tobrex®

tobrex®
SPL v6
SPL
SPL Set ID 5b66bba3-cf97-4a9c-b618-ba5f277f20f6
Route
ophthalmic
Published
Effective Date 2025-12-16
Document Type 34391-3 HUMAN PRESCRIPTION DRUG LABEL

Drug Facts

Composition & Product

Active Ingredients
tobramycin (3 mg)
Inactive Ingredients
chlorobutanol mineral oil petrolatum

Identifiers & Packaging

Marketing Status
nda active Since 1981-06-28

Indications and Usage

TOBREX ® (tobramycin ophthalmic ointment) 0.3 % is a topical antibiotic indicated in the treatment of external infections of the eye and its adnexa caused by susceptible bacteria. Appropriate monitoring of bacterial response to topical antibiotic therapy should accompany the use of TOBREX (tobramycin ophthalmic ointment) 0.3%. Clinical studies have shown tobramycin to be safe and effective for use in children.

Dosage and Administration

In mild to moderate disease, apply a half-inch ribbon into the affected eye(s) 2 or 3 times per day. In severe infections, instill a half-inch ribbon into the affected eye(s) every 3 to 4 hours until improvement, following which treatment should be reduced prior to discontinuation. How to Apply TOBREX (tobramycin ophthalmic ointment) 0.3%: 1. Tilt your head back. 2. Place a finger on your cheek just under your eye and gently pull down until a ''V'' pocket is formed between your eyeball and your lower lid. 3. Place a small amount (about ½ inch) of TOBREX ® (tobramycin ophthalmic ointment) 0.3% in the ''V'' pocket. Do not let the tip of the tube touch your eye. 4. Look downward before closing your eye.

Contraindications

TOBREX (tobramycin ophthalmic ointment) 0.3 % is contraindicated in patients with known hypersensitivity to any of its components.

How Supplied

TOBREX (tobramycin ophthalmic ointment) 0.3% is supplied as a 3.5 g sterile ointment in an aluminum tube with a white polyethylene tip and white polyethylene cap as follows: 3.5 g containing tobramycin 0.3% (3 mg/g).................................................. NDC 0078-0813-01 Storage: Store at 2°C to 25°C (36°F to 77°F). After opening, TOBREX (tobramycin ophthalmic ointment) 0.3% can be used until the expiration date on the tube. Distributed by: Novartis Pharmaceuticals Corporation East Hanover, New Jersey 07936 © Novartis Revised: June 2021 T2021-76

Description

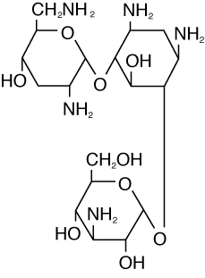
TOBREX ® (tobramycin ophthalmic ointment) 0.3% is a sterile topical ophthalmic antibiotic formulation prepared specifically for topical therapy of external ophthalmic infections. Each gram of TOBREX (tobramycin ophthalmic ointment) 0.3% contains: Active: tobramycin 0.3% (3 mg). Preservative: chlorobutanol 0.5%. Inactives: mineral oil, white petrolatum. Tobramycin is a water-soluble aminoglycoside antibiotic active against a wide variety of gram-negative and gram-positive ophthalmic pathogens. The chemical structure of tobramycin is: Molecular Formula: C 18 H 37 N 5 O 9 Molecular Weight: 467.52 g/mol Chemical Name: 0-{3-amino-3-deoxy-α-D-gluco-pyranosyl-(1→4) }-0-{2,6-diamino-2,3,6-trideoxy-α-D-ribohexo-pyranosyl-(1→6) }-2-deoxystreptamine.


Medication Information

Warnings

NOT FOR INJECTION INTO THE EYE. Sensitivity to topically applied aminoglycosides may occur in some patients. Severity of hypersensitivity reactions may vary from local effects to generalized reactions such as erythema, itching, urticaria, skin rash, anaphylaxis, anaphylactoid reactions, or bullous reactions. If a sensitivity reaction to TOBREX (tobramycin ophthalmic ointment) 0.3% occurs, discontinue use.

Indications and Usage

TOBREX® (tobramycin ophthalmic ointment) 0.3 % is a topical antibiotic indicated in the treatment of external infections of the eye and its adnexa caused by susceptible bacteria. Appropriate monitoring of bacterial response to topical antibiotic therapy should accompany the use of TOBREX (tobramycin ophthalmic ointment) 0.3%. Clinical studies have shown tobramycin to be safe and effective for use in children.

