Chlorpromazine Hydrochloride Tablets, Usp

Chlorpromazine Hydrochloride Tablets, Usp
SPL v4
SPL
SPL Set ID 5ae79c1e-f523-4358-9f8b-7382a03d59bc
Route
ORAL
Published
Effective Date 2025-12-18
Document Type 34391-3 HUMAN PRESCRIPTION DRUG LABEL

Drug Facts

Composition & Product

Active Ingredients
Chlorpromazine (10 mg)
Inactive Ingredients
Silicon Dioxide Lactose Monohydrate Magnesium Stearate Povidone, Unspecified Hypromellose, Unspecified Polyethylene Glycol, Unspecified Titanium Dioxide

Identifiers & Packaging

Pill Appearance
Imprint: 832;200 Shape: round Color: white Size: 8 mm Size: 7 mm Size: 11 mm Score: 1
Marketing Status
ANDA Active Since 2011-08-03

Description

Rx only

Indications and Usage

For the management of manifestations of psychotic disorders. For the treatment of schizophrenia. To control nausea and vomiting. For relief of restlessness and apprehension before surgery. For acute intermittent porphyria. As an adjunct in the treatment of tetanus. To control the manifestations of the manic type of manic-depressive illness. For relief of intractable hiccups. For the treatment of severe behavioral problems in children (1 to 12 years of age) marked by combativeness and/or explosive hyperexcitable behavior (out of proportion to immediate provocations), and in the short-term treatment of hyperactive children who show excessive motor activity with accompanying conduct disorders consisting of some or all of the following symptoms: impulsivity, difficulty sustaining attention, aggressivity, mood lability and poor frustration tolerance.

Dosage and Administration

Chlorpromazine should generally not be used in pediatric patients under 6 months of age except where potentially lifesaving. It should not be used in conditions for which specific pediatric dosages have not been established.

Contraindications

Do not use in patients with known hypersensitivity to phenothiazines. Do not use in comatose states or in the presence of large amounts of central nervous system depressants (alcohol, barbiturates, narcotics, etc.).

Adverse Reactions

Mild fever may occur after large I.M. doses. Hyperpyrexia has been reported. Increases in appetite and weight sometimes occur. Peripheral edema and a systemic lupus erythematosus-like syndrome have been reported. Note: There have been occasional reports of sudden death in patients receiving phenothiazines. In some cases, the cause appeared to be cardiac arrest or asphyxia due to failure of the cough reflex.

How Supplied

Chlorpromazine Hydrochloride Tablets, USP, 10 mg are round, white film coated tablets, imprinted on one side with "832" above "10" and no print on the reverse side. They are supplied as follows: Bottles of 100 - NDC 0832-6017-00 Chlorpromazine Hydrochloride Tablets, USP, 25 mg are round, white film coated tablets, imprinted on one side with "832" above "25" and no print on the reverse side. They are supplied as follows: Bottles of 100 - NDC 0832-6018-00 Bottles of 1,000 - NDC 0832-6018-10 Chlorpromazine Hydrochloride Tablets, USP, 50 mg are round, white film coated tablets, imprinted on one side with "832" above "50" and no print on the reverse side. They are supplied as follows: Bottles of 100 - NDC 0832-6019-00 Bottles of 1,000 - NDC 0832-6019-10 Unit-Dose cartons of 100 - NDC 0832-6019-01 THE TABLET STRENGTHS LISTED BELOW ARE FOR USE ONLY IN SEVERE NEUROPSYCHIATRIC CONDITIONS. Chlorpromazine Hydrochloride Tablets, USP, 100 mg are round, white film coated tablets, imprinted on one side with "832" above "100" and no print on the reverse side. They are supplied as follows: Bottles of 100 - NDC 0832-6020-00 Bottles of 1,000 - NDC 0832-6020-10 Unit-Dose cartons of 100 - NDC 0832-6020-01 Chlorpromazine Hydrochloride Tablets, USP, 200 mg are round, white film coated tablets, imprinted on one side with "832" above "200" and no print on the reverse side. They are supplied as follows: Bottles of 100 - NDC 0832-6021-00 Bottles of 1,000 - NDC 0832-6021-10 Unit-Dose cartons of 100 - NDC 0832-6021-01


Medication Information

Indications and Usage

For the management of manifestations of psychotic disorders.

For the treatment of schizophrenia.

To control nausea and vomiting.

For relief of restlessness and apprehension before surgery.

For acute intermittent porphyria.

As an adjunct in the treatment of tetanus.

To control the manifestations of the manic type of manic-depressive illness.

For relief of intractable hiccups.

For the treatment of severe behavioral problems in children (1 to 12 years of age) marked by combativeness and/or explosive hyperexcitable behavior (out of proportion to immediate provocations), and in the short-term treatment of hyperactive children who show excessive motor activity with accompanying conduct disorders consisting of some or all of the following symptoms: impulsivity, difficulty sustaining attention, aggressivity, mood lability and poor frustration tolerance.

Dosage and Administration

Chlorpromazine should generally not be used in pediatric patients under 6 months of age except where potentially lifesaving. It should not be used in conditions for which specific pediatric dosages have not been established.

Contraindications

Do not use in patients with known hypersensitivity to phenothiazines.

Do not use in comatose states or in the presence of large amounts of central nervous system depressants (alcohol, barbiturates, narcotics, etc.).

Adverse Reactions

Note: Some adverse effects of chlorpromazine may be more likely to occur, or occur with greater intensity, in patients with special medical problems, e.g., patients with mitral insufficiency or pheochromocytoma have experienced severe hypotension following recommended doses.

How Supplied

Chlorpromazine Hydrochloride Tablets, USP, 10 mg are round, white film coated tablets, imprinted on one side with "832" above "10" and no print on the reverse side. They are supplied as follows:

Bottles of 100 - NDC 0832-6017-00



Chlorpromazine Hydrochloride Tablets, USP, 25 mg are round, white film coated tablets, imprinted on one side with "832" above "25" and no print on the reverse side. They are supplied as follows:

Bottles of 100 - NDC 0832-6018-00

Bottles of 1,000 - NDC 0832-6018-10



Chlorpromazine Hydrochloride Tablets, USP, 50 mg are round, white film coated tablets, imprinted on one side with "832" above "50" and no print on the reverse side. They are supplied as follows:

Bottles of 100 - NDC 0832-6019-00

Bottles of 1,000 - NDC 0832-6019-10

Unit-Dose cartons of 100 - NDC 0832-6019-01



THE TABLET STRENGTHS LISTED BELOW ARE FOR USE ONLY IN SEVERE NEUROPSYCHIATRIC CONDITIONS.

Chlorpromazine Hydrochloride Tablets, USP, 100 mg are round, white film coated tablets, imprinted on one side with "832" above "100" and no print on the reverse side. They are supplied as follows:

Bottles of 100 - NDC 0832-6020-00

Bottles of 1,000 - NDC 0832-6020-10

Unit-Dose cartons of 100 - NDC 0832-6020-01



Chlorpromazine Hydrochloride Tablets, USP, 200 mg are round, white film coated tablets, imprinted on one side with "832" above "200" and no print on the reverse side. They are supplied as follows:

Bottles of 100 - NDC 0832-6021-00

Bottles of 1,000 - NDC 0832-6021-10

Unit-Dose cartons of 100 - NDC 0832-6021-01

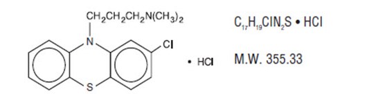
Description

Chlorpromazine hydrochloride, a dimethylamine derivative of phenothiazine, has a chemical formula of 2-chloro-10-[3-(dimethylamino) propyl] phenothiazine monohydrochloride. It is available in tablets for oral administration. It has the following structural formula:

Chlorpromazine hydrochloride occurs as white or slightly creamy white, odorless, crystalline powder which darkens on prolonged exposure to light.

Each tablet for oral administration contains 10 mg, 25 mg, 50 mg, 100 mg, or 200 mg of chlorpromazine hydrochloride, USP.

Inactive ingredients: silicon dioxide, lactose monohydrate, magnesium stearate, povidone, hypromellose, polyethylene glycol and titanium dioxide.

Falls

Chlorpromazine may cause somnolence, postural hypotension, motor and sensory instability, which may lead to falls and, consequently, fractures or other injuries. For patients with diseases, conditions, or medications that could exacerbate these effects, complete fall risk assessments when initiating antipsychotic treatment and recurrently for patients on long-term antipsychotic therapy.

Section 42229-5

Rx only

Section 44425-7

Store at 20° to 25°C (68° to 77°F); excursions permitted to 15° to 30°C (59° to 86°F) [See USP Controlled Room Temperature]. Protect from light and moisture.

