - - - - - ≤2 - -
Nocardiae and other aerobic Actinomyces speciesb
    Doxycycline ≤1 2-4 ≥8 - - - - -
Neisseria gonorrhoeae speciesc
    Tetracycline - - - ≥38 31-37 ≤30 ≤0.25 0.5-1 ≥2
Streptococcus pneumoniae
    Doxycycline ≤0.25 0.5 ≥1 ≥28 25-27 ≤24 - - -
    Tetracycline ≤1 2 ≥4 ≥28 25-27 ≤24 - - -
Vibrio cholerae
    Doxycycline ≤4 8 ≥16 - - - - - -
    Tetracycline ≤4 8 ≥16 - - - - - -
Yersinia pestis
    Doxycycline ≤4 8 ≥16 - - - - - -
    Tetracycline ≤4 8 ≥16 - - - - - -
Ureaplasma urealyticum
    Tetracycline - - - - - - ≤1 - ≥2

Doxycycline susceptibility testing interpretive criteria for anaerobes, Haemophilus influenzae, Mycoplasma pneumoniae, Neisseria gonorrhoeae, and Ureaplasma urealyticum have not been established. Isolates of these species that are susceptible to tetracycline are also considered susceptible to doxycycline.5

A report of Susceptible (S) indicates that the antimicrobial drug is likely to inhibit growth of the pathogen if the antimicrobial drug reaches the concentration usually achievable at the site of infection. A report of Intermediate (I) indicates that the result should be considered equivocal, and, if the microorganism is not fully susceptible to alternative, clinically feasible drugs, the test should be repeated. This category implies possible clinical applicability in body sites where the drug product is physiologically concentrated or in situations where high dosage of drug can be used. This category also provides a buffer zone that prevents small uncontrolled technical factors from causing major discrepancies in interpretation. A report of Resistant (R) indicates that the antimicrobial drug is not likely to inhibit growth of the pathogen if the antimicrobial drug reaches the concentration usually achievable at the infection site; other therapy should be selected.

Quality Control

Standardized susceptibility test procedures require the use of laboratory controls to monitor and ensure the accuracy and precision of the supplies and reagents used in the assay, and the techniques of the individuals performing the test5,6,7,8,9,10,11. Standard doxycycline powders should provide the following range of MIC values noted in Table 2. For the diffusion technique using the 30 mcg doxycycline disk, the criteria noted in Table 2 should be achieved.

Table 2: Acceptable Quality Control Ranges for Doxycycline and Tetracycline
a ATCC is the American Type Culture Collection
QC Strain Minimal Inhibitory Concentration (mcg per mL) Disk Diffusion (zone diameter mm) Agar Dilution (mcg/ml)
Enterococcus faecalis ATCCa 29212
Doxycycline 2 – 8 - -
Tetracycline 8-32 - -
Escherichia coli ATCC 25922
Doxycycline 0.5 – 2 18 – 24 -
Tetracycline 0.5-2 18-25 -
Eggerthella lenta ATCC 43055
Doxycycline 2 – 16 - -
Haemophilus influenza ATCC 49247
Tetracycline 4-32 14-22 -
Neisseria gonorrhoeae ATCC 49226
Tetracycline - 30-42 0.25-1
Staphylococcus aureus ATCC 25923
Doxycycline - 23 – 29 -
Tetracycline - 24-30 -
Staphylococcus aureus ATCC 29213
Doxycycline 0.12 - 0.5 - -
Tetracycline 0.12-1 - -
Streptococcus pneumoniae ATCC 49619
Doxycycline 0.016 - 0.12 25-34 -
Tetracycline 0.06-0.5 27-31 -
Bacteroides frugilis ATCC 25285
Tetracycline - - 0.125-0.5
Bacteroides thetaiotaomicron ATCC 29741
Doxycycline 2 – 8 - -
Tetracycline - - 8-32
Mycoplasma hominis ATCC 23114
Tetracycline - - 0.12-1
Mycoplasma pneumoniae ATCC 29342
Tetracycline 0.06-0.5 - 0.06-0.5
Ureaplasma urealyticum ATCC 33175
Tetracycline - - ≥8
8.4 Pediatric Use

Because of the effects of drugs of the tetracycline-class on tooth development and growth, use ACTICLATE and ACTICLATE CAP in pediatric patients 8 years of age or less only when the potential benefits are expected to outweigh the risks in severe or life-threatening conditions (e.g., anthrax, Rocky Mountain spotted fever), particularly when there are no alternative therapies [see Warnings and Precautions (5.1, 5.7) and Dosage and Administration (2.1, 2.5)].

8.5 Geriatric Use

Clinical studies of doxycycline hyclate tablets did not include sufficient numbers of subjects aged 65 and over to determine whether they respond differently from younger subjects. Other reported clinical experience has not identified differences in responses between the elderly and younger patients. ACTICLATE Tablets each contains less than 1 mg of sodium.

4 Contraindications

ACTICLATE and ACTICLATE CAP are contraindicated in persons who have shown hypersensitivity to any of the tetracyclines.

6 Adverse Reactions

The following adverse reactions have been identified during clinical trials or post-approval use of tetracycline-class drugs, including doxycycline. Because these reactions are reported voluntarily from a population of uncertain size, it is not always possible to reliably estimate their frequency or establish a causal relationship to drug exposure.

Gastrointestinal: Anorexia, nausea, vomiting, diarrhea, glossitis, dysphagia, enterocolitis, and inflammatory lesions (with monilial overgrowth) in the anogenital region, and pancreatitis. Hepatotoxicity has been reported. These reactions have been caused by both the oral and parenteral administration of tetracyclines. Superficial discoloration of the adult permanent dentition, reversible upon drug discontinuation and professional dental cleaning has been reported. Permanent tooth discoloration and enamel hypoplasia may occur with drugs of the tetracycline class when used during tooth development [See Warnings and Precautions (5.1)]. Instances of esophagitis and esophageal ulcerations have been reported in patients receiving capsule and tablet forms of drugs in the tetracycline-class. Most of these patients took medications immediately before going to bed [see Dosage and Administration ( 2.1 )].

Skin: Maculopapular and erythematous rashes, Stevens-Johnson syndrome, toxic epidermal necrolysis, exfoliative dermatitis, and erythema multiforme have been reported. Photosensitivity has been reported [see Warnings and Precautions ( 5.3 )].

Renal: Rise in BUN has been reported and is apparently dose-related [see Warnings and Precautions ( 5.8 )].

Hypersensitivity reactions: Urticaria, angioneurotic edema, anaphylaxis, anaphylactoid purpura, serum sickness, pericarditis, and exacerbation of systemic lupus erythematosus, and drug reaction with eosinophilia and systemic symptoms (DRESS).

Blood: Hemolytic anemia, thrombocytopenia, neutropenia, and eosinophilia have been reported.

Intracranial Hypertension: Intracranial hypertension (IH, pseudotumor cerebri) has been associated with the use of tetracyclines [see Warnings and Precautions ( 5.6 )].

Thyroid Gland Changes: When given over prolonged periods, tetracyclines have been reported to produce brown-black microscopic discoloration of thyroid glands. No abnormalities of thyroid function are known to occur.

7 Drug Interactions
  • Patients who are on anticoagulant therapy may require downward adjustment of their anticoagulant dosage. (7.1)
  • Avoid co-administration of tetracyclines with penicillin. (7.2)
  • Absorption of tetracyclines, including ACTICLATE and ACTICLATE CAP is impaired by antacids containing aluminum, calcium, or magnesium, bismuth subsalicylate and iron-containing preparations. (7.3)
  • Concurrent use of tetracyclines, including ACTICLATE and ACTICLATE CAP may render oral contraceptives less effective. (7.4)
  • Barbiturates, carbamazepine and phenytoin decrease the half-life of doxycycline. (7.5)
8.3 Nursing Mothers

Tetracyclines are excreted in human milk, however, the extent of absorption of tetracyclines including doxycycline, by the breastfed infant is not known. Short-term use by lactating women is not necessarily contraindicated. The effects of prolonged exposure to doxycycline in breast milk are unknown4. Because of the potential for serious adverse reactions in nursing infants from doxycycline, a decision should be made whether to discontinue nursing or to discontinue the drug, taking into account the importance of the drug to the mother [see Warnings and Precautions ( 5.1, 5.7 )].

5.3 Photosensitivity

Photosensitivity manifested by an exaggerated sunburn reaction has been observed in some individuals taking tetracyclines. Patients apt to be exposed to direct sunlight or ultraviolet light should be advised that this reaction can occur with tetracycline drugs, and treatment should be discontinued at the first evidence of skin erythema.

12.3 Pharmacokinetics

Absorption

ACTICLATE (doxycycline hyclate) Tablets: Following administration of a single 300 mg dose to adult volunteers, average peak plasma doxycycline levels were 3.0 mcg per mL at 3 hours, decreasing to 1.18 mcg per mL at 24 hours. The mean Cmax and AUC0-∞ of doxycycline are 24% and 15% lower, respectively, following single dose administration of ACTICLATE, 150 mg tablets with a high fat meal (including milk) compared to fasted conditions. The clinical significance of these decreases is unknown.

ACTICLATE CAP (doxycycline hyclate) Capsules. Following administration of a single 300 mg dose to adult volunteers, average peak plasma doxycycline levels were 2.8 mcg per mL at 3 hours, decreasing to 1.1 mcg per mL at 24 hours. The mean Cmax of doxycycline is approximately 20% lower and the AUC0-∞ is unchanged following single dose administration of ACTICLATE CAP Capsules with a high fat meal (including milk) compared to fasted conditions. The clinical significance of this decrease in Cmax is unknown.

Excretion

Tetracyclines are concentrated in bile by the liver and excreted in the urine and feces at high concentrations and in a biologically active form.

Excretion of doxycycline by the kidney is about 40% per 72 hours in individuals with a creatinine clearance of about 75 mL per minute. This percentage may fall as low as 1% per 72 hours to 5% per 72 hours in individuals with a creatinine clearance below 10 mL per minute. Studies have shown no significant difference in the serum half-life of doxycycline (range 18 to 22 hours) in individuals with normal and severely impaired renal function. Hemodialysis does not alter the serum half-life.

5.1 Tooth Development

The use of drugs of the tetracycline-class during tooth development (last half of pregnancy, infancy and childhood to the age of 8 years) may cause permanent discoloration of the teeth (yellow-gray-brown). This adverse reaction is more common during long-term use of the drugs but it has been observed following repeated short-term courses. Enamel hypoplasia has also been reported. Use ACTICLATE and ACTICLATE CAP in pediatric patients 8 years of age or less only when the potential benefits are expected to outweigh the risks in severe or life-threatening conditions (e.g., anthrax, Rocky Mountain spotted fever), particularly when there are no alternative therapies.

