These Highlights Do Not Include All The Information Needed To Use Adalimumab-fkjp

These Highlights Do Not Include All The Information Needed To Use Adalimumab-fkjp
SPL v4
SPL
SPL Set ID 5cde907d-6747-0e62-db25-1718ee717fe7
Routes
SUBCUTANEOUS TOPICAL
Published
Effective Date 2023-06-15
Document Type 34391-3 HUMAN PRESCRIPTION DRUG LABEL

Drug Facts

Composition & Product

Active Ingredients
Adalimumab (20 mg) Isopropyl Alcohol (0.30 mg)
Inactive Ingredients
Methionine Monosodium Glutamate Polysorbate 80 Sorbitol Water

Identifiers & Packaging

Marketing Status
BLA Active Since 2024-04-15

Description

SERIOUS INFECTIONS Patients treated with adalimumab products including Adalimumab-fkjp are at increased risk for developing serious infections that may lead to hospitalization or death [see Warnings and Precautions (5.1) ] . Most patients who developed these infections were taking concomitant immunosuppressants such as methotrexate or corticosteroids. Discontinue Adalimumab-fkjp if a patient develops a serious infection or sepsis. Reported infections include: • Active tuberculosis (TB), including reactivation of latent TB. Patients with TB have frequently presented with disseminated or extrapulmonary disease. Test patients for latent TB before Adalimumab-fkjp use and during therapy. Initiate treatment for latent TB prior to Adalimumab-fkjp use. • Invasive fungal infections, including histoplasmosis, coccidioidomycosis, candidiasis, aspergillosis, blastomycosis, and pneumocystosis. Patients with histoplasmosis or other invasive fungal infections may present with disseminated, rather than localized, disease. Antigen and antibody testing for histoplasmosis may be negative in some patients with active infection. Consider empiric anti-fungal therapy in patients at risk for invasive fungal infections who develop severe systemic illness. • Bacterial, viral and other infections due to opportunistic pathogens, including Legionella and Listeria. Carefully consider the risks and benefits of treatment with Adalimumab-fkjp prior to initiating therapy in patients with chronic or recurrent infection. Monitor patients closely for the development of signs and symptoms of infection during and after treatment with Adalimumab-fkjp, including the possible development of TB in patients who tested negative for latent TB infection prior to initiating therapy [see Warnings and Precautions (5.1) and Adverse Reactions (6.1) ]. MALIGNANCY Lymphoma and other malignancies, some fatal, have been reported in children and adolescent patients treated with TNF blockers including adalimumab products [see Warnings and Precautions (5.2) ]. Post-marketing cases of hepatosplenic T-cell lymphoma (HSTCL), a rare type of T-cell lymphoma, have been reported in patients treated with TNF blockers including adalimumab products. These cases have had a very aggressive disease course and have been fatal. The majority of reported TNF blocker cases have occurred in patients with Crohn's disease or ulcerative colitis and the majority were in adolescent and young adult males. Almost all these patients had received treatment with azathioprine or 6-mercaptopurine (6–MP) concomitantly with a TNF blocker at or prior to diagnosis. It is uncertain whether the occurrence of HSTCL is related to use of a TNF blocker or a TNF blocker in combination with these other immunosuppressants [see Warnings and Precautions (5.2) ] .

Indications and Usage

Adalimumab-fkjp is a tumor necrosis factor (TNF) blocker indicated for: Rheumatoid Arthritis (RA) ( 1.1 ): reducing signs and symptoms, inducing major clinical response, inhibiting the progression of structural damage, and improving physical function in adult patients with moderately to severely active RA. J uvenile Idiopathic Arthritis (JIA) ( 1.2 ) : reducing signs and symptoms of moderately to severely active polyarticular JIA in patients 2 years of age and older. Psoriatic Arthritis (PsA) ( 1.3 ) : reducing signs and symptoms, inhibiting the progression of structural damage, and improving physical function in adult patients with active PsA. A nkylosing Spondylitis (AS) ( 1.4 ): reducing signs and symptoms in adult patients with active AS. Crohn’s Disease (CD) ( 1.5 ): treatment of moderately to severely active Crohn’s disease in adults and pediatric patients 6 years of age and older. Ulcerative Colitis (UC) ( 1.6 ): treatment of moderately to severely active ulcerative colitis in adult patients. Limitations of Use : Effectiveness has not been established in patients who have lost response to or were intolerant to TNF blockers. Plaque Psoriasis (Ps) ( 1.7 ): treatment of adult patients with moderate to severe chronic plaque psoriasis who are candidates for systemic therapy or phototherapy, and when other systemic therapies are medically less appropriate. Hidradenitis Suppurativa (HS) ( 1.8 ): treatment of moderate to severe hidradenitis suppurativa in adult patients. Uveitis (UV) ( 1.9 ): treatment of non-infectious intermediate, posterior, and panuveitis in adult patients.

Dosage and Administration

• Administer by subcutaneous injection ( 2 ) Rheumatoid Arthritis, Psoriatic Arthritis, Ankylosing Spondylitis ( 2.1 ): • Adults: 40 mg every other week. • Some patients with RA not receiving methotrexate may benefit from increasing the dosage to 40 mg every week or 80 mg every other week. Juvenile Idiopathic Arthritis ( 2.2 ): Pediatric Weight 2 Years of Age and Older Recommended Dosage 15 kg (33 lbs) to less than 30 kg (66 lbs) 20 mg every other week 30 kg (66 lbs) and greater 40 mg every other week Crohn’s Disease ( 2.3 ): • Adults: 160 mg on Day 1 (given in one day or split over two consecutive days); 80 mg on Day 15; and 40 mg every other week starting on Day 29. • Pediatric Patients 6 Years of Age and Older: Pediatric Weight Recommended Dosage Days 1 and 15 Starting on Day 29 17 kg (37 lbs) to less than 40 kg (88 lbs) Day 1: 80 mg Day 15: 40 mg 20 mg every other week 40 kg (88 lbs) and greater Day 1: 160 mg (single dose or split over two consecutive days) Day 15: 80 mg 40 mg every other week Ulcerative Colitis ( 2.4 ): • Adults: 160 mg on Day 1 (given in one day or split over two consecutive days), 80 mg on Day 15 and 40 mg every other week starting on Day 29. Discontinue in patients without evidence of clinical remission by eight weeks (Day 57). Plaque Psoriasis or Adult Uveitis ( 2.5 ): • Adults: 80 mg initial dose, followed by 40 mg every other week starting one week after initial dose. Hidradenitis Suppurativa ( 2.6 ): • Adults: o Day 1: 160 mg (given in one day or split over two consecutive days) o Day 15: 80 mg o Day 29 and subsequent doses: 40 mg every week or 80 mg every other week

Warnings and Precautions

• Serious infections: Do not start Adalimumab-fkjp during an active infection. If an infection develops, monitor carefully, and stop Adalimumab-fkjp if infection becomes serious. ( 5.1 ) • Invasive fungal infections: For patients who develop a systemic illness on Adalimumab-fkjp, consider empiric antifungal therapy for those who reside or travel to regions where mycoses are endemic. ( 5.1 ) • Malignancies: Incidence of malignancies was greater in adalimumab-treated patients than in controls. ( 5.2 ) • Anaphylaxis or serious hypersensitivity reactions may occur. ( 5.3 ) • Hepatitis B virus reactivation: Monitor HBV carriers during and several months after therapy. If reactivation occurs, stop Adalimumab-fkjp and begin antiviral therapy. ( 5.4 ) • Demyelinating disease: Exacerbation or new onset, may occur. ( 5.5 ) • Cytopenias, pancytopenia: Advise patients to seek immediate medical attention if symptoms develop, and consider stopping Adalimumab-fkjp. ( 5.6 ) • Heart failure: Worsening or new onset, may occur. ( 5.8 ) • Lupus-like syndrome: Stop Adalimumab-fkjp if syndrome develops. ( 5.9 )

Contraindications

None.

Adverse Reactions

Monoclonal antibodies are increasingly transported across the placenta as pregnancy progresses, with the largest amount transferred during the third trimester (see Data ) . Risks and benefits should be considered prior to administering live or live-attenuated vaccines to infants exposed to adalimumab products in utero [see Use in Specific Populations (8.4) ] .

Drug Interactions

• Abatacept: Increased risk of serious infection. ( 5.1 , 5.11 , 7.2 ) • Anakinra: Increased risk of serious infection. ( 5.1 , 5.7 , 7.2 ) • Live vaccines: Avoid use with Adalimumab-fkjp. ( 5.10 , 7.3 )    *Biosimilar means that the biological product is approved based on data demonstrating that it is highly similar to an FDA-approved biological product, known as a reference product, and that there are no clinically meaningful differences between the biosimilar product and the reference product. Biosimilarity of ADALIMUMAB-FKJP has been demonstrated for the condition(s) of use (e.g. indication(s), dosing regimen(s)), strength(s), dosage form(s), and route(s) of administration described in its Full Prescribing Information.

Storage and Handling

Adalimumab-fkjp (adalimumab-fkjp) injection is supplied as a preservative-free, sterile, clear to slightly opalescent and colorless to pale brownish-yellow solution for subcutaneous administration. The following packaging configurations are available: Adalimumab-fkjp Prefilled Syringe Carton - 20 mg/0.4 mL   Adalimumab-fkjp is supplied in a carton containing two alcohol preps and two dose trays. Each dose tray consists of a single-dose, 1 mL pre-filled plastic syringe with a fixed 29 gauge thin wall, ½ inch needle, providing 20 mg/0.4 mL of Adalimumab-fkjp. The NDC number is 83257-020-42. Adalimumab-fkjp Prefilled Syringe Carton - 40 mg/0.8 mL   Adalimumab-fkjp is supplied in a carton containing two alcohol preps and two dose trays. Each dose tray consists of a single-dose, 1 mL pre-filled plastic syringe with a fixed 29 gauge thin wall, ½ inch needle, providing 40 mg/0.8 mL of Adalimumab-fkjp. The NDC number is 83257-021-42. Adalimumab-fkjp Prefilled Pen Carton - 40 mg/0.8 mL   Adalimumab-fkjp is supplied in a carton containing two alcohol preps and two dose trays. Each dose tray consists of a single-dose pen, containing a 1 mL prefilled plastic syringe with a fixed 29 gauge thin wall, ½ inch needle, providing 40 mg/0.8 mL of Adalimumab-fkjp. The NDC number is 83257-022-32. Storage and Stability Do not use beyond the expiration date on the container. Adalimumab-fkjp must be refrigerated at 36°F to 46°F (2°C to 8°C). DO NOT FREEZE. Do not use if frozen even if it has been thawed. Store in original carton until time of administration to protect from light. If needed, for example when traveling, Adalimumab-fkjp may be stored at room temperature up to a maximum of 77°F (25°C) for a period of up to 14 days, with protection from light. Adalimumab-fkjp should be discarded if not used within the 14-day period. Record the date when Adalimumab-fkjp is first removed from the refrigerator in the spaces provided on the carton and dose tray. Do not store Adalimumab-fkjp in extreme heat or cold.

How Supplied

Adalimumab-fkjp (adalimumab-fkjp) injection is supplied as a preservative-free, sterile, clear to slightly opalescent and colorless to pale brownish-yellow solution for subcutaneous administration. The following packaging configurations are available: Adalimumab-fkjp Prefilled Syringe Carton - 20 mg/0.4 mL   Adalimumab-fkjp is supplied in a carton containing two alcohol preps and two dose trays. Each dose tray consists of a single-dose, 1 mL pre-filled plastic syringe with a fixed 29 gauge thin wall, ½ inch needle, providing 20 mg/0.4 mL of Adalimumab-fkjp. The NDC number is 83257-020-42. Adalimumab-fkjp Prefilled Syringe Carton - 40 mg/0.8 mL   Adalimumab-fkjp is supplied in a carton containing two alcohol preps and two dose trays. Each dose tray consists of a single-dose, 1 mL pre-filled plastic syringe with a fixed 29 gauge thin wall, ½ inch needle, providing 40 mg/0.8 mL of Adalimumab-fkjp. The NDC number is 83257-021-42. Adalimumab-fkjp Prefilled Pen Carton - 40 mg/0.8 mL   Adalimumab-fkjp is supplied in a carton containing two alcohol preps and two dose trays. Each dose tray consists of a single-dose pen, containing a 1 mL prefilled plastic syringe with a fixed 29 gauge thin wall, ½ inch needle, providing 40 mg/0.8 mL of Adalimumab-fkjp. The NDC number is 83257-022-32. Storage and Stability Do not use beyond the expiration date on the container. Adalimumab-fkjp must be refrigerated at 36°F to 46°F (2°C to 8°C). DO NOT FREEZE. Do not use if frozen even if it has been thawed. Store in original carton until time of administration to protect from light. If needed, for example when traveling, Adalimumab-fkjp may be stored at room temperature up to a maximum of 77°F (25°C) for a period of up to 14 days, with protection from light. Adalimumab-fkjp should be discarded if not used within the 14-day period. Record the date when Adalimumab-fkjp is first removed from the refrigerator in the spaces provided on the carton and dose tray. Do not store Adalimumab-fkjp in extreme heat or cold.


Medication Information

Warnings and Precautions

• Serious infections: Do not start Adalimumab-fkjp during an active infection. If an infection develops, monitor carefully, and stop Adalimumab-fkjp if infection becomes serious. ( 5.1 ) • Invasive fungal infections: For patients who develop a systemic illness on Adalimumab-fkjp, consider empiric antifungal therapy for those who reside or travel to regions where mycoses are endemic. ( 5.1 ) • Malignancies: Incidence of malignancies was greater in adalimumab-treated patients than in controls. ( 5.2 ) • Anaphylaxis or serious hypersensitivity reactions may occur. ( 5.3 ) • Hepatitis B virus reactivation: Monitor HBV carriers during and several months after therapy. If reactivation occurs, stop Adalimumab-fkjp and begin antiviral therapy. ( 5.4 ) • Demyelinating disease: Exacerbation or new onset, may occur. ( 5.5 ) • Cytopenias, pancytopenia: Advise patients to seek immediate medical attention if symptoms develop, and consider stopping Adalimumab-fkjp. ( 5.6 ) • Heart failure: Worsening or new onset, may occur. ( 5.8 ) • Lupus-like syndrome: Stop Adalimumab-fkjp if syndrome develops. ( 5.9 )

Indications and Usage

Adalimumab-fkjp is a tumor necrosis factor (TNF) blocker indicated for: Rheumatoid Arthritis (RA) ( 1.1 ): reducing signs and symptoms, inducing major clinical response, inhibiting the progression of structural damage, and improving physical function in adult patients with moderately to severely active RA. J uvenile Idiopathic Arthritis (JIA) ( 1.2 ) : reducing signs and symptoms of moderately to severely active polyarticular JIA in patients 2 years of age and older. Psoriatic Arthritis (PsA) ( 1.3 ) : reducing signs and symptoms, inhibiting the progression of structural damage, and improving physical function in adult patients with active PsA. A nkylosing Spondylitis (AS) ( 1.4 ): reducing signs and symptoms in adult patients with active AS. Crohn’s Disease (CD) ( 1.5 ): treatment of moderately to severely active Crohn’s disease in adults and pediatric patients 6 years of age and older. Ulcerative Colitis (UC) ( 1.6 ): treatment of moderately to severely active ulcerative colitis in adult patients. Limitations of Use : Effectiveness has not been established in patients who have lost response to or were intolerant to TNF blockers. Plaque Psoriasis (Ps) ( 1.7 ): treatment of adult patients with moderate to severe chronic plaque psoriasis who are candidates for systemic therapy or phototherapy, and when other systemic therapies are medically less appropriate. Hidradenitis Suppurativa (HS) ( 1.8 ): treatment of moderate to severe hidradenitis suppurativa in adult patients. Uveitis (UV) ( 1.9 ): treatment of non-infectious intermediate, posterior, and panuveitis in adult patients.

Dosage and Administration

• Administer by subcutaneous injection ( 2 ) Rheumatoid Arthritis, Psoriatic Arthritis, Ankylosing Spondylitis ( 2.1 ): • Adults: 40 mg every other week. • Some patients with RA not receiving methotrexate may benefit from increasing the dosage to 40 mg every week or 80 mg every other week. Juvenile Idiopathic Arthritis ( 2.2 ): Pediatric Weight 2 Years of Age and Older Recommended Dosage 15 kg (33 lbs) to less than 30 kg (66 lbs) 20 mg every other week 30 kg (66 lbs) and greater 40 mg every other week Crohn’s Disease ( 2.3 ): • Adults: 160 mg on Day 1 (given in one day or split over two consecutive days); 80 mg on Day 15; and 40 mg every other week starting on Day 29. • Pediatric Patients 6 Years of Age and Older: Pediatric Weight Recommended Dosage Days 1 and 15 Starting on Day 29 17 kg (37 lbs) to less than 40 kg (88 lbs) Day 1: 80 mg Day 15: 40 mg 20 mg every other week 40 kg (88 lbs) and greater Day 1: 160 mg (single dose or split over two consecutive days) Day 15: 80 mg 40 mg every other week Ulcerative Colitis ( 2.4 ): • Adults: 160 mg on Day 1 (given in one day or split over two consecutive days), 80 mg on Day 15 and 40 mg every other week starting on Day 29. Discontinue in patients without evidence of clinical remission by eight weeks (Day 57). Plaque Psoriasis or Adult Uveitis ( 2.5 ): • Adults: 80 mg initial dose, followed by 40 mg every other week starting one week after initial dose. Hidradenitis Suppurativa ( 2.6 ): • Adults: o Day 1: 160 mg (given in one day or split over two consecutive days) o Day 15: 80 mg o Day 29 and subsequent doses: 40 mg every week or 80 mg every other week

Contraindications

None.

Adverse Reactions

Monoclonal antibodies are increasingly transported across the placenta as pregnancy progresses, with the largest amount transferred during the third trimester (see Data ) . Risks and benefits should be considered prior to administering live or live-attenuated vaccines to infants exposed to adalimumab products in utero [see Use in Specific Populations (8.4) ] .

Drug Interactions

• Abatacept: Increased risk of serious infection. ( 5.1 , 5.11 , 7.2 ) • Anakinra: Increased risk of serious infection. ( 5.1 , 5.7 , 7.2 ) • Live vaccines: Avoid use with Adalimumab-fkjp. ( 5.10 , 7.3 )    *Biosimilar means that the biological product is approved based on data demonstrating that it is highly similar to an FDA-approved biological product, known as a reference product, and that there are no clinically meaningful differences between the biosimilar product and the reference product. Biosimilarity of ADALIMUMAB-FKJP has been demonstrated for the condition(s) of use (e.g. indication(s), dosing regimen(s)), strength(s), dosage form(s), and route(s) of administration described in its Full Prescribing Information.

Storage and Handling

Adalimumab-fkjp (adalimumab-fkjp) injection is supplied as a preservative-free, sterile, clear to slightly opalescent and colorless to pale brownish-yellow solution for subcutaneous administration. The following packaging configurations are available: Adalimumab-fkjp Prefilled Syringe Carton - 20 mg/0.4 mL   Adalimumab-fkjp is supplied in a carton containing two alcohol preps and two dose trays. Each dose tray consists of a single-dose, 1 mL pre-filled plastic syringe with a fixed 29 gauge thin wall, ½ inch needle, providing 20 mg/0.4 mL of Adalimumab-fkjp. The NDC number is 83257-020-42. Adalimumab-fkjp Prefilled Syringe Carton - 40 mg/0.8 mL   Adalimumab-fkjp is supplied in a carton containing two alcohol preps and two dose trays. Each dose tray consists of a single-dose, 1 mL pre-filled plastic syringe with a fixed 29 gauge thin wall, ½ inch needle, providing 40 mg/0.8 mL of Adalimumab-fkjp. The NDC number is 83257-021-42. Adalimumab-fkjp Prefilled Pen Carton - 40 mg/0.8 mL   Adalimumab-fkjp is supplied in a carton containing two alcohol preps and two dose trays. Each dose tray consists of a single-dose pen, containing a 1 mL prefilled plastic syringe with a fixed 29 gauge thin wall, ½ inch needle, providing 40 mg/0.8 mL of Adalimumab-fkjp. The NDC number is 83257-022-32. Storage and Stability Do not use beyond the expiration date on the container. Adalimumab-fkjp must be refrigerated at 36°F to 46°F (2°C to 8°C). DO NOT FREEZE. Do not use if frozen even if it has been thawed. Store in original carton until time of administration to protect from light. If needed, for example when traveling, Adalimumab-fkjp may be stored at room temperature up to a maximum of 77°F (25°C) for a period of up to 14 days, with protection from light. Adalimumab-fkjp should be discarded if not used within the 14-day period. Record the date when Adalimumab-fkjp is first removed from the refrigerator in the spaces provided on the carton and dose tray. Do not store Adalimumab-fkjp in extreme heat or cold.

How Supplied

Adalimumab-fkjp (adalimumab-fkjp) injection is supplied as a preservative-free, sterile, clear to slightly opalescent and colorless to pale brownish-yellow solution for subcutaneous administration. The following packaging configurations are available: Adalimumab-fkjp Prefilled Syringe Carton - 20 mg/0.4 mL   Adalimumab-fkjp is supplied in a carton containing two alcohol preps and two dose trays. Each dose tray consists of a single-dose, 1 mL pre-filled plastic syringe with a fixed 29 gauge thin wall, ½ inch needle, providing 20 mg/0.4 mL of Adalimumab-fkjp. The NDC number is 83257-020-42. Adalimumab-fkjp Prefilled Syringe Carton - 40 mg/0.8 mL   Adalimumab-fkjp is supplied in a carton containing two alcohol preps and two dose trays. Each dose tray consists of a single-dose, 1 mL pre-filled plastic syringe with a fixed 29 gauge thin wall, ½ inch needle, providing 40 mg/0.8 mL of Adalimumab-fkjp. The NDC number is 83257-021-42. Adalimumab-fkjp Prefilled Pen Carton - 40 mg/0.8 mL   Adalimumab-fkjp is supplied in a carton containing two alcohol preps and two dose trays. Each dose tray consists of a single-dose pen, containing a 1 mL prefilled plastic syringe with a fixed 29 gauge thin wall, ½ inch needle, providing 40 mg/0.8 mL of Adalimumab-fkjp. The NDC number is 83257-022-32. Storage and Stability Do not use beyond the expiration date on the container. Adalimumab-fkjp must be refrigerated at 36°F to 46°F (2°C to 8°C). DO NOT FREEZE. Do not use if frozen even if it has been thawed. Store in original carton until time of administration to protect from light. If needed, for example when traveling, Adalimumab-fkjp may be stored at room temperature up to a maximum of 77°F (25°C) for a period of up to 14 days, with protection from light. Adalimumab-fkjp should be discarded if not used within the 14-day period. Record the date when Adalimumab-fkjp is first removed from the refrigerator in the spaces provided on the carton and dose tray. Do not store Adalimumab-fkjp in extreme heat or cold.

Description

SERIOUS INFECTIONS Patients treated with adalimumab products including Adalimumab-fkjp are at increased risk for developing serious infections that may lead to hospitalization or death [see Warnings and Precautions (5.1) ] . Most patients who developed these infections were taking concomitant immunosuppressants such as methotrexate or corticosteroids. Discontinue Adalimumab-fkjp if a patient develops a serious infection or sepsis. Reported infections include: • Active tuberculosis (TB), including reactivation of latent TB. Patients with TB have frequently presented with disseminated or extrapulmonary disease. Test patients for latent TB before Adalimumab-fkjp use and during therapy. Initiate treatment for latent TB prior to Adalimumab-fkjp use. • Invasive fungal infections, including histoplasmosis, coccidioidomycosis, candidiasis, aspergillosis, blastomycosis, and pneumocystosis. Patients with histoplasmosis or other invasive fungal infections may present with disseminated, rather than localized, disease. Antigen and antibody testing for histoplasmosis may be negative in some patients with active infection. Consider empiric anti-fungal therapy in patients at risk for invasive fungal infections who develop severe systemic illness. • Bacterial, viral and other infections due to opportunistic pathogens, including Legionella and Listeria. Carefully consider the risks and benefits of treatment with Adalimumab-fkjp prior to initiating therapy in patients with chronic or recurrent infection. Monitor patients closely for the development of signs and symptoms of infection during and after treatment with Adalimumab-fkjp, including the possible development of TB in patients who tested negative for latent TB infection prior to initiating therapy [see Warnings and Precautions (5.1) and Adverse Reactions (6.1) ]. MALIGNANCY Lymphoma and other malignancies, some fatal, have been reported in children and adolescent patients treated with TNF blockers including adalimumab products [see Warnings and Precautions (5.2) ]. Post-marketing cases of hepatosplenic T-cell lymphoma (HSTCL), a rare type of T-cell lymphoma, have been reported in patients treated with TNF blockers including adalimumab products. These cases have had a very aggressive disease course and have been fatal. The majority of reported TNF blocker cases have occurred in patients with Crohn's disease or ulcerative colitis and the majority were in adolescent and young adult males. Almost all these patients had received treatment with azathioprine or 6-mercaptopurine (6–MP) concomitantly with a TNF blocker at or prior to diagnosis. It is uncertain whether the occurrence of HSTCL is related to use of a TNF blocker or a TNF blocker in combination with these other immunosuppressants [see Warnings and Precautions (5.2) ] .

Adults

The recommended subcutaneous dosage of Adalimumab-fkjp for adult patients with Crohn’s disease (CD) is 160 mg initially on Day 1 (given in one day or split over two consecutive days), followed by 80 mg two weeks later (Day 15). Two weeks later (Day 29) begin a dosage of 40 mg every other week. Aminosalicylates and/or corticosteroids may be continued during treatment with Adalimumab-fkjp. Azathioprine, 6-mercaptopurine (6-MP) [see Warnings and Precautions (5.2)] or MTX may be continued during treatment with Adalimumab-fkjp if necessary.

Absorption

The average absolute bioavailability of adalimumab following a single 40 mg subcutaneous dose was 64%. The mean time to reach the maximum concentration was 5.5 days (131 ± 56 hours) and the maximum serum concentration was 4.7 ± 1.6 mcg/mL in healthy subjects following a single 40 mg subcutaneous administration of adalimumab.

Human Data

A prospective cohort pregnancy exposure registry conducted by OTIS/MotherToBaby in the U.S. and Canada between 2004 and 2016 compared the risk of major birth defects in live-born infants of 221 women (69 RA, 152 CD) treated with adalimumab during the first trimester and 106 women (74 RA, 32 CD) not treated with adalimumab.

The proportion of major birth defects among live-born infants in the adalimumab-treated and untreated cohorts was 10% (8.7% RA, 10.5% CD) and 7.5% (6.8% RA, 9.4% CD), respectively. The lack of pattern of major birth defects is reassuring and differences between exposure groups may have impacted the occurrence of birth defects. This study cannot reliably establish whether there is an association between adalimumab and major birth defects because of methodological limitations of the registry, including small sample size, the voluntary nature of the study, and the non-randomized design.

In an independent clinical study conducted in ten pregnant women with IBD treated with adalimumab, adalimumab concentrations were measured in maternal serum as well as in cord blood (n=10) and infant serum (n=8) on the day of birth. The last dose of adalimumab was given between 1 and 56 days prior to delivery. Adalimumab concentrations were 0.16-19.7 mcg/mL in cord blood, 4.28-17.7 mcg/mL in infant serum, and 0-16.1 mcg/mL in maternal serum. In all but one case, the cord blood concentration of adalimumab was higher than the maternal serum concentration, suggesting adalimumab actively crosses the placenta. In addition, one infant had serum concentrations at each of the following: 6 weeks (1.94 mcg/mL), 7 weeks (1.31 mcg/mL), 8 weeks (0.93 mcg/mL), and 11 weeks (0.53 mcg/mL), suggesting adalimumab can be detected in the serum of infants exposed in utero for at least 3 months from birth.

Infections

In the controlled portions of the 39 global adalimumab clinical trials in adult patients with RA, PsA, AS, CD, UC, Ps, HS, UV, the rate of serious infections was 4.3 per 100 patient years in 7973 adalimumab treated patients versus a rate of 2.9 per 100 patient years in 4848 control-treated patients. Serious infections observed included pneumonia, septic arthritis, prosthetic and post-surgical infections, erysipelas, cellulitis, diverticulitis, and pyelonephritis [see Warnings and Precautions (5.1)].

Monitoring

Closely monitor patients for the development of signs and symptoms of infection during and after treatment with Adalimumab-fkjp, including the development of tuberculosis in patients who tested negative for latent tuberculosis infection prior to initiating therapy. Tests for latent tuberculosis infection may also be falsely negative while on therapy with Adalimumab-fkjp.

Discontinue Adalimumab-fkjp if a patient develops a serious infection or sepsis. For a patient who develops a new infection during treatment with Adalimumab-fkjp, closely monitor them, perform a prompt and complete diagnostic workup appropriate for an immunocompromised patient, and initiate appropriate antimicrobial therapy.

Pediatrics

The recommended subcutaneous dosage of Adalimumab-fkjp for pediatric patients 6 years of age and older with Crohn’s disease (CD) is based on body weight as shown below:

Pediatric Weight

Recommended Dosage

Days 1 through 15

Starting on Day 29

17 kg (37 lbs) to

less than 40 kg (88 lbs)

Day 1: 80 mg

Day 15: 40 mg

20 mg every other week

40 kg (88 lbs) and greater

Day 1: 160 mg (single dose or split

over two consecutive days)

Day 15: 80 mg

40 mg every other week

 

1.9 Uveitis

Adalimumab-fkjp is indicated for the treatment of non-infectious intermediate, posterior, and panuveitis in adult patients.

Animal Data

In an embryo-fetal perinatal development study, pregnant cynomolgus monkeys received adalimumab from gestation days 20 to 97 at doses that produced exposures up to 373 times that achieved with the MRHD without methotrexate (on an AUC basis with maternal IV doses up to 100 mg/kg/week). Adalimumab did not elicit harm to the fetuses or malformations.

Elimination

The single dose pharmacokinetics of adalimumab in RA patients were determined in several studies with intravenous doses ranging from 0.25 to 10 mg/kg. The systemic clearance of adalimumab is approximately 12 mL/hr. In long-term studies with dosing more than two years, there was no evidence of changes in clearance over time in RA patients.

Study Jia I

The safety and efficacy of adalimumab were assessed in a multicenter, randomized, withdrawal, double-blind, parallel-group study in 171 patients who were 4 to 17 years of age with polyarticular JIA. In the study, the patients were stratified into two groups: MTX-treated or non- MTX-treated. All patients had to show signs of active moderate or severe disease despite previous treatment with NSAIDs, analgesics, corticosteroids, or DMARDS. Patients who received prior treatment with any biologic DMARDS were excluded from the study.

The study included four phases: an open-label lead in phase (OL-LI; 16 weeks), a double-blind randomized withdrawal phase (DB; 32 weeks), an open-label extension phase (OLE-BSA; up to 136 weeks), and an open-label fixed dose phase (OLE-FD; 16 weeks). In the first three phases of the study, adalimumab was administered based on body surface area at a dose of 24 mg/m2 up to a maximum total body dose of 40 mg subcutaneously (SC) every other week. In the OLE-FD phase, the patients were treated with 20 mg of adalimumab SC every other week if their weight was less than 30 kg and with 40 mg of adalimumab SC every other week if their weight was 30 kg or greater. Patients remained on stable doses of NSAIDs and or prednisone (≤0.2 mg/kg/day or 10 mg/day maximum).

Patients demonstrating a Pediatric ACR 30 response at the end of OL-LI phase were randomized into the double blind (DB) phase of the study and received either adalimumab or placebo every other week for 32 weeks or until disease flare. Disease flare was defined as a worsening of ≥30% from baseline in ≥3 of 6 Pediatric ACR core criteria, ≥2 active joints, and improvement of >30% in no more than 1 of the 6 criteria. After 32 weeks or at the time of disease flare during the DB phase, patients were treated in the open-label extension phase based on the BSA regimen (OLE-BSA), before converting to a fixed dose regimen based on body weight (OLE-FD phase).

Distribution

The distribution volume (Vss) ranged from 4.7 to 6.0 L following intravenous administration of doses ranging from 0.25 to 10 mg/kg in RA patients.

Risk Summary

Available studies with use of adalimumab during pregnancy do not reliably establish an association between adalimumab and major birth defects. Clinical data are available from the Organization of Teratology Information Specialists (OTIS)/MotherToBaby Pregnancy Registry in pregnant women with rheumatoid arthritis (RA) or Crohn’s disease (CD) treated with adalimumab. Registry results showed a rate of 10% for major birth defects with first trimester use of adalimumab in pregnant women with RA or CD and a rate of 7.5% for major birth defects in the disease matched comparison cohort. The lack of pattern of major birth defects is reassuring and differences between exposure groups may have impacted the occurrence of birth defects (see Data).

Adalimumab is actively transferred across the placenta during the third trimester of pregnancy and may affect immune response in the in-utero exposed infant (see Clinical Considerations). In an embryo-fetal perinatal development study conducted in cynomolgus monkeys, no fetal harm or malformations were observed with intravenous administration of adalimumab during organogenesis and later in gestation, at doses that produced exposures up to approximately 373 times the maximum recommended human dose (MRHD) of 40 mg subcutaneous without methotrexate (see Data).

The estimated background risk of major birth defects and miscarriage for the indicated populations is unknown. All pregnancies have a background risk of birth defect, loss, or other adverse outcomes. In the U.S. general population, the estimated background risk of major birth defects and miscarriage in clinically recognized pregnancies is 2-4% and 15-20%, respectively.

Study Jia Ii

Adalimumab was assessed in an open-label, multicenter study in 32 patients who were 2 to <4 years of age or 4 years of age and older weighing <15 kg with moderately to severely active polyarticular JIA. Most patients (97%) received at least 24 weeks of adalimumab treatment dosed 24 mg/m2 up to a maximum of 20 mg every other week as a single SC injection up to a maximum of 120 weeks duration. During the study, most patients used concomitant MTX, with fewer reporting use of corticosteroids or NSAIDs. The primary objective of the study was evaluation of safety [see Adverse Reactions (6.1)].

Tuberculosis

Cases of reactivation of tuberculosis and new onset tuberculosis infections have been reported in patients receiving adalimumab products, including patients who have previously received treatment for latent or active tuberculosis. Reports included cases of pulmonary and extrapulmonary (i.e., disseminated) tuberculosis. Evaluate patients for tuberculosis risk factors and test for latent infection prior to initiating Adalimumab-fkjp and periodically during therapy.

Treatment of latent tuberculosis infection prior to therapy with TNF blocking agents has been shown to reduce the risk of tuberculosis reactivation during therapy. Prior to initiating Adalimumab-fkjp, assess if treatment for latent tuberculosis is needed; and consider an induration of ≥ 5 mm a positive tuberculin skin test result, even for patients previously vaccinated with Bacille Calmette- Guerin (BCG).

Consider anti-tuberculosis therapy prior to initiation of Adalimumab-fkjp in patients with a past history of latent or active tuberculosis in whom an adequate course of treatment cannot be confirmed, and for patients with a negative test for latent tuberculosis but having risk factors for tuberculosis infection. Despite prophylactic treatment for tuberculosis, cases of reactivated tuberculosis have occurred in patients treated with adalimumab products. Consultation with a physician with expertise in the treatment of tuberculosis is recommended to aid in the decision whether initiating anti-tuberculosis therapy is appropriate for an individual patient.

Strongly consider tuberculosis in the differential diagnosis in patients who develop a new infection during Adalimumab-fkjp treatment, especially in patients who have previously or recently traveled to countries with a high prevalence of tuberculosis, or who have had close contact with a person with active tuberculosis.

10 Overdosage

Doses up to 10 mg/kg have been administered to patients in clinical trials without evidence of dose-limiting toxicities. In case of overdosage, it is recommended that the patient be monitored for any signs or symptoms of adverse reactions or effects and appropriate symptomatic treatment instituted immediately.

15 References
  • 1.
    National Cancer Institute. Surveillance, Epidemiology, and End Results Database (SEER) Program. SEER Incidence Crude Rates, 17 Registries, 2000-2007.
Adult Uveitis

Adalimumab mean steady concentration was approximately 8 to 10 mcg/mL during adalimumab 40 mg every other week treatment

11 Description

Adalimumab-fkjp is a tumor necrosis factor blocker. Adalimumab-fkjp is a recombinant human IgG1 monoclonal antibody. Adalimumab-fkjp is produced by recombinant DNA technology in a mammalian cell expression system (Chinese Hamster Ovary Cells) and is purified by a process that includes specific viral inactivation and removal steps. It consists of 1330 amino acids and has a molecular weight of approximately 148 kilodaltons.

Adalimumab-fkjp injection is supplied as a sterile, preservative-free solution for subcutaneous administration. The drug product is supplied as either a single-dose, prefilled pen (Adalimumab-fkjp Pen) or as a single-dose, 1 mL prefilled plastic syringe. Enclosed within the pen is a single- dose, 1 mL prefilled plastic syringe. The solution of Adalimumab-fkjp is clear to slightly opalescent, colorless to pale brownish-yellow, with a pH of about 5.2.

Each 40 mg/0.8 mL prefilled syringe or prefilled pen delivers 0.8 mL (40 mg) of drug product. Each 0.8 mL of Adalimumab-fkjp contains adalimumab-fkjp (40 mg), methionine (0.60 mg), monosodium glutamate (1.50 mg), polysorbate 80 (0.80 mg), sorbitol (38.2 mg) and Water for Injection, USP. Hydrochloric acid is added as necessary to adjust pH.

Each 20 mg/0.4 mL prefilled syringe delivers 0.4 mL (20 mg) of drug product. Each 0.4 mL of Adalimumab-fkjp contains adalimumab-fkjp (20 mg), methionine (0.30 mg), monosodium glutamate (0.75 mg), polysorbate 80 (0.40 mg), sorbitol (19.1 mg) and Water for Injection, USP. Hydrochloric acid is added as necessary to adjust pH.

Autoantibodies

In the rheumatoid arthritis controlled trials, 12% of patients treated with adalimumab and 7% of placebo-treated patients that had negative baseline ANA titers developed positive titers at week 24. Two patients out of 3046 treated with adalimumab developed clinical signs suggestive of new-onset lupus-like syndrome. The patients improved following discontinuation of therapy. No patients developed lupus nephritis or central nervous system symptoms. The impact of long-term treatment with adalimumab products on the development of autoimmune diseases is unknown.

5.2 Malignancies

Consider the risks and benefits of TNF-blocker treatment including Adalimumab-fkjp prior to initiating therapy in patients with a known malignancy other than a successfully treated non-melanoma skin cancer (NMSC) or when considering continuing a TNF blocker in patients who develop a malignancy.

5.9 Autoimmunity

Treatment with adalimumab products may result in the formation of autoantibodies and, rarely, in the development of a lupus-like syndrome. If a patient develops symptoms suggestive of a lupus-like syndrome following treatment with Adalimumab-fkjp, discontinue treatment [see Adverse Reactions (6.1)].

7.1 Methotrexate

Adalimumab has been studied in rheumatoid arthritis (RA) patients taking concomitant methotrexate (MTX). Although MTX reduced the apparent adalimumab clearance, the data do not suggest the need for dose adjustment of either Adalimumab-fkjp or MTX [see Clinical Pharmacology (12.3)].

Medication Guide

Adalimumab (ay”da lim´ue mab)-fkjp

injection, for subcutaneous use

Read the Medication Guide that comes with Adalimumab-fkjp before you start taking it and each time you get a refill. There may be new information. This Medication Guide does not take the place of talking with your healthcare provider about your medical condition or treatment.

What is the most important information I should know about Adalimumab-fkjp?

Adalimumab-fkjp is a medicine that affects your immune system. Adalimumab-fkjp can lower the ability of your immune system to fight infections. Serious infections have happened in people taking adalimumab products. These serious infections include tuberculosis (TB) and infections caused by viruses, fungi or bacteria that have spread throughout the body. Some people have died from these infections.

  • Your healthcare provider should test you for TB before starting Adalimumab-fkjp.
  • Your healthcare provider should check you closely for signs and symptoms of TB during treatment with Adalimumab-fkjp.

You should not start taking Adalimumab-fkjp if you have any kind of infection unless your healthcare provider says it is okay.

Before starting Adalimumab-fkjp, tell your healthcare provider if you:

  • think you have an infection or have symptoms of an infection such as:
  • o
    fever, sweats, or chills
  • o
    muscle aches
  • o
    cough
  • o
    shortness of breath
  • o
    blood in phlegm
  • o
    warm, red, or painful skin or sores on your body
  • o
    diarrhea or stomach pain
  • o
    burning when you urinate or urinate more often than normal
  • o
    feel very tired
  • o
    weight loss
  • are being treated for an infection
  • get a lot of infections or have infections that keep coming back
  • have diabetes
  • have TB, or have been in close contact with someone with TB
  • were born in, lived in, or traveled to countries where there is more risk for getting TB. Ask your healthcare provider if you are not sure.
  • live or have lived in certain parts of the country (such as the Ohio and Mississippi River valleys) where there is an increased risk for getting certain kinds of fungal infections (histoplasmosis, coccidioidomycosis, or blastomycosis). These infections may happen or become more severe if you use Adalimumab-fkjp. Ask your healthcare provider if you do not know if you have lived in an area where these infections are common.
  • have or have had hepatitis B
  • use the medicine ORENCIA (abatacept), KINERET (anakinra), RITUXAN (rituximab), IMURAN (azathioprine), or PURINETHOL (6–mercaptopurine, 6-MP).
  • are scheduled to have major surgery

After starting Adalimumab-fkjp, call your healthcare provider right away if you have an infection, or any sign of an infection.

Adalimumab-fkjp can make you more likely to get infections or make any infection that you may have worse.

Cancer

  • For children and adults taking Tumor Necrosis Factor (TNF)-blockers, including Adalimumab-fkjp, the chances of getting cancer may increase.
  • There have been cases of unusual cancers in children, teenagers, and young adults using TNF-blockers.
  • People with rheumatoid arthritis (RA), especially more serious RA, may have a higher chance for getting a kind of cancer called lymphoma.
  • If you use TNF blockers including Adalimumab-fkjp your chance of getting two types of skin cancer may increase (basal cell cancer and squamous cell cancer of the skin). These types of cancer are generally not life-threatening if treated. Tell your healthcare provider if you have a bump or open sore that does not heal.
  • Some people receiving TNF blockers including Adalimumab-fkjp developed a rare type of cancer called hepatosplenic T-cell lymphoma. This type of cancer often results in death. Most of these people were male teenagers or young men. Also, most people were being treated for Crohn’s disease or ulcerative colitis with another medicine called IMURAN (azathioprine) or PURINETHOL (6-mercaptopurine, 6–MP).

What is Adalimumab-fkjp?

