These Highlights Do Not Include All The Information Needed To Use Avtozma Safely And Effectively. See Full Prescribing Information For Avtozma.

These Highlights Do Not Include All The Information Needed To Use Avtozma Safely And Effectively. See Full Prescribing Information For Avtozma.
SPL v4
SPL
SPL Set ID 581c288f-8015-40ef-a4c3-683c96db193d
Route
INTRAVENOUS
Published
Effective Date 2025-02-20
Document Type 34391-3 HUMAN PRESCRIPTION DRUG LABEL

Drug Facts

Composition & Product

Active Ingredients
Tocilizumab (80 mg)

Identifiers & Packaging

Marketing Status
BLA Active Since 2025-01-26

Description

Patients treated with tocilizumab products including AVTOZMA are at increased risk for developing serious infections that may lead to hospitalization or death [see Warnings and Precautions (5.1) , Adverse Reactions (6.1) ] . Most patients who developed these infections were taking concomitant immunosuppressants such as methotrexate or corticosteroids. If a serious infection develops, interrupt AVTOZMA until the infection is controlled. Reported infections include: Active tuberculosis, which may present with pulmonary or extrapulmonary disease. Patients, except those with COVID-19, should be tested for latent tuberculosis before AVTOZMA use and during therapy. Treatment for latent infection should be initiated prior to AVTOZMA use. Invasive fungal infections, including candidiasis, aspergillosis, and pneumocystis. Patients with invasive fungal infections may present with disseminated, rather than localized, disease. Bacterial, viral and other infections due to opportunistic pathogens. The risks and benefits of treatment with AVTOZMA should be carefully considered prior to initiating therapy in patients with chronic or recurrent infection. Patients should be closely monitored for the development of signs and symptoms of infection during and after treatment with AVTOZMA, including the possible development of tuberculosis in patients who tested negative for latent tuberculosis infection prior to initiating therapy [see Warnings and Precautions (5.1) ] .

Indications and Usage

AVTOZMA ® (tocilizumab-anoh) is an interleukin-6 (IL-6) receptor antagonist indicated for treatment of: Rheumatoid Arthritis (RA) ( 1.1 ) Adult patients with moderately to severely active rheumatoid arthritis who have had an inadequate response to one or more Disease-Modifying Anti-Rheumatic Drugs (DMARDs). Giant Cell Arteritis (GCA) ( 1.2 ) Adult patients with giant cell arteritis. Polyarticular Juvenile Idiopathic Arthritis (PJIA) ( 1.3 ) Patients 2 years of age and older with active polyarticular juvenile idiopathic arthritis. Systemic Juvenile Idiopathic Arthritis (SJIA) ( 1.4 ) Patients 2 years of age and older with active systemic juvenile idiopathic arthritis. Cytokine Release Syndrome (CRS) ( 1.5 ) Adults and pediatric patients with 2 years of age and older with chimeric antigen recept (CAR) T cell-induced severe or life-threatening cytokine release syndrome. Coronavirus Disease 2019 (COVID-19) ( 1.6 ) Hospitalized adult patients with coronavirus disease 2019 (COVID-19) who are receiving systemic corticosteroids and require supplemental oxygen, non-invasive or invasive mechanical ventilation, or extracorporeal membrane oxygenation (ECMO).

