Cefazolin For Injection, Usp

Cefazolin For Injection, Usp
SPL v9
SPL
SPL Set ID 5a8c4bb2-a75e-4d7d-91fb-9a95f04fc94b
Routes
INTRAMUSCULAR INTRAVENOUS
Published
Effective Date 2024-07-22
Document Type 34391-3 HUMAN PRESCRIPTION DRUG LABEL

Drug Facts

Composition & Product

Active Ingredients
Cefazolin (1 g)

Identifiers & Packaging

Marketing Status
ANDA Active Since 2022-01-09

Description

TO REDUCE THE DEVELOPMENT OF DRUG-RESISTANT BACTERIA AND MAINTAIN THE EFFECTIVENESS OF CEFAZOLIN FOR INJECTION, USP AND OTHER ANTIBACTERIAL DRUGS, CEFAZOLIN FOR INJECTION, USP SHOULD BE USED ONLY TO TREAT OR PREVENT INFECTIONS THAT ARE PROVEN OR STRONGLY SUSPECTED TO BE CAUSED BY BACTERIA.

Indications and Usage

Cefazolin for Injection, USP is indicated in the treatment of the following serious infections due to susceptible organisms: Respiratory Tract Infections: Due to S. pneumoniae, Klebsiella species, H. influenzae, S. aureus (penicillin-sensitive and penicillin-resistant), and group A beta-hemolytic streptococci. Injectable benzathine penicillin is considered to be the drug of choice in treatment and prevention of streptococcal infections, including the prophylaxis of rheumatic fever. Cefazolin for Injection, USP is effective in the eradication of streptococci from the nasopharynx; however, data establishing the efficacy of Cefazolin for Injection, USP in the subsequent prevention of rheumatic fever are not available at present. Urinary Tract Infections: Due to E. coli, P. mirabilis , Klebsiella species, and some strains of enterobacter and enterococci. Skin and Skin Structure Infections: Due to S.aureus (penicillin-sensitive and penicillin-resistant) , group A beta-hemolytic streptococci, and other strains of streptococci. Biliary Tract Infections: Due to E. coli , various strains of streptococci, P. mirabilis, Klebsiella species, and S. aureus. Bone and Joint Infections : Due to S. aureus . Genital Infections: (i.e., prostatitis, epididymitis) due to E. coli, P. mirabilis , Klebsiella species, and some strains of enterococci. Septicemia: Due to S. pneumoniae, S. aureus (penicillin-sensitive and penicillin-resistant), P. mirabilis, E. coli, and Klebsiella species. Endocarditis: Due to S. aureus (penicillin-sensitive and penicillin-resistant) and group A beta-hemolytic streptococci. Perioperative Prophylaxis: The prophylactic administration of Cefazolin for Injection, USP preoperatively, intraoperatively, and postoperatively may reduce the incidence of certain postoperative infections in patients undergoing surgical procedures which are classified as contaminated or potentially contaminated (e.g., vaginal hysterectomy, and cholecystectomy in high-risk patients such as those older than 70 years, with acute cholecystitis, obstructive jaundice, or common duct bile stones). The perioperative use of Cefazolin for Injection, USP may also be effective in surgical patients in whom infection at the operative site would present a serious risk (e.g., during open-heart surgery and prosthetic arthroplasty). The prophylactic administration of Cefazolin for Injection, USP should usually be discontinued within a 24-hour period after the surgical procedure. In surgery where the occurrence of infection may be particularly devastating (e.g., open-heart surgery and prosthetic arthroplasty), the prophylactic administration of Cefazolin for Injection, USP may be continued for 3 to 5 days following the completion of surgery. If there are signs of infection, specimens for cultures should be obtained for the identification of the causative organism so that appropriate therapy may be instituted. (See DOSAGE AND ADMINISTRATION.) To reduce the development of drug-resistant bacteria and maintain the effectiveness of Cefazolin for Injection, USP and other antibacterial drugs, Cefazolin for Injection, USP should be used only to treat or prevent infections that are proven or strongly suspected to be caused by susceptible bacteria. When culture and susceptibility information are available, they should be considered in selecting or modifying antibacterial therapy. In the absence of such data, local epidemiology and susceptibility patterns may contribute to the empiric selection of therapy.

Dosage and Administration

*In rare instances, doses of up to 12 grams of Cefazolin for Injection, USP per day have been used. Perioperative Prophylactic Use: To prevent postoperative infection in contaminated or potentially contaminated surgery, recommended doses are: a. 1 gram IV or IM administered ½ hour to 1 hour prior to the start of surgery. b. For lengthy operative procedures (e.g., 2 hours or more), 500 mg to 1 gram IV or IM during surgery (administration modified depending on the duration of the operative procedure). c. 500 mg to 1 gram IV or IM every 6 to 8 hours for 24 hours postoperatively. It is important that (1) the preoperative dose be given just (½ to 1 hour) prior to the start of surgery so that adequate antibiotic levels are present in the serum and tissues at the time of initial surgical incision; and (2) Cefazolin for Injection, USP be administered, if necessary, at appropriate intervals during surgery to provide sufficient levels of the antibiotic at the anticipated moments of greatest exposure to infective organisms. In surgery where the occurrence of infection may be particularly devastating (e.g., open-heart surgery and prosthetic arthroplasty), the prophylactic administration of Cefazolin for Injection, USP may be continued for 3 to 5 days following the completion of surgery. Dosage Adjustment for Patients With Reduced Renal Function: Cefazolin for Injection, USP may be used in patients with reduced renal function with the following dosage adjustments: Patients with a creatinine clearance of 55 mL/min. or greater or a serum creatinine of 1.5 mg % or less can be given full doses. Patients with creatinine clearance rates of 35 to 54 mL/min. or serum creatinine of 1.6 to 3.0 mg % can also be given full doses but dosage should be restricted to at least 8 hour intervals. Patients with creatinine clearance rates of 11 to 34 mL/min. or serum creatinine of 3.1 to 4.5 mg % should be given ½ the usual dose every 12 hours. Patients with creatinine clearance rates of 10 mL/min. or less or serum creatinine of 4.6 mg % or greater should be given ½ the usual dose every 18 to 24 hours. All reduced dosage recommendations apply after an initial loading dose appropriate to the severity of the infection. Patients undergoing peritoneal dialysis: See CLINICAL PHARMACOLOGY. Pediatric Dosage: In pediatric patients, a total daily dosage of 25 to 50 mg per kg (approximately 10 to 20 mg per pound) of body weight, divided into 3 or 4 equal doses, is effective for most mild to moderately severe infections. Total daily dosage may be increased to 100 mg per kg (45 mg per pound) of body weight for severe infections. Since safety for use in premature infants and in neonates has not been established, the use of Cefazolin for Injection, USP in these patients is not recommended. In pediatric patients with mild to moderate renal impairment (creatinine clearance of 70 to 40 mL/min.), 60 percent of the normal daily dose given in equally divided doses every 12 hours should be sufficient. In patients with moderate impairment (creatinine clearance of 40 to 20 mL/min.), 25 percent of the normal daily dose given in equally divided doses every 12 hours should be adequate. Pediatric patients with severe renal impairment (creatinine clearance of 20 to 5 mL/min.) may be given 10 percent of the normal daily dose every 24 hours. All dosage recommendations apply after an initial loading dose. RECONSTITUTION Preparation of Parenteral Solution: Parenteral drug products should be SHAKEN WELL when reconstituted, and inspected visually for particulate matter prior to administration. If particulate matter is evident in reconstituted fluids, the drug solutions should be discarded. When reconstituted or diluted according to the instructions below, Cefazolin for Injection, USP is stable for 24 hours at room temperature or for 10 days if stored under refrigeration (5°C or 41 °F). Reconstituted solutions may range in color from pale yellow to yellow without a change in potency. Single-Dose Vials: For IM injection, IV direct (bolus) injection or IV infusion, reconstitute with Sterile Water for Injection according to the following table. SHAKE WELL. ADMINISTRATION Intramuscular Administration: Reconstitute vials with Sterile Water for Injection according to the dilution table above. Shake well until  dissolved. Cefazolin for Injection, USP should be injected into a large muscle mass. Pain on injection is infrequent with Cefazolin for Injection, USP. Intravenous Administration: Direct (bolus) injection: Following reconstitution according to the above table, further dilute vials with approximately 5 mL Sterile Water for Injection. Inject the solution slowly over 3 to 5 minutes, directly or through tubing for patients receiving parenteral fluids (see list below). Intermittent or continuous infusion: Dilute reconstituted Cefazolin for Injection, USP in 50 to 100 mL of 1 of the following solutions: Sodium Chloride Injection, USP 5% or 10% Dextrose Injection, USP 5% Dextrose in Lactated Ringer's Injection, USP 5% Dextrose and 0.9% Sodium Chloride Injection, USP 5% Dextrose and 0.45% Sodium Chloride Injection, USP 5% Dextrose and 0.2% Sodium Chloride Injection, USP Lactated Ringer's Injection, USP Invert Sugar 5% or 10% in Sterile Water for Injection Ringer's Injection, USP 5% Sodium Bicarbonate Injection, USP