1 Indications and Usage

ACTICLATE® and ACTICLATE® CAP are tetracycline class drugs indicated for:

  • Rickettsial infections (1.1)
  • Sexually transmitted infections (1.2)
  • Respiratory tract infections (1.3)
  • Specific bacterial infections (1.4)
  • Ophthalmic infections (1.5)
  • Anthrax, including inhalational anthrax (post-exposure) (1.6)
  • Alternative treatment for selected infections when penicillin is contraindicated (1.7)
  • Adjunctive therapy for acute intestinal amebiasis and severe acne (1.8)
  • Prophylaxis of malaria (1.9)

To reduce the development of drug-resistant bacteria and maintain the effectiveness of ACTICLATE and ACTICLATE CAP and other antibacterial drugs, ACTICLATE and ACTICLATE CAP should be used only to treat or prevent infections that are proven or strongly suspected to be caused by bacteria. (1.10)

5.8 Antianabolic Action

The antianabolic action of the tetracyclines may cause an increase in BUN. Studies to date indicate that this does not occur with the use of doxycycline in patients with impaired renal function.

7.1 Anticoagulant Drugs

Because tetracyclines have been shown to depress plasma prothrombin activity, patients who are on anticoagulant therapy may require downward adjustment of their anticoagulant dosage.

7.4 Oral Contraceptives

Concurrent use of tetracyclines, including ACTICLATE and ACTICLATE CAP may render oral contraceptives less effective.

12.1 Mechanism of Action

Doxycycline is a tetracycline-class antimicrobial drug [see Microbiology (12.4)].

1.5 Ophthalmic Infections

ACTICLATE and ACTICLATE CAP are indicated for treatment of the following ophthalmic infections:

  • Trachoma caused by Chlamydia trachomatis, although the infectious agent is not always eliminated as judged by immunofluorescence.
  • Inclusion conjunctivitis caused by Chlamydia trachomatis.
5.2 Clostridium Difficile

Clostridium difficile associated diarrhea (CDAD) has been reported with use of nearly all antibacterial agents, including ACTICLATE and ACTICLATE CAP, and may range in severity from mild diarrhea to fatal colitis. Treatment with antibacterial agents alters the normal flora of the colon leading to overgrowth of C. difficile.

C. difficile produces toxins A and B which contribute to the development of CDAD. Hypertoxin producing strains of C. difficile cause increased morbidity and mortality, as these infections can be refractory to antibacterial therapy and may require colectomy. CDAD must be considered in all patients who present with diarrhea following antibacterial use. Careful medical history is necessary since CDAD has been reported to occur over two months after the administration of antibacterial agents.

If CDAD is suspected or confirmed, ongoing antibacterial use not directed against C. difficile may need to be discontinued. Appropriate fluid and electrolyte management, protein supplementation, antibacterial treatment of C. difficile, and surgical evaluation should be instituted as clinically indicated.

5.5 Severe Skin Reactions

Severe skin reactions, such as exfoliative dermatitis, erythema multiforme, Stevens-Johnson syndrome, toxic epidermal necrolysis, and drug reaction with eosinophilia and systemic symptoms (DRESS) have been reported in patients receiving doxycycline [See Adverse Reactions (6)]. If severe skin reactions occur, doxycycline should be discontinued immediately and appropriate therapy should be instituted.

1.1 Rickettsial Infections

ACTICLATE® and ACTICLATE® CAP are indicated for treatment of Rocky Mountain spotted fever, typhus fever and the typhus group, Q fever, rickettsial pox, and tick fevers caused by Rickettsiae.

1.9 Prophylaxis of Malaria

ACTICLATE and ACTICLATE CAP are indicated for the prophylaxis of malaria due to Plasmodium falciparum in short-term travelers (less than 4 months) to areas with chloroquine and/or pyrimethamine-sulfadoxine resistant strains [see Dosage and Administration (2.4) and Patient Counseling Information (17)].

5 Warnings and Precautions
  • The use of drugs of the tetracycline-class during tooth development (last half of pregnancy, infancy and childhood to the age of 8 years) may cause permanent discoloration of the teeth (yellow-gray-brown). (2.2, 5.1)
  • Clostridium difficile-associated diarrhea (CDAD) has been reported. Evaluate patients if diarrhea occurs. (5.2)
  • Photosensitivity manifested by an exaggerated sunburn reaction has been observed in some individuals taking tetracyclines. Limit sun exposure. (5.3)
  • Overgrowth of non-susceptible organisms, including fungi, may occur. If such infections occur, discontinue use and institute appropriate therapy. (5.4)
2 Dosage and Administration
  • Important Administration Instructions for ACTICLATE and ACTICLATE CAP
    • ACTICLATE Tablets (150 mg) can be broken into two-thirds or one-third to provide a 50 mg and 100 mg strength, respectively. (2.1)
    • Swallow ACTICLATE CAP Capsule whole. Do not break, open, crush, dissolve or chew the capsule. (2.1)
  • Dosage in Adults for ACTICLATE or ACTICLATE CAP:
    • The usual dosage is 200 mg on the first day of treatment (administered 100 mg every 12 hours) followed by a maintenance dose of 100 mg daily. (2.1)
    • In the management of more severe infections (particularly chronic infections of the urinary tract), 100 mg every 12 hours is recommended. (2.1)
  • Dosage in Pediatric Patients for ACTICLATE or ACTICLATE CAP:
    • For all pediatric patients weighing less than 45 kg with severe or life-threatening infections (e.g., anthrax, Rocky Mountain spotted fever), the recommended dose is 2.2 mg per kg of body weight administered every 12 hours. Pediatric patients weighing 45 kg or more should receive the adult dose. (2.3)
    • For pediatric patients with less severe disease (greater than 8 years of age and weighing less than 45 kg), the recommended dose is 4.4 mg per kg of body weight divided into two doses on the first day of treatment, followed by a maintenance dose of 2.2 mg per kg of body weight (given as a single daily dose or divided into two doses. For pediatric patients weighing over 45 kg, the usual adult dose should be used. (2.3)
  • See Full Prescribing Information for additional indication specific dosage information and important administration instructions for ACTICLATE and ACTICLATE CAP. (2.1, 2.4, 2.5)
2.2 Dosage in Adult Patients
  • The usual dosage of ACTICLATE is 200 mg on the first day of treatment (administered 100 mg every 12 hours) followed by a maintenance dose of 100 mg daily. The maintenance dose may be administered as a single dose or as 50 mg every 12 hours.
  • In the management of more severe infections (particularly chronic infections of the urinary tract), 100 mg every 12 hours is recommended.
  • For certain selected specific indications, the recommended duration or dosage and duration of ACTICLATE or ACTICLATE CAP in adult patients are as follows:
    • Streptococcal infections, therapy should be continued for 10 days.
    • Uncomplicated urethral, endocervical, or rectal infection caused by Chlamydia trachomatis: 100 mg by mouth twice-a-day for 7 days.
    • Uncomplicated gonococcal infections in adults (except anorectal infections in men): 100 mg, by mouth, twice-a-day for 7 days. As an alternate single visit dose, administer 300 mg stat followed in one hour by a second 300 mg dose.
    • Nongonococcal urethritis (NGU) caused by C. trachomatis and U. urealyticum: 100 mg by mouth twice-a-day for 7 days.
    • Syphilis – early: Patients who are allergic to penicillin should be treated with doxycycline 100 mg by mouth twice-a-day for 2 weeks.
    • Syphilis of more than one year’s duration: Patients who are allergic to penicillin should be treated with doxycycline 100 mg by mouth twice-a-day for 4 weeks.
    • Acute epididymo-orchitis caused by N. gonorrhoeae: 100 mg by mouth, twice-a-day for at least 10 days.
    • Acute epididymo-orchitis caused by C. trachomatis: 100 mg, by mouth, twice-a-day for at least 10 days.
3 Dosage Forms and Strengths

ACTICLATE Tablets:

ACTICLATE (doxycycline hyclate) Tablets, 75 mg are round, convex, light-teal, film-coated, tablets with “75” debossed on one side of the tablet and “AQ101” debossed on the other (each tablet contains 75 mg doxycycline as 86.6 mg doxycycline hyclate).

ACTICLATE (doxycycline hyclate) Tablets, 150 mg are oval-shaped, convex, mossy-green, film-coated tablets. Each side of the functionally scored tablet has two parallel score lines for splitting into 3 equal portions with “A” debossed on each portion of one side of the tablet, and no debossing on the other (each tablet contains 150 mg doxycycline as 173.2 mg doxycycline hyclate).

ACTICLATE CAP Capsules:

ACTICLATE CAP (doxycycline hyclate) Capsules, 75 mg have a navy blue opaque body and cap with the inscription “AQUA 101C75” in black (each capsule contains 75 mg doxycycline as 86.6 mg doxycycline hyclate).

5.6 Intracranial Hypertension

Intracranial hypertension (IH, pseudotumor cerebri) has been associated with the use of tetracyclines including ACTICLATE and ACTICLATE CAP. Clinical manifestations of IH include headache, blurred vision, diplopia, and vision loss; papilledema can be found on fundoscopy. Women of childbearing age who are overweight or have a history of IH are at greater risk for developing tetracycline associated IH. Concomitant use of isotretinoin and ACTICLATE and ACTICLATE CAP should be avoided because isotretinoin is also known to cause pseudotumor cerebri.

Although IH typically resolves after discontinuation of treatment, the possibility for permanent visual loss exists. If visual disturbance occurs during treatment, prompt ophthalmologic evaluation is warranted. Since intracranial pressure can remain elevated for weeks after drug cessation patients should be monitored until they stabilize.

8 Use in Specific Populations
  • Tetracycline-class drugs can cause fetal harm when administered to a pregnant woman, but data for doxycycline are limited. (5.6, 8.1)
  • Tetracyclines are excreted in human milk; however, the extent of absorption of doxycycline in the breastfed infant is not known. ACTICLATE and ACTICLATE CAP use during nursing should be avoided if possible. (8.3)
1.3 Respiratory Tract Infections

ACTICLATE and ACTICLATE CAP are indicated for treatment of the following respiratory tract infections:

  • Respiratory tract infections caused by Mycoplasma pneumoniae.
  • Psittacosis (ornithosis) caused by Chlamydophila psittaci.
  • Because many strains of the following groups of microorganisms have been shown to be resistant to doxycycline, culture and susceptibility testing are recommended.
  • Doxycycline is indicated for treatment of infections caused by the following microorganisms, when bacteriological testing indicates appropriate susceptibility to the drug:
  • Respiratory tract infections caused by Haemophilus influenzae.
  • Respiratory tract infections caused by Klebsiella species.
  • Upper respiratory infections caused by Streptococcus pneumoniae.
2.3 Dosage in Pediatric Patients
  • For all pediatric patients weighing less than 45 kg with severe or life threatening infections (e.g., anthrax, Rocky Mountain spotted fever), the recommended dosage of ACTICLATE and ACTICLATE CAP is 2.2 mg per kg of body weight administered every 12 hours. Pediatric patients weighing 45 kg or more should receive the adult dose [see Warnings and Precautions (5.1)].
  • For pediatric patients with less severe disease (greater than 8 years of age and weighing less than 45 kg), the recommended dosage schedule of ACTICLATE and ACTICLATE CAP is 4.4 mg per kg of body weight divided into two doses on the first day of treatment, followed by a maintenance dose of 2.2 mg per kg of body weight (given as a single daily dose or divided into twice daily doses). For pediatric patients weighing over 45 kg, the usual adult dose should be used.
5.7 Delayed Skeletal Development

All tetracyclines form a stable calcium complex in any bone-forming tissue. A decrease in fibula growth rate has been observed in prematures given oral tetracycline in doses of 25 mg per kg every six hours. This reaction was shown to be reversible when the drug was discontinued.