This package is not for household dispensing. If dispensed for outpatient use, a well closed, light-resistant, child-resistant container should be utilized.

Keep out of reach of children.

General

Given the likelihood that some patients exposed chronically to antipsychotics will develop tardive dyskinesia, it is advised that all patients in whom chronic use is contemplated be given, if possible, full information about this risk. The decision to inform patients and/or their guardians must obviously take into account the clinical circumstances and the competency of the patient to understand the information provided.

Chlorpromazine should be administered cautiously to persons with cardiovascular, liver or renal disease. There is evidence that patients with a history of hepatic encephalopathy due to cirrhosis have increased sensitivity to the CNS effects of chlorpromazine (i.e., impaired cerebration and abnormal slowing of the EEG).

Because of its CNS depressant effect, chlorpromazine should be used with caution in patients with chronic respiratory disorders such as severe asthma, emphysema and acute respiratory infections, particularly in children (1 to 12 years of age).

Because chlorpromazine can suppress the cough reflex, aspiration of vomitus is possible.

Chlorpromazine prolongs and intensifies the action of CNS depressants such as anesthetics, barbiturates and narcotics. When chlorpromazine is administered concomitantly, about ¼ to ½ the usual dosage of such agents is required. When chlorpromazine is not being administered to reduce requirements of CNS depressants, it is best to stop such depressants before starting chlorpromazine treatment. These agents may subsequently be reinstated at low doses and increased as needed.

Note: Chlorpromazine does not intensify the anticonvulsant action of barbiturates. Therefore, dosage of anticonvulsants, including barbiturates, should not be reduced if chlorpromazine is started. Instead, start chlorpromazine at low doses and increase as needed.

Use with caution in persons who will be exposed to extreme heat, organophosphorus insecticides, and in persons receiving atropine or related drugs.

Antipsychotic drugs elevate prolactin levels; the elevation persists during chronic administration. Tissue culture experiments indicate that approximately 1/3 of human breast cancers are prolactin-dependent in vitro , a factor of potential importance if the prescribing of these drugs is contemplated in a patient with a previously detected breast cancer. Although disturbances such as galactorrhea, amenorrhea, gynecomastia and impotence have been reported, the clinical significance of elevated serum prolactin levels is unknown for most patients. An increase in mammary neoplasms has been found in rodents after chronic administration of antipsychotic drugs. Neither clinical nor epidemiologic studies conducted to date, however, have shown an association between chronic administration of these drugs and mammary tumorigenesis; the available evidence is considered too limited to be conclusive at this time.

Chromosomal aberrations in spermatocytes and abnormal sperm have been demonstrated in rodents treated with certain neuroleptics.

As with all drugs which exert an anticholinergic effect, and/or cause mydriasis, chlorpromazine should be used with caution in patients with glaucoma.

Chlorpromazine diminishes the effect of oral anticoagulants.

Phenothiazines can produce alpha-adrenergic blockade.

Chlorpromazine may lower the convulsive threshold; dosage adjustments of anticonvulsants may be necessary. Potentiation of anticonvulsant effects does not occur. However, it has been reported that chlorpromazine may interfere with the metabolism of phenytoin and thus precipitate phenytoin toxicity.

Concomitant administration with propranolol results in increased plasma levels of both drugs.

Thiazide diuretics may accentuate the orthostatic hypotension that may occur with phenothiazines.

The presence of phenothiazines may produce false-positive phenylketonuria (PKU) test results.

Drugs which lower the seizure threshold, including phenothiazine derivatives, should not be used with metrizamide. As with other phenothiazine derivatives, chlorpromazine should be discontinued at least 48 hours before myelography, should not be resumed for at least 24 hours post procedure, and should not be used for the control of nausea and vomiting occurring either prior to myelography or post procedure with metrizamide.

Warning

Increased Mortality in Elderly Patients with Dementia-Related Psychosis

Elderly patients with dementia-related psychosis treated with antipsychotic drugs are at an increased risk of death. Analyses of seventeen placebo-controlled trials (modal duration of 10 weeks), largely in patients taking atypical antipsychotic drugs, revealed a risk of death in drug-treated patients of between 1.6 to 1.7 times the risk of death in placebo-treated patients. Over the course of a typical 10-week controlled trial, the rate of death in drug-treated patients was about 4.5%, compared to a rate of about 2.6% in the placebo group. Although the causes of death were varied, most of the deaths appeared to be either cardiovascular (e.g., heart failure, sudden death) or infectious (e.g., pneumonia) in nature. Observational studies suggest that, similar to atypical antipsychotic drugs, treatment with conventional antipsychotic drugs may increase mortality. The extent to which the findings of increased mortality in observational studies may be attributed to the antipsychotic drug as opposed to some characteristic(s) of the patients is not clear. Chlorpromazine hydrochloride is not approved for the treatment of patients with dementia-related psychosis [see WARNINGS ].

Etiology

Etiology of both of these reactions is not clear, but exposure to light, along with dosage/duration of therapy, appears to be the most significant factor. If either of these reactions is observed, the physician should weigh the benefits of continued therapy against the possible risks and, on the merits of the individual case, determine whether or not to continue present therapy, lower the dosage, or withdraw the drug.

Jaundice

Overall incidence has been low, regardless of indication or dosage. Most investigators conclude it is a sensitivity reaction. Most cases occur between the second and fourth weeks of therapy. The clinical picture resembles infectious hepatitis, with laboratory features of obstructive jaundice, rather than those of parenchymal damage. It is usually promptly reversible on withdrawal of the medication; however, chronic jaundice has been reported.

There is no conclusive evidence that preexisting liver disease makes patients more susceptible to jaundice. Alcoholics with cirrhosis have been successfully treated with chlorpromazine without complications. Nevertheless, the medication should be used cautiously in patients with liver disease. Patients who have experienced jaundice with a phenothiazine should not, if possible, be reexposed to chlorpromazine or other phenothiazines.

If fever with grippe-like symptoms occurs, appropriate liver studies should be conducted. If tests indicate an abnormality, stop treatment.

Liver function tests in jaundice induced by the drug may mimic extrahepatic obstruction; withhold exploratory laparotomy until extrahepatic obstruction is confirmed.

Symptoms

Primarily symptoms of central nervous system depression to the point of somnolence or coma.

Hypotension and extrapyramidal symptoms.

Other possible manifestations include agitation and restlessness, convulsions, fever, autonomic reactions such as dry mouth and ileus. EKG changes and cardiac arrhythmias.

Treatment

It is important to determine other medications taken by the patient since multiple drug therapy is common in overdosage situations. Treatment is essentially symptomatic and supportive. Early gastric lavage is helpful. Keep patient under observation and maintain an open airway, since involvement of the extrapyramidal mechanism may produce dysphagia and respiratory difficulty in severe overdosage. Do not attempt to induce emesis because a dystonic reaction of the head or neck may develop that could result in aspiration of vomitus. Extrapyramidal symptoms may be treated with anti-parkinsonism drugs, barbiturates, or diphenhydramine hydrochloride. See prescribing information for these products. Care should be taken to avoid increasing respiratory depression.

If administration of a stimulant is desirable, amphetamine, dextroamphetamine, or caffeine with sodium benzoate is recommended. Stimulants that may cause convulsions (e.g., picrotoxin or pentylenetetrazol) should be avoided.

If hypotension occurs, the standard measures for managing circulatory shock should be initiated. If it is desirable to administer a vasoconstrictor, norepinephrine and phenylephrine are most suitable. Other pressor agents, including epinephrine, are not recommended because phenothiazine derivatives may reverse the usual elevating action of these agents and cause a further lowering of blood pressure.

Limited experience indicates that phenothiazines are not dialyzable.

Drowsiness

Usually mild to moderate, may occur, particularly during the first or second week, after which it generally disappears. If troublesome, dosage may be lowered.

Overdosage

[See also ADVERSE REACTIONS ].

Ekg Changes

particularly nonspecific, usually reversible Q and T wave distortions - have been observed in some patients receiving phenothiazine tranquilizers, including chlorpromazine.

Note: Sudden death, apparently due to cardiac arrest, has been reported.

Outpatients

10 mg t.i.d. or q.i.d., or 25 mg b.i.d. or t.i.d.

Class Effect

Symptoms of dystonia, prolonged abnormal contractions of muscle groups, may occur in susceptible individuals during the first few days of treatment. Dystonic symptoms include: spasm of the neck muscles, sometimes progressing to tightness of the throat, swallowing difficulty, difficulty breathing, and/or protrusion of the tongue. While these symptoms can occur at low doses, they occur more frequently and with greater severity with high potency and at higher doses of first-generation antipsychotic drugs. An elevated risk of acute dystonia is observed in males and younger age groups.