Contraindications

CEFAZOLIN FOR INJECTION, USP IS CONTRAINDICATED IN PATIENTS WITH KNOWN ALLERGY TO THE CEPHALOSPORIN GROUP OF ANTIBIOTICS.

Adverse Reactions

The following reactions have been reported: Gastrointestinal: Diarrhea, oral candidiasis (oral thrush), vomiting, nausea, stomach cramps, anorexia, and pseudomembranous colitis. Onset of pseudomembranous colitis symptoms may occur during or after antibiotic treatment (see WARNINGS). Nausea and vomiting have been reported rarely. Allergic: Anaphylaxis, eosinophilia, itching, drug fever, skin rash, Stevens-Johnson syndrome. Hematologic: Neutropenia, leukopenia, thrombocytopenia, thrombocythemia. Hepatic: Transient rise in SGOT, SGPT, and alkaline phosphatase levels has been observed. As with other cephalosporins, reports of hepatitis have been received. Renal: As with other cephalosporins, reports of increased BUN and creatinine levels, as well as renal failure, have been received. Local Reactions: Rare instances of phlebitis have been reported at site of injection. Pain at the site of injection after intramuscular administration has occurred infrequently. Some induration has occurred. Other Reactions: Genital and anal pruritus (including vulvar pruritus, genital moniliasis, and vaginitis). To report SUSPECTED ADVERSE REACTIONS, contact Apotex Corp. at 1-800-706-5575 or FDA at 1-800-FDA-1088 or www.fda.gov/medwatch.

How Supplied

Each vial of Cefazolin for Injection, USP contains cefazolin sodium equivalent to 1 gram 2 grams, or 3 grams cefazolin. NDC 60505-6142-5, 1 gram, carton of 25 vials NDC 60505-6231-5, 2 grams, carton of 25 vials NDC 60505-6266-5, 3 grams, carton of 25 vials As with other cephalosporins, cefazolin tends to darken depending on storage conditions; within the stated recommendations, however, product potency is not adversely affected. Before reconstitution protect from light and store at 20° to 25° C (68° to 77°F) [See USP Controlled Room Temperature]. CLINITEST is a registered trademark of Miles, Inc. CLINISTIX is a registered trademark of Bayer Corporation. Product repackaged by: Henry Schein, Inc., Bastian, VA 24314  From Original Manufacturer/Distributor's NDC and Unit of Sale To Henry Schein Repackaged Product NDC and Unit of Sale Total Strength/Total Volume (Concentration) per unit NDC 60505-6142-5 Carton of 25 vials NDC 0404-9833-99 1 vial in a bag (Vial bears NDC 60505-6142-0) 1 gram Manufactured by: Manufactured by: Qilu Pharmaceutical Co., Ltd. High Tech Zone Jinan, 250101, China Manufactured for: Apotex Corp. Weston, Florida, USA 33326 Code number: 34040001011G Rev 12/22


Medication Information

Indications and Usage

Cefazolin for Injection, USP is indicated in the treatment of the following serious infections due to susceptible organisms:

Respiratory Tract Infections: Due to S. pneumoniae, Klebsiella species, H. influenzae, S. aureus (penicillin-sensitive and penicillin-resistant), and group A beta-hemolytic streptococci.

Injectable benzathine penicillin is considered to be the drug of choice in treatment and prevention of streptococcal infections, including the prophylaxis of rheumatic fever.

Cefazolin for Injection, USP is effective in the eradication of streptococci from the nasopharynx; however, data establishing the efficacy of Cefazolin for Injection, USP in the subsequent prevention of rheumatic fever are not available at present.

Urinary Tract Infections: Due to E. coli, P. mirabilis, Klebsiella species, and some strains of enterobacter and enterococci.

Skin and Skin Structure Infections: Due to S.aureus (penicillin-sensitive and penicillin-resistant), group A beta-hemolytic streptococci, and other strains of streptococci.

Biliary Tract Infections: Due to E. coli, various strains of streptococci, P. mirabilis, Klebsiella species, and S. aureus.

Bone and Joint Infections: Due to S. aureus.

Genital Infections: (i.e., prostatitis, epididymitis) due to E. coli, P. mirabilis, Klebsiella species, and some strains of enterococci.

Septicemia: Due to S. pneumoniae, S. aureus (penicillin-sensitive and penicillin-resistant), P. mirabilis, E. coli, and Klebsiella species.

Endocarditis: Due to S. aureus (penicillin-sensitive and penicillin-resistant) and group A beta-hemolytic streptococci.

Perioperative Prophylaxis: The prophylactic administration of Cefazolin for Injection, USP preoperatively, intraoperatively, and postoperatively may reduce the incidence of certain postoperative infections in patients undergoing surgical procedures which are classified as contaminated or potentially contaminated (e.g., vaginal hysterectomy, and cholecystectomy in high-risk patients such as those older than 70 years, with acute cholecystitis, obstructive jaundice, or common duct bile stones).

The perioperative use of Cefazolin for Injection, USP may also be effective in surgical patients in whom infection at the operative site would present a serious risk (e.g., during open-heart surgery and prosthetic arthroplasty).

The prophylactic administration of Cefazolin for Injection, USP should usually be discontinued within a 24-hour period after the surgical procedure. In surgery where the occurrence of infection may be particularly devastating (e.g., open-heart surgery and prosthetic arthroplasty), the prophylactic administration of Cefazolin for Injection, USP may be continued for 3 to 5 days following the completion of surgery.

If there are signs of infection, specimens for cultures should be obtained for the identification of the causative organism so that appropriate therapy may be instituted. (See DOSAGE AND ADMINISTRATION.)

To reduce the development of drug-resistant bacteria and maintain the effectiveness of Cefazolin for Injection, USP and other antibacterial drugs, Cefazolin for Injection, USP should be used only to treat or prevent infections that are proven or strongly suspected to be caused by susceptible bacteria. When culture and susceptibility information are available, they should be considered in selecting or modifying antibacterial therapy. In the absence of such data, local epidemiology and susceptibility patterns may contribute to the empiric selection of therapy.

