These Highlights Do Not Include All The Information Needed To Use Bivalirudin For Injection Safely And Effectively. See Full Prescribing Information For Bivalirudin For Injection.

These Highlights Do Not Include All The Information Needed To Use Bivalirudin For Injection Safely And Effectively. See Full Prescribing Information For Bivalirudin For Injection.
SPL v1
SPL
SPL Set ID 5d9a45c6-e234-4d56-9132-5e24e65852e6
Route
INTRAVENOUS
Published
Effective Date 2021-06-30
Document Type 34391-3 HUMAN PRESCRIPTION DRUG LABEL

Drug Facts

Composition & Product

Active Ingredients
Bivalirudin (250 mg)
Inactive Ingredients
Mannitol Sodium Hydroxide

Identifiers & Packaging

Marketing Status
ANDA Active Since 2021-06-30

Description

Bivalirudin for injection is indicated for use as an anticoagulant for use in patients undergoing percutaneous coronary intervention (PCI) including patients with heparin-induced thrombocytopenia and heparin-induced thrombocytopenia and thrombosis syndrome.

Indications and Usage

Bivalirudin for injection is indicated for use as an anticoagulant for use in patients undergoing percutaneous coronary intervention (PCI) including patients with heparin-induced thrombocytopenia and heparin-induced thrombocytopenia and thrombosis syndrome.

Dosage and Administration

The recommended dosage is a 0.75 mg/kg intravenous bolus dose followed immediately by a 1.75 mg/kg/h intravenous infusion for the duration of the procedure. Five minutes after the bolus dose has been administered, an activated clotting time (ACT) should be performed and an additional bolus dose of 0.3 mg/kg should be given if needed. Extending duration of infusion post-procedure up to 4 hours should be considered in patients with ST segment elevation MI (STEMI). ( 2.1 )

Warnings and Precautions

Bleeding events: Bivalirudin for injection increases the risk of bleeding. ( 5.1 , 6.1 , 12.2 ) Acute Stent Thrombosis: Increased incidence of acute stent thrombosis in STEMI patients undergoing primary PCI. ( 2.1 , 5.2 ) Thrombotic Risk with Coronary Artery Brachytherapy: An increased risk of thrombus formation, including fatal outcomes, in gamma brachytherapy. ( 5.3 )

Contraindications

Bivalirudin for injection is contraindicated in patients with: Active major bleeding; Hypersensitivity (e.g., anaphylaxis) to bivalirudin for injection or its components [see Adverse Reactions ( 6.3 )] .

Adverse Reactions

Most common adverse reaction (>2%) was bleeding. ( 6.1 ) To report SUSPECTED ADVERSE REACTIONS, contact Slate Run Pharmaceuticals, LLC at 1-888-341-9214 or FDA at 1-800-FDA-1088 or www.fda.gov/medwatch.

Drug Interactions

In clinical trials in patients undergoing PCI/percutaneous transluminal coronary angioplasty (PTCA), co-administration of bivalirudin for injection with heparin, warfarin, thrombolytics, or GPIs was associated with increased risks of major bleeding events compared to patients not receiving these concomitant medications

How Supplied

Bivalirudin for injection is supplied as a sterile, lyophilized powder in single-dose, glass vials. Each vial contains 250 mg of bivalirudin equivalent to an average of 275 mg of bivalirudin trifluoroacetate*. *The range of bivalirudin trifluoroacetate is 270 to 280 mg based on a range of trifluoroacetic acid composition of 1.7 to 2.6 equivalents. Unit of Sale Concentration Each NDC 70436-025-82 10 x 250 mg Single-Dose Vials 250 mg/vial NDC 70436-025-80 250 mg Single-Dose Vial


Medication Information

Warnings and Precautions

Bleeding events: Bivalirudin for injection increases the risk of bleeding. ( 5.1 , 6.1 , 12.2 ) Acute Stent Thrombosis: Increased incidence of acute stent thrombosis in STEMI patients undergoing primary PCI. ( 2.1 , 5.2 ) Thrombotic Risk with Coronary Artery Brachytherapy: An increased risk of thrombus formation, including fatal outcomes, in gamma brachytherapy. ( 5.3 )

Indications and Usage

Bivalirudin for injection is indicated for use as an anticoagulant for use in patients undergoing percutaneous coronary intervention (PCI) including patients with heparin-induced thrombocytopenia and heparin-induced thrombocytopenia and thrombosis syndrome.

Dosage and Administration

The recommended dosage is a 0.75 mg/kg intravenous bolus dose followed immediately by a 1.75 mg/kg/h intravenous infusion for the duration of the procedure. Five minutes after the bolus dose has been administered, an activated clotting time (ACT) should be performed and an additional bolus dose of 0.3 mg/kg should be given if needed. Extending duration of infusion post-procedure up to 4 hours should be considered in patients with ST segment elevation MI (STEMI). ( 2.1 )

Contraindications

Bivalirudin for injection is contraindicated in patients with: Active major bleeding; Hypersensitivity (e.g., anaphylaxis) to bivalirudin for injection or its components [see Adverse Reactions ( 6.3 )] .

Adverse Reactions

Most common adverse reaction (>2%) was bleeding. ( 6.1 ) To report SUSPECTED ADVERSE REACTIONS, contact Slate Run Pharmaceuticals, LLC at 1-888-341-9214 or FDA at 1-800-FDA-1088 or www.fda.gov/medwatch.

Drug Interactions

In clinical trials in patients undergoing PCI/percutaneous transluminal coronary angioplasty (PTCA), co-administration of bivalirudin for injection with heparin, warfarin, thrombolytics, or GPIs was associated with increased risks of major bleeding events compared to patients not receiving these concomitant medications

How Supplied

Bivalirudin for injection is supplied as a sterile, lyophilized powder in single-dose, glass vials. Each vial contains 250 mg of bivalirudin equivalent to an average of 275 mg of bivalirudin trifluoroacetate*. *The range of bivalirudin trifluoroacetate is 270 to 280 mg based on a range of trifluoroacetic acid composition of 1.7 to 2.6 equivalents. Unit of Sale Concentration Each NDC 70436-025-82 10 x 250 mg Single-Dose Vials 250 mg/vial NDC 70436-025-80 250 mg Single-Dose Vial

Description

Bivalirudin for injection is indicated for use as an anticoagulant for use in patients undergoing percutaneous coronary intervention (PCI) including patients with heparin-induced thrombocytopenia and heparin-induced thrombocytopenia and thrombosis syndrome.

Data

Animal Data: Reproductive studies have been performed in rats at subcutaneous doses up to 150 mg/kg/day (1.6 times the maximum recommended human dose based on body surface area) and rabbits at subcutaneous doses up to 150 mg/kg/day (3.2 times the maximum recommended human dose based on body surface area). These studies revealed no harm to the fetus attributable to bivalirudin.

At 500 mg/kg/day (equivalent to 5.4 times the maximum recommended human dose based on body surface area) subcutaneously, litter sizes and live fetuses in rats were reduced. Fetal skeletal variations were also noted. Some of these changes could be attributed to maternal toxicity observed at high doses.