Dosage and Administration

For RA, pJIA and sJIA, AVTOZMA may be used alone or in combination with methotrexate: and in RA, other non-biologic DMARDs may be used. ( 2 ) General Administration and Dosing Information ( 2.1 ) RA, GCA, PJIA and SJIA It is recommended that AVTOZMA not be initiated in patients with an absolute neutrophil count (ANC) below 2000 per mm 3 , platelet count below 100,000 per mm 3 , or ALT or AST above 1.5 times the upper limit of normal (ULN) ( 5.3 , 5.4 ) . COVID-19 It is recommended that AVTOZMA not be initiated in patients with an absolute neutrophil count (ANC) below 1000 per mm 3 , platelet count below 50,000 mm 3 , or ALT or AST above 10 times ULN ( 5.3 , 5.4 ) . In RA, CRS, or COVID-19 patients, AVTOZMA doses exceeding 800 mg per infusion are not recommended. ( 2.2 , 2.6 , 12.3 ) In GCA patients, AVTOZMA doses exceeding 600 mg per infusion are not recommended. ( 2.3 , 12.3 ) Rheumatoid Arthritis ( 2.2 ) Recommended Adult Intravenous Dosage: When used in combination with non-biologic DMARDs or as monotherapy the recommended starting dose is 4 mg per kg every 4 weeks followed by an increase to 8 mg per kg every 4 weeks based on clinical response. Recommended Adult Subcutaneous Dosage: Patients less than 100 kg weight 162 mg administered subcutaneously every other week, followed by an increase to every week based on clinical response Patients at or above 100 kg weight 162 mg administered subcutaneously every week Giant Cell Arteritis ( 2.3 ) Recommended Adult Intravenous Dosage: The recommended dose is 6 mg per kg every 4 weeks in combination with a tapering course of glucocorticoids. AVTOZMA can be used alone following discontinuation of glucocorticoids. Recommended Adult Subcutaneous Dosage: The recommended dose is 162 mg given once every week as a subcutaneous injection, in combination with a tapering course of glucocorticoids. A dose of 162 mg given once every other week as a subcutaneous injection, in combination with a tapering course of glucocorticoids, may be prescribed based on clinical considerations. AVTOZMA can be used alone following discontinuation of glucocorticoids. Polyarticular Juvenile Idiopathic Arthritis ( 2.4 ) Recommended Intravenous PJIA Dosage Every 4 Weeks Patients less than 30 kg weight 10 mg per kg Patients at or above 30 kg weight 8 mg per kg Recommended Subcutaneous PJIA Dosage Patients less than 30 kg weight 162 mg once every three weeks Patients at or above 30 kg weight 162 mg once every two weeks Systemic Juvenile Idiopathic Arthritis ( 2.5 ) Recommended Intravenous SJIA Dosage Every 2 Weeks Patients less than 30 kg weight 12 mg per kg Patients at or above 30 kg weight 8 mg per kg Recommended Subcutaneous SJIA Dosage Patients less than 30 kg weight 162 mg every two weeks Patients at or above 30 kg weight 162 mg every week Cytokine Release Syndrome ( 2.6 ) Recommened Intravenous CRS Dosage Patients less than 30 kg weight 12 mg per kg Patients at or above 30 kg weight 8 mg per kg Alone or in combination with corticosteroids Coronavirus Disease 2019 ( 2.7 ) The recommended dosage of AVTOZMA for adult patients with COVID-19 is 8 mg per kg administered by a 60-minute intravenous infusion. Administration of Intravenous Formulation ( 2.8 ) For patients with RA, GCA, COVID-19, CRS, PJIA, and SJIA patients at or above 30 kg, dilute to 100 mL in 0.9% or 0.45% Sodium Chloride Injection, USP for intravenous infusion using aseptic technique. For PJIA, CRS and SJIA patients less than 30 kg, dilute to 50 mL in 0.9% or 0.45% Sodium Chloride Injection, USP for intravenous infusion using aseptic technique. Administer as a single intravenous drip infusion over 1 hour; do not administer as bolus or push. Administration of Subcutaneous Formulation ( 2.9 ) Follow the Instructions for Use for prefilled syringe and prefilled autoinjector Dose Modifications ( 2.10 ) Recommended for management of certain dose-related laboratory changes including elevated liver enzymes, neutropenia, and thrombocytopenia.

Warnings and Precautions

Serious Infections – do not administer AVTOZMA during an active infection, including localized infections. If a serious infection develops, interrupt AVTOZMA until the infection is controlled. ( 5.1 ) Gastrointestinal (GI) perforation—use with caution in patients who may be at increased risk. ( 5.2 ) Hepatotoxicity- Monitor patients for signs and symptoms of hepatic injury. Modify or discontinue AVTOZMA if abnormal liver tests persist or worsen or if clinical signs and symptoms of liver disease develop. ( 2.8 , 5.3 ) Laboratory monitoring—recommended due to potential consequences of treatment-related changes in neutrophils, platelets, lipids, and liver function tests. ( 2.8 , 5.4 ) Hypersensitivity reactions, including anaphylaxis and death and serious cutaneous reactions including Drug Reaction with Eosinophilia and Systemic Symptoms (DRESS) – discontinue AVTOZMA, treat promptly, and monitor until reaction resolves. ( 5.6 ) Live vaccines—Avoid use with AVTOZMA. ( 5.9 , 7.3 )

Contraindications

AVTOZMA is contraindicated in patients with known hypersensitivity to tocilizumab products [see Warnings and Precautions (5.6) ].

Adverse Reactions

The following serious adverse reactions are described elsewhere in labeling: Serious Infections [see Warnings and Precautions (5.1) ] Gastrointestinal Perforations [see Warnings and Precautions (5.2) ] Laboratory Parameters [see Warnings and Precautions (5.4) ] Immunosuppression [see Warnings and Precautions (5.5) ] Hypersensitivity Reactions, Including Anaphylaxis [see Warnings and Precautions (5.6) ] Demyelinating Disorders [see Warnings and Precautions (5.7) ] Active Hepatic Disease and Hepatic Impairment [see Warnings and Precautions (5.8) ] Because clinical studies are conducted under widely varying conditions, adverse reaction rates observed in the clinical studies of a drug cannot be directly compared to rates in the clinical studies of another drug and may not predict the rates observed in a broader patient population in clinical practice.