Dosage and Administration

*In rare instances, doses of up to 12 grams of Cefazolin for Injection, USP per day have been used. Perioperative Prophylactic Use: To prevent postoperative infection in contaminated or potentially contaminated surgery, recommended doses are: a. 1 gram IV or IM administered ½ hour to 1 hour prior to the start of surgery. b. For lengthy operative procedures (e.g., 2 hours or more), 500 mg to 1 gram IV or IM during surgery (administration modified depending on the duration of the operative procedure). c. 500 mg to 1 gram IV or IM every 6 to 8 hours for 24 hours postoperatively. It is important that (1) the preoperative dose be given just (½ to 1 hour) prior to the start of surgery so that adequate antibiotic levels are present in the serum and tissues at the time of initial surgical incision; and (2) Cefazolin for Injection, USP be administered, if necessary, at appropriate intervals during surgery to provide sufficient levels of the antibiotic at the anticipated moments of greatest exposure to infective organisms. In surgery where the occurrence of infection may be particularly devastating (e.g., open-heart surgery and prosthetic arthroplasty), the prophylactic administration of Cefazolin for Injection, USP may be continued for 3 to 5 days following the completion of surgery. Dosage Adjustment for Patients With Reduced Renal Function: Cefazolin for Injection, USP may be used in patients with reduced renal function with the following dosage adjustments: Patients with a creatinine clearance of 55 mL/min. or greater or a serum creatinine of 1.5 mg % or less can be given full doses. Patients with creatinine clearance rates of 35 to 54 mL/min. or serum creatinine of 1.6 to 3.0 mg % can also be given full doses but dosage should be restricted to at least 8 hour intervals. Patients with creatinine clearance rates of 11 to 34 mL/min. or serum creatinine of 3.1 to 4.5 mg % should be given ½ the usual dose every 12 hours. Patients with creatinine clearance rates of 10 mL/min. or less or serum creatinine of 4.6 mg % or greater should be given ½ the usual dose every 18 to 24 hours. All reduced dosage recommendations apply after an initial loading dose appropriate to the severity of the infection. Patients undergoing peritoneal dialysis: See CLINICAL PHARMACOLOGY. Pediatric Dosage: In pediatric patients, a total daily dosage of 25 to 50 mg per kg (approximately 10 to 20 mg per pound) of body weight, divided into 3 or 4 equal doses, is effective for most mild to moderately severe infections. Total daily dosage may be increased to 100 mg per kg (45 mg per pound) of body weight for severe infections. Since safety for use in premature infants and in neonates has not been established, the use of Cefazolin for Injection, USP in these patients is not recommended. In pediatric patients with mild to moderate renal impairment (creatinine clearance of 70 to 40 mL/min.), 60 percent of the normal daily dose given in equally divided doses every 12 hours should be sufficient. In patients with moderate impairment (creatinine clearance of 40 to 20 mL/min.), 25 percent of the normal daily dose given in equally divided doses every 12 hours should be adequate. Pediatric patients with severe renal impairment (creatinine clearance of 20 to 5 mL/min.) may be given 10 percent of the normal daily dose every 24 hours. All dosage recommendations apply after an initial loading dose. RECONSTITUTION Preparation of Parenteral Solution: Parenteral drug products should be SHAKEN WELL when reconstituted, and inspected visually for particulate matter prior to administration. If particulate matter is evident in reconstituted fluids, the drug solutions should be discarded. When reconstituted or diluted according to the instructions below, Cefazolin for Injection, USP is stable for 24 hours at room temperature or for 10 days if stored under refrigeration (5°C or 41 °F). Reconstituted solutions may range in color from pale yellow to yellow without a change in potency. Single-Dose Vials: For IM injection, IV direct (bolus) injection or IV infusion, reconstitute with Sterile Water for Injection according to the following table. SHAKE WELL. ADMINISTRATION Intramuscular Administration: Reconstitute vials with Sterile Water for Injection according to the dilution table above. Shake well until  dissolved. Cefazolin for Injection, USP should be injected into a large muscle mass. Pain on injection is infrequent with Cefazolin for Injection, USP. Intravenous Administration: Direct (bolus) injection: Following reconstitution according to the above table, further dilute vials with approximately 5 mL Sterile Water for Injection. Inject the solution slowly over 3 to 5 minutes, directly or through tubing for patients receiving parenteral fluids (see list below). Intermittent or continuous infusion: Dilute reconstituted Cefazolin for Injection, USP in 50 to 100 mL of 1 of the following solutions: Sodium Chloride Injection, USP 5% or 10% Dextrose Injection, USP 5% Dextrose in Lactated Ringer's Injection, USP 5% Dextrose and 0.9% Sodium Chloride Injection, USP 5% Dextrose and 0.45% Sodium Chloride Injection, USP 5% Dextrose and 0.2% Sodium Chloride Injection, USP Lactated Ringer's Injection, USP Invert Sugar 5% or 10% in Sterile Water for Injection Ringer's Injection, USP 5% Sodium Bicarbonate Injection, USP

Contraindications

CEFAZOLIN FOR INJECTION, USP IS CONTRAINDICATED IN PATIENTS WITH KNOWN ALLERGY TO THE CEPHALOSPORIN GROUP OF ANTIBIOTICS.

Adverse Reactions

The following reactions have been reported:

Gastrointestinal: Diarrhea, oral candidiasis (oral thrush), vomiting, nausea, stomach cramps, anorexia, and pseudomembranous colitis. Onset of pseudomembranous colitis symptoms may occur during or after antibiotic treatment (see WARNINGS). Nausea and vomiting have been reported rarely.

Allergic: Anaphylaxis, eosinophilia, itching, drug fever, skin rash, Stevens-Johnson syndrome.

Hematologic: Neutropenia, leukopenia, thrombocytopenia, thrombocythemia.

Hepatic: Transient rise in SGOT, SGPT, and alkaline phosphatase levels has been observed. As with other cephalosporins, reports of hepatitis have been received.

Renal: As with other cephalosporins, reports of increased BUN and creatinine levels, as well as renal failure, have been received.

Local Reactions: Rare instances of phlebitis have been reported at site of injection. Pain at the site of injection after intramuscular administration has occurred infrequently. Some induration has occurred.

Other Reactions: Genital and anal pruritus (including vulvar pruritus, genital moniliasis, and vaginitis).

To report SUSPECTED ADVERSE REACTIONS, contact Apotex Corp. at 1-800-706-5575 or FDA at 1-800-FDA-1088 or www.fda.gov/medwatch.

How Supplied

Each vial of Cefazolin for Injection, USP contains cefazolin sodium equivalent to 1 gram 2 grams, or 3 grams cefazolin.

NDC 60505-6142-5, 1 gram, carton of 25 vials

NDC 60505-6231-5, 2 grams, carton of 25 vials

NDC 60505-6266-5, 3 grams, carton of 25 vials

As with other cephalosporins, cefazolin tends to darken depending on storage conditions; within the stated recommendations, however, product potency is not adversely affected.

Before reconstitution protect from light and store at 20° to 25° C (68° to 77°F) [See USP Controlled Room Temperature].

CLINITEST is a registered trademark of Miles, Inc.

CLINISTIX is a registered trademark of Bayer Corporation.

Product repackaged by: Henry Schein, Inc., Bastian, VA 24314 
From Original Manufacturer/Distributor's NDC and Unit of Sale To Henry Schein Repackaged Product NDC and Unit of Sale Total Strength/Total Volume (Concentration) per unit
NDC 60505-6142-5

Carton of 25 vials
NDC 0404-9833-99

1 vial in a bag

(Vial bears NDC 60505-6142-0)

1 gram

Manufactured by:

Manufactured by:

Qilu Pharmaceutical Co., Ltd.

High Tech Zone

Jinan, 250101, China

Manufactured for:

Apotex Corp.

Weston, Florida, USA 33326

Code number: 34040001011G

Rev 12/22

Description

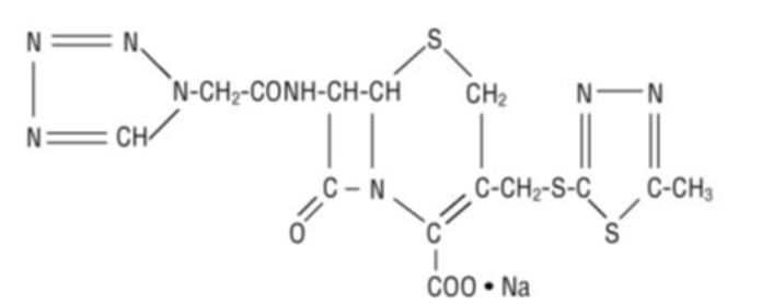
Cefazolin for Injection, USP is a semi-synthetic cephalosporin for parenteral administration. It is the sodium salt of 3-{[(5-methyl-1,3,4-thiadiazol-2-yl)thio]-methyl}-8-oxo-7-[2-(1H-tetrazol-1-yl) acetamido]-5-thia-1-azabicyclo [4.2.0]oct-2-ene-2-carboxylic acid.