Adalimumab-fkjp is a medicine called a Tumor Necrosis Factor (TNF) blocker. Adalimumab-fkjp is used:

  • To reduce the signs and symptoms of:
    • o
      moderate to severe RA in adults. Adalimumab-fkjp can be used alone, with methotrexate, or with certain other medicines.
    • o
      moderate to severe polyarticular juvenile idiopathic arthritis (JIA) in children 2 years and older. Adalimumab-fkjp can be used alone or with methotrexate.
    • o
      psoriatic arthritis (PsA) in adults. Adalimumab-fkjp can be used alone or with certain other medicines.
    • o
      ankylosing spondylitis (AS) in adults.
    • o
      moderate to severe hidradenitis suppurativa (HS) in adults.
  • To treat moderate to severe Crohn’s disease (CD) in adults and children 6 years of age and older.

  • To treat moderate to severe ulcerative colitis (UC) in adults. It is not known if adalimumab products are effective in people who stopped responding to or could not tolerate TNF-blocker medicines.

  • To treat moderate to severe chronic (lasting a long time) plaque psoriasis (Ps) in adults who have the condition in many areas of their body and who may benefit from taking injections or pills (systemic therapy) or phototherapy (treatment using ultraviolet light alone or with pills).

  • To treat non-infectious intermediate, posterior, and panuveitis in adults

What should I tell my healthcare provider before taking Adalimumab-fkjp?

Adalimumab-fkjp may not be right for you. Before starting Adalimumab-fkjp, tell your healthcare provider about all of your medical conditions, including if you:

  • have an infection. See “What is the most important information I should know about Adalimumab-fkjp?”
  • have or have had cancer.
  • have any numbness or tingling or have a disease that affects your nervous system such as multiple sclerosis or Guillain-Barré syndrome.
  • have or had heart failure.
  • have recently received or are scheduled to receive a vaccine. You may receive vaccines, except for live vaccines while using Adalimumab-fkjp. Children should be brought up to date with all vaccines before starting Adalimumab-fkjp.
  • are allergic to Adalimumab-fkjp or to any of its ingredients. See the end of this Medication Guide for a list of ingredients in Adalimumab-fkjp.
  • are pregnant or plan to become pregnant, breastfeeding or plan to breastfeed. You and your healthcare provider should decide if you should take Adalimumab-fkjp while you are pregnant or breastfeeding.
  • have a baby and you were using Adalimumab-fkjp during your pregnancy. Tell your baby’s healthcare provider before your baby receives any vaccines.

Tell your healthcare provider about all the medicines you take, including prescription and over-the-counter medicines, vitamins, and herbal supplements.

Especially tell your healthcare provider if you use:

  • ORENCIA (abatacept), KINERET (anakinra), REMICADE (infliximab), ENBREL (etanercept), CIMZIA (certolizumab pegol) or SIMPONI (golimumab), because you should not use Adalimumab-fkjp while you are also using one of these medicines.
  • RITUXAN (rituximab). Your healthcare provider may not want to give you Adalimumab-fkjp if you have received RITUXAN (rituximab) recently.
  • IMURAN (azathioprine) or PURINETHOL (6–mercaptopurine, 6-MP).

Keep a list of your medicines with you to show your healthcare provider and pharmacist each time you get a new medicine.

How should I take Adalimumab-fkjp?

  • Adalimumab-fkjp is given by an injection under the skin. Your healthcare provider will tell you how often to take an injection of Adalimumab-fkjp. This is based on your condition to be treated. Do not inject Adalimumab-fkjp more often than you were prescribed.
  • See the Instructions for Use inside the carton for complete instructions for the right way to prepare and inject Adalimumab-fkjp.
  • Make sure you have been shown how to inject Adalimumab-fkjp before you do it yourself. You can call your healthcare provider or 1-800-796-9526 if you have any questions about giving yourself an injection. Someone you know can also help you with your injection after they have been shown how to prepare and inject Adalimumab-fkjp.
  • Do not try to inject Adalimumab-fkjp yourself until you have been shown the right way to give the injections. If your healthcare provider decides that you or a caregiver may be able to give your injections of Adalimumab-fkjp at home, you should receive training on the right way to prepare and inject Adalimumab-fkjp.
  • Do not miss any doses of Adalimumab-fkjp unless your healthcare provider says it is okay. If you forget to take Adalimumab-fkjp, inject a dose as soon as you remember. Then, take your next dose at your regular scheduled time. This will put you back on schedule. In case you are not sure when to inject Adalimumab-fkjp, call your healthcare provider or pharmacist.
  • If you take more Adalimumab-fkjp than you were told to take, call your healthcare provider.

What are the possible side effects of Adalimumab-fkjp?

Adalimumab-fkjp can cause serious side effects, including:

See “What is the most important information I should know about Adalimumab-fkjp?”

  • Serious Infections.

    Your healthcare provider will examine you for TB and perform a test to see if you have TB. If your healthcare provider feels that you are at risk for TB, you may be treated with medicine for TB before you begin treatment with Adalimumab-fkjp and during treatment with Adalimumab-fkjp. Even if your TB test is negative your healthcare provider should carefully monitor you for TB infections while you are taking Adalimumab-fkjp. People who had a negative TB skin test before receiving adalimumab products have developed active TB. Tell your healthcare provider if you have any of the following symptoms while taking or after taking Adalimumab-fkjp:
  • o
    cough that does not go away
  • o
    low grade fever
  • o
    weight loss
  • o
    loss of body fat and muscle (wasting)
  • Hepatitis B infection in people who carry the virus in their blood.

    If you are a carrier of the hepatitis B virus (a virus that affects the liver), the virus can become active while you use Adalimumab-fkjp. Your healthcare provider should do blood tests before you start treatment, while you are using Adalimumab-fkjp, and for several months after you stop treatment with Adalimumab-fkjp. Tell your healthcare provider if you have any of the following symptoms of a possible hepatitis B infection:
  • o
    muscle aches
  • o
    feel very tired
  • o
    dark urine
  • o
    skin or eyes look yellow
  • o
    little or no appetite
  • o
    vomiting
  • o
    clay-colored bowel movements
  • o
    fever
  • o
    chills
  • o
    stomach discomfort
  • o
    skin rash
  • Allergic reactions. Allergic reactions can happen in people who use Adalimumab-fkjp. Call your healthcare provider or get medical help right away if you have any of these symptoms of a serious allergic reaction:
  • o
    hives
  • o
    trouble breathing
  • o
    swelling of your face, eyes, lips or mouth
  • Nervous system problems. Signs and symptoms of a nervous system problem include: numbness or tingling, problems with your vision, weakness in your arms or legs, and dizziness.
  • Blood problems. Your body may not make enough of the blood cells that help fight infections or help to stop bleeding. Symptoms include a fever that does not go away, bruising or bleeding very easily, or looking very pale.
  • New heart failure or worsening of heart failure you already have. Call your healthcare provider right away if you get new worsening symptoms of heart failure while taking Adalimumab-fkjp, including:
  • o
    shortness of breath
  • o
    sudden weight gain
  • o
    swelling of your ankles or feet
  • Immune reactions including a lupus-like syndrome. Symptoms include chest discomfort or pain that does not go away, shortness of breath, joint pain, or a rash on your cheeks or arms that gets worse in the sun. Symptoms may improve when you stop Adalimumab-fkjp.
  • Liver problems. Liver problems can happen in people who use TNF-blocker medicines.

    These problems can lead to liver failure and death. Call your healthcare provider right away if you have any of these symptoms:
  • o
    feel very tired
  • o
    poor appetite or vomiting
  • o
    skin or eyes look yellow
  • o
    pain on the right side of your stomach (abdomen)
  • Psoriasis. Some people using adalimumab products had new psoriasis or worsening of psoriasis they already had. Tell your healthcare provider if you develop red scaly patches or raised bumps that are filled with pus. Your healthcare provider may decide to stop your treatment with Adalimumab-fkjp.

Call your healthcare provider or get medical care right away if you develop any of the above symptoms. Your treatment with Adalimumab-fkjp may be stopped.

The most common side effects of Adalimumab-fkjp include:

  • injection site reactions: redness, rash, swelling, itching, or bruising. These symptoms usually will go away within a few days. Call your healthcare provider right away if you have pain, redness or swelling around the injection site that does not go away within a few days or gets worse.
  • upper respiratory infections (including sinus infections).
  • headaches.
  • rash.

These are not all the possible side effects with Adalimumab-fkjp. Tell your healthcare provider if you have any side effect that bothers you or that does not go away. Ask your healthcare provider or pharmacist for more information.

Call your doctor for medical advice about side effects. You may report side effects to FDA at 1-800-FDA-1088.

How should I store Adalimumab-fkjp?

  • Store Adalimumab-fkjp in the refrigerator at 36ºF to 46ºF (2ºC to 8ºC). Store Adalimumab-fkjp in the original carton until use to protect it from light.
  • Do not freeze Adalimumab-fkjp. Do not use Adalimumab-fkjp if frozen, even if it has been thawed.
  • Refrigerated Adalimumab-fkjp may be used until the expiration date printed on the Adalimumab-fkjp carton, dose tray, Pen or prefilled syringe. Do not use Adalimumab-fkjp after the expiration date.
  • If needed, for example when you are traveling, you may also store Adalimumab-fkjp at room temperature up to 77°F (25°C) for up to 14 days. Store Adalimumab-fkjp in the original carton until use to protect it from light.
  • Throw away Adalimumab-fkjp if it has been kept at room temperature and not been used within 14 days.
  • Record the date you first remove Adalimumab-fkjp from the refrigerator in the spaces provided on the carton and dose tray.
  • Do not store Adalimumab-fkjp in extreme heat or cold.
  • Do not use a Pen or prefilled syringe if the liquid is cloudy, discolored, or has flakes or particles in it.

Keep Adalimumab-fkjp, injection supplies, and all other medicines out of the reach of children.

General information about the safe and effective use of Adalimumab-fkjp.

Medicines are sometimes prescribed for purposes other than those listed in a Medication

Guide. Do not use Adalimumab-fkjp for a condition for which it was not prescribed. Do not give

Adalimumab-fkjp to other people, even if they have the same condition. It may harm them.

This Medication Guide summarizes the most important information about Adalimumab-fkjp. If you

would like more information, talk with your healthcare provider. You can ask your pharmacist or healthcare provider for information about Adalimumab-fkjp that is written for health professionals.

What are the ingredients in Adalimumab-fkjp?

Active ingredient: adalimumab-fkjp

Adalimumab-fkjp Pen 40 mg/0.8 mL, Adalimumab-fkjp 40 mg/0.8 mL prefilled syringe, Adalimumab-fkjp 20 mg/0.4 mL prefilled syringe.

Inactive ingredients: methionine, monosodium glutamate, polysorbate 80, sorbitol and Water for Injection. Hydrochloric acid is added as necessary to adjust pH.

Manufactured by: Biocon Biologics Inc, 245 Main St, 2nd Floor, Cambridge, MA 02142, U.S.A.

U.S. License Number 2324

Product of Japan

For more information, call Biocon Biologics at 1-833-986-1468 or you can enroll in a patient support program by calling 1-833-44-HULIO (1-833-444-8546).

This Medication Guide has been approved by the U.S. Food and Drug Administration.          Revised: 02/2025

Plaque Psoriasis

Adalimumab mean steady-state trough concentration was approximately 5 to 6 mcg/mL during adalimumab 40 mg every other week treatment.

5.8 Heart Failure

Cases of worsening congestive heart failure (CHF) and new onset CHF have been reported with TNF blockers. Cases of worsening CHF have also been observed with adalimumab products. Adalimumab products have not been formally studied in patients with CHF; however, in clinical trials of another TNF blocker, a higher rate of serious CHF-related adverse reactions was observed. Exercise caution when using Adalimumab-fkjp in patients who have heart failure and monitor them carefully.

7.3 Live Vaccines

Avoid the use of live vaccines with Adalimumab-fkjp [see Warnings and Precautions (5.10)].

8.4 Pediatric Use

The safety and effectiveness of Adalimumab-fkjp have been established for:

  • reducing signs and symptoms of moderately to severely active polyarticular JIA in pediatric patients 2 years of age and older.
  • the treatment of moderately to severely active Crohn’s disease in pediatric patients 6 years of age and older.

Pediatric assessments for Adalimumab-fkjp demonstrate that Adalimumab-fkjp is safe and effective for pediatric patients in indications for which Humira (adalimumab) is approved. However, Adalimumab-fkjp is not approved for such indications due to marketing exclusivity for Humira (adalimumab).

Due to their inhibition of TNFα, adalimumab products administered during pregnancy could affect immune response in the in utero-exposed newborn and infant. Data from eight infants exposed to adalimumab in utero suggest adalimumab crosses the placenta [see Use in Specific Populations (8.1)]. The clinical significance of elevated adalimumab concentrations in infants is unknown. The safety of administering live or live-attenuated vaccines in exposed infants is unknown. Risks and benefits should be considered prior to vaccinating (live or live-attenuated) exposed infants.

Post-marketing cases of lymphoma, including hepatosplenic T-cell lymphoma and other malignancies, some fatal, have been reported among children, adolescents, and young adults who received treatment with TNF-blockers including adalimumab products [see Warnings and Precautions (5.2)].

8.5 Geriatric Use

A total of 519 RA patients 65 years of age and older, including 107 patients 75 years of age and older, received adalimumab in clinical studies RA-I through IV. No overall difference in effectiveness was observed between these patients and younger patients. The frequency of serious infection and malignancy among adalimumab treated patients 65 years of age and older was higher than for those less than 65 years of age. Consider the benefits and risks of Adalimumab-fkjp in patients 65 years of age and older. In patients treated with Adalimumab-fkjp, closely monitor for the development of infection or malignancy [see Warnings and Precautions (5.1, 5.2)].

Clinical Response

The percent of adalimumab treated patients achieving ACR 20, 50 and 70 responses in Studies RA-II and III are shown in Table 3.

Table 3. ACR Responses in Studies RA-II and RA-III (Percent of Patients)

Study RA-II

Monotherapy

(26 weeks)

Study RA-III

Methotrexate Combination

(24 and 52 weeks)

Response

Placebo

Adalimumab

Adalimumab

Placebo/MTX

Adalimumab/MTX

40 mg every

40 mg weekly

40 mg every

other week

other week

N=110

N=113

N=103

N=200

N=207

ACR20

Month 6

19%

46%

p<0.01, adalimumab vs. placebo

53%

30%

63%

Month 12

NA

NA

NA

24%

59%

ACR50

Month 6

8%

22%

35%

10%

39%

Month 12

NA

NA

NA

10%

42%

ACR70

Month 6

2%

12%

18%

3%

21%

Month 12

NA

NA

NA

5%

23%

The results of Study RA-I were similar to Study RA-III; patients receiving adalimumab 40 mg every other week in Study RA-I also achieved ACR 20, 50 and 70 response rates of 65%, 52% and 24%, respectively, compared to placebo responses of 13%, 7% and 3% respectively, at 6 months (p<0.01).

The results of the components of the ACR response criteria for Studies RA-II and RA-III are shown in Table 4. ACR response rates and improvement in all components of ACR response were maintained to week 104. Over the 2 years in Study RA-III, 20% of adalimumab patients receiving 40 mg every other week achieved a major clinical response, defined as maintenance of an ACR 70 response over a 6-month period. ACR responses were maintained in similar proportions of patients for up to 5 years with continuous adalimumab treatment in the open-label portion of Study RA-III.

Table 4. Components of ACR Response in Studies RA-II and RA-III

Study RA-II

Study RA-III

Parameter (median)

Placebo

N=110

Adalimumab

40 mg adalimumab administered every other week

N=113

Placebo/MTX

N=200

Adalimumab * /MTX

N=207

Baseline

Wk

26

Baseline

Wk

26

Baseline

Wk

24

Baseline

Wk

24

Number of tender

joints (0-68)

35

26

31

16

p<0.001, adalimumab vs. placebo, based on mean change from baseline

26

15

24

8

Number of swollen

joints (0-66)

19

16

18

10

17

11

18

5

Physician global

assessment

Visual analogue scale; 0 = best, 10 = worst

7.0

6.1

6.6

3.7

6.3

3.5

6.5

2.0

Patient global

assessment

7.5

6.3

7.5

4.5

5.4

3.9

5.2

2.0

Pain

7.3

6.1

7.3

4.1

6.0

3.8

5.8

2.1

Disability index

(HAQ)

Disability Index of the Health Assessment Questionnaire; 0 = best, 3 = worst, measures the patient’s ability to perform the following: dress/groom, arise, eat, walk, reach, grip, maintain hygiene, and maintain daily activity

2.0

1.9

1.9

1.5

1.5

1.3

1.5

0.8

CRP (mg/dL)

3.9

4.3

4.6

1.8

1.0

0.9

1.0

0.4

The time course of ACR 20 response for Study RA-III is shown in Figure 1.

In Study RA-III, 85% of patients with ACR 20 responses at week 24 maintained the response at 52 weeks. The time course of ACR 20 response for Study RA-I and Study RA-II were similar.

Figure 1. Study RA-III ACR 20 Responses over 52 Weeks

In Study RA-IV, 53% of patients treated with adalimumab 40 mg every other week plus standard of care had an ACR 20 response at week 24 compared to 35% on placebo plus standard of care (p<0.001). No unique adverse reactions related to the combination of adalimumab and other DMARDs were observed.

In Study RA-V with MTX naïve patients with recent onset RA, the combination treatment with adalimumab plus MTX led to greater percentages of patients achieving ACR responses than either MTX monotherapy or adalimumab monotherapy at Week 52 and responses were sustained at Week 104 (see Table 5).

Table 5. ACR Response in Study RA-V (Percent of Patients)

Response

MTX

p<0.05, adalimumab/MTX vs. MTX for ACR 20

p<0.001, adalimumab/MTX vs. MTX for ACR 50 and 70, and Major Clinical Response

N=257

Adalimumab

p<0.001, adalimumab/MTX vs. adalimumab

N=274

Adalimumab/MTX

N=268

ACR20

               Week 52

               Week 104

63%

56%

54%

49%

73%

69%

ACR50

               Week 52

               Week 104

46%

43%

41%

37%

62%

59%

ACR70

               Week 52

               Week 104

27%

28%

26%

28%

46%

47%

Major Clinical Response

Major clinical response is defined as achieving an ACR70 response for a continuous six month period

28%

25%

49%

At Week 52, all individual components of the ACR response criteria for Study RA-V improved in the adalimumab/MTX group and improvements were maintained to Week 104.

5.10 Immunizations

In a placebo-controlled clinical trial of patients with RA, no difference was detected in anti-pneumococcal antibody response between adalimumab and placebo treatment groups when the pneumococcal polysaccharide vaccine and influenza vaccine were administered concurrently with adalimumab. Similar proportions of patients developed protective levels of anti-influenza antibodies between adalimumab and placebo treatment groups; however, titers in aggregate to influenza antigens were moderately lower in patients receiving adalimumab. The clinical significance of this is unknown. Patients on Adalimumab-fkjp may receive concurrent vaccinations, except for live vaccines. No data are available on the secondary transmission of infection by live vaccines in patients receiving adalimumab products.

It is recommended that pediatric patients, if possible, be brought up to date with all immunizations in agreement with current immunization guidelines prior to initiating Adalimumab-fkjp therapy. Patients on Adalimumab-fkjp may receive concurrent vaccinations, except for live vaccines.

The safety of administering live or live-attenuated vaccines in infants exposed to adalimumab products in utero is unknown. Risks and benefits should be considered prior to vaccinating (live or live attenuated) exposed infants [see Use in Specific Populations (8.1 , 8.4)].

6.2 Immunogenicity

The observed incidence of anti-drug antibodies is highly dependent on the sensitivity and specificity of the assay. Differences in assay methods preclude meaningful comparisons of the incidence of anti-drug antibodies in the studies described below with the incidence of anti-drug antibodies in other studies, including those of adalimumab or of other adalimumab products.

There are two assays that have been used to measure anti-adalimumab antibodies. With the ELISA, antibodies to adalimumab could be detected only when serum adalimumab concentrations were < 2 mcg/mL. The ECL assay can detect anti-adalimumab antibody titers independent of adalimumab concentrations in the serum samples. The incidence of anti-adalimumab antibody (AAA) development in patients treated with adalimumab are presented in Table 2.

Table 2: Anti-Adalimumab Antibody Development Determined by ELISA and ECL Assay in Patients Treated with Adalimumab
n: number of patients with anti-adalimumab antibody; NR: not reported; NA: Not applicable (not performed)

Indications

Study Duration

Anti-Adalimumab Antibody

Incidence by ELISA (n/N)

Anti-Adalimumab

Antibody

Incidence by ECL

Assay (n/N)

In all patients who received adalimumab

In patients with serum adalimumab concentrations < 2 mcg/mL

Rheumatoid Arthritis

In patients receiving concomitant methotrexate (MTX), the incidence of anti-adalimumab antibody was 1% compared to 12% with adalimumab monotherapy

6 to 12

months

5% (58/1062)

NR

NA

Juvenile

Idiopathic

Arthritis

(JIA)

4 to 17 years of age

In patients receiving concomitant MTX, the incidence of anti-adalimumab antibody was 6% compared to 26% with adalimumab monotherapy

48 weeks

16% (27/171)

NR

NA

2 to 4 years of age or ≥ 4 years of age and weighing < 15 kg

24 weeks

7% (1/15)

This patient received concomitant MTX

NR

NA

Psoriatic Arthritis

In patients receiving concomitant MTX, the incidence of antibody development was 7% compared to 1% in RA

48 weeks

Subjects enrolled after completing 2 previous studies of 24 weeks or 12 weeks of treatments.

13% (24/178)

NR

NA

Ankylosing Spondylitis

24 weeks

9% (16/185)

NR

NA

Adult Crohn’s Disease

56 weeks

3% (7/269)

8% (7/86)

NA

Pediatric Crohn’s Disease

52 weeks

3% (6/182)

10% (6/58)

NA

Adult Ulcerative Colitis

52 weeks

5% (19/360)

21% (19/92)

NA

Plaque Psoriasis

In plaque psoriasis patients who were on adalimumab monotherapy and subsequently withdrawn from the treatment, the rate of antibodies to adalimumab after retreatment was similar to the rate observed prior to withdrawal

Up to 52 weeks

One 12-week Phase 2 study and one 52-week Phase 3 study

8% (77/920)

21% (77/372)

NA

Hidradenitis Suppurativa

36 weeks

7% (30/461)

28% (58/207)

Among subjects in the 2 Phase 3 studies who stopped adalimumab treatment for up to 24 weeks and in whom adalimumab serum levels subsequently declined to <2 mcg/mL (approximately 22% of total subjects studied)

61% (272/445)

No apparent association between antibody development and safety was observed

Non-infectious Uveitis 52 weeks 5% (12/249) 21% (12/57) 40% (99/240)
No correlation of antibody development to safety or efficacy outcomes was observed


Rheumatoid Arthritis and Psoriatic Arthritis

Patients in Studies RA-I, RA-II, and RA-III were tested at multiple time points for antibodies to adalimumab using the ELISA during the 6- to 12- month period. No apparent correlation of antibody development to adverse reactions was observed. With monotherapy, patients receiving every other week dosing may develop antibodies more frequently than those receiving weekly dosing. In patients receiving the recommended dosage of 40 mg every other week as monotherapy, the ACR 20 response was lower among antibody-positive patients than among antibody-negative patients. The long-term immunogenicity of adalimumab products is unknown.

Geriatric Patients

A lower clearance with increasing age was observed in patients with RA aged 40 to >75 years.

Limitations of Use

The effectiveness of adalimumab products has not been established in patients who have lost response to or were intolerant to TNF blockers [see Clinical Studies (14.7 )].

Pediatric Patients

Juvenile Idiopathic Arthritis:

  • 4 years to 17 years of age: The adalimumab mean steady-state trough concentrations were 6.8 mcg/mL and 10.9 mcg/mL in patients weighing <30 kg receiving 20 mg adalimumab subcutaneously every other week as monotherapy or with concomitant MTX, respectively. The adalimumab mean steady-state trough concentrations were 6.6 mcg/mL and 8.1 mcg/mL in patients weighing ≥30 kg receiving 40 mg adalimumab subcutaneously every other week as monotherapy or with MTX concomitant treatment, respectively.
  • 2 years to <4 years of age or 4 years of age and older weighing <15 kg: The adalimumab mean steady-state trough adalimumab concentrations were 6.0 mcg/mL and 7.9 mcg/mL in patients receiving adalimumab subcutaneously every other week as monotherapy or with MTX concomitant treatment, respectively.

Pediatric Crohn's Disease: Adalimumab mean ± SD concentrations were 15.7±6.5 mcg/mL at Week 4 following 160 mg at Week 0 and 80 mg at Week 2, and 10.5±6.0 mcg/mL at Week 52 following 40 mg every other week dosing in patients weighing ≥ 40 kg. Adalimumab mean ± SD concentrations were 10.6±6.1 mcg/mL at Week 4 following dosing 80 mg at Week 0 and 40 mg at Week 2, and 6.9±3.6 mcg/mL at Week 52 following 20 mg every other week dosing in patients weighing < 40 kg.

14.11 Adult Uveitis

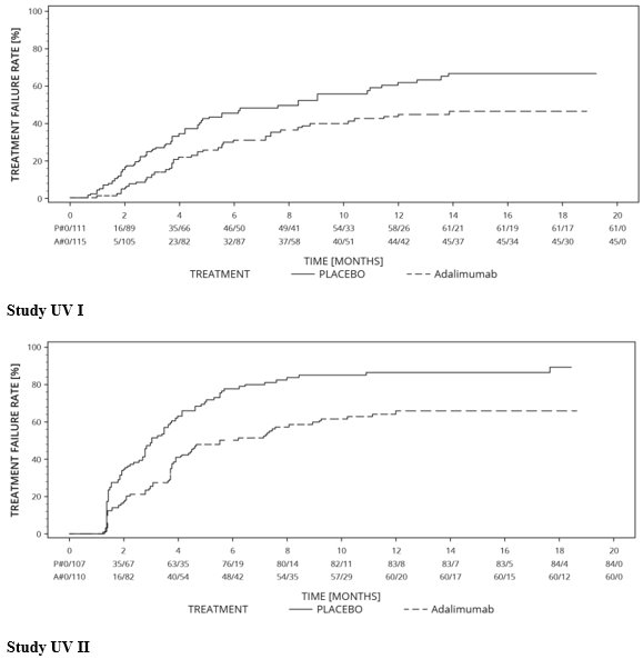
The safety and efficacy of adalimumab were assessed in adult patients with non-infectious intermediate, posterior and panuveitis excluding patients with isolated anterior uveitis, in two randomized, double-masked, placebo-controlled studies (UV I and II). Patients received placebo or adalimumab at an initial dose of 80 mg followed by 40 mg every other week starting one week after the initial dose. The primary efficacy endpoint in both studies was ´time to treatment failure´.

Treatment failure was a multi-component outcome defined as the development of new inflammatory chorioretinal and/or inflammatory retinal vascular lesions, an increase in anterior chamber (AC) cell grade or vitreous haze (VH) grade or a decrease in best corrected visual acuity (BCVA).

Study UV I evaluated 217 patients with active uveitis while being treated with corticosteroids (oral prednisone at a dose of 10 to 60 mg/day). All patients received a standardized dose of prednisone 60 mg/day at study entry followed by a mandatory taper schedule, with complete corticosteroid discontinuation by Week 15.

Study UV II evaluated 226 patients with inactive uveitis while being treated with corticosteroids (oral prednisone 10 to 35 mg/day) at baseline to control their disease. Patients subsequently underwent a mandatory taper schedule, with complete corticosteroid discontinuation by Week 19.

4 Contraindications

None.

6 Adverse Reactions

The following clinically significant adverse reactions are described elsewhere in the labeling:

7 Drug Interactions
  • Abatacept: Increased risk of serious infection. (5.1, 5.11, 7.2)
  • Anakinra: Increased risk of serious infection. (5.1, 5.7, 7.2)
  • Live vaccines: Avoid use with Adalimumab-fkjp. (5.10, 7.3)

  

*Biosimilar means that the biological product is approved based on data demonstrating that it is highly similar to an FDA-approved biological product, known as a reference product, and that there are no clinically meaningful differences between the biosimilar product and the reference product. Biosimilarity of ADALIMUMAB-FKJP has been demonstrated for the condition(s) of use (e.g. indication(s), dosing regimen(s)), strength(s), dosage form(s), and route(s) of administration described in its Full Prescribing Information.

Psoriatic Arthritis

In patients receiving 40 mg every other week, adalimumab mean steady-state trough concentrations were 6 to 10 mcg/mL and 8.5 to 12 mcg/mL, without and with MTX concomitant treatment, respectively.

1.7 Plaque Psoriasis

Adalimumab-fkjp is indicated for the treatment of adult patients with moderate to severe chronic plaque psoriasis who are candidates for systemic therapy or phototherapy, and when other systemic therapies are medically less appropriate. Adalimumab-fkjp should only be administered to patients who will be closely monitored and have regular follow-up visits with a physician [see Warnings and Precautions (5)].

Rheumatoid Arthritis

A trend toward higher apparent clearance of adalimumab in the presence of anti-adalimumab antibodies was identified.

1.5 Crohn’s Disease

Adalimumab-fkjp is indicated for the treatment of moderately to severely active Crohn’s disease in adults and pediatric patients 6 years of age and older.

12.2 Pharmacodynamics

After treatment with adalimumab, a decrease in concentrations of acute phase reactants of inflammation (C-reactive protein [CRP] and erythrocyte sedimentation rate [ESR]) and serum cytokines (IL-6) was observed compared to baseline in patients with rheumatoid arthritis. A decrease in CRP concentrations was also observed in patients with Crohn’s disease, ulcerative colitis and hidradenitis suppurativa. Serum concentrations of matrix metalloproteinases (MMP-1 and MMP-3) that produce tissue remodeling responsible for cartilage destruction were also decreased after adalimumab administration.

12.3 Pharmacokinetics

The pharmacokinetics of adalimumab were linear over the dose range of 0.5 to 10 mg/kg following administration of a single intravenous dose (adalimumab products are not approved for intravenous use). Following 20, 40, and 80 mg every other week and every week subcutaneous administration, adalimumab mean serum trough concentrations at steady state increased approximately proportionally with dose in RA patients. The mean terminal half-life was approximately 2 weeks, ranging from 10 to 20 days across studies. Healthy subjects and patients with RA displayed similar adalimumab pharmacokinetics.

Adalimumab exposure in patients treated with 80 mg every other week is estimated to be comparable with that in patients treated with 40 mg every week.

14.9 Plaque Psoriasis

The safety and efficacy of adalimumab were assessed in randomized, double-blind, placebo-controlled studies in 1696 adult subjects with moderate to severe chronic plaque psoriasis (Ps) who were candidates for systemic therapy or phototherapy.

Study Ps-I evaluated 1212 subjects with chronic Ps with ≥10% body surface area (BSA) involvement, Physician’s Global Assessment (PGA) of at least moderate disease severity, and Psoriasis Area and Severity Index (PASI) ≥12 within three treatment periods. In period A, subjects received placebo or adalimumab at an initial dose of 80 mg at Week 0 followed by a dose of 40 mg every other week starting at Week 1. After 16 weeks of therapy, subjects who achieved at least a PASI 75 response at Week 16, defined as a PASI score improvement of at least 75% relative to baseline, entered period B and received open-label 40 mg adalimumab every other week. After 17 weeks of open label therapy, subjects who maintained at least a PASI 75 response at Week 33 and were originally randomized to active therapy in period A were re-randomized in period C to receive 40 mg adalimumab every other week or placebo for an additional 19 weeks. Across all treatment groups the mean baseline PASI score was 19 and the baseline Physician’s Global Assessment score ranged from “moderate” (53%) to “severe” (41%) to “very severe” (6%).

Study Ps-II evaluated 99 subjects randomized to adalimumab and 48 subjects randomized to placebo with chronic plaque psoriasis with ≥10% BSA involvement and PASI ≥12. Subjects received placebo, or an initial dose of 80 mg adalimumab at Week 0 followed by 40 mg every other week starting at Week 1 for 16 weeks. Across all treatment groups the mean baseline PASI score was 21 and the baseline PGA score ranged from “moderate” (41%) to “severe” (51%) to “very severe” (8%).

Studies Ps-I and II evaluated the proportion of subjects who achieved “clear” or “minimal” disease on the 6-point PGA scale and the proportion of subjects who achieved a reduction in PASI score of at least 75% (PASI 75) from baseline at Week 16 (see Table 17 and 18).

Additionally, Study Ps-I evaluated the proportion of subjects who maintained a PGA of “clear” or “minimal” disease or a PASI 75 response after Week 33 and on or before Week 52.

Table 17. Efficacy Results at 16 Weeks in Study Ps-I Number of Subjects (%)
Minimal = possible but difficult to ascertain whether there is slight elevation of plaque above normal skin, plus or minus surface dryness with some white coloration, plus or minus up to red coloration

Adalimumab 40 mg every other week

Placebo

N = 814

N = 398

PGA: Clear or minimal

Clear = no plaque elevation, no scale, plus or minus hyperpigmentation or diffuse pink or red coloration

506 (62%)

17 (4%)

PASI 75

578 (71%)

26 (7%)

 

Table 18. Efficacy Results at 16 Weeks in Study Ps-II Number of Subjects (%)
Minimal = possible but difficult to ascertain whether there is slight elevation of plaque above normal skin, plus or minus surface dryness with some white coloration, plus or minus up to red coloration

Adalimumab 40 mg every other week

Placebo

N = 99

N = 48

PGA: Clear or minimal

Clear = no plaque elevation, no scale, plus or minus hyperpigmentation or diffuse pink or red coloration

70 (71%)

5 (10%)

PASI 75

77 (78%)

9 (19%)

Additionally, in Study Ps-I, subjects on adalimumab who maintained a PASI 75 were re-randomized to adalimumab (N = 250) or placebo (N = 240) at Week 33. After 52 weeks of treatment with adalimumab, more subjects on adalimumab maintained efficacy when compared to subjects who were re-randomized to placebo based on maintenance of PGA of “clear” or “minimal” disease (68% vs. 28%) or a PASI 75 (79% vs. 43%).

A total of 347 stable responders participated in a withdrawal and retreatment evaluation in an open-label extension study. Median time to relapse (decline to PGA “moderate” or worse) was approximately 5 months. During the withdrawal period, no subject experienced transformation to either pustular or erythrodermic psoriasis. A total of 178 subjects who relapsed re-initiated treatment with 80 mg of adalimumab, then 40 mg every other week beginning at week 1. At week 16, 69% (123/178) of subjects had a response of PGA “clear” or “minimal”.

A randomized, double-blind study (Study Ps-III) compared the efficacy and safety of adalimumab versus placebo in 217 adult subjects. Subjects in the study had to have chronic plaque psoriasis of at least moderate severity on the PGA scale, fingernail involvement of at least moderate severity on a 5-point Physician’s Global Assessment of Fingernail Psoriasis (PGA-F) scale, a Modified Nail Psoriasis Severity Index (mNAPSI) score for the target-fingernail of ≥ 8, and either a BSA involvement of at least 10% or a BSA involvement of at least 5% with a total mNAPSI score for all fingernails of ≥ 20. Subjects received an initial dose of 80 mg adalimumab followed by 40 mg every other week (starting one week after the initial dose) or placebo for 26 weeks followed by open-label adalimumab treatment for an additional 26 weeks. This study evaluated the proportion of subjects who achieved “clear” or “minimal” assessment with at least a 2-grade improvement on the PGA-F scale and the proportion of subjects who achieved at least a 75% improvement from baseline in the mNAPSI score (mNAPSI 75) at Week 26.

At Week 26, a higher proportion of subjects in the adalimumab group than in the placebo group achieved the PGA-F endpoint. Furthermore, a higher proportion of subjects in the adalimumab group than in the placebo group achieved mNAPSI 75 at Week 26 (see Table 19).

Table 19. Efficacy Results at 26 Weeks

Endpoint

Adalimumab 40 mg

every other week

Subjects received 80 mg of adalimumab at Week 0, followed by 40 mg every other week starting at Week 1.

N=109

Placebo

N=108

PGA-F: ≥2-grade improvement and

clear or minimal

49%

7%

mNAPSI 75

47%

3%

Nail pain was also evaluated and improvement in nail pain was observed in Study Ps-III.

Lymphoma and Leukemia

In the controlled portions of clinical trials of all the TNF-blockers in adults, more cases of lymphoma have been observed among TNF-blocker-treated patients compared to control-treated patients. In the controlled portions of 39 global adalimumab clinical trials in adult patients with RA, PsA, AS, CD, UC, Ps, HS and UV, 2 lymphomas occurred among 7973 adalimumab-treated patients versus 1 among 4848 control-treated patients. In 52 global controlled and uncontrolled clinical trials of adalimumab in adult patients with RA, PsA, AS, CD, UC, Ps, HS and UV with a median duration of approximately 0.7 years, including 24,605 patients and over 40,215 patient-years of adalimumab, the observed rate of lymphomas was approximately 0.11 per 100 patient-years. This is approximately 3-fold higher than expected in the general U.S. population according to the SEER database (adjusted for age, gender, and race).1 Rates of lymphoma in clinical trials of adalimumab cannot be compared to rates of lymphoma in clinical trials of other TNF blockers and may not predict the rates observed in a broader patient population. Patients with RA and other chronic inflammatory diseases, particularly those with highly active disease and/or chronic exposure to immunosuppressant therapies, may be at a higher risk (up to several fold) than the general population for the development of lymphoma, even in the absence of TNF blockers. Post-marketing cases of acute and chronic leukemia have been reported in association with TNF-blocker use in RA and other indications. Even in the absence of TNF-blocker therapy, patients with RA may be at a higher risk (approximately 2-fold) than the general population for the development of leukemia.

Radiographic Response

In Study RA-III, structural joint damage was assessed radiographically and expressed as change in Total Sharp Score (TSS) and its components, the erosion score and Joint Space Narrowing (JSN) score, at month 12 compared to baseline. At baseline, the median TSS was approximately 55 in the placebo and 40 mg every other week groups. The results are shown in Table 6. Adalimumab/MTX treated patients demonstrated less radiographic progression than patients receiving MTX alone at 52 weeks.

Table 6. Radiographic Mean Changes Over 12 Months in Study RA-III

Placebo/MTX

Adalimumab/MTX

40 mg every

other week

Placebo/MTX-Adalimumab/

MTX (95% Confidence

Interval

95% confidence intervals for the differences in change scores between MTX and adalimumab.
)

P-value

Based on rank analysis

Total Sharp score

2.7

0.1

2.6 (1.4, 3.8)

<0.001

Erosion score

1.6

0.0

1.6 (0.9, 2.2)

<0.001

JSN score

1.0

0.1

0.9 (0.3, 1.4)

0.002

In the open-label extension of Study RA-III, 77% of the original patients treated with any dose of adalimumab were evaluated radiographically at 2 years. Patients maintained inhibition of structural damage, as measured by the TSS. Fifty-four percent had no progression of structural damage as defined by a change in the TSS of zero or less. Fifty-five percent (55%) of patients originally treated with 40 mg adalimumab every other week have been evaluated radiographically at 5 years. Patients had continued inhibition of structural damage with 50% showing no progression of structural damage defined by a change in the TSS of zero or less.

In Study RA-V, structural joint damage was assessed as in Study RA-III. Greater inhibition of radiographic progression, as assessed by changes in TSS, erosion score and JSN was observed in the adalimumab/MTX combination group as compared to either the MTX or adalimumab monotherapy group at Week 52 as well as at Week 104 (see Table 7).

Table 7. Radiographic Mean Change
mean (95% confidence interval)
in Study RA-V

MTX

p<0.001, adalimumab/MTX vs. MTX at 52 and 104 weeks and for adalimumab/MTX vs. adalimumab at 104 weeks

N=257

Adalimumab

p<0.01, for adalimumab/MTX vs. adalimumab at 52 weeks

N=274

Adalimumab/MTX

N=268

52 Weeks

Total Sharp score

5.7 (4.2, 7.3)

3.0 (1.7, 4.3)

1.3 (0.5, 2.1)

Erosion score

3.7 (2.7, 4.8)

1.7 (1.0, 2.4)

0.8 (0.4, 1.2)

JSN score

2.0 (1.2, 2.8)

1.3 (0.5, 2.1)

0.5 (0.0, 1.0)

104 Weeks

Total Sharp score

10.4 (7.7, 13.2)

5.5 (3.6, 7.4)

1.9 (0.9, 2.9)

Erosion score

6.4 (4.6, 8.2)

3.0 (2.0, 4.0)

1.0 (0.4, 1.6)

JSN score

4.1 (2.7, 5.4)

2.6 (1.5, 3.7)

0.9 (0.3, 1.5)

 

1.6 Ulcerative Colitis

Adalimumab-fkjp is indicated for the treatment of moderately to severely active ulcerative colitis in adult patients.

5.1 Serious Infections

Patients treated with adalimumab products including Adalimumab-fkjp are at increased risk for developing serious infections involving various organ systems and sites that may lead to hospitalization or death. Opportunistic infections due to bacterial, mycobacterial, invasive fungal, viral, parasitic, or other opportunistic pathogens including aspergillosis, blastomycosis, candidiasis, coccidioidomycosis, histoplasmosis, legionellosis, listeriosis, pneumocystosis and tuberculosis have been reported with TNF blockers. Patients have frequently presented with disseminated rather than localized disease.

The concomitant use of a TNF blocker and abatacept or anakinra was associated with a higher risk of serious infections in patients with rheumatoid arthritis (RA); therefore, the concomitant use of Adalimumab-fkjp and these biologic products is not recommended in the treatment of patients with RA [see Warnings and Precautions (5.7, 5.11) and Drug Interactions (7.2)].