Medication Information

Warnings and Precautions

Serious Infections – do not administer AVTOZMA during an active infection, including localized infections. If a serious infection develops, interrupt AVTOZMA until the infection is controlled. ( 5.1 ) Gastrointestinal (GI) perforation—use with caution in patients who may be at increased risk. ( 5.2 ) Hepatotoxicity- Monitor patients for signs and symptoms of hepatic injury. Modify or discontinue AVTOZMA if abnormal liver tests persist or worsen or if clinical signs and symptoms of liver disease develop. ( 2.8 , 5.3 ) Laboratory monitoring—recommended due to potential consequences of treatment-related changes in neutrophils, platelets, lipids, and liver function tests. ( 2.8 , 5.4 ) Hypersensitivity reactions, including anaphylaxis and death and serious cutaneous reactions including Drug Reaction with Eosinophilia and Systemic Symptoms (DRESS) – discontinue AVTOZMA, treat promptly, and monitor until reaction resolves. ( 5.6 ) Live vaccines—Avoid use with AVTOZMA. ( 5.9 , 7.3 )

Indications and Usage

AVTOZMA ® (tocilizumab-anoh) is an interleukin-6 (IL-6) receptor antagonist indicated for treatment of: Rheumatoid Arthritis (RA) ( 1.1 ) Adult patients with moderately to severely active rheumatoid arthritis who have had an inadequate response to one or more Disease-Modifying Anti-Rheumatic Drugs (DMARDs). Giant Cell Arteritis (GCA) ( 1.2 ) Adult patients with giant cell arteritis. Polyarticular Juvenile Idiopathic Arthritis (PJIA) ( 1.3 ) Patients 2 years of age and older with active polyarticular juvenile idiopathic arthritis. Systemic Juvenile Idiopathic Arthritis (SJIA) ( 1.4 ) Patients 2 years of age and older with active systemic juvenile idiopathic arthritis. Cytokine Release Syndrome (CRS) ( 1.5 ) Adults and pediatric patients with 2 years of age and older with chimeric antigen recept (CAR) T cell-induced severe or life-threatening cytokine release syndrome. Coronavirus Disease 2019 (COVID-19) ( 1.6 ) Hospitalized adult patients with coronavirus disease 2019 (COVID-19) who are receiving systemic corticosteroids and require supplemental oxygen, non-invasive or invasive mechanical ventilation, or extracorporeal membrane oxygenation (ECMO).

