Lidocaine Hcl - Lidocaine Hcl Cream

Lidocaine Hcl - Lidocaine Hcl Cream
SPL v1
SPL
SPL Set ID 5b4b36dd-da60-47de-a2c1-517a52ab3549
Route
TOPICAL
Published
Effective Date 2020-05-01
Document Type 34391-3 HUMAN PRESCRIPTION DRUG LABEL

Drug Facts

Composition & Product

Inactive Ingredients
Aluminum Sulfate Calcium Acetate Cetyl Alcohol Methylparaben Mineral Oil Petrolatum Polysorbate 80 Propylene Glycol Propylparaben Water Sodium Hydroxide Sorbitan Monostearate Stearic Acid Stearyl Alcohol

Identifiers & Packaging

Marketing Status
UNAPPROVED DRUG OTHER Active Since 2019-08-19

Description

Westminster Pharmaceuticals, LLC. Disclaimer: This drug has not been found by FDA to be safe and effective, and this labeling has not been approved by FDA. Prescribing Information

Dosage and Administration

Apply a thin film to the affected area two or three times daily or as directed by a physician.

Contraindications

Tuberculous or fungal lesions of skin vaccinia, varicella and acute herpes simplex and in persons who have shown hypersensitivity to any of its components. Lidocaine is contraindicated in patients with a known history of hypersensitivity to local anesthetics of the amide type.

Adverse Reactions

During or immediately after treatment, the skin at the site of treatment may develop erythema or edema or may be the locus of abnormal sensation.

Storage and Handling

Store at controlled room temperature 15° - 30°C (59° - 86°F). Avoid excessive heat and cold, Protect from sunlight and freezing.

How Supplied

Westminster Pharmaceuticals Lidocaine HCl 3% Cream 1 oz (28.35g) tube - NDC- 71205-973-01 3 oz (85 g) tube – NDC- 71205-973-03


Medication Information

Dosage and Administration

Apply a thin film to the affected area two or three times daily or as directed by a physician.

Contraindications

Tuberculous or fungal lesions of skin vaccinia, varicella and acute herpes simplex and in persons who have shown hypersensitivity to any of its components. Lidocaine is contraindicated in patients with a known history of hypersensitivity to local anesthetics of the amide type.

Adverse Reactions

During or immediately after treatment, the skin at the site of treatment may develop erythema or edema or may be the locus of abnormal sensation.

Storage and Handling

Store at controlled room temperature 15° - 30°C (59° - 86°F). Avoid excessive heat and cold, Protect from sunlight and freezing.

How Supplied

Westminster Pharmaceuticals Lidocaine HCl 3% Cream

1 oz (28.35g) tube - NDC- 71205-973-01

3 oz (85 g) tube – NDC- 71205-973-03

Description

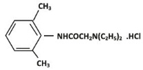
Contains lidocaine HCl 3% in a mild acidic vehicle. Lidocaine is chemically designated as acetamide, 2-(diethylamino)-N-(2,6-dimethylphenyl).

C14H22N2O                                               Mol. wt. 234.34

INGREDIENTS: Each gram of Westminster Pharmaceuticals Lidocaine HCl 3% Cream contains Lidocaine HCl USP 3%, Inactive ingredients include: Aluminum Sulfate, Calcium Acetate, Cetyl Alcohol, Methylparaben, Mineral Oil, Petrolatum, Polysorbate 80, Propylene Glycol, Propylparaben, Purified Water, Sodium Hydroxide, Sorbitan Monostearate, Stearic Acid, Stearyl Alcohol.

Section 42229-5

Westminster Pharmaceuticals, LLC.

Disclaimer: This drug has not been found by FDA to be safe and effective, and this labeling has not been approved by FDA.

Prescribing Information

Warnings

For external use only. Not for ophthalmic use. Keep out of reach of children.

Indications

For the temporary relief of pain and itching associated with minor burns, sunburn, minor cuts, scrapes, insect bites, minor skin irritation, and discomfort due to pruritus ani, pruritus vulvae, hemorrhoids, anal fissures, and similar conditions of the skin and mucous membranes.

Precautions

If irritation or sensitivity occurs or infection appears, discontinue use and institute appropriate therapy. Westminster Pharmaceuticals Lidocaine HCl 3% Cream should be used with caution in ill, elderly, debilitated patients and children who may be more sensitive to the systemic effects of lidocaine.

Pediatric Use

Dosage in pediatric patients would be reduced commensurate with age, body weight and physical condition.

Nursing Mothers

It is not known whether this drug is excreted in human milk. Because many drugs are excreted in human milk, caution should be exercised when this drug is administered to a nursing mother.

Pharmacokinetics

Lidocaine may be absorbed following topical administration to mucous membranes, its rate and extent of absorption depending upon the specific site of application, duration of exposure, concentration, and total dosage. In general, the rate of absorption of local anesthetic agents following topical application occurs most rapidly after intratracheal administration. Lidocaine is also well-absorbed from the gastrointestinal tract, but little intact drug appears in the circulation because of biotransformation of the liver.