Results of animal studies indicate that tetracyclines cross the placenta, are found in fetal tissues, and can have toxic effects on the developing fetus (often related to retardation of skeletal development). Evidence of embryotoxicity also has been noted in animals treated early in pregnancy. Tetracycline-class drugs can cause fetal harm when administered to a pregnant woman, but data for doxycycline are limited. If any tetracycline is used during pregnancy or if the patient becomes pregnant while taking these drugs, the patient should be apprised of the potential hazard to the fetus.

1.4 Specific Bacterial Infections

ACTICLATE and ACTICLATE CAP are indicated for treatment of the following specific bacterial infections:

  • Relapsing fever due to Borrelia recurrentis.
  • Plague due to Yersinia pestis.
  • Tularemia due to Francisella tularensis.
  • Cholera caused by Vibrio cholerae.
  • Campylobacter fetus infections caused by Campylobacter fetus.
  • Brucellosis due to Brucella species (in conjunction with streptomycin).
  • Bartonellosis due to Bartonella bacilliformis.

Because many strains of the following groups of microorganisms have been shown to be resistant to doxycycline, culture and susceptibility testing are recommended.

ACTICLATE and ACTICLATE CAP are indicated for treatment of infections caused by the following gram-negative microorganisms, when bacteriological testing indicates appropriate susceptibility to the drug:

  • Escherichia coli
  • Enterobacter aerogenes
  • Shigella species
  • Acinetobacter species
  • Urinary tract infections caused by Klebsiella species.
17 Patient Counseling Information

Advise the patient to read the FDA-approved patient labeling (Instructions for Use).

Advise patients taking ACTICLATE and ACTICLATE CAP for malaria prophylaxis:

  • that no present-day antimalarial agent, including doxycycline, guarantees protection against malaria.
  • to avoid being bitten by mosquitoes by using personal protective measures that help avoid contact with mosquitoes, especially from dusk to dawn (for example, staying in well-screened areas, using mosquito nets, covering the body with clothing, and using an effective insect repellent).
  • that doxycycline prophylaxis:

    - should begin 1 day to 2 days before travel to the malarious area,

    - should be continued daily while in the malarious area and after leaving the malarious area,

    - should be continued for 4 further weeks to avoid development of malaria after returning from an endemic area,

    - should not exceed 4 months.

    Advise all patients taking ACTICLATE and ACTICLATE CAP:
  • that ACTICLATE Tablets (150 mg) can be broken into two-thirds or one-third at the scored lines to provide 100 mg or 50 mg strength doses, respectively.
  • that they must swallow ACTICLATE CAP whole. They must not break, open, crush, dissolve or chew the capsule [see Dosage and Administration (2.2)].
  • to avoid excessive sunlight or artificial ultraviolet light while receiving doxycycline and to discontinue therapy if phototoxicity (for example, skin eruptions, etc.) occurs. Sunscreen or sunblock should be considered [see Warnings and Precautions (5.3)].
  • to drink fluids liberally along with ACTICLATE and ACTICLATE CAP to reduce the risk of esophageal irritation and ulceration [see Adverse Reactions (6)].
  • that the absorption of tetracyclines is reduced when taken with foods, especially those that contain calcium [see Drug Interactions (7.3)]. However, the absorption of doxycycline is not markedly influenced by simultaneous ingestion of food or milk [see Clinical Pharmacology (12.3)].
  • that if gastric irritation occurs, ACTICLATE and ACTICLATE CAP may be given with food or milk [see Clinical Pharmacology (12.3)].
  • that the absorption of tetracyclines is reduced when taken with antacids containing aluminum, calcium or magnesium, bismuth subsalicylate, and iron-containing preparations [see Drug Interactions (7.3)].
  • that the use of doxycycline might increase the incidence of vaginal candidiasis.

Advise patients that diarrhea is a common problem caused by antibacterial drugs which usually ends when the antibacterial is discontinued. Sometimes after starting treatment with antibacterial drugs, patients can develop watery and bloody stools (with or without stomach cramps and fever) even as late as two or more months after having taken the last dose of antibacterial. If this occurs, patients should contact their physician as soon as possible.

Counsel patients that antibacterial drugs including ACTICLATE and ACTICLATE CAP should only be used to treat bacterial infections. They do not treat viral infections (for example, the common cold). When ACTICLATE and ACTICLATE CAP are prescribed to treat a bacterial infection, patients should be told that although it is common to feel better early in the course of therapy, the medication should be taken exactly as directed. Skipping doses or not completing the full course of therapy may (1) decrease the effectiveness of the immediate treatment and (2) increase the likelihood that bacteria will develop resistance and will not be treatable by ACTICLATE and ACTICLATE CAP or other antibacterial drugs in the future.

Manufactured by Catalent Pharma Solutions, Winchester, KY 40391

For Aqua Pharmaceuticals, an Almirall Company Exton, PA 19341

AQUA PHARMACEUTICALS

an Almirall company





7.3 Antacids and Iron Preparations

Absorption of tetracyclines, including ACTICLATE and ACTICLATE CAP is impaired by antacids containing aluminum, calcium, or magnesium, bismuth subsalicylate, and iron-containing preparations.

1.2 Sexually Transmitted Infections

ACTICLATE and ACTICLATE CAP are indicated for treatment of the following sexually transmitted infections:

  • Uncomplicated urethral, endocervical or rectal infections caused by Chlamydia trachomatis.
  • Nongonococcal urethritis caused by Ureaplasma urealyticum.
  • Lymphogranuloma venereum caused by Chlamydia trachomatis.
  • Granuloma inguinale caused by Klebsiella granulomatis.
  • Uncomplicated gonorrhea caused by Neisseria gonorrhoeae.
  • Chancroid caused by Haemophilus ducreyi.
16 How Supplied/storage and Handling

How Supplied

ACTICLATE (doxycycline hyclate) Tablets, 75 mg are round, convex, light-teal, film-coated, tablets with “75” debossed on one side of the tablet and “AQ101” debossed on the other. Each 75 mg tablet contains 86.6 mg of doxycycline hyclate equivalent to 75 mg of doxycycline.

Bottles of 60 tablets:        NDC 16110-501-01

ACTICLATE (doxycycline hyclate) Tablets, 150 mg are oval-shaped, convex, mossy-green, film-coated tablets. Each side of the functionally scored tablet has two parallel score lines for splitting into 3 equal portions with “A” debossed on each portion of one side of the tablet, and no debossing on the other. Each 150 mg tablet contains 173.2 mg of doxycycline hyclate equivalent to 150 mg of doxycycline.

Bottles of 60 tablets:        NDC 16110-502-01

ACTICLATE CAP (doxycycline hyclate) Capsules, 75 mg, have a navy blue opaque body and cap with the inscription “AQUA 101C75” in black. Each 75 mg capsule contains 86.6 mg of doxycycline hyclate equivalent to 75 mg of doxycycline.

Bottles of 60 capsules:     NDC 16110-601-01

7.5 Barbiturates and Anti Epileptics

Barbiturates, carbamazepine, and phenytoin decrease the half-life of doxycycline.

2.4 Dosage for Prophylaxis of Malaria

For adults, the recommended dose of ACTICLATE is 100 mg daily.

For pediatric patients 8 years of age and older, the recommended dosage of ACTICLATE and ACTICLATE CAP is 2 mg per kg of body weight administered once daily. Pediatric patients weighing 45 kg or more should receive the adult dose.

Prophylaxis should begin 1 or 2 days before travel to the malarious area. Prophylaxis should be continued daily during travel in the malarious area and for 4 weeks after the traveler leaves the malarious area.

5.9 Incomplete Suppression of Malaria

Doxycycline offers substantial but not complete suppression of the asexual blood stages of Plasmodium strains.

Doxycycline does not suppress P. falciparum’s sexual blood stage gametocytes. Subjects completing this prophylactic regimen may still transmit the infection to mosquitoes outside endemic areas.

5.4 Potential for Microbial Overgrowth

ACTICLATE and ACTICLATE CAP may result in overgrowth of non-susceptible organisms, including fungi. If such infections occur, discontinue use and institute appropriate therapy.

2.1 Important Administration Instructions
  • The usual dosage and frequency of administration of ACTICLATE and ACTICLATE CAP differs from that of the other tetracyclines. Exceeding the recommended dosage may result in an increased incidence of adverse reactions.
  • Administer ACTICLATE and ACTICLATE CAP with adequate amounts of fluid to wash down the drugs and reduce the risk of esophageal irritation and ulceration [see Adverse Reactions (6)].
  • If gastric irritation occurs, ACTICLATE and ACTICLATE CAP may be given with food or milk [see Clinical Pharmacology (12.3)]
  • Swallow ACTICLATE CAP whole. Do not break, open, crush, dissolve or chew the capsule.
  • ACTICLATE tablets (150 mg) can be broken into two-thirds or one-third to provide a 100 mg and 50 mg strength, respectively [see FDA-approved patient labeling].
7.7 Drug and Laboratory Test Interactions

False elevations of urinary catecholamines may occur due to interference with the fluorescence test.

13.2 Animal Toxicology And/or Pharmacology

Hyperpigmentation of the thyroid has been produced by members of the tetracycline-class in the following species: in rats by oxytetracycline, doxycycline, tetracycline PO4, and methacycline; in minipigs by doxycycline, minocycline, tetracycline PO4, and methacycline; in dogs by doxycycline and minocycline; in monkeys by minocycline.

Minocycline, tetracycline PO4, methacycline, doxycycline, tetracycline base, oxytetracycline HCl, and tetracycline HCl, were goitrogenic in rats fed a low iodine diet. This goitrogenic effect was accompanied by high radioactive iodine uptake. Administration of minocycline also produced a large goiter with high radioiodine uptake in rats fed a relatively high iodine diet.

Treatment of various animal species with this class of drugs has also resulted in the induction of thyroid hyperplasia in the following: in rats and dogs (minocycline); in chickens (chlortetracycline); and in rats and mice (oxytetracycline). Adrenal gland hyperplasia has been observed in goats and rats treated with oxytetracycline.

Results of animal studies indicate that tetracyclines cross the placenta and are found in fetal tissues.

5.10 Development of Drug Resistant Bacteria

Prescribing ACTICLATE and ACTICLATE CAP in the absence of a proven or strongly suspected bacterial infection or a prophylactic indication is unlikely to provide benefit to the patient and increases the risk of the development of drug-resistant bacteria.

5.11 Laboratory Monitoring for Long Term Therapy

In long-term therapy, periodic laboratory evaluation of organ systems, including hematopoietic, renal and hepatic studies should be performed.

2.5 Dosage for Inhalational Anthrax (post Exposure)

For adults, the recommended dosage is 100 mg, of ACTICLATE, by mouth, twice-a-day for 60 days.

For pediatric patients weighing less than 45 kg, the recommended dosage of ACTICLATE and ACTICLATE CAP is 2.2 mg per kg of body weight, by mouth, twice-a-day for 60 days. Pediatric patients weighing 45 kg or more should receive the adult dose.