Treatment with Adalimumab-fkjp should not be initiated in patients with an active infection, including localized infections. Patients 65 years of age and older, patients with co-morbid conditions and/or patients taking concomitant immunosuppressants (such as corticosteroids or methotrexate), may be at greater risk of infection. Consider the risks and benefits of treatment prior to initiating therapy in patients:

  • with chronic or recurrent infection;
  • who have been exposed to tuberculosis;
  • with a history of an opportunistic infection;
  • who have resided or traveled in areas of endemic tuberculosis or endemic mycoses, such as histoplasmosis, coccidioidomycosis, or blastomycosis; or
  • with underlying conditions that may predispose them to infection.
Malignancies in Adults

In the controlled portions of clinical trials of some TNF-blockers, including adalimumab products, more cases of malignancies have been observed among TNF-blocker-treated adult patients compared to control-treated adult patients. During the controlled portions of 39 global adalimumab clinical trials in adult patients with rheumatoid arthritis (RA), psoriatic arthritis (PsA), ankylosing spondylitis (AS), Crohn’s disease (CD), ulcerative colitis (UC), plaque psoriasis (Ps), hidradenitis suppurativa (HS), uveitis (UV), malignancies, other than non-melanoma (basal cell and squamous cell) skin cancer, were observed at a rate (95% confidence interval) of 0.7 (0.48, 1.03) per 100 patient-years among 7973 adalimumab-treated patients versus a rate of 0.7 (0.41, 1.17) per 100 patient-years among 4848 control-treated patients (median duration of treatment of 4 months for adalimumab-treated patients and 4 months for control-treated patients). In 52 global controlled and uncontrolled clinical trials of adalimumab in adult patients with RA, PsA, AS, CD, UC, Ps, HS and UV the most frequently observed malignancies, other than lymphoma and NMSC, were breast, colon, prostate, lung, and melanoma. The malignancies in adalimumab-treated patients in the controlled and uncontrolled portions of the studies were similar in type and number to what would be expected in the general U.S. population according to the SEER database (adjusted for age, gender, and race).1

In controlled trials of other TNF blockers in adult patients at higher risk for malignancies (i.e., patients with COPD with a significant smoking history and cyclophosphamide-treated patients with Wegener’s granulomatosis), a greater portion of malignancies occurred in the TNF blocker group compared to the control group.

1 Indications and Usage

Adalimumab-fkjp is a tumor necrosis factor (TNF) blocker indicated for:

  • Rheumatoid Arthritis (RA) (1.1): reducing signs and symptoms, inducing major clinical response, inhibiting the progression of structural damage, and improving physical function in adult patients with moderately to severely active RA.

  • Juvenile Idiopathic Arthritis (JIA) (1.2): reducing signs and symptoms of moderately to severely active polyarticular JIA in patients 2 years of age and older.

  • Psoriatic Arthritis (PsA) (1.3): reducing signs and symptoms, inhibiting the progression of structural damage, and improving physical function in adult patients with active PsA.

  • Ankylosing Spondylitis (AS) (1.4): reducing signs and symptoms in adult patients with active AS.

  • Crohn’s Disease (CD) (1.5): treatment of moderately to severely active Crohn’s disease in adults and pediatric patients 6 years of age and older.

  • Ulcerative Colitis (UC) (1.6): treatment of moderately to severely active ulcerative colitis in adult patients.

  • Limitations of Use: Effectiveness has not been established in patients who have lost response to or were intolerant to TNF blockers.

  • Plaque Psoriasis (Ps) (1.7): treatment of adult patients with moderate to severe chronic plaque psoriasis who are candidates for systemic therapy or phototherapy, and when other systemic therapies are medically less appropriate.

  • Hidradenitis Suppurativa (HS) (1.8): treatment of moderate to severe hidradenitis suppurativa in adult patients.

  • Uveitis (UV) (1.9): treatment of non-infectious intermediate, posterior, and panuveitis in adult patients.

1.3 Psoriatic Arthritis

Adalimumab-fkjp is indicated for reducing signs and symptoms, inhibiting the progression of structural damage, and improving physical function in adult patients with active psoriatic arthritis. Adalimumab-fkjp can be used alone or in combination with non-biologic DMARDs.

7.2 Biological Products

In clinical studies in patients with RA, an increased risk of serious infections has been observed with the combination of TNF blockers with anakinra or abatacept, with no added benefit; therefore, use of Adalimumab-fkjp with abatacept or anakinra is not recommended in patients with RA [see Warnings and Precautions (5.7, 5.11)]. A higher rate of serious infections has also been observed in patients with RA treated with rituximab who received subsequent treatment with a TNF blocker. There is insufficient information regarding the concomitant use of Adalimumab-fkjp and other biologic products for the treatment of RA, PsA, AS, CD, UC, Ps, HS and UV. Concomitant administration of Adalimumab-fkjp with other biologic DMARDS (e.g., anakinra and abatacept) or other TNF blockers is not recommended based upon the possible increased risk for infections and other potential pharmacological interactions.

Adult Crohn’s Disease

Adalimumab mean trough concentrations were approximately 12 mcg/mL at Week 2 and Week 4 after receiving 160 mg on Week 0 followed by 80 mg on Week 2. Mean steady-state trough concentrations were 7 mcg/mL at Week 24 and Week 56 during adalimumab 40 mg every other week treatment.

Liver Enzyme Elevations

There have been reports of severe hepatic reactions including acute liver failure in patients receiving TNF-blockers. In controlled Phase 3 trials of adalimumab (40 mg SC every other week) in patients with RA, PsA, and AS with control period duration ranging from 4 to 104 weeks, ALT elevations ≥ 3 x ULN occurred in 3.5% of adalimumab-treated patients and 1.5% of control-treated patients. Since many of these patients in these trials were also taking medications that cause liver enzyme elevations (e.g., NSAIDS, MTX), the relationship between adalimumab and the liver enzyme elevations is not clear. In a controlled Phase 3 trial of adalimumab in patients with polyarticular JIA who were 4 to 17 years, ALT elevations ≥ 3 x ULN occurred in 4.4% of adalimumab-treated patients and 1.5% of control-treated patients (ALT more common than AST); liver enzyme test elevations were more frequent among those treated with the combination of adalimumab and MTX than those treated with adalimumab alone. In general, these elevations did not lead to discontinuation of adalimumab treatment. No ALT elevations ≥ 3 x ULN occurred in the open-label study of adalimumab in patients with polyarticular JIA who were 2 to < 4 years.

In controlled Phase 3 trials of adalimumab (initial doses of 160 mg and 80 mg, or 80 mg and 40 mg on Days 1 and 15, respectively, followed by 40 mg every other week) in adult patients with Crohn’s Disease with a control period duration ranging from 4 to 52 weeks, ALT elevations ≥ 3 x ULN occurred in 0.9% of adalimumab-treated patients and 0.9% of control-treated patients. In the Phase 3 trial of adalimumab in pediatric patients with Crohn’s disease which evaluated efficacy and safety of two body weight based maintenance dose regimens following body weight based induction therapy up to 52 weeks of treatment, ALT elevations ≥ 3 x ULN occurred in 2.6% (5/192) of patients, of whom 4 were receiving concomitant immunosuppressants at baseline; none of these patients discontinued due to abnormalities in ALT tests. In controlled Phase 3 trials of adalimumab (initial doses of 160 mg and 80 mg on Days 1 and 15 respectively, followed by 40 mg every other week) in adult patients with UC with control period duration ranging from 1 to 52 weeks, ALT elevations ≥3 x ULN occurred in 1.5% of adalimumab-treated patients and 1.0% of control-treated patients. In controlled Phase 3 trials of adalimumab (initial dose of 80 mg then 40 mg every other week) in patients with Ps with control period duration ranging from 12 to 24 weeks, ALT elevations ≥ 3 x ULN occurred in 1.8% of adalimumab-treated patients and 1.8% of control-treated patients. In controlled trials of adalimumab (initial doses of 160 mg at Week 0 and 80 mg at Week 2, followed by 40 mg every week starting at Week 4), in subjects with HS with a control period duration ranging from 12 to 16 weeks, ALT elevations ≥ 3 x ULN occurred in 0.3% of adalimumab-treated subjects and 0.6% of control-treated subjects. In controlled trials of adalimumab (initial doses of 80 mg at Week 0 followed by 40 mg every other week starting at Week 1) in adult patients with uveitis with an exposure of 165.4 PYs and 119.8 PYs in adalimumab-treated and control-treated patients, respectively, ALT elevations ≥ 3 x ULN occurred in 2.4% of adalimumab-treated patients and 2.4% of control-treated patients.

1.1 Rheumatoid Arthritis

Adalimumab-fkjp is indicated for reducing signs and symptoms, inducing major clinical response, inhibiting the progression of structural damage, and improving physical function in adult patients with moderately to severely active rheumatoid arthritis. Adalimumab-fkjp can be used alone or in combination with methotrexate or other non-biologic disease-modifying anti-rheumatic drugs (DMARDs).

12.1 Mechanism of Action

Adalimumab products bind specifically to TNF-alpha and block its interaction with the p55 and p75 cell surface TNF receptors. Adalimumab products also lyse surface TNF expressing cells in vitro in the presence of complement. Adalimumab products do not bind or inactivate lymphotoxin (TNF-beta). TNF is a naturally occurring cytokine that is involved in normal inflammatory and immune responses. Elevated concentrations of TNF are found in the synovial fluid of patients with RA, JIA, PsA, and AS and play an important role in both the pathologic inflammation and the joint destruction that are hallmarks of these diseases. Increased concentrations of TNF are also found in psoriasis plaques. In Ps, treatment with Adalimumab-fkjp may reduce the epidermal thickness and infiltration of inflammatory cells. The relationship between these pharmacodynamic activities and the mechanism(s) by which adalimumab products exert their clinical effects is unknown.

Adalimumab products also modulate biological responses that are induced or regulated by TNF, including changes in the concentrations of adhesion molecules responsible for leukocyte migration (ELAM-1, VCAM-1, and ICAM-1 with an IC50 of 1-2 X 10-10M).

14.3 Psoriatic Arthritis

The safety and efficacy of adalimumab was assessed in two randomized, double-blind, placebo controlled studies in 413 patients with psoriatic arthritis (PsA). Upon completion of both studies, 383 patients enrolled in an open-label extension study, in which 40 mg adalimumab was administered every other week.

Study PsA-I enrolled 313 adult patients with moderately to severely active PsA (>3 swollen and >3 tender joints) who had an inadequate response to NSAID therapy in one of the following forms: (1) distal interphalangeal (DIP) involvement (N=23); (2) polyarticular arthritis (absence of rheumatoid nodules and presence of plaque psoriasis) (N=210); (3) arthritis mutilans (N=1); (4) asymmetric PsA (N=77); or (5) AS-like (N=2). Patients on MTX therapy (158 of 313 patients) at enrollment (stable dose of ≤30 mg/week for >1 month) could continue MTX at the same dose. Doses of adalimumab 40 mg or placebo every other week were administered during the 24-week double-blind period of the study.

Compared to placebo, treatment with adalimumab resulted in improvements in the measures of disease activity (see Tables 8 and 9). Among patients with PsA who received adalimumab, the clinical responses were apparent in some patients at the time of the first visit (two weeks) and were maintained up to 88 weeks in the ongoing open-label study. Similar responses were seen in patients with each of the subtypes of psoriatic arthritis, although few patients were enrolled with the arthritis mutilans and ankylosing spondylitis-like subtypes. Responses were similar in patients who were or were not receiving concomitant MTX therapy at baseline.

Patients with psoriatic involvement of at least three percent body surface area (BSA) were evaluated for Psoriatic Area and Severity Index (PASI) responses. At 24 weeks, the proportions of patients achieving a 75% or 90% improvement in the PASI were 59% and 42% respectively, in the adalimumab group (N=69), compared to 1% and 0% respectively, in the placebo group (N=69) (p<0.001). PASI responses were apparent in some patients at the time of the first visit (two weeks). Responses were similar in patients who were or were not receiving concomitant MTX therapy at baseline.

Table 8. ACR Response in Study PsA-I (Percent of Patients)

Placebo

N=162

Adalimumab

p<0.001 for all comparisons between adalimumab and placebo

N=151

ACR20

               Week 12

               Week 24

14%

15%

58%

57%

ACR50

               Week 12

               Week 24

4%

6%

36%

39%

ACR70

               Week 12

               Week 24

1%

1%

20%

23%

  

Table 9. Components of Disease Activity in Study PsA-I

Placebo

N=162

Adalimumab

p<0.001 for adalimumab vs. placebo comparisons based on median changes

N=151

Parameter: median

Baseline

24 weeks

Baseline

24 weeks

Number of tender joints

Scale 0-78

23.0

17.0

20.0

5.0

Number of swollen joints

Scale 0-76

11.0

9.0

11.0

3.0

Physician global assessment

Visual analog scale; 0=best, 100=worst

53.0

49.0

55.0

16.0

Patient global assessment

49.5

49.0

48.0

20.0

Pain

49.0

49.0

54.0

20.0

Disability index (HAQ)

Disability Index of the Health Assessment Questionnaire; 0=best, 3=worst; measures the patient’s ability to perform the following: dress/groom, arise, eat, walk, reach, grip, maintain hygiene, and maintain daily activity.

1.0

0.9

1.0

0.4

CRP (mg/dL)

Normal range: 0-0.287 mg/dL

0.8

0.7

0.8

0.2

Similar results were seen in an additional, 12-week study in 100 patients with moderate to severe psoriatic arthritis who had suboptimal response to DMARD therapy as manifested by ≥3 tender joints and ≥3 swollen joints at enrollment.

5.5 Neurologic Reactions

Use of TNF blocking agents, including adalimumab products, has been associated with rare cases of new onset or exacerbation of clinical symptoms and/or radiographic evidence of central nervous system demyelinating disease, including multiple sclerosis (MS) and optic neuritis, and peripheral demyelinating disease, including Guillain-Barré syndrome. Exercise caution in considering the use of Adalimumab-fkjp in patients with preexisting or recent-onset central or peripheral nervous system demyelinating disorders; discontinuation of Adalimumab-fkjp should be considered if any of these disorders develop. There is a known association between intermediate uveitis and central demyelinating disorders.

Adult Ulcerative Colitis

Adalimumab mean trough concentrations were approximately 12 mcg/mL at Week 2 and Week 4 after receiving 160 mg on Week 0 followed by 80 mg on Week 2. Mean steady-state trough concentrations were approximately 8 mcg/mL and 15 mcg/mL at Week 52 after receiving a dose of adalimumab 40 mg every other week and 40 mg every week, respectively.

Drug Interaction Studies

Methotrexate: MTX reduced adalimumab apparent clearance after single and multiple dosing by 29% and 44% respectively, in patients with RA [see Drug Interactions (7.1)].

Hidradenitis Suppurativa

In subjects with moderate to severe HS, antibodies to adalimumab were associated with reduced serum adalimumab concentrations. In general, the extent of reduction in serum adalimumab concentrations is greater with increasing titers of antibodies to adalimumab.

Male and Female Patients

No gender-related pharmacokinetic differences were observed after correction for a patient’s body weight. Healthy subjects and patients with rheumatoid arthritis displayed similar adalimumab pharmacokinetics.

Non Melanoma Skin Cancer

During the controlled portions of 39 global adalimumab clinical trials in adult patients with RA, PsA, AS, CD, UC, Ps, HS and UV, the rate (95% confidence interval) of NMSC was 0.8 (0.52, 1.09) per 100 patient-years among adalimumab-treated patients and 0.2 (0.10, 0.59) per 100 patient-years among control-treated patients. Examine all patients, and in particular patients with a medical history of prior prolonged immunosuppressant therapy or psoriasis patients with a history of PUVA treatment for the presence of NMSC prior to and during treatment with Adalimumab-fkjp.

Uveitis Clinical Studies

Adalimumab has been studied in 464 adult patients with uveitis (UV) in placebo-controlled and open-label extension studies [see Clinical Studies (14.11)]. The safety profile for patients with UV treated with adalimumab was similar to the safety profile seen in patients with RA.

14.1 Rheumatoid Arthritis

The efficacy and safety of adalimumab were assessed in five randomized, double-blind studies in patients ≥18 years of age with active rheumatoid arthritis (RA) diagnosed according to American College of Rheumatology (ACR) criteria. Patients had at least 6 swollen and 9 tender joints. Adalimumab was administered subcutaneously in combination with methotrexate (MTX) (12.5 to 25 mg, Studies RA-I, RA-III and RA-V) or as monotherapy (Studies RA-II and RA-V) or with other disease-modifying anti-rheumatic drugs (DMARDs) (Study RA-IV).

Study RA-I evaluated 271 patients who had failed therapy with at least one but no more than four DMARDs and had inadequate response to MTX. Doses of 20, 40 or 80 mg of adalimumab or placebo were given every other week for 24 weeks.

Study RA-II evaluated 544 patients who had failed therapy with at least one DMARD. Doses of placebo, 20 or 40 mg of adalimumab were given as monotherapy every other week or weekly for 26 weeks.

Study RA-III evaluated 619 patients who had an inadequate response to MTX. Patients received placebo, 40 mg of adalimumab every other week with placebo injections on alternate weeks, or 20 mg of adalimumab weekly for up to 52 weeks. Study RA-III had an additional primary endpoint at 52 weeks of inhibition of disease progression (as detected by X-ray results). Upon completion of the first 52 weeks, 457 patients enrolled in an open-label extension phase in which 40 mg of adalimumab was administered every other week for up to 5 years.

Study RA-IV assessed safety in 636 patients who were either DMARD-naive or were permitted to remain on their pre-existing rheumatologic therapy provided that therapy was stable for a minimum of 28 days. Patients were randomized to 40 mg of adalimumab or placebo every other week for 24 weeks.

Study RA-V evaluated 799 patients with moderately to severely active RA of less than 3 years duration who were ≥18 years old and MTX naïve. Patients were randomized to receive either MTX (optimized to 20 mg/week by week 8), adalimumab 40 mg every other week or adalimumab/MTX combination therapy for 104 weeks. Patients were evaluated for signs and symptoms, and for radiographic progression of joint damage. The median disease duration among patients enrolled in the study was 5 months. The median MTX dose achieved was 20 mg.

1.4 Ankylosing Spondylitis

Adalimumab-fkjp is indicated for reducing signs and symptoms in adult patients with active ankylosing spondylitis.

5 Warnings and Precautions
  • Serious infections: Do not start Adalimumab-fkjp during an active infection. If an infection develops, monitor carefully, and stop Adalimumab-fkjp if infection becomes serious. (5.1)

  • Invasive fungal infections: For patients who develop a systemic illness on Adalimumab-fkjp, consider empiric antifungal therapy for those who reside or travel to regions where mycoses are endemic. (5.1)
  • Malignancies: Incidence of malignancies was greater in adalimumab-treated patients than in controls. (5.2)
  • Anaphylaxis or serious hypersensitivity reactions may occur. (5.3)
  • Hepatitis B virus reactivation: Monitor HBV carriers during and several months after therapy. If reactivation occurs, stop Adalimumab-fkjp and begin antiviral therapy. (5.4)
  • Demyelinating disease: Exacerbation or new onset, may occur. (5.5)
  • Cytopenias, pancytopenia: Advise patients to seek immediate medical attention if symptoms develop, and consider stopping Adalimumab-fkjp. (5.6)
  • Heart failure: Worsening or new onset, may occur. (5.8)
  • Lupus-like syndrome: Stop Adalimumab-fkjp if syndrome develops. (5.9)
Instructions for Use Pen

Adalimumab-fkjp

Pen injection

40 mg/0.8 mL

Single-Dose Pen

Important Information:

  • Do not try to inject adalimumab-fkjp injection yourself until you have been shown the right way to give the injections and have read and understand this Instructions for Use.

  • If your healthcare provider decides that you or a caregiver may be able to give your injections of adalimumab-fkjp injection at home, you should receive training on the right way to prepare and inject adalimumab-fkjp injection.

  • There will be a “click” during your injections. You should practice injecting adalimumab-fkjp injection with your healthcare provider so that you are not startled by this “click” when you start giving yourself injections at home.

  • It is important that you read, understand, and follow these instructions so that you inject adalimumab-fkjp injection the right way. It is also important to talk to your healthcare provider to be sure you understand your adalimumab-fkjp injection dosing instructions.

  • To help you remember when to inject adalimumab-fkjp injection, you can mark your calendar ahead of time.

  • Call your healthcare provider if you or your caregiver have any questions about the right way to inject adalimumab-fkjp injection.

  • Each Adalimumab-fkjp Pen can only be used one time. Throw the used Pen away (See How should I throw away (dispose of) the used Adalimumab-fkjp Pen) after one dose, even if there is still medicine left in it. Do not reuse your Adalimumab-fkjp Pen.

For Questions or Assistance, Call Biocon Biologics at 1-833-986-1468

The figure below shows what the Adalimumab-fkjp Pen looks like. See Figure A.

Step 1. Gather the Supplies for Your Injection

  • Take your Adalimumab-fkjp Pen out of the refrigerator 15 to 30 minutes before injecting to allow the liquid to reach room temperature.

    • Do not warm adalimumab-fkjp injection in any other way (for example, do not warm it in a microwave or in hot water)

    • Do not use adalimumab-fkjp injection if it has been frozen, even if it has been thawed.

    • Do not put the adalimumab-fkjp injection Pen back in the refrigerator after reaching room temperature.

  • Do not uncap your Adalimumab-fkjp Pen until you are ready to inject and will not be interrupted.

You will need the following supplies for each injection of adalimumab-fkjp injection.

  • 1 Adalimumab-fkjp Pen (See Figure A)

  • 1 alcohol swab

  • 1 cotton ball or gauze pad (not included in your adalimumab-fkjp injection carton)

  • Puncture-resistant sharps disposal container for Adalimumab-fkjp Pen disposal (not included in your adalimumab-fkjp injection carton). See the “How should I throw away (dispose of) the used Adalimumab-fkjp Pen?” section at the end of this Instructions for Use.

If you do not have all the supplies you need to give yourself an injection, go to a pharmacy or call your pharmacist.

Find a clean, flat surface to place the supplies on.

Step 2. Check the Carton, Dose Tray and Adalimumab-fkjp Pen

  • Make sure the name adalimumab-fkjp injection appears on the carton, dose tray, and Adalimumab-fkjp Pen label.

  • Check the seals on the top or bottom of the carton to make sure they are not broken or missing.

  • Check the expiration date on the carton, dose tray, and Adalimumab-fkjp Pen.

  • Do not use the Adalimumab-fkjp Pen and call your healthcare provider or pharmacist if:

    • you drop or crush your Adalimumab-fkjp Pen.

    • the seals on the top or bottom of the carton are broken or missing.

    • the expiration date on the carton, dose tray, and Pen has passed.

    • The Adalimumab-fkjp Pen has been frozen or left in direct sunlight.

    • Adalimumab-fkjp injection has been kept at room temperature for longer than 14 days or adalimumab-fkjp injection has been stored above 77°F (25°C).

    • the liquid in the Adalimumab-fkjp Pen is cloudy, discolored or has flakes or particles in it.

See the “How should I store adalimumab-fkjp injection?” section at the end of this Instructions for Use.

Check the fluid level in the Pen:

  • Hold the Pen with the protective clear cap covering the orange activator pointed down. (See Figure B).

  • Make sure the amount of liquid in the Pen is at the fill line or close to the fill line seen through the window. You may need to shake gently to see the liquid. This is the full dose of adalimumab-fkjp injection that you will inject. (See Figure B).

  • If the Pen does not have the full amount of liquid, do not use that Pen. Call your pharmacist.

  • Turn the Pen and hold with the protective clear cap covering the orange activator pointed sideways. (See Figure C).

  • Check the solution through the windows on the side of the Pen to make sure the liquid is clear and colorless to pale brownish-yellow.

  • Do not use your Adalimumab-fkjp Pen if the liquid is cloudy, discolored, or if it has flakes or particles in it. Call your pharmacist.

  • It is normal to see one or more bubbles in the window.

Step 3. Choose the Injection Site

  • Wash your hands with soap and water and dry well.

  • Choose an injection site on:

    • the front of your thighs or

    • your lower abdomen (belly). If you choose your abdomen, do not use the area 2 inches around your belly button (navel). (See Figure D).

  • Choose a different site (rotate) each time you give yourself an injection. Each new injection should be given at least 1 inch from a site you used before.

  • Do not inject adalimumab-fkjp injection into skin that is:

    • sore (tender)

    • bruised

    • red

    • hard

    • Scarred or where you have stretch marks

  • If you have psoriasis, do not inject directly into any raised, thick, red or scaly skin patches or lesions on your skin.

  • Do not inject through your clothes.

Step 4: Prepare the Injection Site

  • Wipe the injection site with an alcohol prep (swab) using a circular motion.

  • Do not touch this area again before giving the injection.

  • Allow the skin to dry before injecting. Do not fan or blow on the clean area.

Step 5. Prepare the Adalimumab-fkjp Pen

  • Do not remove the protective clear cap until right before your injection.

  • Hold the middle of the Pen (white body) with one hand so that you are not touching the protective clear cap. Turn the Pen so that the orange activator end is pointing down. See (Figure E).

  • With your other hand, pull the protective clear cap straight off (do not twist the cap). Make sure the small needle cover of the syringe has come off with the protective clear cap. (See Figure F).

  • Important: Do not put the protective clear cap back on. It may damage the needle.

  • Throw away the protective clear cap.

  • The orange activator which covers the needle is where the needle comes out. The needle can now be seen.

Caution:

  • Never put your thumb, fingers, or hand over the orange activator after the protective clear cap is removed.

  • Never press or push the orange activator with your thumb, fingers, or hand.

  • If accidental injection to your fingers or hands happens, apply first-aid and either call your healthcare provider or go to the nearest hospital emergency room if needed.

  • Do not touch the needle with your fingers or let the needle touch anything.

  • You may see a few drops of liquid come out of the needle. This is normal.

  • Turn the Pen so the white end is pointed up. (See Figure G).

  • Hold the Pen so that you can see the window. (See Figure H). It is normal to see one or more bubbles in the window.

Step 6. Position the Pen

  • Squeeze the area of the cleaned skin and hold it firmly until the injection is complete. (See Figure I). You will inject into this raised area of skin.

  • Place the orange activator end of the Pen straight (at a 90º angle) and flat against the raised area of your skin that you are squeezing.

  • Place the Pen so that it will not inject the needle into your fingers that are holding the raised skin. (See Figure J).

Step 7. Inject adalimumab-fkjp injection

  • It is important that you firmly push the Pen down all the way against the injection site to begin the injection. Try not to cover the window. (See Figure K).

  • Do not move, twist, or rotate the Pen during the injection.

  • Keep pushing down to prevent the Pen from moving away from the skin during the injection.

  • You will hear a loud ‘click’ when the orange activator is pressed down against the injection site. The loud click means the start of the injection.

  • Continue to push the Pen against your squeezed, raised skin until all the medicine is injected. This can take up to 10 seconds, so count slowly to ten. Keep pushing the Pen against the squeezed, raised skin of your injection site for the whole time so you get the full dose of medicine.

  • You will know that the injection has finished when:

    • A 2nd ‘Click’ was heard, and

    • Orange indicator has stopped moving and completely blocked the viewing window (See Figure L)

    • 10 seconds has passed.

  • Make sure all 3 of these have happened to make certain all the medicine was delivered. If the needle did not retract or you do not think you received the full dose, contact your healthcare provider for help

  • When the injection is finished, slowly pull the Pen from your skin. The white needle

    sleeve will move to cover the needle tip. (See Figure M).

  • Do not touch the needle. The white needle sleeve is there to prevent you from touching the needle.

  • If the needle did not retract or you do not think you received the full dose, contact your healthcare provider for help.

  • There may be a small amount of liquid on the injection site. This is normal.

  • Press a cotton ball or gauze pad over the injection site and hold it for 10 seconds. Do not rub the injection site. You may have slight bleeding. This is normal.

Step 8. Throw away (dispose of) your used Adalimumab-fkjp Pen in a sharps disposal container right away after use. See the section “How should I throw away (dispose of) the used Adalimumab-fkjp Pen?”

How should I throw away (dispose of) the used Adalimumab-fkjp Pen?

  • Put your Pen in an FDA-cleared sharps disposal container right away after use. (See Figure N). Do not throw away the Pen in your household trash.

  • Do not try to touch the needle. The orange needle sleeve is there to prevent you from touching the needle.

  • If you do not have a FDA-cleared sharps disposal container, you may use a household container that is:

    • made of a heavy-duty plastic,

    • Can be closed with a tight-fitting, puncture-resistant lid, without sharps being able to come out,

    • upright and stable during use,

    • leak-resistant, and properly labeled to warn of hazardous waste inside the container.

  • When your sharps disposal container is almost full, you will need to follow your community guidelines for the right way to dispose of your sharps disposal container. There may be state or local laws about how you should throw away used needles and syringes. For more information about safe sharps disposal, and for specific information about sharps disposal in the state that you live in, go to the FDA’s website at: http://www.fda.gov/safesharpsdisposal.

  • For the safety and health of you and others, never re-use your Adalimumab-fkjp Pens.

  • The used alcohol pads, cotton balls, dose trays and packaging may be placed in your household trash.

  • Do not dispose of your used sharps disposal container in your household trash unless your community guidelines permit this. Do not recycle your used sharps disposal container.

  • Always keep the sharps container out of the reach of children.

Keep a record of the dates and location of your injection sites. To help you remember when to take adalimumab-fkjp injection, you can mark your calendar ahead of time.

How should I Store adalimumab-fkjp injection?

  • Store adalimumab-fkjp injection in the refrigerator between 36ºF to 46ºF (2ºC to 8ºC).

  • Store adalimumab-fkjp injection in the original carton until use to protect it from light.

  • Do not freeze adalimumab-fkjp injection.

  • If needed, for example when you are traveling, you may also store adalimumab-fkjp injection at room temperature up to 77°F (25°C) for up to 14 days.

  • Throw away adalimumab-fkjp injection if it has been kept at room temperature and not been used within 14 days.

  • Do not store adalimumab-fkjp injection in extreme heat or cold, such as a hot car, or a freezing car overnight.

  • Keep adalimumab-fkjp injection, injection supplies, and all other medicines out of the reach of children.

Manufactured by and for:

Biocon Biologics Inc.

245 Main St, 2nd Floor,

Cambridge, MA 02142, U.S.A.

U.S. License No. 2324

Product of Japan

This Instructions for Use has been approved by the U.S. Food and Drug Administration.

Issued: 02/2025

Invasive Fungal Infections

If patients develop a serious systemic illness and they reside or travel in regions where mycoses are endemic, consider invasive fungal infection in the differential diagnosis. Antigen and antibody testing for histoplasmosis may be negative in some patients with active infection. Consider appropriate empiric antifungal therapy, taking into account both the risk for severe fungal infection and the risks of antifungal therapy, while a diagnostic workup is being performed. To aid in the management of such patients, consider consultation with a physician with expertise in the diagnosis and treatment of invasive fungal infections.

Physical Function Response

In studies RA-I through IV, adalimumab showed significantly greater improvement than placebo in the disability index of Health Assessment Questionnaire (HAQ-DI) from baseline to the end of study, and significantly greater improvement than placebo in the health-outcomes as assessed by The Short Form Health Survey (SF 36). Improvement was seen in both the Physical Component Summary (PCS) and the Mental Component Summary (MCS).

In Study RA-III, the mean (95% CI) improvement in HAQ-DI from baseline at week 52 was 0.60 (0.55, 0.65) for the adalimumab patients and 0.25 (0.17, 0.33) for placebo/MTX (p<0.001) patients. Sixty-three percent of adalimumab-treated patients achieved a 0.5 or greater improvement in HAQ-DI at week 52 in the double-blind portion of the study. Eighty-two percent of these patients maintained that improvement through week 104 and a similar proportion of patients maintained this response through week 260 (5 years) of open-label treatment. Mean improvement in the SF-36 was maintained through the end of measurement at week 156 (3 years).

In Study RA-V, the HAQ-DI and the physical component of the SF-36 showed greater improvement (p<0.001) for the adalimumab/MTX combination therapy group versus either the MTX monotherapy or the adalimumab monotherapy group at Week 52, which was maintained through Week 104.

14.4 Ankylosing Spondylitis

The safety and efficacy of adalimumab 40 mg every other week was assessed in 315 adult patients in a randomized, 24 week double-blind, placebo-controlled study in patients with active ankylosing spondylitis (AS) who had an inadequate response to glucocorticoids, NSAIDs, analgesics, methotrexate or sulfasalazine. Active AS was defined as patients who fulfilled at least two of the following three criteria: (1) a Bath AS disease activity index (BASDAI) score ≥4 cm, (2) a visual analog score (VAS) for total back pain ≥ 40 mm, and (3) morning stiffness ≥ 1 hour. The blinded period was followed by an open-label period during which patients received adalimumab 40 mg every other week subcutaneously for up to an additional 28 weeks.

Improvement in measures of disease activity was first observed at Week 2 and maintained through 24 weeks as shown in Figure 2 and Table 11.

Responses of patients with total spinal ankylosis (n=11) were similar to those without total ankylosis.

Figure 2. ASAS 20 Response By Visit, Study AS-I

At 12 weeks, the ASAS 20/50/70 responses were achieved by 58%, 38%, and 23%, respectively, of patients receiving adalimumab, compared to 21%, 10%, and 5% respectively, of patients receiving placebo (p <0.001). Similar responses were seen at Week 24 and were sustained in patients receiving open-label adalimumab for up to 52 weeks.

A greater proportion of patients treated with adalimumab (22%) achieved a low level of disease activity at 24 weeks (defined as a value <20 [on a scale of 0 to 100 mm] in each of the four ASAS response parameters) compared to patients treated with placebo (6%).

Table 11. Components of Ankylosing Spondylitis Disease Activity

Placebo

N=107

Adalimumab

N=208

Baseline

mean

Week 24

mean

Baseline

mean

Week 24

mean

ASAS 20 Response Criteria

statistically significant for comparisons between adalimumab and placebo at Week 24

Patient’s Global Assessment of Disease Activity

Percent of subjects with at least a 20% and 10-unit improvement measured on a Visual Analog Scale (VAS) with 0 = “none” and 100 = “severe”

65

60

63

38

Total back pain

67

58

65

37

Inflammation

mean of questions 5 and 6 of BASDAI (defined in ‘d’)

6.7

5.6

6.7

3.6

BASFI

Bath Ankylosing Spondylitis Functional Index

56

51

52

34

BASDAI

Bath Ankylosing Spondylitis Disease Activity Index
score

6.3

5.5

6.3

3.7

BASMI

Bath Ankylosing Spondylitis Metrology Index
score

4.2

4.1

3.8

3.3

Tragus to wall (cm)

15.9

15.8

15.8

15.4

Lumbar flexion (cm)

4.1

4.0

4.2

4.4

Cervical rotation (degrees)

42.2

42.1

48.4

51.6

Lumbar side flexion (cm)

8.9

9.0

9.7

11.7

Intermalleolar distance (cm)

92.9

94.0

93.5

100.8

CRP

C-Reactive Protein (mg/dL)

2.2

2.0

1.8

0.6

A second randomized, multicenter, double-blind, placebo-controlled study of 82 patients with ankylosing spondylitis showed similar results.

Patients treated with adalimumab achieved improvement from baseline in the Ankylosing Spondylitis Quality of Life Questionnaire (ASQoL) score (-3.6 vs. -1.1) and in the Short Form Health Survey (SF-36) Physical Component Summary (PCS) score (7.4 vs. 1.9) compared to placebo-treated patients at Week 24.

2 Dosage and Administration
  • Administer by subcutaneous injection (2)

Rheumatoid Arthritis, Psoriatic Arthritis, Ankylosing Spondylitis (2.1):

  • Adults: 40 mg every other week.
    • Some patients with RA not receiving methotrexate may benefit from increasing the dosage to 40 mg every week or 80 mg every other week.

Juvenile Idiopathic Arthritis (2.2):

Pediatric Weight

2 Years of Age and Older

Recommended Dosage

15 kg (33 lbs) to less than 30 kg (66 lbs)

20 mg every other week

30 kg (66 lbs) and greater

40 mg every other week

Crohn’s Disease (2.3):

  • Adults: 160 mg on Day 1 (given in one day or split over two consecutive days); 80 mg on Day 15; and 40 mg every other week starting on Day 29.
  • Pediatric Patients 6 Years of Age and Older:

Pediatric Weight

Recommended Dosage

Days 1 and 15

Starting on Day 29

17 kg (37 lbs)

to less than

40 kg (88 lbs)

Day 1: 80 mg

Day 15: 40 mg

20 mg every other week

40 kg (88 lbs)

and greater

Day 1: 160 mg (single dose or split over two consecutive days)

Day 15: 80 mg

40 mg every other week

Ulcerative Colitis (2.4):

  • Adults: 160 mg on Day 1 (given in one day or split over two consecutive days), 80 mg on Day 15 and 40 mg every other week starting on Day 29. Discontinue in patients without evidence of clinical remission by eight weeks (Day 57).

Plaque Psoriasis or Adult Uveitis (2.5):

  • Adults: 80 mg initial dose, followed by 40 mg every other week starting one week after initial dose.

Hidradenitis Suppurativa (2.6):

  • Adults:
    • o
      Day 1: 160 mg (given in one day or split over two consecutive days)
    • o
      Day 15: 80 mg
    • o
      Day 29 and subsequent doses: 40 mg every week or 80 mg every other week
5.6 Hematological Reactions

Rare reports of pancytopenia including aplastic anemia have been reported with TNF blocking agents. Adverse reactions of the hematologic system, including medically significant cytopenia (e.g., thrombocytopenia, leukopenia) have been infrequently reported with adalimumab products. The causal relationship of these reports to adalimumab products remains unclear. Advise all patients to seek immediate medical attention if they develop signs and symptoms suggestive of blood dyscrasias or infection (e.g., persistent fever, bruising, bleeding, pallor) while on Adalimumab-fkjp. Consider discontinuation of Adalimumab-fkjp therapy in patients with confirmed significant hematologic abnormalities.

Pediatric Crohn’s Disease

The safety and effectiveness of adalimumab products for the treatment of moderately to severely active Crohn’s disease have been established in pediatric patients 6 years of age and older. Use of adalimumab products for this indication is supported by evidence from adequate and well-controlled studies in adults with additional data from a randomized, double-blind, 52-week clinical study of two dose concentrations of adalimumab in 192 pediatric patients (6 years to 17 years of age) [see Adverse Reactions (6.1), Clinical Pharmacology (12.2, 12.3), Clinical Studies (14.6)]. The adverse reaction profile in patients 6 years to 17 years of age was similar to adults.

The safety and effectiveness of adalimumab products have not been established in pediatric patients with Crohn’s disease less than 6 years of age.

1.8 Hidradenitis Suppurativa

Adalimumab-fkjp is indicated for the treatment of moderate to severe hidradenitis suppurativa in adult patients.

14.5 Adult Crohn’s Disease

The safety and efficacy of multiple doses of adalimumab were assessed in adult patients with moderately to severely active Crohn’s disease, CD, (Crohn’s Disease Activity Index (CDAI) ≥ 220 and ≤ 450) in randomized, double-blind, placebo-controlled studies. Concomitant stable doses of aminosalicylates, corticosteroids, and/or immunomodulatory agents were permitted, and 79% of patients continued to receive at least one of these medications.

Induction of clinical remission (defined as CDAI < 150) was evaluated in two studies. In Study CD-I, 299 TNF-blocker naïve patients were randomized to one of four treatment groups: the placebo group received placebo at Weeks 0 and 2, the 160/80 group received 160 mg adalimumab at Week 0 and 80 mg at Week 2, the 80/40 group received 80 mg at Week 0 and 40 mg at Week 2, and the 40/20 group received 40 mg at Week 0 and 20 mg at Week 2. Clinical results were assessed at Week 4.

In the second induction study, Study CD-II, 325 patients who had lost response to, or were intolerant to, previous infliximab therapy were randomized to receive either 160 mg adalimumab at Week 0 and 80 mg at Week 2, or placebo at Weeks 0 and 2. Clinical results were assessed at Week 4.

Maintenance of clinical remission was evaluated in Study CD-III. In this study, 854 patients with active disease received open-label adalimumab, 80 mg at week 0 and 40 mg at Week 2. Patients were then randomized at Week 4 to 40 mg adalimumab every other week, 40 mg adalimumab every week, or placebo. The total study duration was 56 weeks. Patients in clinical response (decrease in CDAI ≥70) at Week 4 were stratified and analyzed separately from those not in clinical response at Week 4.

3 Dosage Forms and Strengths

Adalimumab-fkjp is a clear to slightly opalescent, colorless to pale brownish-yellow solution available as:

  • Pen (Adalimumab-fkjp Pen)

    Injection: 40 mg/0.8 mL in a single-dose pen.
  • Prefilled Syringe

    Injection: 40 mg/0.8 mL in a single-dose prefilled plastic syringe.

    Injection: 20 mg/0.4 mL in a single-dose prefilled plastic syringe.
6.3 Postmarketing Experience

The following adverse reactions have been identified during post-approval use of adalimumab products. Because these reactions are reported voluntarily from a population of uncertain size, it is not always possible to reliably estimate their frequency or establish a causal relationship to adalimumab products exposure.

Gastrointestinal disorders: Diverticulitis, large bowel perforations including perforations associated with diverticulitis and appendiceal perforations associated with appendicitis, pancreatitis

General disorders and administration site conditions: Pyrexia

Hepato-biliary disorders: Liver failure, hepatitis

Immune system disorders: Sarcoidosis

Neoplasms benign, malignant and unspecified (including cysts and polyps): Merkel Cell Carcinoma (neuroendocrine carcinoma of the skin)

Nervous system disorders: Demyelinating disorders (e.g., optic neuritis, Guillain-Barré syndrome), cerebrovascular accident

Respiratory disorders: Interstitial lung disease, including pulmonary fibrosis, pulmonary embolism

Skin reactions: Stevens Johnson Syndrome, cutaneous vasculitis, erythema multiforme, new or worsening psoriasis (all sub-types including pustular and palmoplantar), alopecia, lichenoid skin reaction

Vascular disorders: Systemic vasculitis, deep vein thrombosis

14.7 Adult Ulcerative Colitis

The safety and efficacy of adalimumab were assessed in adult patients with moderately to severely active ulcerative colitis (Mayo score 6 to 12 on a 12 point scale, with an endoscopy subscore of 2 to 3 on a scale of 0 to 3) despite concurrent or prior treatment with immunosuppressants such as corticosteroids, azathioprine, or 6-MP in two randomized, double-blind, placebo-controlled clinical studies (Studies UC-I and UC-II). Both studies enrolled TNF-blocker naïve patients, but Study UC-II also allowed entry of patients who lost response to or were intolerant to TNF-blockers. Forty percent (40%) of patients enrolled in Study UC-II had previously used another TNF-blocker.

Concomitant stable doses of aminosalicylates and immunosuppressants were permitted. In Studies UC-I and II, patients were receiving aminosalicylates (69%), corticosteroids (59%) and/or azathioprine or 6-MP (37%) at baseline. In both studies, 92% of patients received at least one of these medications.

Induction of clinical remission (defined as Mayo score ≤ 2 with no individual subscores > 1) at Week 8 was evaluated in both studies. Clinical remission at Week 52 and sustained clinical remission (defined as clinical remission at both Weeks 8 and 52) were evaluated in Study UC-II.

In Study UC-I, 390 TNF-blocker naïve patients were randomized to one of three treatment groups for the primary efficacy analysis. The placebo group received placebo at Weeks 0, 2, 4 and 6. The 160/80 group received 160 mg adalimumab at Week 0 and 80 mg at Week 2, and the 80/40 group received 80 mg adalimumab at Week 0 and 40 mg at Week 2. After Week 2, patients in both adalimumab treatment groups received 40 mg every other week.