Lidocaine is metabolized rapidly by the liver, and metabolites and unchanged drug are excreted by the kidneys. Biotransformation includes oxidative N-dealkylation, ring hydroxylation, cleavage of the amide linkage, and conjungation. N-dealkylation, a major pathway of biotransformation, yields the metabolites monoethylglycinexylidide and glycinexlidide. The pharmacological/toxicological actions of these metabolites are similar to, but less potent than, those of lidocaine. Approximately 90% of lidocaine administered is excreted in the form of various metabolites, and less than 10% is excreted unchanged.

The primary metabolite in urine is a conjugate of 4-hydroxy-2, 6-dimethylaniline. The plasma binding of lidocaine is dependent on drug concentration, and the fraction bound decreases with increasing concentration. At concentration of 1 to 4 g of free base per mL, 60 to 80 percent of lidocaine is protein bound. Binding is also dependent on the plasma concentration of the alpha-1-acid-glycoprotein.

Lidocaine crosses the blood-brain and placental barriers, presumably by passive diffusion. Studies of lidocaine metabolism following intravenous bolus injections have shown that the elimination half-life of this agent is typically 1.5 to 2 hours. Because of the rapid rate at which lidocaine is metabolized, any condition that affects liver function may alter lidocaine kinetics. The half-life may be prolonged two-fold or more in patients with liver dysfunction. Renal dysfunction does not affect lidocaine kinetics but may increase the accumulation of metabolites. Factors such as acidosis and the use of CNS stimulants and depressants affect the CNS levels of lidocaine required to produce overt systemic effects.

Objective adverse manifestations become increasingly apparent with increasing venous plasma levels above 6 g free base per mL. In the rhesus monkey arterial blood levels of 18-21 g/mL have been shown to be threshold for convulsive activity.

Mechanism of Action

Westminster Pharmaceuticals Lidocaine HCl 3% Cream releases lidocaine from a mild acidic vehicle to stabilize the neuronal membrane by inhibiting the ionic fluxes required for initiation and conduction of impulses, thereby effecting local anesthetic action. A mild acidic vehicle lowers pH to increase protection against alkaline irritations and to provide a favorable environment for healing.

Teratogenic Effects; Pregnancy Category B

Reproduction studies have been performed for lidocaine in rats at doses up to 6.6 times the human dose and have revealed no evidence of harm to the fetus caused by lidocaine. There are, however, no adequate and well-controlled studies in pregnant women.

Animal reproduction studies are not always predictive of human response. General consideration should be given to this fact before administering lidocaine to women of childbearing potential, especially during early pregnancy when maximum organogenesis takes place.

Principal Display Panel 85 G Tube Carton

NDC 71205-973-01

Rx Only

Lidocaine HCl 3% Cream

Topical Anesthetic

FOR EXTERNAL USE ONLY.

NOT FOR OPTHALMIC USE.

Net Wt 3 oz (28.35g)

Carcinogenesis, Mutagenesis, and Impairment of Fertility

Studies of lidocaine in animals to evaluate the carcinogenic potential of the effect on fertility have not been conducted.


Structured Label Content

Section 42229-5 (42229-5)

Westminster Pharmaceuticals, LLC.

Disclaimer: This drug has not been found by FDA to be safe and effective, and this labeling has not been approved by FDA.

Prescribing Information

Warnings (WARNINGS)

For external use only. Not for ophthalmic use. Keep out of reach of children.

Description (DESCRIPTION)

Contains lidocaine HCl 3% in a mild acidic vehicle. Lidocaine is chemically designated as acetamide, 2-(diethylamino)-N-(2,6-dimethylphenyl).

C14H22N2O                                               Mol. wt. 234.34

INGREDIENTS: Each gram of Westminster Pharmaceuticals Lidocaine HCl 3% Cream contains Lidocaine HCl USP 3%, Inactive ingredients include: Aluminum Sulfate, Calcium Acetate, Cetyl Alcohol, Methylparaben, Mineral Oil, Petrolatum, Polysorbate 80, Propylene Glycol, Propylparaben, Purified Water, Sodium Hydroxide, Sorbitan Monostearate, Stearic Acid, Stearyl Alcohol.

Indications

For the temporary relief of pain and itching associated with minor burns, sunburn, minor cuts, scrapes, insect bites, minor skin irritation, and discomfort due to pruritus ani, pruritus vulvae, hemorrhoids, anal fissures, and similar conditions of the skin and mucous membranes.

Precautions (PRECAUTIONS)

If irritation or sensitivity occurs or infection appears, discontinue use and institute appropriate therapy. Westminster Pharmaceuticals Lidocaine HCl 3% Cream should be used with caution in ill, elderly, debilitated patients and children who may be more sensitive to the systemic effects of lidocaine.