13.1 Carcinogenesis, Mutagenesis, Impairment of Fertility

Long-term studies in animals to evaluate carcinogenic potential of ACTICLATE (doxycycline hyclate) and ACTICLATE CAP (doxycycline hyclate) have not been conducted.

However, a 2 year carcinogenicity study with doxycycline administered daily by oral gavage to adult rats (20, 75, 200 mg/kg/day) demonstrated an increase in uterine polyps in female rats at 200 mg/kg/day (10 times the maximum recommended daily adult dose of ACTICLATE and ACTICLATE CAP based on body surface area comparison) with no change in tumor incidence in male rats at the same dose. A 2-year carcinogenicity study with doxycycline administered daily by oral gavage to adult male (maximum dose 150 mg/kg/day) and female (maximum dose 300 mg/kg/day) mice showed no changes in tumor incidence, at approximately 4 and 7 times the maximum recommended daily adult dose of ACTICLATE and ACTICLATE CAP, based on a body surface area comparison, respectively.

Mutagenesis and fertility studies have not been conducted with ACTICLATE and ACTICLATE CAP. Mutagenesis studies with doxycycline demonstrated no potential to cause genetic toxicity in an in vitro point mutation study with mammalian cells or in an in vivo micronucleus assay in CD-1 mice. However, data from an in vitro mammalian chromosomal aberration assay conducted in CHO cells suggest that doxycycline is a weak clastogen. Oral administration of doxycycline to Sprague-Dawley rats showed adverse effects on fertility and reproduction including increased time for mating, reduced sperm motility, velocity and concentration as well as increased pre and post implantation loss. Reduced sperm velocity was seen at the lowest dosage tested, 50 mg/kg/day which is 2.5 times the maximum recommended daily adult dose of ACTICLATE and ACTICLATE CAP. Although doxycycline impairs the fertility of rats when administered at sufficient dosages, the effect of ACTICLATE and ACTICLATE CAP on human fertility is unknown.

1.6 Anthrax Including Inhalational Anthrax (post Exposure)

ACTICLATE and ACTICLATE CAP are indicated for the treatment of Anthrax due to Bacillus anthracis, including inhalational anthrax (post-exposure); to reduce the incidence or progression of disease following exposure to aerosolized Bacillus anthracis.

1.8 Adjunctive Therapy for Acute Intestinal Amebiasis and Severe Acne

In acute intestinal amebiasis, ACTICLATE and ACTICLATE CAP may be a useful adjunct to amebicides.

In severe acne, ACTICLATE and ACTICLATE CAP may be useful adjunctive therapy.

Principal Display Panel Ndc: 16110 601 01 75 Mg Capsule 60 Count Bottle Label





1.7 Alternative Treatment for Selected Infections When Penicillin Is Contraindicated

ACTICLATE and ACTICLATE CAP are indicted as an alternative treatment for the following selected infections when penicillin is contraindicated:

  • Syphilis caused by Treponema pallidum.
  • Yaws caused by Treponema pallidum subspecies pertenue.
  • Listeriosis due to Listeria monocytogenes.
  • Vincent’s infection caused by Fusobacterium fusiforme.
  • Actinomycosis caused by Actinomyces israelii.
  • Infections caused by Clostridium species.

Structured Label Content

Section 34077-8 (34077-8)

Teratogenic Effects. Pregnancy Category D: [see Warnings and Precautions ( 5.7 )]

There are no adequate and well-controlled studies on the use of doxycycline in pregnant women. The vast majority of reported experience with doxycycline during human pregnancy is short-term, first trimester exposure. There are no human data available to assess the effects of long-term therapy of doxycycline in pregnant women such as that proposed for the treatment of anthrax exposure. An expert review of published data on experiences with doxycycline use during pregnancy by TERIS - the Teratogen Information System - concluded that therapeutic doses during pregnancy are unlikely to pose a substantial teratogenic risk (the quantity and quality of data were assessed as limited to fair), but the data are insufficient to state that there is no risk.1

A case-control study (18,515 mothers of infants with congenital anomalies and 32,804 mothers of infants with no congenital anomalies) shows a weak but marginally statistically significant association with total malformations and use of doxycycline anytime during pregnancy. Sixty-three (0.19%) of the controls and 56 (0.30%) of the cases were treated with doxycycline. This association was not seen when the analysis was confined to maternal treatment during the period of organogenesis (that is, in the second and third months of gestation), with the exception of a marginal relationship with neural tube defect based on only two-exposed cases.2

A small prospective study of 81 pregnancies describes 43 pregnant women treated for 10 days with doxycycline during early first trimester. All mothers reported their exposed infants were normal at 1 year of age.3

Nonteratogenic effects: [see Warnings and Precautions ( 5.1, 5.7 )].

Section 44425-7 (44425-7)

Storage

Store at 20° to 25°C (68° to 77°F) excursions permitted to 15° to 30°C (59° to 86°F) [See USP Controlled Room Temperature]. Protect from light and moisture. Dispense in a tight, light-resistant container as defined in the USP using a child-resistant closure.

Section 59845-8 (59845-8)

FDA-Approved Patient Labeling

Instructions for Use

ACTICLATE® (‘aktəˌklāt)

(doxycycline hyclate)

tablets

for oral use

Read this Instructions for Use before you start using ACTICLATE and each time you get a refill. There may be new information. This information does not take the place of talking to your healthcare provider about your medical condition or treatment.

Note:

  • Your healthcare provider may need to change your dose of ACTICLATE during treatment as needed.
  • ACTICLATE tablets can be taken whole or broken at scored lines.
  • ACTICLATE tablets are marked with scored lines and may be broken at these scored lines to provide the following doses:

150 mg treatment (take the entire whole tablet)

100 mg treatment (take two-thirds of the tablet)

50 mg treatment (take one-third of the tablet)

How to break your ACTICLATE tablet:

  • Hold the tablet between your thumb and index finger close to the scored line for your dose of ACTICLATE as shown above.
  • Apply enough pressure to break the tablet at the scored line.
  • Do not break the ACTICLATE tablet in any other way.


AQUA PHARMACEUTICALS

an Almirall company

Manufactured by Catalent Pharma Solutions, Winchester, KY 40391

For Aqua Pharmaceuticals, an Almirall Company Exton, PA 19341



This Instructions for Use has been approved by the U.S. Food and Drug Administration.

Revised: 10/2017

Rx only



1.10 Usage

To reduce the development of drug-resistant bacteria and maintain the effectiveness of ACTICLATE and ACTICLATE CAP and other antibacterial drugs, ACTICLATE and ACTICLATE CAP should be used only to treat or prevent infections that are proven or strongly suspected to be caused by susceptible bacteria. When culture and susceptibility information are available, they should be considered in selecting or modifying antibacterial therapy. In the absence of such data, local epidemiology and susceptibility patterns may contribute to the empiric selection of therapy.

10 Overdosage (10 OVERDOSAGE)

In case of overdosage, discontinue medication, treat symptomatically and institute supportive measures. Dialysis does not alter serum half-life and thus would not be of benefit in treating cases of overdosage.

15 References (15 REFERENCES)
  • Friedman JM, Polifka JE. Teratogenic Effects of Drugs. A Resource for Clinicians (TERIS). Baltimore, MD: The Johns Hopkins University Press: 2000: 149-195. The TERIS (Teratogen Information System) is available at: http://www.micromedexsolutions.com/ (cited: 2016 Jan).
  • Cziezel AE and Rockenbauer M. Teratogenic study of doxycycline. Obstet Gynecol 1997; 89: 524-528.
  • Horne HW Jr. and Kundsin RB. The role of mycoplasma among 81 consecutive pregnancies: a prospective study. Int J Fertil 1980; 25: 315-317.
  • Drugs and Lactation Database (LactMed) [Internet]. Bethesda (MD): National Library of Medicine (US); [Last Revision Date 2015 March 10; cited 2016 Jan]. Doxycycline; LactMed Record Number: 100; [about 3 screens]. Available from: http://toxnet.nlm.nih.gov/newtoxnet/lactmed.htm
  • Clinical and Laboratory Standards Institute (CLSI). Performance Standards for Antimicrobial Susceptibility Testing; Twenty-seventh Informational Supplement. CLSI document M100S-S27. Clinical and Laboratory Standards Institute, 950 West Valley Road, Suite 2500, Wayne, Pennsylvania 19087, USA, 2017.
  • Clinical and Laboratory Standards Institute (CLSI). Methods for Dilution Antimicrobial Susceptibility Tests for Bacteria that Grow Aerobically; Approved Standard – Tenth Edition. CLSI document M07-A10, Clinical Laboratory Standards Institute, 950 West Valley Road, Suite 2500, Wayne, Pennsylvania 19087, USA, 2015.
  • Clinical and Laboratory Standards Institute (CLSI). Methods for Antimicrobial Dilution and Disk Susceptibility Testing of Infrequently Isolated or Fastidious Bacteria. Third Edition. CLSI Guideline M45, Clinical Laboratory Standards Institute, 950 West Valley Road, Suite 2500, Wayne, Pennsylvania 19087, USA, 2015.
  • Clinical and Laboratory Standards Institute (CLSI). Methods for Mycobacteria, Nocardiae, and Other Aerobic Actinomycetes; Approved Standard – Second Edition. CLSI document M24-A2, Clinical Laboratory Standards Institute, 950 West Valley Road, Suite 2500, Wayne, Pennsylvania 19087, USA, 2011.
  • Clinical and Laboratory Standards Institute (CLSI). Methods for Antimicrobial Susceptibility Testing for Human Mycoplasmas; Approved Guideline. CLSI document M43-A, Clinical Laboratory Standards Institute, 950 West Valley Road, Suite 2500, Wayne, Pennsylvania 19087, USA, 2011.
  • Clinical and Laboratory Standards Institute (CLSI). Performance Standards for Antimicrobial Disk Diffusion Susceptibility Tests; Approved Standard – Twelfth Edition. CLSI document M02-A12, Clinical Laboratory Standards Institute, 950 West Valley Road, Suite 2500, Wayne, Pennsylvania 19087, USA, 2015.
  • Clinical and Laboratory Standards Institute (CLSI). Methods for Antimicrobial Susceptibility Testing of Anaerobic Bacteria; Approved Standard – Eighth Edition. CLSI document M11-A8, Clinical Laboratory Standards Institute, 950 West Valley Road, Suite 2500, Wayne, Pennsylvania 19087, USA, 2012.
11 Description (11 DESCRIPTION)

ACTICLATE (doxycycline hyclate) Tablets and ACTICLATE CAP (doxycycline hyclate) Capsules contain doxycycline hyclate, a tetracycline class drug synthetically derived from oxytetracycline, in an immediate release formulation for oral administration.

The molecular formula of doxycycline hyclate is (C22H24N2O8 • HCl)2• C2H6O• H2O and the molecular weight of doxycycline hyclate is 1025.87. The chemical name for doxycycline hyclate is:

4-(Dimethylamino)-1,4,4a,5,5a,6,11,12a-octahydro-3,5,10,12,12a-pentahydroxy-6-methyl-1,11-dioxo-2-naphthacenecarboxamide monohydrochloride, compound with ethyl alcohol (2:1), monohydrate.