There is no study covering the peri-natal period because of the potential complications of drug-induced hemorrhage during delivery.

Excretion

Bivalirudin undergoes glomerular filtration. Tubular secretion and tubular reabsorption are also implicated in the excretion of bivalirudin, although the extent is unknown.

Bolus Dose

No reduction in the bolus dose is needed for any degree of renal impairment.

Metabolism

Bivalirudin is metabolized by proteolytic cleavage.

Elimination

Bivalirudin has a half-life of 25 minutes in PTCA patients with normal renal function. The total body clearance of bivalirudin in PTCA patients with normal renal function is 3.4 mL/min/kg.

16.2 Storage

Store bivalirudin for injection dosage units at 20° to 25°C (68° to 77°F); excursions permitted to 15° to 30°C (59° to 86°F) [See USP Controlled Room Temperature].

Distribution

Bivalirudin does not bind to plasma proteins (other than thrombin) or to red blood cells.

Risk Summary

There are no data available on use of bivalirudin for injection in pregnant women to inform a drug-associated risk of adverse developmental outcomes. Reproduction studies in rats and rabbits administered subcutaneously doses up to 1.6 times and 3.2 times the maximum recommended human dose (MRHD) of 15 mg/kg/day based on body surface area (BSA) during organogenesis, respectively, revealed no evidence of fetal harm.

All pregnancies have a background risk of birth defect, loss, or other adverse outcomes. The estimated background risk of major birth defects and miscarriage for the indicated population is unknown. In the U.S. general population, the estimated background risk of major birth defects and miscarriage in clinically recognized pregnancies is 2–4% and 15–20%, respectively.

10 Overdosage

Cases of overdose of up to 10 times the recommended bolus or continuous infusion dose of bivalirudin for injection have been reported in clinical trials and in postmarketing reports. A number of the reported overdoses were due to failure to adjust the infusion dose of bivalirudin in persons with renal dysfunction including persons on hemodialysis [see Dosage and Administration ( 2.2)] . Bleeding, as well as deaths due to hemorrhage, have been observed in some reports of overdose. In cases of suspected overdosage, discontinue bivalirudin for injection immediately and monitor the patient closely for signs of bleeding. There is no known antidote to bivalirudin for injection. Bivalirudin for injection is hemodialyzable [see Clinical Pharmacology ( 12.3)].

11 Description

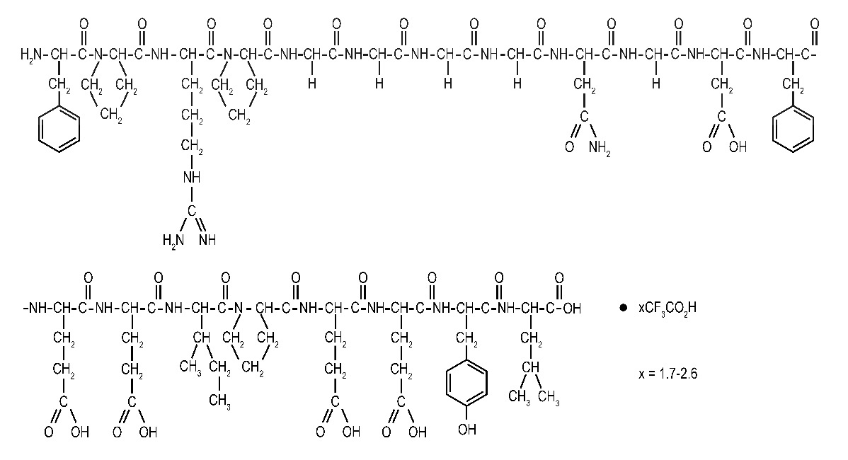
Bivalirudin for injection contains bivalirudin which is a specific and reversible direct thrombin inhibitor. Bivalirudin is a synthetic, 20 amino acid peptide, with the chemical name of D-phenylalanyl-L‑prolyl-L-arginyl-L-prolyl-glycyl-glycyl-glycyl-glycyl-L-asparagyl-glycyl-L-aspartyl-L‑phenylalanyl-L-glutamyl-L-glutamyl-L-isoleucyl-L-prolyl-L-glutamyl-L-glutamyl-L-tyrosyl-L‑leucine. The active pharmaceutical ingredient is in the form of bivalirudin trifluoroacetate as a white to off-white powder. The chemical name for bivalirudin trifluoroacetate is D-phenylalanyl-L-prolyl-L-arginyl-L-prolyl- glycyl-glycyl-glycyl-glycyl-L-asparagyl-glycyl-L-aspartyl-L‑phenylalanyl-L-glutamyl-L-glutamyl-L-isoleucyl-L-prolyl-L-glutamyl-L-glutamyl-L-tyrosyl-L‑leucine trifluoroacetate ( Figure 1). The molecular weight of bivalirudin is 2180 daltons (anhydrous free base peptide).

Figure 1. Structure formula for bivalirudin trifluoroacetate

Bivalirudin for injection is supplied as a sterile white lyophilized cake, in single-dose vials. Each vial contains 250 mg bivalirudin, equivalent to an average of 275 mg of bivalirudin trifluoroactetate*, 125 mg mannitol, and sodium hydroxide to adjust the pH to 5-6 (equivalent of approximately 12.5 mg sodium). When reconstituted with Sterile Water for Injection, the product yields a clear to opalescent, colorless to slightly yellow solution, pH 5-6.

*The range of bivalirudin trifluoroacetate is 270 mg to 280 mg based on a range of trifluoroacetic acid composition of 1.7 to 2.6 equivalents.

16.1 How Supplied

Bivalirudin for injection is supplied as a sterile, lyophilized powder in single-dose, glass vials. Each vial contains 250 mg of bivalirudin equivalent to an average of 275 mg of bivalirudin trifluoroacetate*.

*The range of bivalirudin trifluoroacetate is 270 to 280 mg based on a range of trifluoroacetic acid composition of 1.7 to 2.6 equivalents.

Unit of Sale

Concentration

Each

NDC 70436-025-82

10 x 250 mg Single-Dose Vials

250 mg/vial

NDC 70436-025-80

250 mg Single-Dose Vial

8.4 Pediatric Use

The safety and effectiveness of bivalirudin for injection in pediatric patients have not been established.

8.5 Geriatric Use

In studies of patients undergoing PCI, 44% were ≥65 years of age and 12% of patients were ≥75 years old. Elderly patients experienced more bleeding events than younger patients.

6.2 Immunogenicity

As with all peptides, there is potential for immunogenicity. The detection of antibody formation is highly dependent on the sensitivity and specificity of the assay. Additionally, the observed incidence of antibody (including neutralizing antibody) positivity in an assay may be influenced by several factors including assay methodology, sample handling, timing of sample collection, concomitant medications, and underlying disease. For these reasons, comparison of the incidence of antibodies to bivalirudin for injection in the studies described below with the incidence of antibodies in other studies or to other products may be misleading.

In in vitro studies, bivalirudin for injection exhibited no platelet aggregation response against sera from patients with a history of HIT/HITTS.