Structural Formula:

The sodium content is 48 mg (2 mEq sodium ion) per 1 gram of cefazolin.

Cefazolin for Injection, USP is a sterile white or off-white powder or crystalline powder containing Cefazolin Sodium USP supplied in vials equivalent to 1 gram or 2 grams of cefazolin.

Section 42229-5

TO REDUCE THE DEVELOPMENT OF DRUG-RESISTANT BACTERIA AND MAINTAIN THE EFFECTIVENESS OF CEFAZOLIN FOR INJECTION, USP AND OTHER ANTIBACTERIAL DRUGS, CEFAZOLIN FOR INJECTION, USP SHOULD BE USED ONLY TO TREAT OR PREVENT INFECTIONS THAT ARE PROVEN OR STRONGLY SUSPECTED TO BE CAUSED BY BACTERIA.

Warnings

BEFORE THERAPY WITH CEFAZOLIN FOR INJECTION, USP IS INSTITUTED, CAREFUL INQUIRY SHOULD BE MADE TO DETERMINE WHETHER THE PATIENT HAS HAD PREVIOUS HYPERSENSITIVITY REACTIONS TO CEFAZOLIN, CEPHALOSPORINS, PENICILLINS, OR OTHER DRUGS. IF THIS PRODUCT IS GIVEN TO PENICILLIN-SENSITIVE PATIENTS, CAUTION SHOULD BE EXERCISED BECAUSE CROSS-HYPERSENSITIVITY AMONG BETA-LACTAM ANTIBIOTICS HAS BEEN CLEARLY DOCUMENTED AND MAY OCCUR IN UP TO 10% OF PATIENTS WITH A HISTORY OF PENICILLIN ALLERGY. IF AN ALLERGIC REACTION TO CEFAZOLIN FOR INJECTION, USP OCCURS, DISCONTINUE TREATMENT WITH THE DRUG. SERIOUS ACUTE HYPERSENSITIVITY REACTIONS MAY REQUIRE TREATMENT WITH EPINEPHRINE AND OTHER EMERGENCY MEASURES, INCLUDING OXYGEN, IV FLUIDS, IV ANTIHISTAMINES, CORTICOSTEROIDS, PRESSOR AMINES, AND AIRWAY MANAGEMENT, AS CLINICALLY INDICATED.

Pseudomembranous colitis has been reported with nearly all antibacterial agents, including cefazolin, and may range in severity from mild to life-threatening. Therefore, it is important to consider this diagnosis in patients who present with diarrhea subsequent to the administration of antibacterial agents.

Treatment with antibacterial agents alters the normal flora of the colon and may permit overgrowth of clostridia. Studies indicate that a toxin produced by Clostridium difficile is a primary cause of "antibiotic-associated colitis."

After the diagnosis of pseudomembranous colitis has been established, therapeutic measures should be initiated. Mild cases of pseudomembranous colitis usually respond to drug discontinuation alone. In moderate to severe cases, consideration should be given to management with fluids and electrolytes, protein supplementation, and treatment with an oral antibacterial drug clinically effective against C.difficile colitis.

Precautions

General: Prolonged use of Cefazolin for Injection, USP may result in the overgrowth of nonsusceptible organisms. Careful clinical observation of the patient is essential.

When Cefazolin for Injection, USP is administered to patients with low urinary output because of impaired renal function, lower daily dosage is required (see DOSAGE AND ADMINISTRATION).

As with other β-lactam antibiotics, seizures may occur if inappropriately high doses are administered to patients with impaired renal function (see DOSAGE AND ADMINISTRATION).

Cefazolin for Injection, USP, as with all cephalosporins, should be prescribed with caution in individuals with a history of gastrointestinal disease, particularly colitis.

Cephalosporins may be associated with a fall in prothrombin activity. Those at risk include patients with renal or hepatic impairment or poor nutritional state, as well as patients receiving a protracted course of antimicrobial therapy, and patients previously stabilized on anticoagulant therapy. Prothrombin time should be monitored in patients at risk and exogenous vitamin K administered as indicated.

Prescribing Cefazolin for Injection, USP in the absence of a proven or strongly suspected bacterial infection or a prophylactic indication is unlikely to provide benefit to the patient and increases the risk of the development of drug-resistant bacteria.

Drug Interactions: Probenecid may decrease renal tubular secretion of cephalosporins when used concurrently, resulting in increased and more prolonged cephalosporin blood levels.

Drug/Laboratory Test Interactions: A false positive reaction for glucose in the urine may occur with Benedict's solution, Fehling’s solution or with CLINITEST® tablets, but not with enzyme-based tests such as CLINISTIX®.

Positive direct and indirect antiglobulin (Coombs) tests have occurred; these may also occur in neonates whose mothers received cephalosporins before delivery.

Information for Patients: Patients should be counseled that antibacterial drugs including Cefazolin for Injection, USP, should only be used to treat bacterial infections. They do not treat viral infections (e.g., the common cold). When Cefazolin for Injection, USP is prescribed to treat a bacterial infection, patients should be told that although it is common to feel better early in the course of therapy, the medication should be taken exactly as directed. Skipping doses or not completing the full course of therapy may: (1) decrease the effectiveness of the immediate treatment, and (2) increase the likelihood that bacteria will develop resistance and will not be treatable by Cefazolin for Injection, USP or other antibacterial drugs in the future.

Carcinogenesis/Mutagenesis: Mutagenicity studies and long-term studies in animals to determine the carcinogenic potential of Cefazolin for Injection, USP have not been performed.

Pregnancy: Teratogenic Effects: Pregnancy Category B. Reproduction studies have been performed in rats, mice and rabbits at doses up to 25 times the human dose and have revealed no evidence of impaired fertility or harm to the fetus due to Cefazolin for Injection, USP. There are, however, no adequate and well-controlled studies in pregnant women. Because animal reproduction studies are not always predictive of human response, this drug should be used during pregnancy only if clearly needed.

Labor and Delivery: When cefazolin has been administered prior to caesarean section, drug levels in cord blood have been approximately one quarter to one third of maternal drug levels. The drug appears to have no adverse effect on the fetus.

Nursing Mothers: Cefazolin for Injection, USP is present in very low concentrations in the milk of nursing mothers. Caution should be exercised when Cefazolin for Injection, USP is administered to a nursing woman.

Pediatric Use: Safety and effectiveness for use in premature infants and neonates have not been established. See DOSAGE AND ADMINISTRATION for recommended dosage in pediatric patients older than 1 month.

Geriatric Use: Of the 920 subjects who received Cefazolin for Injection, USP in clinical studies, 313 (34%) were 65 years and over, while 138 (15%) were 75 years and over. No overall differences in safety or effectiveness were observed between these subjects and younger subjects. Other reported clinical experience has not identified differences in responses between the elderly and younger patients, but greater sensitivity of some older individuals cannot be ruled out.

This drug is known to be substantially excreted by the kidney, and the risk of toxic reactions to this drug may be greater in patients with impaired renal function. Because elderly patients are more likely to have decreased renal function, care should be taken in dose selection, and it may be useful to monitor renal function (see PRECAUTIONS, GENERAL and DOSAGE ANDADMINISTRATION).

Sample Package Label

Clinical Pharmacology

After intramuscular administration of Cefazolin for Injection, USP to normal volunteers, the mean serum concentrations were 37 mcg/mL at 1 hour and 3 mcg/mL at 8 hours following a 500-mg dose, and 64 mcg/mL at 1 hour and 7 mcg/mL at 8 hours following a 1-gram dose.

