These Highlights Do Not Include All The Information Needed To Use Metronidazole Gel Safely And Effectively. See Full Prescribing Information For Metronidazole Gel.

These Highlights Do Not Include All The Information Needed To Use Metronidazole Gel Safely And Effectively. See Full Prescribing Information For Metronidazole Gel.
SPL v5
SPL
SPL Set ID 5842a554-58d1-4ee4-99aa-1e6029a69be2
Route
TOPICAL
Published
Effective Date 2023-01-22
Document Type 34391-3 HUMAN PRESCRIPTION DRUG LABEL

Drug Facts

Composition & Product

Active Ingredients
Metronidazole (10 mg)
Inactive Ingredients
Alcohol Edetate Disodium Polyethylene Glycol 400 Propylene Glycol Water Sorbic Acid

Identifiers & Packaging

Pill Appearance
Color: yellow
Marketing Status
ANDA Active Since 2019-04-09

Description

Metronidazole Gel USP, 1% is indicated for the topical treatment of inflammatory lesions of rosacea.

Indications and Usage

Metronidazole Gel USP, 1% is indicated for the topical treatment of inflammatory lesions of rosacea.

Dosage and Administration

For topical use only, not for oral, ophthalmic, or intravaginal use. Cleanse treated areas before the application of metronidazole gel. Apply and rub in a thin film of metronidazole gel once daily to affected area(s). Cosmetics may be applied after the application of metronidazole gel.

Warnings and Precautions

• Neurologic Disease: Peripheral neuropathy, characterized by numbness or paresthesia of an extremity has been reported in patients treated with systemic metronidazole. Peripheral neuropathy has been reported with the post approval use of topical metronidazole. The appearance of abnormal neurologic signs should prompt immediate reevaluation of metronidazole therapy. ( 5.1 ) • Blood Dyscrasias: Metronidazole is a nitroimidazole and should be used with care in patients with evidence of, or history of, blood dyscrasia. ( 5.2 ) • Contact Dermatitis: If dermatitis occurs, patients may need to discontinue use. ( 5.3 ) • Eye Irritation: Topical metronidazole has been reported to cause tearing of the eyes. Therefore, avoid contact with the eyes. ( 5.4 )

Contraindications

Metronidazole gel is contraindicated in patients with a history of hypersensitivity to metronidazole or to any other ingredient in the formulation.

Adverse Reactions

Most common adverse reactions (incidence > 2%) are nasopharyngitis, upper respiratory tract infection, and headache. ( 6 ) To report SUSPECTED ADVERSE REACTIONS, contact Taro Pharmaceuticals U.S.A., Inc. at 1-866-923-4914 or FDA at 1-800-FDA-1088 or www.fda.gov/medwatch.

Drug Interactions

Oral metronidazole has been reported to potentiate the anticoagulant effect of coumarin and warfarin, resulting in a prolongation of prothrombin time. Drug interactions should be kept in mind when metronidazole is prescribed for patients who are receiving anticoagulant treatment, although they are less likely to occur with topical metronidazole administration because of low absorption.

How Supplied

Metronidazole Gel USP, 1% is colorless to slightly yellow in color, and supplied as follows: 45 gram tube - (NDC 51672-4215-6) 60 gram tube - (NDC 51672-4215-3) 55 gram pump - (NDC 51672-4215-9)


Medication Information

Warnings and Precautions

• Neurologic Disease: Peripheral neuropathy, characterized by numbness or paresthesia of an extremity has been reported in patients treated with systemic metronidazole. Peripheral neuropathy has been reported with the post approval use of topical metronidazole. The appearance of abnormal neurologic signs should prompt immediate reevaluation of metronidazole therapy. ( 5.1 ) • Blood Dyscrasias: Metronidazole is a nitroimidazole and should be used with care in patients with evidence of, or history of, blood dyscrasia. ( 5.2 ) • Contact Dermatitis: If dermatitis occurs, patients may need to discontinue use. ( 5.3 ) • Eye Irritation: Topical metronidazole has been reported to cause tearing of the eyes. Therefore, avoid contact with the eyes. ( 5.4 )

Indications and Usage

Metronidazole Gel USP, 1% is indicated for the topical treatment of inflammatory lesions of rosacea.

Dosage and Administration

For topical use only, not for oral, ophthalmic, or intravaginal use. Cleanse treated areas before the application of metronidazole gel. Apply and rub in a thin film of metronidazole gel once daily to affected area(s). Cosmetics may be applied after the application of metronidazole gel.

Contraindications

Metronidazole gel is contraindicated in patients with a history of hypersensitivity to metronidazole or to any other ingredient in the formulation.

Adverse Reactions

Most common adverse reactions (incidence > 2%) are nasopharyngitis, upper respiratory tract infection, and headache. ( 6 ) To report SUSPECTED ADVERSE REACTIONS, contact Taro Pharmaceuticals U.S.A., Inc. at 1-866-923-4914 or FDA at 1-800-FDA-1088 or www.fda.gov/medwatch.