Among 494 subjects who received bivalirudin for injection in clinical trials and were tested for antibodies, 2 subjects had treatment-emergent positive bivalirudin antibody tests. Neither subject demonstrated clinical evidence of allergic or anaphylactic reactions and repeat testing was not performed. Nine additional patients who had initial positive tests were negative on repeat testing.

14 Clinical Studies

Bivalirudin Angioplasty Trial (BAT)

In the BAT studies, patients with unstable angina undergoing PCI were randomized 1:1 to a 1 mg/kg bolus of bivalirudin for injection and then 2.5 mg/kg/h for four hours and then 0.2 mg/kg/h for 14-20 hours or to 175 IU/kg bolus of heparin followed by an 18-24 hour infusion of 15 IU/kg/h infusion. Additional heparin but not bivalirudin for injection could be administered for ACT <350 seconds. The studies were designed to demonstrate the superiority of bivalirudin for injection to heparin on the occurrence of any of the following during hospitalization up to seven days of death, MI, abrupt closure of dilated vessel, or clinical deterioration requiring revascularization or placement of an aortic balloon pump.

The 4312 subjects ranged in age from 29-90 (median 63) years. 68% were male, and 91% were Caucasian. Median weight was 80 kg (39-120 kg). 741 (17%) subjects had post-MI angina. Twenty-three percent of patients were treated with heparin within one hour prior to randomization.

The studies did not demonstrate that bivalirudin for injection was statistically superior to heparin for reducing the risk of death, MI, abrupt closure of the dilated vessel, or clinical deterioration requiring revascularization or placement of an aortic balloon pump, but the occurrence of these events was similar in both treatment groups. Study outcomes are shown in Table 3.

Table 3. Incidences of In-hospital Endpoints in BAT Trial

Endpoint

Bivalirudin for Injection (n=2161)

Heparin (n=2151)

Primary Endpoint

A composite of death or MI or clinical deterioration of cardiac origin requiring revascularization or placement of an aortic balloon pump or angiographic evidence of abrupt vessel closure.

7.9%

9.3%

Death, MI, Revascularization

6.2%

7.9%

Death

0.2%

0.2%

MI

3.3%

4.2%

AT-BAT Trial (NCT# 00043940)

This was a single-arm open-label study in which 51 patients with heparin-induced thrombocytopenia (HIT) or heparin induced thrombocytopenia and thrombosis syndrome (HITTS) underwent PCI. The majority of patients achieved adequate ACT at the time of device activation and no major bleeding was reported. Evidence for the diagnosis of HIT/HITTS was based on a clinical history of a decrease of platelets in patients after heparin administration [new diagnosis or history of clinically suspected or objectively documented HIT/HITTS defined as either: 1) HIT: positive heparin-induced platelet aggregation (HIPA) or other functional assay where the platelet count has decreased to <100,000/mL (minimum 30% from prior to heparin), or has decreased to <150,000/mL (minimum 40% from prior to heparin), or has decreased as above within hours of receiving heparin in a patient with a recent, previous exposure to heparin; 2)HITTS: thrombocytopenia as above plus arterial or venous thrombosis diagnosed by physician examination/laboratory and/or appropriate imaging studies]. Patients ranged in age from 48-89 years (median 70); weight ranged from 42-123 kg (median 76); 50% were male and 50% were female. Bivalirudin for injection was administered as either 1 mg/kg bolus followed by 2.5 mg/kg/h (high dose in 28 patients) or 0.75 mg/kg bolus followed by a 1.75 mg/kg/h infusion (lower dose in 25 patients) for up to 4 hours. Ninety-eight percent of patients received aspirin, 86% received clopidogrel and 19% received GPIs.

The median ACT values at the time of device activation were 379 sec (high dose) and 317 sec (lower dose). Following the procedure, 48 of the 51 patients (94%) had TIMI grade 3 flow and stenosis <50%. One patient died during a bradycardic episode 46 hours after successful PCI, another patient required surgical revascularization, and one patient experienced no flow requiring a temporary intra-aortic balloon.

Two of the fifty-one patients with the diagnosis of HIT/HITTS developed thrombocytopenia after receiving bivalirudin for injection and GPIs.

4 Contraindications

Bivalirudin for injection is contraindicated in patients with:

  • Active major bleeding;
  • Hypersensitivity (e.g., anaphylaxis) to bivalirudin for injection or its components [see Adverse Reactions ( 6.3)] .
5.1 Bleeding Events

Bivalirudin for injection increases the risk of bleeding [see Adverse Reactions ( 6.1)] . An unexplained fall in blood pressure or hematocrit should lead to serious consideration of a hemorrhagic event and cessation of bivalirudin for injection administration. Monitor patients receiving bivalirudin for injection for signs and symptoms of bleeding. Monitor patients with disease states associated with an increased risk of bleeding more frequently for bleeding.

6 Adverse Reactions

Most common adverse reaction (>2%) was bleeding. ( 6.1)

To report SUSPECTED ADVERSE REACTIONS, contact Slate Run Pharmaceuticals, LLC at 1-888-341-9214 or FDA at 1-800-FDA-1088 or www.fda.gov/medwatch.

7 Drug Interactions

In clinical trials in patients undergoing PCI/percutaneous transluminal coronary angioplasty (PTCA), co-administration of bivalirudin for injection with heparin, warfarin, thrombolytics, or GPIs was associated with increased risks of major bleeding events compared to patients not receiving these concomitant medications

2.1 Recommended Dose

Bivalirudin for injection has been studied only in patients receiving concomitant aspirin.

The recommended dose of bivalirudin for injection is an intravenous bolus dose of 0.75 mg/kg, followed immediately by an infusion of 1.75 mg/kg/h for the duration of the procedure. Five minutes after the bolus dose has been administered, an activated clotting time (ACT) should be performed and an additional bolus of 0.3 mg/kg should be given if needed.

Extended duration of infusion following PCI at 1.75 mg/kg/h for up to 4 hours post-procedure should be considered in patients with ST segment elevation MI (STEMI).

8.6 Renal Impairment

The disposition of bivalirudin for injection was studied in PTCA patients with mild, moderate and severe renal impairment. The clearance of bivalirudin for injection was reduced approximately 21% in patients with moderate and severe renal impairment and was reduced approximately 70% in dialysis-dependent patients [see Clinical Pharmacology ( 12.3)] . Reduce the infusion dose of bivalirudin for injection and monitor the anticoagulant status more frequently in patients with renal impairment creatinine clearance less than 30 mL/min (by Cockcroft Gault equation) [see Dosage and Administration ( 2.2)] .

Drug Compatibilities

No incompatibilities have been observed with administration sets.

Do not administer the drugs listed in Table 2 in the same intravenous line with bivalirudin for injection.

Table 2. Drugs Not for Administration in the Same Intravenous Line with Bivalirudin for Injection

Alteplase

Amiodarone HCl

Amphotericin B

Chlorpromazine HCl

Diazepam

Dobutamine

Prochlorperazine Edisylate

Reteplase

Streptokinase

Vancomycin HCl

Parenteral drug products should be inspected visually for particulate matter and discoloration prior to administration. Preparations of bivalirudin for injection containing particulate matter should not be used. Reconstituted material will be a clear to slightly opalescent, colorless to slightly yellow solution.