Ocular Changes

Ocular changes have occurred more frequently than skin pigmentation and have been observed both in pigmented and nonpigmented patients receiving chlorpromazine usually for 2 years or more in dosages of 300 mg daily and higher. Eye changes are characterized by deposition of fine particulate matter in the lens and cornea. In more advanced cases, star-shaped opacities have also been observed in the anterior portion of the lens. The nature of the eye deposits has not yet been determined. A small number of patients with more severe ocular changes have had some visual impairment. In addition to these corneal and lenticular changes, epithelial keratopathy and pigmentary retinopathy have been reported. Reports suggest that the eye lesions may regress after withdrawal of the drug.

Since the occurrence of eye changes seems to be related to dosage levels and/or duration of therapy, it is suggested that long-term patients on moderate to high dosage levels have periodic ocular examinations.

Agranulocytosis

Warn patients to report the sudden appearance of sore throat or other signs of infection. If white blood cell and differential counts indicate cellular depression, stop treatment and start antibiotic and other suitable therapy.

Most cases have occurred between the fourth and tenth weeks of therapy; patients should be watched closely during that period.

Moderate suppression of white blood cells is not an indication for stopping treatment unless accompanied by the symptoms described above.

Nursing Mothers

There is evidence that chlorpromazine is excreted in the breast milk of nursing mothers. Because of the potential for serious adverse reactions in nursing infants from chlorpromazine, a decision should be made whether to discontinue nursing or to discontinue the drug, taking into account the importance of the drug to the mother.

Elderly Patients

In general, dosages in the lower range are sufficient for most elderly patients. Since they appear to be more susceptible to hypotension and neuromuscular reactions, such patients should be observed closely. Dosage should be tailored to the individual, response carefully monitored, and dosage adjusted accordingly. Dosage should be increased more gradually in elderly patients.

Abrupt Withdrawal

Like other phenothiazines, chlorpromazine is not known to cause psychic dependence and does not produce tolerance or addiction. There may be, however, following abrupt withdrawal of high-dose therapy, some symptoms resembling those of physical dependence such as gastritis, nausea and vomiting, dizziness and tremulousness. These symptoms can usually be avoided or reduced by gradual reduction of the dosage or by continuing concomitant anti-parkinsonism agents for several weeks after chlorpromazine is withdrawn.

Antiemetic Effect

The antiemetic action of chlorpromazine may mask the signs and symptoms of overdosage of other drugs and may obscure the diagnosis and treatment of other conditions such as intestinal obstruction, brain tumor and Reye's syndrome. [See WARNINGS ].

When chlorpromazine is used with cancer chemotherapeutic drugs, vomiting as a sign of the toxicity of these agents may be obscured by the antiemetic effect of chlorpromazine.

Long Term Therapy

To lessen the likelihood of adverse reactions related to cumulative drug effect, patients with a history of long-term therapy with chlorpromazine and/or other antipsychotics should be evaluated periodically to decide whether the maintenance dosage could be lowered, or drug therapy discontinued.

More Severe Cases

25 mg t.i.d. After 1 or 2 days, daily dosage may be increased by 20 to 50 mg at semi-weekly intervals until patient becomes calm and cooperative.

Other Cns Effects

Neuroleptic Malignant Syndrome (NMS) has been reported in association with antipsychotic drugs [See WARNINGS ] .

Cerebral edema has been reported.

Convulsive seizures (petit mal and grand mal) have been reported, particularly in patients with EEG abnormalities or history of such disorders.

Abnormality of the cerebrospinal fluid proteins has also been reported.

Skin Pigmentation

Rare instances of skin pigmentation have been observed in hospitalized mental patients, primarily females who have received the drug usually for 3 years or more in dosages ranging from 500 mg to 1,500 mg daily.

The pigmentary changes, restricted to exposed areas of the body, range from an almost imperceptible darkening of the skin to a slate gray color, sometimes with a violet hue. Histological examination reveals a pigment, chiefly in the dermis, which is probably a melanin-like complex. This pigmentation may fade following discontinuance of the drug.

Motor Restlessness

Symptoms may include agitation or jitteriness and sometimes insomnia. These symptoms often disappear spontaneously. At times these symptoms may be similar to the original neurotic or psychotic symptoms. Dosage should not be increased until these side effects have subsided.

If these symptoms become too troublesome, they can usually be controlled by a reduction of dosage or change of drug. Treatment with anti-parkinsonian agents, benzodiazepines or propranolol may be helpful.

Tardive Dyskinesia

Tardive dyskinesia, a syndrome consisting of potentially irreversible, involuntary, dyskinetic movements, may develop in patients treated with antipsychotic drugs. Although the prevalence of the syndrome appears to be highest among the elderly, especially elderly women, it is impossible to rely upon prevalence estimates to predict, at the inception of antipsychotic treatment, which patients are likely to develop the syndrome. Whether antipsychotic drug products differ in their potential to cause tardive dyskinesia is unknown.

Both the risk of developing the syndrome and the likelihood that it will become irreversible are believed to increase as the duration of treatment and the total cumulative dose of antipsychotic drugs administered to the patient increase. However, the syndrome can develop, although much less commonly, after relatively brief treatment periods at low doses.

There is no known treatment for established cases of tardive dyskinesia, although the syndrome may remit, partially or completely, if antipsychotic treatment is withdrawn. Antipsychotic treatment itself, however, may suppress (or partially suppress) the signs and symptoms of the syndrome and therapy may possibly mask the underlying disease process. The effect that symptomatic suppression has upon the long-term course of the syndrome is unknown.

Given these considerations, antipsychotics should be prescribed in a manner that is most likely to minimize the occurrence of tardive dyskinesia. Chronic antipsychotic treatment should generally be reserved for patients who suffer from a chronic illness that, 1) is known to respond to antipsychotic drugs, and, 2) for whom alternative, equally effective, but potentially less harmful treatments are not available or appropriate. In patients who do require chronic treatment, the smallest dose and the shortest duration of treatment producing a satisfactory clinical response should be sought. The need for continued treatment should be reassessed periodically.

If signs and symptoms of tardive dyskinesia appear in a patient on antipsychotics, drug discontinuation should be considered. However, some patients may require treatment despite the presence of the syndrome.

For further information about the description of tardive dyskinesia and its clinical detection, please refer to the sections on PRECAUTIONS and ADVERSE REACTIONS.

Usage in Pregnancy

Safety for the use of chlorpromazine during pregnancy has not been established. Therefore, it is not recommended that the drug be given to pregnant patients except when, in the judgment of the physician, it is essential. The potential benefits should clearly outweigh possible hazards. There are reported instances of prolonged jaundice, extrapyramidal signs, hyperreflexia or hyporeflexia in newborn infants whose mothers received phenothiazines.

Reproductive studies in rodents have demonstrated potential for embryotoxicity, increased neonatal mortality and nursing transfer of the drug. Tests in the offspring of the drug–treated rodents demonstrate decreased performance. The possibility of permanent neurological damage cannot be excluded.

Autonomic Reactions

Occasional dry mouth; nasal congestion; nausea; obstipation; constipation; adynamic ileus; urinary retention, priapism; miosis and mydriasis, atonic colon, ejaculatory disorders/impotence.

Endocrine Disorders

Lactation and moderate breast engorgement may occur in females on large doses. If persistent, lower dosage or withdraw drug. False-positive pregnancy tests have been reported but are less likely to occur when a serum test is used. Amenorrhea and gynecomastia have also been reported. Hyperglycemia, hypoglycemia and glycosuria have been reported.

Hypotensive Effects

Postural hypotension, simple tachycardia, momentary fainting and dizziness may occur rarely, after the first oral dose. Usually recovery is spontaneous and symptoms disappear within ½ to 2 hours. Occasionally, these effects may be more severe and prolonged, producing a shock-like condition.

To control hypotension, place patient in head-low position with legs raised. If a vasoconstrictor is required, norepinephrine and phenylephrine are the most suitable. Other pressor agents, including epinephrine, should not be used as they may cause a paradoxical further lowering of blood pressure.

Intractable Hiccups

25 to 50 mg t.i.d. or q.i.d. If symptoms persist for 2 to 3 days, parenteral therapy is indicated.

Nausea and Vomiting

10 to 25 mg q4 to 6h, p.r.n., increased, if necessary.