The structural formula for doxycycline hyclate is:

Figure 1: Structure of Doxycycline Hyclate

Doxycycline hyclate is a yellow crystalline powder soluble in water and in solutions of alkali hydroxides and carbonates.

ACTICLATE Tablet:

ACTICLATE is available as 75 mg and 150 mg tablets. Each 75 mg tablet contains 86.6 mg of doxycycline hyclate equivalent to 75 mg of doxycycline. Each 150 mg tablet contains 173.2 mg of doxycycline hyclate equivalent to 150 mg of doxycycline.

Inactive ingredients in the tablet formulation are: microcrystalline cellulose, sodium lauryl sulfate, croscarmellose sodium and magnesium stearate. Film-coating contains: polyvinyl alcohol, titanium dioxide, polyethylene glycol, talc, FD&C Blue #1 (75 mg Tablet), FD&C Blue #2 (150 mg Tablet) and yellow iron oxide (150 mg Tablet). ACTICLATE Tablets, 75 mg contain 0.34 mg (0.0146 mEq) of sodium. ACTICLATE Tablets, 150 mg contain 0.68 mg (0.0295 mEq) of sodium.

ACTICLATE CAP Capsule:

ACTICLATE CAP is available as 75 mg capsules. Each 75 mg capsule contains 86.6 mg of doxycycline hyclate equivalent to 75 mg of doxycycline.

Inactive ingredients in the capsule formulation are: microcrystalline cellulose, magnesium stearate, and a hard gelatin capsule which contains titanium dioxide, FD&C Red #40 and FD&C Blue #1. The capsules are printed with edible ink containing ammonium hydroxide, propylene glycol, isopropyl alcohol, N-butyl alcohol, black iron oxide, and shellac glaze in ethanol.

7.2 Penicillin

Since bacteriostatic drugs may interfere with the bactericidal action of penicillin, it is advisable to avoid giving tetracyclines, including ACTICLATE and ACTICLATE CAP in conjunction with penicillin.

7.6 Penthrane®

The concurrent use of tetracycline and Penthrane® (methoxyflurane) has been reported to result in fatal renal toxicity.

12.4 Microbiology

Mechanism of Action

Doxycycline inhibits bacterial protein synthesis by binding to the 30S ribosomal subunit. Doxycycline has bacteriostatic activity against a broad range of Gram-positive and Gram-negative bacteria.

Resistance

Cross resistance with other tetracyclines is common.

Antimicrobial Activity

Doxycycline has been shown to be active against most isolates of the following microorganisms, both in vitro and in clinical infections [see Indications and Usage (1)].

Gram-negative bacteria

Acinetobacter species

Bartonella bacilliformis

Brucella
species

Campylobacter fetus

Enterobacter aerogenes

Escherichia coli

Francisella tularensis

Haemophilus ducreyi

Haemophilus influenzae

Klebsiella granulomatis

Klebsiella
species

Neisseria gonorrhoeae

Shigella
species

Vibrio cholerae

Yersinia pestis

Gram-positive bacteria

Bacillus anthracis

Listeria monocytogenes

Streptococcus pneumoniae

Anaerobic bacteria

Clostridium species

Fusobacterium fusiforme

Propionibacterium acnes

Other bacteria

Nocardiae and other aerobic Actinomyces species

Borrelia recurrentis

Chlamydophila psittaci

Chlamydia trachomatis

Mycoplasma pneumoniae

Rickettsiae species

Treponema pallidum

Treponema pallidum subspecies pertenue

Ureaplasma urealyticum

Parasites

Balantidium coli

Entamoeba species

Plasmodium falciparum*


*Doxycycline has been found to be active against the asexual erythrocytic forms of Plasmodium falciparum, but not against the gametocytes of P. falciparum. The precise mechanism of action of the drug is not known.

Susceptibility Testing Methods

When available, the clinical microbiology laboratory should provide cumulative reports of in vitro susceptibility test results for antimicrobial drugs used in local hospitals and practice as periodic reports that describe the susceptibility profile of nosocomial and community-acquired pathogens. These reports should aid in the selection of an appropriate antibacterial drug for treatment.

Dilution techniques:

Quantitative methods are used to determine antimicrobial minimum inhibitory concentrations (MICs). These MICs provide estimates of the susceptibility of bacteria to antimicrobial compounds. The MICs values should be determined using a standardized test method5,6,7,8,9 (broth and/or agar). The MIC values should be interpreted according to criteria provided in Table 1.

Diffusion techniques:

Quantitative methods that require measurement of zone diameters can also provide reproducible estimates of the susceptibility of bacteria to antimicrobial compounds.

The zone size should be determined using a standardized test method5,7,10. This procedure uses paper disks impregnated with 30 mcg doxycycline to test the susceptibility of bacteria to doxycycline. The disk diffusion interpretive criteria are provided in Table 1.

Anaerobic Techniques:

For anaerobic bacteria, the susceptibility to doxycycline can be determined by a standardized test method5,11. The MIC values obtained should be interpreted according to the criteria provided in Table 1.

a Organisms susceptible to tetracycline are also considered susceptible to doxycycline. However, some organisms that are intermediate or resistant to tetracycline may be susceptible to doxycycline.

b The current absence of resistance isolates precludes defining any results other than "Susceptible". If isolates yielding MIC results other than susceptible, they should be submitted to a reference laboratory for further testing.

c Gonococci with 30 mcg tetracycline disk zone diameters of less than 19 mm usually indicate a plasmid-mediated tetracycline resistant Neisseria gonorrhoeae isolate. Resistance in these strains should be confirmed by a dilution test (MIC ≥ 16 mcg per mL).
Table 1: Susceptibility Test Interpretive Criteria for Doxycycline and Tetracycline
Pathogena Minimal Inhibitory Concentrations

(mcg/mL)
Disk Diffusion Zone Diameters (mm) Agar Dilution (mcg/mL)
S I R S I R S I R
Acinetobacter spp.
    Doxycycline ≤4 8 ≥16 ≥13 10 - 12 ≤9 - - -
    Tetracycline ≤4 8 ≥16 ≥15 12-14 ≤11 - - -
Anaerobes
    Tetracycline - - - - - - ≤4 8 ≥16
Bacillus anthracisb
    Doxycycline ≤1 - - - - - - - -
    Tetracycline ≤1 - - - - - - - -
Brucella speciesb
    Doxycycline ≤1 - - - - - - - -
    Tetracycline ≤1 - - - - - - - -
Enterobacteriaceae
    Doxycycline ≤4 8 ≥16 ≥14 11-13 ≤10 - - -
    Tetracycline ≤4 8 ≥16 ≥15 12-14 ≤11 - - -
Franciscella tularensisc
    Doxycycline ≤4 - - - - - - - -
    Tetracycline ≤4 - - - - - - - -
Haemophilus influenzae
    Tetracycline ≤2 4 ≥8 ≥29 26-28 ≤25 - - -
Mycoplasma pneumoniaeb
    Tetracycline - - - - - ≤2 - -
Nocardiae and other aerobic Actinomyces speciesb
    Doxycycline ≤1 2-4 ≥8 - - - - -
Neisseria gonorrhoeae speciesc
    Tetracycline - - - ≥38 31-37 ≤30 ≤0.25 0.5-1 ≥2
Streptococcus pneumoniae
    Doxycycline ≤0.25 0.5 ≥1 ≥28 25-27 ≤24 - - -
    Tetracycline ≤1 2 ≥4 ≥28 25-27 ≤24 - - -
Vibrio cholerae
    Doxycycline ≤4 8 ≥16 - - - - - -
    Tetracycline ≤4 8 ≥16 - - - - - -
Yersinia pestis
    Doxycycline ≤4 8 ≥16 - - - - - -
    Tetracycline ≤4 8 ≥16 - - - - - -
Ureaplasma urealyticum
    Tetracycline - - - - - - ≤1 - ≥2

Doxycycline susceptibility testing interpretive criteria for anaerobes, Haemophilus influenzae, Mycoplasma pneumoniae, Neisseria gonorrhoeae, and Ureaplasma urealyticum have not been established. Isolates of these species that are susceptible to tetracycline are also considered susceptible to doxycycline.5

A report of Susceptible (S) indicates that the antimicrobial drug is likely to inhibit growth of the pathogen if the antimicrobial drug reaches the concentration usually achievable at the site of infection. A report of Intermediate (I) indicates that the result should be considered equivocal, and, if the microorganism is not fully susceptible to alternative, clinically feasible drugs, the test should be repeated. This category implies possible clinical applicability in body sites where the drug product is physiologically concentrated or in situations where high dosage of drug can be used. This category also provides a buffer zone that prevents small uncontrolled technical factors from causing major discrepancies in interpretation. A report of Resistant (R) indicates that the antimicrobial drug is not likely to inhibit growth of the pathogen if the antimicrobial drug reaches the concentration usually achievable at the infection site; other therapy should be selected.

Quality Control

Standardized susceptibility test procedures require the use of laboratory controls to monitor and ensure the accuracy and precision of the supplies and reagents used in the assay, and the techniques of the individuals performing the test5,6,7,8,9,10,11. Standard doxycycline powders should provide the following range of MIC values noted in Table 2. For the diffusion technique using the 30 mcg doxycycline disk, the criteria noted in Table 2 should be achieved.

Table 2: Acceptable Quality Control Ranges for Doxycycline and Tetracycline
a ATCC is the American Type Culture Collection
QC Strain Minimal Inhibitory Concentration (mcg per mL) Disk Diffusion (zone diameter mm) Agar Dilution (mcg/ml)
Enterococcus faecalis ATCCa 29212
Doxycycline 2 – 8 - -
Tetracycline 8-32 - -
Escherichia coli ATCC 25922
Doxycycline 0.5 – 2 18 – 24 -
Tetracycline 0.5-2 18-25 -
Eggerthella lenta ATCC 43055
Doxycycline 2 – 16 - -
Haemophilus influenza ATCC 49247
Tetracycline 4-32 14-22 -
Neisseria gonorrhoeae ATCC 49226
Tetracycline - 30-42 0.25-1
Staphylococcus aureus ATCC 25923
Doxycycline - 23 – 29 -
Tetracycline - 24-30 -
Staphylococcus aureus ATCC 29213
Doxycycline 0.12 - 0.5 - -
Tetracycline 0.12-1 - -
Streptococcus pneumoniae ATCC 49619
Doxycycline 0.016 - 0.12 25-34 -
Tetracycline 0.06-0.5 27-31 -
Bacteroides frugilis ATCC 25285
Tetracycline - - 0.125-0.5
Bacteroides thetaiotaomicron ATCC 29741
Doxycycline 2 – 8 - -
Tetracycline - - 8-32
Mycoplasma hominis ATCC 23114
Tetracycline - - 0.12-1
Mycoplasma pneumoniae ATCC 29342
Tetracycline 0.06-0.5 - 0.06-0.5
Ureaplasma urealyticum ATCC 33175
Tetracycline - - ≥8
8.4 Pediatric Use

Because of the effects of drugs of the tetracycline-class on tooth development and growth, use ACTICLATE and ACTICLATE CAP in pediatric patients 8 years of age or less only when the potential benefits are expected to outweigh the risks in severe or life-threatening conditions (e.g., anthrax, Rocky Mountain spotted fever), particularly when there are no alternative therapies [see Warnings and Precautions (5.1, 5.7) and Dosage and Administration (2.1, 2.5)].