Drug Interactions

Oral metronidazole has been reported to potentiate the anticoagulant effect of coumarin and warfarin, resulting in a prolongation of prothrombin time. Drug interactions should be kept in mind when metronidazole is prescribed for patients who are receiving anticoagulant treatment, although they are less likely to occur with topical metronidazole administration because of low absorption.

How Supplied

Metronidazole Gel USP, 1% is colorless to slightly yellow in color, and supplied as follows: 45 gram tube - (NDC 51672-4215-6) 60 gram tube - (NDC 51672-4215-3) 55 gram pump - (NDC 51672-4215-9)

Description

Metronidazole Gel USP, 1% is indicated for the topical treatment of inflammatory lesions of rosacea.

Section 42229-5

Risk Summary

Available data have not established an association with metronidazole use during pregnancy and major birth defects, miscarriage or other adverse maternal or fetal outcomes. No fetotoxicity was observed after oral administration of metronidazole in pregnant rats or mice. The available data do not allow the calculation of relevant comparisons between the systemic exposures of metronidazole observed in animal studies to the systemic exposures that would be expected in humans after topical use of metronidazole.

The background risk of major birth defects and miscarriage for the indicated population is unknown. All pregnancies have a background risk of birth defect, loss, or other adverse outcomes. In the U.S. general population, the estimated background risk of major birth defects and miscarriage in clinically recognized pregnancies is 2 to 4% and 15 to 20%, respectively.

Section 42230-3
PATIENT INFORMATION

Metronidazole

(me troe ni⸍ da zole)

Gel, 1%
This Patient Information has been approved by the U.S. Food and Drug Administration.
Revised: December 2022

Important: Metronidazole gel is for use on the skin only (topical use). Do not use metronidazole gel in your mouth, eyes, or vagina.

  •  
    What is metronidazole gel?

    Metronidazole gel is a prescription medicine used on the skin (topical) to treat pimples and bumps (inflammatory lesions) caused by a condition called rosacea.

    It is not known if metronidazole gel is safe and effective in children.
  •  
    Do not use metronidazole gel if you are allergic to metronidazole or any of the ingredients in metronidazole gel. See the end of this leaflet for a complete list of ingredients in metronidazole gel.

Before using metronidazole gel, tell your healthcare provider about all your medical conditions, including if you:

  • have tingling or numbness in your hands or feet
  • have or have had a blood disorder or disease
  • are pregnant or plan to become pregnant. It is not known if metronidazole gel will harm your unborn baby.
  • are breastfeeding or plan to breastfeed. It is not known if metronidazole gel passes into your breast milk. Do not breastfeed during treatment with metronidazole gel. Talk to your healthcare provider about the best way to feed your baby during treatment with metronidazole gel.

Tell your healthcare provider about all of the medicines you take, including prescription and over-the-counter medicines, vitamins, and herbal supplements.

Know the medicines you take. Keep a list of them to show your healthcare provider and pharmacist when you get a new medicine.

How should I use metronidazole gel?

  • Use metronidazole gel exactly as your healthcare provider tells you to.
  • Cleanse the treated area before applying metronidazole gel.
  • Apply and rub in a thin film of metronidazole gel 1 time a day to the affected area(s).
  • You can apply cosmetics after applying metronidazole gel.
  • Avoid contact of metronidazole gel with your eyes.

What are the possible side effects of metronidazole gel?

Metronidazole gel may cause serious side effects, including:

  • Peripheral neuropathy. Tingling, burning, pain or numbness in the hands or feet (peripheral neuropathy) have happened in people treated with metronidazole used on the skin. Tell your healthcare provider if you experience tingling, burning, pain or numbness in your hands or feet during treatment with metronidazole gel.
  • Skin reactions, including allergic reactions. Tell your healthcare provider if you develop any skin reactions, including rash, itching, redness, swelling, or blisters during treatment with metronidazole gel.
  • Eye irritation. Tearing from eye irritation has happened in people treated with metronidazole used on the skin. Tell your healthcare provider if you experience tearing, redness or discomfort of the eyes during treatment with metronidazole gel.

The most common side effects of metronidazole gel include:

  • sore throat and nasal congestion
  • upper respiratory tract infections
  • headache
  •  
    Tell your healthcare provider if you get any side effects during treatment with metronidazole gel.

    These are not all of the possible side effects of metronidazole gel.

    Call your doctor for medical advice about side effects. You may report side effects to FDA at 1-800-FDA-1088.

    You may also report side effects to Taro Pharmaceuticals U.S.A., Inc. at 1-866-923-4914.

How should I store metronidazole gel?

  • Store metronidazole gel at room temperature between 68°F to 77°F (20°C to 25°C).

Keep metronidazole gel and all medicines out of the reach of children.

  •  
    General information about the safe and effective use of metronidazole gel.

    Medicines are sometimes prescribed for purposes other than those listed in a Patient Information leaflet. Do not use metronidazole gel for a condition for which it was not prescribed. Do not give metronidazole gel to other people, even if they have the same symptoms that you have. It may harm them. You can ask your pharmacist or healthcare provider for information about metronidazole gel that is written for health professionals.
  •  
    What are the ingredients in metronidazole gel?