Studies have shown that following intravenous administration of Cefazolin for Injection, USP to normal volunteers, mean serum concentrations peaked at approximately 185 mcg/mL and were approximately 4 mcg/mL at 8 hours for a 1-gram dose.

The serum half-life for Cefazolin for Injection, USP is approximately 1.8 hours following IV administration and approximately 2.0 hours following IM administration.

In a study (using normal volunteers) of constant intravenous infusion with dosages of 3.5 mg/kg for 1 hour (approximately 250 mg) and 1.5 mg/kg the next 2 hours (approximately 100 mg), Cefazolin for Injection, USP produced a steady serum level at the third hour of approximately 28 mcg/mL.

Studies in patients hospitalized with infections indicate that Cefazolin for Injection, USP produces mean peak serum levels approximately equivalent to those seen in normal volunteers.

Bile levels in patients without obstructive biliary disease can reach or exceed serum levels by up to 5 times; however, in patients with obstructive biliary disease, bile levels of Cefazolin for Injection, USP are considerably lower than serum levels (< 1.0 mcg/mL).

In synovial fluid, the level of Cefazolin for Injection, USP becomes comparable to that reached in serum at about 4 hours after drug administration.

Studies of cord blood show prompt transfer of Cefazolin for Injection, USP across the placenta. Cefazolin for Injection, USP is present in very low concentrations in the milk of nursing mothers.

Cefazolin for Injection, USP is excreted unchanged in the urine. In the first 6 hours approximately 60% of the drug is excreted in the urine and this increases to 70% to 80% within 24 hours. Cefazolin for Injection, USP achieves peak urine concentrations of approximately 2,400 mcg/mL and 4,000 mcg/mL respectively following 500-mg and 1-gram intramuscular doses.

In patients undergoing peritoneal dialysis (2 L/hr.), Cefazolin for Injection, USP produced mean serum levels of approximately 10 and 30 mcg/mL after 24 hours’ instillation of a dialyzing solution containing 50 mg/L and 150 mg/L, respectively. Mean peak levels were 29 mcg/mL (range 13 to 44 mcg/mL) with 50 mg/L (3 patients), and 72 mcg/mL (range 26 to 142 mcg/mL) with 150 mg/L (6 patients). Intraperitoneal administration of Cefazolin for Injection, USP is usually well tolerated.

Controlled studies on adult normal volunteers, receiving 1 gram 4 times a day for 10 days, monitoring CBC, SGOT, SGPT, bilirubin, alkaline phosphatase, BUN, creatinine, and urinalysis, indicated no clinically significant changes attributed to Cefazolin for Injection, USP.

Microbiology

Mechanism of Action

Cefazolin is a bactericidal agent that acts by inhibition of bacterial cell wall synthesis.

Resistance

Predominant mechanisms of bacterial resistance to cephalosporins include the presence of extended-spectrum beta-lactamases and enzymatic hydrolysis.

Antimicrobial Activity

Cefazolin has been shown to be active against most isolates of the following microorganisms, both in vitro and in clinical infections as described in the INDICATIONS AND USAGE section.

  • Gram-Positive Bacteria
  •  Staphylococcus aureus
  •  Staphylococcus epidermidis
  •  Streptococcus agalactiae
  •  Streptococcus pneumoniae
  •  Streptococcus pyogenes

Methicillin-resistant staphylococci are uniformly resistant to cefazolin.

  • Gram-Negative Bacteria
  • Escherichia coli
  • Proteus mirabilis

Most isolates of indole positive Proteus (Proteus vulgaris), Enterobacter spp., Morganella morganii, Providencia rettgeri, Serratia spp., and Pseudomonas spp. are resistant to cefazolin.

Susceptibility Testing

For specific information regarding susceptibility test interpretive criteria and associated test methods and quality control standards recognized by FDA for this drug, please see: https://www.fda.gov/STIC.

Dosage and Administration 

*In rare instances, doses of up to 12 grams of Cefazolin for Injection, USP per day have been used.

Perioperative Prophylactic Use: To prevent postoperative infection in contaminated or potentially contaminated surgery, recommended doses are:

a. 1 gram IV or IM administered ½ hour to 1 hour prior to the start of surgery.

b. For lengthy operative procedures (e.g., 2 hours or more), 500 mg to 1 gram IV or IM during surgery (administration modified depending on the duration of the operative procedure).

c. 500 mg to 1 gram IV or IM every 6 to 8 hours for 24 hours postoperatively.

It is important that (1) the preoperative dose be given just (½ to 1 hour) prior to the start of surgery so that adequate antibiotic levels are present in the serum and tissues at the time of initial surgical incision; and (2) Cefazolin for Injection, USP be administered, if necessary, at appropriate intervals during surgery to provide sufficient levels of the antibiotic at the anticipated moments of greatest exposure to infective organisms.

In surgery where the occurrence of infection may be particularly devastating (e.g., open-heart surgery and prosthetic arthroplasty), the prophylactic administration of Cefazolin for Injection, USP may be continued for 3 to 5 days following the completion of surgery.

Dosage Adjustment for Patients With Reduced Renal Function: Cefazolin for Injection, USP may be used in patients with reduced renal function with the following dosage adjustments: Patients with a creatinine clearance of 55 mL/min. or greater or a serum creatinine of 1.5 mg % or less can be given full doses. Patients with creatinine clearance rates of 35 to 54 mL/min. or serum creatinine of 1.6 to 3.0 mg % can also be given full doses but dosage should be restricted to at least 8 hour intervals. Patients with creatinine clearance rates of 11 to 34 mL/min. or serum creatinine of 3.1 to 4.5 mg % should be given ½ the usual dose every 12 hours. Patients with creatinine clearance rates of 10 mL/min. or less or serum creatinine of 4.6 mg % or greater should be given ½ the usual dose every 18 to 24 hours. All reduced dosage recommendations apply after an initial loading dose appropriate to the severity of the infection. Patients undergoing peritoneal dialysis: See CLINICAL PHARMACOLOGY.

Pediatric Dosage: In pediatric patients, a total daily dosage of 25 to 50 mg per kg (approximately 10 to 20 mg per pound) of body weight, divided into 3 or 4 equal doses, is effective for most mild to moderately severe infections. Total daily dosage may be increased to 100 mg per kg (45 mg per pound) of body weight for severe infections. Since safety for use in premature infants and in neonates has not been established, the use of Cefazolin for Injection, USP in these patients is not recommended.

In pediatric patients with mild to moderate renal impairment (creatinine clearance of 70 to 40 mL/min.), 60 percent of the normal daily dose given in equally divided doses every 12 hours should be sufficient. In patients with moderate impairment (creatinine clearance of 40 to 20 mL/min.), 25 percent of the normal daily dose given in equally divided doses every 12 hours should be adequate. Pediatric patients with severe renal impairment (creatinine clearance of 20 to 5 mL/min.) may be given 10 percent of the normal daily dose every 24 hours. All dosage recommendations apply after an initial loading dose.

RECONSTITUTION

Preparation of Parenteral Solution: Parenteral drug products should be SHAKEN WELL when reconstituted, and inspected visually for particulate matter prior to administration. If particulate matter is evident in reconstituted fluids, the drug solutions should be discarded.

When reconstituted or diluted according to the instructions below, Cefazolin for Injection, USP is stable for 24 hours at room temperature or for 10 days if stored under refrigeration (5°C or 41 °F). Reconstituted solutions may range in color from pale yellow to yellow without a change in potency.

Single-Dose Vials: For IM injection, IV direct (bolus) injection or IV infusion, reconstitute with Sterile Water for Injection according to the following table. SHAKE WELL.

ADMINISTRATION

Intramuscular Administration: Reconstitute vials with Sterile Water for Injection according to the dilution table above. Shake well until  dissolved. Cefazolin for Injection, USP should be injected into a large muscle mass. Pain on injection is infrequent with Cefazolin for Injection, USP.