Dosage and Administration

For RA, pJIA and sJIA, AVTOZMA may be used alone or in combination with methotrexate: and in RA, other non-biologic DMARDs may be used. ( 2 ) General Administration and Dosing Information ( 2.1 ) RA, GCA, PJIA and SJIA It is recommended that AVTOZMA not be initiated in patients with an absolute neutrophil count (ANC) below 2000 per mm 3 , platelet count below 100,000 per mm 3 , or ALT or AST above 1.5 times the upper limit of normal (ULN) ( 5.3 , 5.4 ) . COVID-19 It is recommended that AVTOZMA not be initiated in patients with an absolute neutrophil count (ANC) below 1000 per mm 3 , platelet count below 50,000 mm 3 , or ALT or AST above 10 times ULN ( 5.3 , 5.4 ) . In RA, CRS, or COVID-19 patients, AVTOZMA doses exceeding 800 mg per infusion are not recommended. ( 2.2 , 2.6 , 12.3 ) In GCA patients, AVTOZMA doses exceeding 600 mg per infusion are not recommended. ( 2.3 , 12.3 ) Rheumatoid Arthritis ( 2.2 ) Recommended Adult Intravenous Dosage: When used in combination with non-biologic DMARDs or as monotherapy the recommended starting dose is 4 mg per kg every 4 weeks followed by an increase to 8 mg per kg every 4 weeks based on clinical response. Recommended Adult Subcutaneous Dosage: Patients less than 100 kg weight 162 mg administered subcutaneously every other week, followed by an increase to every week based on clinical response Patients at or above 100 kg weight 162 mg administered subcutaneously every week Giant Cell Arteritis ( 2.3 ) Recommended Adult Intravenous Dosage: The recommended dose is 6 mg per kg every 4 weeks in combination with a tapering course of glucocorticoids. AVTOZMA can be used alone following discontinuation of glucocorticoids. Recommended Adult Subcutaneous Dosage: The recommended dose is 162 mg given once every week as a subcutaneous injection, in combination with a tapering course of glucocorticoids. A dose of 162 mg given once every other week as a subcutaneous injection, in combination with a tapering course of glucocorticoids, may be prescribed based on clinical considerations. AVTOZMA can be used alone following discontinuation of glucocorticoids. Polyarticular Juvenile Idiopathic Arthritis ( 2.4 ) Recommended Intravenous PJIA Dosage Every 4 Weeks Patients less than 30 kg weight 10 mg per kg Patients at or above 30 kg weight 8 mg per kg Recommended Subcutaneous PJIA Dosage Patients less than 30 kg weight 162 mg once every three weeks Patients at or above 30 kg weight 162 mg once every two weeks Systemic Juvenile Idiopathic Arthritis ( 2.5 ) Recommended Intravenous SJIA Dosage Every 2 Weeks Patients less than 30 kg weight 12 mg per kg Patients at or above 30 kg weight 8 mg per kg Recommended Subcutaneous SJIA Dosage Patients less than 30 kg weight 162 mg every two weeks Patients at or above 30 kg weight 162 mg every week Cytokine Release Syndrome ( 2.6 ) Recommened Intravenous CRS Dosage Patients less than 30 kg weight 12 mg per kg Patients at or above 30 kg weight 8 mg per kg Alone or in combination with corticosteroids Coronavirus Disease 2019 ( 2.7 ) The recommended dosage of AVTOZMA for adult patients with COVID-19 is 8 mg per kg administered by a 60-minute intravenous infusion. Administration of Intravenous Formulation ( 2.8 ) For patients with RA, GCA, COVID-19, CRS, PJIA, and SJIA patients at or above 30 kg, dilute to 100 mL in 0.9% or 0.45% Sodium Chloride Injection, USP for intravenous infusion using aseptic technique. For PJIA, CRS and SJIA patients less than 30 kg, dilute to 50 mL in 0.9% or 0.45% Sodium Chloride Injection, USP for intravenous infusion using aseptic technique. Administer as a single intravenous drip infusion over 1 hour; do not administer as bolus or push. Administration of Subcutaneous Formulation ( 2.9 ) Follow the Instructions for Use for prefilled syringe and prefilled autoinjector Dose Modifications ( 2.10 ) Recommended for management of certain dose-related laboratory changes including elevated liver enzymes, neutropenia, and thrombocytopenia.

Contraindications

AVTOZMA is contraindicated in patients with known hypersensitivity to tocilizumab products [see Warnings and Precautions (5.6) ].

Adverse Reactions

The following serious adverse reactions are described elsewhere in labeling: Serious Infections [see Warnings and Precautions (5.1) ] Gastrointestinal Perforations [see Warnings and Precautions (5.2) ] Laboratory Parameters [see Warnings and Precautions (5.4) ] Immunosuppression [see Warnings and Precautions (5.5) ] Hypersensitivity Reactions, Including Anaphylaxis [see Warnings and Precautions (5.6) ] Demyelinating Disorders [see Warnings and Precautions (5.7) ] Active Hepatic Disease and Hepatic Impairment [see Warnings and Precautions (5.8) ] Because clinical studies are conducted under widely varying conditions, adverse reaction rates observed in the clinical studies of a drug cannot be directly compared to rates in the clinical studies of another drug and may not predict the rates observed in a broader patient population in clinical practice.

Description

Patients treated with tocilizumab products including AVTOZMA are at increased risk for developing serious infections that may lead to hospitalization or death [see Warnings and Precautions (5.1) , Adverse Reactions (6.1) ] . Most patients who developed these infections were taking concomitant immunosuppressants such as methotrexate or corticosteroids. If a serious infection develops, interrupt AVTOZMA until the infection is controlled. Reported infections include: Active tuberculosis, which may present with pulmonary or extrapulmonary disease. Patients, except those with COVID-19, should be tested for latent tuberculosis before AVTOZMA use and during therapy. Treatment for latent infection should be initiated prior to AVTOZMA use. Invasive fungal infections, including candidiasis, aspergillosis, and pneumocystis. Patients with invasive fungal infections may present with disseminated, rather than localized, disease. Bacterial, viral and other infections due to opportunistic pathogens. The risks and benefits of treatment with AVTOZMA should be carefully considered prior to initiating therapy in patients with chronic or recurrent infection. Patients should be closely monitored for the development of signs and symptoms of infection during and after treatment with AVTOZMA, including the possible development of tuberculosis in patients who tested negative for latent tuberculosis infection prior to initiating therapy [see Warnings and Precautions (5.1) ] .