Pseudo Parkinsonism

Symptoms may include: mask-like facies, drooling, tremors, pill rolling motion, cogwheel rigidity and shuffling gait. In most cases these symptoms are readily controlled when an anti-parkinsonism agent is administered concomitantly. Anti-parkinsonism agents should be used only when required. Generally, therapy of a few weeks to 2 or 3 months will suffice. After this time patients should be evaluated to determine their need for continued treatment. (Note: Levodopa has not been found effective in antipsychotic-induced pseudo-parkinsonism.) Occasionally, it is necessary to lower the dosage of chlorpromazine or to discontinue the drug.

Psychotic Disorders

Increase dosage gradually until symptoms are controlled. Maximum improvement may not be seen for weeks or even months. Continue optimum dosage for 2 weeks; then gradually reduce dosage to the lowest effective maintenance level. Daily dosage of 200 mg is not unusual. Some patients require higher dosages (e.g., 800 mg daily is not uncommon in discharged mental patients).

Clinical Pharmacology

The precise mechanism whereby the therapeutic effects of chlorpromazine are produced is not known. The principal pharmacological actions are psychotropic. It also exerts sedative and antiemetic activity. Chlorpromazine has actions at all levels of the central nervous system –primarily at subcortical levels – as well as on multiple organ systems. Chlorpromazine has strong antiadrenergic and weaker peripheral anticholinergic activity; ganglionic blocking action is relatively slight. It also possesses slight antihistaminic and anti-serotonin activity.

Hospitalized Patients

As with outpatients, start with low doses and increase dosage gradually. In severe behavior disorders higher dosages (50 to 100 mg daily and in older children, 200 mg daily or more) may be necessary. There is little evidence that behavior improvement in severely disturbed mentally retarded patients is further enhanced by doses beyond 500 mg per day.

Less Acutely Disturbed

25 mg t.i.d. Increase gradually until effective dose is reached – usually 400 mg daily.

Extrapyramidal Symptoms

Neuromuscular reactions include dystonias, motor restlessness, pseudo-parkinsonism and tardive dyskinesia, and appear to be dose-related. They are discussed in the following paragraphs:

Hematological Disorders

including agranulocytosis, eosinophilia, leukopenia, hemolytic anemia, aplastic anemia, thrombocytopenic purpura and pancytopenia have been reported.

Non Teratogenic Effects

Neonates exposed to antipsychotic drugs, during the third trimester of pregnancy are at risk for extrapyramidal and/or withdrawal symptoms following delivery. There have been reports of agitation, hypertonia, hypotonia, tremor, somnolence, respiratory distress and feeding disorder in these neonates. These complications have varied in severity; while in some cases symptoms have been self-limited, in other cases neonates have required intensive care unit support and prolonged hospitalization.

Chlorpromazine hydrochloride should be used during pregnancy only if the potential benefit justifies the potential risk to the fetus.

Other Adverse Reactions

Mild fever may occur after large I.M. doses. Hyperpyrexia has been reported. Increases in appetite and weight sometimes occur. Peripheral edema and a systemic lupus erythematosus-like syndrome have been reported.

Note: There have been occasional reports of sudden death in patients receiving phenothiazines. In some cases, the cause appeared to be cardiac arrest or asphyxia due to failure of the cough reflex.

Presurgical Apprehension

25 to 50 mg, 2 to 3 hours before the operation.

Adverse Behavioral Effects

Psychotic symptoms and catatonic-like states have been reported rarely.

Acute Intermittent Porphyria

25 to 50 mg t.i.d. or q.i.d. Can usually be discontinued after several weeks, but maintenance therapy may be necessary for some patients.

Prompt Control of Severe Symptoms

Initial treatment should be with intramuscular chlorpromazine. Subsequent doses should be oral, 25 to 50 mg t.i.d.

Acute Schizophrenic Or Manic States

It is recommended that initial treatment be with chlorpromazine HCl injection until patient is controlled. Usually patient becomes quiet and co-operative within 24 to 48 hours and oral doses may be substituted and increased until the patient is calm. 500 mg a day is generally sufficient. While gradual increases to 2,000 mg a day or more may be necessary, there is usually little therapeutic gain to be achieved by exceeding 1,000 mg a day for extended periods. In general, dosage levels should be lower in the elderly, the emaciated and the debilitated.

Dosage and Administration – Adults

Adjust dosage to individual and the severity of his condition, recognizing that the milligram for milligram potency relationship among all dosage forms has not been precisely established clinically. It is important to increase dosage until symptoms are controlled. Dosage should be increased more gradually in debilitated or emaciated patients. In continued therapy, gradually reduce dosage to the lowest effective maintenance level, after symptoms have been controlled for a reasonable period.

The 100 mg and 200 mg tablets are for use in severe neuropsychiatric conditions.

Neuroleptic Malignant Syndrome (nms)

A potentially fatal symptom complex sometimes referred to as Neuroleptic Malignant Syndrome (NMS) has been reported in association with antipsychotic drugs. Clinical manifestations of NMS are hyperpyrexia, muscle rigidity, altered mental status and evidence of autonomic instability (irregular pulse or blood pressure, tachycardia, diaphoresis, and cardiac dysrhythmias).

The diagnostic evaluation of patients with this syndrome is complicated. In arriving at a diagnosis, it is important to identify cases where the clinical presentation includes both serious medical illness (e.g., pneumonia, systemic infection, etc.) and untreated or inadequately treated extrapyramidal signs and symptoms (EPS). Other important considerations in the differential diagnosis include central anticholinergic toxicity, heat stroke, drug fever and primary central nervous system (CNS) pathology.

The management of NMS should include 1) immediate discontinuation of antipsychotic drugs and other drugs not essential to concurrent therapy, 2) intensive symptomatic treatment and medical monitoring, and 3) treatment of any concomitant serious medical problems for which specific treatments are available. There is no general agreement about specific pharmacological treatment regimens for uncomplicated NMS.

If a patient requires antipsychotic drug treatment after recovery from NMS, the potential reintroduction of drug therapy should be carefully considered. The patient should be carefully monitored, since recurrences of NMS have been reported.

An encephalopathic syndrome (characterized by weakness, lethargy, fever, tremulousness and confusion, extrapyramidal symptoms, leukocytosis, elevated serum enzymes, BUN and FBS) has occurred in a few patients treated with lithium plus an antipsychotic. In some instances, the syndrome was followed by irreversible brain damage. Because of a possible causal relationship between these events and the concomitant administration of lithium and antipsychotics, patients receiving such combined therapy should be monitored closely for early evidence of neurologic toxicity and treatment discontinued promptly if such signs appear. This encephalopathic syndrome may be similar to or the same as neuroleptic malignant syndrome (NMS).

Patients with bone marrow depression or who have previously demonstrated a hypersensitivity reaction (e.g., blood dyscrasias, jaundice) with a phenothiazine, should not receive any phenothiazine, including chlorpromazine, unless in the judgment of the physician the potential benefits of treatment outweigh the possible hazard.

Chlorpromazine may impair mental and/or physical abilities, especially during the first few days of therapy. Therefore, caution patients about activities requiring alertness (e.g., operating vehicles or machinery).

The use of alcohol with this drug should be avoided due to possible additive effects and hypotension.

Chlorpromazine may counteract the antihypertensive effect of guanethidine and related compounds.

Leukopenia, Neutropenia and Agranulocytosis

In clinical trial and postmarketing experience, events of leukopenia/neutropenia and agranulocytosis have been reported temporally related to antipsychotic agents.

Possible risk factors for leukopenia/neutropenia include preexisting low white blood cell count (WBC) and history of drug induced leukopenia/neutropenia. Patients with a preexisting low WBC or a history of drug induced leukopenia/neutropenia should have their complete blood count (CBC) monitored frequently during the first few months of therapy and should discontinue Chlorpromazine Hydrochloride Tablets, USP at the first sign of a decline in WBC in the absence of other causative factors.

Patients with neutropenia should be carefully monitored for fever or other symptoms or signs of infection and treated promptly if such symptoms or signs occur. Patients with severe neutropenia (absolute neutrophil count <1000/mm3) should discontinue chlorpromazine hydrochloride tablets, USP and have their WBC followed until recovery.

Special Considerations in Long Term Therapy

Skin pigmentation and ocular changes have occurred in some patients taking substantial doses of chlorpromazine for prolonged periods.

