These Highlights Do Not Include All The Information Needed To Use Toviaz Safely And Effectively. See Full Prescribing Information For Toviaz.

These Highlights Do Not Include All The Information Needed To Use Toviaz Safely And Effectively. See Full Prescribing Information For Toviaz.
SPL v32
SPL
SPL Set ID 5be745f0-8ae7-4c3c-9962-37d6263326f1
Route
ORAL
Published
Effective Date 2024-02-28
Document Type 34391-3 HUMAN PRESCRIPTION DRUG LABEL

Drug Facts

Composition & Product

Active Ingredients
Fesoterodine (4 mg)
Inactive Ingredients
Glyceryl Dibehenate Hypromellose, Unspecified Indigotindisulfonate Sodium Aluminum Oxide Lactose Monohydrate Soybean Lecithin Microcrystalline Cellulose Polyethylene Glycol, Unspecified Polyvinyl Alcohol, Unspecified Talc Titanium Dioxide Xylitol

Identifiers & Packaging

Pill Appearance
Imprint: FT Shape: oval Color: blue Size: 13 mm Score: 1
Marketing Status
NDA Active Since 2008-10-31

Description

Toviaz is indicated for the treatment of: • Overactive bladder (OAB) in adults with symptoms of urge urinary incontinence, urgency, and frequency. ( 1.1 ) • Neurogenic detrusor overactivity (NDO) in pediatric patients 6 years of age and older and weighing greater than 25 kg. ( 1.2 )

Indications and Usage

Toviaz is indicated for the treatment of: • Overactive bladder (OAB) in adults with symptoms of urge urinary incontinence, urgency, and frequency. ( 1.1 ) • Neurogenic detrusor overactivity (NDO) in pediatric patients 6 years of age and older and weighing greater than 25 kg. ( 1.2 )

Dosage and Administration

• OAB in Adults : The recommended starting dosage is 4 mg orally once daily. Based upon individual response and tolerability, increase to the maximum dosage of 8 mg once daily. ( 2.1 ) • NDO in Pediatric Patients 6 Years and Older : • Pediatric Patients Weighing Greater than 25 kg and up to 35 kg: The recommended dosage is 4 mg orally once daily. If needed, dosage may be increased to 8 mg orally once daily. ( 2.2 ) • Pediatric Patients Weighing Greater than 35 kg: The recommended starting dosage is 4 mg orally once daily. After one week, increase to 8 mg orally once daily. ( 2.2 ) • Adult or Pediatric Patients with Renal Impairment : Refer to the full prescribing information for recommended dosage. ( 2.3 , 2.4 ) • Dosage Modifications Due to Strong CYP3A4 Inhibitors : Refer to the full prescribing information for recommended dosage. ( 2.5 ) • Administration : Swallow whole with liquid. Do not chew, divide, or crush. Take with or without food. ( 2.6 )

Warnings and Precautions

• Angioedema : Promptly discontinue Toviaz and provide appropriate therapy. ( 5.1 ) • Urinary Retention : Toviaz is not recommended in patients with clinically significant bladder outlet obstruction because of the risk of urinary retention. ( 5.2 ) • Decreased Gastrointestinal Motility : Toviaz is not recommended for use in patients with decreased gastrointestinal motility, such as those with severe constipation. ( 5.3 ) • Worsening of Narrow-Angle Glaucoma : Use Toviaz with caution in patients being treated for narrow-angle glaucoma. ( 5.4 ) • Central Nervous System Effects : Somnolence has been reported with Toviaz. Advise patients not to drive or operate heavy machinery until they know how Toviaz affects them. ( 5.5 ) • Worsening of Myasthenia Gravis Symptoms : Use Toviaz with caution in patients with myasthenia gravis. ( 5.6 )

Contraindications

Toviaz is contraindicated in patients with any of the following: • known or suspected hypersensitivity to Toviaz or any of its ingredients, or to tolterodine tartrate tablets or tolterodine tartrate extended-release capsules [see Clinical Pharmacology (12.1) ] . Reactions have included angioedema [see Warnings and Precautions (5.1) ] • urinary retention [see Warnings and Precautions (5.2) ] • gastric retention [see Warnings and Precautions (5.3) ] • uncontrolled narrow-angle glaucoma [see Warnings and Precautions (5.4) ]

Adverse Reactions

The following clinically significant adverse reactions are described elsewhere in labeling: • Angioedema [see Warnings and Precautions (5.1) ] • Urinary Retention [see Warnings and Precautions (5.2) ] • Decreased Gastrointestinal Motility [see Warnings and Precautions (5.3) ]

Storage and Handling

Toviaz (fesoterodine fumarate) extended-release tablets 4 mg are light blue, oval, biconvex, film-coated, and engraved with "FS" on one side. They are supplied as follows: Bottles of 30 NDC 0069-0242-30 Toviaz (fesoterodine fumarate) extended-release tablets 8 mg are blue, oval, biconvex, film-coated, and engraved with "FT" on one side. They are supplied as follows: Bottles of 30 NDC 0069-0244-30

How Supplied

Toviaz (fesoterodine fumarate) extended-release tablets 4 mg are light blue, oval, biconvex, film-coated, and engraved with "FS" on one side. They are supplied as follows: Bottles of 30 NDC 0069-0242-30 Toviaz (fesoterodine fumarate) extended-release tablets 8 mg are blue, oval, biconvex, film-coated, and engraved with "FT" on one side. They are supplied as follows: Bottles of 30 NDC 0069-0244-30


Medication Information

Warnings and Precautions

• Angioedema : Promptly discontinue Toviaz and provide appropriate therapy. ( 5.1 ) • Urinary Retention : Toviaz is not recommended in patients with clinically significant bladder outlet obstruction because of the risk of urinary retention. ( 5.2 ) • Decreased Gastrointestinal Motility : Toviaz is not recommended for use in patients with decreased gastrointestinal motility, such as those with severe constipation. ( 5.3 ) • Worsening of Narrow-Angle Glaucoma : Use Toviaz with caution in patients being treated for narrow-angle glaucoma. ( 5.4 ) • Central Nervous System Effects : Somnolence has been reported with Toviaz. Advise patients not to drive or operate heavy machinery until they know how Toviaz affects them. ( 5.5 ) • Worsening of Myasthenia Gravis Symptoms : Use Toviaz with caution in patients with myasthenia gravis. ( 5.6 )

Indications and Usage

Toviaz is indicated for the treatment of: • Overactive bladder (OAB) in adults with symptoms of urge urinary incontinence, urgency, and frequency. ( 1.1 ) • Neurogenic detrusor overactivity (NDO) in pediatric patients 6 years of age and older and weighing greater than 25 kg. ( 1.2 )

Dosage and Administration

• OAB in Adults : The recommended starting dosage is 4 mg orally once daily. Based upon individual response and tolerability, increase to the maximum dosage of 8 mg once daily. ( 2.1 ) • NDO in Pediatric Patients 6 Years and Older : • Pediatric Patients Weighing Greater than 25 kg and up to 35 kg: The recommended dosage is 4 mg orally once daily. If needed, dosage may be increased to 8 mg orally once daily. ( 2.2 ) • Pediatric Patients Weighing Greater than 35 kg: The recommended starting dosage is 4 mg orally once daily. After one week, increase to 8 mg orally once daily. ( 2.2 ) • Adult or Pediatric Patients with Renal Impairment : Refer to the full prescribing information for recommended dosage. ( 2.3 , 2.4 ) • Dosage Modifications Due to Strong CYP3A4 Inhibitors : Refer to the full prescribing information for recommended dosage. ( 2.5 ) • Administration : Swallow whole with liquid. Do not chew, divide, or crush. Take with or without food. ( 2.6 )

Contraindications

Toviaz is contraindicated in patients with any of the following: • known or suspected hypersensitivity to Toviaz or any of its ingredients, or to tolterodine tartrate tablets or tolterodine tartrate extended-release capsules [see Clinical Pharmacology (12.1) ] . Reactions have included angioedema [see Warnings and Precautions (5.1) ] • urinary retention [see Warnings and Precautions (5.2) ] • gastric retention [see Warnings and Precautions (5.3) ] • uncontrolled narrow-angle glaucoma [see Warnings and Precautions (5.4) ]

Adverse Reactions

The following clinically significant adverse reactions are described elsewhere in labeling: • Angioedema [see Warnings and Precautions (5.1) ] • Urinary Retention [see Warnings and Precautions (5.2) ] • Decreased Gastrointestinal Motility [see Warnings and Precautions (5.3) ]

Storage and Handling

Toviaz (fesoterodine fumarate) extended-release tablets 4 mg are light blue, oval, biconvex, film-coated, and engraved with "FS" on one side. They are supplied as follows: Bottles of 30 NDC 0069-0242-30 Toviaz (fesoterodine fumarate) extended-release tablets 8 mg are blue, oval, biconvex, film-coated, and engraved with "FT" on one side. They are supplied as follows: Bottles of 30 NDC 0069-0244-30

How Supplied

Toviaz (fesoterodine fumarate) extended-release tablets 4 mg are light blue, oval, biconvex, film-coated, and engraved with "FS" on one side. They are supplied as follows: Bottles of 30 NDC 0069-0242-30 Toviaz (fesoterodine fumarate) extended-release tablets 8 mg are blue, oval, biconvex, film-coated, and engraved with "FT" on one side. They are supplied as follows: Bottles of 30 NDC 0069-0244-30

Description

Toviaz is indicated for the treatment of: • Overactive bladder (OAB) in adults with symptoms of urge urinary incontinence, urgency, and frequency. ( 1.1 ) • Neurogenic detrusor overactivity (NDO) in pediatric patients 6 years of age and older and weighing greater than 25 kg. ( 1.2 )

Section 42229-5

Pediatric Patients Weighing Greater than 25 kg and up to 35 kg

The recommended dosage of Toviaz is 4 mg orally once daily. If needed, dosage may be increased to Toviaz 8 mg orally once daily. For administration instructions, see Dosage and Administration (2.6) .