Intravenous Administration: Direct (bolus) injection: Following reconstitution according to the above table, further dilute vials with approximately 5 mL Sterile Water for Injection. Inject the solution slowly over 3 to 5 minutes, directly or through tubing for patients receiving parenteral fluids (see list below).

Intermittent or continuous infusion: Dilute reconstituted Cefazolin for Injection, USP in 50 to 100 mL of 1 of the following solutions:

Sodium Chloride Injection, USP

5% or 10% Dextrose Injection, USP

5% Dextrose in Lactated Ringer's Injection, USP

5% Dextrose and 0.9% Sodium Chloride Injection, USP

5% Dextrose and 0.45% Sodium Chloride Injection, USP

5% Dextrose and 0.2% Sodium Chloride Injection, USP

Lactated Ringer's Injection, USP

Invert Sugar 5% or 10% in Sterile Water for Injection

Ringer's Injection, USP

5% Sodium Bicarbonate Injection, USP


Structured Label Content

Section 42229-5 (42229-5)

TO REDUCE THE DEVELOPMENT OF DRUG-RESISTANT BACTERIA AND MAINTAIN THE EFFECTIVENESS OF CEFAZOLIN FOR INJECTION, USP AND OTHER ANTIBACTERIAL DRUGS, CEFAZOLIN FOR INJECTION, USP SHOULD BE USED ONLY TO TREAT OR PREVENT INFECTIONS THAT ARE PROVEN OR STRONGLY SUSPECTED TO BE CAUSED BY BACTERIA.

Warnings

BEFORE THERAPY WITH CEFAZOLIN FOR INJECTION, USP IS INSTITUTED, CAREFUL INQUIRY SHOULD BE MADE TO DETERMINE WHETHER THE PATIENT HAS HAD PREVIOUS HYPERSENSITIVITY REACTIONS TO CEFAZOLIN, CEPHALOSPORINS, PENICILLINS, OR OTHER DRUGS. IF THIS PRODUCT IS GIVEN TO PENICILLIN-SENSITIVE PATIENTS, CAUTION SHOULD BE EXERCISED BECAUSE CROSS-HYPERSENSITIVITY AMONG BETA-LACTAM ANTIBIOTICS HAS BEEN CLEARLY DOCUMENTED AND MAY OCCUR IN UP TO 10% OF PATIENTS WITH A HISTORY OF PENICILLIN ALLERGY. IF AN ALLERGIC REACTION TO CEFAZOLIN FOR INJECTION, USP OCCURS, DISCONTINUE TREATMENT WITH THE DRUG. SERIOUS ACUTE HYPERSENSITIVITY REACTIONS MAY REQUIRE TREATMENT WITH EPINEPHRINE AND OTHER EMERGENCY MEASURES, INCLUDING OXYGEN, IV FLUIDS, IV ANTIHISTAMINES, CORTICOSTEROIDS, PRESSOR AMINES, AND AIRWAY MANAGEMENT, AS CLINICALLY INDICATED.

Pseudomembranous colitis has been reported with nearly all antibacterial agents, including cefazolin, and may range in severity from mild to life-threatening. Therefore, it is important to consider this diagnosis in patients who present with diarrhea subsequent to the administration of antibacterial agents.

Treatment with antibacterial agents alters the normal flora of the colon and may permit overgrowth of clostridia. Studies indicate that a toxin produced by Clostridium difficile is a primary cause of "antibiotic-associated colitis."

After the diagnosis of pseudomembranous colitis has been established, therapeutic measures should be initiated. Mild cases of pseudomembranous colitis usually respond to drug discontinuation alone. In moderate to severe cases, consideration should be given to management with fluids and electrolytes, protein supplementation, and treatment with an oral antibacterial drug clinically effective against C.difficile colitis.

Description

Cefazolin for Injection, USP is a semi-synthetic cephalosporin for parenteral administration. It is the sodium salt of 3-{[(5-methyl-1,3,4-thiadiazol-2-yl)thio]-methyl}-8-oxo-7-[2-(1H-tetrazol-1-yl) acetamido]-5-thia-1-azabicyclo [4.2.0]oct-2-ene-2-carboxylic acid.

Structural Formula:

The sodium content is 48 mg (2 mEq sodium ion) per 1 gram of cefazolin.

Cefazolin for Injection, USP is a sterile white or off-white powder or crystalline powder containing Cefazolin Sodium USP supplied in vials equivalent to 1 gram or 2 grams of cefazolin.

Precautions

General: Prolonged use of Cefazolin for Injection, USP may result in the overgrowth of nonsusceptible organisms. Careful clinical observation of the patient is essential.

When Cefazolin for Injection, USP is administered to patients with low urinary output because of impaired renal function, lower daily dosage is required (see DOSAGE AND ADMINISTRATION).

As with other β-lactam antibiotics, seizures may occur if inappropriately high doses are administered to patients with impaired renal function (see DOSAGE AND ADMINISTRATION).

Cefazolin for Injection, USP, as with all cephalosporins, should be prescribed with caution in individuals with a history of gastrointestinal disease, particularly colitis.

Cephalosporins may be associated with a fall in prothrombin activity. Those at risk include patients with renal or hepatic impairment or poor nutritional state, as well as patients receiving a protracted course of antimicrobial therapy, and patients previously stabilized on anticoagulant therapy. Prothrombin time should be monitored in patients at risk and exogenous vitamin K administered as indicated.

Prescribing Cefazolin for Injection, USP in the absence of a proven or strongly suspected bacterial infection or a prophylactic indication is unlikely to provide benefit to the patient and increases the risk of the development of drug-resistant bacteria.

Drug Interactions: Probenecid may decrease renal tubular secretion of cephalosporins when used concurrently, resulting in increased and more prolonged cephalosporin blood levels.

Drug/Laboratory Test Interactions: A false positive reaction for glucose in the urine may occur with Benedict's solution, Fehling’s solution or with CLINITEST® tablets, but not with enzyme-based tests such as CLINISTIX®.

Positive direct and indirect antiglobulin (Coombs) tests have occurred; these may also occur in neonates whose mothers received cephalosporins before delivery.

Information for Patients: Patients should be counseled that antibacterial drugs including Cefazolin for Injection, USP, should only be used to treat bacterial infections. They do not treat viral infections (e.g., the common cold). When Cefazolin for Injection, USP is prescribed to treat a bacterial infection, patients should be told that although it is common to feel better early in the course of therapy, the medication should be taken exactly as directed. Skipping doses or not completing the full course of therapy may: (1) decrease the effectiveness of the immediate treatment, and (2) increase the likelihood that bacteria will develop resistance and will not be treatable by Cefazolin for Injection, USP or other antibacterial drugs in the future.

Carcinogenesis/Mutagenesis: Mutagenicity studies and long-term studies in animals to determine the carcinogenic potential of Cefazolin for Injection, USP have not been performed.

Pregnancy: Teratogenic Effects: Pregnancy Category B. Reproduction studies have been performed in rats, mice and rabbits at doses up to 25 times the human dose and have revealed no evidence of impaired fertility or harm to the fetus due to Cefazolin for Injection, USP. There are, however, no adequate and well-controlled studies in pregnant women. Because animal reproduction studies are not always predictive of human response, this drug should be used during pregnancy only if clearly needed.

Labor and Delivery: When cefazolin has been administered prior to caesarean section, drug levels in cord blood have been approximately one quarter to one third of maternal drug levels. The drug appears to have no adverse effect on the fetus.

Nursing Mothers: Cefazolin for Injection, USP is present in very low concentrations in the milk of nursing mothers. Caution should be exercised when Cefazolin for Injection, USP is administered to a nursing woman.

Pediatric Use: Safety and effectiveness for use in premature infants and neonates have not been established. See DOSAGE AND ADMINISTRATION for recommended dosage in pediatric patients older than 1 month.

Geriatric Use: Of the 920 subjects who received Cefazolin for Injection, USP in clinical studies, 313 (34%) were 65 years and over, while 138 (15%) were 75 years and over. No overall differences in safety or effectiveness were observed between these subjects and younger subjects. Other reported clinical experience has not identified differences in responses between the elderly and younger patients, but greater sensitivity of some older individuals cannot be ruled out.