Maintenance Infusion

In patients with creatinine clearance less than 30 mL/min (by Cockcroft Gault equation), reduce the infusion rate to 1 mg/kg/h. Monitor anticoagulant status in patients with renal impairment.

In patients on hemodialysis, reduce the infusion rate to 0.25 mg/kg/h [see Use in Specific Populations ( 8.6), Clinical Pharmacology ( 12.3)] .

Specific Populations

Patients with Renal Impairment: Total body clearance was similar for PTCA patients with normal renal function and with mild renal impairment. Clearance was reduced by 21% in patients with moderate and severe renal impairment with a half-life of 34 and 57 minutes, respectively. In dialysis patients, clearance was reduced by 70%, with a half-life of 3.5 hours. Approximately 25% bivalirudin is cleared by hemodialysis.

12.2 Pharmacodynamics

In healthy volunteers and patients (with ≥70% vessel occlusion undergoing routine PTCA), bivalirudin exhibited dose- and concentration-dependent anticoagulant activity as evidenced by prolongation of the ACT, aPTT, PT, and TT. Intravenous administration of bivalirudin produces an immediate anticoagulant effect. Coagulation times return to baseline approximately 1 hour following cessation of bivalirudin administration. Bivalirudin for injection also increases INR. Therefore INR measurements made in bivalirudin for injection treated patients may not be useful for determining the appropriate dose of warfarin.

In 291 patients with ≥70% vessel occlusion undergoing routine PTCA, a positive correlation was observed between the dose of bivalirudin and the proportion of patients achieving ACT values of 300 sec or 350 sec. At a bivalirudin dose of 1 mg/kg IV bolus plus 2.5 mg/kg/h IV infusion for 4 hours, followed by 0.2 mg/kg/h, all patients reached maximal ACT values >300 sec.

12.3 Pharmacokinetics

Bivalirudin exhibits linear pharmacokinetics following IV administration to patients undergoing PTCA. In these patients, a mean steady state bivalirudin concentration of 12.3 ± 1.7 mcg/mL is achieved following an IV bolus of 1 mg/kg and a 4-hour 2.5 mg/kg/h IV infusion.

1 Indications and Usage

Bivalirudin for injection is indicated for use as an anticoagulant for use in patients undergoing percutaneous coronary intervention (PCI) including patients with heparin-induced thrombocytopenia and heparin-induced thrombocytopenia and thrombosis syndrome.

12.1 Mechanism of Action

Bivalirudin directly inhibits thrombin by specifically binding both to the catalytic site and to the anion- binding exosite of circulating and clot-bound thrombin. Thrombin is a serine proteinase that plays a central role in the thrombotic process, acting to cleave fibrinogen into fibrin monomers and to activate Factor XIII to Factor XIIIa, allowing fibrin to develop a covalently cross-linked framework which stabilizes the thrombus; thrombin also activates Factors V and VIII, promoting further thrombin generation, and activates platelets, stimulating aggregation and granule release. The binding of bivalirudin to thrombin is reversible as thrombin slowly cleaves the bivalirudin-Arg 3-Pro 4 bond, resulting in recovery of thrombin active site functions.

In in vitro studies, bivalirudin inhibited both soluble (free) and clot-bound thrombin, was not neutralized by products of the platelet release reaction, and prolonged the activated partial thromboplastin time (aPTT), thrombin time (TT), and prothrombin time (PT) of normal human plasma in a concentration-dependent manner. The clinical relevance of these findings is unknown.

5 Warnings and Precautions

Bleeding events: Bivalirudin for injection increases the risk of bleeding. ( 5.1, 6.1, 12.2)

Acute Stent Thrombosis: Increased incidence of acute stent thrombosis in STEMI patients undergoing primary PCI. ( 2.1, 5.2)

Thrombotic Risk with Coronary Artery Brachytherapy: An increased risk of thrombus formation, including fatal outcomes, in gamma brachytherapy. ( 5.3)

2 Dosage and Administration
  • The recommended dosage is a 0.75 mg/kg intravenous bolus dose followed immediately by a 1.75 mg/kg/h intravenous infusion for the duration of the procedure. Five minutes after the bolus dose has been administered, an activated clotting time (ACT) should be performed and an additional bolus dose of 0.3 mg/kg should be given if needed.
  • Extending duration of infusion post-procedure up to 4 hours should be considered in patients with ST segment elevation MI (STEMI). ( 2.1)
3 Dosage Forms and Strengths

For injection: 250 mg of bivalirudin as a lyophilized powder in a single-dose vial for reconstitution. Each vial contains 250 mg of bivalirudin equivalent to an average of 275 mg bivalirudin trifluoroacetate*.

*The range of bivalirudin trifluoroacetate is 270 to 280 mg based on a range of trifluoroacetic acid composition of 1.7 to 2.6 equivalents.

6.3 Postmarketing Experience

Because postmarketing adverse reactions are reported voluntarily from a population of uncertain size, it is not always possible to reliably estimate their frequency or establish a causal relationship to drug exposure.

The following adverse reactions have been identified during postapproval use of bivalirudin for injection: fatal bleeding; hypersensitivity and allergic reactions including reports of anaphylaxis; lack of anticoagulant effect; thrombus formation during PCI with and without intracoronary brachytherapy, including reports of fatal outcomes; pulmonary hemorrhage; cardiac tamponade; and INR increased.

8 Use in Specific Populations
  • Geriatric patients: Increased bleeding risk possible. ( 8.5)
  • Renal impairment: Reduce infusion dose and monitor ACT. ( 2.2, 8.6)
6.1 Clinical Trials Experience

Because clinical trials are conducted under widely varying conditions, adverse reaction rates observed in the clinical trials of a drug cannot be directly compared to rates in the clinical trials of another drug and may not reflect the rates observed in practice.

In the BAT trials, 79 of the 2161 (3.7%) patients undergoing PCI for treatment of unstable angina and randomized to bivalirudin for injection experienced major bleeding events which consisted of: intracranial bleeding, retroperitoneal bleeding, and clinically overt bleeding with a decrease in hemoglobin >3 g/dL or leading to a transfusion of > 2 units of blood.

2.4 Storage After Reconstitution

Do not freeze reconstituted or diluted bivalirudin for injection. Reconstituted material may be stored at 2° to 8°C for up to 24 hours. Diluted bivalirudin for injection with a concentration of between 0.5 mg/mL and 5 mg/mL is stable at room temperature for up to 24 hours. Discard any unused portion of reconstituted solution remaining in the vial.

17 Patient Counseling Information

Advise patients to watch carefully for any signs of bleeding or bruising and to report these to their health care provider when they occur.

Manufactured by: Hainan Poly Pharm. Co., Ltd., Guilinyang Economic Development Area, Meilan District, Haikou, Hainan Province, China 571127

Distributed by: Slate Run Pharmaceuticals, LLC, Columbus, Ohio 43215

10000057/01

Revised: 06/2021

Package/label Principal Display Panel

Bivalirudin for Injection, 250 mg per vial

NDC 70436-025-80

2.3 Instructions for Preparation and Administration

Bivalirudin for injection is intended for intravenous bolus injection and continuous infusion after reconstitution and dilution.