How Supplied (HOW SUPPLIED)

Westminster Pharmaceuticals Lidocaine HCl 3% Cream

1 oz (28.35g) tube - NDC- 71205-973-01

3 oz (85 g) tube – NDC- 71205-973-03

Pediatric Use (PEDIATRIC USE)

Dosage in pediatric patients would be reduced commensurate with age, body weight and physical condition.

Nursing Mothers (NURSING MOTHERS)

It is not known whether this drug is excreted in human milk. Because many drugs are excreted in human milk, caution should be exercised when this drug is administered to a nursing mother.

Pharmacokinetics (PHARMACOKINETICS)

Lidocaine may be absorbed following topical administration to mucous membranes, its rate and extent of absorption depending upon the specific site of application, duration of exposure, concentration, and total dosage. In general, the rate of absorption of local anesthetic agents following topical application occurs most rapidly after intratracheal administration. Lidocaine is also well-absorbed from the gastrointestinal tract, but little intact drug appears in the circulation because of biotransformation of the liver.

Lidocaine is metabolized rapidly by the liver, and metabolites and unchanged drug are excreted by the kidneys. Biotransformation includes oxidative N-dealkylation, ring hydroxylation, cleavage of the amide linkage, and conjungation. N-dealkylation, a major pathway of biotransformation, yields the metabolites monoethylglycinexylidide and glycinexlidide. The pharmacological/toxicological actions of these metabolites are similar to, but less potent than, those of lidocaine. Approximately 90% of lidocaine administered is excreted in the form of various metabolites, and less than 10% is excreted unchanged.

The primary metabolite in urine is a conjugate of 4-hydroxy-2, 6-dimethylaniline. The plasma binding of lidocaine is dependent on drug concentration, and the fraction bound decreases with increasing concentration. At concentration of 1 to 4 g of free base per mL, 60 to 80 percent of lidocaine is protein bound. Binding is also dependent on the plasma concentration of the alpha-1-acid-glycoprotein.

Lidocaine crosses the blood-brain and placental barriers, presumably by passive diffusion. Studies of lidocaine metabolism following intravenous bolus injections have shown that the elimination half-life of this agent is typically 1.5 to 2 hours. Because of the rapid rate at which lidocaine is metabolized, any condition that affects liver function may alter lidocaine kinetics. The half-life may be prolonged two-fold or more in patients with liver dysfunction. Renal dysfunction does not affect lidocaine kinetics but may increase the accumulation of metabolites. Factors such as acidosis and the use of CNS stimulants and depressants affect the CNS levels of lidocaine required to produce overt systemic effects.

Objective adverse manifestations become increasingly apparent with increasing venous plasma levels above 6 g free base per mL. In the rhesus monkey arterial blood levels of 18-21 g/mL have been shown to be threshold for convulsive activity.

Adverse Reactions (ADVERSE REACTIONS)

During or immediately after treatment, the skin at the site of treatment may develop erythema or edema or may be the locus of abnormal sensation.

Contraindications (CONTRAINDICATIONS)

Tuberculous or fungal lesions of skin vaccinia, varicella and acute herpes simplex and in persons who have shown hypersensitivity to any of its components. Lidocaine is contraindicated in patients with a known history of hypersensitivity to local anesthetics of the amide type.

Mechanism of Action (MECHANISM OF ACTION)

Westminster Pharmaceuticals Lidocaine HCl 3% Cream releases lidocaine from a mild acidic vehicle to stabilize the neuronal membrane by inhibiting the ionic fluxes required for initiation and conduction of impulses, thereby effecting local anesthetic action. A mild acidic vehicle lowers pH to increase protection against alkaline irritations and to provide a favorable environment for healing.

Storage and Handling (STORAGE AND HANDLING)

Store at controlled room temperature 15° - 30°C (59° - 86°F). Avoid excessive heat and cold, Protect from sunlight and freezing.

Dosage and Administration (DOSAGE AND ADMINISTRATION)

Apply a thin film to the affected area two or three times daily or as directed by a physician.

Teratogenic Effects; Pregnancy Category B

Reproduction studies have been performed for lidocaine in rats at doses up to 6.6 times the human dose and have revealed no evidence of harm to the fetus caused by lidocaine. There are, however, no adequate and well-controlled studies in pregnant women.

Animal reproduction studies are not always predictive of human response. General consideration should be given to this fact before administering lidocaine to women of childbearing potential, especially during early pregnancy when maximum organogenesis takes place.

Principal Display Panel 85 G Tube Carton (PRINCIPAL DISPLAY PANEL - 85 g Tube Carton)

NDC 71205-973-01

Rx Only

Lidocaine HCl 3% Cream

Topical Anesthetic

FOR EXTERNAL USE ONLY.

NOT FOR OPTHALMIC USE.

Net Wt 3 oz (28.35g)

Carcinogenesis, Mutagenesis, and Impairment of Fertility (CARCINOGENESIS, MUTAGENESIS, AND IMPAIRMENT OF FERTILITY)

Studies of lidocaine in animals to evaluate the carcinogenic potential of the effect on fertility have not been conducted.


Advanced Ingredient Data


Raw Label Data

All Sections (JSON)