8.5 Geriatric Use

Clinical studies of doxycycline hyclate tablets did not include sufficient numbers of subjects aged 65 and over to determine whether they respond differently from younger subjects. Other reported clinical experience has not identified differences in responses between the elderly and younger patients. ACTICLATE Tablets each contains less than 1 mg of sodium.

4 Contraindications (4 CONTRAINDICATIONS)

ACTICLATE and ACTICLATE CAP are contraindicated in persons who have shown hypersensitivity to any of the tetracyclines.

6 Adverse Reactions (6 ADVERSE REACTIONS)

The following adverse reactions have been identified during clinical trials or post-approval use of tetracycline-class drugs, including doxycycline. Because these reactions are reported voluntarily from a population of uncertain size, it is not always possible to reliably estimate their frequency or establish a causal relationship to drug exposure.

Gastrointestinal: Anorexia, nausea, vomiting, diarrhea, glossitis, dysphagia, enterocolitis, and inflammatory lesions (with monilial overgrowth) in the anogenital region, and pancreatitis. Hepatotoxicity has been reported. These reactions have been caused by both the oral and parenteral administration of tetracyclines. Superficial discoloration of the adult permanent dentition, reversible upon drug discontinuation and professional dental cleaning has been reported. Permanent tooth discoloration and enamel hypoplasia may occur with drugs of the tetracycline class when used during tooth development [See Warnings and Precautions (5.1)]. Instances of esophagitis and esophageal ulcerations have been reported in patients receiving capsule and tablet forms of drugs in the tetracycline-class. Most of these patients took medications immediately before going to bed [see Dosage and Administration ( 2.1 )].

Skin: Maculopapular and erythematous rashes, Stevens-Johnson syndrome, toxic epidermal necrolysis, exfoliative dermatitis, and erythema multiforme have been reported. Photosensitivity has been reported [see Warnings and Precautions ( 5.3 )].

Renal: Rise in BUN has been reported and is apparently dose-related [see Warnings and Precautions ( 5.8 )].

Hypersensitivity reactions: Urticaria, angioneurotic edema, anaphylaxis, anaphylactoid purpura, serum sickness, pericarditis, and exacerbation of systemic lupus erythematosus, and drug reaction with eosinophilia and systemic symptoms (DRESS).

Blood: Hemolytic anemia, thrombocytopenia, neutropenia, and eosinophilia have been reported.

Intracranial Hypertension: Intracranial hypertension (IH, pseudotumor cerebri) has been associated with the use of tetracyclines [see Warnings and Precautions ( 5.6 )].

Thyroid Gland Changes: When given over prolonged periods, tetracyclines have been reported to produce brown-black microscopic discoloration of thyroid glands. No abnormalities of thyroid function are known to occur.

7 Drug Interactions (7 DRUG INTERACTIONS)
  • Patients who are on anticoagulant therapy may require downward adjustment of their anticoagulant dosage. (7.1)
  • Avoid co-administration of tetracyclines with penicillin. (7.2)
  • Absorption of tetracyclines, including ACTICLATE and ACTICLATE CAP is impaired by antacids containing aluminum, calcium, or magnesium, bismuth subsalicylate and iron-containing preparations. (7.3)
  • Concurrent use of tetracyclines, including ACTICLATE and ACTICLATE CAP may render oral contraceptives less effective. (7.4)
  • Barbiturates, carbamazepine and phenytoin decrease the half-life of doxycycline. (7.5)
8.3 Nursing Mothers

Tetracyclines are excreted in human milk, however, the extent of absorption of tetracyclines including doxycycline, by the breastfed infant is not known. Short-term use by lactating women is not necessarily contraindicated. The effects of prolonged exposure to doxycycline in breast milk are unknown4. Because of the potential for serious adverse reactions in nursing infants from doxycycline, a decision should be made whether to discontinue nursing or to discontinue the drug, taking into account the importance of the drug to the mother [see Warnings and Precautions ( 5.1, 5.7 )].

5.3 Photosensitivity

Photosensitivity manifested by an exaggerated sunburn reaction has been observed in some individuals taking tetracyclines. Patients apt to be exposed to direct sunlight or ultraviolet light should be advised that this reaction can occur with tetracycline drugs, and treatment should be discontinued at the first evidence of skin erythema.

12.3 Pharmacokinetics

Absorption

ACTICLATE (doxycycline hyclate) Tablets: Following administration of a single 300 mg dose to adult volunteers, average peak plasma doxycycline levels were 3.0 mcg per mL at 3 hours, decreasing to 1.18 mcg per mL at 24 hours. The mean Cmax and AUC0-∞ of doxycycline are 24% and 15% lower, respectively, following single dose administration of ACTICLATE, 150 mg tablets with a high fat meal (including milk) compared to fasted conditions. The clinical significance of these decreases is unknown.

ACTICLATE CAP (doxycycline hyclate) Capsules. Following administration of a single 300 mg dose to adult volunteers, average peak plasma doxycycline levels were 2.8 mcg per mL at 3 hours, decreasing to 1.1 mcg per mL at 24 hours. The mean Cmax of doxycycline is approximately 20% lower and the AUC0-∞ is unchanged following single dose administration of ACTICLATE CAP Capsules with a high fat meal (including milk) compared to fasted conditions. The clinical significance of this decrease in Cmax is unknown.

Excretion

Tetracyclines are concentrated in bile by the liver and excreted in the urine and feces at high concentrations and in a biologically active form.

Excretion of doxycycline by the kidney is about 40% per 72 hours in individuals with a creatinine clearance of about 75 mL per minute. This percentage may fall as low as 1% per 72 hours to 5% per 72 hours in individuals with a creatinine clearance below 10 mL per minute. Studies have shown no significant difference in the serum half-life of doxycycline (range 18 to 22 hours) in individuals with normal and severely impaired renal function. Hemodialysis does not alter the serum half-life.

5.1 Tooth Development

The use of drugs of the tetracycline-class during tooth development (last half of pregnancy, infancy and childhood to the age of 8 years) may cause permanent discoloration of the teeth (yellow-gray-brown). This adverse reaction is more common during long-term use of the drugs but it has been observed following repeated short-term courses. Enamel hypoplasia has also been reported. Use ACTICLATE and ACTICLATE CAP in pediatric patients 8 years of age or less only when the potential benefits are expected to outweigh the risks in severe or life-threatening conditions (e.g., anthrax, Rocky Mountain spotted fever), particularly when there are no alternative therapies.

1 Indications and Usage (1 INDICATIONS AND USAGE)

ACTICLATE® and ACTICLATE® CAP are tetracycline class drugs indicated for:

  • Rickettsial infections (1.1)
  • Sexually transmitted infections (1.2)
  • Respiratory tract infections (1.3)
  • Specific bacterial infections (1.4)
  • Ophthalmic infections (1.5)
  • Anthrax, including inhalational anthrax (post-exposure) (1.6)
  • Alternative treatment for selected infections when penicillin is contraindicated (1.7)
  • Adjunctive therapy for acute intestinal amebiasis and severe acne (1.8)
  • Prophylaxis of malaria (1.9)

To reduce the development of drug-resistant bacteria and maintain the effectiveness of ACTICLATE and ACTICLATE CAP and other antibacterial drugs, ACTICLATE and ACTICLATE CAP should be used only to treat or prevent infections that are proven or strongly suspected to be caused by bacteria. (1.10)

5.8 Antianabolic Action

The antianabolic action of the tetracyclines may cause an increase in BUN. Studies to date indicate that this does not occur with the use of doxycycline in patients with impaired renal function.

7.1 Anticoagulant Drugs

Because tetracyclines have been shown to depress plasma prothrombin activity, patients who are on anticoagulant therapy may require downward adjustment of their anticoagulant dosage.

7.4 Oral Contraceptives

Concurrent use of tetracyclines, including ACTICLATE and ACTICLATE CAP may render oral contraceptives less effective.

12.1 Mechanism of Action

Doxycycline is a tetracycline-class antimicrobial drug [see Microbiology (12.4)].

1.5 Ophthalmic Infections

ACTICLATE and ACTICLATE CAP are indicated for treatment of the following ophthalmic infections:

  • Trachoma caused by Chlamydia trachomatis, although the infectious agent is not always eliminated as judged by immunofluorescence.
  • Inclusion conjunctivitis caused by Chlamydia trachomatis.
5.2 Clostridium Difficile (5.2 Clostridium difficile)

Clostridium difficile associated diarrhea (CDAD) has been reported with use of nearly all antibacterial agents, including ACTICLATE and ACTICLATE CAP, and may range in severity from mild diarrhea to fatal colitis. Treatment with antibacterial agents alters the normal flora of the colon leading to overgrowth of C. difficile.

C. difficile produces toxins A and B which contribute to the development of CDAD. Hypertoxin producing strains of C. difficile cause increased morbidity and mortality, as these infections can be refractory to antibacterial therapy and may require colectomy. CDAD must be considered in all patients who present with diarrhea following antibacterial use. Careful medical history is necessary since CDAD has been reported to occur over two months after the administration of antibacterial agents.

If CDAD is suspected or confirmed, ongoing antibacterial use not directed against C. difficile may need to be discontinued. Appropriate fluid and electrolyte management, protein supplementation, antibacterial treatment of C. difficile, and surgical evaluation should be instituted as clinically indicated.

5.5 Severe Skin Reactions

Severe skin reactions, such as exfoliative dermatitis, erythema multiforme, Stevens-Johnson syndrome, toxic epidermal necrolysis, and drug reaction with eosinophilia and systemic symptoms (DRESS) have been reported in patients receiving doxycycline [See Adverse Reactions (6)]. If severe skin reactions occur, doxycycline should be discontinued immediately and appropriate therapy should be instituted.

1.1 Rickettsial Infections

ACTICLATE® and ACTICLATE® CAP are indicated for treatment of Rocky Mountain spotted fever, typhus fever and the typhus group, Q fever, rickettsial pox, and tick fevers caused by Rickettsiae.

1.9 Prophylaxis of Malaria

ACTICLATE and ACTICLATE CAP are indicated for the prophylaxis of malaria due to Plasmodium falciparum in short-term travelers (less than 4 months) to areas with chloroquine and/or pyrimethamine-sulfadoxine resistant strains [see Dosage and Administration (2.4) and Patient Counseling Information (17)].