In Study UC-II, 518 patients were randomized to receive either adalimumab 160 mg at Week 0, 80 mg at Week 2, and 40 mg every other week starting at Week 4 through Week 50, or placebo starting at Week 0 and every other week through Week 50. Corticosteroid taper was permitted starting at Week 8.

In both Studies UC-I and UC-II, a greater percentage of the patients treated with 160/80 mg of adalimumab compared to patients treated with placebo achieved induction of clinical remission. In Study UC-II, a greater percentage of the patients treated with 160/80 mg of adalimumab compared to patients treated with placebo achieved sustained clinical remission (clinical remission at both Weeks 8 and 52) (Table 15).

Table 15. Induction of Clinical Remission in Studies UC-I and UC-II and Sustained Clinical Remission in Study UC-II (Percent of Patients)
Clinical remission is defined as Mayo score ≤ 2 with no individual subscores > 1.

CI=Confidence interval

Study UC-I

Study UC-II

Placebo

N=130

Adalimumab

160/80

mg

N=130

Treatment

Difference

(95% CI)

Placebo

N=246

Adalimumab 160/80

mg

N=248

Treatment

Difference

(95% CI)

Induction of Clinical

Remission (Clinical

Remission at Week 8)

9.2%

18.5%

9.3%

(0.9%, 17.6%)

9.3%

16.5%

7.2%

p<0.05 for adalimumab vs. placebo pairwise comparison of proportions

(1.2%, 12.9%)

Sustained Clinical

Remission (Clinical

Remission at both Weeks 8 and 52)

N/A

N/A

N/A

4.1%

8.5%

4.4%

(0.1%, 8.6%)

In Study UC-I, there was no statistically significant difference in clinical remission observed between the adalimumab 80/40 mg group and the placebo group at Week 8.

In Study UC-II, 17.3% (43/248) in the adalimumab group were in clinical remission at Week 52 compared to 8.5% (21/246) in the placebo group (treatment difference: 8.8%; 95% confidence interval (CI): [2.8%, 14.5%]; p<0.05).

In the subgroup of patients in Study UC-II with prior TNF-blocker use, the treatment difference for induction of clinical remission appeared to be lower than that seen in the whole study population, and the treatment differences for sustained clinical remission and clinical remission at Week 52 appeared to be similar to those seen in the whole study population. The subgroup of patients with prior TNF-blocker use achieved induction of clinical remission at 9% (9/98) in the adalimumab group versus 7% (7/101) in the placebo group, and sustained clinical remission at 5% (5/98) in the adalimumab group versus 1% (1/101) in the placebo group. In the subgroup of patients with prior TNF-blocker use, 10% (10/98) were in clinical remission at Week 52 in the adalimumab group versus 3% (3/101) in the placebo group.

Juvenile Idiopathic Arthritis

In Study JIA-I, adalimumab was shown to reduce signs and symptoms of active polyarticular JIA in patients 4 to 17 years of age [see Clinical Studies (14.2)]. In Study JIA-II, the safety profile for patients 2 to <4 years of age was similar to the safety profile for patients 4 to 17 years of age with polyarticular JIA [see Adverse Reactions (6.1)]. Adalimumab products have not been studied in patients with polyarticular JIA less than 2 years of age or in patients with a weight below 10 kg.

The safety of adalimumab in patients in the polyarticular JIA trials was generally similar to that observed in adults with certain exceptions [see Adverse Reactions (6.1)].

The safety and effectiveness of adalimumab products have not been established in pediatric patients with JIA less than 2 years of age.

Study Jia I Clinical Response

At the end of the 16-week OL-LI phase, 94% of the patients in the MTX stratum and 74% of the patients in the non-MTX stratum were Pediatric ACR 30 responders. In the DB phase significantly fewer patients who received adalimumab experienced disease flare compared to placebo, both without MTX (43% vs. 71%) and with MTX (37% vs. 65%). More patients treated with adalimumab continued to show pediatric ACR 30/50/70 responses at Week 48 compared to patients treated with placebo. Pediatric ACR responses were maintained for up to two years in the OLE phase in patients who received adalimumab throughout the study.

14.10 Hidradenitis Suppurativa

Two randomized, double-blind, placebo-controlled studies (Studies HS-I and II) evaluated the safety and efficacy of adalimumab in a total of 633 adult subjects with moderate to severe hidradenitis suppurativa (HS) with Hurley Stage II or III disease and with at least 3 abscesses or inflammatory nodules. In both studies, subjects received placebo or adalimumab at an initial dose of 160 mg at Week 0, 80 mg at Week 2, and 40 mg every week starting at Week 4 and continued through Week 11. Subjects used topical antiseptic wash daily. Concomitant oral antibiotic use was allowed in Study HS-II.

Both studies evaluated Hidradenitis Suppurativa Clinical Response (HiSCR) at Week 12. HiSCR was defined as at least a 50% reduction in total abscess and inflammatory nodule count with no increase in abscess count and no increase in draining fistula count relative to baseline (see Table 18). Reduction in HS-related skin pain was assessed using a Numeric Rating Scale in patients who entered the study with an initial baseline score of 3 or greater on a 11 point scale.

In both studies, a higher proportion of adalimumab- than placebo-treated subjects achieved HiSCR (see Table 20).

Table 20. Efficacy Results at 12 Weeks in Subjects with Moderate to Severe Hidradenitis Suppurativa

HS Study I

HS Study II

19.3% of subjects in Study HS-II continued baseline oral antibiotic therapy during the study.

Placebo

Adalimumab

40 mg

Weekly

Placebo

Adalimumab

40 mg

Weekly

Hidradenitis Suppurativa Clinical Response (HiSCR)

N = 154

40 (26%)

N = 153

64 (42%)

N=163

45 (28%)

N=163

96 (59%)

In both studies, from Week 12 to Week 35 (Period B), subjects who had received adalimumab were re-randomized to 1 of 3 treatment groups (adalimumab 40 mg every week, adalimumab 40 mg every other week, or placebo). Subjects who had been randomized to placebo were assigned to receive adalimumab 40 mg every week (Study HS-I) or placebo (Study HS-II).

During Period B, flare of HS, defined as ≥25% increase from baseline in abscesses and inflammatory nodule counts and with a minimum of 2 additional lesions, was documented in 22 (22%) of the 100 subjects who were withdrawn from adalimumab treatment following the primary efficacy timepoint in two studies.

5.3 Hypersensitivity Reactions

Anaphylaxis and angioneurotic edema have been reported following administration of adalimumab products. If an anaphylactic or other serious allergic reaction occurs, immediately discontinue administration of Adalimumab-fkjp and institute appropriate therapy. In clinical trials of adalimumab, hypersensitivity reactions (e.g., rash, anaphylactoid reaction, fixed drug reaction, non-specified drug reaction, urticaria) have been observed.

6.1 Clinical Trials Experience

Because clinical trials are conducted under widely varying conditions, adverse reaction rates observed in the clinical trials of a drug cannot be directly compared to rates in the clinical trials of another drug and may not reflect the rates observed in practice.

The most common adverse reaction with adalimumab was injection site reactions. In placebo-controlled trials, 20% of patients treated with adalimumab developed injection site reactions (erythema and/or itching, hemorrhage, pain or swelling), compared to 14% of patients receiving placebo. Most injection site reactions were described as mild and generally did not necessitate drug discontinuation.

The proportion of patients who discontinued treatment due to adverse reactions during the double-blind, placebo-controlled portion of studies in patients with RA (i.e., Studies RA-I, RA-II, RA-III and RA-IV) was 7% for patients taking adalimumab and 4% for placebo-treated patients. The most common adverse reactions leading to discontinuation of adalimumab in these RA studies were clinical flare reaction (0.7%), rash (0.3%) and pneumonia (0.3%).

7.4 Cytochrome P450 Substrates

The formation of CYP450 enzymes may be suppressed by increased concentrations of cytokines (e.g., TNFα, IL-6) during chronic inflammation. It is possible for products that antagonize cytokine activity, such as adalimumab products, to influence the formation of CYP450 enzymes. Upon initiation or discontinuation of Adalimumab-fkjp in patients being treated with CYP450 substrates with a narrow therapeutic index, monitoring of the effect (e.g., warfarin) or drug concentration (e.g., cyclosporine or theophylline) is recommended and the individual dose of the drug product may be adjusted as needed.

Adult Hidradenitis Suppurativa

Adalimumab trough concentrations were approximately 7 to 8 mcg/mL at Week 2 and Week 4, respectively, after receiving 160 mg on Week 0 followed by 80 mg on Week 2. Mean steady-state trough concentrations at Week 12 through Week 36 were approximately 7 to 11 mcg/mL during adalimumab 40 mg every week treatment.

Instructions for Use Syringe

Adalimumab-fkjp

Injection

40 mg/0.8 mL and 20 mg/0.4 mL

Single-Dose Prefilled Syringe

Important Information:

  • Do not try to inject adalimumab-fkjp injection yourself until you have been shown the right way to give the injections and have read and understand this Instructions for Use.

  • If your healthcare provider decides that you or a caregiver may be able to give your injections of adalimumab-fkjp injection at home, you should receive training on the right way to prepare and inject adalimumab-fkjp injection.

  • It is important that you read, understand, and follow these instructions so that you inject adalimumab-fkjp injection the right way. It is also important to talk to your healthcare provider to be sure you understand your adalimumab-fkjp injection dosing instructions.

  • To help you remember when to inject adalimumab-fkjp injection, you can mark your calendar ahead of time.

  • Call your healthcare provider if you or your caregiver have any questions about the right way to inject adalimumab-fkjp injection.

  • Each adalimumab-fkjp Prefilled Syringe can only be used one time. Throw the used Prefilled Syringe away (See How should I throw away (dispose of) the used Prefilled Syringe?) after one dose, even if there is still medicine left in it. Do not reuse your adalimumab-fkjp Prefilled Syringe.

For Questions or Assistance, Call Biocon Biologics at 1-833-986-1468

The figure shows what a prefilled syringe looks like. See Figure A.

Step 1. Gather the Supplies for Your Injection

  • Take your adalimumab-fkjp prefilled syringe out of the refrigerator 15 to 30 minutes before injecting to allow the liquid to reach room temperature.

    • Do not warm adalimumab-fkjp injection in any other way (for example, do not warm it in a microwave or in hot water).

    • Do not use adalimumab-fkjp injection if it has been frozen, even if it has been thawed.

    • Do not put adalimumab-fkjp injection back in the refrigerator after reaching room temperature.

  • Do not uncap your Adalimumab-fkjp Prefilled Syringe until you are ready to inject and will not be interrupted.

You will need the following supplies for each injection of adalimumab-fkjp injection.

  • 1 Adalimumab-fkjp Prefilled Syringe (See Figure A)

  • 1 alcohol swab

  • 1 cotton ball or gauze pad (not included in your adalimumab-fkjp injection carton)

  • Puncture-resistant sharps disposal container for adalimumab-fkjp prefilled syringe disposal (not included in your adalimumab-fkjp injection carton). See “How should I throw away (dispose of) the used prefilled syringes and needles?” section at the end of this Instructions for Use.

If you do not have all the supplies you need to give yourself an injection, go to a pharmacy or call your pharmacist.

Find a clean, flat surface to place the supplies on.

Step 2. Check the carton, dose tray, and prefilled Syringe

  • Make sure the name Adalimumab-fkjp injection appears on the dose tray and prefilled syringe label.

  • Check the seals on the top or bottom of the carton to make sure they are not broken or missing.

  • Check the expiration date on the carton, dose tray, and Adalimumab-fkjp Prefilled Syringe.

  • Do not use the Adalimumab-fkjp Prefilled Syringe and call your healthcare provider or pharmacist if:

    • you drop or crush your Adalimumab-fkjp Prefilled Syringe.

    • the seals on the top or bottom of the carton are broken or missing.

    • the expiration date on the carton, dose tray, and Adalimumab-fkjp Prefilled Syringe have passed.

    • the prefilled syringe has been frozen or left in direct sunlight.

    • Adalimumab-fkjp injection has been kept at room temperature for longer than 14 days or adalimumab-fkjp injection has been stored above 77°F (25°C).

    • the liquid in the prefilled syringe is cloudy, discolored or has flakes or particles in it.

See the “How should I store adalimumab-fkjp injection?” section at the end of this Instructions for Use.

Check the fluid level in the syringe:

  • Hold the syringe with the covered needle pointing down. (See Figure B).

  • Hold the syringe at eye level. Look closely to make sure that the amount of liquid in the syringe is the same or close to the:

    • 0.8 mL line for the 40 mg prefilled syringe. (See Figure C).

    • 0.4 mL line for the 20 mg prefilled syringe. (See Figure C).

  • You may need to shake gently to see liquid.

  • The top of the liquid may be curved. If the syringe does not have the correct amount of liquid, do not use that syringe. Call your pharmacist.

Step 3. Choose the Injection Site

  • Wash your hands with soap and water and dry well.

  • Choose an injection site on:

    • the front of your thighs or

    • your lower abdomen (belly). If you choose your abdomen, do not use the area 2 inches around your belly button (navel). (See Figure D).

  • Choose a different site (rotate) each time you give yourself an injection. Each new injection should be given at least 1 inch from a site you used before.

  • Do not inject adalimumab-fkjp injection into skin that is:

    • sore (tender)

    • bruised

    • red

    • hard

    • scarred or where you have stretch marks

  • If you have psoriasis, do not inject directly into any raised, thick, red or scaly skin patches or lesions on your skin.

  • Do not inject through your clothes.

Step 4. Prepare the Injection Site

  • Wipe the injection site with an alcohol prep (swab) using a circular motion.

  • Do not touch this area again before giving the injection.

  • Allow the skin to dry before injecting. Do not fan or blow on the clean area.

Step 5. Prepare the Adalimumab-fkjp Prefilled Syringe and Needle

  • Do not remove the needle cover until right before your injection.

  • Hold the syringe in one hand. With the other hand gently remove the needle cover. (See Figure E).

  • Throw away the needle cover.

Important:

  • Do not touch the needle with your fingers or let the needle touch anything.

  • Do not replace the needle cover.

  • Do not remove air bubbles.

  • Do not use the syringe if dropped after removing the needle cover.

  • You may see a drop of liquid at the end of the needle. This is normal.

Step 6. Position the Syringe

  • Hold the body of the prefilled syringe in one hand between the thumb and index finger. Hold the syringe in your hand like a pencil. (See Figure F).

  • Do not pull back on the plunger at any time.

  • With your other hand, gently squeeze the area of the cleaned skin and hold it firmly. (See Figure G).

Step 7. Inject adalimumab-fkjp injection

  • Using a quick, dart-like motion, insert the needle into the squeezed skin at about a 45-degree angle. (See Figure H).

  • After the needle is in, let go of the skin.

  • Do not move, twist, or rotate the Syringe during the injection.

  • Slowly push the plunger all the way in until all the liquid is injected and the syringe is empty.

  • If the plunger is not pressed all the way down the Needle Safety Feature will not activate afterwards to cover the needle

  • Do not move, twist, or rotate the syringe during injection.

  • Pull the needle out of the skin while keeping the syringe at the same angle, then release your thumb from the plunger.

  • The needle will retract and the Needle Safety Feature will cover the needle. (See Figure I).

Caution: If the needle did not retract or you do not think you received the full dose, contact your healthcare provider for help.

  • Press a cotton ball or gauze pad over the injection site and hold it for 10 seconds. Do not rub the injection site. You may have slight bleeding. This is normal.

Step 8. Throw away (dispose of) your used Adalimumab-fkjp Prefilled Syringe and needle in a sharps disposal container right away after use. (See Figure J). “How should I throw away (dispose of) used prefilled syringes and needles?”

How should I throw away (dispose of) used prefilled syringes and needles?

  • Put your used needles and syringes in a FDA-cleared sharps disposal container right away after use. (See Figure J). Do not throw away (dispose of) loose needles and syringes in your household trash.

  • Do not try to touch the needle.

  • If you do not have a FDA-cleared sharps disposal container, you may use a household container that is:

    • made of a heavy-duty plastic,

    • can be closed with a tight-fitting, puncture-resistant lid, without sharps being able to come out,

    • upright and stable during use,

    • leak-resistant, and

    • properly labeled to warn of hazardous waste inside the container.

  • When your sharps disposal container is almost full, you will need to follow your community guidelines for the right way to dispose of your sharps disposal container. There may be state or local laws about how you should throw away used needles and syringes. For more information about safe sharps disposal, and for specific information about sharps disposal in the state that you live in, go to the FDA’s website at: http://www.fda.gov/safesharpsdisposal.

  • For the safety and health of you and others, needles and used syringes must never be reused.

  • The used alcohol pads, cotton balls, dose trays and packaging may be placed in your household trash.

  • Do not dispose of your used sharps disposal container in your household trash unless your community guidelines permit this. Do not recycle your used sharps disposal container.

  • Always keep the sharps container out of the reach of children.

Keep a record of the dates and location of your injection sites in the injection diary. To help you remember when to take adalimumab-fkjp injection, you can mark your calendar ahead of time.

Injection Diary

Date

Injection Site Used

 

 

 

 

 

How should I store adalimumab-fkjp injection?

  • Store adalimumab-fkjp injection in the refrigerator between 36ºF to 46ºF (2ºC to 8ºC).

  • Store adalimumab-fkjp injection in the original carton until use to protect it from light.

  • Do not freeze adalimumab-fkjp injection.

  • If needed, for example when you are traveling, you may also store adalimumab-fkjp injection at room temperature up to 77°F (25°C) for up to 14 days.

  • Throw away adalimumab-fkjp injection if it has been kept at room temperature and not been used within 14 days.

  • Do not store adalimumab-fkjp injection in extreme heat or cold such as a hot car, or a freezing car overnight.

  • Keep adalimumab-fkjp injection, injection supplies, and all other medicines out of the reach of children.

Manufactured by:

Biocon Biologics Inc.

245 Main St, 2nd Floor,

Cambridge, MA 02142, U.S.A.

U.S. License No. 2324

Product of Japan

Revised: 02/2025

This Instructions for Use has been approved by the U.S. Food and Drug Administration.

2.7 Monitoring to Assess Safety

Prior to initiating Adalimumab-fkjp and periodically during therapy, evaluate patients for active tuberculosis and test for latent infection [see Warnings and Precautions (5.1)].

Induction of Clinical Remission

A greater percentage of the patients treated with 160/80 mg adalimumab achieved induction of clinical remission versus placebo at Week 4 regardless of whether the patients were TNF blocker naïve (CD-I), or had lost response to or were intolerant to infliximab (CD-II) (see Table 12).

Table 12. Induction of Clinical Remission in Studies CD-I and CD-II (Percent of Patients)
Clinical remission is CDAI score < 150; clinical response is decrease in CDAI of at least 70 points.

CD-I

CD-II

Placebo

N=74

Adalimumab 160/80 mg

N=76

Placebo

N=166

Adalimumab 160/80 mg

N=159

Week 4

Clinical remission

12%

36%

p<0.001 for adalimumab vs. placebo pairwise comparison of proportions

7%

21%

Clinical response

34%

58%

p<0.01 for adalimumab vs. placebo pairwise comparison of proportions

34%

52%

 

14.6 Pediatric Crohn’s Disease

A randomized, double-blind, 52-week clinical study of 2 dose concentrations of adalimumab (Study PCD-I) was conducted in 192 pediatric patients (6 to 17 years of age) with moderately to severely active Crohn’s disease (defined as Pediatric Crohn’s Disease Activity Index (PCDAI) score > 30). Enrolled patients had over the previous two year period an inadequate response to corticosteroids or an immunomodulator (i.e., azathioprine, 6-mercaptopurine, or methotrexate). Patients who had previously received a TNF blocker were allowed to enroll if they had previously had loss of response or intolerance to that TNF blocker.

Patients received open-label induction therapy at a dose based on their body weight (≥40 kg and <40 kg). Patients weighing ≥40 kg received 160 mg (at Week 0) and 80 mg (at Week 2). Patients weighing <40 kg received 80 mg (at Week 0) and 40 mg (at Week 2). At Week 4, patients within each body weight category (≥40 kg and <40 kg) were randomized 1:1 to one of two maintenance dose regimens (high dose and low dose). The high dose was 40 mg every other week for patients weighing ≥40 kg and 20 mg every other week for patients weighing <40 kg. The low dose was 20 mg every other week for patients weighing ≥40 kg and 10 mg every other week for patients weighing <40 kg.

Concomitant stable dosages of corticosteroids (prednisone dosage ≤40 mg/day or equivalent) and immunomodulators (azathioprine, 6-mercaptopurine, or methotrexate) were permitted throughout the study.

At Week 12, patients who experienced a disease flare (increase in PCDAI of ≥ 15 from Week 4 and absolute PCDAI > 30) or who were non-responders (did not achieve a decrease in the PCDAI of ≥ 15 from baseline for 2 consecutive visits at least 2 weeks apart) were allowed to dose-escalate (i.e., switch from blinded every other week dosing to blinded every week dosing); patients who dose-escalated were considered treatment failures.

At baseline, 38% of patients were receiving corticosteroids, and 62% of patients were receiving an immunomodulator. Forty-four percent (44%) of patients had previously lost response or were intolerant to a TNF blocker. The median baseline PCDAI score was 40.

Of the 192 patients total, 188 patients completed the 4 week induction period, 152 patients completed 26 weeks of treatment, and 124 patients completed 52 weeks of treatment. Fifty-one percent (51%) (48/95) of patients in the low maintenance dose group dose-escalated, and 38% (35/93) of patients in the high maintenance dose group dose-escalated.

At Week 4, 28% (52/188) of patients were in clinical remission (defined as PCDAI ≤ 10).

The proportions of patients in clinical remission (defined as PCDAI ≤ 10) and clinical response (defined as reduction in PCDAI of at least 15 points from baseline) were assessed at Weeks 26 and 52.

At both Weeks 26 and 52, the proportion of patients in clinical remission and clinical response was numerically higher in the high dose group compared to the low dose group (Table 14). The recommended maintenance regimen is 20 mg every other week for patients weighing < 40 kg and 40 mg every other week for patients weighing ≥ 40 kg. Every week dosing is not the recommended maintenance dosing regimen [see Dosage and Administration (2.3)].

Table 14. Clinical Remission and Clinical Response in Study PCD-I

Low Maintenance Dose

The low maintenance dose was 20 mg every other week for patients weighing ≥ 40 kg and 10 mg every other week for patients weighing < 40 kg.

(20 or 10 mg every other week)

N = 95

High Maintenance Dose

The high maintenance dose was 40 mg every other week for patients weighing ≥ 40 kg and 20 mg every other week for patients weighing < 40 kg.

(40 or 20 mg every other week)

N = 93

Week 26

Clinical Remission

Clinical remission defined as PCDAI ≤ 10.

28%

39%

Clinical Response

Clinical response defined as reduction in PCDAI of at least 15 points from baseline.

48%

59%

Week 52

Clinical Remission

23%

33%

Clinical Response

28%

42%

 

Fetal/neonatal Adverse Reactions

Monoclonal antibodies are increasingly transported across the placenta as pregnancy progresses, with the largest amount transferred during the third trimester (see Data). Risks and benefits should be considered prior to administering live or live-attenuated vaccines to infants exposed to adalimumab products in utero [see Use in Specific Populations (8.4)].

1.2 Juvenile Idiopathic Arthritis

Adalimumab-fkjp is indicated for reducing signs and symptoms of moderately to severely active polyarticular juvenile idiopathic arthritis in patients 2 years of age and older. Adalimumab-fkjp can be used alone or in combination with methotrexate.

17 Patient Counseling Information

Advise the patient or caregiver to read the FDA-approved patient labeling (Medication Guide and Instructions for Use).

Infections

Inform patients that Adalimumab-fkjp may lower the ability of their immune system to fight infections. Instruct patients of the importance of contacting their healthcare provider if they develop any symptoms of infection, including tuberculosis, invasive fungal infections, and reactivation of hepatitis B virus infections [see Warnings and Precautions (5.1, 5.2, 5.4)].

Malignancies

Counsel patients about the risk of malignancies while receiving Adalimumab-fkjp [see Warnings and Precautions (5.2)].

Hypersensitivity Reactions

Advise patients to seek immediate medical attention if they experience any symptoms of severe hypersensitivity reactions.

Other Medical Conditions

Advise patients to report any signs of new or worsening medical conditions such as congestive heart failure, neurological disease, autoimmune disorders, or cytopenias. Advise patients to report any symptoms suggestive of a cytopenia such as bruising, bleeding, or persistent fever [see Warnings and Precautions (5.5, 5.6, 5.8, 5.9)].

Instructions on Injection Technique

Inform patients that the first injection is to be performed under the supervision of a qualified health care professional. If a patient or caregiver is to administer Adalimumab-fkjp, instruct them in injection techniques and assess their ability to inject subcutaneously to ensure the proper administration of Adalimumab-fkjp [see Instructions for Use].

For patients who will use the Adalimumab-fkjp Pen, tell them that they:

  • Will hear two "clicks" during the Adalimumab-fkjp injection. The first ‘click’ means the start of injection and second ‘click’ means the end of injection.
  • To start injection, push the Pen body down. Continue holding down after hearing the first ‘click’.
  • In the viewing window, the orange indicator will advance to show the progress of the injection.
  • When injection has finished, there will be a second ‘click’ and the ‘Orange Indicator’ will completely block the viewing window.

Instruct patients to dispose of their used needles and syringes or used Pen in an FDA-cleared sharps disposal container immediately after use. Instruct patients not to dispose of loose needles and syringes or Pen in their household trash. Instruct patients that if they do not have an FDA-cleared sharps disposal container, they may use a household container that is made of a heavy-duty plastic, can be closed with a tight-fitting and puncture-resistant lid without sharps being able to come out, upright and stable during use, leak-resistant, and properly labeled to warn of hazardous waste inside the container.

Instruct patients that when their sharps disposal container is almost full, they will need to follow their community guidelines for the correct way to dispose of their sharps disposal container. Instruct patients that there may be state or local laws regarding disposal of used needles and syringes. Refer patients to the FDA’s website at http://www.fda.gov/safesharpsdisposal for more information about safe sharps disposal, and for specific information about sharps disposal in the state that they live in.

Instruct patients not to dispose of their used sharps disposal container in their household trash unless their community guidelines permit this. Instruct patients not to recycle their used sharps disposal container.

2.2 Juvenile Idiopathic Arthritis

The recommended subcutaneous dosage of Adalimumab-fkjp for patients 2 years of age and older with polyarticular juvenile idiopathic arthritis (JIA) is based on weight as shown below. MTX, glucocorticoids, NSAIDs, and/or analgesics may be continued during treatment with Adalimumab-fkjp.

Pediatric Weight

(2 Years of Age and older)

Recommended Dosage

15 kg (33 lbs) to less than 30 kg (66 lbs)

20 mg every other week

30 kg (66 lbs) and greater

40 mg every other week

There is no dosage form for Adalimumab-fkjp that allows weight-based dosing for pediatric patients below 15 kg.

Adalimumab products have not been studied in patients with polyarticular JIA less than 2 years of age or in patients with a weight below 10 kg.

Maintenance of Clinical Remission

In Study CD-III at Week 4, 58% (499/854) of patients were in clinical response and were assessed in the primary analysis. At Weeks 26 and 56, greater proportions of patients who were in clinical response at Week 4 achieved clinical remission in the adalimumab 40 mg every other week maintenance group compared to patients in the placebo maintenance group (see Table 13). The group that received adalimumab therapy every week did not demonstrate significantly higher remission rates compared to the group that received adalimumab every other week.

Table 13. Maintenance of Clinical Remission in CD-III (Percent of Patients)
Clinical remission is CDAI score < 150; clinical response is decrease in CDAI of at least 70 points.

Placebo

40 mg Adalimumab

every other week

N=170

N=172

Week 26

Clinical remission

17%

40%

p<0.001 for adalimumab vs. placebo pairwise comparisons of proportions

Clinical response

28%

54%

Week 56

Clinical remission

12%

36%

Clinical response

18%

43%

Of those in response at Week 4 who attained remission during the study, patients in the adalimumab every other week group maintained remission for a longer time than patients in the placebo maintenance group. Among patients who were not in response by Week 12, therapy continued beyond 12 weeks did not result in significantly more responses.

Plaque Psoriasis Clinical Studies

Adalimumab has been studied in 1696 subjects with plaque psoriasis (Ps) in placebo-controlled and open-label extension studies [see Clinical Studies (14.9)]. The safety profile for subjects with Ps treated with adalimumab was similar to the safety profile seen in subjects with RA with the following exceptions. In the placebo-controlled portions of the clinical trials in Ps subjects, adalimumab-treated subjects had a higher incidence of arthralgia when compared to controls (3% vs. 1%).

14.2 Juvenile Idiopathic Arthritis

The safety and efficacy of adalimumab was assessed in two studies (JIA-I and JIA-II) in patients with active polyarticular juvenile idiopathic arthritis (JIA).

5.4 Hepatitis B Virus Reactivation

Use of TNF blockers, including Adalimumab-fkjp, may increase the risk of reactivation of hepatitis B virus (HBV) in patients who are chronic carriers of this virus. In some instances, HBV reactivation occurring in conjunction with TNF blocker therapy has been fatal. The majority of these reports have occurred in patients concomitantly receiving other medications that suppress the immune system, which may also contribute to HBV reactivation. Evaluate patients at risk for HBV infection for prior evidence of HBV infection before initiating TNF blocker therapy. Exercise caution in prescribing TNF blockers for patients identified as carriers of HBV. Adequate data are not available on the safety or efficacy of treating patients who are carriers of HBV with anti-viral therapy in conjunction with TNF blocker therapy to prevent HBV reactivation. For patients who are carriers of HBV and require treatment with TNF blockers, closely monitor such patients for clinical and laboratory signs of active HBV infection throughout therapy and for several months following termination of therapy. In patients who develop HBV reactivation, stop Adalimumab-fkjp and initiate effective anti-viral therapy with appropriate supportive treatment. The safety of resuming TNF blocker therapy after HBV reactivation is controlled is not known. Therefore, exercise caution when considering resumption of Adalimumab-fkjp therapy in this situation and monitor patients closely.

Ulcerative Colitis Clinical Studies

Adults: The safety profile of adalimumab in 1010 adult patients with ulcerative colitis (UC) from two placebo-controlled studies and one open-label extension study [see Clinical Studies (14.7)] was similar to the safety profile seen in patients with RA.

16 How Supplied/storage and Handling

Adalimumab-fkjp (adalimumab-fkjp) injection is supplied as a preservative-free, sterile, clear to slightly opalescent and colorless to pale brownish-yellow solution for subcutaneous administration. The following packaging configurations are available:

Adalimumab-fkjp Prefilled Syringe Carton - 20 mg/0.4 mL

  •  
    Adalimumab-fkjp is supplied in a carton containing two alcohol preps and two dose trays. Each dose tray consists of a single-dose, 1 mL pre-filled plastic syringe with a fixed 29 gauge thin wall, ½ inch needle, providing 20 mg/0.4 mL of Adalimumab-fkjp. The NDC number is 83257-020-42.

Adalimumab-fkjp Prefilled Syringe Carton - 40 mg/0.8 mL

  •  
    Adalimumab-fkjp is supplied in a carton containing two alcohol preps and two dose trays. Each dose tray consists of a single-dose, 1 mL pre-filled plastic syringe with a fixed 29 gauge thin wall, ½ inch needle, providing 40 mg/0.8 mL of Adalimumab-fkjp. The NDC number is 83257-021-42.

Adalimumab-fkjp Prefilled Pen Carton - 40 mg/0.8 mL

  •  
    Adalimumab-fkjp is supplied in a carton containing two alcohol preps and two dose trays. Each dose tray consists of a single-dose pen, containing a 1 mL prefilled plastic syringe with a fixed 29 gauge thin wall, ½ inch needle, providing 40 mg/0.8 mL of Adalimumab-fkjp. The NDC number is 83257-022-32.

Storage and Stability

Do not use beyond the expiration date on the container. Adalimumab-fkjp must be refrigerated at 36°F to 46°F (2°C to 8°C). DO NOT FREEZE. Do not use if frozen even if it has been thawed.

Store in original carton until time of administration to protect from light.

If needed, for example when traveling, Adalimumab-fkjp may be stored at room temperature up to a maximum of 77°F (25°C) for a period of up to 14 days, with protection from light. Adalimumab-fkjp should be discarded if not used within the 14-day period. Record the date when Adalimumab-fkjp is first removed from the refrigerator in the spaces provided on the carton and dose tray.

Do not store Adalimumab-fkjp in extreme heat or cold.

2.5 Plaque Psoriasis Or Adult Uveitis

The recommended subcutaneous dosage of Adalimumab-fkjp for adult patients with plaque psoriasis (Ps) or Uveitis (UV) is an initial dose of 80 mg, followed by 40 mg given every other week starting one week after the initial dose. The use of adalimumab products in moderate to severe chronic Ps beyond one year has not been evaluated in controlled clinical studies.

Rheumatoid Arthritis Clinical Studies

The data described below reflect exposure to adalimumab in 2468 patients, including 2073 exposed for 6 months, 1497 exposed for greater than one year and 1380 in adequate and well-controlled studies (Studies RA-I, RA-II, RA-III, and RA-IV). Adalimumab was studied primarily in placebo- controlled trials and in long-term follow up studies for up to 36 months duration. The population had a mean age of 54 years, 77% were female, 91% were Caucasian and had moderately to severely active rheumatoid arthritis. Most patients received 40 mg adalimumab every other week [see Clinical Studies (14.1)].

Table 1 summarizes reactions reported at a rate of at least 5% in patients treated with adalimumab 40 mg every other week compared to placebo and with an incidence higher than placebo. In Study RA-III, the types and frequencies of adverse reactions in the second year open-label extension were similar to those observed in the one-year double-blind portion.

Table 1. Adverse Reactions Reported by ≥5% of Patients Treated with Adalimumab During Placebo-Controlled Period of Pooled RA Studies (Studies RA-I, RA-II, RA-III, and RA-IV)

Adalimumab

40 mg subcutaneous

Every Other Week

Placebo

(N=705)

(N=690)

Adverse Reaction (Preferred Term)

Respiratory

Upper respiratory infection

17%

13%

Sinusitis

11%

9%

Flu syndrome

7%

6%

Gastrointestinal

Nausea

9%

8%

Abdominal pain

7%

4%

Laboratory Tests

Laboratory test abnormalities were reported as adverse reactions in European trials

Laboratory test abnormal

8%

7%

Hypercholesterolemia

6%

4%

Hyperlipidemia

7%

5%

Hematuria

5%

4%

Alkaline phosphatase increased

5%

3%

Other

Headache

12%

8%

Rash

12%

6%

Accidental injury

10%

8%

Injection site reaction

Does not include injection site erythema, itching, hemorrhage, pain or swelling

8%

1%

Back pain

6%

4%

Urinary tract infection

8%

5%

Hypertension

5%

3%

 

Pediatric Patients 6 Years to 17 Years

The safety profile of adalimumab in 192 pediatric patients from one double-blind study (Study PCD-I) and one open-label extension study [see Clinical Studies (14.6)] was similar to the safety profile seen in adult patients with Crohn’s disease.

During the 4-week open label induction phase of Study PCD-I, the most common adverse reactions occurring in the pediatric population treated with adalimumab were injection site pain and injection site reaction (6% and 5%, respectively).

A total of 67% of children experienced an infection while receiving adalimumab in Study PCD-I. These included upper respiratory tract infection and nasopharyngitis.

A total of 5% of children experienced a serious infection while receiving adalimumab in Study PCD-I. These included viral infection, device related sepsis (catheter), gastroenteritis, H1N1 influenza, and disseminated histoplasmosis.

In Study PCD-I, allergic reactions were observed in 5% of children which were all non-serious and were primarily localized reactions.

Rheumatoid Factor Or Crp Concentrations

Minor increases in apparent clearance were predicted in RA patients receiving doses lower than the recommended dose and in RA patients with high rheumatoid factor or CRP concentrations. These increases are not likely to be clinically important.

Hidradenitis Suppurativa Clinical Studies

Adalimumab has been studied in 727 subjects with hidradenitis suppurativa (HS) in three placebo-controlled studies and one open-label extension study [see Clinical Studies (14.10)]. The safety profile for subjects with HS treated with adalimumab weekly was consistent with the known safety profile of adalimumab.

Flare of HS, defined as ≥25% increase from baseline in abscesses and inflammatory nodule counts and with a minimum of 2 additional lesions, was documented in 22 (22%) of the 100 subjects who were withdrawn from adalimumab treatment following the primary efficacy timepoint in two studies.

Patients With Renal Or Hepatic Impairment

No pharmacokinetic data are available in patients with hepatic or renal impairment.

Tuberculosis and Opportunistic Infections

In 52 global controlled and uncontrolled clinical trials in RA, PsA, AS, CD, UC, Ps, HS and UV that included 24,605 adalimumab treated patients, the rate of reported active tuberculosis was 0.20 per 100 patient-years and the rate of positive PPD conversion was 0.09 per 100 patient-years. In a subgroup of 10,113 U.S. and Canadian adalimumab treated patients, the rate of reported active TB was 0.05 per 100 patient-years and the rate of positive PPD conversion was 0.07 per 100 patient-years. These trials included reports of miliary, lymphatic, peritoneal, and pulmonary TB. Most of the TB cases occurred within the first eight months after initiation of therapy and may reflect recrudescence of latent disease. In these global clinical trials, cases of serious opportunistic infections have been reported at an overall rate of 0.05 per 100 patient-years. Some cases of serious opportunistic infections and TB have been fatal [see Warnings and Precautions (5.1)].

Warning: Serious Infections and Malignancy

SERIOUS INFECTIONS

Patients treated with adalimumab products including Adalimumab-fkjp are at increased risk for developing serious infections that may lead to hospitalization or death [see Warnings and Precautions (5.1)]. Most patients who developed these infections were taking concomitant immunosuppressants such as methotrexate or corticosteroids.

Discontinue Adalimumab-fkjp if a patient develops a serious infection or sepsis.

Reported infections include:

  • Active tuberculosis (TB), including reactivation of latent TB. Patients with TB have frequently presented with disseminated or extrapulmonary disease. Test patients for latent TB before Adalimumab-fkjp use and during therapy. Initiate treatment for latent TB prior to Adalimumab-fkjp use.
  • Invasive fungal infections, including histoplasmosis, coccidioidomycosis, candidiasis, aspergillosis, blastomycosis, and pneumocystosis. Patients with histoplasmosis or other invasive fungal infections may present with disseminated, rather than localized, disease. Antigen and antibody testing for histoplasmosis may be negative in some patients with active infection. Consider empiric anti-fungal therapy in patients at risk for invasive fungal infections who develop severe systemic illness.
  • Bacterial, viral and other infections due to opportunistic pathogens, including Legionella and Listeria.

Carefully consider the risks and benefits of treatment with Adalimumab-fkjp prior to initiating therapy in patients with chronic or recurrent infection.

Monitor patients closely for the development of signs and symptoms of infection during and after treatment with Adalimumab-fkjp, including the possible development of TB in patients who tested negative for latent TB infection prior to initiating therapy [see Warnings and Precautions (5.1) and Adverse Reactions (6.1)].

MALIGNANCY

Lymphoma and other malignancies, some fatal, have been reported in children and adolescent patients treated with TNF blockers including adalimumab products [see Warnings and Precautions (5.2)]. Post-marketing cases of hepatosplenic T-cell lymphoma (HSTCL), a rare type of T-cell lymphoma, have been reported in patients treated with TNF blockers including adalimumab products. These cases have had a very aggressive disease course and have been fatal. The majority of reported TNF blocker cases have occurred in patients with Crohn's disease or ulcerative colitis and the majority were in adolescent and young adult males. Almost all these patients had received treatment with azathioprine or 6-mercaptopurine (6–MP) concomitantly with a TNF blocker at or prior to diagnosis. It is uncertain whether the occurrence of HSTCL is related to use of a TNF blocker or a TNF blocker in combination with these other immunosuppressants [see Warnings and Precautions (5.2)].

Principal Display Panel – 40 Mg/0.8 Ml Pen

NDC 83257-022-32

Adalimumab-fkjp injection

40 mg/0.8 mL

FOR SUBCUTANEOUS USE ONLY

ATTENTION PHARMACIST: Each patient is required to receive the enclosed Medication Guide.

The entire carton is to be dispensed as a unit.

Return to pharmacy if dose tray seal is broken or missing.

29 Gauge Needle

2 Single-Dose Prefilled Pens

  •  
    This carton contains:
  • 2 dose trays (each containing

    1 single-dose prefilled syringe

    with 29 gauge 1/2 inch length

    fixed needle)
  • 2 alcohol preps
  • 1 Quick Reference Guide
  • 1 Instructions for Use
  • 1 Medication Guide
  • 1 Prescribing Information

Rx only



Each 0.8 mL single-dose prefilled pen contains 40 mg of adalimumab-fkjp,

methionine (0.60 mg), monosodium glutamate (1.50 mg), polysorbate 80

(0.80 mg), sorbitol (38.2 mg) and Water for Injection, USP. Hydrochloric acid

is added as necessary to adjust pH.

Contains no preservatives.

Prefilled pen is for one time use only.

Dosage: See Prescribing Information.

Do not use beyond the expiration date.

Store in carton until time of administration

with protection from light.

Store in refrigerator at 36°F to 46°F (2°C to 8°C).

An adalimumab-fkjp prefilled Pen may be stored at room

temperature up to a maximum of 77°F (25°C)

for up to 14 days with protection from light.

DO NOT FREEZE.

Manufactured by:

Biocon Biologics Inc.

245 Main St, 2nd Floor

Cambridge,MA 02142, U.S.A .

U.S. License No. 2324

Product of Japan

2.8 General Considerations for Administration

Adalimumab-fkjp is intended for use under the guidance and supervision of a physician. A patient may self-inject Adalimumab-fkjp or a caregiver may inject Adalimumab-fkjp using either the Adalimumab-fkjp Pen or prefilled syringe if a physician determines that it is appropriate, and with medical follow-up, as necessary, after proper training in subcutaneous injection technique.

Adalimumab-fkjp can be taken out of the refrigerator for 15 to 30 minutes before injecting to allow the liquid to come to room temperature. Do not remove the cap or cover while allowing it to reach room temperature. Carefully inspect the solution in the Adalimumab-fkjp Pen or prefilled syringe for particulate matter and discoloration prior to subcutaneous administration. If particulates and discolorations are noted, do not use the product. Adalimumab-fkjp does not contain preservatives; therefore, discard unused portions of drug remaining from the syringe.

Instruct patients using the Adalimumab-fkjp Pen or prefilled syringe to inject the full amount in the syringe, according to the directions provided in the Instructions for Use [see Instructions for Use].