Section 42230-3

Patient Information

TOVIAZ® (TOH-vee-as)

(fesoterodine fumarate)

extended-release tablets, for oral use

Read the Patient Information that comes with TOVIAZ before you start taking it and each time you get a refill. There may be new information. This leaflet does not take the place of talking with your healthcare provider about your medical condition or your treatment.

What is TOVIAZ?

TOVIAZ is a prescription medicine used:

  • in adults to treat symptoms of a condition called overactive bladder (OAB), including urge urinary incontinence (leaking or wetting accidents due to a strong need to urinate), urinary urgency (having a strong need to urinate right away), or urinary frequency (having to urinate too often).
  • in children 6 years of age and older with a body weight greater than 55 pounds (25 kg) to treat neurogenic detrusor overactivity (NDO). TOVIAZ is used to increase the amount of urine your bladder can hold and reduce urine leakage.

It is not known if TOVIAZ is safe and effective in children younger than 6 years of age or with a body weight 55 pounds (25-kg) or less.

Who should not take TOVIAZ?

Do not take TOVIAZ if you:

  • are allergic to TOVIAZ or any of its ingredients. See the end of this leaflet for a complete list of ingredients.
  • are allergic to tolterodine tartrate tablets or tolterodine tartrate extended-release capsules.
  • are not able to empty your bladder (urinary retention).
  • have delayed or slow emptying of your stomach (gastric retention).
  • have an eye problem called uncontrolled narrow-angle glaucoma.

Before you take TOVIAZ, tell your healthcare provider about all your medical conditions, including if you:

  • have problems emptying your bladder or you have a weak urine stream.
  • have any stomach or intestinal problems, or problems with constipation.
  • are receiving treatment for an eye problem called narrow-angle glaucoma.
  • have a condition called Myasthenia Gravis.
  • have kidney problems.
  • have liver problems.
  • are pregnant or plan to become pregnant. It is not known if TOVIAZ will harm your unborn baby. Talk to your healthcare provider if you are pregnant or plan to become pregnant.
  • are breastfeeding or plan to breastfeed. It is not known if TOVIAZ passes into your breast milk. You should talk to your healthcare provider about the best way to feed your baby while taking TOVIAZ.

Tell your healthcare provider about all the medicines you take, including prescription and over-the-counter medicines, vitamins, and herbal products. TOVIAZ may affect the way other medicines work, and other medicines may affect how TOVIAZ works. Especially tell your healthcare provider if you are taking antimuscarinic, antibiotics, or antifungal medicines.



Know all the medicines you take. Keep a list of them with you to show your healthcare provider and pharmacist each time you get a new medicine.

How should I take TOVIAZ?

  • Take TOVIAZ exactly as your healthcare provider tells you to take it.
  • Your healthcare provider may lower your dose of TOVIAZ if you are an adult with severe kidney problems.
  • Your healthcare provider may lower or stop your dose of TOVIAZ if you are a child 6 years of age and older with a body weight greater than 77 pounds (35 kg) and have severe kidney problems or are taking certain medicines.
  • Take TOVIAZ with liquid and swallow the tablet whole. Do not chew, divide, or crush the tablet.
  • Take TOVIAZ with or without food.
  • If you miss a dose of TOVIAZ, begin taking TOVIAZ again the next day. Do not take 2 doses of TOVIAZ in the same day.
  • If you take too much TOVIAZ, call your healthcare provider or go to an emergency department right away.

What should I avoid while taking TOVIAZ?

  • TOVIAZ can cause blurred vision, dizziness, and drowsiness. Do not drive, operate machinery, or do other dangerous activities until you know how TOVIAZ affects you.
  • Use caution in hot environments. Decreased sweating and severe heat illness can happen when medicines such as TOVIAZ are used in a hot environment.
  • Drinking alcohol while taking medicines such as TOVIAZ may cause increased drowsiness.

What are the possible side effects of TOVIAZ?

TOVIAZ may cause serious side effects, including:

  • serious allergic reactions. Symptoms of a serious allergic reaction may include swelling of the face, lips, throat, or tongue. If you have any of these symptoms, you should stop taking TOVIAZ and get emergency medical help right away.
  • inability to empty bladder (urinary retention). TOVIAZ may increase your chances of not being able to empty your bladder if you have bladder outlet obstruction. Tell your healthcare provider right away if you are unable to empty your bladder.
  • central nervous system (CNS) effects. Talk to your healthcare provider right away if you get any of these side effects: headache, dizziness, and drowsiness.
  • worsening of Myasthenia Gravis symptoms.

The most common side effects of TOVIAZ in adults include:

  • dry mouth
  • constipation

The most common side effects of TOVIAZ in children 6 years of age and older include:

  • diarrhea
  • urinary tract infection
  • dry mouth
  • constipation
  • stomach pain
  • nausea
  • weight gain
  • headache

Talk to your healthcare provider about any side effect that bothers you or that does not go away. These are not all the possible side effects of TOVIAZ. Call your healthcare provider for medical advice about side effects. You may report side effects to FDA at 1-800-FDA-1088.

How should I store TOVIAZ?

  • Store TOVIAZ at room temperature between 68° to 77°F (20° to 25°C).
  • Protect the medicine from moisture by keeping the bottle closed tightly.
  • Keep TOVIAZ and all medicines out of the reach of children.

General information about the safe and effective use of TOVIAZ.

Medicines are sometimes prescribed for purposes other than those listed in a Patient Information leaflet. Do not use TOVIAZ for a condition for which it was not prescribed. Do not give TOVIAZ to other people, even if they have the same symptoms you have. It may harm them. You can ask your pharmacist or healthcare provider for information about TOVIAZ that is written for health professionals.

What are the ingredients in TOVIAZ?

Active ingredient: fesoterodine fumarate.

Inactive ingredients: glyceryl behenate, hypromellose, indigo carmine aluminum lake, lactose monohydrate, soya lecithin, microcrystalline cellulose, polyethylene glycol, polyvinyl alcohol, talc, titanium dioxide, and xylitol.



This product's labeling may have been updated. For the most recent prescribing information, please visit www.pfizer.com.

LAB-0382-14.0

For more information, go to www.TOVIAZ.com or call 1-877-9-TOVIAZ (1-877)-986-8429.

This Patient Information has been approved by the U.S. Food and Drug Administration.

Revised: 2/2024

Section 44425-7

Store at 20° to 25°C (68° to 77°F); excursions permitted between 15° to 30°C (59° to 86°F) [see USP Controlled Room Temperature]. Protect from moisture.

7.7 Warfarin

A clinical study has shown that fesoterodine 8 mg once daily has no significant effect on the pharmacokinetics or the anticoagulant activity (PT/INR) of warfarin 25 mg. Standard therapeutic monitoring for warfarin should be continued [see Clinical Pharmacology (12.3)].

10 Overdosage

Overdosage with Toviaz can result in severe anticholinergic effects. Treatment should be symptomatic and supportive. In the event of overdosage, ECG monitoring is recommended.

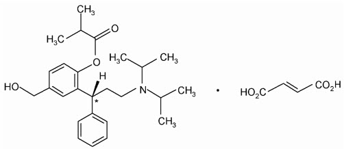
11 Description

Toviaz contains fesoterodine fumarate and is an extended-release tablet. Fesoterodine is rapidly de-esterified to its active metabolite (R)-2-(3-diisopropylamino-1-phenylpropyl)-4-hydroxymethyl-phenol, or 5-hydroxymethyl tolterodine, which is a muscarinic receptor antagonist.