Dosage and Administration

In mild to moderate disease, apply a half-inch ribbon into the affected eye(s) 2 or 3 times per day. In severe infections, instill a half-inch ribbon into the affected eye(s) every 3 to 4 hours until improvement, following which treatment should be reduced prior to discontinuation.

How to Apply TOBREX (tobramycin ophthalmic ointment) 0.3%:

1. Tilt your head back.

2. Place a finger on your cheek just under your eye and gently pull down until a ''V'' pocket is formed between your eyeball and your lower lid.

3. Place a small amount (about ½ inch) of TOBREX® (tobramycin ophthalmic ointment) 0.3% in the ''V'' pocket. Do not let the tip of the tube touch your eye.

4. Look downward before closing your eye.

Contraindications

TOBREX (tobramycin ophthalmic ointment) 0.3 % is contraindicated in patients with known hypersensitivity to any of its components.

How Supplied

TOBREX (tobramycin ophthalmic ointment) 0.3% is supplied as a 3.5 g sterile ointment in an aluminum tube with a white polyethylene tip and white polyethylene cap as follows:

3.5 g containing tobramycin 0.3% (3 mg/g).................................................. NDC 0078-0813-01

Storage: Store at 2°C to 25°C (36°F to 77°F).

After opening, TOBREX (tobramycin ophthalmic ointment) 0.3% can be used until the expiration date on the tube.

Distributed by:

Novartis Pharmaceuticals Corporation

East Hanover, New Jersey 07936

© Novartis

Revised: June 2021

T2021-76

Description

TOBREX® (tobramycin ophthalmic ointment) 0.3% is a sterile topical ophthalmic antibiotic formulation prepared specifically for topical therapy of external ophthalmic infections.

Each gram of TOBREX (tobramycin ophthalmic ointment) 0.3% contains: Active: tobramycin 0.3% (3 mg). Preservative: chlorobutanol 0.5%. Inactives: mineral oil, white petrolatum.

Tobramycin is a water-soluble aminoglycoside antibiotic active against a wide variety of gram-negative and gram-positive ophthalmic pathogens.

The chemical structure of tobramycin is:

Molecular Formula:

C18H37N5O9

Molecular Weight: 467.52 g/mol

Chemical Name:

0-{3-amino-3-deoxy-α-D-gluco-pyranosyl-(1→4) }-0-{2,6-diamino-2,3,6-trideoxy-α-D-ribohexo-pyranosyl-(1→6) }-2-deoxystreptamine.

Principal Display Panel

NDC 0078-0813-01

Tobrex®

(tobramycin ophthalmic

ointment) 0.3%

Sterile 3.5 g Net Wt.

NOVARTIS

Section 34076-0

Information for Patients: Do not touch tube tip to any surface, as this may contaminate the ointment.

Do not use the product if the imprinted carton seals have been damaged, or removed.

Section 34080-2

Nursing Mothers: Because of the potential for adverse reactions in nursing infants from TOBREX® (tobramycin ophthalmic ointment) 0.3%, a decision should be made whether to discontinue nursing the infant or discontinue the drug, taking into account the importance of the drug to the mother.

Section 34081-0

Pediatric Use: Safety and effectiveness in pediatric patients below the age of 2 months has not been established.

Section 34082-8

Geriatric Use: No overall clinical differences in safety or effectiveness have been observed between the elderly and other adult patients.

Section 34084-4

ADVERSE REACTIONS: The most frequent adverse reactions to TOBREX (tobramycin ophthalmic ointment) 0.3% are hypersensitivity and localized ocular toxicity, including lid itching and swelling, and conjunctival erythema. These reactions occur in less than three of 100 patients treated with TOBREX® (tobramycin ophthalmic ointment) 0.3%.

Section 42228-7

Pregnancy: Reproduction studies in three types of animals at doses up to thirty-three times the normal human systemic dose have revealed no evidence of impaired fertility or harm to the fetus due to tobramycin. There are, however, no adequate and well-controlled studies in pregnant women. Because animal studies are not always predictive of human response, this drug should be used during pregnancy only if clearly needed.

Section 90375-7

Postmarketing Experience: Additional adverse reactions identified from postmarketing use include anaphylactic reaction, Stevens-Johnson syndrome, and erythema multiforme.