Injections should occur at separate sites in the thigh or abdomen. Rotate injection sites and do not give injections into areas where the skin is tender, bruised, red or hard.

If a dose is missed, administer the dose as soon as possible. Thereafter, resume dosing at the regular scheduled time.

Juvenile Idiopathic Arthritis Clinical Studies

In general, the adverse reactions in the adalimumab-treated patients in the polyarticular juvenile idiopathic arthritis (JIA) trials (Studies JIA-I and JIA-II) [see Clinical Studies (14.2)] were similar in frequency and type to those seen in adult patients [see Warnings and Precautions (5), Adverse Reactions (6)]. Important findings and differences from adults are discussed in the following paragraphs.

In Study JIA-I, adalimumab was studied in 171 patients who were 4 to 17 years of age, with polyarticular JIA. Severe adverse reactions reported in the study included neutropenia, streptococcal pharyngitis, increased aminotransferases, herpes zoster, myositis, metrorrhagia, and appendicitis. Serious infections were observed in 4% of patients within approximately 2 years of initiation of treatment with adalimumab and included cases of herpes simplex, pneumonia, urinary tract infection, pharyngitis, and herpes zoster.

In Study JIA-I, 45% of patients experienced an infection while receiving adalimumab with or without concomitant MTX in the first 16 weeks of treatment. The types of infections reported in adalimumab-treated patients were generally similar to those commonly seen in polyarticular JIA patients who are not treated with TNF blockers. Upon initiation of treatment, the most common adverse reactions occurring in this patient population treated with adalimumab were injection site pain and injection site reaction (19% and 16%, respectively). A less commonly reported adverse event in patients receiving adalimumab was granuloma annulare which did not lead to discontinuation of adalimumab treatment.

In the first 48 weeks of treatment in Study JIA-I, non-serious hypersensitivity reactions were seen in approximately 6% of patients and included primarily localized allergic hypersensitivity reactions and allergic rash.

In Study JIA-I, 10% of patients treated with adalimumab who had negative baseline anti-dsDNA antibodies developed positive titers after 48 weeks of treatment. No patient developed clinical signs of autoimmunity during the clinical trial.

Approximately 15% of patients treated with adalimumab developed mild-to-moderate elevations of creatine phosphokinase (CPK) in Study JIA-I. Elevations exceeding 5 times the upper limit of normal were observed in several patients. CPK concentrations decreased or returned to normal in all patients. Most patients were able to continue adalimumab without interruption.

In Study JIA-II, adalimumab was studied in 32 patients who were 2 to <4 years of age or 4 years of age and older weighing <15 kg with polyarticular JIA. The safety profile for this patient population was similar to the safety profile seen in patients 4 to 17 years of age with polyarticular JIA.

In Study JIA-II, 78% of patients experienced an infection while receiving adalimumab. These included nasopharyngitis, bronchitis, upper respiratory tract infection, otitis media, and were mostly mild to moderate in severity. Serious infections were observed in 9% of patients receiving adalimumab in the study and included dental caries, rotavirus gastroenteritis, and varicella.

In Study JIA-II, non-serious allergic reactions were observed in 6% of patients and included intermittent urticaria and rash, which were all mild in severity.

Rheumatoid Arthritis and Ankylosing Spondylitis

In patients receiving 40 mg adalimumab every other week, adalimumab mean steady-state trough concentrations were approximately 5 mcg/mL and 8 to 9 mcg/mL, without and with MTX concomitant treatment, respectively. Adalimumab concentrations in the synovial fluid from five rheumatoid arthritis patients ranged from 31 to 96% of those in serum. The pharmacokinetics of adalimumab in patients with AS were similar to those in patients with RA.

Principal Display Panel – 20 Mg/0.4 Ml Syringe

NDC 83257-020-42

Adalimumab-fkjp injection

20 mg/0.4 mL Syringe

FOR SUBCUTANEOUS USE ONLY

ATTENTION PHARMACIST: Each patient is required to receive the enclosed Medication Guide.

The entire carton is to be dispensed as a unit.

Return to pharmacy if dose tray seal is broken or missing.

2 Single-Dose

Prefilled Syringes

29 Gauge Needle

  •  
    This carton contains:
  • 2 dose trays (each containing

    1 single-dose prefilled syringe

    with 29 gauge 1/2 inch length

    fixed needle)
  • 2 alcohol preps
  • 1 Quick Reference Guide
  • 1 Instructions for Use
  • 1 Medication Guide
  • 1 Prescribing Information

Rx only

Each 0.4 mL single-dose prefilled syringe contains 20 mg of

adalimumab-fkjp, methionine (0.30 mg), monosodium glutamate

(0.75 mg), polysorbate 80 (0.40 mg), sorbitol (19.1 mg) and Water for

Injection, USP. Hydrochloric acid is added as necessary to adjust pH.

Contains no preservatives.

Prefilled syringe is for one time use only.

Dosage: See Prescribing Information.

Do not use beyond the expiration date.

Store in carton until time of administration with

protection from light.

Store in refrigerator at 36°F to 46°F (2°C to 8°C).

An adalimumab-fkjp prefilled syringe may be stored at room

temperature up to a maximum of 77°F (25°C) for up to

14 days with protection from light.

DO NOT FREEZE.

Manufactured by:

Biocon Biologics Inc.

245 Main St, 2nd Floor

Cambridge,MA 02142, U.S.A

U.S. License No. 2324

Product of Japan



Copyright © 2023 Biocon Biologics Inc. All rights reserved.

Principal Display Panel – 40 Mg/0.8 Ml Syringe

NDC 83257-021-42

Adalimumab-fkjp injection

40 mg/0.8 mL Syringe

FOR SUBCUTANEOUS USE ONLY

ATTENTION PHARMACIST: Each patient is required to receive the enclosed Medication Guide.

The entire carton is to be dispensed as a unit.

Return to pharmacy if dose tray seal is broken or missing.

2 Single-Dose

Prefilled Syringes


29 Gauge Needle

  •  
    This carton contains:
  • 2 dose trays (each containing

    1 single-dose prefilled syringe

    with 29 gauge 1/2 inch length

    fixed needle)
  • 2 alcohol preps
  • 1 Quick Reference Guide
  • 1 Instructions for Use
  • 1 Medication Guide
  • 1 Prescribing Information

Rx only

Each 0.8 mL single-dose prefilled syringe contains 40 mg of

adalimumab-fkjp, methionine (0.60 mg), monosodium glutamate

(1.50 mg), polysorbate 80 (0.80 mg), sorbitol (38.2 mg) and Water for

Injection, USP. Hydrochloric acid is added as necessary to adjust pH.

Contains no preservatives.

Prefilled syringe is for one time use only.

Dosage: See Prescribing Information.

Do not use beyond the expiration date.

Store in carton until time of administration with

protection from light.

Store in refrigerator at 36°F to 46°F (2°C to 8°C).

An adalimumab-fkjp prefilled syringe may be stored at room

temperature up to a maximum of 77°F (25°C) for up to

14 days with protection from light.

DO NOT FREEZE.

Manufactured by:

Biocon Biologics Inc.

245 Main St, 2nd Floor

Cambridge,MA 02142, U.S.A

U.S. License No. 2324

Product of Japan



Copyright © 2023 Biocon Biologics Inc. All rights reserved.

Disease Associated Maternal and Embryo/fetal Risk

Published data suggest that the risk of adverse pregnancy outcomes in women with RA or inflammatory bowel disease (IBD) is associated with increased disease activity. Adverse pregnancy outcomes include preterm delivery (before 37 weeks of gestation), low birth weight (less than 2500 g) infants, and small for gestational age at birth.

Malignancies in Pediatric Patients and Young Adults

Malignancies, some fatal, have been reported among children, adolescents, and young adults who received treatment with TNF-blockers (initiation of therapy ≤ 18 years of age), of which Adalimumab-fkjp is a member. Approximately half the cases were lymphomas, including Hodgkin's and non-Hodgkin's lymphoma. The other cases represented a variety of different malignancies and included rare malignancies usually associated with immunosuppression and malignancies that are not usually observed in children and adolescents. The malignancies occurred after a median of 30 months of therapy (range 1 to 84 months). Most of the patients were receiving concomitant immunosuppressants. These cases were reported post-marketing and are derived from a variety of sources including registries and spontaneous postmarketing reports.

Postmarketing cases of hepatosplenic T-cell lymphoma (HSTCL), a rare type of T-cell lymphoma, have been reported in patients treated with TNF blockers including adalimumab products. These cases have had a very aggressive disease course and have been fatal. The majority of reported TNF blocker cases have occurred in patients with Crohn's disease or ulcerative colitis and the majority were in adolescent and young adult males. Almost all of these patients had received treatment with the immunosuppressants azathioprine or 6-mercaptopurine (6–MP) concomitantly with a TNF blocker at or prior to diagnosis. It is uncertain whether the occurrence of HSTCL is related to use of a TNF blocker or a TNF blocker in combination with these other immunosuppressants. The potential risk with the combination of azathioprine or 6- mercaptopurine and Adalimumab-fkjp should be carefully considered.

5.7 Increased Risk of Infection When Used With Anakinra

Concurrent use of anakinra (an interleukin-1 antagonist) and another TNF-blocker, was associated with a greater proportion of serious infections and neutropenia and no added benefit compared with the TNF-blocker alone in patients with RA. Therefore, the combination of Adalimumab-fkjp and anakinra is not recommended [see Drug Interactions (7.2)].

13.1 Carcinogenesis, Mutagenesis, Impairment of Fertility

Long-term animal studies of adalimumab products have not been conducted to evaluate the carcinogenic potential or its effect on fertility.

5.11 Increased Risk of Infection When Used With Abatacept

In controlled trials, the concurrent administration of TNF-blockers and abatacept was associated with a greater proportion of serious infections than the use of a TNF-blocker alone; the combination therapy, compared to the use of a TNF-blocker alone, has not demonstrated improved clinical benefit in the treatment of RA. Therefore, the combination of abatacept with TNF-blockers including Adalimumab-fkjp is not recommended [see Drug Interactions (7.2)].

Psoriatic Arthritis and Ankylosing Spondylitis Clinical Studies

Adalimumab has been studied in 395 patients with psoriatic arthritis (PsA) in two placebo-controlled trials and in an open label study and in 393 patients with ankylosing spondylitis (AS) in two placebo-controlled studies [see Clinical Studies (14.3, 14.4)]. The safety profile for patients with PsA and AS treated with adalimumab 40 mg every other week was similar to the safety profile seen in patients with RA, adalimumab Studies RA-I through IV.

Less Common Adverse Reactions in Rheumatoid Arthritis Clinical Studies

Other infrequent serious adverse reactions that do not appear in the Warnings and Precautions or Adverse Reaction sections that occurred at an incidence of less than 5% in adalimumab-treated patients in RA studies were:

Body As A Whole: Pain in extremity, pelvic pain, surgery, thorax pain

Cardiovascular System: Arrhythmia, atrial fibrillation, chest pain, coronary artery disorder, heart arrest, hypertensive encephalopathy, myocardial infarct, palpitation, pericardial effusion, pericarditis, syncope, tachycardia

Digestive System: Cholecystitis, cholelithiasis, esophagitis, gastroenteritis, gastrointestinal hemorrhage, hepatic necrosis, vomiting

Endocrine System: Parathyroid disorder

Hemic And Lymphatic System: Agranulocytosis, polycythemia

Metabolic And Nutritional Disorders: Dehydration, healing abnormal, ketosis, paraproteinemia, peripheral edema

Musculo-Skeletal System: Arthritis, bone disorder, bone fracture (not spontaneous), bone necrosis, joint disorder, muscle cramps, myasthenia, pyogenic arthritis, synovitis, tendon disorder

Neoplasia: Adenoma

Nervous System: Confusion, paresthesia, subdural hematoma, tremor

Respiratory System: Asthma, bronchospasm, dyspnea, lung function decreased, pleural effusion

Special Senses: Cataract

Thrombosis: Thrombosis leg

Urogenital System: Cystitis, kidney calculus, menstrual disorder

2.1 Rheumatoid Arthritis, Psoriatic Arthritis, and Ankylosing Spondylitis

The recommended subcutaneous dosage of Adalimumab-fkjp for adult patients with rheumatoid arthritis (RA), psoriatic arthritis (PsA), or ankylosing spondylitis (AS) is 40 mg administered every other week. Methotrexate (MTX), other non-biologic DMARDS, glucocorticoids, nonsteroidal anti-inflammatory drugs (NSAIDs), and/or analgesics may be continued during treatment with Adalimumab-fkjp. In the treatment of RA, some patients not taking concomitant MTX may derive additional benefit from increasing the dosage of Adalimumab-fkjp to 40 mg every week or 80 mg every other week.


Structured Label Content

Adults

The recommended subcutaneous dosage of Adalimumab-fkjp for adult patients with Crohn’s disease (CD) is 160 mg initially on Day 1 (given in one day or split over two consecutive days), followed by 80 mg two weeks later (Day 15). Two weeks later (Day 29) begin a dosage of 40 mg every other week. Aminosalicylates and/or corticosteroids may be continued during treatment with Adalimumab-fkjp. Azathioprine, 6-mercaptopurine (6-MP) [see Warnings and Precautions (5.2)] or MTX may be continued during treatment with Adalimumab-fkjp if necessary.

Absorption

The average absolute bioavailability of adalimumab following a single 40 mg subcutaneous dose was 64%. The mean time to reach the maximum concentration was 5.5 days (131 ± 56 hours) and the maximum serum concentration was 4.7 ± 1.6 mcg/mL in healthy subjects following a single 40 mg subcutaneous administration of adalimumab.

Human Data

A prospective cohort pregnancy exposure registry conducted by OTIS/MotherToBaby in the U.S. and Canada between 2004 and 2016 compared the risk of major birth defects in live-born infants of 221 women (69 RA, 152 CD) treated with adalimumab during the first trimester and 106 women (74 RA, 32 CD) not treated with adalimumab.

The proportion of major birth defects among live-born infants in the adalimumab-treated and untreated cohorts was 10% (8.7% RA, 10.5% CD) and 7.5% (6.8% RA, 9.4% CD), respectively. The lack of pattern of major birth defects is reassuring and differences between exposure groups may have impacted the occurrence of birth defects. This study cannot reliably establish whether there is an association between adalimumab and major birth defects because of methodological limitations of the registry, including small sample size, the voluntary nature of the study, and the non-randomized design.

In an independent clinical study conducted in ten pregnant women with IBD treated with adalimumab, adalimumab concentrations were measured in maternal serum as well as in cord blood (n=10) and infant serum (n=8) on the day of birth. The last dose of adalimumab was given between 1 and 56 days prior to delivery. Adalimumab concentrations were 0.16-19.7 mcg/mL in cord blood, 4.28-17.7 mcg/mL in infant serum, and 0-16.1 mcg/mL in maternal serum. In all but one case, the cord blood concentration of adalimumab was higher than the maternal serum concentration, suggesting adalimumab actively crosses the placenta. In addition, one infant had serum concentrations at each of the following: 6 weeks (1.94 mcg/mL), 7 weeks (1.31 mcg/mL), 8 weeks (0.93 mcg/mL), and 11 weeks (0.53 mcg/mL), suggesting adalimumab can be detected in the serum of infants exposed in utero for at least 3 months from birth.

Infections

In the controlled portions of the 39 global adalimumab clinical trials in adult patients with RA, PsA, AS, CD, UC, Ps, HS, UV, the rate of serious infections was 4.3 per 100 patient years in 7973 adalimumab treated patients versus a rate of 2.9 per 100 patient years in 4848 control-treated patients. Serious infections observed included pneumonia, septic arthritis, prosthetic and post-surgical infections, erysipelas, cellulitis, diverticulitis, and pyelonephritis [see Warnings and Precautions (5.1)].

Monitoring

Closely monitor patients for the development of signs and symptoms of infection during and after treatment with Adalimumab-fkjp, including the development of tuberculosis in patients who tested negative for latent tuberculosis infection prior to initiating therapy. Tests for latent tuberculosis infection may also be falsely negative while on therapy with Adalimumab-fkjp.

Discontinue Adalimumab-fkjp if a patient develops a serious infection or sepsis. For a patient who develops a new infection during treatment with Adalimumab-fkjp, closely monitor them, perform a prompt and complete diagnostic workup appropriate for an immunocompromised patient, and initiate appropriate antimicrobial therapy.

Pediatrics

The recommended subcutaneous dosage of Adalimumab-fkjp for pediatric patients 6 years of age and older with Crohn’s disease (CD) is based on body weight as shown below:

Pediatric Weight

Recommended Dosage

Days 1 through 15

Starting on Day 29

17 kg (37 lbs) to

less than 40 kg (88 lbs)

Day 1: 80 mg

Day 15: 40 mg

20 mg every other week

40 kg (88 lbs) and greater

Day 1: 160 mg (single dose or split

over two consecutive days)

Day 15: 80 mg

40 mg every other week

 

1.9 Uveitis

Adalimumab-fkjp is indicated for the treatment of non-infectious intermediate, posterior, and panuveitis in adult patients.

Animal Data

In an embryo-fetal perinatal development study, pregnant cynomolgus monkeys received adalimumab from gestation days 20 to 97 at doses that produced exposures up to 373 times that achieved with the MRHD without methotrexate (on an AUC basis with maternal IV doses up to 100 mg/kg/week). Adalimumab did not elicit harm to the fetuses or malformations.

Elimination

The single dose pharmacokinetics of adalimumab in RA patients were determined in several studies with intravenous doses ranging from 0.25 to 10 mg/kg. The systemic clearance of adalimumab is approximately 12 mL/hr. In long-term studies with dosing more than two years, there was no evidence of changes in clearance over time in RA patients.

Study Jia I (Study JIA-I)

The safety and efficacy of adalimumab were assessed in a multicenter, randomized, withdrawal, double-blind, parallel-group study in 171 patients who were 4 to 17 years of age with polyarticular JIA. In the study, the patients were stratified into two groups: MTX-treated or non- MTX-treated. All patients had to show signs of active moderate or severe disease despite previous treatment with NSAIDs, analgesics, corticosteroids, or DMARDS. Patients who received prior treatment with any biologic DMARDS were excluded from the study.

The study included four phases: an open-label lead in phase (OL-LI; 16 weeks), a double-blind randomized withdrawal phase (DB; 32 weeks), an open-label extension phase (OLE-BSA; up to 136 weeks), and an open-label fixed dose phase (OLE-FD; 16 weeks). In the first three phases of the study, adalimumab was administered based on body surface area at a dose of 24 mg/m2 up to a maximum total body dose of 40 mg subcutaneously (SC) every other week. In the OLE-FD phase, the patients were treated with 20 mg of adalimumab SC every other week if their weight was less than 30 kg and with 40 mg of adalimumab SC every other week if their weight was 30 kg or greater. Patients remained on stable doses of NSAIDs and or prednisone (≤0.2 mg/kg/day or 10 mg/day maximum).

Patients demonstrating a Pediatric ACR 30 response at the end of OL-LI phase were randomized into the double blind (DB) phase of the study and received either adalimumab or placebo every other week for 32 weeks or until disease flare. Disease flare was defined as a worsening of ≥30% from baseline in ≥3 of 6 Pediatric ACR core criteria, ≥2 active joints, and improvement of >30% in no more than 1 of the 6 criteria. After 32 weeks or at the time of disease flare during the DB phase, patients were treated in the open-label extension phase based on the BSA regimen (OLE-BSA), before converting to a fixed dose regimen based on body weight (OLE-FD phase).

Distribution

The distribution volume (Vss) ranged from 4.7 to 6.0 L following intravenous administration of doses ranging from 0.25 to 10 mg/kg in RA patients.

Risk Summary

Available studies with use of adalimumab during pregnancy do not reliably establish an association between adalimumab and major birth defects. Clinical data are available from the Organization of Teratology Information Specialists (OTIS)/MotherToBaby Pregnancy Registry in pregnant women with rheumatoid arthritis (RA) or Crohn’s disease (CD) treated with adalimumab. Registry results showed a rate of 10% for major birth defects with first trimester use of adalimumab in pregnant women with RA or CD and a rate of 7.5% for major birth defects in the disease matched comparison cohort. The lack of pattern of major birth defects is reassuring and differences between exposure groups may have impacted the occurrence of birth defects (see Data).

Adalimumab is actively transferred across the placenta during the third trimester of pregnancy and may affect immune response in the in-utero exposed infant (see Clinical Considerations). In an embryo-fetal perinatal development study conducted in cynomolgus monkeys, no fetal harm or malformations were observed with intravenous administration of adalimumab during organogenesis and later in gestation, at doses that produced exposures up to approximately 373 times the maximum recommended human dose (MRHD) of 40 mg subcutaneous without methotrexate (see Data).

The estimated background risk of major birth defects and miscarriage for the indicated populations is unknown. All pregnancies have a background risk of birth defect, loss, or other adverse outcomes. In the U.S. general population, the estimated background risk of major birth defects and miscarriage in clinically recognized pregnancies is 2-4% and 15-20%, respectively.

Study Jia Ii (Study JIA-II)

Adalimumab was assessed in an open-label, multicenter study in 32 patients who were 2 to <4 years of age or 4 years of age and older weighing <15 kg with moderately to severely active polyarticular JIA. Most patients (97%) received at least 24 weeks of adalimumab treatment dosed 24 mg/m2 up to a maximum of 20 mg every other week as a single SC injection up to a maximum of 120 weeks duration. During the study, most patients used concomitant MTX, with fewer reporting use of corticosteroids or NSAIDs. The primary objective of the study was evaluation of safety [see Adverse Reactions (6.1)].

Tuberculosis

Cases of reactivation of tuberculosis and new onset tuberculosis infections have been reported in patients receiving adalimumab products, including patients who have previously received treatment for latent or active tuberculosis. Reports included cases of pulmonary and extrapulmonary (i.e., disseminated) tuberculosis. Evaluate patients for tuberculosis risk factors and test for latent infection prior to initiating Adalimumab-fkjp and periodically during therapy.

Treatment of latent tuberculosis infection prior to therapy with TNF blocking agents has been shown to reduce the risk of tuberculosis reactivation during therapy. Prior to initiating Adalimumab-fkjp, assess if treatment for latent tuberculosis is needed; and consider an induration of ≥ 5 mm a positive tuberculin skin test result, even for patients previously vaccinated with Bacille Calmette- Guerin (BCG).

Consider anti-tuberculosis therapy prior to initiation of Adalimumab-fkjp in patients with a past history of latent or active tuberculosis in whom an adequate course of treatment cannot be confirmed, and for patients with a negative test for latent tuberculosis but having risk factors for tuberculosis infection. Despite prophylactic treatment for tuberculosis, cases of reactivated tuberculosis have occurred in patients treated with adalimumab products. Consultation with a physician with expertise in the treatment of tuberculosis is recommended to aid in the decision whether initiating anti-tuberculosis therapy is appropriate for an individual patient.

Strongly consider tuberculosis in the differential diagnosis in patients who develop a new infection during Adalimumab-fkjp treatment, especially in patients who have previously or recently traveled to countries with a high prevalence of tuberculosis, or who have had close contact with a person with active tuberculosis.

10 Overdosage (10 OVERDOSAGE)

Doses up to 10 mg/kg have been administered to patients in clinical trials without evidence of dose-limiting toxicities. In case of overdosage, it is recommended that the patient be monitored for any signs or symptoms of adverse reactions or effects and appropriate symptomatic treatment instituted immediately.

15 References (15 REFERENCES)
  • 1.
    National Cancer Institute. Surveillance, Epidemiology, and End Results Database (SEER) Program. SEER Incidence Crude Rates, 17 Registries, 2000-2007.
Adult Uveitis

Adalimumab mean steady concentration was approximately 8 to 10 mcg/mL during adalimumab 40 mg every other week treatment

11 Description (11 DESCRIPTION)

Adalimumab-fkjp is a tumor necrosis factor blocker. Adalimumab-fkjp is a recombinant human IgG1 monoclonal antibody. Adalimumab-fkjp is produced by recombinant DNA technology in a mammalian cell expression system (Chinese Hamster Ovary Cells) and is purified by a process that includes specific viral inactivation and removal steps. It consists of 1330 amino acids and has a molecular weight of approximately 148 kilodaltons.

Adalimumab-fkjp injection is supplied as a sterile, preservative-free solution for subcutaneous administration. The drug product is supplied as either a single-dose, prefilled pen (Adalimumab-fkjp Pen) or as a single-dose, 1 mL prefilled plastic syringe. Enclosed within the pen is a single- dose, 1 mL prefilled plastic syringe. The solution of Adalimumab-fkjp is clear to slightly opalescent, colorless to pale brownish-yellow, with a pH of about 5.2.

Each 40 mg/0.8 mL prefilled syringe or prefilled pen delivers 0.8 mL (40 mg) of drug product. Each 0.8 mL of Adalimumab-fkjp contains adalimumab-fkjp (40 mg), methionine (0.60 mg), monosodium glutamate (1.50 mg), polysorbate 80 (0.80 mg), sorbitol (38.2 mg) and Water for Injection, USP. Hydrochloric acid is added as necessary to adjust pH.

Each 20 mg/0.4 mL prefilled syringe delivers 0.4 mL (20 mg) of drug product. Each 0.4 mL of Adalimumab-fkjp contains adalimumab-fkjp (20 mg), methionine (0.30 mg), monosodium glutamate (0.75 mg), polysorbate 80 (0.40 mg), sorbitol (19.1 mg) and Water for Injection, USP. Hydrochloric acid is added as necessary to adjust pH.

Autoantibodies

In the rheumatoid arthritis controlled trials, 12% of patients treated with adalimumab and 7% of placebo-treated patients that had negative baseline ANA titers developed positive titers at week 24. Two patients out of 3046 treated with adalimumab developed clinical signs suggestive of new-onset lupus-like syndrome. The patients improved following discontinuation of therapy. No patients developed lupus nephritis or central nervous system symptoms. The impact of long-term treatment with adalimumab products on the development of autoimmune diseases is unknown.

5.2 Malignancies

Consider the risks and benefits of TNF-blocker treatment including Adalimumab-fkjp prior to initiating therapy in patients with a known malignancy other than a successfully treated non-melanoma skin cancer (NMSC) or when considering continuing a TNF blocker in patients who develop a malignancy.

5.9 Autoimmunity

Treatment with adalimumab products may result in the formation of autoantibodies and, rarely, in the development of a lupus-like syndrome. If a patient develops symptoms suggestive of a lupus-like syndrome following treatment with Adalimumab-fkjp, discontinue treatment [see Adverse Reactions (6.1)].

7.1 Methotrexate

Adalimumab has been studied in rheumatoid arthritis (RA) patients taking concomitant methotrexate (MTX). Although MTX reduced the apparent adalimumab clearance, the data do not suggest the need for dose adjustment of either Adalimumab-fkjp or MTX [see Clinical Pharmacology (12.3)].

Medication Guide (MEDICATION GUIDE)

Adalimumab (ay”da lim´ue mab)-fkjp

injection, for subcutaneous use

Read the Medication Guide that comes with Adalimumab-fkjp before you start taking it and each time you get a refill. There may be new information. This Medication Guide does not take the place of talking with your healthcare provider about your medical condition or treatment.

What is the most important information I should know about Adalimumab-fkjp?

Adalimumab-fkjp is a medicine that affects your immune system. Adalimumab-fkjp can lower the ability of your immune system to fight infections. Serious infections have happened in people taking adalimumab products. These serious infections include tuberculosis (TB) and infections caused by viruses, fungi or bacteria that have spread throughout the body. Some people have died from these infections.

  • Your healthcare provider should test you for TB before starting Adalimumab-fkjp.
  • Your healthcare provider should check you closely for signs and symptoms of TB during treatment with Adalimumab-fkjp.

You should not start taking Adalimumab-fkjp if you have any kind of infection unless your healthcare provider says it is okay.

Before starting Adalimumab-fkjp, tell your healthcare provider if you:

  • think you have an infection or have symptoms of an infection such as:
  • o
    fever, sweats, or chills
  • o
    muscle aches
  • o
    cough
  • o
    shortness of breath
  • o
    blood in phlegm
  • o
    warm, red, or painful skin or sores on your body
  • o
    diarrhea or stomach pain
  • o
    burning when you urinate or urinate more often than normal
  • o
    feel very tired
  • o
    weight loss
  • are being treated for an infection
  • get a lot of infections or have infections that keep coming back
  • have diabetes
  • have TB, or have been in close contact with someone with TB
  • were born in, lived in, or traveled to countries where there is more risk for getting TB. Ask your healthcare provider if you are not sure.
  • live or have lived in certain parts of the country (such as the Ohio and Mississippi River valleys) where there is an increased risk for getting certain kinds of fungal infections (histoplasmosis, coccidioidomycosis, or blastomycosis). These infections may happen or become more severe if you use Adalimumab-fkjp. Ask your healthcare provider if you do not know if you have lived in an area where these infections are common.
  • have or have had hepatitis B
  • use the medicine ORENCIA (abatacept), KINERET (anakinra), RITUXAN (rituximab), IMURAN (azathioprine), or PURINETHOL (6–mercaptopurine, 6-MP).
  • are scheduled to have major surgery

After starting Adalimumab-fkjp, call your healthcare provider right away if you have an infection, or any sign of an infection.

Adalimumab-fkjp can make you more likely to get infections or make any infection that you may have worse.

Cancer

  • For children and adults taking Tumor Necrosis Factor (TNF)-blockers, including Adalimumab-fkjp, the chances of getting cancer may increase.
  • There have been cases of unusual cancers in children, teenagers, and young adults using TNF-blockers.
  • People with rheumatoid arthritis (RA), especially more serious RA, may have a higher chance for getting a kind of cancer called lymphoma.
  • If you use TNF blockers including Adalimumab-fkjp your chance of getting two types of skin cancer may increase (basal cell cancer and squamous cell cancer of the skin). These types of cancer are generally not life-threatening if treated. Tell your healthcare provider if you have a bump or open sore that does not heal.
  • Some people receiving TNF blockers including Adalimumab-fkjp developed a rare type of cancer called hepatosplenic T-cell lymphoma. This type of cancer often results in death. Most of these people were male teenagers or young men. Also, most people were being treated for Crohn’s disease or ulcerative colitis with another medicine called IMURAN (azathioprine) or PURINETHOL (6-mercaptopurine, 6–MP).

What is Adalimumab-fkjp?

Adalimumab-fkjp is a medicine called a Tumor Necrosis Factor (TNF) blocker. Adalimumab-fkjp is used:

  • To reduce the signs and symptoms of:
    • o
      moderate to severe RA in adults. Adalimumab-fkjp can be used alone, with methotrexate, or with certain other medicines.
    • o
      moderate to severe polyarticular juvenile idiopathic arthritis (JIA) in children 2 years and older. Adalimumab-fkjp can be used alone or with methotrexate.
    • o
      psoriatic arthritis (PsA) in adults. Adalimumab-fkjp can be used alone or with certain other medicines.
    • o
      ankylosing spondylitis (AS) in adults.
    • o
      moderate to severe hidradenitis suppurativa (HS) in adults.
  • To treat moderate to severe Crohn’s disease (CD) in adults and children 6 years of age and older.

  • To treat moderate to severe ulcerative colitis (UC) in adults. It is not known if adalimumab products are effective in people who stopped responding to or could not tolerate TNF-blocker medicines.

  • To treat moderate to severe chronic (lasting a long time) plaque psoriasis (Ps) in adults who have the condition in many areas of their body and who may benefit from taking injections or pills (systemic therapy) or phototherapy (treatment using ultraviolet light alone or with pills).

  • To treat non-infectious intermediate, posterior, and panuveitis in adults

What should I tell my healthcare provider before taking Adalimumab-fkjp?

Adalimumab-fkjp may not be right for you. Before starting Adalimumab-fkjp, tell your healthcare provider about all of your medical conditions, including if you:

  • have an infection. See “What is the most important information I should know about Adalimumab-fkjp?”
  • have or have had cancer.
  • have any numbness or tingling or have a disease that affects your nervous system such as multiple sclerosis or Guillain-Barré syndrome.
  • have or had heart failure.
  • have recently received or are scheduled to receive a vaccine. You may receive vaccines, except for live vaccines while using Adalimumab-fkjp. Children should be brought up to date with all vaccines before starting Adalimumab-fkjp.
  • are allergic to Adalimumab-fkjp or to any of its ingredients. See the end of this Medication Guide for a list of ingredients in Adalimumab-fkjp.
  • are pregnant or plan to become pregnant, breastfeeding or plan to breastfeed. You and your healthcare provider should decide if you should take Adalimumab-fkjp while you are pregnant or breastfeeding.
  • have a baby and you were using Adalimumab-fkjp during your pregnancy. Tell your baby’s healthcare provider before your baby receives any vaccines.

Tell your healthcare provider about all the medicines you take, including prescription and over-the-counter medicines, vitamins, and herbal supplements.

Especially tell your healthcare provider if you use:

  • ORENCIA (abatacept), KINERET (anakinra), REMICADE (infliximab), ENBREL (etanercept), CIMZIA (certolizumab pegol) or SIMPONI (golimumab), because you should not use Adalimumab-fkjp while you are also using one of these medicines.
  • RITUXAN (rituximab). Your healthcare provider may not want to give you Adalimumab-fkjp if you have received RITUXAN (rituximab) recently.
  • IMURAN (azathioprine) or PURINETHOL (6–mercaptopurine, 6-MP).

Keep a list of your medicines with you to show your healthcare provider and pharmacist each time you get a new medicine.

How should I take Adalimumab-fkjp?

  • Adalimumab-fkjp is given by an injection under the skin. Your healthcare provider will tell you how often to take an injection of Adalimumab-fkjp. This is based on your condition to be treated. Do not inject Adalimumab-fkjp more often than you were prescribed.
  • See the Instructions for Use inside the carton for complete instructions for the right way to prepare and inject Adalimumab-fkjp.
  • Make sure you have been shown how to inject Adalimumab-fkjp before you do it yourself. You can call your healthcare provider or 1-800-796-9526 if you have any questions about giving yourself an injection. Someone you know can also help you with your injection after they have been shown how to prepare and inject Adalimumab-fkjp.
  • Do not try to inject Adalimumab-fkjp yourself until you have been shown the right way to give the injections. If your healthcare provider decides that you or a caregiver may be able to give your injections of Adalimumab-fkjp at home, you should receive training on the right way to prepare and inject Adalimumab-fkjp.
  • Do not miss any doses of Adalimumab-fkjp unless your healthcare provider says it is okay. If you forget to take Adalimumab-fkjp, inject a dose as soon as you remember. Then, take your next dose at your regular scheduled time. This will put you back on schedule. In case you are not sure when to inject Adalimumab-fkjp, call your healthcare provider or pharmacist.
  • If you take more Adalimumab-fkjp than you were told to take, call your healthcare provider.

What are the possible side effects of Adalimumab-fkjp?

Adalimumab-fkjp can cause serious side effects, including:

See “What is the most important information I should know about Adalimumab-fkjp?”

  • Serious Infections.

    Your healthcare provider will examine you for TB and perform a test to see if you have TB. If your healthcare provider feels that you are at risk for TB, you may be treated with medicine for TB before you begin treatment with Adalimumab-fkjp and during treatment with Adalimumab-fkjp. Even if your TB test is negative your healthcare provider should carefully monitor you for TB infections while you are taking Adalimumab-fkjp. People who had a negative TB skin test before receiving adalimumab products have developed active TB. Tell your healthcare provider if you have any of the following symptoms while taking or after taking Adalimumab-fkjp:
  • o
    cough that does not go away
  • o
    low grade fever
  • o
    weight loss
  • o
    loss of body fat and muscle (wasting)
  • Hepatitis B infection in people who carry the virus in their blood.

    If you are a carrier of the hepatitis B virus (a virus that affects the liver), the virus can become active while you use Adalimumab-fkjp. Your healthcare provider should do blood tests before you start treatment, while you are using Adalimumab-fkjp, and for several months after you stop treatment with Adalimumab-fkjp. Tell your healthcare provider if you have any of the following symptoms of a possible hepatitis B infection:
  • o
    muscle aches
  • o
    feel very tired
  • o
    dark urine
  • o
    skin or eyes look yellow
  • o
    little or no appetite
  • o
    vomiting
  • o
    clay-colored bowel movements
  • o
    fever
  • o
    chills
  • o
    stomach discomfort
  • o
    skin rash
  • Allergic reactions. Allergic reactions can happen in people who use Adalimumab-fkjp. Call your healthcare provider or get medical help right away if you have any of these symptoms of a serious allergic reaction:
  • o
    hives
  • o
    trouble breathing
  • o
    swelling of your face, eyes, lips or mouth
  • Nervous system problems. Signs and symptoms of a nervous system problem include: numbness or tingling, problems with your vision, weakness in your arms or legs, and dizziness.
  • Blood problems. Your body may not make enough of the blood cells that help fight infections or help to stop bleeding. Symptoms include a fever that does not go away, bruising or bleeding very easily, or looking very pale.
  • New heart failure or worsening of heart failure you already have. Call your healthcare provider right away if you get new worsening symptoms of heart failure while taking Adalimumab-fkjp, including:
  • o
    shortness of breath
  • o
    sudden weight gain
  • o
    swelling of your ankles or feet
  • Immune reactions including a lupus-like syndrome. Symptoms include chest discomfort or pain that does not go away, shortness of breath, joint pain, or a rash on your cheeks or arms that gets worse in the sun. Symptoms may improve when you stop Adalimumab-fkjp.
  • Liver problems. Liver problems can happen in people who use TNF-blocker medicines.

    These problems can lead to liver failure and death. Call your healthcare provider right away if you have any of these symptoms:
  • o
    feel very tired
  • o
    poor appetite or vomiting
  • o
    skin or eyes look yellow
  • o
    pain on the right side of your stomach (abdomen)
  • Psoriasis. Some people using adalimumab products had new psoriasis or worsening of psoriasis they already had. Tell your healthcare provider if you develop red scaly patches or raised bumps that are filled with pus. Your healthcare provider may decide to stop your treatment with Adalimumab-fkjp.

Call your healthcare provider or get medical care right away if you develop any of the above symptoms. Your treatment with Adalimumab-fkjp may be stopped.

The most common side effects of Adalimumab-fkjp include:

  • injection site reactions: redness, rash, swelling, itching, or bruising. These symptoms usually will go away within a few days. Call your healthcare provider right away if you have pain, redness or swelling around the injection site that does not go away within a few days or gets worse.
  • upper respiratory infections (including sinus infections).
  • headaches.
  • rash.

These are not all the possible side effects with Adalimumab-fkjp. Tell your healthcare provider if you have any side effect that bothers you or that does not go away. Ask your healthcare provider or pharmacist for more information.

Call your doctor for medical advice about side effects. You may report side effects to FDA at 1-800-FDA-1088.

How should I store Adalimumab-fkjp?

  • Store Adalimumab-fkjp in the refrigerator at 36ºF to 46ºF (2ºC to 8ºC). Store Adalimumab-fkjp in the original carton until use to protect it from light.
  • Do not freeze Adalimumab-fkjp. Do not use Adalimumab-fkjp if frozen, even if it has been thawed.
  • Refrigerated Adalimumab-fkjp may be used until the expiration date printed on the Adalimumab-fkjp carton, dose tray, Pen or prefilled syringe. Do not use Adalimumab-fkjp after the expiration date.
  • If needed, for example when you are traveling, you may also store Adalimumab-fkjp at room temperature up to 77°F (25°C) for up to 14 days. Store Adalimumab-fkjp in the original carton until use to protect it from light.
  • Throw away Adalimumab-fkjp if it has been kept at room temperature and not been used within 14 days.
  • Record the date you first remove Adalimumab-fkjp from the refrigerator in the spaces provided on the carton and dose tray.
  • Do not store Adalimumab-fkjp in extreme heat or cold.
  • Do not use a Pen or prefilled syringe if the liquid is cloudy, discolored, or has flakes or particles in it.

Keep Adalimumab-fkjp, injection supplies, and all other medicines out of the reach of children.

General information about the safe and effective use of Adalimumab-fkjp.

Medicines are sometimes prescribed for purposes other than those listed in a Medication

Guide. Do not use Adalimumab-fkjp for a condition for which it was not prescribed. Do not give

Adalimumab-fkjp to other people, even if they have the same condition. It may harm them.

This Medication Guide summarizes the most important information about Adalimumab-fkjp. If you

would like more information, talk with your healthcare provider. You can ask your pharmacist or healthcare provider for information about Adalimumab-fkjp that is written for health professionals.

What are the ingredients in Adalimumab-fkjp?

Active ingredient: adalimumab-fkjp

Adalimumab-fkjp Pen 40 mg/0.8 mL, Adalimumab-fkjp 40 mg/0.8 mL prefilled syringe, Adalimumab-fkjp 20 mg/0.4 mL prefilled syringe.

Inactive ingredients: methionine, monosodium glutamate, polysorbate 80, sorbitol and Water for Injection. Hydrochloric acid is added as necessary to adjust pH.

Manufactured by: Biocon Biologics Inc, 245 Main St, 2nd Floor, Cambridge, MA 02142, U.S.A.

U.S. License Number 2324

Product of Japan

For more information, call Biocon Biologics at 1-833-986-1468 or you can enroll in a patient support program by calling 1-833-44-HULIO (1-833-444-8546).

This Medication Guide has been approved by the U.S. Food and Drug Administration.          Revised: 02/2025

Plaque Psoriasis

Adalimumab mean steady-state trough concentration was approximately 5 to 6 mcg/mL during adalimumab 40 mg every other week treatment.

5.8 Heart Failure

Cases of worsening congestive heart failure (CHF) and new onset CHF have been reported with TNF blockers. Cases of worsening CHF have also been observed with adalimumab products. Adalimumab products have not been formally studied in patients with CHF; however, in clinical trials of another TNF blocker, a higher rate of serious CHF-related adverse reactions was observed. Exercise caution when using Adalimumab-fkjp in patients who have heart failure and monitor them carefully.

7.3 Live Vaccines

Avoid the use of live vaccines with Adalimumab-fkjp [see Warnings and Precautions (5.10)].

8.4 Pediatric Use

The safety and effectiveness of Adalimumab-fkjp have been established for:

  • reducing signs and symptoms of moderately to severely active polyarticular JIA in pediatric patients 2 years of age and older.
  • the treatment of moderately to severely active Crohn’s disease in pediatric patients 6 years of age and older.

Pediatric assessments for Adalimumab-fkjp demonstrate that Adalimumab-fkjp is safe and effective for pediatric patients in indications for which Humira (adalimumab) is approved. However, Adalimumab-fkjp is not approved for such indications due to marketing exclusivity for Humira (adalimumab).