Chemically, fesoterodine fumarate is designated as isobutyric acid 2-((R)-3-diisopropylammonium-1-phenylpropyl)-4-(hydroxymethyl) phenyl ester hydrogen fumarate. The empirical formula is C30H41NO7 and its molecular weight is 527.66. The structural formula is:

The asterisk (*) indicates the chiral carbon.

Fesoterodine fumarate is a white to off-white powder, which is freely soluble in water. Each Toviaz extended-release tablet contains either 4 mg or 8 mg of fesoterodine fumarate and the following inactive ingredients: glyceryl behenate, hypromellose, indigo carmine aluminum lake, lactose monohydrate, soya lecithin, microcrystalline cellulose, polyethylene glycol, polyvinyl alcohol, talc, titanium dioxide, and xylitol.

5.1 Angioedema

Angioedema of the face, lips, tongue, and/or larynx has been reported with Toviaz. In some cases, angioedema occurred after the first dose; however, cases have been reported to occur hours after the first dose or after multiple doses. Angioedema associated with upper airway swelling may be life-threatening.

Toviaz is contraindicated in patients with a known or suspected hypersensitivity to Toviaz or any of its ingredients [see Contraindications (4)]. If involvement of the tongue, hypopharynx, or larynx occurs, Toviaz should be promptly discontinued and appropriate therapy and/or measures to ensure a patent airway should be promptly provided.

8.4 Pediatric Use

The safety and effectiveness of Toviaz have been established for the treatment of neurogenic detrusor overactivity (NDO) in pediatric patients aged 6 years and older and weighing greater than 25 kg. The information on this use is discussed throughout labeling. Use of Toviaz for treatment of NDO is supported by evidence from a randomized, open-label trial with an initial 12-week efficacy phase followed by a 12-week safety extension phase in pediatric patients from 6 years to 17 years of age (Study 3) [see Adverse Reactions (6.1) and Clinical Studies (14.2)]. Study results demonstrated that treatment with Toviaz 4 mg and 8 mg daily resulted in improvements from baseline to Week 12 in maximum cystometric bladder capacity (MCBC) for patients weighing greater than 25 kg [see Clinical Studies (14.2) and Clinical Pharmacology (12.3)]. The most commonly reported adverse reactions in patients who received Toviaz 4 mg or 8 mg in Study 3 (≥2%) were diarrhea, UTI, dry mouth, constipation, abdominal pain, nausea, weight increase and headache [see Adverse Reactions (6.1)]. Mean increases from baseline in heart rate were reported with both the 4 mg and 8 mg daily doses of Toviaz, with larger mean increases reported in pediatric patients who received the 8 mg daily dose [see Adverse Reactions (6.1)].

The safety and effectiveness of Toviaz have not been established in pediatric patients younger than 6 years of age or weighing 25 kg or less.

8.5 Geriatric Use

No dose adjustment is recommended for the elderly. The pharmacokinetics of fesoterodine are not significantly influenced by age.

Of the 1,567 patients who received Toviaz 4 mg or 8 mg orally once daily in Phase 2 and 3, placebo-controlled, efficacy and safety studies for OAB, 515 (33%) were 65 years of age or older, and 140 (9%) were 75 years of age or older. No overall difference in effectiveness was observed between patients younger than 65 years of age and those 65 years of age or older in these studies. However, the incidence of antimuscarinic adverse reactions, including dry mouth, constipation, dyspepsia, increase in residual urine, dizziness (8 mg only) and urinary tract infection, was higher in patients 75 years of age and older as compared to younger patients [see Clinical Studies (14.1) and Adverse Reactions (6)].

4 Contraindications

Toviaz is contraindicated in patients with any of the following:

6 Adverse Reactions

The following clinically significant adverse reactions are described elsewhere in labeling:

7.3 Cyp3a4 Inducers

No dosing adjustments are recommended in the presence of CYP3A4 inducers, such as rifampin and carbamazepine. Following induction of CYP3A4 by coadministration of rifampin 600 mg once a day, Cmax and AUC of the active metabolite of fesoterodine decreased by approximately 70% and 75%, respectively, after oral administration of Toviaz 8 mg. The terminal half-life of the active metabolite was not changed.

8.6 Renal Impairment

In adult patients with severe renal impairment (CLCR <30 mL/min), Cmax and AUC are increased 2.0- and 2.3-fold, respectively. Doses of Toviaz greater than 4 mg are not recommended in adult patients with severe renal impairment. In patients with mild or moderate renal impairment (CLCR ranging from 30–80 mL/min), Cmax and AUC of the active metabolite are increased up to 1.5- and 1.8-fold, respectively, as compared to healthy subjects. No dose adjustment is recommended in patients with mild or moderate renal impairment [see Clinical Pharmacology (12.3) and Dosage and Administration (2.2, 2.3 )].

The recommended dosage of Toviaz in pediatric patients weighing greater than 25 kg and up to 35 kg with mild-to-moderate renal impairment (eGFR 30 to 89 mL/min/1.73m2) is 4 mg once daily and Toviaz is not recommend in those with severe renal impairment (eGFR 15 to 29 mL/min/1.73m2). In pediatric patients weighing greater than 35 kg with mild-to-moderate renal impairment (eGFR 30 to 89 mL/min/1.73m2), the recommended starting dosage of Toviaz is 4 mg orally once daily, with increase to the recommended dosage of Toviaz 8 mg orally once daily, and in those with severe renal impairment (eGFR 15 to 29 mL/min/1.73m2) the recommended dose is 4 mg once daily [see Dosage and Administration (2.2, 2.4)].

12.2 Pharmacodynamics

In a urodynamic study involving patients with involuntary detrusor contractions, the effects after the administration of fesoterodine on the volume at first detrusor contraction and bladder capacity were assessed. Administration of fesoterodine increased the volume at first detrusor contraction and bladder capacity in a dose-dependent manner. These findings are consistent with an antimuscarinic effect on the bladder.

7.2 Cyp3a4 Inhibitors

Doses of Toviaz greater than 4 mg are not recommended in adult patients taking strong CYP3A4 inhibitors, such as ketoconazole, itraconazole, and clarithromycin [see Dosage and Administration (2.5)]. The Toviaz dose in pediatric patients taking strong CYP3A4 inhibitors is recommended to be reduced to 4 mg once daily in patients >35 kg and is not recommended in patients weighing greater than 25 kg and up to 35 kg [see Dosage and Administration (2.5)].

In a study in adults, coadministration of the strong CYP3A4 inhibitor ketoconazole with fesoterodine led to approximately a doubling of the maximum concentration (Cmax) and area under the concentration versus time curve (AUC) of 5-hydroxymethyl tolterodine (5-HMT), the active metabolite of fesoterodine. Compared with CYP2D6 extensive metabolizers not taking ketoconazole, further increases in the exposure to 5-HMT were observed in subjects who were CYP2D6 poor metabolizers taking ketoconazole [see Clinical Pharmacology (12.3)].

There is no clinically relevant effect of moderate CYP3A4 inhibitors on the pharmacokinetics of fesoterodine. Following blockade of CYP3A4 by coadministration of the moderate CYP3A4 inhibitor fluconazole 200 mg twice a day for 2 days, the average (90% confidence interval) increase in Cmax and AUC of the active metabolite of fesoterodine was approximately 19% (11%–28%) and 27% (18%–36%) respectively. No dosing adjustments are recommended in the presence of moderate CYP3A4 inhibitors (e.g., erythromycin, fluconazole, diltiazem, verapamil and grapefruit juice).

The effect of weak CYP3A4 inhibitors (e.g. cimetidine) was not examined; it is not expected to be in excess of the effect of moderate inhibitors [see Clinical Pharmacology (12.3)].

7.4 Cyp2d6 Inhibitors

The interaction with CYP2D6 inhibitors was not tested clinically. In poor metabolizers for CYP2D6, representing a maximum CYP2D6 inhibition, Cmax and AUC of the active metabolite are increased 1.7- and 2-fold, respectively.

No dosing adjustments are recommended in the presence of CYP2D6 inhibitors.

8.7 Hepatic Impairment

Patients with severe hepatic impairment (Child-Pugh C) have not been studied; therefore Toviaz is not recommended for use in these patients. In patients with moderate (Child-Pugh B) hepatic impairment, Cmax and AUC of the active metabolite are increased 1.4- and 2.1-fold, respectively, as compared to healthy subjects. No dose adjustment is recommended in patients with mild or moderate hepatic impairment [see Clinical Pharmacology (12.3)].