5 Warnings and Precautions (5 WARNINGS AND PRECAUTIONS)
  • The use of drugs of the tetracycline-class during tooth development (last half of pregnancy, infancy and childhood to the age of 8 years) may cause permanent discoloration of the teeth (yellow-gray-brown). (2.2, 5.1)
  • Clostridium difficile-associated diarrhea (CDAD) has been reported. Evaluate patients if diarrhea occurs. (5.2)
  • Photosensitivity manifested by an exaggerated sunburn reaction has been observed in some individuals taking tetracyclines. Limit sun exposure. (5.3)
  • Overgrowth of non-susceptible organisms, including fungi, may occur. If such infections occur, discontinue use and institute appropriate therapy. (5.4)
2 Dosage and Administration (2 DOSAGE AND ADMINISTRATION)
  • Important Administration Instructions for ACTICLATE and ACTICLATE CAP
    • ACTICLATE Tablets (150 mg) can be broken into two-thirds or one-third to provide a 50 mg and 100 mg strength, respectively. (2.1)
    • Swallow ACTICLATE CAP Capsule whole. Do not break, open, crush, dissolve or chew the capsule. (2.1)
  • Dosage in Adults for ACTICLATE or ACTICLATE CAP:
    • The usual dosage is 200 mg on the first day of treatment (administered 100 mg every 12 hours) followed by a maintenance dose of 100 mg daily. (2.1)
    • In the management of more severe infections (particularly chronic infections of the urinary tract), 100 mg every 12 hours is recommended. (2.1)
  • Dosage in Pediatric Patients for ACTICLATE or ACTICLATE CAP:
    • For all pediatric patients weighing less than 45 kg with severe or life-threatening infections (e.g., anthrax, Rocky Mountain spotted fever), the recommended dose is 2.2 mg per kg of body weight administered every 12 hours. Pediatric patients weighing 45 kg or more should receive the adult dose. (2.3)
    • For pediatric patients with less severe disease (greater than 8 years of age and weighing less than 45 kg), the recommended dose is 4.4 mg per kg of body weight divided into two doses on the first day of treatment, followed by a maintenance dose of 2.2 mg per kg of body weight (given as a single daily dose or divided into two doses. For pediatric patients weighing over 45 kg, the usual adult dose should be used. (2.3)
  • See Full Prescribing Information for additional indication specific dosage information and important administration instructions for ACTICLATE and ACTICLATE CAP. (2.1, 2.4, 2.5)
2.2 Dosage in Adult Patients
  • The usual dosage of ACTICLATE is 200 mg on the first day of treatment (administered 100 mg every 12 hours) followed by a maintenance dose of 100 mg daily. The maintenance dose may be administered as a single dose or as 50 mg every 12 hours.
  • In the management of more severe infections (particularly chronic infections of the urinary tract), 100 mg every 12 hours is recommended.
  • For certain selected specific indications, the recommended duration or dosage and duration of ACTICLATE or ACTICLATE CAP in adult patients are as follows:
    • Streptococcal infections, therapy should be continued for 10 days.
    • Uncomplicated urethral, endocervical, or rectal infection caused by Chlamydia trachomatis: 100 mg by mouth twice-a-day for 7 days.
    • Uncomplicated gonococcal infections in adults (except anorectal infections in men): 100 mg, by mouth, twice-a-day for 7 days. As an alternate single visit dose, administer 300 mg stat followed in one hour by a second 300 mg dose.
    • Nongonococcal urethritis (NGU) caused by C. trachomatis and U. urealyticum: 100 mg by mouth twice-a-day for 7 days.
    • Syphilis – early: Patients who are allergic to penicillin should be treated with doxycycline 100 mg by mouth twice-a-day for 2 weeks.
    • Syphilis of more than one year’s duration: Patients who are allergic to penicillin should be treated with doxycycline 100 mg by mouth twice-a-day for 4 weeks.
    • Acute epididymo-orchitis caused by N. gonorrhoeae: 100 mg by mouth, twice-a-day for at least 10 days.
    • Acute epididymo-orchitis caused by C. trachomatis: 100 mg, by mouth, twice-a-day for at least 10 days.
3 Dosage Forms and Strengths (3 DOSAGE FORMS AND STRENGTHS)

ACTICLATE Tablets:

ACTICLATE (doxycycline hyclate) Tablets, 75 mg are round, convex, light-teal, film-coated, tablets with “75” debossed on one side of the tablet and “AQ101” debossed on the other (each tablet contains 75 mg doxycycline as 86.6 mg doxycycline hyclate).

ACTICLATE (doxycycline hyclate) Tablets, 150 mg are oval-shaped, convex, mossy-green, film-coated tablets. Each side of the functionally scored tablet has two parallel score lines for splitting into 3 equal portions with “A” debossed on each portion of one side of the tablet, and no debossing on the other (each tablet contains 150 mg doxycycline as 173.2 mg doxycycline hyclate).

ACTICLATE CAP Capsules:

ACTICLATE CAP (doxycycline hyclate) Capsules, 75 mg have a navy blue opaque body and cap with the inscription “AQUA 101C75” in black (each capsule contains 75 mg doxycycline as 86.6 mg doxycycline hyclate).

5.6 Intracranial Hypertension

Intracranial hypertension (IH, pseudotumor cerebri) has been associated with the use of tetracyclines including ACTICLATE and ACTICLATE CAP. Clinical manifestations of IH include headache, blurred vision, diplopia, and vision loss; papilledema can be found on fundoscopy. Women of childbearing age who are overweight or have a history of IH are at greater risk for developing tetracycline associated IH. Concomitant use of isotretinoin and ACTICLATE and ACTICLATE CAP should be avoided because isotretinoin is also known to cause pseudotumor cerebri.

Although IH typically resolves after discontinuation of treatment, the possibility for permanent visual loss exists. If visual disturbance occurs during treatment, prompt ophthalmologic evaluation is warranted. Since intracranial pressure can remain elevated for weeks after drug cessation patients should be monitored until they stabilize.

8 Use in Specific Populations (8 USE IN SPECIFIC POPULATIONS)
  • Tetracycline-class drugs can cause fetal harm when administered to a pregnant woman, but data for doxycycline are limited. (5.6, 8.1)
  • Tetracyclines are excreted in human milk; however, the extent of absorption of doxycycline in the breastfed infant is not known. ACTICLATE and ACTICLATE CAP use during nursing should be avoided if possible. (8.3)
1.3 Respiratory Tract Infections

ACTICLATE and ACTICLATE CAP are indicated for treatment of the following respiratory tract infections:

  • Respiratory tract infections caused by Mycoplasma pneumoniae.
  • Psittacosis (ornithosis) caused by Chlamydophila psittaci.
  • Because many strains of the following groups of microorganisms have been shown to be resistant to doxycycline, culture and susceptibility testing are recommended.
  • Doxycycline is indicated for treatment of infections caused by the following microorganisms, when bacteriological testing indicates appropriate susceptibility to the drug:
  • Respiratory tract infections caused by Haemophilus influenzae.
  • Respiratory tract infections caused by Klebsiella species.
  • Upper respiratory infections caused by Streptococcus pneumoniae.
2.3 Dosage in Pediatric Patients
  • For all pediatric patients weighing less than 45 kg with severe or life threatening infections (e.g., anthrax, Rocky Mountain spotted fever), the recommended dosage of ACTICLATE and ACTICLATE CAP is 2.2 mg per kg of body weight administered every 12 hours. Pediatric patients weighing 45 kg or more should receive the adult dose [see Warnings and Precautions (5.1)].
  • For pediatric patients with less severe disease (greater than 8 years of age and weighing less than 45 kg), the recommended dosage schedule of ACTICLATE and ACTICLATE CAP is 4.4 mg per kg of body weight divided into two doses on the first day of treatment, followed by a maintenance dose of 2.2 mg per kg of body weight (given as a single daily dose or divided into twice daily doses). For pediatric patients weighing over 45 kg, the usual adult dose should be used.
5.7 Delayed Skeletal Development

All tetracyclines form a stable calcium complex in any bone-forming tissue. A decrease in fibula growth rate has been observed in prematures given oral tetracycline in doses of 25 mg per kg every six hours. This reaction was shown to be reversible when the drug was discontinued.

Results of animal studies indicate that tetracyclines cross the placenta, are found in fetal tissues, and can have toxic effects on the developing fetus (often related to retardation of skeletal development). Evidence of embryotoxicity also has been noted in animals treated early in pregnancy. Tetracycline-class drugs can cause fetal harm when administered to a pregnant woman, but data for doxycycline are limited. If any tetracycline is used during pregnancy or if the patient becomes pregnant while taking these drugs, the patient should be apprised of the potential hazard to the fetus.

1.4 Specific Bacterial Infections

ACTICLATE and ACTICLATE CAP are indicated for treatment of the following specific bacterial infections:

  • Relapsing fever due to Borrelia recurrentis.
  • Plague due to Yersinia pestis.
  • Tularemia due to Francisella tularensis.
  • Cholera caused by Vibrio cholerae.
  • Campylobacter fetus infections caused by Campylobacter fetus.
  • Brucellosis due to Brucella species (in conjunction with streptomycin).
  • Bartonellosis due to Bartonella bacilliformis.

Because many strains of the following groups of microorganisms have been shown to be resistant to doxycycline, culture and susceptibility testing are recommended.

ACTICLATE and ACTICLATE CAP are indicated for treatment of infections caused by the following gram-negative microorganisms, when bacteriological testing indicates appropriate susceptibility to the drug:

  • Escherichia coli
  • Enterobacter aerogenes
  • Shigella species
  • Acinetobacter species
  • Urinary tract infections caused by Klebsiella species.
17 Patient Counseling Information (17 PATIENT COUNSELING INFORMATION)

Advise the patient to read the FDA-approved patient labeling (Instructions for Use).

Advise patients taking ACTICLATE and ACTICLATE CAP for malaria prophylaxis:

  • that no present-day antimalarial agent, including doxycycline, guarantees protection against malaria.
  • to avoid being bitten by mosquitoes by using personal protective measures that help avoid contact with mosquitoes, especially from dusk to dawn (for example, staying in well-screened areas, using mosquito nets, covering the body with clothing, and using an effective insect repellent).
  • that doxycycline prophylaxis:

    - should begin 1 day to 2 days before travel to the malarious area,

    - should be continued daily while in the malarious area and after leaving the malarious area,

    - should be continued for 4 further weeks to avoid development of malaria after returning from an endemic area,

    - should not exceed 4 months.

    Advise all patients taking ACTICLATE and ACTICLATE CAP:
  • that ACTICLATE Tablets (150 mg) can be broken into two-thirds or one-third at the scored lines to provide 100 mg or 50 mg strength doses, respectively.
  • that they must swallow ACTICLATE CAP whole. They must not break, open, crush, dissolve or chew the capsule [see Dosage and Administration (2.2)].
  • to avoid excessive sunlight or artificial ultraviolet light while receiving doxycycline and to discontinue therapy if phototoxicity (for example, skin eruptions, etc.) occurs. Sunscreen or sunblock should be considered [see Warnings and Precautions (5.3)].
  • to drink fluids liberally along with ACTICLATE and ACTICLATE CAP to reduce the risk of esophageal irritation and ulceration [see Adverse Reactions (6)].
  • that the absorption of tetracyclines is reduced when taken with foods, especially those that contain calcium [see Drug Interactions (7.3)]. However, the absorption of doxycycline is not markedly influenced by simultaneous ingestion of food or milk [see Clinical Pharmacology (12.3)].
  • that if gastric irritation occurs, ACTICLATE and ACTICLATE CAP may be given with food or milk [see Clinical Pharmacology (12.3)].
  • that the absorption of tetracyclines is reduced when taken with antacids containing aluminum, calcium or magnesium, bismuth subsalicylate, and iron-containing preparations [see Drug Interactions (7.3)].
  • that the use of doxycycline might increase the incidence of vaginal candidiasis.