Due to their inhibition of TNFα, adalimumab products administered during pregnancy could affect immune response in the in utero-exposed newborn and infant. Data from eight infants exposed to adalimumab in utero suggest adalimumab crosses the placenta [see Use in Specific Populations (8.1)]. The clinical significance of elevated adalimumab concentrations in infants is unknown. The safety of administering live or live-attenuated vaccines in exposed infants is unknown. Risks and benefits should be considered prior to vaccinating (live or live-attenuated) exposed infants.

Post-marketing cases of lymphoma, including hepatosplenic T-cell lymphoma and other malignancies, some fatal, have been reported among children, adolescents, and young adults who received treatment with TNF-blockers including adalimumab products [see Warnings and Precautions (5.2)].

8.5 Geriatric Use

A total of 519 RA patients 65 years of age and older, including 107 patients 75 years of age and older, received adalimumab in clinical studies RA-I through IV. No overall difference in effectiveness was observed between these patients and younger patients. The frequency of serious infection and malignancy among adalimumab treated patients 65 years of age and older was higher than for those less than 65 years of age. Consider the benefits and risks of Adalimumab-fkjp in patients 65 years of age and older. In patients treated with Adalimumab-fkjp, closely monitor for the development of infection or malignancy [see Warnings and Precautions (5.1, 5.2)].

Clinical Response

The percent of adalimumab treated patients achieving ACR 20, 50 and 70 responses in Studies RA-II and III are shown in Table 3.

Table 3. ACR Responses in Studies RA-II and RA-III (Percent of Patients)

Study RA-II

Monotherapy

(26 weeks)

Study RA-III

Methotrexate Combination

(24 and 52 weeks)

Response

Placebo

Adalimumab

Adalimumab

Placebo/MTX

Adalimumab/MTX

40 mg every

40 mg weekly

40 mg every

other week

other week

N=110

N=113

N=103

N=200

N=207

ACR20

Month 6

19%

46%

p<0.01, adalimumab vs. placebo

53%

30%

63%

Month 12

NA

NA

NA

24%

59%

ACR50

Month 6

8%

22%

35%

10%

39%

Month 12

NA

NA

NA

10%

42%

ACR70

Month 6

2%

12%

18%

3%

21%

Month 12

NA

NA

NA

5%

23%

The results of Study RA-I were similar to Study RA-III; patients receiving adalimumab 40 mg every other week in Study RA-I also achieved ACR 20, 50 and 70 response rates of 65%, 52% and 24%, respectively, compared to placebo responses of 13%, 7% and 3% respectively, at 6 months (p<0.01).

The results of the components of the ACR response criteria for Studies RA-II and RA-III are shown in Table 4. ACR response rates and improvement in all components of ACR response were maintained to week 104. Over the 2 years in Study RA-III, 20% of adalimumab patients receiving 40 mg every other week achieved a major clinical response, defined as maintenance of an ACR 70 response over a 6-month period. ACR responses were maintained in similar proportions of patients for up to 5 years with continuous adalimumab treatment in the open-label portion of Study RA-III.

Table 4. Components of ACR Response in Studies RA-II and RA-III

Study RA-II

Study RA-III

Parameter (median)

Placebo

N=110

Adalimumab

40 mg adalimumab administered every other week

N=113

Placebo/MTX

N=200

Adalimumab * /MTX

N=207

Baseline

Wk

26

Baseline

Wk

26

Baseline

Wk

24

Baseline

Wk

24

Number of tender

joints (0-68)

35

26

31

16

p<0.001, adalimumab vs. placebo, based on mean change from baseline

26

15

24

8

Number of swollen

joints (0-66)

19

16

18

10

17

11

18

5

Physician global

assessment

Visual analogue scale; 0 = best, 10 = worst

7.0

6.1

6.6

3.7

6.3

3.5

6.5

2.0

Patient global

assessment

7.5

6.3

7.5

4.5

5.4

3.9

5.2

2.0

Pain

7.3

6.1

7.3

4.1

6.0

3.8

5.8

2.1

Disability index

(HAQ)

Disability Index of the Health Assessment Questionnaire; 0 = best, 3 = worst, measures the patient’s ability to perform the following: dress/groom, arise, eat, walk, reach, grip, maintain hygiene, and maintain daily activity

2.0

1.9

1.9

1.5

1.5

1.3

1.5

0.8

CRP (mg/dL)

3.9

4.3

4.6

1.8

1.0

0.9

1.0

0.4

The time course of ACR 20 response for Study RA-III is shown in Figure 1.

In Study RA-III, 85% of patients with ACR 20 responses at week 24 maintained the response at 52 weeks. The time course of ACR 20 response for Study RA-I and Study RA-II were similar.

Figure 1. Study RA-III ACR 20 Responses over 52 Weeks

In Study RA-IV, 53% of patients treated with adalimumab 40 mg every other week plus standard of care had an ACR 20 response at week 24 compared to 35% on placebo plus standard of care (p<0.001). No unique adverse reactions related to the combination of adalimumab and other DMARDs were observed.

In Study RA-V with MTX naïve patients with recent onset RA, the combination treatment with adalimumab plus MTX led to greater percentages of patients achieving ACR responses than either MTX monotherapy or adalimumab monotherapy at Week 52 and responses were sustained at Week 104 (see Table 5).

Table 5. ACR Response in Study RA-V (Percent of Patients)

Response

MTX

p<0.05, adalimumab/MTX vs. MTX for ACR 20

p<0.001, adalimumab/MTX vs. MTX for ACR 50 and 70, and Major Clinical Response

N=257

Adalimumab

p<0.001, adalimumab/MTX vs. adalimumab

N=274

Adalimumab/MTX

N=268

ACR20

               Week 52

               Week 104

63%

56%

54%

49%

73%

69%

ACR50

               Week 52

               Week 104

46%

43%

41%

37%

62%

59%

ACR70

               Week 52

               Week 104

27%

28%

26%

28%

46%

47%

Major Clinical Response

Major clinical response is defined as achieving an ACR70 response for a continuous six month period

28%

25%

49%

At Week 52, all individual components of the ACR response criteria for Study RA-V improved in the adalimumab/MTX group and improvements were maintained to Week 104.

5.10 Immunizations

In a placebo-controlled clinical trial of patients with RA, no difference was detected in anti-pneumococcal antibody response between adalimumab and placebo treatment groups when the pneumococcal polysaccharide vaccine and influenza vaccine were administered concurrently with adalimumab. Similar proportions of patients developed protective levels of anti-influenza antibodies between adalimumab and placebo treatment groups; however, titers in aggregate to influenza antigens were moderately lower in patients receiving adalimumab. The clinical significance of this is unknown. Patients on Adalimumab-fkjp may receive concurrent vaccinations, except for live vaccines. No data are available on the secondary transmission of infection by live vaccines in patients receiving adalimumab products.

It is recommended that pediatric patients, if possible, be brought up to date with all immunizations in agreement with current immunization guidelines prior to initiating Adalimumab-fkjp therapy. Patients on Adalimumab-fkjp may receive concurrent vaccinations, except for live vaccines.

The safety of administering live or live-attenuated vaccines in infants exposed to adalimumab products in utero is unknown. Risks and benefits should be considered prior to vaccinating (live or live attenuated) exposed infants [see Use in Specific Populations (8.1 , 8.4)].

6.2 Immunogenicity

The observed incidence of anti-drug antibodies is highly dependent on the sensitivity and specificity of the assay. Differences in assay methods preclude meaningful comparisons of the incidence of anti-drug antibodies in the studies described below with the incidence of anti-drug antibodies in other studies, including those of adalimumab or of other adalimumab products.

There are two assays that have been used to measure anti-adalimumab antibodies. With the ELISA, antibodies to adalimumab could be detected only when serum adalimumab concentrations were < 2 mcg/mL. The ECL assay can detect anti-adalimumab antibody titers independent of adalimumab concentrations in the serum samples. The incidence of anti-adalimumab antibody (AAA) development in patients treated with adalimumab are presented in Table 2.

Table 2: Anti-Adalimumab Antibody Development Determined by ELISA and ECL Assay in Patients Treated with Adalimumab
n: number of patients with anti-adalimumab antibody; NR: not reported; NA: Not applicable (not performed)

Indications

Study Duration

Anti-Adalimumab Antibody

Incidence by ELISA (n/N)

Anti-Adalimumab

Antibody

Incidence by ECL

Assay (n/N)

In all patients who received adalimumab

In patients with serum adalimumab concentrations < 2 mcg/mL

Rheumatoid Arthritis

In patients receiving concomitant methotrexate (MTX), the incidence of anti-adalimumab antibody was 1% compared to 12% with adalimumab monotherapy

6 to 12

months

5% (58/1062)

NR

NA

Juvenile

Idiopathic

Arthritis

(JIA)

4 to 17 years of age

In patients receiving concomitant MTX, the incidence of anti-adalimumab antibody was 6% compared to 26% with adalimumab monotherapy

48 weeks

16% (27/171)

NR

NA

2 to 4 years of age or ≥ 4 years of age and weighing < 15 kg

24 weeks

7% (1/15)

This patient received concomitant MTX

NR

NA

Psoriatic Arthritis

In patients receiving concomitant MTX, the incidence of antibody development was 7% compared to 1% in RA

48 weeks

Subjects enrolled after completing 2 previous studies of 24 weeks or 12 weeks of treatments.

13% (24/178)

NR

NA

Ankylosing Spondylitis

24 weeks

9% (16/185)

NR

NA

Adult Crohn’s Disease

56 weeks

3% (7/269)

8% (7/86)

NA

Pediatric Crohn’s Disease

52 weeks

3% (6/182)

10% (6/58)

NA

Adult Ulcerative Colitis

52 weeks

5% (19/360)

21% (19/92)

NA

Plaque Psoriasis

In plaque psoriasis patients who were on adalimumab monotherapy and subsequently withdrawn from the treatment, the rate of antibodies to adalimumab after retreatment was similar to the rate observed prior to withdrawal

Up to 52 weeks

One 12-week Phase 2 study and one 52-week Phase 3 study

8% (77/920)

21% (77/372)

NA

Hidradenitis Suppurativa

36 weeks

7% (30/461)

28% (58/207)

Among subjects in the 2 Phase 3 studies who stopped adalimumab treatment for up to 24 weeks and in whom adalimumab serum levels subsequently declined to <2 mcg/mL (approximately 22% of total subjects studied)

61% (272/445)

No apparent association between antibody development and safety was observed

Non-infectious Uveitis 52 weeks 5% (12/249) 21% (12/57) 40% (99/240)
No correlation of antibody development to safety or efficacy outcomes was observed


Rheumatoid Arthritis and Psoriatic Arthritis

Patients in Studies RA-I, RA-II, and RA-III were tested at multiple time points for antibodies to adalimumab using the ELISA during the 6- to 12- month period. No apparent correlation of antibody development to adverse reactions was observed. With monotherapy, patients receiving every other week dosing may develop antibodies more frequently than those receiving weekly dosing. In patients receiving the recommended dosage of 40 mg every other week as monotherapy, the ACR 20 response was lower among antibody-positive patients than among antibody-negative patients. The long-term immunogenicity of adalimumab products is unknown.

Geriatric Patients

A lower clearance with increasing age was observed in patients with RA aged 40 to >75 years.

Limitations of Use

The effectiveness of adalimumab products has not been established in patients who have lost response to or were intolerant to TNF blockers [see Clinical Studies (14.7 )].

Pediatric Patients

Juvenile Idiopathic Arthritis:

  • 4 years to 17 years of age: The adalimumab mean steady-state trough concentrations were 6.8 mcg/mL and 10.9 mcg/mL in patients weighing <30 kg receiving 20 mg adalimumab subcutaneously every other week as monotherapy or with concomitant MTX, respectively. The adalimumab mean steady-state trough concentrations were 6.6 mcg/mL and 8.1 mcg/mL in patients weighing ≥30 kg receiving 40 mg adalimumab subcutaneously every other week as monotherapy or with MTX concomitant treatment, respectively.
  • 2 years to <4 years of age or 4 years of age and older weighing <15 kg: The adalimumab mean steady-state trough adalimumab concentrations were 6.0 mcg/mL and 7.9 mcg/mL in patients receiving adalimumab subcutaneously every other week as monotherapy or with MTX concomitant treatment, respectively.

Pediatric Crohn's Disease: Adalimumab mean ± SD concentrations were 15.7±6.5 mcg/mL at Week 4 following 160 mg at Week 0 and 80 mg at Week 2, and 10.5±6.0 mcg/mL at Week 52 following 40 mg every other week dosing in patients weighing ≥ 40 kg. Adalimumab mean ± SD concentrations were 10.6±6.1 mcg/mL at Week 4 following dosing 80 mg at Week 0 and 40 mg at Week 2, and 6.9±3.6 mcg/mL at Week 52 following 20 mg every other week dosing in patients weighing < 40 kg.

14.11 Adult Uveitis

The safety and efficacy of adalimumab were assessed in adult patients with non-infectious intermediate, posterior and panuveitis excluding patients with isolated anterior uveitis, in two randomized, double-masked, placebo-controlled studies (UV I and II). Patients received placebo or adalimumab at an initial dose of 80 mg followed by 40 mg every other week starting one week after the initial dose. The primary efficacy endpoint in both studies was ´time to treatment failure´.

Treatment failure was a multi-component outcome defined as the development of new inflammatory chorioretinal and/or inflammatory retinal vascular lesions, an increase in anterior chamber (AC) cell grade or vitreous haze (VH) grade or a decrease in best corrected visual acuity (BCVA).

Study UV I evaluated 217 patients with active uveitis while being treated with corticosteroids (oral prednisone at a dose of 10 to 60 mg/day). All patients received a standardized dose of prednisone 60 mg/day at study entry followed by a mandatory taper schedule, with complete corticosteroid discontinuation by Week 15.

Study UV II evaluated 226 patients with inactive uveitis while being treated with corticosteroids (oral prednisone 10 to 35 mg/day) at baseline to control their disease. Patients subsequently underwent a mandatory taper schedule, with complete corticosteroid discontinuation by Week 19.

4 Contraindications (4 CONTRAINDICATIONS)

None.

6 Adverse Reactions (6 ADVERSE REACTIONS)

The following clinically significant adverse reactions are described elsewhere in the labeling:

7 Drug Interactions (7 DRUG INTERACTIONS)
  • Abatacept: Increased risk of serious infection. (5.1, 5.11, 7.2)
  • Anakinra: Increased risk of serious infection. (5.1, 5.7, 7.2)
  • Live vaccines: Avoid use with Adalimumab-fkjp. (5.10, 7.3)

  

*Biosimilar means that the biological product is approved based on data demonstrating that it is highly similar to an FDA-approved biological product, known as a reference product, and that there are no clinically meaningful differences between the biosimilar product and the reference product. Biosimilarity of ADALIMUMAB-FKJP has been demonstrated for the condition(s) of use (e.g. indication(s), dosing regimen(s)), strength(s), dosage form(s), and route(s) of administration described in its Full Prescribing Information.

Psoriatic Arthritis

In patients receiving 40 mg every other week, adalimumab mean steady-state trough concentrations were 6 to 10 mcg/mL and 8.5 to 12 mcg/mL, without and with MTX concomitant treatment, respectively.

1.7 Plaque Psoriasis

Adalimumab-fkjp is indicated for the treatment of adult patients with moderate to severe chronic plaque psoriasis who are candidates for systemic therapy or phototherapy, and when other systemic therapies are medically less appropriate. Adalimumab-fkjp should only be administered to patients who will be closely monitored and have regular follow-up visits with a physician [see Warnings and Precautions (5)].

Rheumatoid Arthritis

A trend toward higher apparent clearance of adalimumab in the presence of anti-adalimumab antibodies was identified.

1.5 Crohn’s Disease

Adalimumab-fkjp is indicated for the treatment of moderately to severely active Crohn’s disease in adults and pediatric patients 6 years of age and older.

12.2 Pharmacodynamics

After treatment with adalimumab, a decrease in concentrations of acute phase reactants of inflammation (C-reactive protein [CRP] and erythrocyte sedimentation rate [ESR]) and serum cytokines (IL-6) was observed compared to baseline in patients with rheumatoid arthritis. A decrease in CRP concentrations was also observed in patients with Crohn’s disease, ulcerative colitis and hidradenitis suppurativa. Serum concentrations of matrix metalloproteinases (MMP-1 and MMP-3) that produce tissue remodeling responsible for cartilage destruction were also decreased after adalimumab administration.

12.3 Pharmacokinetics

The pharmacokinetics of adalimumab were linear over the dose range of 0.5 to 10 mg/kg following administration of a single intravenous dose (adalimumab products are not approved for intravenous use). Following 20, 40, and 80 mg every other week and every week subcutaneous administration, adalimumab mean serum trough concentrations at steady state increased approximately proportionally with dose in RA patients. The mean terminal half-life was approximately 2 weeks, ranging from 10 to 20 days across studies. Healthy subjects and patients with RA displayed similar adalimumab pharmacokinetics.

Adalimumab exposure in patients treated with 80 mg every other week is estimated to be comparable with that in patients treated with 40 mg every week.

14.9 Plaque Psoriasis

The safety and efficacy of adalimumab were assessed in randomized, double-blind, placebo-controlled studies in 1696 adult subjects with moderate to severe chronic plaque psoriasis (Ps) who were candidates for systemic therapy or phototherapy.

Study Ps-I evaluated 1212 subjects with chronic Ps with ≥10% body surface area (BSA) involvement, Physician’s Global Assessment (PGA) of at least moderate disease severity, and Psoriasis Area and Severity Index (PASI) ≥12 within three treatment periods. In period A, subjects received placebo or adalimumab at an initial dose of 80 mg at Week 0 followed by a dose of 40 mg every other week starting at Week 1. After 16 weeks of therapy, subjects who achieved at least a PASI 75 response at Week 16, defined as a PASI score improvement of at least 75% relative to baseline, entered period B and received open-label 40 mg adalimumab every other week. After 17 weeks of open label therapy, subjects who maintained at least a PASI 75 response at Week 33 and were originally randomized to active therapy in period A were re-randomized in period C to receive 40 mg adalimumab every other week or placebo for an additional 19 weeks. Across all treatment groups the mean baseline PASI score was 19 and the baseline Physician’s Global Assessment score ranged from “moderate” (53%) to “severe” (41%) to “very severe” (6%).

Study Ps-II evaluated 99 subjects randomized to adalimumab and 48 subjects randomized to placebo with chronic plaque psoriasis with ≥10% BSA involvement and PASI ≥12. Subjects received placebo, or an initial dose of 80 mg adalimumab at Week 0 followed by 40 mg every other week starting at Week 1 for 16 weeks. Across all treatment groups the mean baseline PASI score was 21 and the baseline PGA score ranged from “moderate” (41%) to “severe” (51%) to “very severe” (8%).

Studies Ps-I and II evaluated the proportion of subjects who achieved “clear” or “minimal” disease on the 6-point PGA scale and the proportion of subjects who achieved a reduction in PASI score of at least 75% (PASI 75) from baseline at Week 16 (see Table 17 and 18).

Additionally, Study Ps-I evaluated the proportion of subjects who maintained a PGA of “clear” or “minimal” disease or a PASI 75 response after Week 33 and on or before Week 52.

Table 17. Efficacy Results at 16 Weeks in Study Ps-I Number of Subjects (%)
Minimal = possible but difficult to ascertain whether there is slight elevation of plaque above normal skin, plus or minus surface dryness with some white coloration, plus or minus up to red coloration

Adalimumab 40 mg every other week

Placebo

N = 814

N = 398

PGA: Clear or minimal

Clear = no plaque elevation, no scale, plus or minus hyperpigmentation or diffuse pink or red coloration

506 (62%)

17 (4%)

PASI 75

578 (71%)

26 (7%)

 

Table 18. Efficacy Results at 16 Weeks in Study Ps-II Number of Subjects (%)
Minimal = possible but difficult to ascertain whether there is slight elevation of plaque above normal skin, plus or minus surface dryness with some white coloration, plus or minus up to red coloration

Adalimumab 40 mg every other week

Placebo

N = 99

N = 48

PGA: Clear or minimal

Clear = no plaque elevation, no scale, plus or minus hyperpigmentation or diffuse pink or red coloration

70 (71%)

5 (10%)

PASI 75

77 (78%)

9 (19%)

Additionally, in Study Ps-I, subjects on adalimumab who maintained a PASI 75 were re-randomized to adalimumab (N = 250) or placebo (N = 240) at Week 33. After 52 weeks of treatment with adalimumab, more subjects on adalimumab maintained efficacy when compared to subjects who were re-randomized to placebo based on maintenance of PGA of “clear” or “minimal” disease (68% vs. 28%) or a PASI 75 (79% vs. 43%).

A total of 347 stable responders participated in a withdrawal and retreatment evaluation in an open-label extension study. Median time to relapse (decline to PGA “moderate” or worse) was approximately 5 months. During the withdrawal period, no subject experienced transformation to either pustular or erythrodermic psoriasis. A total of 178 subjects who relapsed re-initiated treatment with 80 mg of adalimumab, then 40 mg every other week beginning at week 1. At week 16, 69% (123/178) of subjects had a response of PGA “clear” or “minimal”.

A randomized, double-blind study (Study Ps-III) compared the efficacy and safety of adalimumab versus placebo in 217 adult subjects. Subjects in the study had to have chronic plaque psoriasis of at least moderate severity on the PGA scale, fingernail involvement of at least moderate severity on a 5-point Physician’s Global Assessment of Fingernail Psoriasis (PGA-F) scale, a Modified Nail Psoriasis Severity Index (mNAPSI) score for the target-fingernail of ≥ 8, and either a BSA involvement of at least 10% or a BSA involvement of at least 5% with a total mNAPSI score for all fingernails of ≥ 20. Subjects received an initial dose of 80 mg adalimumab followed by 40 mg every other week (starting one week after the initial dose) or placebo for 26 weeks followed by open-label adalimumab treatment for an additional 26 weeks. This study evaluated the proportion of subjects who achieved “clear” or “minimal” assessment with at least a 2-grade improvement on the PGA-F scale and the proportion of subjects who achieved at least a 75% improvement from baseline in the mNAPSI score (mNAPSI 75) at Week 26.

At Week 26, a higher proportion of subjects in the adalimumab group than in the placebo group achieved the PGA-F endpoint. Furthermore, a higher proportion of subjects in the adalimumab group than in the placebo group achieved mNAPSI 75 at Week 26 (see Table 19).

Table 19. Efficacy Results at 26 Weeks

Endpoint

Adalimumab 40 mg

every other week

Subjects received 80 mg of adalimumab at Week 0, followed by 40 mg every other week starting at Week 1.

N=109

Placebo

N=108

PGA-F: ≥2-grade improvement and

clear or minimal

49%

7%

mNAPSI 75

47%

3%

Nail pain was also evaluated and improvement in nail pain was observed in Study Ps-III.

Lymphoma and Leukemia

In the controlled portions of clinical trials of all the TNF-blockers in adults, more cases of lymphoma have been observed among TNF-blocker-treated patients compared to control-treated patients. In the controlled portions of 39 global adalimumab clinical trials in adult patients with RA, PsA, AS, CD, UC, Ps, HS and UV, 2 lymphomas occurred among 7973 adalimumab-treated patients versus 1 among 4848 control-treated patients. In 52 global controlled and uncontrolled clinical trials of adalimumab in adult patients with RA, PsA, AS, CD, UC, Ps, HS and UV with a median duration of approximately 0.7 years, including 24,605 patients and over 40,215 patient-years of adalimumab, the observed rate of lymphomas was approximately 0.11 per 100 patient-years. This is approximately 3-fold higher than expected in the general U.S. population according to the SEER database (adjusted for age, gender, and race).1 Rates of lymphoma in clinical trials of adalimumab cannot be compared to rates of lymphoma in clinical trials of other TNF blockers and may not predict the rates observed in a broader patient population. Patients with RA and other chronic inflammatory diseases, particularly those with highly active disease and/or chronic exposure to immunosuppressant therapies, may be at a higher risk (up to several fold) than the general population for the development of lymphoma, even in the absence of TNF blockers. Post-marketing cases of acute and chronic leukemia have been reported in association with TNF-blocker use in RA and other indications. Even in the absence of TNF-blocker therapy, patients with RA may be at a higher risk (approximately 2-fold) than the general population for the development of leukemia.

Radiographic Response

In Study RA-III, structural joint damage was assessed radiographically and expressed as change in Total Sharp Score (TSS) and its components, the erosion score and Joint Space Narrowing (JSN) score, at month 12 compared to baseline. At baseline, the median TSS was approximately 55 in the placebo and 40 mg every other week groups. The results are shown in Table 6. Adalimumab/MTX treated patients demonstrated less radiographic progression than patients receiving MTX alone at 52 weeks.

Table 6. Radiographic Mean Changes Over 12 Months in Study RA-III

Placebo/MTX

Adalimumab/MTX

40 mg every

other week

Placebo/MTX-Adalimumab/

MTX (95% Confidence

Interval

95% confidence intervals for the differences in change scores between MTX and adalimumab.
)

P-value

Based on rank analysis

Total Sharp score

2.7

0.1

2.6 (1.4, 3.8)

<0.001

Erosion score

1.6

0.0

1.6 (0.9, 2.2)

<0.001

JSN score

1.0

0.1

0.9 (0.3, 1.4)

0.002

In the open-label extension of Study RA-III, 77% of the original patients treated with any dose of adalimumab were evaluated radiographically at 2 years. Patients maintained inhibition of structural damage, as measured by the TSS. Fifty-four percent had no progression of structural damage as defined by a change in the TSS of zero or less. Fifty-five percent (55%) of patients originally treated with 40 mg adalimumab every other week have been evaluated radiographically at 5 years. Patients had continued inhibition of structural damage with 50% showing no progression of structural damage defined by a change in the TSS of zero or less.

In Study RA-V, structural joint damage was assessed as in Study RA-III. Greater inhibition of radiographic progression, as assessed by changes in TSS, erosion score and JSN was observed in the adalimumab/MTX combination group as compared to either the MTX or adalimumab monotherapy group at Week 52 as well as at Week 104 (see Table 7).

Table 7. Radiographic Mean Change
mean (95% confidence interval)
in Study RA-V

MTX

p<0.001, adalimumab/MTX vs. MTX at 52 and 104 weeks and for adalimumab/MTX vs. adalimumab at 104 weeks

N=257

Adalimumab

p<0.01, for adalimumab/MTX vs. adalimumab at 52 weeks

N=274

Adalimumab/MTX

N=268

52 Weeks

Total Sharp score

5.7 (4.2, 7.3)

3.0 (1.7, 4.3)

1.3 (0.5, 2.1)

Erosion score

3.7 (2.7, 4.8)

1.7 (1.0, 2.4)

0.8 (0.4, 1.2)

JSN score

2.0 (1.2, 2.8)

1.3 (0.5, 2.1)

0.5 (0.0, 1.0)

104 Weeks

Total Sharp score

10.4 (7.7, 13.2)

5.5 (3.6, 7.4)

1.9 (0.9, 2.9)

Erosion score

6.4 (4.6, 8.2)

3.0 (2.0, 4.0)

1.0 (0.4, 1.6)

JSN score

4.1 (2.7, 5.4)

2.6 (1.5, 3.7)

0.9 (0.3, 1.5)

 

1.6 Ulcerative Colitis

Adalimumab-fkjp is indicated for the treatment of moderately to severely active ulcerative colitis in adult patients.

5.1 Serious Infections

Patients treated with adalimumab products including Adalimumab-fkjp are at increased risk for developing serious infections involving various organ systems and sites that may lead to hospitalization or death. Opportunistic infections due to bacterial, mycobacterial, invasive fungal, viral, parasitic, or other opportunistic pathogens including aspergillosis, blastomycosis, candidiasis, coccidioidomycosis, histoplasmosis, legionellosis, listeriosis, pneumocystosis and tuberculosis have been reported with TNF blockers. Patients have frequently presented with disseminated rather than localized disease.

The concomitant use of a TNF blocker and abatacept or anakinra was associated with a higher risk of serious infections in patients with rheumatoid arthritis (RA); therefore, the concomitant use of Adalimumab-fkjp and these biologic products is not recommended in the treatment of patients with RA [see Warnings and Precautions (5.7, 5.11) and Drug Interactions (7.2)].

Treatment with Adalimumab-fkjp should not be initiated in patients with an active infection, including localized infections. Patients 65 years of age and older, patients with co-morbid conditions and/or patients taking concomitant immunosuppressants (such as corticosteroids or methotrexate), may be at greater risk of infection. Consider the risks and benefits of treatment prior to initiating therapy in patients:

  • with chronic or recurrent infection;
  • who have been exposed to tuberculosis;
  • with a history of an opportunistic infection;
  • who have resided or traveled in areas of endemic tuberculosis or endemic mycoses, such as histoplasmosis, coccidioidomycosis, or blastomycosis; or
  • with underlying conditions that may predispose them to infection.
Malignancies in Adults

In the controlled portions of clinical trials of some TNF-blockers, including adalimumab products, more cases of malignancies have been observed among TNF-blocker-treated adult patients compared to control-treated adult patients. During the controlled portions of 39 global adalimumab clinical trials in adult patients with rheumatoid arthritis (RA), psoriatic arthritis (PsA), ankylosing spondylitis (AS), Crohn’s disease (CD), ulcerative colitis (UC), plaque psoriasis (Ps), hidradenitis suppurativa (HS), uveitis (UV), malignancies, other than non-melanoma (basal cell and squamous cell) skin cancer, were observed at a rate (95% confidence interval) of 0.7 (0.48, 1.03) per 100 patient-years among 7973 adalimumab-treated patients versus a rate of 0.7 (0.41, 1.17) per 100 patient-years among 4848 control-treated patients (median duration of treatment of 4 months for adalimumab-treated patients and 4 months for control-treated patients). In 52 global controlled and uncontrolled clinical trials of adalimumab in adult patients with RA, PsA, AS, CD, UC, Ps, HS and UV the most frequently observed malignancies, other than lymphoma and NMSC, were breast, colon, prostate, lung, and melanoma. The malignancies in adalimumab-treated patients in the controlled and uncontrolled portions of the studies were similar in type and number to what would be expected in the general U.S. population according to the SEER database (adjusted for age, gender, and race).1

In controlled trials of other TNF blockers in adult patients at higher risk for malignancies (i.e., patients with COPD with a significant smoking history and cyclophosphamide-treated patients with Wegener’s granulomatosis), a greater portion of malignancies occurred in the TNF blocker group compared to the control group.

1 Indications and Usage (1 INDICATIONS AND USAGE)

Adalimumab-fkjp is a tumor necrosis factor (TNF) blocker indicated for:

  • Rheumatoid Arthritis (RA) (1.1): reducing signs and symptoms, inducing major clinical response, inhibiting the progression of structural damage, and improving physical function in adult patients with moderately to severely active RA.

  • Juvenile Idiopathic Arthritis (JIA) (1.2): reducing signs and symptoms of moderately to severely active polyarticular JIA in patients 2 years of age and older.

  • Psoriatic Arthritis (PsA) (1.3): reducing signs and symptoms, inhibiting the progression of structural damage, and improving physical function in adult patients with active PsA.

  • Ankylosing Spondylitis (AS) (1.4): reducing signs and symptoms in adult patients with active AS.

  • Crohn’s Disease (CD) (1.5): treatment of moderately to severely active Crohn’s disease in adults and pediatric patients 6 years of age and older.

  • Ulcerative Colitis (UC) (1.6): treatment of moderately to severely active ulcerative colitis in adult patients.

  • Limitations of Use: Effectiveness has not been established in patients who have lost response to or were intolerant to TNF blockers.

  • Plaque Psoriasis (Ps) (1.7): treatment of adult patients with moderate to severe chronic plaque psoriasis who are candidates for systemic therapy or phototherapy, and when other systemic therapies are medically less appropriate.

  • Hidradenitis Suppurativa (HS) (1.8): treatment of moderate to severe hidradenitis suppurativa in adult patients.

  • Uveitis (UV) (1.9): treatment of non-infectious intermediate, posterior, and panuveitis in adult patients.

1.3 Psoriatic Arthritis

Adalimumab-fkjp is indicated for reducing signs and symptoms, inhibiting the progression of structural damage, and improving physical function in adult patients with active psoriatic arthritis. Adalimumab-fkjp can be used alone or in combination with non-biologic DMARDs.

7.2 Biological Products

In clinical studies in patients with RA, an increased risk of serious infections has been observed with the combination of TNF blockers with anakinra or abatacept, with no added benefit; therefore, use of Adalimumab-fkjp with abatacept or anakinra is not recommended in patients with RA [see Warnings and Precautions (5.7, 5.11)]. A higher rate of serious infections has also been observed in patients with RA treated with rituximab who received subsequent treatment with a TNF blocker. There is insufficient information regarding the concomitant use of Adalimumab-fkjp and other biologic products for the treatment of RA, PsA, AS, CD, UC, Ps, HS and UV. Concomitant administration of Adalimumab-fkjp with other biologic DMARDS (e.g., anakinra and abatacept) or other TNF blockers is not recommended based upon the possible increased risk for infections and other potential pharmacological interactions.

Adult Crohn’s Disease

Adalimumab mean trough concentrations were approximately 12 mcg/mL at Week 2 and Week 4 after receiving 160 mg on Week 0 followed by 80 mg on Week 2. Mean steady-state trough concentrations were 7 mcg/mL at Week 24 and Week 56 during adalimumab 40 mg every other week treatment.

Liver Enzyme Elevations

There have been reports of severe hepatic reactions including acute liver failure in patients receiving TNF-blockers. In controlled Phase 3 trials of adalimumab (40 mg SC every other week) in patients with RA, PsA, and AS with control period duration ranging from 4 to 104 weeks, ALT elevations ≥ 3 x ULN occurred in 3.5% of adalimumab-treated patients and 1.5% of control-treated patients. Since many of these patients in these trials were also taking medications that cause liver enzyme elevations (e.g., NSAIDS, MTX), the relationship between adalimumab and the liver enzyme elevations is not clear. In a controlled Phase 3 trial of adalimumab in patients with polyarticular JIA who were 4 to 17 years, ALT elevations ≥ 3 x ULN occurred in 4.4% of adalimumab-treated patients and 1.5% of control-treated patients (ALT more common than AST); liver enzyme test elevations were more frequent among those treated with the combination of adalimumab and MTX than those treated with adalimumab alone. In general, these elevations did not lead to discontinuation of adalimumab treatment. No ALT elevations ≥ 3 x ULN occurred in the open-label study of adalimumab in patients with polyarticular JIA who were 2 to < 4 years.

In controlled Phase 3 trials of adalimumab (initial doses of 160 mg and 80 mg, or 80 mg and 40 mg on Days 1 and 15, respectively, followed by 40 mg every other week) in adult patients with Crohn’s Disease with a control period duration ranging from 4 to 52 weeks, ALT elevations ≥ 3 x ULN occurred in 0.9% of adalimumab-treated patients and 0.9% of control-treated patients. In the Phase 3 trial of adalimumab in pediatric patients with Crohn’s disease which evaluated efficacy and safety of two body weight based maintenance dose regimens following body weight based induction therapy up to 52 weeks of treatment, ALT elevations ≥ 3 x ULN occurred in 2.6% (5/192) of patients, of whom 4 were receiving concomitant immunosuppressants at baseline; none of these patients discontinued due to abnormalities in ALT tests. In controlled Phase 3 trials of adalimumab (initial doses of 160 mg and 80 mg on Days 1 and 15 respectively, followed by 40 mg every other week) in adult patients with UC with control period duration ranging from 1 to 52 weeks, ALT elevations ≥3 x ULN occurred in 1.5% of adalimumab-treated patients and 1.0% of control-treated patients. In controlled Phase 3 trials of adalimumab (initial dose of 80 mg then 40 mg every other week) in patients with Ps with control period duration ranging from 12 to 24 weeks, ALT elevations ≥ 3 x ULN occurred in 1.8% of adalimumab-treated patients and 1.8% of control-treated patients. In controlled trials of adalimumab (initial doses of 160 mg at Week 0 and 80 mg at Week 2, followed by 40 mg every week starting at Week 4), in subjects with HS with a control period duration ranging from 12 to 16 weeks, ALT elevations ≥ 3 x ULN occurred in 0.3% of adalimumab-treated subjects and 0.6% of control-treated subjects. In controlled trials of adalimumab (initial doses of 80 mg at Week 0 followed by 40 mg every other week starting at Week 1) in adult patients with uveitis with an exposure of 165.4 PYs and 119.8 PYs in adalimumab-treated and control-treated patients, respectively, ALT elevations ≥ 3 x ULN occurred in 2.4% of adalimumab-treated patients and 2.4% of control-treated patients.

1.1 Rheumatoid Arthritis

Adalimumab-fkjp is indicated for reducing signs and symptoms, inducing major clinical response, inhibiting the progression of structural damage, and improving physical function in adult patients with moderately to severely active rheumatoid arthritis. Adalimumab-fkjp can be used alone or in combination with methotrexate or other non-biologic disease-modifying anti-rheumatic drugs (DMARDs).

12.1 Mechanism of Action

Adalimumab products bind specifically to TNF-alpha and block its interaction with the p55 and p75 cell surface TNF receptors. Adalimumab products also lyse surface TNF expressing cells in vitro in the presence of complement. Adalimumab products do not bind or inactivate lymphotoxin (TNF-beta). TNF is a naturally occurring cytokine that is involved in normal inflammatory and immune responses. Elevated concentrations of TNF are found in the synovial fluid of patients with RA, JIA, PsA, and AS and play an important role in both the pathologic inflammation and the joint destruction that are hallmarks of these diseases. Increased concentrations of TNF are also found in psoriasis plaques. In Ps, treatment with Adalimumab-fkjp may reduce the epidermal thickness and infiltration of inflammatory cells. The relationship between these pharmacodynamic activities and the mechanism(s) by which adalimumab products exert their clinical effects is unknown.

Adalimumab products also modulate biological responses that are induced or regulated by TNF, including changes in the concentrations of adhesion molecules responsible for leukocyte migration (ELAM-1, VCAM-1, and ICAM-1 with an IC50 of 1-2 X 10-10M).

14.3 Psoriatic Arthritis

The safety and efficacy of adalimumab was assessed in two randomized, double-blind, placebo controlled studies in 413 patients with psoriatic arthritis (PsA). Upon completion of both studies, 383 patients enrolled in an open-label extension study, in which 40 mg adalimumab was administered every other week.

Study PsA-I enrolled 313 adult patients with moderately to severely active PsA (>3 swollen and >3 tender joints) who had an inadequate response to NSAID therapy in one of the following forms: (1) distal interphalangeal (DIP) involvement (N=23); (2) polyarticular arthritis (absence of rheumatoid nodules and presence of plaque psoriasis) (N=210); (3) arthritis mutilans (N=1); (4) asymmetric PsA (N=77); or (5) AS-like (N=2). Patients on MTX therapy (158 of 313 patients) at enrollment (stable dose of ≤30 mg/week for >1 month) could continue MTX at the same dose. Doses of adalimumab 40 mg or placebo every other week were administered during the 24-week double-blind period of the study.

Compared to placebo, treatment with adalimumab resulted in improvements in the measures of disease activity (see Tables 8 and 9). Among patients with PsA who received adalimumab, the clinical responses were apparent in some patients at the time of the first visit (two weeks) and were maintained up to 88 weeks in the ongoing open-label study. Similar responses were seen in patients with each of the subtypes of psoriatic arthritis, although few patients were enrolled with the arthritis mutilans and ankylosing spondylitis-like subtypes. Responses were similar in patients who were or were not receiving concomitant MTX therapy at baseline.

Patients with psoriatic involvement of at least three percent body surface area (BSA) were evaluated for Psoriatic Area and Severity Index (PASI) responses. At 24 weeks, the proportions of patients achieving a 75% or 90% improvement in the PASI were 59% and 42% respectively, in the adalimumab group (N=69), compared to 1% and 0% respectively, in the placebo group (N=69) (p<0.001). PASI responses were apparent in some patients at the time of the first visit (two weeks). Responses were similar in patients who were or were not receiving concomitant MTX therapy at baseline.

Table 8. ACR Response in Study PsA-I (Percent of Patients)

Placebo

N=162

Adalimumab

p<0.001 for all comparisons between adalimumab and placebo

N=151

ACR20

               Week 12

               Week 24

14%

15%

58%

57%

ACR50

               Week 12

               Week 24

4%

6%

36%

39%

ACR70

               Week 12

               Week 24

1%

1%

20%

23%

  

Table 9. Components of Disease Activity in Study PsA-I

Placebo

N=162

Adalimumab

p<0.001 for adalimumab vs. placebo comparisons based on median changes

N=151

Parameter: median

Baseline

24 weeks

Baseline

24 weeks

Number of tender joints

Scale 0-78

23.0

17.0

20.0

5.0

Number of swollen joints

Scale 0-76

11.0

9.0

11.0

3.0

Physician global assessment

Visual analog scale; 0=best, 100=worst

53.0

49.0

55.0

16.0

Patient global assessment

49.5

49.0

48.0

20.0

Pain

49.0

49.0

54.0

20.0

Disability index (HAQ)

Disability Index of the Health Assessment Questionnaire; 0=best, 3=worst; measures the patient’s ability to perform the following: dress/groom, arise, eat, walk, reach, grip, maintain hygiene, and maintain daily activity.

1.0

0.9

1.0

0.4

CRP (mg/dL)

Normal range: 0-0.287 mg/dL

0.8

0.7

0.8

0.2

Similar results were seen in an additional, 12-week study in 100 patients with moderate to severe psoriatic arthritis who had suboptimal response to DMARD therapy as manifested by ≥3 tender joints and ≥3 swollen joints at enrollment.

5.5 Neurologic Reactions

Use of TNF blocking agents, including adalimumab products, has been associated with rare cases of new onset or exacerbation of clinical symptoms and/or radiographic evidence of central nervous system demyelinating disease, including multiple sclerosis (MS) and optic neuritis, and peripheral demyelinating disease, including Guillain-Barré syndrome. Exercise caution in considering the use of Adalimumab-fkjp in patients with preexisting or recent-onset central or peripheral nervous system demyelinating disorders; discontinuation of Adalimumab-fkjp should be considered if any of these disorders develop. There is a known association between intermediate uveitis and central demyelinating disorders.

Adult Ulcerative Colitis

Adalimumab mean trough concentrations were approximately 12 mcg/mL at Week 2 and Week 4 after receiving 160 mg on Week 0 followed by 80 mg on Week 2. Mean steady-state trough concentrations were approximately 8 mcg/mL and 15 mcg/mL at Week 52 after receiving a dose of adalimumab 40 mg every other week and 40 mg every week, respectively.

Drug Interaction Studies

Methotrexate: MTX reduced adalimumab apparent clearance after single and multiple dosing by 29% and 44% respectively, in patients with RA [see Drug Interactions (7.1)].

Hidradenitis Suppurativa

In subjects with moderate to severe HS, antibodies to adalimumab were associated with reduced serum adalimumab concentrations. In general, the extent of reduction in serum adalimumab concentrations is greater with increasing titers of antibodies to adalimumab.