1 Indications and Usage

Toviaz is indicated for the treatment of:

  • Overactive bladder (OAB) in adults with symptoms of urge urinary incontinence, urgency, and frequency. (1.1)
  • Neurogenic detrusor overactivity (NDO) in pediatric patients 6 years of age and older and weighing greater than 25 kg. (1.2)
7.6 Oral Contraceptives

In the presence of fesoterodine, there are no clinically significant changes in the plasma concentrations of combined oral contraceptives containing ethinyl estradiol and levonorgestrel [see Clinical Pharmacology (12.3)].

12.1 Mechanism of Action

Fesoterodine is a competitive muscarinic receptor antagonist. After oral administration, fesoterodine is rapidly and extensively hydrolyzed by nonspecific esterases to its active metabolite, 5-hydroxymethyl tolterodine, which is responsible for the antimuscarinic activity of fesoterodine.

Muscarinic receptors play a role in contractions of urinary bladder smooth muscle. Inhibition of these receptors in the bladder is presumed to be the mechanism by which fesoterodine produces its effects.

7.1 Antimuscarinic Drugs

Coadministration of Toviaz with other antimuscarinic agents that produce dry mouth, constipation, urinary retention, and other anticholinergic pharmacological effects may increase the frequency and/or severity of such effects. Anticholinergic agents may potentially alter the absorption of some concomitantly administered drugs due to anticholinergic effects on gastrointestinal motility.

5 Warnings and Precautions
  • Angioedema: Promptly discontinue Toviaz and provide appropriate therapy. (5.1)
  • Urinary Retention: Toviaz is not recommended in patients with clinically significant bladder outlet obstruction because of the risk of urinary retention. (5.2)
  • Decreased Gastrointestinal Motility: Toviaz is not recommended for use in patients with decreased gastrointestinal motility, such as those with severe constipation. (5.3)
  • Worsening of Narrow-Angle Glaucoma: Use Toviaz with caution in patients being treated for narrow-angle glaucoma. (5.4)
  • Central Nervous System Effects: Somnolence has been reported with Toviaz. Advise patients not to drive or operate heavy machinery until they know how Toviaz affects them. (5.5)
  • Worsening of Myasthenia Gravis Symptoms: Use Toviaz with caution in patients with myasthenia gravis. (5.6)
2 Dosage and Administration
  • OAB in Adults: The recommended starting dosage is 4 mg orally once daily. Based upon individual response and tolerability, increase to the maximum dosage of 8 mg once daily. (2.1)
  • NDO in Pediatric Patients 6 Years and Older:
    • Pediatric Patients Weighing Greater than 25 kg and up to 35 kg:

      The recommended dosage is 4 mg orally once daily. If needed, dosage may be increased to 8 mg orally once daily. (2.2)
    • Pediatric Patients Weighing Greater than 35 kg:

      The recommended starting dosage is 4 mg orally once daily. After one week, increase to 8 mg orally once daily. (2.2)
  • Adult or Pediatric Patients with Renal Impairment: Refer to the full prescribing information for recommended dosage. (2.3, 2.4)
  • Dosage Modifications Due to Strong CYP3A4 Inhibitors: Refer to the full prescribing information for recommended dosage. (2.5)
  • Administration: Swallow whole with liquid. Do not chew, divide, or crush. Take with or without food. (2.6)
1.1 Adult Overactive Bladder

Toviaz is indicated for the treatment of overactive bladder (OAB) in adults with symptoms of urge urinary incontinence, urgency, and frequency.

3 Dosage Forms and Strengths

Extended-release tablets:

  • 4 mg, light blue, oval, biconvex, film-coated, and engraved with "FS" on one side.
  • 8 mg, blue, oval, biconvex, film-coated, and engraved with "FT" on one side.
6.2 Postmarketing Experience

The following adverse reactions have been identified during post-approval use of Toviaz. Because these reactions are reported voluntarily from a population of uncertain size, it is not always possible to reliably estimate their frequency or establish a causal relationship to drug exposure.

Cardiac disorders: Palpitations

Central nervous system disorders: Dizziness, headache, somnolence

Eye disorders: Blurred vision

Gastrointestinal disorders: Hypoaesthesia oral

General disorders and administrative site conditions: Hypersensitivity reactions, including angioedema with airway obstruction, face edema

Psychiatric disorders: Confusional state

Skin and subcutaneous tissue disorders: Urticaria, pruritus

14.1 Adult Overactive Bladder

The efficacy of Toviaz extended-release tablets was evaluated in two, Phase 3, randomized, double-blind, placebo-controlled, 12-week studies for the treatment of overactive bladder with symptoms of urge urinary incontinence, urgency, and urinary frequency. Entry criteria required that patients have symptoms of overactive bladder for ≥6-months duration, at least 8 micturitions per day, and at least 6 urinary urgency episodes or 3 urge incontinence episodes per 3-day diary period. Patients were randomized to a fixed dose of Toviaz 4 or 8 mg/day or placebo. In one of these studies, 290 patients were randomized to an active control arm (an oral antimuscarinic agent). For the combined studies, a total of 554 patients received placebo, 554 patients received Toviaz 4 mg/day, and 566 patients received Toviaz 8 mg/day. The majority of patients were Caucasian (91%) and female (79%) with a mean age of 58 years (range 19–91 years).

The primary efficacy endpoints were the mean change in the number of urge urinary incontinence episodes per 24 hours and the mean change in the number of micturitions (frequency) per 24 hours. An important secondary endpoint was the mean change in the voided volume per micturition.

Results for the primary endpoints and for mean change in voided volume per micturition from the two 12-week clinical studies of Toviaz are reported in Table 10.

Table 10: Mean Baseline and Change From Baseline to Week 12 for Urge Urinary Incontinence Episodes, Number of Micturitions, and Volume Voided per Micturition
Study 1 Study 2
Parameter Placebo

N=279
Toviaz

4mg/day

N=265
Toviaz

8mg/day

N=276
Placebo

N=266
Toviaz

4mg/day

N=267
Toviaz

8mg/day

N=267
vs. = versus

Number of urge incontinence episodes per 24 hours

Only those patients who were urge incontinent at baseline were included for the analysis of number of urge incontinence episodes per 24 hours: In Study 1, the number of these patients was 211, 199, and 223 in the placebo, Toviaz 4 mg/day and Toviaz 8 mg/day groups, respectively. In Study 2, the number of these patients was 205, 228, and 218, respectively.

  Baseline

3.7

3.8

3.7

3.7

3.9

3.9

  Change from baseline

-1.20

-2.06

-2.27

-1.00

-1.77

-2.42

  p-value vs. placebo

-

0.001

<0.001

-

<0.003

<0.001

Number of micturitions per 24 hours

  Baseline

12.0

11.6

11.9

12.2

12.9

12.0

  Change from baseline

-1.02

-1.74

-1.94

-1.02

-1.86

-1.94

  p-value vs. placebo

-

<0.001

<0.001

-

0.032

<0.001

Voided volume per micturition (mL)

  Baseline

150

160

154

159

152

156

  Change from baseline

10

27

33

8

17

33

  p-value vs. placebo

-

<0.001

<0.001

-

0.150

<0.001

Figures 1–4: The following figures show change from baseline over time in number of micturitions and urge urinary incontinence episodes per 24 h in the two studies.

A reduction in number of urge urinary incontinence episodes per 24 hours was observed for both doses as compared to placebo as early as two weeks after starting Toviaz therapy.

6.1 Clinical Trials Experience

Because clinical trials are conducted under widely varying conditions, adverse reaction rates observed in the clinical trials of a drug cannot be directly compared to rates in the clinical trials of another drug and may not reflect the rates observed in practice.

2.6 Administration Instructions

Swallow Toviaz whole with liquid. Do not chew, divide, or crush. Take with or without food [see Clinical Pharmacology (12.3)].

17 Patient Counseling Information

Advise the patient to read the FDA-Approved Patient Labeling (Patient Information).

5.5 Central Nervous System Effects

Toviaz is associated with anticholinergic central nervous system (CNS) adverse reactions [see Adverse Reactions (6.1)]. A variety of CNS anticholinergic effects have been reported, including headache, dizziness, and somnolence. Patients should be monitored for signs of anticholinergic CNS effects, particularly after beginning treatment or increasing the dose. Advise patients not to drive or operate heavy machinery until they know how Toviaz affects them. If a patient experiences anticholinergic CNS effects, Toviaz dose reduction or discontinuation should be considered.

16 How Supplied/storage and Handling

Toviaz (fesoterodine fumarate) extended-release tablets 4 mg are light blue, oval, biconvex, film-coated, and engraved with "FS" on one side. They are supplied as follows:

Bottles of 30

NDC 0069-0242-30

Toviaz (fesoterodine fumarate) extended-release tablets 8 mg are blue, oval, biconvex, film-coated, and engraved with "FT" on one side. They are supplied as follows:

Bottles of 30

NDC 0069-0244-30

7.8 Drug Laboratory Test Interactions

Interactions between Toviaz and laboratory tests have not been studied.