The following additional adverse reactions have been reported with systemic aminoglycosides:

Neurotoxicity, ototoxicity and nephrotoxicity have occurred in patients receiving systemic aminoglycoside therapy. Aminoglycosides may aggravate muscle weakness in patients with known or suspected neuromuscular disorders, such as myasthenia gravis or Parkinson’s disease, because of their potential effect on neuromuscular function.

Precautions

General: As with other antibiotic preparations, prolonged use may result in overgrowth of nonsusceptible organisms, including fungi. If superinfection occurs, appropriate therapy should be initiated. Ophthalmic ointments may retard corneal wound healing.

Cross-sensitivity to other aminoglycoside antibiotics may occur; if hypersensitivity develops with this product, discontinue use and institute appropriate therapy.

Patients should be advised not to wear contact lenses if they have signs and symptoms of ocular infections.

Clinical Pharmacology

In Vitro Data: In vitro studies have demonstrated tobramycin is active against susceptible strains of the following microorganisms: Staphylococci, including S. aureus and S. epidermidis (coagulase-positive and coagulase-negative), including penicillin-resistant strains.

Streptococci, including some of the Group A-beta-hemolytic species, some nonhemolytic species, and some Streptococcus pneumoniae.

Pseudomonas aeruginosa, Escherichia coli, Klebsiella pneumoniae, Enterobacter aerogenes, Proteus mirabilis, Morganella morganii, most Proteus vulgaris strains, Haemophilus influenzae and H. aegyptius, Moraxella lacunata, Acinetobacter calcoaceticus and some Neisseria species. Bacterial susceptibility studies demonstrate that in some cases, microorganisms resistant to gentamicin retain susceptibility to tobramycin.


Structured Label Content

Warnings (WARNINGS)

NOT FOR INJECTION INTO THE EYE. Sensitivity to topically applied aminoglycosides may occur in some patients. Severity of hypersensitivity reactions may vary from local effects to generalized reactions such as erythema, itching, urticaria, skin rash, anaphylaxis, anaphylactoid reactions, or bullous reactions. If a sensitivity reaction to TOBREX (tobramycin ophthalmic ointment) 0.3% occurs, discontinue use.

Indications and Usage (INDICATIONS AND USAGE)

TOBREX® (tobramycin ophthalmic ointment) 0.3 % is a topical antibiotic indicated in the treatment of external infections of the eye and its adnexa caused by susceptible bacteria. Appropriate monitoring of bacterial response to topical antibiotic therapy should accompany the use of TOBREX (tobramycin ophthalmic ointment) 0.3%. Clinical studies have shown tobramycin to be safe and effective for use in children.

Dosage and Administration (DOSAGE AND ADMINISTRATION)

In mild to moderate disease, apply a half-inch ribbon into the affected eye(s) 2 or 3 times per day. In severe infections, instill a half-inch ribbon into the affected eye(s) every 3 to 4 hours until improvement, following which treatment should be reduced prior to discontinuation.

How to Apply TOBREX (tobramycin ophthalmic ointment) 0.3%:

1. Tilt your head back.

2. Place a finger on your cheek just under your eye and gently pull down until a ''V'' pocket is formed between your eyeball and your lower lid.

3. Place a small amount (about ½ inch) of TOBREX® (tobramycin ophthalmic ointment) 0.3% in the ''V'' pocket. Do not let the tip of the tube touch your eye.

4. Look downward before closing your eye.

Contraindications (CONTRAINDICATIONS)

TOBREX (tobramycin ophthalmic ointment) 0.3 % is contraindicated in patients with known hypersensitivity to any of its components.

How Supplied (HOW SUPPLIED)

TOBREX (tobramycin ophthalmic ointment) 0.3% is supplied as a 3.5 g sterile ointment in an aluminum tube with a white polyethylene tip and white polyethylene cap as follows:

3.5 g containing tobramycin 0.3% (3 mg/g).................................................. NDC 0078-0813-01

Storage: Store at 2°C to 25°C (36°F to 77°F).

After opening, TOBREX (tobramycin ophthalmic ointment) 0.3% can be used until the expiration date on the tube.

Distributed by:

Novartis Pharmaceuticals Corporation

East Hanover, New Jersey 07936

© Novartis

Revised: June 2021

T2021-76

Description (DESCRIPTION)

TOBREX® (tobramycin ophthalmic ointment) 0.3% is a sterile topical ophthalmic antibiotic formulation prepared specifically for topical therapy of external ophthalmic infections.