    Active ingredient: metronidazole

    Inactive ingredients: alcohol (9.3% w/w), edetate disodium, hydroxyethylcellulose, polyethylene glycol 400, propylene glycol, sorbic acid, and purified water.

    Mfd. by: Taro Pharmaceutical Industries Ltd.

    Haifa Bay, Israel 2624761

    Dist. by: Taro Pharmaceuticals U.S.A., Inc.

    Hawthorne, NY 10532

    For more information, call 1-866-923-4914

5201281-1222-01

782

11 Description

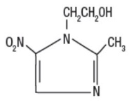
Metronidazole Gel USP, 1% contains metronidazole, USP. It is intended for topical use. Chemically, metronidazole is 2-methyl-5-nitro-1 H-imidazole-1-ethanol. The molecular formula for metronidazole is C6H9N3O3. It has the following structural formula:

Metronidazole has a molecular weight of 171.16. It is a white to pale yellow crystalline powder. It is slightly soluble in alcohol and has solubility in water of 10 mg/mL at 20°C. Metronidazole belongs to the nitroimidazole class of compounds.

Metronidazole is a colorless to slightly yellow gel; each gram contains 10 mg of metronidazole in a base of alcohol (9.3% w/w), edetate disodium, hydroxyethylcellulose, polyethylene glycol 400, propylene glycol, sorbic acid, and purified water.

16.1 How Supplied

Metronidazole Gel USP, 1% is colorless to slightly yellow in color, and supplied as follows:

45 gram tube - (NDC 51672-4215-6)

60 gram tube - (NDC 51672-4215-3)

55 gram pump - (NDC 51672-4215-9)

8.4 Pediatric Use

Safety and effectiveness in pediatric patients have not been established.

8.5 Geriatric Use

Sixty-six subjects aged 65 years and older were treated with metronidazole gel in the clinical study. No overall differences in safety or effectiveness were observed between these subjects and younger subjects, and other reported clinical experience has not identified differences in responses between the elderly and younger patients, but greater sensitivity of some older individuals cannot be ruled out.

5.4 Eye Irritation

Topical metronidazole has been reported to cause tearing of the eyes. Avoid contact with the eyes.

14 Clinical Studies

In a randomized, vehicle-controlled trial, 746 subjects with rosacea were treated with metronidazole gel or vehicle once daily for 10 weeks. Most subjects had a disease severity score of 3 ("moderate") on the 5-point Investigator Global Assessment (IGA) scale, with 8 to 50 inflammatory lesions and no more than two nodules at baseline. The co-primary efficacy endpoints were the percent reduction in inflammatory lesion counts and percentage of subjects with success on IGA, defined as an IGA score of 0 ("clear") or 1 ("almost clear") at Week 10.

The efficacy results are shown in the following table:

Table 3: Inflammatory Lesion Counts and Global Scores in a Clinical Trial of Rosacea
Metronidazole Gel Vehicle
N Results N (%) N Results N (%)

Inflammatory lesions

557

189

Baseline, mean count

18.3

18.4

Week-10, mean count

8.9

12.8

Reduction

9.4 (50.7)

5.6 (32.6)

Investigator Global Assessment

557

189

Subject clear or almost clear

214 (38.42)

52 (27.51)

Subject with no change

159 (28.5)

77 (40.7)

Subjects treated with metronidazole gel experienced a mean reduction of 9.4 inflammatory lesions in the Week-10 LOCF group, compared to a reduction of 5.6 for those treated with vehicle, or a difference in means of 3.8 lesions.

The contribution to efficacy of individual components of the vehicle has not been established.

4 Contraindications

Metronidazole gel is contraindicated in patients with a history of hypersensitivity to metronidazole or to any other ingredient in the formulation.

6 Adverse Reactions

Most common adverse reactions (incidence > 2%) are nasopharyngitis, upper respiratory tract infection, and headache. (6)

To report SUSPECTED ADVERSE REACTIONS, contact Taro Pharmaceuticals U.S.A., Inc. at 1-866-923-4914 or FDA at 1-800-FDA-1088 or www.fda.gov/medwatch.

7 Drug Interactions

Oral metronidazole has been reported to potentiate the anticoagulant effect of coumarin and warfarin, resulting in a prolongation of prothrombin time. Drug interactions should be kept in mind when metronidazole is prescribed for patients who are receiving anticoagulant treatment, although they are less likely to occur with topical metronidazole administration because of low absorption.

5.2 Blood Dyscrasias

Metronidazole is a nitroimidazole; use with care in patients with evidence of, or history of, blood dyscrasia.

12.2 Pharmacodynamics

The pharmacodynamics of metronidazole in association with the treatment of rosacea are unknown.