Preparation Instructions for Bolus Injection and Continuous Infusion

  • To each 250 mg vial, add 5 mL of Sterile Water for Injection, USP.
  • Gently swirl until all material is dissolved.
  • Withdraw and discard 5 mL from a 50 mL infusion bag containing 5% Dextrose in Water or 0.9% Sodium Chloride for Injection.
  • Add the contents of the reconstituted vial to the infusion bag containing 5% Dextrose in Water or 0.9% Sodium Chloride for Injection to yield a final concentration of 5 mg/mL (e.g., 1 vial in 50 mL; 2 vials in 100 mL; 5 vials in 250 mL).
  • Adjust the dose to be administered according to the patient’s weight (see Table 1).
Table 1. Dosing Table

Weight (kg)

Using 5 mg/mL Concentration

Bolus 0.75 mg/kg (mL)

Infusion 1.75 mg/kg/h (mL/h)

43-47

7

16

48-52

7.5

17.5

53-57

8

19

58-62

9

21

63-67

10

23

68-72

10.5

24.5

73-77

11

26

78-82

12

28

83-87

13

30

88-92

13.5

31.5

93-97

14

33

98-102

15

35

103-107

16

37

108-112

16.5

38.5

113-117

17

40

118-122

18

42

123-127

19

44

128-132

19.5

45.5

133-137

20

47

138-142

21

49

143-147

22

51

148-152

22.5

52.5

5.3 Thrombotic Risk With Coronary Artery Brachytherapy

An increased risk of thrombus formation, including fatal outcomes, has been associated with the use of bivalirudin for injection in gamma brachytherapy.

If a decision is made to use bivalirudin for injection during brachytherapy procedures, maintain meticulous catheter technique, with frequent aspiration and flushing, paying special attention to minimizing conditions of stasis within the catheter or vessels [see Adverse Reactions ( 6.1)].

13.1 Carcinogenesis, Mutagenesis, Impairment of Fertility

No long-term studies in animals have been performed to evaluate the carcinogenic potential of bivalirudin. Bivalirudin displayed no genotoxic potential in the in vitro bacterial cell reverse mutation assay (Ames test), the in vitro Chinese hamster ovary cell forward gene mutation test (CHO/HGPRT), the in vitro human lymphocyte chromosomal aberration assay, the in vitro rat hepatocyte unscheduled DNA synthesis (UDS) assay, and the in vivo rat micronucleus assay. Fertility and general reproductive performance in rats were unaffected by subcutaneous doses of bivalirudin up to 150 mg/kg/day, about 1.6 times the dose on a body surface area basis (mg/m 2) of a 50 kg person given the maximum recommended dose of 15 mg/kg/day.

5.2 Acute Stent Thrombosis in Patients With Stemi Undergoing Pci

Acute stent thrombosis (AST) (<4 hours) has been observed at a greater frequency in bivalirudin for injection treated patients (1.2%, 36/2889) compared to heparin treated patients (0.2%, 6/2911) with STEMI undergoing primary PCI. Among patients who experienced an AST, one fatality (0.03%) occurred in a bivalirudin for injection treated patient and one fatality (0.03%) in a heparin treated patient. These patients have been managed by Target Vessel Revascularization (TVR). Patients should remain for at least 24 hours in a facility capable of managing ischemic complications and should be carefully monitored following primary PCI for signs and symptoms consistent with myocardial ischemia.


Structured Label Content

Data

Animal Data: Reproductive studies have been performed in rats at subcutaneous doses up to 150 mg/kg/day (1.6 times the maximum recommended human dose based on body surface area) and rabbits at subcutaneous doses up to 150 mg/kg/day (3.2 times the maximum recommended human dose based on body surface area). These studies revealed no harm to the fetus attributable to bivalirudin.

At 500 mg/kg/day (equivalent to 5.4 times the maximum recommended human dose based on body surface area) subcutaneously, litter sizes and live fetuses in rats were reduced. Fetal skeletal variations were also noted. Some of these changes could be attributed to maternal toxicity observed at high doses.

There is no study covering the peri-natal period because of the potential complications of drug-induced hemorrhage during delivery.

Excretion

Bivalirudin undergoes glomerular filtration. Tubular secretion and tubular reabsorption are also implicated in the excretion of bivalirudin, although the extent is unknown.

Bolus Dose

No reduction in the bolus dose is needed for any degree of renal impairment.

Metabolism

Bivalirudin is metabolized by proteolytic cleavage.

Elimination

Bivalirudin has a half-life of 25 minutes in PTCA patients with normal renal function. The total body clearance of bivalirudin in PTCA patients with normal renal function is 3.4 mL/min/kg.

16.2 Storage

Store bivalirudin for injection dosage units at 20° to 25°C (68° to 77°F); excursions permitted to 15° to 30°C (59° to 86°F) [See USP Controlled Room Temperature].

Distribution

Bivalirudin does not bind to plasma proteins (other than thrombin) or to red blood cells.

Risk Summary

There are no data available on use of bivalirudin for injection in pregnant women to inform a drug-associated risk of adverse developmental outcomes. Reproduction studies in rats and rabbits administered subcutaneously doses up to 1.6 times and 3.2 times the maximum recommended human dose (MRHD) of 15 mg/kg/day based on body surface area (BSA) during organogenesis, respectively, revealed no evidence of fetal harm.

All pregnancies have a background risk of birth defect, loss, or other adverse outcomes. The estimated background risk of major birth defects and miscarriage for the indicated population is unknown. In the U.S. general population, the estimated background risk of major birth defects and miscarriage in clinically recognized pregnancies is 2–4% and 15–20%, respectively.

10 Overdosage (10 OVERDOSAGE)

Cases of overdose of up to 10 times the recommended bolus or continuous infusion dose of bivalirudin for injection have been reported in clinical trials and in postmarketing reports. A number of the reported overdoses were due to failure to adjust the infusion dose of bivalirudin in persons with renal dysfunction including persons on hemodialysis [see Dosage and Administration ( 2.2)] . Bleeding, as well as deaths due to hemorrhage, have been observed in some reports of overdose. In cases of suspected overdosage, discontinue bivalirudin for injection immediately and monitor the patient closely for signs of bleeding. There is no known antidote to bivalirudin for injection. Bivalirudin for injection is hemodialyzable [see Clinical Pharmacology ( 12.3)].

11 Description (11 DESCRIPTION)

Bivalirudin for injection contains bivalirudin which is a specific and reversible direct thrombin inhibitor. Bivalirudin is a synthetic, 20 amino acid peptide, with the chemical name of D-phenylalanyl-L‑prolyl-L-arginyl-L-prolyl-glycyl-glycyl-glycyl-glycyl-L-asparagyl-glycyl-L-aspartyl-L‑phenylalanyl-L-glutamyl-L-glutamyl-L-isoleucyl-L-prolyl-L-glutamyl-L-glutamyl-L-tyrosyl-L‑leucine. The active pharmaceutical ingredient is in the form of bivalirudin trifluoroacetate as a white to off-white powder. The chemical name for bivalirudin trifluoroacetate is D-phenylalanyl-L-prolyl-L-arginyl-L-prolyl- glycyl-glycyl-glycyl-glycyl-L-asparagyl-glycyl-L-aspartyl-L‑phenylalanyl-L-glutamyl-L-glutamyl-L-isoleucyl-L-prolyl-L-glutamyl-L-glutamyl-L-tyrosyl-L‑leucine trifluoroacetate ( Figure 1). The molecular weight of bivalirudin is 2180 daltons (anhydrous free base peptide).