Principal Display Panel 10 Mg Tablet Bottle Label

NDC 0832-6017-00

chlorproMAZINE

Hydrochloride

Tablets, USP

10 mg

100 Tablets

Rx only

UPSHER-SMITH

Principal Display Panel 25 Mg Tablet Bottle Label

NDC 0832-6018-00

chlorproMAZINE

Hydrochloride

Tablets, USP

25 mg

100 Tablets

Rx only

UPSHER-SMITH

Principal Display Panel 50 Mg Tablet Bottle Label

NDC 0832-6019-00

chlorproMAZINE

Hydrochloride

Tablets, USP

50 mg

100 Tablets

Rx only

UPSHER-SMITH

Principal Display Panel 100 Mg Tablet Bottle Label

NDC 0832-6020-00

chlorproMAZINE

Hydrochloride

Tablets, USP

100 mg

100 Tablets

Rx only

UPSHER-SMITH

Principal Display Panel 200 Mg Tablet Bottle Label

NDC 0832-6021-00

chlorproMAZINE

Hydrochloride

Tablets, USP

200 mg

100 Tablets

Rx only

UPSHER-SMITH

Increased Mortality in Elderly Patients With Dementia Related Psychosis

Elderly patients with dementia-related psychosis treated with antipsychotic drugs are at an increased risk of death. Chlorpromazine hydrochloride is not approved for the treatment of patients with dementia-related psychosis [see BOXED WARNING].

The extrapyramidal symptoms which can occur secondary to chlorpromazine may be confused with the central nervous system signs of an undiagnosed primary disease responsible for the vomiting, e.g., Reye's syndrome or other encephalopathy. The use of chlorpromazine and other potential hepatotoxins should be avoided in children and adolescents whose signs and symptoms suggest Reye's syndrome.

Dosage and Administration – Pediatric Patients (6 Months to 12 Years of Age)

Chlorpromazine should generally not be used in pediatric patients under 6 months of age except where potentially lifesaving. It should not be used in conditions for which specific pediatric dosages have not been established.


Structured Label Content

Falls

Chlorpromazine may cause somnolence, postural hypotension, motor and sensory instability, which may lead to falls and, consequently, fractures or other injuries. For patients with diseases, conditions, or medications that could exacerbate these effects, complete fall risk assessments when initiating antipsychotic treatment and recurrently for patients on long-term antipsychotic therapy.

Section 42229-5 (42229-5)

Rx only

Section 44425-7 (44425-7)

Store at 20° to 25°C (68° to 77°F); excursions permitted to 15° to 30°C (59° to 86°F) [See USP Controlled Room Temperature]. Protect from light and moisture.

This package is not for household dispensing. If dispensed for outpatient use, a well closed, light-resistant, child-resistant container should be utilized.

Keep out of reach of children.

General

Given the likelihood that some patients exposed chronically to antipsychotics will develop tardive dyskinesia, it is advised that all patients in whom chronic use is contemplated be given, if possible, full information about this risk. The decision to inform patients and/or their guardians must obviously take into account the clinical circumstances and the competency of the patient to understand the information provided.

Chlorpromazine should be administered cautiously to persons with cardiovascular, liver or renal disease. There is evidence that patients with a history of hepatic encephalopathy due to cirrhosis have increased sensitivity to the CNS effects of chlorpromazine (i.e., impaired cerebration and abnormal slowing of the EEG).

Because of its CNS depressant effect, chlorpromazine should be used with caution in patients with chronic respiratory disorders such as severe asthma, emphysema and acute respiratory infections, particularly in children (1 to 12 years of age).

Because chlorpromazine can suppress the cough reflex, aspiration of vomitus is possible.

Chlorpromazine prolongs and intensifies the action of CNS depressants such as anesthetics, barbiturates and narcotics. When chlorpromazine is administered concomitantly, about ¼ to ½ the usual dosage of such agents is required. When chlorpromazine is not being administered to reduce requirements of CNS depressants, it is best to stop such depressants before starting chlorpromazine treatment. These agents may subsequently be reinstated at low doses and increased as needed.

Note: Chlorpromazine does not intensify the anticonvulsant action of barbiturates. Therefore, dosage of anticonvulsants, including barbiturates, should not be reduced if chlorpromazine is started. Instead, start chlorpromazine at low doses and increase as needed.

Use with caution in persons who will be exposed to extreme heat, organophosphorus insecticides, and in persons receiving atropine or related drugs.

Antipsychotic drugs elevate prolactin levels; the elevation persists during chronic administration. Tissue culture experiments indicate that approximately 1/3 of human breast cancers are prolactin-dependent in vitro , a factor of potential importance if the prescribing of these drugs is contemplated in a patient with a previously detected breast cancer. Although disturbances such as galactorrhea, amenorrhea, gynecomastia and impotence have been reported, the clinical significance of elevated serum prolactin levels is unknown for most patients. An increase in mammary neoplasms has been found in rodents after chronic administration of antipsychotic drugs. Neither clinical nor epidemiologic studies conducted to date, however, have shown an association between chronic administration of these drugs and mammary tumorigenesis; the available evidence is considered too limited to be conclusive at this time.

Chromosomal aberrations in spermatocytes and abnormal sperm have been demonstrated in rodents treated with certain neuroleptics.

As with all drugs which exert an anticholinergic effect, and/or cause mydriasis, chlorpromazine should be used with caution in patients with glaucoma.

Chlorpromazine diminishes the effect of oral anticoagulants.

Phenothiazines can produce alpha-adrenergic blockade.

Chlorpromazine may lower the convulsive threshold; dosage adjustments of anticonvulsants may be necessary. Potentiation of anticonvulsant effects does not occur. However, it has been reported that chlorpromazine may interfere with the metabolism of phenytoin and thus precipitate phenytoin toxicity.

Concomitant administration with propranolol results in increased plasma levels of both drugs.

Thiazide diuretics may accentuate the orthostatic hypotension that may occur with phenothiazines.

The presence of phenothiazines may produce false-positive phenylketonuria (PKU) test results.

Drugs which lower the seizure threshold, including phenothiazine derivatives, should not be used with metrizamide. As with other phenothiazine derivatives, chlorpromazine should be discontinued at least 48 hours before myelography, should not be resumed for at least 24 hours post procedure, and should not be used for the control of nausea and vomiting occurring either prior to myelography or post procedure with metrizamide.

Warning

Increased Mortality in Elderly Patients with Dementia-Related Psychosis

Elderly patients with dementia-related psychosis treated with antipsychotic drugs are at an increased risk of death. Analyses of seventeen placebo-controlled trials (modal duration of 10 weeks), largely in patients taking atypical antipsychotic drugs, revealed a risk of death in drug-treated patients of between 1.6 to 1.7 times the risk of death in placebo-treated patients. Over the course of a typical 10-week controlled trial, the rate of death in drug-treated patients was about 4.5%, compared to a rate of about 2.6% in the placebo group. Although the causes of death were varied, most of the deaths appeared to be either cardiovascular (e.g., heart failure, sudden death) or infectious (e.g., pneumonia) in nature. Observational studies suggest that, similar to atypical antipsychotic drugs, treatment with conventional antipsychotic drugs may increase mortality. The extent to which the findings of increased mortality in observational studies may be attributed to the antipsychotic drug as opposed to some characteristic(s) of the patients is not clear. Chlorpromazine hydrochloride is not approved for the treatment of patients with dementia-related psychosis [see WARNINGS ].

Etiology

Etiology of both of these reactions is not clear, but exposure to light, along with dosage/duration of therapy, appears to be the most significant factor. If either of these reactions is observed, the physician should weigh the benefits of continued therapy against the possible risks and, on the merits of the individual case, determine whether or not to continue present therapy, lower the dosage, or withdraw the drug.

Jaundice

Overall incidence has been low, regardless of indication or dosage. Most investigators conclude it is a sensitivity reaction. Most cases occur between the second and fourth weeks of therapy. The clinical picture resembles infectious hepatitis, with laboratory features of obstructive jaundice, rather than those of parenchymal damage. It is usually promptly reversible on withdrawal of the medication; however, chronic jaundice has been reported.

There is no conclusive evidence that preexisting liver disease makes patients more susceptible to jaundice. Alcoholics with cirrhosis have been successfully treated with chlorpromazine without complications. Nevertheless, the medication should be used cautiously in patients with liver disease. Patients who have experienced jaundice with a phenothiazine should not, if possible, be reexposed to chlorpromazine or other phenothiazines.

If fever with grippe-like symptoms occurs, appropriate liver studies should be conducted. If tests indicate an abnormality, stop treatment.

Liver function tests in jaundice induced by the drug may mimic extrahepatic obstruction; withhold exploratory laparotomy until extrahepatic obstruction is confirmed.

Symptoms

Primarily symptoms of central nervous system depression to the point of somnolence or coma.

Hypotension and extrapyramidal symptoms.

Other possible manifestations include agitation and restlessness, convulsions, fever, autonomic reactions such as dry mouth and ileus. EKG changes and cardiac arrhythmias.