5.4 Worsening of Narrow Angle Glaucoma

Toviaz can worsen controlled narrow-angle glaucoma. Toviaz is contraindicated in patients with uncontrolled narrow-angle glaucoma [see Contraindications (4)]. Toviaz should be used with caution in patients being treated for narrow-angle glaucoma.

5.3 Decreased Gastrointestinal Motility

Toviaz is associated with decreased gastric motility. Toviaz is contraindicated in patients with gastric retention [see Contraindications (4)]. The use of Toviaz is not recommended in patients with decreased gastrointestinal motility, such as those with severe constipation.

7.5 Drugs Metabolized By Cytochrome P450

In vitro data indicate that at therapeutic concentrations, the active metabolite of fesoterodine does not have the potential to inhibit or induce Cytochrome P450 enzyme systems [see Clinical Pharmacology (12.3)].

5.6 Worsening of Myasthenia Gravis Symptoms

Toviaz should be used with caution in patients with myasthenia gravis due to the risk of worsening of symptoms of the disease.

1.2 Pediatric Neurogenic Detrusor Overactivity

Toviaz is indicated for the treatment of neurogenic detrusor overactivity (NDO) in pediatric patients 6 years of age and older with a body weight greater than 25 kg.

14.2 Pediatric Neurogenic Detrusor Overactivity

The efficacy of Toviaz was evaluated in Study 3 (NCT01557244), a Phase 3, randomized, open-label study consisting of a 12-week efficacy phase followed by a 12-week safety extension phase in pediatric patients from 6 years to 17 years of age. Two cohorts were studied. Cohort 1 (patients weighing greater than 25 kg) received a fixed dose of Toviaz 4 mg or Toviaz 8 mg tablets orally once daily, or once daily. In the safety extension phase, patients randomized to the active comparator were switched to Toviaz 4 mg or Toviaz 8 mg once daily. For study inclusion, patients were required to have stable neurological disease and clinically or urodynamically-demonstrated NDO. Cohort 2 patients weighing less than 25 kg received an investigational fesoterodine formulation.

During the 12-week efficacy phase, 124 patients (69 males and 55 females) were randomized to receive Toviaz 4 mg (N=42), Toviaz 8 mg (N=42), or active comparator (N=40) orally once daily. The majority of patients were Caucasian (52%) or Asian (44%) with a mean age of 11 years (range 6 years to 17 years) and a mean weight of 42.8 kg (range 25.1 to 96.0 kg).

2.1 Recommended Dosage for Adult Patients With Oab

The recommended starting dosage of Toviaz in adults is 4 mg orally once daily. Based upon individual response and tolerability, increase to the maximum dosage of Toviaz 8 mg once daily. For administration instructions, see Dosage and Administration (2.6) .

Principal Display Panel 4 Mg Tablet Bottle Label

NDC 0069-0242-30

30 Tablets

Rx only

Toviaz®

(fesoterodine fumarate)

extended release tablets

4 mg

Pfizer

Distributed by

Pfizer Labs

Division of Pfizer Inc.

New York, NY 10001

Principal Display Panel 8 Mg Tablet Bottle Label

NDC 0069-0244-30

30 Tablets

Rx only

Toviaz®

(fesoterodine fumarate)

extended release tablets

8 mg

Pfizer

Distributed by

Pfizer Labs

Division of Pfizer Inc.

New York, NY 10001

2.3 Recommended Dosage in Adult Patients With Renal Impairment

The recommended dosage of Toviaz in adult patients with renal impairment is described in Table 1 [see Use in Specific Populations (8.6)] . For administration instructions, see Dosage and Administration (2.6) .

Table 1: Toviaz Recommended Dose in Adult Patients With Renal Impairment (Administered Orally Once Daily)
Estimated Creatinine Clearance
Calculate CLcr using the Cockcroft-Gault formula
Recommended Dose

CLcr 30 to 89 mL/min

8 mg

CLcr 15 to 29 mL/min

4 mg

CLcr <15 mL/min

4 mg

5.2 Urinary Retention in Adult Patients With Bladder Outlet Obstruction

The use of Toviaz, like other antimuscarinic drugs, in patients with clinically significant bladder outlet obstruction, including patients with urinary retention, may result in further urinary retention and kidney injury. The use of Toviaz is not recommended in patients with clinically significant bladder outlet obstruction, and is contraindicated in patients with urinary retention [see Contraindications (4) and Adverse Reactions (6.1)].


Structured Label Content

Section 42229-5 (42229-5)

Pediatric Patients Weighing Greater than 25 kg and up to 35 kg

The recommended dosage of Toviaz is 4 mg orally once daily. If needed, dosage may be increased to Toviaz 8 mg orally once daily. For administration instructions, see Dosage and Administration (2.6) .

Section 42230-3 (42230-3)

Patient Information

TOVIAZ® (TOH-vee-as)

(fesoterodine fumarate)

extended-release tablets, for oral use

Read the Patient Information that comes with TOVIAZ before you start taking it and each time you get a refill. There may be new information. This leaflet does not take the place of talking with your healthcare provider about your medical condition or your treatment.

What is TOVIAZ?

TOVIAZ is a prescription medicine used:

  • in adults to treat symptoms of a condition called overactive bladder (OAB), including urge urinary incontinence (leaking or wetting accidents due to a strong need to urinate), urinary urgency (having a strong need to urinate right away), or urinary frequency (having to urinate too often).
  • in children 6 years of age and older with a body weight greater than 55 pounds (25 kg) to treat neurogenic detrusor overactivity (NDO). TOVIAZ is used to increase the amount of urine your bladder can hold and reduce urine leakage.

It is not known if TOVIAZ is safe and effective in children younger than 6 years of age or with a body weight 55 pounds (25-kg) or less.

Who should not take TOVIAZ?

Do not take TOVIAZ if you:

  • are allergic to TOVIAZ or any of its ingredients. See the end of this leaflet for a complete list of ingredients.
  • are allergic to tolterodine tartrate tablets or tolterodine tartrate extended-release capsules.
  • are not able to empty your bladder (urinary retention).
  • have delayed or slow emptying of your stomach (gastric retention).
  • have an eye problem called uncontrolled narrow-angle glaucoma.

Before you take TOVIAZ, tell your healthcare provider about all your medical conditions, including if you:

  • have problems emptying your bladder or you have a weak urine stream.
  • have any stomach or intestinal problems, or problems with constipation.
  • are receiving treatment for an eye problem called narrow-angle glaucoma.
  • have a condition called Myasthenia Gravis.
  • have kidney problems.
  • have liver problems.
  • are pregnant or plan to become pregnant. It is not known if TOVIAZ will harm your unborn baby. Talk to your healthcare provider if you are pregnant or plan to become pregnant.
  • are breastfeeding or plan to breastfeed. It is not known if TOVIAZ passes into your breast milk. You should talk to your healthcare provider about the best way to feed your baby while taking TOVIAZ.

Tell your healthcare provider about all the medicines you take, including prescription and over-the-counter medicines, vitamins, and herbal products. TOVIAZ may affect the way other medicines work, and other medicines may affect how TOVIAZ works. Especially tell your healthcare provider if you are taking antimuscarinic, antibiotics, or antifungal medicines.



Know all the medicines you take. Keep a list of them with you to show your healthcare provider and pharmacist each time you get a new medicine.

How should I take TOVIAZ?

  • Take TOVIAZ exactly as your healthcare provider tells you to take it.
  • Your healthcare provider may lower your dose of TOVIAZ if you are an adult with severe kidney problems.
  • Your healthcare provider may lower or stop your dose of TOVIAZ if you are a child 6 years of age and older with a body weight greater than 77 pounds (35 kg) and have severe kidney problems or are taking certain medicines.
  • Take TOVIAZ with liquid and swallow the tablet whole. Do not chew, divide, or crush the tablet.
  • Take TOVIAZ with or without food.
  • If you miss a dose of TOVIAZ, begin taking TOVIAZ again the next day. Do not take 2 doses of TOVIAZ in the same day.
  • If you take too much TOVIAZ, call your healthcare provider or go to an emergency department right away.

What should I avoid while taking TOVIAZ?

  • TOVIAZ can cause blurred vision, dizziness, and drowsiness. Do not drive, operate machinery, or do other dangerous activities until you know how TOVIAZ affects you.
  • Use caution in hot environments. Decreased sweating and severe heat illness can happen when medicines such as TOVIAZ are used in a hot environment.
  • Drinking alcohol while taking medicines such as TOVIAZ may cause increased drowsiness.

What are the possible side effects of TOVIAZ?