12.3 Pharmacokinetics

Topical administration of a one-gram dose of metronidazole gel to the face of 13 subjects with moderate to severe rosacea once daily for 7 days resulted in a mean ± SD Cmax of metronidazole of 32 ± 9 ng/mL. The mean ± SD AUC(0-24) was 595 ± 154 ng*hr/mL. The mean Cmax and AUC(0-24) are less than 1% of the value reported for a single 250 mg oral dose of metronidazole. The time to maximum plasma concentration (Tmax) was 6 to 10 hours after topical application.

5.1 Neurologic Disease

Peripheral neuropathy, characterized by numbness or paresthesia of an extremity, has been reported in patients treated with systemic metronidazole. Peripheral neuropathy has been reported with the post approval use of topical metronidazole. The appearance of abnormal neurologic signs should prompt immediate reevaluation of metronidazole therapy. Metronidazole should be administered with caution to patients with central nervous system diseases.

5.3 Contact Dermatitis

Irritant and allergic contact dermatitis have been reported with metronidazole gel. If dermatitis occurs, patients may need to discontinue use.

1 Indications and Usage

Metronidazole Gel USP, 1% is indicated for the topical treatment of inflammatory lesions of rosacea.

12.1 Mechanism of Action

The mechanism of action of metronidazole in the treatment of rosacea is unknown.

5 Warnings and Precautions
  • Neurologic Disease: Peripheral neuropathy, characterized by numbness or paresthesia of an extremity has been reported in patients treated with systemic metronidazole. Peripheral neuropathy has been reported with the post approval use of topical metronidazole. The appearance of abnormal neurologic signs should prompt immediate reevaluation of metronidazole therapy. (5.1)
  • Blood Dyscrasias: Metronidazole is a nitroimidazole and should be used with care in patients with evidence of, or history of, blood dyscrasia. (5.2)
  • Contact Dermatitis: If dermatitis occurs, patients may need to discontinue use. (5.3)
  • Eye Irritation: Topical metronidazole has been reported to cause tearing of the eyes. Therefore, avoid contact with the eyes. (5.4)
2 Dosage and Administration

For topical use only, not for oral, ophthalmic, or intravaginal use.

Cleanse treated areas before the application of metronidazole gel.

Apply and rub in a thin film of metronidazole gel once daily to affected area(s).

Cosmetics may be applied after the application of metronidazole gel.

3 Dosage Forms and Strengths

Gel, 1%. Metronidazole is a colorless to slightly yellow gel. Each gram of metronidazole gel contains 10 mg (1%) of metronidazole.

6.2 Post Marketing Experience

The following adverse reaction has been identified during post-approval use of topical metronidazole. Because this reaction is reported voluntarily from a population of uncertain size, it is not always possible to reliably estimate the frequency or establish a causal relationship to drug exposure.

Nervous System Disorders: Peripheral neuropathy [see Warnings and Precautions (5.1)]

8 Use in Specific Populations
  • Lactation: Breastfeeding not recommended. (8.2)
6.1 Clinical Trials Experience

Because clinical trials are conducted under widely varying conditions, adverse reaction rates observed in the clinical trials of a drug cannot be directly compared to rates in the clinical trials of another drug and may not reflect the rates observed in practice.

In a controlled clinical trial, 557 subjects used metronidazole gel and 189 subjects used the gel vehicle once daily for up to 10 weeks. The following table summarizes selected adverse reactions that occurred at a rate of ≥1%:

Table 1: Adverse Reactions That Occurred at a Rate of ≥1%
System Organ Class/Preferred Term Metronidazole Gel Vehicle
N=557 N=189

Patients with at least one AE

  Number (%) of Patients

186 (33.4)

51 (27.0)

Infections and infestations

76 (13.6)

28 (14.8)

  Bronchitis

6 (1.1)

3 (1.6)

  Influenza

8 (1.4)

1 (0.5)

  Nasopharyngitis

17 (3.1)

8 (4.2)

  Sinusitis

8 (1.4)

3 (1.6)

  Upper respiratory tract infection

14 (2.5)

4 (2.1)

  Urinary tract infection

6 (1.1)

1 (0.5)

  Vaginal mycosis

1 (0.2)

2 (1.1)

Musculoskeletal and connective tissue disorders

19 (3.4)

5 (2.6)

  Back pain

3 (0.5)

2 (1.1)

Neoplasms

4 (0.7)

2 (1.1)

  Basal cell carcinoma

1 (0.2)

2 (1.1)

Nervous system disorders

18 (3.2)

3 (1.6)

  Headache

12 (2.2)

1 (0.5)

Respiratory, thoracic and mediastinal disorders

22 (3.9)

5 (2.6)

  Nasal congestion

6 (1.1)

3 (1.6)

Skin and subcutaneous tissue disorders

36 (6.5)

12 (6.3)

  Contact dermatitis

7 (1.3)

1 (0.5)

  Dry skin

6 (1.1)

3 (1.6)

Vascular disorders

8 (1.4)

1 (0.5)

  Hypertension

6 (1.1)

1 (0.5)