Treatment

It is important to determine other medications taken by the patient since multiple drug therapy is common in overdosage situations. Treatment is essentially symptomatic and supportive. Early gastric lavage is helpful. Keep patient under observation and maintain an open airway, since involvement of the extrapyramidal mechanism may produce dysphagia and respiratory difficulty in severe overdosage. Do not attempt to induce emesis because a dystonic reaction of the head or neck may develop that could result in aspiration of vomitus. Extrapyramidal symptoms may be treated with anti-parkinsonism drugs, barbiturates, or diphenhydramine hydrochloride. See prescribing information for these products. Care should be taken to avoid increasing respiratory depression.

If administration of a stimulant is desirable, amphetamine, dextroamphetamine, or caffeine with sodium benzoate is recommended. Stimulants that may cause convulsions (e.g., picrotoxin or pentylenetetrazol) should be avoided.

If hypotension occurs, the standard measures for managing circulatory shock should be initiated. If it is desirable to administer a vasoconstrictor, norepinephrine and phenylephrine are most suitable. Other pressor agents, including epinephrine, are not recommended because phenothiazine derivatives may reverse the usual elevating action of these agents and cause a further lowering of blood pressure.

Limited experience indicates that phenothiazines are not dialyzable.

Drowsiness

Usually mild to moderate, may occur, particularly during the first or second week, after which it generally disappears. If troublesome, dosage may be lowered.

Overdosage (OVERDOSAGE)

[See also ADVERSE REACTIONS ].

Description (DESCRIPTION)

Chlorpromazine hydrochloride, a dimethylamine derivative of phenothiazine, has a chemical formula of 2-chloro-10-[3-(dimethylamino) propyl] phenothiazine monohydrochloride. It is available in tablets for oral administration. It has the following structural formula:

Chlorpromazine hydrochloride occurs as white or slightly creamy white, odorless, crystalline powder which darkens on prolonged exposure to light.

Each tablet for oral administration contains 10 mg, 25 mg, 50 mg, 100 mg, or 200 mg of chlorpromazine hydrochloride, USP.

Inactive ingredients: silicon dioxide, lactose monohydrate, magnesium stearate, povidone, hypromellose, polyethylene glycol and titanium dioxide.

Ekg Changes (EKG Changes)

particularly nonspecific, usually reversible Q and T wave distortions - have been observed in some patients receiving phenothiazine tranquilizers, including chlorpromazine.

Note: Sudden death, apparently due to cardiac arrest, has been reported.

Outpatients

10 mg t.i.d. or q.i.d., or 25 mg b.i.d. or t.i.d.

Class Effect (Class effect)

Symptoms of dystonia, prolonged abnormal contractions of muscle groups, may occur in susceptible individuals during the first few days of treatment. Dystonic symptoms include: spasm of the neck muscles, sometimes progressing to tightness of the throat, swallowing difficulty, difficulty breathing, and/or protrusion of the tongue. While these symptoms can occur at low doses, they occur more frequently and with greater severity with high potency and at higher doses of first-generation antipsychotic drugs. An elevated risk of acute dystonia is observed in males and younger age groups.

How Supplied (HOW SUPPLIED)

Chlorpromazine Hydrochloride Tablets, USP, 10 mg are round, white film coated tablets, imprinted on one side with "832" above "10" and no print on the reverse side. They are supplied as follows:

Bottles of 100 - NDC 0832-6017-00



Chlorpromazine Hydrochloride Tablets, USP, 25 mg are round, white film coated tablets, imprinted on one side with "832" above "25" and no print on the reverse side. They are supplied as follows:

Bottles of 100 - NDC 0832-6018-00

Bottles of 1,000 - NDC 0832-6018-10



Chlorpromazine Hydrochloride Tablets, USP, 50 mg are round, white film coated tablets, imprinted on one side with "832" above "50" and no print on the reverse side. They are supplied as follows:

Bottles of 100 - NDC 0832-6019-00

Bottles of 1,000 - NDC 0832-6019-10

Unit-Dose cartons of 100 - NDC 0832-6019-01



THE TABLET STRENGTHS LISTED BELOW ARE FOR USE ONLY IN SEVERE NEUROPSYCHIATRIC CONDITIONS.

Chlorpromazine Hydrochloride Tablets, USP, 100 mg are round, white film coated tablets, imprinted on one side with "832" above "100" and no print on the reverse side. They are supplied as follows:

Bottles of 100 - NDC 0832-6020-00

Bottles of 1,000 - NDC 0832-6020-10

Unit-Dose cartons of 100 - NDC 0832-6020-01



Chlorpromazine Hydrochloride Tablets, USP, 200 mg are round, white film coated tablets, imprinted on one side with "832" above "200" and no print on the reverse side. They are supplied as follows:

Bottles of 100 - NDC 0832-6021-00

Bottles of 1,000 - NDC 0832-6021-10

Unit-Dose cartons of 100 - NDC 0832-6021-01

Ocular Changes

Ocular changes have occurred more frequently than skin pigmentation and have been observed both in pigmented and nonpigmented patients receiving chlorpromazine usually for 2 years or more in dosages of 300 mg daily and higher. Eye changes are characterized by deposition of fine particulate matter in the lens and cornea. In more advanced cases, star-shaped opacities have also been observed in the anterior portion of the lens. The nature of the eye deposits has not yet been determined. A small number of patients with more severe ocular changes have had some visual impairment. In addition to these corneal and lenticular changes, epithelial keratopathy and pigmentary retinopathy have been reported. Reports suggest that the eye lesions may regress after withdrawal of the drug.

Since the occurrence of eye changes seems to be related to dosage levels and/or duration of therapy, it is suggested that long-term patients on moderate to high dosage levels have periodic ocular examinations.

Agranulocytosis

Warn patients to report the sudden appearance of sore throat or other signs of infection. If white blood cell and differential counts indicate cellular depression, stop treatment and start antibiotic and other suitable therapy.

Most cases have occurred between the fourth and tenth weeks of therapy; patients should be watched closely during that period.

Moderate suppression of white blood cells is not an indication for stopping treatment unless accompanied by the symptoms described above.

Nursing Mothers

There is evidence that chlorpromazine is excreted in the breast milk of nursing mothers. Because of the potential for serious adverse reactions in nursing infants from chlorpromazine, a decision should be made whether to discontinue nursing or to discontinue the drug, taking into account the importance of the drug to the mother.

Elderly Patients

In general, dosages in the lower range are sufficient for most elderly patients. Since they appear to be more susceptible to hypotension and neuromuscular reactions, such patients should be observed closely. Dosage should be tailored to the individual, response carefully monitored, and dosage adjusted accordingly. Dosage should be increased more gradually in elderly patients.

Adverse Reactions (ADVERSE REACTIONS)

Note: Some adverse effects of chlorpromazine may be more likely to occur, or occur with greater intensity, in patients with special medical problems, e.g., patients with mitral insufficiency or pheochromocytoma have experienced severe hypotension following recommended doses.

Abrupt Withdrawal

Like other phenothiazines, chlorpromazine is not known to cause psychic dependence and does not produce tolerance or addiction. There may be, however, following abrupt withdrawal of high-dose therapy, some symptoms resembling those of physical dependence such as gastritis, nausea and vomiting, dizziness and tremulousness. These symptoms can usually be avoided or reduced by gradual reduction of the dosage or by continuing concomitant anti-parkinsonism agents for several weeks after chlorpromazine is withdrawn.

Antiemetic Effect

The antiemetic action of chlorpromazine may mask the signs and symptoms of overdosage of other drugs and may obscure the diagnosis and treatment of other conditions such as intestinal obstruction, brain tumor and Reye's syndrome. [See WARNINGS ].

When chlorpromazine is used with cancer chemotherapeutic drugs, vomiting as a sign of the toxicity of these agents may be obscured by the antiemetic effect of chlorpromazine.

Contraindications (CONTRAINDICATIONS)

Do not use in patients with known hypersensitivity to phenothiazines.

Do not use in comatose states or in the presence of large amounts of central nervous system depressants (alcohol, barbiturates, narcotics, etc.).

Long Term Therapy (Long-Term Therapy)

To lessen the likelihood of adverse reactions related to cumulative drug effect, patients with a history of long-term therapy with chlorpromazine and/or other antipsychotics should be evaluated periodically to decide whether the maintenance dosage could be lowered, or drug therapy discontinued.

More Severe Cases

25 mg t.i.d. After 1 or 2 days, daily dosage may be increased by 20 to 50 mg at semi-weekly intervals until patient becomes calm and cooperative.