Section 42229-5

Not Recommended for Concomitant Use with Biological DMARDs

Tocilizumab products have not been studied in combination with biological DMARDs such as TNF antagonists, IL-1R antagonists, anti-CD20 monoclonal antibodies and selective co-stimulation modulators because of the possibility of increased immunosuppression and increased risk of infection. Avoid using AVTOZMA with biological DMARDs.

Section 42231-1
Medication Guide has been approved by the U.S. Food and Drug Administration Issued: 1/2025    
Medication Guide

AVTOZMA® (AV-TOZE'-MAH)

(tocilizumab-anoh) injection

for intravenous use

AVTOZMA® (AV-TOZE'-MAH)

(tocilizumab-anoh) injection

for subcutaneous use
What is the most important information I should know about AVTOZMA?
AVTOZMA can cause serious side effects including:
  • 1.
    Serious Infections. AVTOZMA is a medicine that affects your immune system. AVTOZMA can lower the ability of your immune system to fight infections. Some people have serious infections while taking AVTOZMA, including tuberculosis (TB), and infections caused by bacteria, fungi, or viruses that can spread throughout the body. Some people have died from these infections. Your healthcare provider should assess you for TB before starting AVTOZMA (except if you have COVID-19).
If you have COVID-19, your healthcare provider should monitor you for signs and symptoms of new infections during and after treatment with AVTOZMA.
Your healthcare provider should monitor you closely for signs and symptoms of TB during and after treatment with AVTOZMA.
  • You should not start taking AVTOZMA if you have any kind of infection unless your healthcare provider says it is okay.
Before starting AVTOZMA, tell your healthcare provider if you:
  • think you have an infection or have symptoms of an infection, with or without a fever, such as:
  • sweating or chills
  • shortness of breath
  • warm, red, or painful skin or sores on your body
  • feel very tired
  • muscle aches
  • blood in phlegm
  • diarrhea or stomach pain
  • cough
  • weight loss
  • burning when you urinate or urinating more often than normal
  • are being treated for an infection.
  • get a lot of infections or have infections that keep coming back.
  • have diabetes, HIV, or a weak immune system. People with these conditions have a higher chance for infections.
  • have TB, or have been in close contact with someone with TB.
  • live or have lived, or have traveled to certain parts of the country (such as the Ohio and Mississippi River valleys and the Southwest) where there is an increased chance for getting certain kinds of fungal infections (histoplasmosis, coccidiomycosis, or blastomycosis). These infections may happen or become more severe if you use AVTOZMA. Ask your healthcare provider if you do not know if you have lived in an area where these infections are common.
  • have or have had hepatitis B.
After starting AVTOZMA, call your healthcare provider right away if you have any symptoms of an infection. AVTOZMA can make you more likely to get infections or make worse any infection that you have.
  • 2.
    Tears (perforation) of the stomach or intestines.
    • Tell your healthcare provider if you have had diverticulitis (inflammation in parts of the large intestine) or ulcers in your stomach or intestines. Some people taking AVTOZMA get tears in their stomach or intestine. This happens most often in people who also take nonsteroidal anti-inflammatory drugs (NSAIDs), corticosteroids, or methotrexate.
    • Tell your healthcare provider right away if you have fever and new onset stomach-area pain that does not go away, and a change in your bowel habits.
  • 3.
    Liver problems (Hepatotoxicity): Some people have experienced serious life-threatening liver problems, which required a liver transplant or led to death. Your healthcare provider may tell you to stop taking AVTOZMA if you develop new or worse liver problems during treatment with AVTOZMA. Tell your healthcare provider right away if you have any of the following symptoms:
  • feeling tired (fatigue)
  • lack of appetite for several days or longer (anorexia)
  • yellowing of your skin or the whites of your eyes (jaundice)
  • abdominal swelling and pain on the right side of your stomach-area
  • light colored stools
  • weakness
  • nausea and vomiting
  • confusion
  • dark "tea-colored" urine
  • 4.
    Changes in certain laboratory test results. Your healthcare provider should do blood tests before you start receiving AVTOZMA. If you have rheumatoid arthritis (RA) or giant cell arteritis (GCA) your healthcare provider should do blood tests every 4 to 8 weeks after you start receiving AVTOZMA for the first 6 months and then every 3 months after that. If you have polyarticular juvenile idiopathic arthritis (PJIA) you will have blood tests done every 4 to 8 weeks during treatment. If you have systemic juvenile idiopathic arthritis (SJIA) you will have blood tests done every 2 to 4 weeks during treatment. These blood tests are to check for the following side effects of AVTOZMA:
    • low neutrophil count. Neutrophils are white blood cells that help the body fight off bacterial infections.
    • low platelet count. Platelets are blood cells that help with blood clotting and stop bleeding.
    • increase in certain liver function tests.
    • increase in blood cholesterol levels. You may also have changes in other laboratory tests, such as your blood cholesterol levels. Your healthcare provider should do blood tests to check your cholesterol levels 4 to 8 weeks after you start receiving AVTOZMA.
    Your healthcare provider will determine how often you will have follow-up blood tests. Make sure you get all your follow-up blood tests done as ordered by your healthcare provider.