Figure 1. Structure formula for bivalirudin trifluoroacetate

Bivalirudin for injection is supplied as a sterile white lyophilized cake, in single-dose vials. Each vial contains 250 mg bivalirudin, equivalent to an average of 275 mg of bivalirudin trifluoroactetate*, 125 mg mannitol, and sodium hydroxide to adjust the pH to 5-6 (equivalent of approximately 12.5 mg sodium). When reconstituted with Sterile Water for Injection, the product yields a clear to opalescent, colorless to slightly yellow solution, pH 5-6.

*The range of bivalirudin trifluoroacetate is 270 mg to 280 mg based on a range of trifluoroacetic acid composition of 1.7 to 2.6 equivalents.

16.1 How Supplied

Bivalirudin for injection is supplied as a sterile, lyophilized powder in single-dose, glass vials. Each vial contains 250 mg of bivalirudin equivalent to an average of 275 mg of bivalirudin trifluoroacetate*.

*The range of bivalirudin trifluoroacetate is 270 to 280 mg based on a range of trifluoroacetic acid composition of 1.7 to 2.6 equivalents.

Unit of Sale

Concentration

Each

NDC 70436-025-82

10 x 250 mg Single-Dose Vials

250 mg/vial

NDC 70436-025-80

250 mg Single-Dose Vial

8.4 Pediatric Use

The safety and effectiveness of bivalirudin for injection in pediatric patients have not been established.

8.5 Geriatric Use

In studies of patients undergoing PCI, 44% were ≥65 years of age and 12% of patients were ≥75 years old. Elderly patients experienced more bleeding events than younger patients.

6.2 Immunogenicity

As with all peptides, there is potential for immunogenicity. The detection of antibody formation is highly dependent on the sensitivity and specificity of the assay. Additionally, the observed incidence of antibody (including neutralizing antibody) positivity in an assay may be influenced by several factors including assay methodology, sample handling, timing of sample collection, concomitant medications, and underlying disease. For these reasons, comparison of the incidence of antibodies to bivalirudin for injection in the studies described below with the incidence of antibodies in other studies or to other products may be misleading.

In in vitro studies, bivalirudin for injection exhibited no platelet aggregation response against sera from patients with a history of HIT/HITTS.

Among 494 subjects who received bivalirudin for injection in clinical trials and were tested for antibodies, 2 subjects had treatment-emergent positive bivalirudin antibody tests. Neither subject demonstrated clinical evidence of allergic or anaphylactic reactions and repeat testing was not performed. Nine additional patients who had initial positive tests were negative on repeat testing.

14 Clinical Studies (14 CLINICAL STUDIES)

Bivalirudin Angioplasty Trial (BAT)

In the BAT studies, patients with unstable angina undergoing PCI were randomized 1:1 to a 1 mg/kg bolus of bivalirudin for injection and then 2.5 mg/kg/h for four hours and then 0.2 mg/kg/h for 14-20 hours or to 175 IU/kg bolus of heparin followed by an 18-24 hour infusion of 15 IU/kg/h infusion. Additional heparin but not bivalirudin for injection could be administered for ACT <350 seconds. The studies were designed to demonstrate the superiority of bivalirudin for injection to heparin on the occurrence of any of the following during hospitalization up to seven days of death, MI, abrupt closure of dilated vessel, or clinical deterioration requiring revascularization or placement of an aortic balloon pump.

The 4312 subjects ranged in age from 29-90 (median 63) years. 68% were male, and 91% were Caucasian. Median weight was 80 kg (39-120 kg). 741 (17%) subjects had post-MI angina. Twenty-three percent of patients were treated with heparin within one hour prior to randomization.

The studies did not demonstrate that bivalirudin for injection was statistically superior to heparin for reducing the risk of death, MI, abrupt closure of the dilated vessel, or clinical deterioration requiring revascularization or placement of an aortic balloon pump, but the occurrence of these events was similar in both treatment groups. Study outcomes are shown in Table 3.

Table 3. Incidences of In-hospital Endpoints in BAT Trial

Endpoint

Bivalirudin for Injection (n=2161)

Heparin (n=2151)

Primary Endpoint

A composite of death or MI or clinical deterioration of cardiac origin requiring revascularization or placement of an aortic balloon pump or angiographic evidence of abrupt vessel closure.

7.9%

9.3%

Death, MI, Revascularization

6.2%

7.9%

Death

0.2%

0.2%

MI

3.3%

4.2%

AT-BAT Trial (NCT# 00043940)

This was a single-arm open-label study in which 51 patients with heparin-induced thrombocytopenia (HIT) or heparin induced thrombocytopenia and thrombosis syndrome (HITTS) underwent PCI. The majority of patients achieved adequate ACT at the time of device activation and no major bleeding was reported. Evidence for the diagnosis of HIT/HITTS was based on a clinical history of a decrease of platelets in patients after heparin administration [new diagnosis or history of clinically suspected or objectively documented HIT/HITTS defined as either: 1) HIT: positive heparin-induced platelet aggregation (HIPA) or other functional assay where the platelet count has decreased to <100,000/mL (minimum 30% from prior to heparin), or has decreased to <150,000/mL (minimum 40% from prior to heparin), or has decreased as above within hours of receiving heparin in a patient with a recent, previous exposure to heparin; 2)HITTS: thrombocytopenia as above plus arterial or venous thrombosis diagnosed by physician examination/laboratory and/or appropriate imaging studies]. Patients ranged in age from 48-89 years (median 70); weight ranged from 42-123 kg (median 76); 50% were male and 50% were female. Bivalirudin for injection was administered as either 1 mg/kg bolus followed by 2.5 mg/kg/h (high dose in 28 patients) or 0.75 mg/kg bolus followed by a 1.75 mg/kg/h infusion (lower dose in 25 patients) for up to 4 hours. Ninety-eight percent of patients received aspirin, 86% received clopidogrel and 19% received GPIs.

The median ACT values at the time of device activation were 379 sec (high dose) and 317 sec (lower dose). Following the procedure, 48 of the 51 patients (94%) had TIMI grade 3 flow and stenosis <50%. One patient died during a bradycardic episode 46 hours after successful PCI, another patient required surgical revascularization, and one patient experienced no flow requiring a temporary intra-aortic balloon.

Two of the fifty-one patients with the diagnosis of HIT/HITTS developed thrombocytopenia after receiving bivalirudin for injection and GPIs.