Other Cns Effects (Other CNS Effects)

Neuroleptic Malignant Syndrome (NMS) has been reported in association with antipsychotic drugs [See WARNINGS ] .

Cerebral edema has been reported.

Convulsive seizures (petit mal and grand mal) have been reported, particularly in patients with EEG abnormalities or history of such disorders.

Abnormality of the cerebrospinal fluid proteins has also been reported.

Skin Pigmentation

Rare instances of skin pigmentation have been observed in hospitalized mental patients, primarily females who have received the drug usually for 3 years or more in dosages ranging from 500 mg to 1,500 mg daily.

The pigmentary changes, restricted to exposed areas of the body, range from an almost imperceptible darkening of the skin to a slate gray color, sometimes with a violet hue. Histological examination reveals a pigment, chiefly in the dermis, which is probably a melanin-like complex. This pigmentation may fade following discontinuance of the drug.

Motor Restlessness

Symptoms may include agitation or jitteriness and sometimes insomnia. These symptoms often disappear spontaneously. At times these symptoms may be similar to the original neurotic or psychotic symptoms. Dosage should not be increased until these side effects have subsided.

If these symptoms become too troublesome, they can usually be controlled by a reduction of dosage or change of drug. Treatment with anti-parkinsonian agents, benzodiazepines or propranolol may be helpful.

Tardive Dyskinesia

Tardive dyskinesia, a syndrome consisting of potentially irreversible, involuntary, dyskinetic movements, may develop in patients treated with antipsychotic drugs. Although the prevalence of the syndrome appears to be highest among the elderly, especially elderly women, it is impossible to rely upon prevalence estimates to predict, at the inception of antipsychotic treatment, which patients are likely to develop the syndrome. Whether antipsychotic drug products differ in their potential to cause tardive dyskinesia is unknown.

Both the risk of developing the syndrome and the likelihood that it will become irreversible are believed to increase as the duration of treatment and the total cumulative dose of antipsychotic drugs administered to the patient increase. However, the syndrome can develop, although much less commonly, after relatively brief treatment periods at low doses.

There is no known treatment for established cases of tardive dyskinesia, although the syndrome may remit, partially or completely, if antipsychotic treatment is withdrawn. Antipsychotic treatment itself, however, may suppress (or partially suppress) the signs and symptoms of the syndrome and therapy may possibly mask the underlying disease process. The effect that symptomatic suppression has upon the long-term course of the syndrome is unknown.

Given these considerations, antipsychotics should be prescribed in a manner that is most likely to minimize the occurrence of tardive dyskinesia. Chronic antipsychotic treatment should generally be reserved for patients who suffer from a chronic illness that, 1) is known to respond to antipsychotic drugs, and, 2) for whom alternative, equally effective, but potentially less harmful treatments are not available or appropriate. In patients who do require chronic treatment, the smallest dose and the shortest duration of treatment producing a satisfactory clinical response should be sought. The need for continued treatment should be reassessed periodically.

If signs and symptoms of tardive dyskinesia appear in a patient on antipsychotics, drug discontinuation should be considered. However, some patients may require treatment despite the presence of the syndrome.

For further information about the description of tardive dyskinesia and its clinical detection, please refer to the sections on PRECAUTIONS and ADVERSE REACTIONS.

Usage in Pregnancy

Safety for the use of chlorpromazine during pregnancy has not been established. Therefore, it is not recommended that the drug be given to pregnant patients except when, in the judgment of the physician, it is essential. The potential benefits should clearly outweigh possible hazards. There are reported instances of prolonged jaundice, extrapyramidal signs, hyperreflexia or hyporeflexia in newborn infants whose mothers received phenothiazines.

Reproductive studies in rodents have demonstrated potential for embryotoxicity, increased neonatal mortality and nursing transfer of the drug. Tests in the offspring of the drug–treated rodents demonstrate decreased performance. The possibility of permanent neurological damage cannot be excluded.

Autonomic Reactions

Occasional dry mouth; nasal congestion; nausea; obstipation; constipation; adynamic ileus; urinary retention, priapism; miosis and mydriasis, atonic colon, ejaculatory disorders/impotence.

Endocrine Disorders

Lactation and moderate breast engorgement may occur in females on large doses. If persistent, lower dosage or withdraw drug. False-positive pregnancy tests have been reported but are less likely to occur when a serum test is used. Amenorrhea and gynecomastia have also been reported. Hyperglycemia, hypoglycemia and glycosuria have been reported.

Hypotensive Effects

Postural hypotension, simple tachycardia, momentary fainting and dizziness may occur rarely, after the first oral dose. Usually recovery is spontaneous and symptoms disappear within ½ to 2 hours. Occasionally, these effects may be more severe and prolonged, producing a shock-like condition.

To control hypotension, place patient in head-low position with legs raised. If a vasoconstrictor is required, norepinephrine and phenylephrine are the most suitable. Other pressor agents, including epinephrine, should not be used as they may cause a paradoxical further lowering of blood pressure.

Intractable Hiccups

25 to 50 mg t.i.d. or q.i.d. If symptoms persist for 2 to 3 days, parenteral therapy is indicated.

Nausea and Vomiting

10 to 25 mg q4 to 6h, p.r.n., increased, if necessary.

Pseudo Parkinsonism (Pseudo-parkinsonism)

Symptoms may include: mask-like facies, drooling, tremors, pill rolling motion, cogwheel rigidity and shuffling gait. In most cases these symptoms are readily controlled when an anti-parkinsonism agent is administered concomitantly. Anti-parkinsonism agents should be used only when required. Generally, therapy of a few weeks to 2 or 3 months will suffice. After this time patients should be evaluated to determine their need for continued treatment. (Note: Levodopa has not been found effective in antipsychotic-induced pseudo-parkinsonism.) Occasionally, it is necessary to lower the dosage of chlorpromazine or to discontinue the drug.

Psychotic Disorders

Increase dosage gradually until symptoms are controlled. Maximum improvement may not be seen for weeks or even months. Continue optimum dosage for 2 weeks; then gradually reduce dosage to the lowest effective maintenance level. Daily dosage of 200 mg is not unusual. Some patients require higher dosages (e.g., 800 mg daily is not uncommon in discharged mental patients).

Clinical Pharmacology (CLINICAL PHARMACOLOGY)

The precise mechanism whereby the therapeutic effects of chlorpromazine are produced is not known. The principal pharmacological actions are psychotropic. It also exerts sedative and antiemetic activity. Chlorpromazine has actions at all levels of the central nervous system –primarily at subcortical levels – as well as on multiple organ systems. Chlorpromazine has strong antiadrenergic and weaker peripheral anticholinergic activity; ganglionic blocking action is relatively slight. It also possesses slight antihistaminic and anti-serotonin activity.

Hospitalized Patients

As with outpatients, start with low doses and increase dosage gradually. In severe behavior disorders higher dosages (50 to 100 mg daily and in older children, 200 mg daily or more) may be necessary. There is little evidence that behavior improvement in severely disturbed mentally retarded patients is further enhanced by doses beyond 500 mg per day.

Indications and Usage (INDICATIONS AND USAGE)

For the management of manifestations of psychotic disorders.

For the treatment of schizophrenia.

To control nausea and vomiting.

For relief of restlessness and apprehension before surgery.

For acute intermittent porphyria.

As an adjunct in the treatment of tetanus.

To control the manifestations of the manic type of manic-depressive illness.

For relief of intractable hiccups.

For the treatment of severe behavioral problems in children (1 to 12 years of age) marked by combativeness and/or explosive hyperexcitable behavior (out of proportion to immediate provocations), and in the short-term treatment of hyperactive children who show excessive motor activity with accompanying conduct disorders consisting of some or all of the following symptoms: impulsivity, difficulty sustaining attention, aggressivity, mood lability and poor frustration tolerance.

Less Acutely Disturbed

25 mg t.i.d. Increase gradually until effective dose is reached – usually 400 mg daily.

Extrapyramidal Symptoms

Neuromuscular reactions include dystonias, motor restlessness, pseudo-parkinsonism and tardive dyskinesia, and appear to be dose-related. They are discussed in the following paragraphs:

Hematological Disorders

including agranulocytosis, eosinophilia, leukopenia, hemolytic anemia, aplastic anemia, thrombocytopenic purpura and pancytopenia have been reported.

Non Teratogenic Effects (Non-teratogenic Effects)

Neonates exposed to antipsychotic drugs, during the third trimester of pregnancy are at risk for extrapyramidal and/or withdrawal symptoms following delivery. There have been reports of agitation, hypertonia, hypotonia, tremor, somnolence, respiratory distress and feeding disorder in these neonates. These complications have varied in severity; while in some cases symptoms have been self-limited, in other cases neonates have required intensive care unit support and prolonged hospitalization.