Male and Female Patients

No gender-related pharmacokinetic differences were observed after correction for a patient’s body weight. Healthy subjects and patients with rheumatoid arthritis displayed similar adalimumab pharmacokinetics.

Non Melanoma Skin Cancer (Non-Melanoma Skin Cancer)

During the controlled portions of 39 global adalimumab clinical trials in adult patients with RA, PsA, AS, CD, UC, Ps, HS and UV, the rate (95% confidence interval) of NMSC was 0.8 (0.52, 1.09) per 100 patient-years among adalimumab-treated patients and 0.2 (0.10, 0.59) per 100 patient-years among control-treated patients. Examine all patients, and in particular patients with a medical history of prior prolonged immunosuppressant therapy or psoriasis patients with a history of PUVA treatment for the presence of NMSC prior to and during treatment with Adalimumab-fkjp.

Uveitis Clinical Studies

Adalimumab has been studied in 464 adult patients with uveitis (UV) in placebo-controlled and open-label extension studies [see Clinical Studies (14.11)]. The safety profile for patients with UV treated with adalimumab was similar to the safety profile seen in patients with RA.

14.1 Rheumatoid Arthritis

The efficacy and safety of adalimumab were assessed in five randomized, double-blind studies in patients ≥18 years of age with active rheumatoid arthritis (RA) diagnosed according to American College of Rheumatology (ACR) criteria. Patients had at least 6 swollen and 9 tender joints. Adalimumab was administered subcutaneously in combination with methotrexate (MTX) (12.5 to 25 mg, Studies RA-I, RA-III and RA-V) or as monotherapy (Studies RA-II and RA-V) or with other disease-modifying anti-rheumatic drugs (DMARDs) (Study RA-IV).

Study RA-I evaluated 271 patients who had failed therapy with at least one but no more than four DMARDs and had inadequate response to MTX. Doses of 20, 40 or 80 mg of adalimumab or placebo were given every other week for 24 weeks.

Study RA-II evaluated 544 patients who had failed therapy with at least one DMARD. Doses of placebo, 20 or 40 mg of adalimumab were given as monotherapy every other week or weekly for 26 weeks.

Study RA-III evaluated 619 patients who had an inadequate response to MTX. Patients received placebo, 40 mg of adalimumab every other week with placebo injections on alternate weeks, or 20 mg of adalimumab weekly for up to 52 weeks. Study RA-III had an additional primary endpoint at 52 weeks of inhibition of disease progression (as detected by X-ray results). Upon completion of the first 52 weeks, 457 patients enrolled in an open-label extension phase in which 40 mg of adalimumab was administered every other week for up to 5 years.

Study RA-IV assessed safety in 636 patients who were either DMARD-naive or were permitted to remain on their pre-existing rheumatologic therapy provided that therapy was stable for a minimum of 28 days. Patients were randomized to 40 mg of adalimumab or placebo every other week for 24 weeks.

Study RA-V evaluated 799 patients with moderately to severely active RA of less than 3 years duration who were ≥18 years old and MTX naïve. Patients were randomized to receive either MTX (optimized to 20 mg/week by week 8), adalimumab 40 mg every other week or adalimumab/MTX combination therapy for 104 weeks. Patients were evaluated for signs and symptoms, and for radiographic progression of joint damage. The median disease duration among patients enrolled in the study was 5 months. The median MTX dose achieved was 20 mg.

1.4 Ankylosing Spondylitis

Adalimumab-fkjp is indicated for reducing signs and symptoms in adult patients with active ankylosing spondylitis.

5 Warnings and Precautions (5 WARNINGS AND PRECAUTIONS)
  • Serious infections: Do not start Adalimumab-fkjp during an active infection. If an infection develops, monitor carefully, and stop Adalimumab-fkjp if infection becomes serious. (5.1)

  • Invasive fungal infections: For patients who develop a systemic illness on Adalimumab-fkjp, consider empiric antifungal therapy for those who reside or travel to regions where mycoses are endemic. (5.1)
  • Malignancies: Incidence of malignancies was greater in adalimumab-treated patients than in controls. (5.2)
  • Anaphylaxis or serious hypersensitivity reactions may occur. (5.3)
  • Hepatitis B virus reactivation: Monitor HBV carriers during and several months after therapy. If reactivation occurs, stop Adalimumab-fkjp and begin antiviral therapy. (5.4)
  • Demyelinating disease: Exacerbation or new onset, may occur. (5.5)
  • Cytopenias, pancytopenia: Advise patients to seek immediate medical attention if symptoms develop, and consider stopping Adalimumab-fkjp. (5.6)
  • Heart failure: Worsening or new onset, may occur. (5.8)
  • Lupus-like syndrome: Stop Adalimumab-fkjp if syndrome develops. (5.9)
Instructions for Use Pen (INSTRUCTIONS FOR USE - Pen)

Adalimumab-fkjp

Pen injection

40 mg/0.8 mL

Single-Dose Pen

Important Information:

  • Do not try to inject adalimumab-fkjp injection yourself until you have been shown the right way to give the injections and have read and understand this Instructions for Use.

  • If your healthcare provider decides that you or a caregiver may be able to give your injections of adalimumab-fkjp injection at home, you should receive training on the right way to prepare and inject adalimumab-fkjp injection.

  • There will be a “click” during your injections. You should practice injecting adalimumab-fkjp injection with your healthcare provider so that you are not startled by this “click” when you start giving yourself injections at home.

  • It is important that you read, understand, and follow these instructions so that you inject adalimumab-fkjp injection the right way. It is also important to talk to your healthcare provider to be sure you understand your adalimumab-fkjp injection dosing instructions.

  • To help you remember when to inject adalimumab-fkjp injection, you can mark your calendar ahead of time.

  • Call your healthcare provider if you or your caregiver have any questions about the right way to inject adalimumab-fkjp injection.

  • Each Adalimumab-fkjp Pen can only be used one time. Throw the used Pen away (See How should I throw away (dispose of) the used Adalimumab-fkjp Pen) after one dose, even if there is still medicine left in it. Do not reuse your Adalimumab-fkjp Pen.

For Questions or Assistance, Call Biocon Biologics at 1-833-986-1468

The figure below shows what the Adalimumab-fkjp Pen looks like. See Figure A.

Step 1. Gather the Supplies for Your Injection

  • Take your Adalimumab-fkjp Pen out of the refrigerator 15 to 30 minutes before injecting to allow the liquid to reach room temperature.

    • Do not warm adalimumab-fkjp injection in any other way (for example, do not warm it in a microwave or in hot water)

    • Do not use adalimumab-fkjp injection if it has been frozen, even if it has been thawed.

    • Do not put the adalimumab-fkjp injection Pen back in the refrigerator after reaching room temperature.

  • Do not uncap your Adalimumab-fkjp Pen until you are ready to inject and will not be interrupted.

You will need the following supplies for each injection of adalimumab-fkjp injection.

  • 1 Adalimumab-fkjp Pen (See Figure A)

  • 1 alcohol swab

  • 1 cotton ball or gauze pad (not included in your adalimumab-fkjp injection carton)

  • Puncture-resistant sharps disposal container for Adalimumab-fkjp Pen disposal (not included in your adalimumab-fkjp injection carton). See the “How should I throw away (dispose of) the used Adalimumab-fkjp Pen?” section at the end of this Instructions for Use.

If you do not have all the supplies you need to give yourself an injection, go to a pharmacy or call your pharmacist.

Find a clean, flat surface to place the supplies on.

Step 2. Check the Carton, Dose Tray and Adalimumab-fkjp Pen

  • Make sure the name adalimumab-fkjp injection appears on the carton, dose tray, and Adalimumab-fkjp Pen label.

  • Check the seals on the top or bottom of the carton to make sure they are not broken or missing.

  • Check the expiration date on the carton, dose tray, and Adalimumab-fkjp Pen.

  • Do not use the Adalimumab-fkjp Pen and call your healthcare provider or pharmacist if:

    • you drop or crush your Adalimumab-fkjp Pen.

    • the seals on the top or bottom of the carton are broken or missing.

    • the expiration date on the carton, dose tray, and Pen has passed.

    • The Adalimumab-fkjp Pen has been frozen or left in direct sunlight.

    • Adalimumab-fkjp injection has been kept at room temperature for longer than 14 days or adalimumab-fkjp injection has been stored above 77°F (25°C).

    • the liquid in the Adalimumab-fkjp Pen is cloudy, discolored or has flakes or particles in it.

See the “How should I store adalimumab-fkjp injection?” section at the end of this Instructions for Use.

Check the fluid level in the Pen:

  • Hold the Pen with the protective clear cap covering the orange activator pointed down. (See Figure B).

  • Make sure the amount of liquid in the Pen is at the fill line or close to the fill line seen through the window. You may need to shake gently to see the liquid. This is the full dose of adalimumab-fkjp injection that you will inject. (See Figure B).

  • If the Pen does not have the full amount of liquid, do not use that Pen. Call your pharmacist.

  • Turn the Pen and hold with the protective clear cap covering the orange activator pointed sideways. (See Figure C).

  • Check the solution through the windows on the side of the Pen to make sure the liquid is clear and colorless to pale brownish-yellow.

  • Do not use your Adalimumab-fkjp Pen if the liquid is cloudy, discolored, or if it has flakes or particles in it. Call your pharmacist.

  • It is normal to see one or more bubbles in the window.

Step 3. Choose the Injection Site

  • Wash your hands with soap and water and dry well.

  • Choose an injection site on:

    • the front of your thighs or

    • your lower abdomen (belly). If you choose your abdomen, do not use the area 2 inches around your belly button (navel). (See Figure D).

  • Choose a different site (rotate) each time you give yourself an injection. Each new injection should be given at least 1 inch from a site you used before.

  • Do not inject adalimumab-fkjp injection into skin that is:

    • sore (tender)

    • bruised

    • red

    • hard

    • Scarred or where you have stretch marks

  • If you have psoriasis, do not inject directly into any raised, thick, red or scaly skin patches or lesions on your skin.

  • Do not inject through your clothes.

Step 4: Prepare the Injection Site

  • Wipe the injection site with an alcohol prep (swab) using a circular motion.

  • Do not touch this area again before giving the injection.

  • Allow the skin to dry before injecting. Do not fan or blow on the clean area.

Step 5. Prepare the Adalimumab-fkjp Pen

  • Do not remove the protective clear cap until right before your injection.

  • Hold the middle of the Pen (white body) with one hand so that you are not touching the protective clear cap. Turn the Pen so that the orange activator end is pointing down. See (Figure E).

  • With your other hand, pull the protective clear cap straight off (do not twist the cap). Make sure the small needle cover of the syringe has come off with the protective clear cap. (See Figure F).

  • Important: Do not put the protective clear cap back on. It may damage the needle.

  • Throw away the protective clear cap.

  • The orange activator which covers the needle is where the needle comes out. The needle can now be seen.

Caution:

  • Never put your thumb, fingers, or hand over the orange activator after the protective clear cap is removed.

  • Never press or push the orange activator with your thumb, fingers, or hand.

  • If accidental injection to your fingers or hands happens, apply first-aid and either call your healthcare provider or go to the nearest hospital emergency room if needed.

  • Do not touch the needle with your fingers or let the needle touch anything.

  • You may see a few drops of liquid come out of the needle. This is normal.

  • Turn the Pen so the white end is pointed up. (See Figure G).

  • Hold the Pen so that you can see the window. (See Figure H). It is normal to see one or more bubbles in the window.

Step 6. Position the Pen

  • Squeeze the area of the cleaned skin and hold it firmly until the injection is complete. (See Figure I). You will inject into this raised area of skin.

  • Place the orange activator end of the Pen straight (at a 90º angle) and flat against the raised area of your skin that you are squeezing.

  • Place the Pen so that it will not inject the needle into your fingers that are holding the raised skin. (See Figure J).

Step 7. Inject adalimumab-fkjp injection

  • It is important that you firmly push the Pen down all the way against the injection site to begin the injection. Try not to cover the window. (See Figure K).

  • Do not move, twist, or rotate the Pen during the injection.

  • Keep pushing down to prevent the Pen from moving away from the skin during the injection.

  • You will hear a loud ‘click’ when the orange activator is pressed down against the injection site. The loud click means the start of the injection.

  • Continue to push the Pen against your squeezed, raised skin until all the medicine is injected. This can take up to 10 seconds, so count slowly to ten. Keep pushing the Pen against the squeezed, raised skin of your injection site for the whole time so you get the full dose of medicine.

  • You will know that the injection has finished when:

    • A 2nd ‘Click’ was heard, and

    • Orange indicator has stopped moving and completely blocked the viewing window (See Figure L)

    • 10 seconds has passed.

  • Make sure all 3 of these have happened to make certain all the medicine was delivered. If the needle did not retract or you do not think you received the full dose, contact your healthcare provider for help

  • When the injection is finished, slowly pull the Pen from your skin. The white needle

    sleeve will move to cover the needle tip. (See Figure M).

  • Do not touch the needle. The white needle sleeve is there to prevent you from touching the needle.

  • If the needle did not retract or you do not think you received the full dose, contact your healthcare provider for help.

  • There may be a small amount of liquid on the injection site. This is normal.

  • Press a cotton ball or gauze pad over the injection site and hold it for 10 seconds. Do not rub the injection site. You may have slight bleeding. This is normal.

Step 8. Throw away (dispose of) your used Adalimumab-fkjp Pen in a sharps disposal container right away after use. See the section “How should I throw away (dispose of) the used Adalimumab-fkjp Pen?”

How should I throw away (dispose of) the used Adalimumab-fkjp Pen?

  • Put your Pen in an FDA-cleared sharps disposal container right away after use. (See Figure N). Do not throw away the Pen in your household trash.

  • Do not try to touch the needle. The orange needle sleeve is there to prevent you from touching the needle.

  • If you do not have a FDA-cleared sharps disposal container, you may use a household container that is:

    • made of a heavy-duty plastic,

    • Can be closed with a tight-fitting, puncture-resistant lid, without sharps being able to come out,

    • upright and stable during use,

    • leak-resistant, and properly labeled to warn of hazardous waste inside the container.

  • When your sharps disposal container is almost full, you will need to follow your community guidelines for the right way to dispose of your sharps disposal container. There may be state or local laws about how you should throw away used needles and syringes. For more information about safe sharps disposal, and for specific information about sharps disposal in the state that you live in, go to the FDA’s website at: http://www.fda.gov/safesharpsdisposal.

  • For the safety and health of you and others, never re-use your Adalimumab-fkjp Pens.

  • The used alcohol pads, cotton balls, dose trays and packaging may be placed in your household trash.

  • Do not dispose of your used sharps disposal container in your household trash unless your community guidelines permit this. Do not recycle your used sharps disposal container.

  • Always keep the sharps container out of the reach of children.

Keep a record of the dates and location of your injection sites. To help you remember when to take adalimumab-fkjp injection, you can mark your calendar ahead of time.

How should I Store adalimumab-fkjp injection?

  • Store adalimumab-fkjp injection in the refrigerator between 36ºF to 46ºF (2ºC to 8ºC).

  • Store adalimumab-fkjp injection in the original carton until use to protect it from light.

  • Do not freeze adalimumab-fkjp injection.

  • If needed, for example when you are traveling, you may also store adalimumab-fkjp injection at room temperature up to 77°F (25°C) for up to 14 days.

  • Throw away adalimumab-fkjp injection if it has been kept at room temperature and not been used within 14 days.

  • Do not store adalimumab-fkjp injection in extreme heat or cold, such as a hot car, or a freezing car overnight.

  • Keep adalimumab-fkjp injection, injection supplies, and all other medicines out of the reach of children.

Manufactured by and for:

Biocon Biologics Inc.

245 Main St, 2nd Floor,

Cambridge, MA 02142, U.S.A.

U.S. License No. 2324

Product of Japan

This Instructions for Use has been approved by the U.S. Food and Drug Administration.

Issued: 02/2025

Invasive Fungal Infections

If patients develop a serious systemic illness and they reside or travel in regions where mycoses are endemic, consider invasive fungal infection in the differential diagnosis. Antigen and antibody testing for histoplasmosis may be negative in some patients with active infection. Consider appropriate empiric antifungal therapy, taking into account both the risk for severe fungal infection and the risks of antifungal therapy, while a diagnostic workup is being performed. To aid in the management of such patients, consider consultation with a physician with expertise in the diagnosis and treatment of invasive fungal infections.

Physical Function Response

In studies RA-I through IV, adalimumab showed significantly greater improvement than placebo in the disability index of Health Assessment Questionnaire (HAQ-DI) from baseline to the end of study, and significantly greater improvement than placebo in the health-outcomes as assessed by The Short Form Health Survey (SF 36). Improvement was seen in both the Physical Component Summary (PCS) and the Mental Component Summary (MCS).

In Study RA-III, the mean (95% CI) improvement in HAQ-DI from baseline at week 52 was 0.60 (0.55, 0.65) for the adalimumab patients and 0.25 (0.17, 0.33) for placebo/MTX (p<0.001) patients. Sixty-three percent of adalimumab-treated patients achieved a 0.5 or greater improvement in HAQ-DI at week 52 in the double-blind portion of the study. Eighty-two percent of these patients maintained that improvement through week 104 and a similar proportion of patients maintained this response through week 260 (5 years) of open-label treatment. Mean improvement in the SF-36 was maintained through the end of measurement at week 156 (3 years).

In Study RA-V, the HAQ-DI and the physical component of the SF-36 showed greater improvement (p<0.001) for the adalimumab/MTX combination therapy group versus either the MTX monotherapy or the adalimumab monotherapy group at Week 52, which was maintained through Week 104.

14.4 Ankylosing Spondylitis

The safety and efficacy of adalimumab 40 mg every other week was assessed in 315 adult patients in a randomized, 24 week double-blind, placebo-controlled study in patients with active ankylosing spondylitis (AS) who had an inadequate response to glucocorticoids, NSAIDs, analgesics, methotrexate or sulfasalazine. Active AS was defined as patients who fulfilled at least two of the following three criteria: (1) a Bath AS disease activity index (BASDAI) score ≥4 cm, (2) a visual analog score (VAS) for total back pain ≥ 40 mm, and (3) morning stiffness ≥ 1 hour. The blinded period was followed by an open-label period during which patients received adalimumab 40 mg every other week subcutaneously for up to an additional 28 weeks.

Improvement in measures of disease activity was first observed at Week 2 and maintained through 24 weeks as shown in Figure 2 and Table 11.

Responses of patients with total spinal ankylosis (n=11) were similar to those without total ankylosis.

Figure 2. ASAS 20 Response By Visit, Study AS-I

At 12 weeks, the ASAS 20/50/70 responses were achieved by 58%, 38%, and 23%, respectively, of patients receiving adalimumab, compared to 21%, 10%, and 5% respectively, of patients receiving placebo (p <0.001). Similar responses were seen at Week 24 and were sustained in patients receiving open-label adalimumab for up to 52 weeks.

A greater proportion of patients treated with adalimumab (22%) achieved a low level of disease activity at 24 weeks (defined as a value <20 [on a scale of 0 to 100 mm] in each of the four ASAS response parameters) compared to patients treated with placebo (6%).

Table 11. Components of Ankylosing Spondylitis Disease Activity

Placebo

N=107

Adalimumab

N=208

Baseline

mean

Week 24

mean

Baseline

mean

Week 24

mean

ASAS 20 Response Criteria

statistically significant for comparisons between adalimumab and placebo at Week 24

Patient’s Global Assessment of Disease Activity

Percent of subjects with at least a 20% and 10-unit improvement measured on a Visual Analog Scale (VAS) with 0 = “none” and 100 = “severe”

65

60

63

38

Total back pain

67

58

65

37

Inflammation

mean of questions 5 and 6 of BASDAI (defined in ‘d’)

6.7

5.6

6.7

3.6

BASFI

Bath Ankylosing Spondylitis Functional Index

56

51

52

34

BASDAI

Bath Ankylosing Spondylitis Disease Activity Index
score

6.3

5.5

6.3

3.7

BASMI

Bath Ankylosing Spondylitis Metrology Index
score

4.2

4.1

3.8

3.3

Tragus to wall (cm)

15.9

15.8

15.8

15.4

Lumbar flexion (cm)

4.1

4.0

4.2

4.4

Cervical rotation (degrees)

42.2

42.1

48.4

51.6

Lumbar side flexion (cm)

8.9

9.0

9.7

11.7

Intermalleolar distance (cm)

92.9

94.0

93.5

100.8

CRP

C-Reactive Protein (mg/dL)

2.2

2.0

1.8

0.6

A second randomized, multicenter, double-blind, placebo-controlled study of 82 patients with ankylosing spondylitis showed similar results.

Patients treated with adalimumab achieved improvement from baseline in the Ankylosing Spondylitis Quality of Life Questionnaire (ASQoL) score (-3.6 vs. -1.1) and in the Short Form Health Survey (SF-36) Physical Component Summary (PCS) score (7.4 vs. 1.9) compared to placebo-treated patients at Week 24.

2 Dosage and Administration (2 DOSAGE AND ADMINISTRATION)
  • Administer by subcutaneous injection (2)

Rheumatoid Arthritis, Psoriatic Arthritis, Ankylosing Spondylitis (2.1):

  • Adults: 40 mg every other week.
    • Some patients with RA not receiving methotrexate may benefit from increasing the dosage to 40 mg every week or 80 mg every other week.

Juvenile Idiopathic Arthritis (2.2):

Pediatric Weight

2 Years of Age and Older

Recommended Dosage

15 kg (33 lbs) to less than 30 kg (66 lbs)

20 mg every other week

30 kg (66 lbs) and greater

40 mg every other week

Crohn’s Disease (2.3):

  • Adults: 160 mg on Day 1 (given in one day or split over two consecutive days); 80 mg on Day 15; and 40 mg every other week starting on Day 29.
  • Pediatric Patients 6 Years of Age and Older:

Pediatric Weight

Recommended Dosage

Days 1 and 15

Starting on Day 29

17 kg (37 lbs)

to less than

40 kg (88 lbs)

Day 1: 80 mg

Day 15: 40 mg

20 mg every other week

40 kg (88 lbs)

and greater

Day 1: 160 mg (single dose or split over two consecutive days)

Day 15: 80 mg

40 mg every other week

Ulcerative Colitis (2.4):

  • Adults: 160 mg on Day 1 (given in one day or split over two consecutive days), 80 mg on Day 15 and 40 mg every other week starting on Day 29. Discontinue in patients without evidence of clinical remission by eight weeks (Day 57).

Plaque Psoriasis or Adult Uveitis (2.5):

  • Adults: 80 mg initial dose, followed by 40 mg every other week starting one week after initial dose.

Hidradenitis Suppurativa (2.6):

  • Adults:
    • o
      Day 1: 160 mg (given in one day or split over two consecutive days)
    • o
      Day 15: 80 mg
    • o
      Day 29 and subsequent doses: 40 mg every week or 80 mg every other week
5.6 Hematological Reactions

Rare reports of pancytopenia including aplastic anemia have been reported with TNF blocking agents. Adverse reactions of the hematologic system, including medically significant cytopenia (e.g., thrombocytopenia, leukopenia) have been infrequently reported with adalimumab products. The causal relationship of these reports to adalimumab products remains unclear. Advise all patients to seek immediate medical attention if they develop signs and symptoms suggestive of blood dyscrasias or infection (e.g., persistent fever, bruising, bleeding, pallor) while on Adalimumab-fkjp. Consider discontinuation of Adalimumab-fkjp therapy in patients with confirmed significant hematologic abnormalities.

Pediatric Crohn’s Disease

The safety and effectiveness of adalimumab products for the treatment of moderately to severely active Crohn’s disease have been established in pediatric patients 6 years of age and older. Use of adalimumab products for this indication is supported by evidence from adequate and well-controlled studies in adults with additional data from a randomized, double-blind, 52-week clinical study of two dose concentrations of adalimumab in 192 pediatric patients (6 years to 17 years of age) [see Adverse Reactions (6.1), Clinical Pharmacology (12.2, 12.3), Clinical Studies (14.6)]. The adverse reaction profile in patients 6 years to 17 years of age was similar to adults.

The safety and effectiveness of adalimumab products have not been established in pediatric patients with Crohn’s disease less than 6 years of age.

1.8 Hidradenitis Suppurativa

Adalimumab-fkjp is indicated for the treatment of moderate to severe hidradenitis suppurativa in adult patients.

14.5 Adult Crohn’s Disease

The safety and efficacy of multiple doses of adalimumab were assessed in adult patients with moderately to severely active Crohn’s disease, CD, (Crohn’s Disease Activity Index (CDAI) ≥ 220 and ≤ 450) in randomized, double-blind, placebo-controlled studies. Concomitant stable doses of aminosalicylates, corticosteroids, and/or immunomodulatory agents were permitted, and 79% of patients continued to receive at least one of these medications.

Induction of clinical remission (defined as CDAI < 150) was evaluated in two studies. In Study CD-I, 299 TNF-blocker naïve patients were randomized to one of four treatment groups: the placebo group received placebo at Weeks 0 and 2, the 160/80 group received 160 mg adalimumab at Week 0 and 80 mg at Week 2, the 80/40 group received 80 mg at Week 0 and 40 mg at Week 2, and the 40/20 group received 40 mg at Week 0 and 20 mg at Week 2. Clinical results were assessed at Week 4.

In the second induction study, Study CD-II, 325 patients who had lost response to, or were intolerant to, previous infliximab therapy were randomized to receive either 160 mg adalimumab at Week 0 and 80 mg at Week 2, or placebo at Weeks 0 and 2. Clinical results were assessed at Week 4.

Maintenance of clinical remission was evaluated in Study CD-III. In this study, 854 patients with active disease received open-label adalimumab, 80 mg at week 0 and 40 mg at Week 2. Patients were then randomized at Week 4 to 40 mg adalimumab every other week, 40 mg adalimumab every week, or placebo. The total study duration was 56 weeks. Patients in clinical response (decrease in CDAI ≥70) at Week 4 were stratified and analyzed separately from those not in clinical response at Week 4.

3 Dosage Forms and Strengths (3 DOSAGE FORMS AND STRENGTHS)

Adalimumab-fkjp is a clear to slightly opalescent, colorless to pale brownish-yellow solution available as:

  • Pen (Adalimumab-fkjp Pen)

    Injection: 40 mg/0.8 mL in a single-dose pen.
  • Prefilled Syringe

    Injection: 40 mg/0.8 mL in a single-dose prefilled plastic syringe.

    Injection: 20 mg/0.4 mL in a single-dose prefilled plastic syringe.
6.3 Postmarketing Experience

The following adverse reactions have been identified during post-approval use of adalimumab products. Because these reactions are reported voluntarily from a population of uncertain size, it is not always possible to reliably estimate their frequency or establish a causal relationship to adalimumab products exposure.

Gastrointestinal disorders: Diverticulitis, large bowel perforations including perforations associated with diverticulitis and appendiceal perforations associated with appendicitis, pancreatitis

General disorders and administration site conditions: Pyrexia

Hepato-biliary disorders: Liver failure, hepatitis

Immune system disorders: Sarcoidosis

Neoplasms benign, malignant and unspecified (including cysts and polyps): Merkel Cell Carcinoma (neuroendocrine carcinoma of the skin)

Nervous system disorders: Demyelinating disorders (e.g., optic neuritis, Guillain-Barré syndrome), cerebrovascular accident

Respiratory disorders: Interstitial lung disease, including pulmonary fibrosis, pulmonary embolism

Skin reactions: Stevens Johnson Syndrome, cutaneous vasculitis, erythema multiforme, new or worsening psoriasis (all sub-types including pustular and palmoplantar), alopecia, lichenoid skin reaction

Vascular disorders: Systemic vasculitis, deep vein thrombosis

14.7 Adult Ulcerative Colitis

The safety and efficacy of adalimumab were assessed in adult patients with moderately to severely active ulcerative colitis (Mayo score 6 to 12 on a 12 point scale, with an endoscopy subscore of 2 to 3 on a scale of 0 to 3) despite concurrent or prior treatment with immunosuppressants such as corticosteroids, azathioprine, or 6-MP in two randomized, double-blind, placebo-controlled clinical studies (Studies UC-I and UC-II). Both studies enrolled TNF-blocker naïve patients, but Study UC-II also allowed entry of patients who lost response to or were intolerant to TNF-blockers. Forty percent (40%) of patients enrolled in Study UC-II had previously used another TNF-blocker.

Concomitant stable doses of aminosalicylates and immunosuppressants were permitted. In Studies UC-I and II, patients were receiving aminosalicylates (69%), corticosteroids (59%) and/or azathioprine or 6-MP (37%) at baseline. In both studies, 92% of patients received at least one of these medications.

Induction of clinical remission (defined as Mayo score ≤ 2 with no individual subscores > 1) at Week 8 was evaluated in both studies. Clinical remission at Week 52 and sustained clinical remission (defined as clinical remission at both Weeks 8 and 52) were evaluated in Study UC-II.

In Study UC-I, 390 TNF-blocker naïve patients were randomized to one of three treatment groups for the primary efficacy analysis. The placebo group received placebo at Weeks 0, 2, 4 and 6. The 160/80 group received 160 mg adalimumab at Week 0 and 80 mg at Week 2, and the 80/40 group received 80 mg adalimumab at Week 0 and 40 mg at Week 2. After Week 2, patients in both adalimumab treatment groups received 40 mg every other week.

In Study UC-II, 518 patients were randomized to receive either adalimumab 160 mg at Week 0, 80 mg at Week 2, and 40 mg every other week starting at Week 4 through Week 50, or placebo starting at Week 0 and every other week through Week 50. Corticosteroid taper was permitted starting at Week 8.

In both Studies UC-I and UC-II, a greater percentage of the patients treated with 160/80 mg of adalimumab compared to patients treated with placebo achieved induction of clinical remission. In Study UC-II, a greater percentage of the patients treated with 160/80 mg of adalimumab compared to patients treated with placebo achieved sustained clinical remission (clinical remission at both Weeks 8 and 52) (Table 15).

Table 15. Induction of Clinical Remission in Studies UC-I and UC-II and Sustained Clinical Remission in Study UC-II (Percent of Patients)
Clinical remission is defined as Mayo score ≤ 2 with no individual subscores > 1.

CI=Confidence interval

Study UC-I

Study UC-II

Placebo

N=130

Adalimumab

160/80

mg

N=130

Treatment

Difference

(95% CI)

Placebo

N=246

Adalimumab 160/80

mg

N=248

Treatment

Difference

(95% CI)

Induction of Clinical

Remission (Clinical

Remission at Week 8)

9.2%

18.5%

9.3%

(0.9%, 17.6%)

9.3%

16.5%

7.2%

p<0.05 for adalimumab vs. placebo pairwise comparison of proportions

(1.2%, 12.9%)

Sustained Clinical

Remission (Clinical

Remission at both Weeks 8 and 52)

N/A

N/A

N/A

4.1%

8.5%

4.4%

(0.1%, 8.6%)

In Study UC-I, there was no statistically significant difference in clinical remission observed between the adalimumab 80/40 mg group and the placebo group at Week 8.

In Study UC-II, 17.3% (43/248) in the adalimumab group were in clinical remission at Week 52 compared to 8.5% (21/246) in the placebo group (treatment difference: 8.8%; 95% confidence interval (CI): [2.8%, 14.5%]; p<0.05).

In the subgroup of patients in Study UC-II with prior TNF-blocker use, the treatment difference for induction of clinical remission appeared to be lower than that seen in the whole study population, and the treatment differences for sustained clinical remission and clinical remission at Week 52 appeared to be similar to those seen in the whole study population. The subgroup of patients with prior TNF-blocker use achieved induction of clinical remission at 9% (9/98) in the adalimumab group versus 7% (7/101) in the placebo group, and sustained clinical remission at 5% (5/98) in the adalimumab group versus 1% (1/101) in the placebo group. In the subgroup of patients with prior TNF-blocker use, 10% (10/98) were in clinical remission at Week 52 in the adalimumab group versus 3% (3/101) in the placebo group.

Juvenile Idiopathic Arthritis

In Study JIA-I, adalimumab was shown to reduce signs and symptoms of active polyarticular JIA in patients 4 to 17 years of age [see Clinical Studies (14.2)]. In Study JIA-II, the safety profile for patients 2 to <4 years of age was similar to the safety profile for patients 4 to 17 years of age with polyarticular JIA [see Adverse Reactions (6.1)]. Adalimumab products have not been studied in patients with polyarticular JIA less than 2 years of age or in patients with a weight below 10 kg.

The safety of adalimumab in patients in the polyarticular JIA trials was generally similar to that observed in adults with certain exceptions [see Adverse Reactions (6.1)].

The safety and effectiveness of adalimumab products have not been established in pediatric patients with JIA less than 2 years of age.

Study Jia I Clinical Response (Study JIA-I Clinical Response)

At the end of the 16-week OL-LI phase, 94% of the patients in the MTX stratum and 74% of the patients in the non-MTX stratum were Pediatric ACR 30 responders. In the DB phase significantly fewer patients who received adalimumab experienced disease flare compared to placebo, both without MTX (43% vs. 71%) and with MTX (37% vs. 65%). More patients treated with adalimumab continued to show pediatric ACR 30/50/70 responses at Week 48 compared to patients treated with placebo. Pediatric ACR responses were maintained for up to two years in the OLE phase in patients who received adalimumab throughout the study.

14.10 Hidradenitis Suppurativa

Two randomized, double-blind, placebo-controlled studies (Studies HS-I and II) evaluated the safety and efficacy of adalimumab in a total of 633 adult subjects with moderate to severe hidradenitis suppurativa (HS) with Hurley Stage II or III disease and with at least 3 abscesses or inflammatory nodules. In both studies, subjects received placebo or adalimumab at an initial dose of 160 mg at Week 0, 80 mg at Week 2, and 40 mg every week starting at Week 4 and continued through Week 11. Subjects used topical antiseptic wash daily. Concomitant oral antibiotic use was allowed in Study HS-II.

Both studies evaluated Hidradenitis Suppurativa Clinical Response (HiSCR) at Week 12. HiSCR was defined as at least a 50% reduction in total abscess and inflammatory nodule count with no increase in abscess count and no increase in draining fistula count relative to baseline (see Table 18). Reduction in HS-related skin pain was assessed using a Numeric Rating Scale in patients who entered the study with an initial baseline score of 3 or greater on a 11 point scale.

In both studies, a higher proportion of adalimumab- than placebo-treated subjects achieved HiSCR (see Table 20).

Table 20. Efficacy Results at 12 Weeks in Subjects with Moderate to Severe Hidradenitis Suppurativa

HS Study I

HS Study II

19.3% of subjects in Study HS-II continued baseline oral antibiotic therapy during the study.

Placebo

Adalimumab

40 mg

Weekly

Placebo

Adalimumab

40 mg

Weekly

Hidradenitis Suppurativa Clinical Response (HiSCR)

N = 154

40 (26%)

N = 153

64 (42%)

N=163

45 (28%)

N=163

96 (59%)

In both studies, from Week 12 to Week 35 (Period B), subjects who had received adalimumab were re-randomized to 1 of 3 treatment groups (adalimumab 40 mg every week, adalimumab 40 mg every other week, or placebo). Subjects who had been randomized to placebo were assigned to receive adalimumab 40 mg every week (Study HS-I) or placebo (Study HS-II).

During Period B, flare of HS, defined as ≥25% increase from baseline in abscesses and inflammatory nodule counts and with a minimum of 2 additional lesions, was documented in 22 (22%) of the 100 subjects who were withdrawn from adalimumab treatment following the primary efficacy timepoint in two studies.

5.3 Hypersensitivity Reactions

Anaphylaxis and angioneurotic edema have been reported following administration of adalimumab products. If an anaphylactic or other serious allergic reaction occurs, immediately discontinue administration of Adalimumab-fkjp and institute appropriate therapy. In clinical trials of adalimumab, hypersensitivity reactions (e.g., rash, anaphylactoid reaction, fixed drug reaction, non-specified drug reaction, urticaria) have been observed.

6.1 Clinical Trials Experience

Because clinical trials are conducted under widely varying conditions, adverse reaction rates observed in the clinical trials of a drug cannot be directly compared to rates in the clinical trials of another drug and may not reflect the rates observed in practice.

The most common adverse reaction with adalimumab was injection site reactions. In placebo-controlled trials, 20% of patients treated with adalimumab developed injection site reactions (erythema and/or itching, hemorrhage, pain or swelling), compared to 14% of patients receiving placebo. Most injection site reactions were described as mild and generally did not necessitate drug discontinuation.

The proportion of patients who discontinued treatment due to adverse reactions during the double-blind, placebo-controlled portion of studies in patients with RA (i.e., Studies RA-I, RA-II, RA-III and RA-IV) was 7% for patients taking adalimumab and 4% for placebo-treated patients. The most common adverse reactions leading to discontinuation of adalimumab in these RA studies were clinical flare reaction (0.7%), rash (0.3%) and pneumonia (0.3%).

7.4 Cytochrome P450 Substrates

The formation of CYP450 enzymes may be suppressed by increased concentrations of cytokines (e.g., TNFα, IL-6) during chronic inflammation. It is possible for products that antagonize cytokine activity, such as adalimumab products, to influence the formation of CYP450 enzymes. Upon initiation or discontinuation of Adalimumab-fkjp in patients being treated with CYP450 substrates with a narrow therapeutic index, monitoring of the effect (e.g., warfarin) or drug concentration (e.g., cyclosporine or theophylline) is recommended and the individual dose of the drug product may be adjusted as needed.

Adult Hidradenitis Suppurativa

Adalimumab trough concentrations were approximately 7 to 8 mcg/mL at Week 2 and Week 4, respectively, after receiving 160 mg on Week 0 followed by 80 mg on Week 2. Mean steady-state trough concentrations at Week 12 through Week 36 were approximately 7 to 11 mcg/mL during adalimumab 40 mg every week treatment.

Instructions for Use Syringe (INSTRUCTIONS FOR USE - Syringe)

Adalimumab-fkjp

Injection

40 mg/0.8 mL and 20 mg/0.4 mL

Single-Dose Prefilled Syringe

Important Information:

  • Do not try to inject adalimumab-fkjp injection yourself until you have been shown the right way to give the injections and have read and understand this Instructions for Use.

  • If your healthcare provider decides that you or a caregiver may be able to give your injections of adalimumab-fkjp injection at home, you should receive training on the right way to prepare and inject adalimumab-fkjp injection.

  • It is important that you read, understand, and follow these instructions so that you inject adalimumab-fkjp injection the right way. It is also important to talk to your healthcare provider to be sure you understand your adalimumab-fkjp injection dosing instructions.

  • To help you remember when to inject adalimumab-fkjp injection, you can mark your calendar ahead of time.

  • Call your healthcare provider if you or your caregiver have any questions about the right way to inject adalimumab-fkjp injection.

  • Each adalimumab-fkjp Prefilled Syringe can only be used one time. Throw the used Prefilled Syringe away (See How should I throw away (dispose of) the used Prefilled Syringe?) after one dose, even if there is still medicine left in it. Do not reuse your adalimumab-fkjp Prefilled Syringe.

For Questions or Assistance, Call Biocon Biologics at 1-833-986-1468

The figure shows what a prefilled syringe looks like. See Figure A.

Step 1. Gather the Supplies for Your Injection

  • Take your adalimumab-fkjp prefilled syringe out of the refrigerator 15 to 30 minutes before injecting to allow the liquid to reach room temperature.

    • Do not warm adalimumab-fkjp injection in any other way (for example, do not warm it in a microwave or in hot water).

    • Do not use adalimumab-fkjp injection if it has been frozen, even if it has been thawed.

    • Do not put adalimumab-fkjp injection back in the refrigerator after reaching room temperature.

  • Do not uncap your Adalimumab-fkjp Prefilled Syringe until you are ready to inject and will not be interrupted.

You will need the following supplies for each injection of adalimumab-fkjp injection.

  • 1 Adalimumab-fkjp Prefilled Syringe (See Figure A)

  • 1 alcohol swab

  • 1 cotton ball or gauze pad (not included in your adalimumab-fkjp injection carton)

  • Puncture-resistant sharps disposal container for adalimumab-fkjp prefilled syringe disposal (not included in your adalimumab-fkjp injection carton). See “How should I throw away (dispose of) the used prefilled syringes and needles?” section at the end of this Instructions for Use.

If you do not have all the supplies you need to give yourself an injection, go to a pharmacy or call your pharmacist.

Find a clean, flat surface to place the supplies on.

Step 2. Check the carton, dose tray, and prefilled Syringe

  • Make sure the name Adalimumab-fkjp injection appears on the dose tray and prefilled syringe label.

  • Check the seals on the top or bottom of the carton to make sure they are not broken or missing.

  • Check the expiration date on the carton, dose tray, and Adalimumab-fkjp Prefilled Syringe.

  • Do not use the Adalimumab-fkjp Prefilled Syringe and call your healthcare provider or pharmacist if:

    • you drop or crush your Adalimumab-fkjp Prefilled Syringe.

    • the seals on the top or bottom of the carton are broken or missing.

    • the expiration date on the carton, dose tray, and Adalimumab-fkjp Prefilled Syringe have passed.

    • the prefilled syringe has been frozen or left in direct sunlight.

    • Adalimumab-fkjp injection has been kept at room temperature for longer than 14 days or adalimumab-fkjp injection has been stored above 77°F (25°C).

    • the liquid in the prefilled syringe is cloudy, discolored or has flakes or particles in it.

See the “How should I store adalimumab-fkjp injection?” section at the end of this Instructions for Use.

Check the fluid level in the syringe:

  • Hold the syringe with the covered needle pointing down. (See Figure B).

  • Hold the syringe at eye level. Look closely to make sure that the amount of liquid in the syringe is the same or close to the:

    • 0.8 mL line for the 40 mg prefilled syringe. (See Figure C).

    • 0.4 mL line for the 20 mg prefilled syringe. (See Figure C).

  • You may need to shake gently to see liquid.

  • The top of the liquid may be curved. If the syringe does not have the correct amount of liquid, do not use that syringe. Call your pharmacist.

Step 3. Choose the Injection Site

  • Wash your hands with soap and water and dry well.

  • Choose an injection site on:

    • the front of your thighs or

    • your lower abdomen (belly). If you choose your abdomen, do not use the area 2 inches around your belly button (navel). (See Figure D).

  • Choose a different site (rotate) each time you give yourself an injection. Each new injection should be given at least 1 inch from a site you used before.

  • Do not inject adalimumab-fkjp injection into skin that is:

    • sore (tender)

    • bruised

    • red

    • hard

    • scarred or where you have stretch marks

  • If you have psoriasis, do not inject directly into any raised, thick, red or scaly skin patches or lesions on your skin.

  • Do not inject through your clothes.