TOVIAZ may cause serious side effects, including:

  • serious allergic reactions. Symptoms of a serious allergic reaction may include swelling of the face, lips, throat, or tongue. If you have any of these symptoms, you should stop taking TOVIAZ and get emergency medical help right away.
  • inability to empty bladder (urinary retention). TOVIAZ may increase your chances of not being able to empty your bladder if you have bladder outlet obstruction. Tell your healthcare provider right away if you are unable to empty your bladder.
  • central nervous system (CNS) effects. Talk to your healthcare provider right away if you get any of these side effects: headache, dizziness, and drowsiness.
  • worsening of Myasthenia Gravis symptoms.

The most common side effects of TOVIAZ in adults include:

  • dry mouth
  • constipation

The most common side effects of TOVIAZ in children 6 years of age and older include:

  • diarrhea
  • urinary tract infection
  • dry mouth
  • constipation
  • stomach pain
  • nausea
  • weight gain
  • headache

Talk to your healthcare provider about any side effect that bothers you or that does not go away. These are not all the possible side effects of TOVIAZ. Call your healthcare provider for medical advice about side effects. You may report side effects to FDA at 1-800-FDA-1088.

How should I store TOVIAZ?

  • Store TOVIAZ at room temperature between 68° to 77°F (20° to 25°C).
  • Protect the medicine from moisture by keeping the bottle closed tightly.
  • Keep TOVIAZ and all medicines out of the reach of children.

General information about the safe and effective use of TOVIAZ.

Medicines are sometimes prescribed for purposes other than those listed in a Patient Information leaflet. Do not use TOVIAZ for a condition for which it was not prescribed. Do not give TOVIAZ to other people, even if they have the same symptoms you have. It may harm them. You can ask your pharmacist or healthcare provider for information about TOVIAZ that is written for health professionals.

What are the ingredients in TOVIAZ?

Active ingredient: fesoterodine fumarate.

Inactive ingredients: glyceryl behenate, hypromellose, indigo carmine aluminum lake, lactose monohydrate, soya lecithin, microcrystalline cellulose, polyethylene glycol, polyvinyl alcohol, talc, titanium dioxide, and xylitol.



This product's labeling may have been updated. For the most recent prescribing information, please visit www.pfizer.com.

LAB-0382-14.0

For more information, go to www.TOVIAZ.com or call 1-877-9-TOVIAZ (1-877)-986-8429.

This Patient Information has been approved by the U.S. Food and Drug Administration.

Revised: 2/2024

Section 44425-7 (44425-7)

Store at 20° to 25°C (68° to 77°F); excursions permitted between 15° to 30°C (59° to 86°F) [see USP Controlled Room Temperature]. Protect from moisture.

7.7 Warfarin

A clinical study has shown that fesoterodine 8 mg once daily has no significant effect on the pharmacokinetics or the anticoagulant activity (PT/INR) of warfarin 25 mg. Standard therapeutic monitoring for warfarin should be continued [see Clinical Pharmacology (12.3)].

10 Overdosage (10 OVERDOSAGE)

Overdosage with Toviaz can result in severe anticholinergic effects. Treatment should be symptomatic and supportive. In the event of overdosage, ECG monitoring is recommended.

11 Description (11 DESCRIPTION)

Toviaz contains fesoterodine fumarate and is an extended-release tablet. Fesoterodine is rapidly de-esterified to its active metabolite (R)-2-(3-diisopropylamino-1-phenylpropyl)-4-hydroxymethyl-phenol, or 5-hydroxymethyl tolterodine, which is a muscarinic receptor antagonist.

Chemically, fesoterodine fumarate is designated as isobutyric acid 2-((R)-3-diisopropylammonium-1-phenylpropyl)-4-(hydroxymethyl) phenyl ester hydrogen fumarate. The empirical formula is C30H41NO7 and its molecular weight is 527.66. The structural formula is:

The asterisk (*) indicates the chiral carbon.

Fesoterodine fumarate is a white to off-white powder, which is freely soluble in water. Each Toviaz extended-release tablet contains either 4 mg or 8 mg of fesoterodine fumarate and the following inactive ingredients: glyceryl behenate, hypromellose, indigo carmine aluminum lake, lactose monohydrate, soya lecithin, microcrystalline cellulose, polyethylene glycol, polyvinyl alcohol, talc, titanium dioxide, and xylitol.

5.1 Angioedema

Angioedema of the face, lips, tongue, and/or larynx has been reported with Toviaz. In some cases, angioedema occurred after the first dose; however, cases have been reported to occur hours after the first dose or after multiple doses. Angioedema associated with upper airway swelling may be life-threatening.

Toviaz is contraindicated in patients with a known or suspected hypersensitivity to Toviaz or any of its ingredients [see Contraindications (4)]. If involvement of the tongue, hypopharynx, or larynx occurs, Toviaz should be promptly discontinued and appropriate therapy and/or measures to ensure a patent airway should be promptly provided.

8.4 Pediatric Use

The safety and effectiveness of Toviaz have been established for the treatment of neurogenic detrusor overactivity (NDO) in pediatric patients aged 6 years and older and weighing greater than 25 kg. The information on this use is discussed throughout labeling. Use of Toviaz for treatment of NDO is supported by evidence from a randomized, open-label trial with an initial 12-week efficacy phase followed by a 12-week safety extension phase in pediatric patients from 6 years to 17 years of age (Study 3) [see Adverse Reactions (6.1) and Clinical Studies (14.2)]. Study results demonstrated that treatment with Toviaz 4 mg and 8 mg daily resulted in improvements from baseline to Week 12 in maximum cystometric bladder capacity (MCBC) for patients weighing greater than 25 kg [see Clinical Studies (14.2) and Clinical Pharmacology (12.3)]. The most commonly reported adverse reactions in patients who received Toviaz 4 mg or 8 mg in Study 3 (≥2%) were diarrhea, UTI, dry mouth, constipation, abdominal pain, nausea, weight increase and headache [see Adverse Reactions (6.1)]. Mean increases from baseline in heart rate were reported with both the 4 mg and 8 mg daily doses of Toviaz, with larger mean increases reported in pediatric patients who received the 8 mg daily dose [see Adverse Reactions (6.1)].

The safety and effectiveness of Toviaz have not been established in pediatric patients younger than 6 years of age or weighing 25 kg or less.

8.5 Geriatric Use

No dose adjustment is recommended for the elderly. The pharmacokinetics of fesoterodine are not significantly influenced by age.

Of the 1,567 patients who received Toviaz 4 mg or 8 mg orally once daily in Phase 2 and 3, placebo-controlled, efficacy and safety studies for OAB, 515 (33%) were 65 years of age or older, and 140 (9%) were 75 years of age or older. No overall difference in effectiveness was observed between patients younger than 65 years of age and those 65 years of age or older in these studies. However, the incidence of antimuscarinic adverse reactions, including dry mouth, constipation, dyspepsia, increase in residual urine, dizziness (8 mg only) and urinary tract infection, was higher in patients 75 years of age and older as compared to younger patients [see Clinical Studies (14.1) and Adverse Reactions (6)].

4 Contraindications (4 CONTRAINDICATIONS)

Toviaz is contraindicated in patients with any of the following:

6 Adverse Reactions (6 ADVERSE REACTIONS)

The following clinically significant adverse reactions are described elsewhere in labeling:

7.3 Cyp3a4 Inducers (7.3 CYP3A4 Inducers)

No dosing adjustments are recommended in the presence of CYP3A4 inducers, such as rifampin and carbamazepine. Following induction of CYP3A4 by coadministration of rifampin 600 mg once a day, Cmax and AUC of the active metabolite of fesoterodine decreased by approximately 70% and 75%, respectively, after oral administration of Toviaz 8 mg. The terminal half-life of the active metabolite was not changed.

8.6 Renal Impairment

In adult patients with severe renal impairment (CLCR <30 mL/min), Cmax and AUC are increased 2.0- and 2.3-fold, respectively. Doses of Toviaz greater than 4 mg are not recommended in adult patients with severe renal impairment. In patients with mild or moderate renal impairment (CLCR ranging from 30–80 mL/min), Cmax and AUC of the active metabolite are increased up to 1.5- and 1.8-fold, respectively, as compared to healthy subjects. No dose adjustment is recommended in patients with mild or moderate renal impairment [see Clinical Pharmacology (12.3) and Dosage and Administration (2.2, 2.3 )].

The recommended dosage of Toviaz in pediatric patients weighing greater than 25 kg and up to 35 kg with mild-to-moderate renal impairment (eGFR 30 to 89 mL/min/1.73m2) is 4 mg once daily and Toviaz is not recommend in those with severe renal impairment (eGFR 15 to 29 mL/min/1.73m2). In pediatric patients weighing greater than 35 kg with mild-to-moderate renal impairment (eGFR 30 to 89 mL/min/1.73m2), the recommended starting dosage of Toviaz is 4 mg orally once daily, with increase to the recommended dosage of Toviaz 8 mg orally once daily, and in those with severe renal impairment (eGFR 15 to 29 mL/min/1.73m2) the recommended dose is 4 mg once daily [see Dosage and Administration (2.2, 2.4)].