Table 2: Local Cutaneous Signs and Symptoms of Irritation That Were Worse Than Baseline
Metronidazole Gel Vehicle
Sign/Symptom N=544 N=184

Dryness

138 (25.4)

63 (34.2)

  Mild

93 (17.1)

41 (22.3)

  Moderate

42 (7.7)

20 (10.9)

  Severe

3 (0.6)

2 (1.1)

Scaling

134 (24.6)

60 (32.6)

  Mild

88 (16.2)

32 (17.4)

  Moderate

43 (7.9)

27 (14.7)

  Severe

3 (0.6)

1 (0.5)

Pruritus

86 (15.8)

35 (19.0)

  Mild

53 (9.7)

21 (11.4)

  Moderate

27 (5.0)

13 (7.1)

  Severe

6 (1.1)

1 (0.5)

Stinging/burning

56 (10.3)

28 (15.2)

  Mild

39 (7.2)

18 (9.8)

  Moderate

7 (1.3)

9 (4.9)

  Severe

10 (1.8)

1 (0.5)

The following additional adverse experiences have been reported with the topical use of metronidazole: transient redness, metallic taste, tingling or numbness of extremities, and nausea.

17 Patient Counseling Information

Advise the patient to read the FDA-approved patient labeling (Patient Information).

Principal Display Panel 60 G Tube Carton

NDC 51672-4215-3

Metronidazole

Gel USP, 1%

60 g

FOR TOPICAL USE ONLY. NOT FOR ORAL, OPHTHALMIC OR INTRAVAGINAL USE.

Rx only

Keep this and all medications out of the reach of children.

TARO

13.1 Carcinogenesis, Mutagenesis, Impairment of Fertility

Metronidazole has shown evidence of carcinogenic activity in studies involving chronic oral administration in mice and rats, but not in studies involving hamsters.

In several long-term studies in mice, oral doses of approximately 225 mg/m2/day or greater were associated with an increase in pulmonary tumors and lymphomas. Several long-term oral studies in the rat have shown statistically significant increases in mammary and hepatic tumors at doses >885 mg/m2/day.

Metronidazole has shown evidence of mutagenic activity in several in vitro bacterial assay systems. In addition, a dose-related increase in the frequency of micronuclei was observed in mice after intraperitoneal injections. An increase in chromosomal aberrations in peripheral blood lymphocytes was reported in patients with Crohn's disease who were treated with 200 to 1200 mg/day of metronidazole for 1 to 24 months. However, in another study, no increase in chromosomal aberrations in circulating lymphocytes was observed in patients with Crohn's disease treated with the drug for 8 months.


Structured Label Content

Section 42229-5 (42229-5)

Risk Summary

Available data have not established an association with metronidazole use during pregnancy and major birth defects, miscarriage or other adverse maternal or fetal outcomes. No fetotoxicity was observed after oral administration of metronidazole in pregnant rats or mice. The available data do not allow the calculation of relevant comparisons between the systemic exposures of metronidazole observed in animal studies to the systemic exposures that would be expected in humans after topical use of metronidazole.

The background risk of major birth defects and miscarriage for the indicated population is unknown. All pregnancies have a background risk of birth defect, loss, or other adverse outcomes. In the U.S. general population, the estimated background risk of major birth defects and miscarriage in clinically recognized pregnancies is 2 to 4% and 15 to 20%, respectively.

Section 42230-3 (42230-3)
PATIENT INFORMATION

Metronidazole

(me troe ni⸍ da zole)

Gel, 1%
This Patient Information has been approved by the U.S. Food and Drug Administration.
Revised: December 2022

Important: Metronidazole gel is for use on the skin only (topical use). Do not use metronidazole gel in your mouth, eyes, or vagina.

  •  
    What is metronidazole gel?

    Metronidazole gel is a prescription medicine used on the skin (topical) to treat pimples and bumps (inflammatory lesions) caused by a condition called rosacea.

    It is not known if metronidazole gel is safe and effective in children.
  •  
    Do not use metronidazole gel if you are allergic to metronidazole or any of the ingredients in metronidazole gel. See the end of this leaflet for a complete list of ingredients in metronidazole gel.

Before using metronidazole gel, tell your healthcare provider about all your medical conditions, including if you:

  • have tingling or numbness in your hands or feet
  • have or have had a blood disorder or disease
  • are pregnant or plan to become pregnant. It is not known if metronidazole gel will harm your unborn baby.
  • are breastfeeding or plan to breastfeed. It is not known if metronidazole gel passes into your breast milk. Do not breastfeed during treatment with metronidazole gel. Talk to your healthcare provider about the best way to feed your baby during treatment with metronidazole gel.

Tell your healthcare provider about all of the medicines you take, including prescription and over-the-counter medicines, vitamins, and herbal supplements.

Know the medicines you take. Keep a list of them to show your healthcare provider and pharmacist when you get a new medicine.

How should I use metronidazole gel?