    You should not receive AVTOZMA if your neutrophil or platelet counts are too low or your liver function tests are too high.

    Your healthcare provider may stop your AVTOZMA treatment for a period of time or change your dose of medicine if needed because of changes in these blood test results.
  • 5.
    Cancer. AVTOZMA may increase your risk of certain cancers by changing the way your immune system works. Tell your healthcare provider if you have ever had any type of cancer.
See "What are the possible side effects with AVTOZMA?" for more information about side effects.
What is AVTOZMA?
AVTOZMA is a prescription medicine called an Interleukin-6 (IL-6) receptor antagonist. AVTOZMA is used:
  • To treat adults with moderately to severely active rheumatoid arthritis (RA), after at least one other medicine called a Disease-Modifying Anti-Rheumatic Drug (DMARD) has been used and did not work well.
  • To treat adults with giant cell arteritis (GCA).
  • To treat people with active PJIA ages 2 and above.
  • To treat people with active SJIA ages 2 and above.
  • To treat hospitalized adults with coronavirus disease 2019 (COVID-19) receiving systemic corticosteroids and requiring supplemental oxygen or mechanical ventilation.
  • AVTOZMA is not approved for subcutaneous use in people with COVID-19.
It is not known if AVTOZMA is safe and effective in children with PJIA or SJIA under 2 years of age or in children with conditions other than PJIA or SJIA.
Do not take AVTOZMA: if you are allergic to tocilizumab products, or any of the ingredients in AVTOZMA. See the end of this Medication Guide for a complete list of ingredients in AVTOZMA.
Before you receive AVTOZMA, tell your healthcare provider about all of your medical conditions, including if you:
  • have an infection. See "What is the most important information I should know about AVTOZMA?"
  • have liver problems.
  • have any stomach-area (abdominal) pain or been diagnosed with diverticulitis or ulcers in your stomach or intestines.
  • have had a reaction to tocilizumab products or any of the ingredients in AVTOZMA before.
  • have or had a condition that affects your nervous system, such as multiple sclerosis.
  • have recently received or are scheduled to receive a vaccine:
    • All vaccines should be brought up-to-date before starting AVTOZMA, unless urgent treatment initiation is required.
    • People who take AVTOZMA should not receive live vaccines.
    • People taking AVTOZMA can receive non-live vaccines.
  • plan to have surgery or a medical procedure.
  • are pregnant or plan to become pregnant. AVTOZMA may harm your unborn baby. Tell your healthcare provider if you become pregnant or think you may be pregnant during treatment with AVTOZMA.
  • are breastfeeding or plan to breastfeed. It is not known if AVTOZMA passes into your breast milk. Talk to your healthcare provider about the best way to feed your baby if you take AVTOZMA.
Tell your healthcare provider about all of the medicines you take, including prescription, over-the-counter medicines, vitamins and herbal supplements. AVTOZMA and other medicines may affect each other causing side effects.
Especially tell your healthcare provider if you take:
  • any other medicines to treat your RA. Taking AVTOZMA with these medicines may increase your risk of infection.
  • medicines that affect the way certain liver enzymes work. Ask your healthcare provider if you are not sure if your medicine is one of these.
Know the medicines you take. Keep a list of them to show to your healthcare provider and pharmacist when you get a new medicine.
How will I receive AVTOZMA?
Into a vein (IV or intravenous infusion) for Rheumatoid Arthritis, Giant Cell Arteritis, PJIA, SJIA or COVID- 19:
  • If your healthcare provider prescribes AVTOZMA as an IV infusion, you will receive AVTOZMA from a healthcare provider through a needle placed in a vein in your arm. The infusion will take about 1 hour to give you the full dose of medicine.
  • For rheumatoid arthritis, giant cell arteritis or PJIA you will receive a dose of AVTOZMA about every 4 weeks.
  • For SJIA you will receive a dose of AVTOZMA about every 2 weeks.
  • For COVID-19, you will receive a single dose of AVTOZMA, and if needed one additional dose.
  • While taking AVTOZMA, you may continue to use other medicines that help treat your rheumatoid arthritis, PJIA, SJIA or COVID-19 such as methotrexate, non-steroidal anti-inflammatory drugs (NSAIDs) and prescription steroids, as instructed by your healthcare provider.
  • Keep all of your follow-up appointments and get your blood tests as ordered by your healthcare provider.
Under the skin (SC or subcutaneous injection) for Rheumatoid Arthritis, Giant Cell Arteritis, PJIA or SJIA:
  • See the Instructions for Use at the end of this Medication Guide for instructions about the right way to prepare and give your AVTOZMA injections at home.
  • AVTOZMA is available as a single-dose Prefilled Syringe or single-dose Prefilled Autoinjector.
  • You may also receive AVTOZMA as an injection under your skin (subcutaneous). If your healthcare provider decides that you or a caregiver can give your injections of AVTOZMA at home, you or your caregiver should receive training on the right way to prepare and inject AVTOZMA. Do not try to inject AVTOZMA until you have been shown the right way to give the injections by your healthcare provider.
  • For PJIA or SJIA, you may self-inject with the Prefilled Syringe or Prefilled Autoinjector, or your caregiver can give you AVTOZMA, if both your healthcare provider and parent/legal guardian find it appropriate.
  • Your healthcare provider will tell you how much AVTOZMA to use and when to use it.
What are the possible side effects with AVTOZMA?
AVTOZMA can cause serious side effects, including:
  • See "What is the most important information I should know about AVTOZMA?"
  • Hepatitis B infection in people who carry the virus in their blood. If you are a carrier of the hepatitis B virus (a virus that affects the liver), the virus may become active while you use AVTOZMA. Your healthcare provider may do blood tests before you start treatment with AVTOZMA and while you are using AVTOZMA. Tell your healthcare provider if you have any of the following symptoms of a possible hepatitis B infection:
  • feel very tired
  • vomiting
  • chills
  • dark urine
  • skin or eyes look yellow
  • clay-colored bowel movements
  • stomach discomfort
  • skin rash
  • little or no appetite
  • fevers
  • muscle aches
  • Serious Allergic Reactions. Serious allergic reactions, including death, can happen with AVTOZMA. These reactions can happen with any infusion or injection of AVTOZMA, even if they did not occur with an earlier infusion or injection. Stop taking AVTOZMA, contact your healthcare provider, and get emergency help right away if you have any of the following signs of a serious allergic reaction:
    • swelling of your face, lips, mouth, or tongue
    • trouble breathing
    • wheezing
    • severe itching
    • skin rash, hives, redness, or swelling outside of the injection site area
    • dizziness or fainting
    • fast heartbeat or pounding in your chest (tachycardia)
    • sweating
  • Nervous system problems. While rare, Multiple Sclerosis has been diagnosed in people who take AVTOZMA. It is not known what effect AVTOZMA may have on some nervous system disorders.
The most common side effects of AVTOZMA include:
  • upper respiratory tract infections (common cold, sinus infections)
  • headache
  • increased blood pressure (hypertension)
  • injection site reactions
Tell your healthcare provider about any side effect that bothers you or does not go away. These are not all the possible side effects of AVTOZMA. For more information, ask your healthcare provider or pharmacist.