12.2 Pharmacodynamics

In a urodynamic study involving patients with involuntary detrusor contractions, the effects after the administration of fesoterodine on the volume at first detrusor contraction and bladder capacity were assessed. Administration of fesoterodine increased the volume at first detrusor contraction and bladder capacity in a dose-dependent manner. These findings are consistent with an antimuscarinic effect on the bladder.

7.2 Cyp3a4 Inhibitors (7.2 CYP3A4 Inhibitors)

Doses of Toviaz greater than 4 mg are not recommended in adult patients taking strong CYP3A4 inhibitors, such as ketoconazole, itraconazole, and clarithromycin [see Dosage and Administration (2.5)]. The Toviaz dose in pediatric patients taking strong CYP3A4 inhibitors is recommended to be reduced to 4 mg once daily in patients >35 kg and is not recommended in patients weighing greater than 25 kg and up to 35 kg [see Dosage and Administration (2.5)].

In a study in adults, coadministration of the strong CYP3A4 inhibitor ketoconazole with fesoterodine led to approximately a doubling of the maximum concentration (Cmax) and area under the concentration versus time curve (AUC) of 5-hydroxymethyl tolterodine (5-HMT), the active metabolite of fesoterodine. Compared with CYP2D6 extensive metabolizers not taking ketoconazole, further increases in the exposure to 5-HMT were observed in subjects who were CYP2D6 poor metabolizers taking ketoconazole [see Clinical Pharmacology (12.3)].

There is no clinically relevant effect of moderate CYP3A4 inhibitors on the pharmacokinetics of fesoterodine. Following blockade of CYP3A4 by coadministration of the moderate CYP3A4 inhibitor fluconazole 200 mg twice a day for 2 days, the average (90% confidence interval) increase in Cmax and AUC of the active metabolite of fesoterodine was approximately 19% (11%–28%) and 27% (18%–36%) respectively. No dosing adjustments are recommended in the presence of moderate CYP3A4 inhibitors (e.g., erythromycin, fluconazole, diltiazem, verapamil and grapefruit juice).

The effect of weak CYP3A4 inhibitors (e.g. cimetidine) was not examined; it is not expected to be in excess of the effect of moderate inhibitors [see Clinical Pharmacology (12.3)].

7.4 Cyp2d6 Inhibitors (7.4 CYP2D6 Inhibitors)

The interaction with CYP2D6 inhibitors was not tested clinically. In poor metabolizers for CYP2D6, representing a maximum CYP2D6 inhibition, Cmax and AUC of the active metabolite are increased 1.7- and 2-fold, respectively.

No dosing adjustments are recommended in the presence of CYP2D6 inhibitors.

8.7 Hepatic Impairment

Patients with severe hepatic impairment (Child-Pugh C) have not been studied; therefore Toviaz is not recommended for use in these patients. In patients with moderate (Child-Pugh B) hepatic impairment, Cmax and AUC of the active metabolite are increased 1.4- and 2.1-fold, respectively, as compared to healthy subjects. No dose adjustment is recommended in patients with mild or moderate hepatic impairment [see Clinical Pharmacology (12.3)].

1 Indications and Usage (1 INDICATIONS AND USAGE)

Toviaz is indicated for the treatment of:

  • Overactive bladder (OAB) in adults with symptoms of urge urinary incontinence, urgency, and frequency. (1.1)
  • Neurogenic detrusor overactivity (NDO) in pediatric patients 6 years of age and older and weighing greater than 25 kg. (1.2)
7.6 Oral Contraceptives

In the presence of fesoterodine, there are no clinically significant changes in the plasma concentrations of combined oral contraceptives containing ethinyl estradiol and levonorgestrel [see Clinical Pharmacology (12.3)].

12.1 Mechanism of Action

Fesoterodine is a competitive muscarinic receptor antagonist. After oral administration, fesoterodine is rapidly and extensively hydrolyzed by nonspecific esterases to its active metabolite, 5-hydroxymethyl tolterodine, which is responsible for the antimuscarinic activity of fesoterodine.

Muscarinic receptors play a role in contractions of urinary bladder smooth muscle. Inhibition of these receptors in the bladder is presumed to be the mechanism by which fesoterodine produces its effects.

7.1 Antimuscarinic Drugs

Coadministration of Toviaz with other antimuscarinic agents that produce dry mouth, constipation, urinary retention, and other anticholinergic pharmacological effects may increase the frequency and/or severity of such effects. Anticholinergic agents may potentially alter the absorption of some concomitantly administered drugs due to anticholinergic effects on gastrointestinal motility.

5 Warnings and Precautions (5 WARNINGS AND PRECAUTIONS)
  • Angioedema: Promptly discontinue Toviaz and provide appropriate therapy. (5.1)
  • Urinary Retention: Toviaz is not recommended in patients with clinically significant bladder outlet obstruction because of the risk of urinary retention. (5.2)
  • Decreased Gastrointestinal Motility: Toviaz is not recommended for use in patients with decreased gastrointestinal motility, such as those with severe constipation. (5.3)
  • Worsening of Narrow-Angle Glaucoma: Use Toviaz with caution in patients being treated for narrow-angle glaucoma. (5.4)
  • Central Nervous System Effects: Somnolence has been reported with Toviaz. Advise patients not to drive or operate heavy machinery until they know how Toviaz affects them. (5.5)
  • Worsening of Myasthenia Gravis Symptoms: Use Toviaz with caution in patients with myasthenia gravis. (5.6)
2 Dosage and Administration (2 DOSAGE AND ADMINISTRATION)
  • OAB in Adults: The recommended starting dosage is 4 mg orally once daily. Based upon individual response and tolerability, increase to the maximum dosage of 8 mg once daily. (2.1)
  • NDO in Pediatric Patients 6 Years and Older:
    • Pediatric Patients Weighing Greater than 25 kg and up to 35 kg:

      The recommended dosage is 4 mg orally once daily. If needed, dosage may be increased to 8 mg orally once daily. (2.2)
    • Pediatric Patients Weighing Greater than 35 kg:

      The recommended starting dosage is 4 mg orally once daily. After one week, increase to 8 mg orally once daily. (2.2)
  • Adult or Pediatric Patients with Renal Impairment: Refer to the full prescribing information for recommended dosage. (2.3, 2.4)
  • Dosage Modifications Due to Strong CYP3A4 Inhibitors: Refer to the full prescribing information for recommended dosage. (2.5)
  • Administration: Swallow whole with liquid. Do not chew, divide, or crush. Take with or without food. (2.6)
1.1 Adult Overactive Bladder

Toviaz is indicated for the treatment of overactive bladder (OAB) in adults with symptoms of urge urinary incontinence, urgency, and frequency.

3 Dosage Forms and Strengths (3 DOSAGE FORMS AND STRENGTHS)

Extended-release tablets:

  • 4 mg, light blue, oval, biconvex, film-coated, and engraved with "FS" on one side.
  • 8 mg, blue, oval, biconvex, film-coated, and engraved with "FT" on one side.
6.2 Postmarketing Experience

The following adverse reactions have been identified during post-approval use of Toviaz. Because these reactions are reported voluntarily from a population of uncertain size, it is not always possible to reliably estimate their frequency or establish a causal relationship to drug exposure.

Cardiac disorders: Palpitations

Central nervous system disorders: Dizziness, headache, somnolence

Eye disorders: Blurred vision

Gastrointestinal disorders: Hypoaesthesia oral

General disorders and administrative site conditions: Hypersensitivity reactions, including angioedema with airway obstruction, face edema

Psychiatric disorders: Confusional state

Skin and subcutaneous tissue disorders: Urticaria, pruritus

14.1 Adult Overactive Bladder

The efficacy of Toviaz extended-release tablets was evaluated in two, Phase 3, randomized, double-blind, placebo-controlled, 12-week studies for the treatment of overactive bladder with symptoms of urge urinary incontinence, urgency, and urinary frequency. Entry criteria required that patients have symptoms of overactive bladder for ≥6-months duration, at least 8 micturitions per day, and at least 6 urinary urgency episodes or 3 urge incontinence episodes per 3-day diary period. Patients were randomized to a fixed dose of Toviaz 4 or 8 mg/day or placebo. In one of these studies, 290 patients were randomized to an active control arm (an oral antimuscarinic agent). For the combined studies, a total of 554 patients received placebo, 554 patients received Toviaz 4 mg/day, and 566 patients received Toviaz 8 mg/day. The majority of patients were Caucasian (91%) and female (79%) with a mean age of 58 years (range 19–91 years).