4 Contraindications (4 CONTRAINDICATIONS)

Bivalirudin for injection is contraindicated in patients with:

  • Active major bleeding;
  • Hypersensitivity (e.g., anaphylaxis) to bivalirudin for injection or its components [see Adverse Reactions ( 6.3)] .
5.1 Bleeding Events

Bivalirudin for injection increases the risk of bleeding [see Adverse Reactions ( 6.1)] . An unexplained fall in blood pressure or hematocrit should lead to serious consideration of a hemorrhagic event and cessation of bivalirudin for injection administration. Monitor patients receiving bivalirudin for injection for signs and symptoms of bleeding. Monitor patients with disease states associated with an increased risk of bleeding more frequently for bleeding.

6 Adverse Reactions (6 ADVERSE REACTIONS)

Most common adverse reaction (>2%) was bleeding. ( 6.1)

To report SUSPECTED ADVERSE REACTIONS, contact Slate Run Pharmaceuticals, LLC at 1-888-341-9214 or FDA at 1-800-FDA-1088 or www.fda.gov/medwatch.

7 Drug Interactions (7 DRUG INTERACTIONS)

In clinical trials in patients undergoing PCI/percutaneous transluminal coronary angioplasty (PTCA), co-administration of bivalirudin for injection with heparin, warfarin, thrombolytics, or GPIs was associated with increased risks of major bleeding events compared to patients not receiving these concomitant medications

2.1 Recommended Dose

Bivalirudin for injection has been studied only in patients receiving concomitant aspirin.

The recommended dose of bivalirudin for injection is an intravenous bolus dose of 0.75 mg/kg, followed immediately by an infusion of 1.75 mg/kg/h for the duration of the procedure. Five minutes after the bolus dose has been administered, an activated clotting time (ACT) should be performed and an additional bolus of 0.3 mg/kg should be given if needed.

Extended duration of infusion following PCI at 1.75 mg/kg/h for up to 4 hours post-procedure should be considered in patients with ST segment elevation MI (STEMI).

8.6 Renal Impairment

The disposition of bivalirudin for injection was studied in PTCA patients with mild, moderate and severe renal impairment. The clearance of bivalirudin for injection was reduced approximately 21% in patients with moderate and severe renal impairment and was reduced approximately 70% in dialysis-dependent patients [see Clinical Pharmacology ( 12.3)] . Reduce the infusion dose of bivalirudin for injection and monitor the anticoagulant status more frequently in patients with renal impairment creatinine clearance less than 30 mL/min (by Cockcroft Gault equation) [see Dosage and Administration ( 2.2)] .

Drug Compatibilities

No incompatibilities have been observed with administration sets.

Do not administer the drugs listed in Table 2 in the same intravenous line with bivalirudin for injection.

Table 2. Drugs Not for Administration in the Same Intravenous Line with Bivalirudin for Injection

Alteplase

Amiodarone HCl

Amphotericin B

Chlorpromazine HCl

Diazepam

Dobutamine

Prochlorperazine Edisylate

Reteplase

Streptokinase

Vancomycin HCl

Parenteral drug products should be inspected visually for particulate matter and discoloration prior to administration. Preparations of bivalirudin for injection containing particulate matter should not be used. Reconstituted material will be a clear to slightly opalescent, colorless to slightly yellow solution.

Maintenance Infusion

In patients with creatinine clearance less than 30 mL/min (by Cockcroft Gault equation), reduce the infusion rate to 1 mg/kg/h. Monitor anticoagulant status in patients with renal impairment.

In patients on hemodialysis, reduce the infusion rate to 0.25 mg/kg/h [see Use in Specific Populations ( 8.6), Clinical Pharmacology ( 12.3)] .

Specific Populations

Patients with Renal Impairment: Total body clearance was similar for PTCA patients with normal renal function and with mild renal impairment. Clearance was reduced by 21% in patients with moderate and severe renal impairment with a half-life of 34 and 57 minutes, respectively. In dialysis patients, clearance was reduced by 70%, with a half-life of 3.5 hours. Approximately 25% bivalirudin is cleared by hemodialysis.

12.2 Pharmacodynamics

In healthy volunteers and patients (with ≥70% vessel occlusion undergoing routine PTCA), bivalirudin exhibited dose- and concentration-dependent anticoagulant activity as evidenced by prolongation of the ACT, aPTT, PT, and TT. Intravenous administration of bivalirudin produces an immediate anticoagulant effect. Coagulation times return to baseline approximately 1 hour following cessation of bivalirudin administration. Bivalirudin for injection also increases INR. Therefore INR measurements made in bivalirudin for injection treated patients may not be useful for determining the appropriate dose of warfarin.

In 291 patients with ≥70% vessel occlusion undergoing routine PTCA, a positive correlation was observed between the dose of bivalirudin and the proportion of patients achieving ACT values of 300 sec or 350 sec. At a bivalirudin dose of 1 mg/kg IV bolus plus 2.5 mg/kg/h IV infusion for 4 hours, followed by 0.2 mg/kg/h, all patients reached maximal ACT values >300 sec.

12.3 Pharmacokinetics

Bivalirudin exhibits linear pharmacokinetics following IV administration to patients undergoing PTCA. In these patients, a mean steady state bivalirudin concentration of 12.3 ± 1.7 mcg/mL is achieved following an IV bolus of 1 mg/kg and a 4-hour 2.5 mg/kg/h IV infusion.

1 Indications and Usage (1 INDICATIONS AND USAGE)

Bivalirudin for injection is indicated for use as an anticoagulant for use in patients undergoing percutaneous coronary intervention (PCI) including patients with heparin-induced thrombocytopenia and heparin-induced thrombocytopenia and thrombosis syndrome.

12.1 Mechanism of Action

Bivalirudin directly inhibits thrombin by specifically binding both to the catalytic site and to the anion- binding exosite of circulating and clot-bound thrombin. Thrombin is a serine proteinase that plays a central role in the thrombotic process, acting to cleave fibrinogen into fibrin monomers and to activate Factor XIII to Factor XIIIa, allowing fibrin to develop a covalently cross-linked framework which stabilizes the thrombus; thrombin also activates Factors V and VIII, promoting further thrombin generation, and activates platelets, stimulating aggregation and granule release. The binding of bivalirudin to thrombin is reversible as thrombin slowly cleaves the bivalirudin-Arg 3-Pro 4 bond, resulting in recovery of thrombin active site functions.

In in vitro studies, bivalirudin inhibited both soluble (free) and clot-bound thrombin, was not neutralized by products of the platelet release reaction, and prolonged the activated partial thromboplastin time (aPTT), thrombin time (TT), and prothrombin time (PT) of normal human plasma in a concentration-dependent manner. The clinical relevance of these findings is unknown.