Call your doctor for medical advice about side effects. You may report side effects to FDA at 1-800-FDA-1088.
General information about the safe and effective use of AVTOZMA.
Medicines are sometimes prescribed for purposes other than those listed in a Medication Guide. Do not give AVTOZMA to other people, even if they have the same symptoms that you have. It may harm them. You can ask your pharmacist or healthcare provider for information about AVTOZMA that is written for health professionals.
What are the ingredients in AVTOZMA?
Active ingredient: tocilizumab-anoh.

Inactive ingredients of Intravenous AVTOZMA: histidine, L-histidine hydrochloride monohydrate, methionine, polysorbate 80, threonine, and water for Injection.

Inactive ingredients of Subcutaneous AVTOZMA: histidine, L-histidine hydrochloride monohydrate, methionine, polysorbate 80, threonine, and water for Injection.
Manufactured by: CELLTRION, Inc., 23, Academy-ro, Yeonsu-gu, Incheon, 22014, Republic of Korea

US License Number 1996
Distributed by: CELLTRION USA, Inc., One Evertrust Plaza, Suite 1207, Jersey City, NJ 07302, USA
Section 44425-7

Storage and Handling: Do not use beyond expiration date on the container, package, prefilled syringe, or autoinjector. AVTOZMA must be refrigerated at 36°F to 46°F (2ºC to 8ºC). Do not freeze. Protect the vials, syringes, and autoinjectors from light by storage in the original carton until time of use, and keep syringes and autoinjectors dry. Once removed from the refrigerator, the prefilled syringe and autoinjector can be stored at room temperature at or below 77°F (25°C) for up to 3 weeks. The prefilled syringe and autoinjector must always be kept in the carton.