The primary efficacy endpoints were the mean change in the number of urge urinary incontinence episodes per 24 hours and the mean change in the number of micturitions (frequency) per 24 hours. An important secondary endpoint was the mean change in the voided volume per micturition.

Results for the primary endpoints and for mean change in voided volume per micturition from the two 12-week clinical studies of Toviaz are reported in Table 10.

Table 10: Mean Baseline and Change From Baseline to Week 12 for Urge Urinary Incontinence Episodes, Number of Micturitions, and Volume Voided per Micturition
Study 1 Study 2
Parameter Placebo

N=279
Toviaz

4mg/day

N=265
Toviaz

8mg/day

N=276
Placebo

N=266
Toviaz

4mg/day

N=267
Toviaz

8mg/day

N=267
vs. = versus

Number of urge incontinence episodes per 24 hours

Only those patients who were urge incontinent at baseline were included for the analysis of number of urge incontinence episodes per 24 hours: In Study 1, the number of these patients was 211, 199, and 223 in the placebo, Toviaz 4 mg/day and Toviaz 8 mg/day groups, respectively. In Study 2, the number of these patients was 205, 228, and 218, respectively.

  Baseline

3.7

3.8

3.7

3.7

3.9

3.9

  Change from baseline

-1.20

-2.06

-2.27

-1.00

-1.77

-2.42

  p-value vs. placebo

-

0.001

<0.001

-

<0.003

<0.001

Number of micturitions per 24 hours

  Baseline

12.0

11.6

11.9

12.2

12.9

12.0

  Change from baseline

-1.02

-1.74

-1.94

-1.02

-1.86

-1.94

  p-value vs. placebo

-

<0.001

<0.001

-

0.032

<0.001

Voided volume per micturition (mL)

  Baseline

150

160

154

159

152

156

  Change from baseline

10

27

33

8

17

33

  p-value vs. placebo

-

<0.001

<0.001

-

0.150

<0.001

Figures 1–4: The following figures show change from baseline over time in number of micturitions and urge urinary incontinence episodes per 24 h in the two studies.

A reduction in number of urge urinary incontinence episodes per 24 hours was observed for both doses as compared to placebo as early as two weeks after starting Toviaz therapy.

6.1 Clinical Trials Experience

Because clinical trials are conducted under widely varying conditions, adverse reaction rates observed in the clinical trials of a drug cannot be directly compared to rates in the clinical trials of another drug and may not reflect the rates observed in practice.

2.6 Administration Instructions

Swallow Toviaz whole with liquid. Do not chew, divide, or crush. Take with or without food [see Clinical Pharmacology (12.3)].

17 Patient Counseling Information (17 PATIENT COUNSELING INFORMATION)

Advise the patient to read the FDA-Approved Patient Labeling (Patient Information).

5.5 Central Nervous System Effects

Toviaz is associated with anticholinergic central nervous system (CNS) adverse reactions [see Adverse Reactions (6.1)]. A variety of CNS anticholinergic effects have been reported, including headache, dizziness, and somnolence. Patients should be monitored for signs of anticholinergic CNS effects, particularly after beginning treatment or increasing the dose. Advise patients not to drive or operate heavy machinery until they know how Toviaz affects them. If a patient experiences anticholinergic CNS effects, Toviaz dose reduction or discontinuation should be considered.

16 How Supplied/storage and Handling (16 HOW SUPPLIED/STORAGE AND HANDLING)

Toviaz (fesoterodine fumarate) extended-release tablets 4 mg are light blue, oval, biconvex, film-coated, and engraved with "FS" on one side. They are supplied as follows:

Bottles of 30

NDC 0069-0242-30

Toviaz (fesoterodine fumarate) extended-release tablets 8 mg are blue, oval, biconvex, film-coated, and engraved with "FT" on one side. They are supplied as follows:

Bottles of 30

NDC 0069-0244-30

7.8 Drug Laboratory Test Interactions (7.8 Drug-Laboratory Test Interactions)

Interactions between Toviaz and laboratory tests have not been studied.

5.4 Worsening of Narrow Angle Glaucoma (5.4 Worsening of Narrow-Angle Glaucoma)

Toviaz can worsen controlled narrow-angle glaucoma. Toviaz is contraindicated in patients with uncontrolled narrow-angle glaucoma [see Contraindications (4)]. Toviaz should be used with caution in patients being treated for narrow-angle glaucoma.

5.3 Decreased Gastrointestinal Motility

Toviaz is associated with decreased gastric motility. Toviaz is contraindicated in patients with gastric retention [see Contraindications (4)]. The use of Toviaz is not recommended in patients with decreased gastrointestinal motility, such as those with severe constipation.

7.5 Drugs Metabolized By Cytochrome P450 (7.5 Drugs Metabolized by Cytochrome P450)

In vitro data indicate that at therapeutic concentrations, the active metabolite of fesoterodine does not have the potential to inhibit or induce Cytochrome P450 enzyme systems [see Clinical Pharmacology (12.3)].

5.6 Worsening of Myasthenia Gravis Symptoms

Toviaz should be used with caution in patients with myasthenia gravis due to the risk of worsening of symptoms of the disease.

1.2 Pediatric Neurogenic Detrusor Overactivity

Toviaz is indicated for the treatment of neurogenic detrusor overactivity (NDO) in pediatric patients 6 years of age and older with a body weight greater than 25 kg.

14.2 Pediatric Neurogenic Detrusor Overactivity

The efficacy of Toviaz was evaluated in Study 3 (NCT01557244), a Phase 3, randomized, open-label study consisting of a 12-week efficacy phase followed by a 12-week safety extension phase in pediatric patients from 6 years to 17 years of age. Two cohorts were studied. Cohort 1 (patients weighing greater than 25 kg) received a fixed dose of Toviaz 4 mg or Toviaz 8 mg tablets orally once daily, or once daily. In the safety extension phase, patients randomized to the active comparator were switched to Toviaz 4 mg or Toviaz 8 mg once daily. For study inclusion, patients were required to have stable neurological disease and clinically or urodynamically-demonstrated NDO. Cohort 2 patients weighing less than 25 kg received an investigational fesoterodine formulation.

During the 12-week efficacy phase, 124 patients (69 males and 55 females) were randomized to receive Toviaz 4 mg (N=42), Toviaz 8 mg (N=42), or active comparator (N=40) orally once daily. The majority of patients were Caucasian (52%) or Asian (44%) with a mean age of 11 years (range 6 years to 17 years) and a mean weight of 42.8 kg (range 25.1 to 96.0 kg).

2.1 Recommended Dosage for Adult Patients With Oab (2.1 Recommended Dosage for Adult Patients With OAB)

The recommended starting dosage of Toviaz in adults is 4 mg orally once daily. Based upon individual response and tolerability, increase to the maximum dosage of Toviaz 8 mg once daily. For administration instructions, see Dosage and Administration (2.6) .

Principal Display Panel 4 Mg Tablet Bottle Label (PRINCIPAL DISPLAY PANEL - 4 mg Tablet Bottle Label)

NDC 0069-0242-30

30 Tablets

Rx only

Toviaz®

(fesoterodine fumarate)

extended release tablets

4 mg

Pfizer

Distributed by

Pfizer Labs

Division of Pfizer Inc.

New York, NY 10001

Principal Display Panel 8 Mg Tablet Bottle Label (PRINCIPAL DISPLAY PANEL - 8 mg Tablet Bottle Label)

NDC 0069-0244-30

30 Tablets

Rx only

Toviaz®

(fesoterodine fumarate)

extended release tablets

8 mg

Pfizer

Distributed by

Pfizer Labs

Division of Pfizer Inc.

New York, NY 10001

2.3 Recommended Dosage in Adult Patients With Renal Impairment

The recommended dosage of Toviaz in adult patients with renal impairment is described in Table 1 [see Use in Specific Populations (8.6)] . For administration instructions, see Dosage and Administration (2.6) .

Table 1: Toviaz Recommended Dose in Adult Patients With Renal Impairment (Administered Orally Once Daily)
Estimated Creatinine Clearance
Calculate CLcr using the Cockcroft-Gault formula
Recommended Dose

CLcr 30 to 89 mL/min

8 mg

CLcr 15 to 29 mL/min

4 mg

CLcr <15 mL/min

4 mg

5.2 Urinary Retention in Adult Patients With Bladder Outlet Obstruction

The use of Toviaz, like other antimuscarinic drugs, in patients with clinically significant bladder outlet obstruction, including patients with urinary retention, may result in further urinary retention and kidney injury. The use of Toviaz is not recommended in patients with clinically significant bladder outlet obstruction, and is contraindicated in patients with urinary retention [see Contraindications (4) and Adverse Reactions (6.1)].


Advanced Ingredient Data


Raw Label Data

All Sections (JSON)