Each gram of TOBREX (tobramycin ophthalmic ointment) 0.3% contains: Active: tobramycin 0.3% (3 mg). Preservative: chlorobutanol 0.5%. Inactives: mineral oil, white petrolatum.

Tobramycin is a water-soluble aminoglycoside antibiotic active against a wide variety of gram-negative and gram-positive ophthalmic pathogens.

The chemical structure of tobramycin is:

Molecular Formula:

C18H37N5O9

Molecular Weight: 467.52 g/mol

Chemical Name:

0-{3-amino-3-deoxy-α-D-gluco-pyranosyl-(1→4) }-0-{2,6-diamino-2,3,6-trideoxy-α-D-ribohexo-pyranosyl-(1→6) }-2-deoxystreptamine.

Principal Display Panel (PRINCIPAL DISPLAY PANEL)

NDC 0078-0813-01

Tobrex®

(tobramycin ophthalmic

ointment) 0.3%

Sterile 3.5 g Net Wt.

NOVARTIS

Section 34076-0 (34076-0)

Information for Patients: Do not touch tube tip to any surface, as this may contaminate the ointment.

Do not use the product if the imprinted carton seals have been damaged, or removed.

Section 34080-2 (34080-2)

Nursing Mothers: Because of the potential for adverse reactions in nursing infants from TOBREX® (tobramycin ophthalmic ointment) 0.3%, a decision should be made whether to discontinue nursing the infant or discontinue the drug, taking into account the importance of the drug to the mother.

Section 34081-0 (34081-0)

Pediatric Use: Safety and effectiveness in pediatric patients below the age of 2 months has not been established.

Section 34082-8 (34082-8)

Geriatric Use: No overall clinical differences in safety or effectiveness have been observed between the elderly and other adult patients.

Section 34084-4 (34084-4)

ADVERSE REACTIONS: The most frequent adverse reactions to TOBREX (tobramycin ophthalmic ointment) 0.3% are hypersensitivity and localized ocular toxicity, including lid itching and swelling, and conjunctival erythema. These reactions occur in less than three of 100 patients treated with TOBREX® (tobramycin ophthalmic ointment) 0.3%.

Section 42228-7 (42228-7)

Pregnancy: Reproduction studies in three types of animals at doses up to thirty-three times the normal human systemic dose have revealed no evidence of impaired fertility or harm to the fetus due to tobramycin. There are, however, no adequate and well-controlled studies in pregnant women. Because animal studies are not always predictive of human response, this drug should be used during pregnancy only if clearly needed.

Section 90375-7 (90375-7)

Postmarketing Experience: Additional adverse reactions identified from postmarketing use include anaphylactic reaction, Stevens-Johnson syndrome, and erythema multiforme.

The following additional adverse reactions have been reported with systemic aminoglycosides:

Neurotoxicity, ototoxicity and nephrotoxicity have occurred in patients receiving systemic aminoglycoside therapy. Aminoglycosides may aggravate muscle weakness in patients with known or suspected neuromuscular disorders, such as myasthenia gravis or Parkinson’s disease, because of their potential effect on neuromuscular function.

Precautions (PRECAUTIONS)

General: As with other antibiotic preparations, prolonged use may result in overgrowth of nonsusceptible organisms, including fungi. If superinfection occurs, appropriate therapy should be initiated. Ophthalmic ointments may retard corneal wound healing.

Cross-sensitivity to other aminoglycoside antibiotics may occur; if hypersensitivity develops with this product, discontinue use and institute appropriate therapy.

Patients should be advised not to wear contact lenses if they have signs and symptoms of ocular infections.

Clinical Pharmacology (CLINICAL PHARMACOLOGY)

In Vitro Data: In vitro studies have demonstrated tobramycin is active against susceptible strains of the following microorganisms: Staphylococci, including S. aureus and S. epidermidis (coagulase-positive and coagulase-negative), including penicillin-resistant strains.

Streptococci, including some of the Group A-beta-hemolytic species, some nonhemolytic species, and some Streptococcus pneumoniae.

Pseudomonas aeruginosa, Escherichia coli, Klebsiella pneumoniae, Enterobacter aerogenes, Proteus mirabilis, Morganella morganii, most Proteus vulgaris strains, Haemophilus influenzae and H. aegyptius, Moraxella lacunata, Acinetobacter calcoaceticus and some Neisseria species. Bacterial susceptibility studies demonstrate that in some cases, microorganisms resistant to gentamicin retain susceptibility to tobramycin.


Advanced Ingredient Data


Raw Label Data

All Sections (JSON)