Advise patients that diarrhea is a common problem caused by antibacterial drugs which usually ends when the antibacterial is discontinued. Sometimes after starting treatment with antibacterial drugs, patients can develop watery and bloody stools (with or without stomach cramps and fever) even as late as two or more months after having taken the last dose of antibacterial. If this occurs, patients should contact their physician as soon as possible.

Counsel patients that antibacterial drugs including ACTICLATE and ACTICLATE CAP should only be used to treat bacterial infections. They do not treat viral infections (for example, the common cold). When ACTICLATE and ACTICLATE CAP are prescribed to treat a bacterial infection, patients should be told that although it is common to feel better early in the course of therapy, the medication should be taken exactly as directed. Skipping doses or not completing the full course of therapy may (1) decrease the effectiveness of the immediate treatment and (2) increase the likelihood that bacteria will develop resistance and will not be treatable by ACTICLATE and ACTICLATE CAP or other antibacterial drugs in the future.

Manufactured by Catalent Pharma Solutions, Winchester, KY 40391

For Aqua Pharmaceuticals, an Almirall Company Exton, PA 19341

AQUA PHARMACEUTICALS

an Almirall company





7.3 Antacids and Iron Preparations

Absorption of tetracyclines, including ACTICLATE and ACTICLATE CAP is impaired by antacids containing aluminum, calcium, or magnesium, bismuth subsalicylate, and iron-containing preparations.

1.2 Sexually Transmitted Infections

ACTICLATE and ACTICLATE CAP are indicated for treatment of the following sexually transmitted infections:

  • Uncomplicated urethral, endocervical or rectal infections caused by Chlamydia trachomatis.
  • Nongonococcal urethritis caused by Ureaplasma urealyticum.
  • Lymphogranuloma venereum caused by Chlamydia trachomatis.
  • Granuloma inguinale caused by Klebsiella granulomatis.
  • Uncomplicated gonorrhea caused by Neisseria gonorrhoeae.
  • Chancroid caused by Haemophilus ducreyi.
16 How Supplied/storage and Handling (16 HOW SUPPLIED/STORAGE AND HANDLING)

How Supplied

ACTICLATE (doxycycline hyclate) Tablets, 75 mg are round, convex, light-teal, film-coated, tablets with “75” debossed on one side of the tablet and “AQ101” debossed on the other. Each 75 mg tablet contains 86.6 mg of doxycycline hyclate equivalent to 75 mg of doxycycline.

Bottles of 60 tablets:        NDC 16110-501-01

ACTICLATE (doxycycline hyclate) Tablets, 150 mg are oval-shaped, convex, mossy-green, film-coated tablets. Each side of the functionally scored tablet has two parallel score lines for splitting into 3 equal portions with “A” debossed on each portion of one side of the tablet, and no debossing on the other. Each 150 mg tablet contains 173.2 mg of doxycycline hyclate equivalent to 150 mg of doxycycline.

Bottles of 60 tablets:        NDC 16110-502-01

ACTICLATE CAP (doxycycline hyclate) Capsules, 75 mg, have a navy blue opaque body and cap with the inscription “AQUA 101C75” in black. Each 75 mg capsule contains 86.6 mg of doxycycline hyclate equivalent to 75 mg of doxycycline.

Bottles of 60 capsules:     NDC 16110-601-01

7.5 Barbiturates and Anti Epileptics (7.5 Barbiturates and Anti-Epileptics)

Barbiturates, carbamazepine, and phenytoin decrease the half-life of doxycycline.

2.4 Dosage for Prophylaxis of Malaria

For adults, the recommended dose of ACTICLATE is 100 mg daily.

For pediatric patients 8 years of age and older, the recommended dosage of ACTICLATE and ACTICLATE CAP is 2 mg per kg of body weight administered once daily. Pediatric patients weighing 45 kg or more should receive the adult dose.

Prophylaxis should begin 1 or 2 days before travel to the malarious area. Prophylaxis should be continued daily during travel in the malarious area and for 4 weeks after the traveler leaves the malarious area.

5.9 Incomplete Suppression of Malaria

Doxycycline offers substantial but not complete suppression of the asexual blood stages of Plasmodium strains.

Doxycycline does not suppress P. falciparum’s sexual blood stage gametocytes. Subjects completing this prophylactic regimen may still transmit the infection to mosquitoes outside endemic areas.

5.4 Potential for Microbial Overgrowth

ACTICLATE and ACTICLATE CAP may result in overgrowth of non-susceptible organisms, including fungi. If such infections occur, discontinue use and institute appropriate therapy.

2.1 Important Administration Instructions
  • The usual dosage and frequency of administration of ACTICLATE and ACTICLATE CAP differs from that of the other tetracyclines. Exceeding the recommended dosage may result in an increased incidence of adverse reactions.
  • Administer ACTICLATE and ACTICLATE CAP with adequate amounts of fluid to wash down the drugs and reduce the risk of esophageal irritation and ulceration [see Adverse Reactions (6)].
  • If gastric irritation occurs, ACTICLATE and ACTICLATE CAP may be given with food or milk [see Clinical Pharmacology (12.3)]
  • Swallow ACTICLATE CAP whole. Do not break, open, crush, dissolve or chew the capsule.
  • ACTICLATE tablets (150 mg) can be broken into two-thirds or one-third to provide a 100 mg and 50 mg strength, respectively [see FDA-approved patient labeling].
7.7 Drug and Laboratory Test Interactions

False elevations of urinary catecholamines may occur due to interference with the fluorescence test.

13.2 Animal Toxicology And/or Pharmacology (13.2 Animal Toxicology and/or Pharmacology)

Hyperpigmentation of the thyroid has been produced by members of the tetracycline-class in the following species: in rats by oxytetracycline, doxycycline, tetracycline PO4, and methacycline; in minipigs by doxycycline, minocycline, tetracycline PO4, and methacycline; in dogs by doxycycline and minocycline; in monkeys by minocycline.

Minocycline, tetracycline PO4, methacycline, doxycycline, tetracycline base, oxytetracycline HCl, and tetracycline HCl, were goitrogenic in rats fed a low iodine diet. This goitrogenic effect was accompanied by high radioactive iodine uptake. Administration of minocycline also produced a large goiter with high radioiodine uptake in rats fed a relatively high iodine diet.

Treatment of various animal species with this class of drugs has also resulted in the induction of thyroid hyperplasia in the following: in rats and dogs (minocycline); in chickens (chlortetracycline); and in rats and mice (oxytetracycline). Adrenal gland hyperplasia has been observed in goats and rats treated with oxytetracycline.

Results of animal studies indicate that tetracyclines cross the placenta and are found in fetal tissues.

5.10 Development of Drug Resistant Bacteria (5.10 Development of Drug-Resistant Bacteria)

Prescribing ACTICLATE and ACTICLATE CAP in the absence of a proven or strongly suspected bacterial infection or a prophylactic indication is unlikely to provide benefit to the patient and increases the risk of the development of drug-resistant bacteria.

5.11 Laboratory Monitoring for Long Term Therapy (5.11 Laboratory Monitoring for Long-Term Therapy)

In long-term therapy, periodic laboratory evaluation of organ systems, including hematopoietic, renal and hepatic studies should be performed.

2.5 Dosage for Inhalational Anthrax (post Exposure) (2.5 Dosage for Inhalational Anthrax (Post-Exposure))

For adults, the recommended dosage is 100 mg, of ACTICLATE, by mouth, twice-a-day for 60 days.

For pediatric patients weighing less than 45 kg, the recommended dosage of ACTICLATE and ACTICLATE CAP is 2.2 mg per kg of body weight, by mouth, twice-a-day for 60 days. Pediatric patients weighing 45 kg or more should receive the adult dose.

13.1 Carcinogenesis, Mutagenesis, Impairment of Fertility

Long-term studies in animals to evaluate carcinogenic potential of ACTICLATE (doxycycline hyclate) and ACTICLATE CAP (doxycycline hyclate) have not been conducted.

However, a 2 year carcinogenicity study with doxycycline administered daily by oral gavage to adult rats (20, 75, 200 mg/kg/day) demonstrated an increase in uterine polyps in female rats at 200 mg/kg/day (10 times the maximum recommended daily adult dose of ACTICLATE and ACTICLATE CAP based on body surface area comparison) with no change in tumor incidence in male rats at the same dose. A 2-year carcinogenicity study with doxycycline administered daily by oral gavage to adult male (maximum dose 150 mg/kg/day) and female (maximum dose 300 mg/kg/day) mice showed no changes in tumor incidence, at approximately 4 and 7 times the maximum recommended daily adult dose of ACTICLATE and ACTICLATE CAP, based on a body surface area comparison, respectively.

Mutagenesis and fertility studies have not been conducted with ACTICLATE and ACTICLATE CAP. Mutagenesis studies with doxycycline demonstrated no potential to cause genetic toxicity in an in vitro point mutation study with mammalian cells or in an in vivo micronucleus assay in CD-1 mice. However, data from an in vitro mammalian chromosomal aberration assay conducted in CHO cells suggest that doxycycline is a weak clastogen. Oral administration of doxycycline to Sprague-Dawley rats showed adverse effects on fertility and reproduction including increased time for mating, reduced sperm motility, velocity and concentration as well as increased pre and post implantation loss. Reduced sperm velocity was seen at the lowest dosage tested, 50 mg/kg/day which is 2.5 times the maximum recommended daily adult dose of ACTICLATE and ACTICLATE CAP. Although doxycycline impairs the fertility of rats when administered at sufficient dosages, the effect of ACTICLATE and ACTICLATE CAP on human fertility is unknown.

1.6 Anthrax Including Inhalational Anthrax (post Exposure) (1.6 Anthrax Including Inhalational Anthrax (Post-Exposure))

ACTICLATE and ACTICLATE CAP are indicated for the treatment of Anthrax due to Bacillus anthracis, including inhalational anthrax (post-exposure); to reduce the incidence or progression of disease following exposure to aerosolized Bacillus anthracis.

1.8 Adjunctive Therapy for Acute Intestinal Amebiasis and Severe Acne

In acute intestinal amebiasis, ACTICLATE and ACTICLATE CAP may be a useful adjunct to amebicides.

In severe acne, ACTICLATE and ACTICLATE CAP may be useful adjunctive therapy.

Principal Display Panel Ndc: 16110 601 01 75 Mg Capsule 60 Count Bottle Label (PRINCIPAL DISPLAY PANEL - NDC: 16110-601-01 - 75 mg Capsule 60-count Bottle Label)





1.7 Alternative Treatment for Selected Infections When Penicillin Is Contraindicated (1.7 Alternative Treatment for Selected Infections when Penicillin is Contraindicated)

ACTICLATE and ACTICLATE CAP are indicted as an alternative treatment for the following selected infections when penicillin is contraindicated:

  • Syphilis caused by Treponema pallidum.
  • Yaws caused by Treponema pallidum subspecies pertenue.
  • Listeriosis due to Listeria monocytogenes.
  • Vincent’s infection caused by Fusobacterium fusiforme.
  • Actinomycosis caused by Actinomyces israelii.
  • Infections caused by Clostridium species.

Advanced Ingredient Data


Raw Label Data

All Sections (JSON)