5 Warnings and Precautions (5 WARNINGS AND PRECAUTIONS)

Bleeding events: Bivalirudin for injection increases the risk of bleeding. ( 5.1, 6.1, 12.2)

Acute Stent Thrombosis: Increased incidence of acute stent thrombosis in STEMI patients undergoing primary PCI. ( 2.1, 5.2)

Thrombotic Risk with Coronary Artery Brachytherapy: An increased risk of thrombus formation, including fatal outcomes, in gamma brachytherapy. ( 5.3)

2 Dosage and Administration (2 DOSAGE AND ADMINISTRATION)
  • The recommended dosage is a 0.75 mg/kg intravenous bolus dose followed immediately by a 1.75 mg/kg/h intravenous infusion for the duration of the procedure. Five minutes after the bolus dose has been administered, an activated clotting time (ACT) should be performed and an additional bolus dose of 0.3 mg/kg should be given if needed.
  • Extending duration of infusion post-procedure up to 4 hours should be considered in patients with ST segment elevation MI (STEMI). ( 2.1)
3 Dosage Forms and Strengths (3 DOSAGE FORMS AND STRENGTHS)

For injection: 250 mg of bivalirudin as a lyophilized powder in a single-dose vial for reconstitution. Each vial contains 250 mg of bivalirudin equivalent to an average of 275 mg bivalirudin trifluoroacetate*.

*The range of bivalirudin trifluoroacetate is 270 to 280 mg based on a range of trifluoroacetic acid composition of 1.7 to 2.6 equivalents.

6.3 Postmarketing Experience

Because postmarketing adverse reactions are reported voluntarily from a population of uncertain size, it is not always possible to reliably estimate their frequency or establish a causal relationship to drug exposure.

The following adverse reactions have been identified during postapproval use of bivalirudin for injection: fatal bleeding; hypersensitivity and allergic reactions including reports of anaphylaxis; lack of anticoagulant effect; thrombus formation during PCI with and without intracoronary brachytherapy, including reports of fatal outcomes; pulmonary hemorrhage; cardiac tamponade; and INR increased.

8 Use in Specific Populations (8 USE IN SPECIFIC POPULATIONS)
  • Geriatric patients: Increased bleeding risk possible. ( 8.5)
  • Renal impairment: Reduce infusion dose and monitor ACT. ( 2.2, 8.6)
6.1 Clinical Trials Experience

Because clinical trials are conducted under widely varying conditions, adverse reaction rates observed in the clinical trials of a drug cannot be directly compared to rates in the clinical trials of another drug and may not reflect the rates observed in practice.

In the BAT trials, 79 of the 2161 (3.7%) patients undergoing PCI for treatment of unstable angina and randomized to bivalirudin for injection experienced major bleeding events which consisted of: intracranial bleeding, retroperitoneal bleeding, and clinically overt bleeding with a decrease in hemoglobin >3 g/dL or leading to a transfusion of > 2 units of blood.

2.4 Storage After Reconstitution

Do not freeze reconstituted or diluted bivalirudin for injection. Reconstituted material may be stored at 2° to 8°C for up to 24 hours. Diluted bivalirudin for injection with a concentration of between 0.5 mg/mL and 5 mg/mL is stable at room temperature for up to 24 hours. Discard any unused portion of reconstituted solution remaining in the vial.

17 Patient Counseling Information (17 PATIENT COUNSELING INFORMATION)

Advise patients to watch carefully for any signs of bleeding or bruising and to report these to their health care provider when they occur.

Manufactured by: Hainan Poly Pharm. Co., Ltd., Guilinyang Economic Development Area, Meilan District, Haikou, Hainan Province, China 571127

Distributed by: Slate Run Pharmaceuticals, LLC, Columbus, Ohio 43215

10000057/01

Revised: 06/2021

Package/label Principal Display Panel (PACKAGE/LABEL PRINCIPAL DISPLAY PANEL)

Bivalirudin for Injection, 250 mg per vial

NDC 70436-025-80

2.3 Instructions for Preparation and Administration

Bivalirudin for injection is intended for intravenous bolus injection and continuous infusion after reconstitution and dilution.

Preparation Instructions for Bolus Injection and Continuous Infusion

  • To each 250 mg vial, add 5 mL of Sterile Water for Injection, USP.
  • Gently swirl until all material is dissolved.
  • Withdraw and discard 5 mL from a 50 mL infusion bag containing 5% Dextrose in Water or 0.9% Sodium Chloride for Injection.
  • Add the contents of the reconstituted vial to the infusion bag containing 5% Dextrose in Water or 0.9% Sodium Chloride for Injection to yield a final concentration of 5 mg/mL (e.g., 1 vial in 50 mL; 2 vials in 100 mL; 5 vials in 250 mL).
  • Adjust the dose to be administered according to the patient’s weight (see Table 1).
Table 1. Dosing Table

Weight (kg)

Using 5 mg/mL Concentration

Bolus 0.75 mg/kg (mL)

Infusion 1.75 mg/kg/h (mL/h)

43-47

7

16

48-52

7.5

17.5

53-57

8

19

58-62

9

21

63-67

10

23

68-72

10.5

24.5

73-77

11

26

78-82

12

28

83-87

13

30

88-92

13.5

31.5

93-97

14

33

98-102

15

35

103-107

16

37

108-112

16.5

38.5

113-117

17

40

118-122

18

42

123-127

19

44

128-132

19.5

45.5

133-137

20

47

138-142

21

49

143-147

22

51

148-152

22.5

52.5

5.3 Thrombotic Risk With Coronary Artery Brachytherapy (5.3 Thrombotic Risk with Coronary Artery Brachytherapy)

An increased risk of thrombus formation, including fatal outcomes, has been associated with the use of bivalirudin for injection in gamma brachytherapy.

If a decision is made to use bivalirudin for injection during brachytherapy procedures, maintain meticulous catheter technique, with frequent aspiration and flushing, paying special attention to minimizing conditions of stasis within the catheter or vessels [see Adverse Reactions ( 6.1)].

13.1 Carcinogenesis, Mutagenesis, Impairment of Fertility

No long-term studies in animals have been performed to evaluate the carcinogenic potential of bivalirudin. Bivalirudin displayed no genotoxic potential in the in vitro bacterial cell reverse mutation assay (Ames test), the in vitro Chinese hamster ovary cell forward gene mutation test (CHO/HGPRT), the in vitro human lymphocyte chromosomal aberration assay, the in vitro rat hepatocyte unscheduled DNA synthesis (UDS) assay, and the in vivo rat micronucleus assay. Fertility and general reproductive performance in rats were unaffected by subcutaneous doses of bivalirudin up to 150 mg/kg/day, about 1.6 times the dose on a body surface area basis (mg/m 2) of a 50 kg person given the maximum recommended dose of 15 mg/kg/day.

5.2 Acute Stent Thrombosis in Patients With Stemi Undergoing Pci (5.2 Acute Stent Thrombosis in Patients with STEMI Undergoing PCI)

Acute stent thrombosis (AST) (<4 hours) has been observed at a greater frequency in bivalirudin for injection treated patients (1.2%, 36/2889) compared to heparin treated patients (0.2%, 6/2911) with STEMI undergoing primary PCI. Among patients who experienced an AST, one fatality (0.03%) occurred in a bivalirudin for injection treated patient and one fatality (0.03%) in a heparin treated patient. These patients have been managed by Target Vessel Revascularization (TVR). Patients should remain for at least 24 hours in a facility capable of managing ischemic complications and should be carefully monitored following primary PCI for signs and symptoms consistent with myocardial ischemia.


Advanced Ingredient Data


Raw Label Data

All Sections (JSON)