  • Use metronidazole gel exactly as your healthcare provider tells you to.
  • Cleanse the treated area before applying metronidazole gel.
  • Apply and rub in a thin film of metronidazole gel 1 time a day to the affected area(s).
  • You can apply cosmetics after applying metronidazole gel.
  • Avoid contact of metronidazole gel with your eyes.

What are the possible side effects of metronidazole gel?

Metronidazole gel may cause serious side effects, including:

  • Peripheral neuropathy. Tingling, burning, pain or numbness in the hands or feet (peripheral neuropathy) have happened in people treated with metronidazole used on the skin. Tell your healthcare provider if you experience tingling, burning, pain or numbness in your hands or feet during treatment with metronidazole gel.
  • Skin reactions, including allergic reactions. Tell your healthcare provider if you develop any skin reactions, including rash, itching, redness, swelling, or blisters during treatment with metronidazole gel.
  • Eye irritation. Tearing from eye irritation has happened in people treated with metronidazole used on the skin. Tell your healthcare provider if you experience tearing, redness or discomfort of the eyes during treatment with metronidazole gel.

The most common side effects of metronidazole gel include:

  • sore throat and nasal congestion
  • upper respiratory tract infections
  • headache
  •  
    Tell your healthcare provider if you get any side effects during treatment with metronidazole gel.

    These are not all of the possible side effects of metronidazole gel.

    Call your doctor for medical advice about side effects. You may report side effects to FDA at 1-800-FDA-1088.

    You may also report side effects to Taro Pharmaceuticals U.S.A., Inc. at 1-866-923-4914.

How should I store metronidazole gel?

  • Store metronidazole gel at room temperature between 68°F to 77°F (20°C to 25°C).

Keep metronidazole gel and all medicines out of the reach of children.

  •  
    General information about the safe and effective use of metronidazole gel.

    Medicines are sometimes prescribed for purposes other than those listed in a Patient Information leaflet. Do not use metronidazole gel for a condition for which it was not prescribed. Do not give metronidazole gel to other people, even if they have the same symptoms that you have. It may harm them. You can ask your pharmacist or healthcare provider for information about metronidazole gel that is written for health professionals.
  •  
    What are the ingredients in metronidazole gel?

    Active ingredient: metronidazole

    Inactive ingredients: alcohol (9.3% w/w), edetate disodium, hydroxyethylcellulose, polyethylene glycol 400, propylene glycol, sorbic acid, and purified water.

    Mfd. by: Taro Pharmaceutical Industries Ltd.

    Haifa Bay, Israel 2624761

    Dist. by: Taro Pharmaceuticals U.S.A., Inc.

    Hawthorne, NY 10532

    For more information, call 1-866-923-4914

5201281-1222-01

782

11 Description (11 DESCRIPTION)

Metronidazole Gel USP, 1% contains metronidazole, USP. It is intended for topical use. Chemically, metronidazole is 2-methyl-5-nitro-1 H-imidazole-1-ethanol. The molecular formula for metronidazole is C6H9N3O3. It has the following structural formula:

Metronidazole has a molecular weight of 171.16. It is a white to pale yellow crystalline powder. It is slightly soluble in alcohol and has solubility in water of 10 mg/mL at 20°C. Metronidazole belongs to the nitroimidazole class of compounds.

Metronidazole is a colorless to slightly yellow gel; each gram contains 10 mg of metronidazole in a base of alcohol (9.3% w/w), edetate disodium, hydroxyethylcellulose, polyethylene glycol 400, propylene glycol, sorbic acid, and purified water.

16.1 How Supplied

Metronidazole Gel USP, 1% is colorless to slightly yellow in color, and supplied as follows:

45 gram tube - (NDC 51672-4215-6)

60 gram tube - (NDC 51672-4215-3)

55 gram pump - (NDC 51672-4215-9)

8.4 Pediatric Use

Safety and effectiveness in pediatric patients have not been established.

8.5 Geriatric Use

Sixty-six subjects aged 65 years and older were treated with metronidazole gel in the clinical study. No overall differences in safety or effectiveness were observed between these subjects and younger subjects, and other reported clinical experience has not identified differences in responses between the elderly and younger patients, but greater sensitivity of some older individuals cannot be ruled out.

5.4 Eye Irritation

Topical metronidazole has been reported to cause tearing of the eyes. Avoid contact with the eyes.

14 Clinical Studies (14 CLINICAL STUDIES)

In a randomized, vehicle-controlled trial, 746 subjects with rosacea were treated with metronidazole gel or vehicle once daily for 10 weeks. Most subjects had a disease severity score of 3 ("moderate") on the 5-point Investigator Global Assessment (IGA) scale, with 8 to 50 inflammatory lesions and no more than two nodules at baseline. The co-primary efficacy endpoints were the percent reduction in inflammatory lesion counts and percentage of subjects with success on IGA, defined as an IGA score of 0 ("clear") or 1 ("almost clear") at Week 10.