This drug is known to be substantially excreted by the kidney, and the risk of toxic reactions to this drug may be greater in patients with impaired renal function. Because elderly patients are more likely to have decreased renal function, care should be taken in dose selection, and it may be useful to monitor renal function (see PRECAUTIONS, GENERAL and DOSAGE ANDADMINISTRATION).

How Supplied

Each vial of Cefazolin for Injection, USP contains cefazolin sodium equivalent to 1 gram 2 grams, or 3 grams cefazolin.

NDC 60505-6142-5, 1 gram, carton of 25 vials

NDC 60505-6231-5, 2 grams, carton of 25 vials

NDC 60505-6266-5, 3 grams, carton of 25 vials

As with other cephalosporins, cefazolin tends to darken depending on storage conditions; within the stated recommendations, however, product potency is not adversely affected.

Before reconstitution protect from light and store at 20° to 25° C (68° to 77°F) [See USP Controlled Room Temperature].

CLINITEST is a registered trademark of Miles, Inc.

CLINISTIX is a registered trademark of Bayer Corporation.

Product repackaged by: Henry Schein, Inc., Bastian, VA 24314 
From Original Manufacturer/Distributor's NDC and Unit of Sale To Henry Schein Repackaged Product NDC and Unit of Sale Total Strength/Total Volume (Concentration) per unit
NDC 60505-6142-5

Carton of 25 vials
NDC 0404-9833-99

1 vial in a bag

(Vial bears NDC 60505-6142-0)

1 gram

Manufactured by:

Manufactured by:

Qilu Pharmaceutical Co., Ltd.

High Tech Zone

Jinan, 250101, China

Manufactured for:

Apotex Corp.

Weston, Florida, USA 33326

Code number: 34040001011G

Rev 12/22

Adverse Reactions

The following reactions have been reported:

Gastrointestinal: Diarrhea, oral candidiasis (oral thrush), vomiting, nausea, stomach cramps, anorexia, and pseudomembranous colitis. Onset of pseudomembranous colitis symptoms may occur during or after antibiotic treatment (see WARNINGS). Nausea and vomiting have been reported rarely.

Allergic: Anaphylaxis, eosinophilia, itching, drug fever, skin rash, Stevens-Johnson syndrome.

Hematologic: Neutropenia, leukopenia, thrombocytopenia, thrombocythemia.

Hepatic: Transient rise in SGOT, SGPT, and alkaline phosphatase levels has been observed. As with other cephalosporins, reports of hepatitis have been received.

Renal: As with other cephalosporins, reports of increased BUN and creatinine levels, as well as renal failure, have been received.

Local Reactions: Rare instances of phlebitis have been reported at site of injection. Pain at the site of injection after intramuscular administration has occurred infrequently. Some induration has occurred.

Other Reactions: Genital and anal pruritus (including vulvar pruritus, genital moniliasis, and vaginitis).

To report SUSPECTED ADVERSE REACTIONS, contact Apotex Corp. at 1-800-706-5575 or FDA at 1-800-FDA-1088 or www.fda.gov/medwatch.

Contraindications

CEFAZOLIN FOR INJECTION, USP IS CONTRAINDICATED IN PATIENTS WITH KNOWN ALLERGY TO THE CEPHALOSPORIN GROUP OF ANTIBIOTICS.

Sample Package Label (SAMPLE PACKAGE LABEL)

Clinical Pharmacology

After intramuscular administration of Cefazolin for Injection, USP to normal volunteers, the mean serum concentrations were 37 mcg/mL at 1 hour and 3 mcg/mL at 8 hours following a 500-mg dose, and 64 mcg/mL at 1 hour and 7 mcg/mL at 8 hours following a 1-gram dose.

Studies have shown that following intravenous administration of Cefazolin for Injection, USP to normal volunteers, mean serum concentrations peaked at approximately 185 mcg/mL and were approximately 4 mcg/mL at 8 hours for a 1-gram dose.

The serum half-life for Cefazolin for Injection, USP is approximately 1.8 hours following IV administration and approximately 2.0 hours following IM administration.

In a study (using normal volunteers) of constant intravenous infusion with dosages of 3.5 mg/kg for 1 hour (approximately 250 mg) and 1.5 mg/kg the next 2 hours (approximately 100 mg), Cefazolin for Injection, USP produced a steady serum level at the third hour of approximately 28 mcg/mL.

Studies in patients hospitalized with infections indicate that Cefazolin for Injection, USP produces mean peak serum levels approximately equivalent to those seen in normal volunteers.

Bile levels in patients without obstructive biliary disease can reach or exceed serum levels by up to 5 times; however, in patients with obstructive biliary disease, bile levels of Cefazolin for Injection, USP are considerably lower than serum levels (< 1.0 mcg/mL).

In synovial fluid, the level of Cefazolin for Injection, USP becomes comparable to that reached in serum at about 4 hours after drug administration.

Studies of cord blood show prompt transfer of Cefazolin for Injection, USP across the placenta. Cefazolin for Injection, USP is present in very low concentrations in the milk of nursing mothers.

Cefazolin for Injection, USP is excreted unchanged in the urine. In the first 6 hours approximately 60% of the drug is excreted in the urine and this increases to 70% to 80% within 24 hours. Cefazolin for Injection, USP achieves peak urine concentrations of approximately 2,400 mcg/mL and 4,000 mcg/mL respectively following 500-mg and 1-gram intramuscular doses.

In patients undergoing peritoneal dialysis (2 L/hr.), Cefazolin for Injection, USP produced mean serum levels of approximately 10 and 30 mcg/mL after 24 hours’ instillation of a dialyzing solution containing 50 mg/L and 150 mg/L, respectively. Mean peak levels were 29 mcg/mL (range 13 to 44 mcg/mL) with 50 mg/L (3 patients), and 72 mcg/mL (range 26 to 142 mcg/mL) with 150 mg/L (6 patients). Intraperitoneal administration of Cefazolin for Injection, USP is usually well tolerated.

Controlled studies on adult normal volunteers, receiving 1 gram 4 times a day for 10 days, monitoring CBC, SGOT, SGPT, bilirubin, alkaline phosphatase, BUN, creatinine, and urinalysis, indicated no clinically significant changes attributed to Cefazolin for Injection, USP.

Microbiology

Mechanism of Action

Cefazolin is a bactericidal agent that acts by inhibition of bacterial cell wall synthesis.

Resistance

Predominant mechanisms of bacterial resistance to cephalosporins include the presence of extended-spectrum beta-lactamases and enzymatic hydrolysis.

Antimicrobial Activity

Cefazolin has been shown to be active against most isolates of the following microorganisms, both in vitro and in clinical infections as described in the INDICATIONS AND USAGE section.

  • Gram-Positive Bacteria
  •  Staphylococcus aureus
  •  Staphylococcus epidermidis
  •  Streptococcus agalactiae
  •  Streptococcus pneumoniae
  •  Streptococcus pyogenes

Methicillin-resistant staphylococci are uniformly resistant to cefazolin.

  • Gram-Negative Bacteria
  • Escherichia coli
  • Proteus mirabilis

Most isolates of indole positive Proteus (Proteus vulgaris), Enterobacter spp., Morganella morganii, Providencia rettgeri, Serratia spp., and Pseudomonas spp. are resistant to cefazolin.

Susceptibility Testing

For specific information regarding susceptibility test interpretive criteria and associated test methods and quality control standards recognized by FDA for this drug, please see: https://www.fda.gov/STIC.

Indications and Usage

Cefazolin for Injection, USP is indicated in the treatment of the following serious infections due to susceptible organisms:

Respiratory Tract Infections: Due to S. pneumoniae, Klebsiella species, H. influenzae, S. aureus (penicillin-sensitive and penicillin-resistant), and group A beta-hemolytic streptococci.