Chlorpromazine hydrochloride should be used during pregnancy only if the potential benefit justifies the potential risk to the fetus.

Other Adverse Reactions

Mild fever may occur after large I.M. doses. Hyperpyrexia has been reported. Increases in appetite and weight sometimes occur. Peripheral edema and a systemic lupus erythematosus-like syndrome have been reported.

Note: There have been occasional reports of sudden death in patients receiving phenothiazines. In some cases, the cause appeared to be cardiac arrest or asphyxia due to failure of the cough reflex.

Presurgical Apprehension

25 to 50 mg, 2 to 3 hours before the operation.

Adverse Behavioral Effects

Psychotic symptoms and catatonic-like states have been reported rarely.

Acute Intermittent Porphyria

25 to 50 mg t.i.d. or q.i.d. Can usually be discontinued after several weeks, but maintenance therapy may be necessary for some patients.

Prompt Control of Severe Symptoms

Initial treatment should be with intramuscular chlorpromazine. Subsequent doses should be oral, 25 to 50 mg t.i.d.

Acute Schizophrenic Or Manic States (Acute Schizophrenic or Manic States)

It is recommended that initial treatment be with chlorpromazine HCl injection until patient is controlled. Usually patient becomes quiet and co-operative within 24 to 48 hours and oral doses may be substituted and increased until the patient is calm. 500 mg a day is generally sufficient. While gradual increases to 2,000 mg a day or more may be necessary, there is usually little therapeutic gain to be achieved by exceeding 1,000 mg a day for extended periods. In general, dosage levels should be lower in the elderly, the emaciated and the debilitated.

Dosage and Administration – Adults (DOSAGE AND ADMINISTRATION – ADULTS)

Adjust dosage to individual and the severity of his condition, recognizing that the milligram for milligram potency relationship among all dosage forms has not been precisely established clinically. It is important to increase dosage until symptoms are controlled. Dosage should be increased more gradually in debilitated or emaciated patients. In continued therapy, gradually reduce dosage to the lowest effective maintenance level, after symptoms have been controlled for a reasonable period.

The 100 mg and 200 mg tablets are for use in severe neuropsychiatric conditions.

Neuroleptic Malignant Syndrome (nms) (Neuroleptic Malignant Syndrome (NMS))

A potentially fatal symptom complex sometimes referred to as Neuroleptic Malignant Syndrome (NMS) has been reported in association with antipsychotic drugs. Clinical manifestations of NMS are hyperpyrexia, muscle rigidity, altered mental status and evidence of autonomic instability (irregular pulse or blood pressure, tachycardia, diaphoresis, and cardiac dysrhythmias).

The diagnostic evaluation of patients with this syndrome is complicated. In arriving at a diagnosis, it is important to identify cases where the clinical presentation includes both serious medical illness (e.g., pneumonia, systemic infection, etc.) and untreated or inadequately treated extrapyramidal signs and symptoms (EPS). Other important considerations in the differential diagnosis include central anticholinergic toxicity, heat stroke, drug fever and primary central nervous system (CNS) pathology.

The management of NMS should include 1) immediate discontinuation of antipsychotic drugs and other drugs not essential to concurrent therapy, 2) intensive symptomatic treatment and medical monitoring, and 3) treatment of any concomitant serious medical problems for which specific treatments are available. There is no general agreement about specific pharmacological treatment regimens for uncomplicated NMS.

If a patient requires antipsychotic drug treatment after recovery from NMS, the potential reintroduction of drug therapy should be carefully considered. The patient should be carefully monitored, since recurrences of NMS have been reported.

An encephalopathic syndrome (characterized by weakness, lethargy, fever, tremulousness and confusion, extrapyramidal symptoms, leukocytosis, elevated serum enzymes, BUN and FBS) has occurred in a few patients treated with lithium plus an antipsychotic. In some instances, the syndrome was followed by irreversible brain damage. Because of a possible causal relationship between these events and the concomitant administration of lithium and antipsychotics, patients receiving such combined therapy should be monitored closely for early evidence of neurologic toxicity and treatment discontinued promptly if such signs appear. This encephalopathic syndrome may be similar to or the same as neuroleptic malignant syndrome (NMS).

Patients with bone marrow depression or who have previously demonstrated a hypersensitivity reaction (e.g., blood dyscrasias, jaundice) with a phenothiazine, should not receive any phenothiazine, including chlorpromazine, unless in the judgment of the physician the potential benefits of treatment outweigh the possible hazard.

Chlorpromazine may impair mental and/or physical abilities, especially during the first few days of therapy. Therefore, caution patients about activities requiring alertness (e.g., operating vehicles or machinery).

The use of alcohol with this drug should be avoided due to possible additive effects and hypotension.

Chlorpromazine may counteract the antihypertensive effect of guanethidine and related compounds.

Leukopenia, Neutropenia and Agranulocytosis

In clinical trial and postmarketing experience, events of leukopenia/neutropenia and agranulocytosis have been reported temporally related to antipsychotic agents.

Possible risk factors for leukopenia/neutropenia include preexisting low white blood cell count (WBC) and history of drug induced leukopenia/neutropenia. Patients with a preexisting low WBC or a history of drug induced leukopenia/neutropenia should have their complete blood count (CBC) monitored frequently during the first few months of therapy and should discontinue Chlorpromazine Hydrochloride Tablets, USP at the first sign of a decline in WBC in the absence of other causative factors.

Patients with neutropenia should be carefully monitored for fever or other symptoms or signs of infection and treated promptly if such symptoms or signs occur. Patients with severe neutropenia (absolute neutrophil count <1000/mm3) should discontinue chlorpromazine hydrochloride tablets, USP and have their WBC followed until recovery.

Special Considerations in Long Term Therapy (Special Considerations In Long-Term Therapy)

Skin pigmentation and ocular changes have occurred in some patients taking substantial doses of chlorpromazine for prolonged periods.

Principal Display Panel 10 Mg Tablet Bottle Label (PRINCIPAL DISPLAY PANEL - 10 mg Tablet Bottle Label)

NDC 0832-6017-00

chlorproMAZINE

Hydrochloride

Tablets, USP

10 mg

100 Tablets

Rx only

UPSHER-SMITH

Principal Display Panel 25 Mg Tablet Bottle Label (PRINCIPAL DISPLAY PANEL - 25 mg Tablet Bottle Label)

NDC 0832-6018-00

chlorproMAZINE

Hydrochloride

Tablets, USP

25 mg

100 Tablets

Rx only

UPSHER-SMITH

Principal Display Panel 50 Mg Tablet Bottle Label (PRINCIPAL DISPLAY PANEL - 50 mg Tablet Bottle Label)

NDC 0832-6019-00

chlorproMAZINE

Hydrochloride

Tablets, USP

50 mg

100 Tablets

Rx only

UPSHER-SMITH

Principal Display Panel 100 Mg Tablet Bottle Label (PRINCIPAL DISPLAY PANEL - 100 mg Tablet Bottle Label)

NDC 0832-6020-00

chlorproMAZINE

Hydrochloride

Tablets, USP

100 mg

100 Tablets

Rx only

UPSHER-SMITH

Principal Display Panel 200 Mg Tablet Bottle Label (PRINCIPAL DISPLAY PANEL - 200 mg Tablet Bottle Label)

NDC 0832-6021-00

chlorproMAZINE

Hydrochloride

Tablets, USP

200 mg

100 Tablets

Rx only

UPSHER-SMITH

Increased Mortality in Elderly Patients With Dementia Related Psychosis (Increased Mortality in Elderly Patients with Dementia-Related Psychosis)

Elderly patients with dementia-related psychosis treated with antipsychotic drugs are at an increased risk of death. Chlorpromazine hydrochloride is not approved for the treatment of patients with dementia-related psychosis [see BOXED WARNING].

The extrapyramidal symptoms which can occur secondary to chlorpromazine may be confused with the central nervous system signs of an undiagnosed primary disease responsible for the vomiting, e.g., Reye's syndrome or other encephalopathy. The use of chlorpromazine and other potential hepatotoxins should be avoided in children and adolescents whose signs and symptoms suggest Reye's syndrome.

Dosage and Administration – Pediatric Patients (6 Months to 12 Years of Age) (DOSAGE AND ADMINISTRATION – Pediatric Patients (6 months to 12 years of age))

Chlorpromazine should generally not be used in pediatric patients under 6 months of age except where potentially lifesaving. It should not be used in conditions for which specific pediatric dosages have not been established.


Advanced Ingredient Data


Raw Label Data

All Sections (JSON)