The efficacy results are shown in the following table:

Table 3: Inflammatory Lesion Counts and Global Scores in a Clinical Trial of Rosacea
Metronidazole Gel Vehicle
N Results N (%) N Results N (%)

Inflammatory lesions

557

189

Baseline, mean count

18.3

18.4

Week-10, mean count

8.9

12.8

Reduction

9.4 (50.7)

5.6 (32.6)

Investigator Global Assessment

557

189

Subject clear or almost clear

214 (38.42)

52 (27.51)

Subject with no change

159 (28.5)

77 (40.7)

Subjects treated with metronidazole gel experienced a mean reduction of 9.4 inflammatory lesions in the Week-10 LOCF group, compared to a reduction of 5.6 for those treated with vehicle, or a difference in means of 3.8 lesions.

The contribution to efficacy of individual components of the vehicle has not been established.

4 Contraindications (4 CONTRAINDICATIONS)

Metronidazole gel is contraindicated in patients with a history of hypersensitivity to metronidazole or to any other ingredient in the formulation.

6 Adverse Reactions (6 ADVERSE REACTIONS)

Most common adverse reactions (incidence > 2%) are nasopharyngitis, upper respiratory tract infection, and headache. (6)

To report SUSPECTED ADVERSE REACTIONS, contact Taro Pharmaceuticals U.S.A., Inc. at 1-866-923-4914 or FDA at 1-800-FDA-1088 or www.fda.gov/medwatch.

7 Drug Interactions (7 DRUG INTERACTIONS)

Oral metronidazole has been reported to potentiate the anticoagulant effect of coumarin and warfarin, resulting in a prolongation of prothrombin time. Drug interactions should be kept in mind when metronidazole is prescribed for patients who are receiving anticoagulant treatment, although they are less likely to occur with topical metronidazole administration because of low absorption.

5.2 Blood Dyscrasias

Metronidazole is a nitroimidazole; use with care in patients with evidence of, or history of, blood dyscrasia.

12.2 Pharmacodynamics

The pharmacodynamics of metronidazole in association with the treatment of rosacea are unknown.

12.3 Pharmacokinetics

Topical administration of a one-gram dose of metronidazole gel to the face of 13 subjects with moderate to severe rosacea once daily for 7 days resulted in a mean ± SD Cmax of metronidazole of 32 ± 9 ng/mL. The mean ± SD AUC(0-24) was 595 ± 154 ng*hr/mL. The mean Cmax and AUC(0-24) are less than 1% of the value reported for a single 250 mg oral dose of metronidazole. The time to maximum plasma concentration (Tmax) was 6 to 10 hours after topical application.

5.1 Neurologic Disease

Peripheral neuropathy, characterized by numbness or paresthesia of an extremity, has been reported in patients treated with systemic metronidazole. Peripheral neuropathy has been reported with the post approval use of topical metronidazole. The appearance of abnormal neurologic signs should prompt immediate reevaluation of metronidazole therapy. Metronidazole should be administered with caution to patients with central nervous system diseases.

5.3 Contact Dermatitis

Irritant and allergic contact dermatitis have been reported with metronidazole gel. If dermatitis occurs, patients may need to discontinue use.

1 Indications and Usage (1 INDICATIONS AND USAGE)

Metronidazole Gel USP, 1% is indicated for the topical treatment of inflammatory lesions of rosacea.

12.1 Mechanism of Action

The mechanism of action of metronidazole in the treatment of rosacea is unknown.

5 Warnings and Precautions (5 WARNINGS AND PRECAUTIONS)
  • Neurologic Disease: Peripheral neuropathy, characterized by numbness or paresthesia of an extremity has been reported in patients treated with systemic metronidazole. Peripheral neuropathy has been reported with the post approval use of topical metronidazole. The appearance of abnormal neurologic signs should prompt immediate reevaluation of metronidazole therapy. (5.1)
  • Blood Dyscrasias: Metronidazole is a nitroimidazole and should be used with care in patients with evidence of, or history of, blood dyscrasia. (5.2)
  • Contact Dermatitis: If dermatitis occurs, patients may need to discontinue use. (5.3)
  • Eye Irritation: Topical metronidazole has been reported to cause tearing of the eyes. Therefore, avoid contact with the eyes. (5.4)
2 Dosage and Administration (2 DOSAGE AND ADMINISTRATION)

For topical use only, not for oral, ophthalmic, or intravaginal use.

Cleanse treated areas before the application of metronidazole gel.

Apply and rub in a thin film of metronidazole gel once daily to affected area(s).

Cosmetics may be applied after the application of metronidazole gel.

3 Dosage Forms and Strengths (3 DOSAGE FORMS AND STRENGTHS)

Gel, 1%. Metronidazole is a colorless to slightly yellow gel. Each gram of metronidazole gel contains 10 mg (1%) of metronidazole.

6.2 Post Marketing Experience

The following adverse reaction has been identified during post-approval use of topical metronidazole. Because this reaction is reported voluntarily from a population of uncertain size, it is not always possible to reliably estimate the frequency or establish a causal relationship to drug exposure.