Step 4. Prepare the Injection Site

  • Wipe the injection site with an alcohol prep (swab) using a circular motion.

  • Do not touch this area again before giving the injection.

  • Allow the skin to dry before injecting. Do not fan or blow on the clean area.

Step 5. Prepare the Adalimumab-fkjp Prefilled Syringe and Needle

  • Do not remove the needle cover until right before your injection.

  • Hold the syringe in one hand. With the other hand gently remove the needle cover. (See Figure E).

  • Throw away the needle cover.

Important:

  • Do not touch the needle with your fingers or let the needle touch anything.

  • Do not replace the needle cover.

  • Do not remove air bubbles.

  • Do not use the syringe if dropped after removing the needle cover.

  • You may see a drop of liquid at the end of the needle. This is normal.

Step 6. Position the Syringe

  • Hold the body of the prefilled syringe in one hand between the thumb and index finger. Hold the syringe in your hand like a pencil. (See Figure F).

  • Do not pull back on the plunger at any time.

  • With your other hand, gently squeeze the area of the cleaned skin and hold it firmly. (See Figure G).

Step 7. Inject adalimumab-fkjp injection

  • Using a quick, dart-like motion, insert the needle into the squeezed skin at about a 45-degree angle. (See Figure H).

  • After the needle is in, let go of the skin.

  • Do not move, twist, or rotate the Syringe during the injection.

  • Slowly push the plunger all the way in until all the liquid is injected and the syringe is empty.

  • If the plunger is not pressed all the way down the Needle Safety Feature will not activate afterwards to cover the needle

  • Do not move, twist, or rotate the syringe during injection.

  • Pull the needle out of the skin while keeping the syringe at the same angle, then release your thumb from the plunger.

  • The needle will retract and the Needle Safety Feature will cover the needle. (See Figure I).

Caution: If the needle did not retract or you do not think you received the full dose, contact your healthcare provider for help.

  • Press a cotton ball or gauze pad over the injection site and hold it for 10 seconds. Do not rub the injection site. You may have slight bleeding. This is normal.

Step 8. Throw away (dispose of) your used Adalimumab-fkjp Prefilled Syringe and needle in a sharps disposal container right away after use. (See Figure J). “How should I throw away (dispose of) used prefilled syringes and needles?”

How should I throw away (dispose of) used prefilled syringes and needles?

  • Put your used needles and syringes in a FDA-cleared sharps disposal container right away after use. (See Figure J). Do not throw away (dispose of) loose needles and syringes in your household trash.

  • Do not try to touch the needle.

  • If you do not have a FDA-cleared sharps disposal container, you may use a household container that is:

    • made of a heavy-duty plastic,

    • can be closed with a tight-fitting, puncture-resistant lid, without sharps being able to come out,

    • upright and stable during use,

    • leak-resistant, and

    • properly labeled to warn of hazardous waste inside the container.

  • When your sharps disposal container is almost full, you will need to follow your community guidelines for the right way to dispose of your sharps disposal container. There may be state or local laws about how you should throw away used needles and syringes. For more information about safe sharps disposal, and for specific information about sharps disposal in the state that you live in, go to the FDA’s website at: http://www.fda.gov/safesharpsdisposal.

  • For the safety and health of you and others, needles and used syringes must never be reused.

  • The used alcohol pads, cotton balls, dose trays and packaging may be placed in your household trash.

  • Do not dispose of your used sharps disposal container in your household trash unless your community guidelines permit this. Do not recycle your used sharps disposal container.

  • Always keep the sharps container out of the reach of children.

Keep a record of the dates and location of your injection sites in the injection diary. To help you remember when to take adalimumab-fkjp injection, you can mark your calendar ahead of time.

Injection Diary

Date

Injection Site Used

 

 

 

 

 

How should I store adalimumab-fkjp injection?

  • Store adalimumab-fkjp injection in the refrigerator between 36ºF to 46ºF (2ºC to 8ºC).

  • Store adalimumab-fkjp injection in the original carton until use to protect it from light.

  • Do not freeze adalimumab-fkjp injection.

  • If needed, for example when you are traveling, you may also store adalimumab-fkjp injection at room temperature up to 77°F (25°C) for up to 14 days.

  • Throw away adalimumab-fkjp injection if it has been kept at room temperature and not been used within 14 days.

  • Do not store adalimumab-fkjp injection in extreme heat or cold such as a hot car, or a freezing car overnight.

  • Keep adalimumab-fkjp injection, injection supplies, and all other medicines out of the reach of children.

Manufactured by:

Biocon Biologics Inc.

245 Main St, 2nd Floor,

Cambridge, MA 02142, U.S.A.

U.S. License No. 2324

Product of Japan

Revised: 02/2025

This Instructions for Use has been approved by the U.S. Food and Drug Administration.

2.7 Monitoring to Assess Safety

Prior to initiating Adalimumab-fkjp and periodically during therapy, evaluate patients for active tuberculosis and test for latent infection [see Warnings and Precautions (5.1)].

Induction of Clinical Remission

A greater percentage of the patients treated with 160/80 mg adalimumab achieved induction of clinical remission versus placebo at Week 4 regardless of whether the patients were TNF blocker naïve (CD-I), or had lost response to or were intolerant to infliximab (CD-II) (see Table 12).

Table 12. Induction of Clinical Remission in Studies CD-I and CD-II (Percent of Patients)
Clinical remission is CDAI score < 150; clinical response is decrease in CDAI of at least 70 points.

CD-I

CD-II

Placebo

N=74

Adalimumab 160/80 mg

N=76

Placebo

N=166

Adalimumab 160/80 mg

N=159

Week 4

Clinical remission

12%

36%

p<0.001 for adalimumab vs. placebo pairwise comparison of proportions

7%

21%

Clinical response

34%

58%

p<0.01 for adalimumab vs. placebo pairwise comparison of proportions

34%

52%

 

14.6 Pediatric Crohn’s Disease

A randomized, double-blind, 52-week clinical study of 2 dose concentrations of adalimumab (Study PCD-I) was conducted in 192 pediatric patients (6 to 17 years of age) with moderately to severely active Crohn’s disease (defined as Pediatric Crohn’s Disease Activity Index (PCDAI) score > 30). Enrolled patients had over the previous two year period an inadequate response to corticosteroids or an immunomodulator (i.e., azathioprine, 6-mercaptopurine, or methotrexate). Patients who had previously received a TNF blocker were allowed to enroll if they had previously had loss of response or intolerance to that TNF blocker.

Patients received open-label induction therapy at a dose based on their body weight (≥40 kg and <40 kg). Patients weighing ≥40 kg received 160 mg (at Week 0) and 80 mg (at Week 2). Patients weighing <40 kg received 80 mg (at Week 0) and 40 mg (at Week 2). At Week 4, patients within each body weight category (≥40 kg and <40 kg) were randomized 1:1 to one of two maintenance dose regimens (high dose and low dose). The high dose was 40 mg every other week for patients weighing ≥40 kg and 20 mg every other week for patients weighing <40 kg. The low dose was 20 mg every other week for patients weighing ≥40 kg and 10 mg every other week for patients weighing <40 kg.

Concomitant stable dosages of corticosteroids (prednisone dosage ≤40 mg/day or equivalent) and immunomodulators (azathioprine, 6-mercaptopurine, or methotrexate) were permitted throughout the study.

At Week 12, patients who experienced a disease flare (increase in PCDAI of ≥ 15 from Week 4 and absolute PCDAI > 30) or who were non-responders (did not achieve a decrease in the PCDAI of ≥ 15 from baseline for 2 consecutive visits at least 2 weeks apart) were allowed to dose-escalate (i.e., switch from blinded every other week dosing to blinded every week dosing); patients who dose-escalated were considered treatment failures.

At baseline, 38% of patients were receiving corticosteroids, and 62% of patients were receiving an immunomodulator. Forty-four percent (44%) of patients had previously lost response or were intolerant to a TNF blocker. The median baseline PCDAI score was 40.

Of the 192 patients total, 188 patients completed the 4 week induction period, 152 patients completed 26 weeks of treatment, and 124 patients completed 52 weeks of treatment. Fifty-one percent (51%) (48/95) of patients in the low maintenance dose group dose-escalated, and 38% (35/93) of patients in the high maintenance dose group dose-escalated.

At Week 4, 28% (52/188) of patients were in clinical remission (defined as PCDAI ≤ 10).

The proportions of patients in clinical remission (defined as PCDAI ≤ 10) and clinical response (defined as reduction in PCDAI of at least 15 points from baseline) were assessed at Weeks 26 and 52.

At both Weeks 26 and 52, the proportion of patients in clinical remission and clinical response was numerically higher in the high dose group compared to the low dose group (Table 14). The recommended maintenance regimen is 20 mg every other week for patients weighing < 40 kg and 40 mg every other week for patients weighing ≥ 40 kg. Every week dosing is not the recommended maintenance dosing regimen [see Dosage and Administration (2.3)].

Table 14. Clinical Remission and Clinical Response in Study PCD-I

Low Maintenance Dose

The low maintenance dose was 20 mg every other week for patients weighing ≥ 40 kg and 10 mg every other week for patients weighing < 40 kg.

(20 or 10 mg every other week)

N = 95

High Maintenance Dose

The high maintenance dose was 40 mg every other week for patients weighing ≥ 40 kg and 20 mg every other week for patients weighing < 40 kg.

(40 or 20 mg every other week)

N = 93

Week 26

Clinical Remission

Clinical remission defined as PCDAI ≤ 10.

28%

39%

Clinical Response

Clinical response defined as reduction in PCDAI of at least 15 points from baseline.

48%

59%

Week 52

Clinical Remission

23%

33%

Clinical Response

28%

42%

 

Fetal/neonatal Adverse Reactions (Fetal/Neonatal Adverse Reactions)

Monoclonal antibodies are increasingly transported across the placenta as pregnancy progresses, with the largest amount transferred during the third trimester (see Data). Risks and benefits should be considered prior to administering live or live-attenuated vaccines to infants exposed to adalimumab products in utero [see Use in Specific Populations (8.4)].

1.2 Juvenile Idiopathic Arthritis

Adalimumab-fkjp is indicated for reducing signs and symptoms of moderately to severely active polyarticular juvenile idiopathic arthritis in patients 2 years of age and older. Adalimumab-fkjp can be used alone or in combination with methotrexate.

17 Patient Counseling Information (17 PATIENT COUNSELING INFORMATION)

Advise the patient or caregiver to read the FDA-approved patient labeling (Medication Guide and Instructions for Use).

Infections

Inform patients that Adalimumab-fkjp may lower the ability of their immune system to fight infections. Instruct patients of the importance of contacting their healthcare provider if they develop any symptoms of infection, including tuberculosis, invasive fungal infections, and reactivation of hepatitis B virus infections [see Warnings and Precautions (5.1, 5.2, 5.4)].

Malignancies

Counsel patients about the risk of malignancies while receiving Adalimumab-fkjp [see Warnings and Precautions (5.2)].

Hypersensitivity Reactions

Advise patients to seek immediate medical attention if they experience any symptoms of severe hypersensitivity reactions.

Other Medical Conditions

Advise patients to report any signs of new or worsening medical conditions such as congestive heart failure, neurological disease, autoimmune disorders, or cytopenias. Advise patients to report any symptoms suggestive of a cytopenia such as bruising, bleeding, or persistent fever [see Warnings and Precautions (5.5, 5.6, 5.8, 5.9)].

Instructions on Injection Technique

Inform patients that the first injection is to be performed under the supervision of a qualified health care professional. If a patient or caregiver is to administer Adalimumab-fkjp, instruct them in injection techniques and assess their ability to inject subcutaneously to ensure the proper administration of Adalimumab-fkjp [see Instructions for Use].

For patients who will use the Adalimumab-fkjp Pen, tell them that they:

  • Will hear two "clicks" during the Adalimumab-fkjp injection. The first ‘click’ means the start of injection and second ‘click’ means the end of injection.
  • To start injection, push the Pen body down. Continue holding down after hearing the first ‘click’.
  • In the viewing window, the orange indicator will advance to show the progress of the injection.
  • When injection has finished, there will be a second ‘click’ and the ‘Orange Indicator’ will completely block the viewing window.

Instruct patients to dispose of their used needles and syringes or used Pen in an FDA-cleared sharps disposal container immediately after use. Instruct patients not to dispose of loose needles and syringes or Pen in their household trash. Instruct patients that if they do not have an FDA-cleared sharps disposal container, they may use a household container that is made of a heavy-duty plastic, can be closed with a tight-fitting and puncture-resistant lid without sharps being able to come out, upright and stable during use, leak-resistant, and properly labeled to warn of hazardous waste inside the container.

Instruct patients that when their sharps disposal container is almost full, they will need to follow their community guidelines for the correct way to dispose of their sharps disposal container. Instruct patients that there may be state or local laws regarding disposal of used needles and syringes. Refer patients to the FDA’s website at http://www.fda.gov/safesharpsdisposal for more information about safe sharps disposal, and for specific information about sharps disposal in the state that they live in.

Instruct patients not to dispose of their used sharps disposal container in their household trash unless their community guidelines permit this. Instruct patients not to recycle their used sharps disposal container.

2.2 Juvenile Idiopathic Arthritis

The recommended subcutaneous dosage of Adalimumab-fkjp for patients 2 years of age and older with polyarticular juvenile idiopathic arthritis (JIA) is based on weight as shown below. MTX, glucocorticoids, NSAIDs, and/or analgesics may be continued during treatment with Adalimumab-fkjp.

Pediatric Weight

(2 Years of Age and older)

Recommended Dosage

15 kg (33 lbs) to less than 30 kg (66 lbs)

20 mg every other week

30 kg (66 lbs) and greater

40 mg every other week

There is no dosage form for Adalimumab-fkjp that allows weight-based dosing for pediatric patients below 15 kg.

Adalimumab products have not been studied in patients with polyarticular JIA less than 2 years of age or in patients with a weight below 10 kg.

Maintenance of Clinical Remission

In Study CD-III at Week 4, 58% (499/854) of patients were in clinical response and were assessed in the primary analysis. At Weeks 26 and 56, greater proportions of patients who were in clinical response at Week 4 achieved clinical remission in the adalimumab 40 mg every other week maintenance group compared to patients in the placebo maintenance group (see Table 13). The group that received adalimumab therapy every week did not demonstrate significantly higher remission rates compared to the group that received adalimumab every other week.

Table 13. Maintenance of Clinical Remission in CD-III (Percent of Patients)
Clinical remission is CDAI score < 150; clinical response is decrease in CDAI of at least 70 points.

Placebo

40 mg Adalimumab

every other week

N=170

N=172

Week 26

Clinical remission

17%

40%

p<0.001 for adalimumab vs. placebo pairwise comparisons of proportions

Clinical response

28%

54%

Week 56

Clinical remission

12%

36%

Clinical response

18%

43%

Of those in response at Week 4 who attained remission during the study, patients in the adalimumab every other week group maintained remission for a longer time than patients in the placebo maintenance group. Among patients who were not in response by Week 12, therapy continued beyond 12 weeks did not result in significantly more responses.

Plaque Psoriasis Clinical Studies

Adalimumab has been studied in 1696 subjects with plaque psoriasis (Ps) in placebo-controlled and open-label extension studies [see Clinical Studies (14.9)]. The safety profile for subjects with Ps treated with adalimumab was similar to the safety profile seen in subjects with RA with the following exceptions. In the placebo-controlled portions of the clinical trials in Ps subjects, adalimumab-treated subjects had a higher incidence of arthralgia when compared to controls (3% vs. 1%).

14.2 Juvenile Idiopathic Arthritis

The safety and efficacy of adalimumab was assessed in two studies (JIA-I and JIA-II) in patients with active polyarticular juvenile idiopathic arthritis (JIA).

5.4 Hepatitis B Virus Reactivation

Use of TNF blockers, including Adalimumab-fkjp, may increase the risk of reactivation of hepatitis B virus (HBV) in patients who are chronic carriers of this virus. In some instances, HBV reactivation occurring in conjunction with TNF blocker therapy has been fatal. The majority of these reports have occurred in patients concomitantly receiving other medications that suppress the immune system, which may also contribute to HBV reactivation. Evaluate patients at risk for HBV infection for prior evidence of HBV infection before initiating TNF blocker therapy. Exercise caution in prescribing TNF blockers for patients identified as carriers of HBV. Adequate data are not available on the safety or efficacy of treating patients who are carriers of HBV with anti-viral therapy in conjunction with TNF blocker therapy to prevent HBV reactivation. For patients who are carriers of HBV and require treatment with TNF blockers, closely monitor such patients for clinical and laboratory signs of active HBV infection throughout therapy and for several months following termination of therapy. In patients who develop HBV reactivation, stop Adalimumab-fkjp and initiate effective anti-viral therapy with appropriate supportive treatment. The safety of resuming TNF blocker therapy after HBV reactivation is controlled is not known. Therefore, exercise caution when considering resumption of Adalimumab-fkjp therapy in this situation and monitor patients closely.

Ulcerative Colitis Clinical Studies

Adults: The safety profile of adalimumab in 1010 adult patients with ulcerative colitis (UC) from two placebo-controlled studies and one open-label extension study [see Clinical Studies (14.7)] was similar to the safety profile seen in patients with RA.

16 How Supplied/storage and Handling (16 HOW SUPPLIED/STORAGE AND HANDLING)

Adalimumab-fkjp (adalimumab-fkjp) injection is supplied as a preservative-free, sterile, clear to slightly opalescent and colorless to pale brownish-yellow solution for subcutaneous administration. The following packaging configurations are available:

Adalimumab-fkjp Prefilled Syringe Carton - 20 mg/0.4 mL

  •  
    Adalimumab-fkjp is supplied in a carton containing two alcohol preps and two dose trays. Each dose tray consists of a single-dose, 1 mL pre-filled plastic syringe with a fixed 29 gauge thin wall, ½ inch needle, providing 20 mg/0.4 mL of Adalimumab-fkjp. The NDC number is 83257-020-42.

Adalimumab-fkjp Prefilled Syringe Carton - 40 mg/0.8 mL

  •  
    Adalimumab-fkjp is supplied in a carton containing two alcohol preps and two dose trays. Each dose tray consists of a single-dose, 1 mL pre-filled plastic syringe with a fixed 29 gauge thin wall, ½ inch needle, providing 40 mg/0.8 mL of Adalimumab-fkjp. The NDC number is 83257-021-42.

Adalimumab-fkjp Prefilled Pen Carton - 40 mg/0.8 mL

  •  
    Adalimumab-fkjp is supplied in a carton containing two alcohol preps and two dose trays. Each dose tray consists of a single-dose pen, containing a 1 mL prefilled plastic syringe with a fixed 29 gauge thin wall, ½ inch needle, providing 40 mg/0.8 mL of Adalimumab-fkjp. The NDC number is 83257-022-32.

Storage and Stability

Do not use beyond the expiration date on the container. Adalimumab-fkjp must be refrigerated at 36°F to 46°F (2°C to 8°C). DO NOT FREEZE. Do not use if frozen even if it has been thawed.

Store in original carton until time of administration to protect from light.

If needed, for example when traveling, Adalimumab-fkjp may be stored at room temperature up to a maximum of 77°F (25°C) for a period of up to 14 days, with protection from light. Adalimumab-fkjp should be discarded if not used within the 14-day period. Record the date when Adalimumab-fkjp is first removed from the refrigerator in the spaces provided on the carton and dose tray.

Do not store Adalimumab-fkjp in extreme heat or cold.

2.5 Plaque Psoriasis Or Adult Uveitis (2.5 Plaque Psoriasis or Adult Uveitis)

The recommended subcutaneous dosage of Adalimumab-fkjp for adult patients with plaque psoriasis (Ps) or Uveitis (UV) is an initial dose of 80 mg, followed by 40 mg given every other week starting one week after the initial dose. The use of adalimumab products in moderate to severe chronic Ps beyond one year has not been evaluated in controlled clinical studies.

Rheumatoid Arthritis Clinical Studies

The data described below reflect exposure to adalimumab in 2468 patients, including 2073 exposed for 6 months, 1497 exposed for greater than one year and 1380 in adequate and well-controlled studies (Studies RA-I, RA-II, RA-III, and RA-IV). Adalimumab was studied primarily in placebo- controlled trials and in long-term follow up studies for up to 36 months duration. The population had a mean age of 54 years, 77% were female, 91% were Caucasian and had moderately to severely active rheumatoid arthritis. Most patients received 40 mg adalimumab every other week [see Clinical Studies (14.1)].

Table 1 summarizes reactions reported at a rate of at least 5% in patients treated with adalimumab 40 mg every other week compared to placebo and with an incidence higher than placebo. In Study RA-III, the types and frequencies of adverse reactions in the second year open-label extension were similar to those observed in the one-year double-blind portion.

Table 1. Adverse Reactions Reported by ≥5% of Patients Treated with Adalimumab During Placebo-Controlled Period of Pooled RA Studies (Studies RA-I, RA-II, RA-III, and RA-IV)

Adalimumab

40 mg subcutaneous

Every Other Week

Placebo

(N=705)

(N=690)

Adverse Reaction (Preferred Term)

Respiratory

Upper respiratory infection

17%

13%

Sinusitis

11%

9%

Flu syndrome

7%

6%

Gastrointestinal

Nausea

9%

8%

Abdominal pain

7%

4%

Laboratory Tests

Laboratory test abnormalities were reported as adverse reactions in European trials

Laboratory test abnormal

8%

7%

Hypercholesterolemia

6%

4%

Hyperlipidemia

7%

5%

Hematuria

5%

4%

Alkaline phosphatase increased

5%

3%

Other

Headache

12%

8%

Rash

12%

6%

Accidental injury

10%

8%

Injection site reaction

Does not include injection site erythema, itching, hemorrhage, pain or swelling

8%

1%

Back pain

6%

4%

Urinary tract infection

8%

5%

Hypertension

5%

3%

 

Pediatric Patients 6 Years to 17 Years

The safety profile of adalimumab in 192 pediatric patients from one double-blind study (Study PCD-I) and one open-label extension study [see Clinical Studies (14.6)] was similar to the safety profile seen in adult patients with Crohn’s disease.

During the 4-week open label induction phase of Study PCD-I, the most common adverse reactions occurring in the pediatric population treated with adalimumab were injection site pain and injection site reaction (6% and 5%, respectively).

A total of 67% of children experienced an infection while receiving adalimumab in Study PCD-I. These included upper respiratory tract infection and nasopharyngitis.

A total of 5% of children experienced a serious infection while receiving adalimumab in Study PCD-I. These included viral infection, device related sepsis (catheter), gastroenteritis, H1N1 influenza, and disseminated histoplasmosis.

In Study PCD-I, allergic reactions were observed in 5% of children which were all non-serious and were primarily localized reactions.

Rheumatoid Factor Or Crp Concentrations (Rheumatoid factor or CRP concentrations)

Minor increases in apparent clearance were predicted in RA patients receiving doses lower than the recommended dose and in RA patients with high rheumatoid factor or CRP concentrations. These increases are not likely to be clinically important.

Hidradenitis Suppurativa Clinical Studies

Adalimumab has been studied in 727 subjects with hidradenitis suppurativa (HS) in three placebo-controlled studies and one open-label extension study [see Clinical Studies (14.10)]. The safety profile for subjects with HS treated with adalimumab weekly was consistent with the known safety profile of adalimumab.

Flare of HS, defined as ≥25% increase from baseline in abscesses and inflammatory nodule counts and with a minimum of 2 additional lesions, was documented in 22 (22%) of the 100 subjects who were withdrawn from adalimumab treatment following the primary efficacy timepoint in two studies.

Patients With Renal Or Hepatic Impairment (Patients with Renal or Hepatic Impairment)

No pharmacokinetic data are available in patients with hepatic or renal impairment.

Tuberculosis and Opportunistic Infections

In 52 global controlled and uncontrolled clinical trials in RA, PsA, AS, CD, UC, Ps, HS and UV that included 24,605 adalimumab treated patients, the rate of reported active tuberculosis was 0.20 per 100 patient-years and the rate of positive PPD conversion was 0.09 per 100 patient-years. In a subgroup of 10,113 U.S. and Canadian adalimumab treated patients, the rate of reported active TB was 0.05 per 100 patient-years and the rate of positive PPD conversion was 0.07 per 100 patient-years. These trials included reports of miliary, lymphatic, peritoneal, and pulmonary TB. Most of the TB cases occurred within the first eight months after initiation of therapy and may reflect recrudescence of latent disease. In these global clinical trials, cases of serious opportunistic infections have been reported at an overall rate of 0.05 per 100 patient-years. Some cases of serious opportunistic infections and TB have been fatal [see Warnings and Precautions (5.1)].

Warning: Serious Infections and Malignancy (WARNING: SERIOUS INFECTIONS and MALIGNANCY)

SERIOUS INFECTIONS

Patients treated with adalimumab products including Adalimumab-fkjp are at increased risk for developing serious infections that may lead to hospitalization or death [see Warnings and Precautions (5.1)]. Most patients who developed these infections were taking concomitant immunosuppressants such as methotrexate or corticosteroids.

Discontinue Adalimumab-fkjp if a patient develops a serious infection or sepsis.

Reported infections include:

  • Active tuberculosis (TB), including reactivation of latent TB. Patients with TB have frequently presented with disseminated or extrapulmonary disease. Test patients for latent TB before Adalimumab-fkjp use and during therapy. Initiate treatment for latent TB prior to Adalimumab-fkjp use.
  • Invasive fungal infections, including histoplasmosis, coccidioidomycosis, candidiasis, aspergillosis, blastomycosis, and pneumocystosis. Patients with histoplasmosis or other invasive fungal infections may present with disseminated, rather than localized, disease. Antigen and antibody testing for histoplasmosis may be negative in some patients with active infection. Consider empiric anti-fungal therapy in patients at risk for invasive fungal infections who develop severe systemic illness.
  • Bacterial, viral and other infections due to opportunistic pathogens, including Legionella and Listeria.

Carefully consider the risks and benefits of treatment with Adalimumab-fkjp prior to initiating therapy in patients with chronic or recurrent infection.

Monitor patients closely for the development of signs and symptoms of infection during and after treatment with Adalimumab-fkjp, including the possible development of TB in patients who tested negative for latent TB infection prior to initiating therapy [see Warnings and Precautions (5.1) and Adverse Reactions (6.1)].

MALIGNANCY

Lymphoma and other malignancies, some fatal, have been reported in children and adolescent patients treated with TNF blockers including adalimumab products [see Warnings and Precautions (5.2)]. Post-marketing cases of hepatosplenic T-cell lymphoma (HSTCL), a rare type of T-cell lymphoma, have been reported in patients treated with TNF blockers including adalimumab products. These cases have had a very aggressive disease course and have been fatal. The majority of reported TNF blocker cases have occurred in patients with Crohn's disease or ulcerative colitis and the majority were in adolescent and young adult males. Almost all these patients had received treatment with azathioprine or 6-mercaptopurine (6–MP) concomitantly with a TNF blocker at or prior to diagnosis. It is uncertain whether the occurrence of HSTCL is related to use of a TNF blocker or a TNF blocker in combination with these other immunosuppressants [see Warnings and Precautions (5.2)].

Principal Display Panel – 40 Mg/0.8 Ml Pen (PRINCIPAL DISPLAY PANEL – 40 mg/0.8 mL Pen)

NDC 83257-022-32

Adalimumab-fkjp injection

40 mg/0.8 mL

FOR SUBCUTANEOUS USE ONLY

ATTENTION PHARMACIST: Each patient is required to receive the enclosed Medication Guide.

The entire carton is to be dispensed as a unit.

Return to pharmacy if dose tray seal is broken or missing.

29 Gauge Needle

2 Single-Dose Prefilled Pens

  •  
    This carton contains:
  • 2 dose trays (each containing

    1 single-dose prefilled syringe

    with 29 gauge 1/2 inch length

    fixed needle)
  • 2 alcohol preps
  • 1 Quick Reference Guide
  • 1 Instructions for Use
  • 1 Medication Guide
  • 1 Prescribing Information

Rx only



Each 0.8 mL single-dose prefilled pen contains 40 mg of adalimumab-fkjp,

methionine (0.60 mg), monosodium glutamate (1.50 mg), polysorbate 80

(0.80 mg), sorbitol (38.2 mg) and Water for Injection, USP. Hydrochloric acid

is added as necessary to adjust pH.

Contains no preservatives.

Prefilled pen is for one time use only.

Dosage: See Prescribing Information.

Do not use beyond the expiration date.

Store in carton until time of administration

with protection from light.

Store in refrigerator at 36°F to 46°F (2°C to 8°C).

An adalimumab-fkjp prefilled Pen may be stored at room

temperature up to a maximum of 77°F (25°C)

for up to 14 days with protection from light.

DO NOT FREEZE.

Manufactured by:

Biocon Biologics Inc.

245 Main St, 2nd Floor

Cambridge,MA 02142, U.S.A .

U.S. License No. 2324

Product of Japan

2.8 General Considerations for Administration

Adalimumab-fkjp is intended for use under the guidance and supervision of a physician. A patient may self-inject Adalimumab-fkjp or a caregiver may inject Adalimumab-fkjp using either the Adalimumab-fkjp Pen or prefilled syringe if a physician determines that it is appropriate, and with medical follow-up, as necessary, after proper training in subcutaneous injection technique.

Adalimumab-fkjp can be taken out of the refrigerator for 15 to 30 minutes before injecting to allow the liquid to come to room temperature. Do not remove the cap or cover while allowing it to reach room temperature. Carefully inspect the solution in the Adalimumab-fkjp Pen or prefilled syringe for particulate matter and discoloration prior to subcutaneous administration. If particulates and discolorations are noted, do not use the product. Adalimumab-fkjp does not contain preservatives; therefore, discard unused portions of drug remaining from the syringe.

Instruct patients using the Adalimumab-fkjp Pen or prefilled syringe to inject the full amount in the syringe, according to the directions provided in the Instructions for Use [see Instructions for Use].

Injections should occur at separate sites in the thigh or abdomen. Rotate injection sites and do not give injections into areas where the skin is tender, bruised, red or hard.

If a dose is missed, administer the dose as soon as possible. Thereafter, resume dosing at the regular scheduled time.

Juvenile Idiopathic Arthritis Clinical Studies

In general, the adverse reactions in the adalimumab-treated patients in the polyarticular juvenile idiopathic arthritis (JIA) trials (Studies JIA-I and JIA-II) [see Clinical Studies (14.2)] were similar in frequency and type to those seen in adult patients [see Warnings and Precautions (5), Adverse Reactions (6)]. Important findings and differences from adults are discussed in the following paragraphs.

In Study JIA-I, adalimumab was studied in 171 patients who were 4 to 17 years of age, with polyarticular JIA. Severe adverse reactions reported in the study included neutropenia, streptococcal pharyngitis, increased aminotransferases, herpes zoster, myositis, metrorrhagia, and appendicitis. Serious infections were observed in 4% of patients within approximately 2 years of initiation of treatment with adalimumab and included cases of herpes simplex, pneumonia, urinary tract infection, pharyngitis, and herpes zoster.

In Study JIA-I, 45% of patients experienced an infection while receiving adalimumab with or without concomitant MTX in the first 16 weeks of treatment. The types of infections reported in adalimumab-treated patients were generally similar to those commonly seen in polyarticular JIA patients who are not treated with TNF blockers. Upon initiation of treatment, the most common adverse reactions occurring in this patient population treated with adalimumab were injection site pain and injection site reaction (19% and 16%, respectively). A less commonly reported adverse event in patients receiving adalimumab was granuloma annulare which did not lead to discontinuation of adalimumab treatment.

In the first 48 weeks of treatment in Study JIA-I, non-serious hypersensitivity reactions were seen in approximately 6% of patients and included primarily localized allergic hypersensitivity reactions and allergic rash.

In Study JIA-I, 10% of patients treated with adalimumab who had negative baseline anti-dsDNA antibodies developed positive titers after 48 weeks of treatment. No patient developed clinical signs of autoimmunity during the clinical trial.

Approximately 15% of patients treated with adalimumab developed mild-to-moderate elevations of creatine phosphokinase (CPK) in Study JIA-I. Elevations exceeding 5 times the upper limit of normal were observed in several patients. CPK concentrations decreased or returned to normal in all patients. Most patients were able to continue adalimumab without interruption.

In Study JIA-II, adalimumab was studied in 32 patients who were 2 to <4 years of age or 4 years of age and older weighing <15 kg with polyarticular JIA. The safety profile for this patient population was similar to the safety profile seen in patients 4 to 17 years of age with polyarticular JIA.

In Study JIA-II, 78% of patients experienced an infection while receiving adalimumab. These included nasopharyngitis, bronchitis, upper respiratory tract infection, otitis media, and were mostly mild to moderate in severity. Serious infections were observed in 9% of patients receiving adalimumab in the study and included dental caries, rotavirus gastroenteritis, and varicella.

In Study JIA-II, non-serious allergic reactions were observed in 6% of patients and included intermittent urticaria and rash, which were all mild in severity.

Rheumatoid Arthritis and Ankylosing Spondylitis

In patients receiving 40 mg adalimumab every other week, adalimumab mean steady-state trough concentrations were approximately 5 mcg/mL and 8 to 9 mcg/mL, without and with MTX concomitant treatment, respectively. Adalimumab concentrations in the synovial fluid from five rheumatoid arthritis patients ranged from 31 to 96% of those in serum. The pharmacokinetics of adalimumab in patients with AS were similar to those in patients with RA.

Principal Display Panel – 20 Mg/0.4 Ml Syringe (PRINCIPAL DISPLAY PANEL – 20 mg/0.4 mL Syringe)

NDC 83257-020-42

Adalimumab-fkjp injection

20 mg/0.4 mL Syringe

FOR SUBCUTANEOUS USE ONLY

ATTENTION PHARMACIST: Each patient is required to receive the enclosed Medication Guide.

The entire carton is to be dispensed as a unit.

Return to pharmacy if dose tray seal is broken or missing.

2 Single-Dose

Prefilled Syringes

29 Gauge Needle

  •  
    This carton contains:
  • 2 dose trays (each containing

    1 single-dose prefilled syringe

    with 29 gauge 1/2 inch length

    fixed needle)
  • 2 alcohol preps
  • 1 Quick Reference Guide
  • 1 Instructions for Use
  • 1 Medication Guide
  • 1 Prescribing Information

Rx only

Each 0.4 mL single-dose prefilled syringe contains 20 mg of

adalimumab-fkjp, methionine (0.30 mg), monosodium glutamate

(0.75 mg), polysorbate 80 (0.40 mg), sorbitol (19.1 mg) and Water for

Injection, USP. Hydrochloric acid is added as necessary to adjust pH.

Contains no preservatives.

Prefilled syringe is for one time use only.

Dosage: See Prescribing Information.

Do not use beyond the expiration date.

Store in carton until time of administration with

protection from light.

Store in refrigerator at 36°F to 46°F (2°C to 8°C).

An adalimumab-fkjp prefilled syringe may be stored at room

temperature up to a maximum of 77°F (25°C) for up to

14 days with protection from light.

DO NOT FREEZE.

Manufactured by:

Biocon Biologics Inc.

245 Main St, 2nd Floor

Cambridge,MA 02142, U.S.A

U.S. License No. 2324

Product of Japan



Copyright © 2023 Biocon Biologics Inc. All rights reserved.

Principal Display Panel – 40 Mg/0.8 Ml Syringe (PRINCIPAL DISPLAY PANEL – 40 mg/0.8 mL Syringe)

NDC 83257-021-42

Adalimumab-fkjp injection

40 mg/0.8 mL Syringe

FOR SUBCUTANEOUS USE ONLY

ATTENTION PHARMACIST: Each patient is required to receive the enclosed Medication Guide.

The entire carton is to be dispensed as a unit.

Return to pharmacy if dose tray seal is broken or missing.

2 Single-Dose

Prefilled Syringes


29 Gauge Needle

  •  
    This carton contains:
  • 2 dose trays (each containing

    1 single-dose prefilled syringe

    with 29 gauge 1/2 inch length

    fixed needle)
  • 2 alcohol preps
  • 1 Quick Reference Guide
  • 1 Instructions for Use
  • 1 Medication Guide
  • 1 Prescribing Information

Rx only

Each 0.8 mL single-dose prefilled syringe contains 40 mg of

adalimumab-fkjp, methionine (0.60 mg), monosodium glutamate

(1.50 mg), polysorbate 80 (0.80 mg), sorbitol (38.2 mg) and Water for

Injection, USP. Hydrochloric acid is added as necessary to adjust pH.

Contains no preservatives.

Prefilled syringe is for one time use only.

Dosage: See Prescribing Information.

Do not use beyond the expiration date.

Store in carton until time of administration with

protection from light.

Store in refrigerator at 36°F to 46°F (2°C to 8°C).

An adalimumab-fkjp prefilled syringe may be stored at room

temperature up to a maximum of 77°F (25°C) for up to

14 days with protection from light.

DO NOT FREEZE.

Manufactured by:

Biocon Biologics Inc.

245 Main St, 2nd Floor

Cambridge,MA 02142, U.S.A

U.S. License No. 2324

Product of Japan



Copyright © 2023 Biocon Biologics Inc. All rights reserved.

Disease Associated Maternal and Embryo/fetal Risk (Disease-associated maternal and embryo/fetal risk)

Published data suggest that the risk of adverse pregnancy outcomes in women with RA or inflammatory bowel disease (IBD) is associated with increased disease activity. Adverse pregnancy outcomes include preterm delivery (before 37 weeks of gestation), low birth weight (less than 2500 g) infants, and small for gestational age at birth.

Malignancies in Pediatric Patients and Young Adults

Malignancies, some fatal, have been reported among children, adolescents, and young adults who received treatment with TNF-blockers (initiation of therapy ≤ 18 years of age), of which Adalimumab-fkjp is a member. Approximately half the cases were lymphomas, including Hodgkin's and non-Hodgkin's lymphoma. The other cases represented a variety of different malignancies and included rare malignancies usually associated with immunosuppression and malignancies that are not usually observed in children and adolescents. The malignancies occurred after a median of 30 months of therapy (range 1 to 84 months). Most of the patients were receiving concomitant immunosuppressants. These cases were reported post-marketing and are derived from a variety of sources including registries and spontaneous postmarketing reports.

Postmarketing cases of hepatosplenic T-cell lymphoma (HSTCL), a rare type of T-cell lymphoma, have been reported in patients treated with TNF blockers including adalimumab products. These cases have had a very aggressive disease course and have been fatal. The majority of reported TNF blocker cases have occurred in patients with Crohn's disease or ulcerative colitis and the majority were in adolescent and young adult males. Almost all of these patients had received treatment with the immunosuppressants azathioprine or 6-mercaptopurine (6–MP) concomitantly with a TNF blocker at or prior to diagnosis. It is uncertain whether the occurrence of HSTCL is related to use of a TNF blocker or a TNF blocker in combination with these other immunosuppressants. The potential risk with the combination of azathioprine or 6- mercaptopurine and Adalimumab-fkjp should be carefully considered.

5.7 Increased Risk of Infection When Used With Anakinra (5.7 Increased Risk of Infection when Used with Anakinra)

Concurrent use of anakinra (an interleukin-1 antagonist) and another TNF-blocker, was associated with a greater proportion of serious infections and neutropenia and no added benefit compared with the TNF-blocker alone in patients with RA. Therefore, the combination of Adalimumab-fkjp and anakinra is not recommended [see Drug Interactions (7.2)].

13.1 Carcinogenesis, Mutagenesis, Impairment of Fertility

Long-term animal studies of adalimumab products have not been conducted to evaluate the carcinogenic potential or its effect on fertility.

5.11 Increased Risk of Infection When Used With Abatacept (5.11 Increased Risk of Infection When Used with Abatacept)

In controlled trials, the concurrent administration of TNF-blockers and abatacept was associated with a greater proportion of serious infections than the use of a TNF-blocker alone; the combination therapy, compared to the use of a TNF-blocker alone, has not demonstrated improved clinical benefit in the treatment of RA. Therefore, the combination of abatacept with TNF-blockers including Adalimumab-fkjp is not recommended [see Drug Interactions (7.2)].

Psoriatic Arthritis and Ankylosing Spondylitis Clinical Studies

Adalimumab has been studied in 395 patients with psoriatic arthritis (PsA) in two placebo-controlled trials and in an open label study and in 393 patients with ankylosing spondylitis (AS) in two placebo-controlled studies [see Clinical Studies (14.3, 14.4)]. The safety profile for patients with PsA and AS treated with adalimumab 40 mg every other week was similar to the safety profile seen in patients with RA, adalimumab Studies RA-I through IV.

Less Common Adverse Reactions in Rheumatoid Arthritis Clinical Studies

Other infrequent serious adverse reactions that do not appear in the Warnings and Precautions or Adverse Reaction sections that occurred at an incidence of less than 5% in adalimumab-treated patients in RA studies were:

Body As A Whole: Pain in extremity, pelvic pain, surgery, thorax pain

Cardiovascular System: Arrhythmia, atrial fibrillation, chest pain, coronary artery disorder, heart arrest, hypertensive encephalopathy, myocardial infarct, palpitation, pericardial effusion, pericarditis, syncope, tachycardia

Digestive System: Cholecystitis, cholelithiasis, esophagitis, gastroenteritis, gastrointestinal hemorrhage, hepatic necrosis, vomiting

Endocrine System: Parathyroid disorder

Hemic And Lymphatic System: Agranulocytosis, polycythemia

Metabolic And Nutritional Disorders: Dehydration, healing abnormal, ketosis, paraproteinemia, peripheral edema

Musculo-Skeletal System: Arthritis, bone disorder, bone fracture (not spontaneous), bone necrosis, joint disorder, muscle cramps, myasthenia, pyogenic arthritis, synovitis, tendon disorder

Neoplasia: Adenoma

Nervous System: Confusion, paresthesia, subdural hematoma, tremor

Respiratory System: Asthma, bronchospasm, dyspnea, lung function decreased, pleural effusion

Special Senses: Cataract

Thrombosis: Thrombosis leg

Urogenital System: Cystitis, kidney calculus, menstrual disorder

2.1 Rheumatoid Arthritis, Psoriatic Arthritis, and Ankylosing Spondylitis

The recommended subcutaneous dosage of Adalimumab-fkjp for adult patients with rheumatoid arthritis (RA), psoriatic arthritis (PsA), or ankylosing spondylitis (AS) is 40 mg administered every other week. Methotrexate (MTX), other non-biologic DMARDS, glucocorticoids, nonsteroidal anti-inflammatory drugs (NSAIDs), and/or analgesics may be continued during treatment with Adalimumab-fkjp. In the treatment of RA, some patients not taking concomitant MTX may derive additional benefit from increasing the dosage of Adalimumab-fkjp to 40 mg every week or 80 mg every other week.


Advanced Ingredient Data


Raw Label Data

All Sections (JSON)