Injectable benzathine penicillin is considered to be the drug of choice in treatment and prevention of streptococcal infections, including the prophylaxis of rheumatic fever.

Cefazolin for Injection, USP is effective in the eradication of streptococci from the nasopharynx; however, data establishing the efficacy of Cefazolin for Injection, USP in the subsequent prevention of rheumatic fever are not available at present.

Urinary Tract Infections: Due to E. coli, P. mirabilis, Klebsiella species, and some strains of enterobacter and enterococci.

Skin and Skin Structure Infections: Due to S.aureus (penicillin-sensitive and penicillin-resistant), group A beta-hemolytic streptococci, and other strains of streptococci.

Biliary Tract Infections: Due to E. coli, various strains of streptococci, P. mirabilis, Klebsiella species, and S. aureus.

Bone and Joint Infections: Due to S. aureus.

Genital Infections: (i.e., prostatitis, epididymitis) due to E. coli, P. mirabilis, Klebsiella species, and some strains of enterococci.

Septicemia: Due to S. pneumoniae, S. aureus (penicillin-sensitive and penicillin-resistant), P. mirabilis, E. coli, and Klebsiella species.

Endocarditis: Due to S. aureus (penicillin-sensitive and penicillin-resistant) and group A beta-hemolytic streptococci.

Perioperative Prophylaxis: The prophylactic administration of Cefazolin for Injection, USP preoperatively, intraoperatively, and postoperatively may reduce the incidence of certain postoperative infections in patients undergoing surgical procedures which are classified as contaminated or potentially contaminated (e.g., vaginal hysterectomy, and cholecystectomy in high-risk patients such as those older than 70 years, with acute cholecystitis, obstructive jaundice, or common duct bile stones).

The perioperative use of Cefazolin for Injection, USP may also be effective in surgical patients in whom infection at the operative site would present a serious risk (e.g., during open-heart surgery and prosthetic arthroplasty).

The prophylactic administration of Cefazolin for Injection, USP should usually be discontinued within a 24-hour period after the surgical procedure. In surgery where the occurrence of infection may be particularly devastating (e.g., open-heart surgery and prosthetic arthroplasty), the prophylactic administration of Cefazolin for Injection, USP may be continued for 3 to 5 days following the completion of surgery.

If there are signs of infection, specimens for cultures should be obtained for the identification of the causative organism so that appropriate therapy may be instituted. (See DOSAGE AND ADMINISTRATION.)

To reduce the development of drug-resistant bacteria and maintain the effectiveness of Cefazolin for Injection, USP and other antibacterial drugs, Cefazolin for Injection, USP should be used only to treat or prevent infections that are proven or strongly suspected to be caused by susceptible bacteria. When culture and susceptibility information are available, they should be considered in selecting or modifying antibacterial therapy. In the absence of such data, local epidemiology and susceptibility patterns may contribute to the empiric selection of therapy.

Dosage and Administration 

*In rare instances, doses of up to 12 grams of Cefazolin for Injection, USP per day have been used.

Perioperative Prophylactic Use: To prevent postoperative infection in contaminated or potentially contaminated surgery, recommended doses are:

a. 1 gram IV or IM administered ½ hour to 1 hour prior to the start of surgery.

b. For lengthy operative procedures (e.g., 2 hours or more), 500 mg to 1 gram IV or IM during surgery (administration modified depending on the duration of the operative procedure).

c. 500 mg to 1 gram IV or IM every 6 to 8 hours for 24 hours postoperatively.

It is important that (1) the preoperative dose be given just (½ to 1 hour) prior to the start of surgery so that adequate antibiotic levels are present in the serum and tissues at the time of initial surgical incision; and (2) Cefazolin for Injection, USP be administered, if necessary, at appropriate intervals during surgery to provide sufficient levels of the antibiotic at the anticipated moments of greatest exposure to infective organisms.

In surgery where the occurrence of infection may be particularly devastating (e.g., open-heart surgery and prosthetic arthroplasty), the prophylactic administration of Cefazolin for Injection, USP may be continued for 3 to 5 days following the completion of surgery.

Dosage Adjustment for Patients With Reduced Renal Function: Cefazolin for Injection, USP may be used in patients with reduced renal function with the following dosage adjustments: Patients with a creatinine clearance of 55 mL/min. or greater or a serum creatinine of 1.5 mg % or less can be given full doses. Patients with creatinine clearance rates of 35 to 54 mL/min. or serum creatinine of 1.6 to 3.0 mg % can also be given full doses but dosage should be restricted to at least 8 hour intervals. Patients with creatinine clearance rates of 11 to 34 mL/min. or serum creatinine of 3.1 to 4.5 mg % should be given ½ the usual dose every 12 hours. Patients with creatinine clearance rates of 10 mL/min. or less or serum creatinine of 4.6 mg % or greater should be given ½ the usual dose every 18 to 24 hours. All reduced dosage recommendations apply after an initial loading dose appropriate to the severity of the infection. Patients undergoing peritoneal dialysis: See CLINICAL PHARMACOLOGY.

Pediatric Dosage: In pediatric patients, a total daily dosage of 25 to 50 mg per kg (approximately 10 to 20 mg per pound) of body weight, divided into 3 or 4 equal doses, is effective for most mild to moderately severe infections. Total daily dosage may be increased to 100 mg per kg (45 mg per pound) of body weight for severe infections. Since safety for use in premature infants and in neonates has not been established, the use of Cefazolin for Injection, USP in these patients is not recommended.

In pediatric patients with mild to moderate renal impairment (creatinine clearance of 70 to 40 mL/min.), 60 percent of the normal daily dose given in equally divided doses every 12 hours should be sufficient. In patients with moderate impairment (creatinine clearance of 40 to 20 mL/min.), 25 percent of the normal daily dose given in equally divided doses every 12 hours should be adequate. Pediatric patients with severe renal impairment (creatinine clearance of 20 to 5 mL/min.) may be given 10 percent of the normal daily dose every 24 hours. All dosage recommendations apply after an initial loading dose.

RECONSTITUTION

Preparation of Parenteral Solution: Parenteral drug products should be SHAKEN WELL when reconstituted, and inspected visually for particulate matter prior to administration. If particulate matter is evident in reconstituted fluids, the drug solutions should be discarded.

When reconstituted or diluted according to the instructions below, Cefazolin for Injection, USP is stable for 24 hours at room temperature or for 10 days if stored under refrigeration (5°C or 41 °F). Reconstituted solutions may range in color from pale yellow to yellow without a change in potency.

Single-Dose Vials: For IM injection, IV direct (bolus) injection or IV infusion, reconstitute with Sterile Water for Injection according to the following table. SHAKE WELL.

ADMINISTRATION

Intramuscular Administration: Reconstitute vials with Sterile Water for Injection according to the dilution table above. Shake well until  dissolved. Cefazolin for Injection, USP should be injected into a large muscle mass. Pain on injection is infrequent with Cefazolin for Injection, USP.

Intravenous Administration: Direct (bolus) injection: Following reconstitution according to the above table, further dilute vials with approximately 5 mL Sterile Water for Injection. Inject the solution slowly over 3 to 5 minutes, directly or through tubing for patients receiving parenteral fluids (see list below).

Intermittent or continuous infusion: Dilute reconstituted Cefazolin for Injection, USP in 50 to 100 mL of 1 of the following solutions:

Sodium Chloride Injection, USP

5% or 10% Dextrose Injection, USP

5% Dextrose in Lactated Ringer's Injection, USP

5% Dextrose and 0.9% Sodium Chloride Injection, USP

5% Dextrose and 0.45% Sodium Chloride Injection, USP

5% Dextrose and 0.2% Sodium Chloride Injection, USP

Lactated Ringer's Injection, USP

Invert Sugar 5% or 10% in Sterile Water for Injection

Ringer's Injection, USP

5% Sodium Bicarbonate Injection, USP


Advanced Ingredient Data


Raw Label Data

All Sections (JSON)