Nervous System Disorders: Peripheral neuropathy [see Warnings and Precautions (5.1)]

8 Use in Specific Populations (8 USE IN SPECIFIC POPULATIONS)
  • Lactation: Breastfeeding not recommended. (8.2)
6.1 Clinical Trials Experience

Because clinical trials are conducted under widely varying conditions, adverse reaction rates observed in the clinical trials of a drug cannot be directly compared to rates in the clinical trials of another drug and may not reflect the rates observed in practice.

In a controlled clinical trial, 557 subjects used metronidazole gel and 189 subjects used the gel vehicle once daily for up to 10 weeks. The following table summarizes selected adverse reactions that occurred at a rate of ≥1%:

Table 1: Adverse Reactions That Occurred at a Rate of ≥1%
System Organ Class/Preferred Term Metronidazole Gel Vehicle
N=557 N=189

Patients with at least one AE

  Number (%) of Patients

186 (33.4)

51 (27.0)

Infections and infestations

76 (13.6)

28 (14.8)

  Bronchitis

6 (1.1)

3 (1.6)

  Influenza

8 (1.4)

1 (0.5)

  Nasopharyngitis

17 (3.1)

8 (4.2)

  Sinusitis

8 (1.4)

3 (1.6)

  Upper respiratory tract infection

14 (2.5)

4 (2.1)

  Urinary tract infection

6 (1.1)

1 (0.5)

  Vaginal mycosis

1 (0.2)

2 (1.1)

Musculoskeletal and connective tissue disorders

19 (3.4)

5 (2.6)

  Back pain

3 (0.5)

2 (1.1)

Neoplasms

4 (0.7)

2 (1.1)

  Basal cell carcinoma

1 (0.2)

2 (1.1)

Nervous system disorders

18 (3.2)

3 (1.6)

  Headache

12 (2.2)

1 (0.5)

Respiratory, thoracic and mediastinal disorders

22 (3.9)

5 (2.6)

  Nasal congestion

6 (1.1)

3 (1.6)

Skin and subcutaneous tissue disorders

36 (6.5)

12 (6.3)

  Contact dermatitis

7 (1.3)

1 (0.5)

  Dry skin

6 (1.1)

3 (1.6)

Vascular disorders

8 (1.4)

1 (0.5)

  Hypertension

6 (1.1)

1 (0.5)

Table 2: Local Cutaneous Signs and Symptoms of Irritation That Were Worse Than Baseline
Metronidazole Gel Vehicle
Sign/Symptom N=544 N=184

Dryness

138 (25.4)

63 (34.2)

  Mild

93 (17.1)

41 (22.3)

  Moderate

42 (7.7)

20 (10.9)

  Severe

3 (0.6)

2 (1.1)

Scaling

134 (24.6)

60 (32.6)

  Mild

88 (16.2)

32 (17.4)

  Moderate

43 (7.9)

27 (14.7)

  Severe

3 (0.6)

1 (0.5)

Pruritus

86 (15.8)

35 (19.0)

  Mild

53 (9.7)

21 (11.4)

  Moderate

27 (5.0)

13 (7.1)

  Severe

6 (1.1)

1 (0.5)

Stinging/burning

56 (10.3)

28 (15.2)

  Mild

39 (7.2)

18 (9.8)

  Moderate

7 (1.3)

9 (4.9)

  Severe

10 (1.8)

1 (0.5)

The following additional adverse experiences have been reported with the topical use of metronidazole: transient redness, metallic taste, tingling or numbness of extremities, and nausea.

17 Patient Counseling Information (17 PATIENT COUNSELING INFORMATION)

Advise the patient to read the FDA-approved patient labeling (Patient Information).

Principal Display Panel 60 G Tube Carton (PRINCIPAL DISPLAY PANEL - 60 g Tube Carton)

NDC 51672-4215-3

Metronidazole

Gel USP, 1%

60 g

FOR TOPICAL USE ONLY. NOT FOR ORAL, OPHTHALMIC OR INTRAVAGINAL USE.

Rx only

Keep this and all medications out of the reach of children.

TARO

13.1 Carcinogenesis, Mutagenesis, Impairment of Fertility

Metronidazole has shown evidence of carcinogenic activity in studies involving chronic oral administration in mice and rats, but not in studies involving hamsters.

In several long-term studies in mice, oral doses of approximately 225 mg/m2/day or greater were associated with an increase in pulmonary tumors and lymphomas. Several long-term oral studies in the rat have shown statistically significant increases in mammary and hepatic tumors at doses >885 mg/m2/day.

Metronidazole has shown evidence of mutagenic activity in several in vitro bacterial assay systems. In addition, a dose-related increase in the frequency of micronuclei was observed in mice after intraperitoneal injections. An increase in chromosomal aberrations in peripheral blood lymphocytes was reported in patients with Crohn's disease who were treated with 200 to 1200 mg/day of metronidazole for 1 to 24 months. However, in another study, no increase in chromosomal aberrations in circulating lymphocytes was observed in patients with Crohn's disease treated with the drug for 8 months.


Advanced Ingredient Data


Raw Label Data

All Sections (JSON)