10 Overdosage

There are limited data available on overdoses with tocilizumab products. One case of accidental overdose was reported with intravenous tocilizumab in which a patient with multiple myeloma received a dose of 40 mg per kg. No adverse drug reactions were observed. No serious adverse drug reactions were observed in healthy volunteers who received single doses of up to 28 mg per kg, although all 5 patients at the highest dose of 28 mg per kg developed dose-limiting neutropenia.

In case of an overdose, it is recommended that the patient be monitored for signs and symptoms of adverse reactions. Patients who develop adverse reactions should receive appropriate symptomatic treatment.

11 Description

Tocilizumab-anoh is a recombinant humanized anti-human interleukin 6 (IL-6) receptor monoclonal antibody of the immunoglobulin IgG1κ (gamma 1, kappa) subclass with a typical H2L2 polypeptide structure. Each light chain and heavy chain consists of 214 and 448 amino acids, respectively. The four polypeptide chains are linked intra- and inter-molecularly by disulfide bonds. Tocilizumab-anoh has a molecular weight of approximately 148 kDa. The antibody is produced in mammalian (Chinese hamster ovary) cells.

5.9 Vaccinations

Avoid use of live vaccines concurrently with AVTOZMA as clinical safety has not been established. No data are available on the secondary transmission of infection from persons receiving live vaccines to patients receiving tocilizumab products.

No data are available on the effectiveness of vaccination in patients receiving tocilizumab products. Because IL-6 inhibition may interfere with the normal immune response to new antigens, it is recommended that all patients, particularly pediatric or elderly patients, if possible, be brought up to date with all immunizations in agreement with current immunization guidelines prior to initiating AVTOZMA therapy. The interval between live vaccinations and initiation of AVTOZMA therapy should be in accordance with current vaccination guidelines regarding immunosuppressive agents.

7.3 Live Vaccines

Avoid use of live vaccines concurrently with AVTOZMA [see Warnings and Precautions (5.9)].

8.4 Pediatric Use

AVTOZMA by intravenous use is indicated for the treatment of pediatric patients with:

  • Active systemic juvenile idiopathic arthritis in patients 2 years of age and older
  • Active polyarticular juvenile idiopathic arthritis in patients 2 years of age and older
  • Severe or life-threatening CAR T cell-induced cytokine release syndrome (CRS) in patients with 2 years of age and older.

AVTOZMA by subcutaneous use is indicated for the treatment of pediatric patients with:

  • Active polyarticular juvenile idiopathic arthritis in patients 2 years of age and older
  • Active systemic juvenile idiopathic arthritis in patients 2 years of age and older

The safety and effectiveness of AVTOZMA in pediatric patients with conditions other than PJIA, SJIA or CRS have not been established. The safety and effectiveness in pediatric patients below the age of 2 have not been established in PJIA, SJIA or CRS.

8.5 Geriatric Use

Of the 2644 patients who received tocilizumab in Studies I to V [see Clinical Studies (14)], a total of 435 rheumatoid arthritis patients were 65 years of age and older, including 50 patients 75 years and older. Of the 1069 patients who received tocilizumab-SC in studies SC-I and SC-II there were 295 patients 65 years of age and older, including 41 patients 75 years and older. The frequency of serious infection among tocilizumab treated subjects 65 years of age and older was higher than those under the age of 65. As there is a higher incidence of infections in the elderly population in general, caution should be used when treating the elderly.

Clinical studies that included AVTOZMA for CRS did not include sufficient numbers of patients aged 65 and over to determine whether they respond differently from younger patients. 

In the EMPACTA, COVACTA, and REMDACTA studies, of the 974 COVID-19 patients in the tocilizumab arm, 375 (39%) were 65 years of age or older. No overall differences in safety or effectiveness of tocilizumab were observed between patients 65 years of age and older and those under the age of 65 years of age in these studies [see Adverse Reactions (6.1) and Clinical Studies (14.10)].

In the RECOVERY study, of the 2022 COVID-19 patients in the tocilizumab arm, 930 (46%) were 65 years of age or older. No overall differences in effectiveness of tocilizumab were observed between patients 65 years of age and older and those under the age 65 years of age in this study [see Clinical Studies (14.10)].

14.10 Covid 19 –

The efficacy of tocilizumab for the treatment of COVID-19 was based on RECOVERY (NCT04381936), a randomized, controlled, open-label, platform study, and supported by the results from EMPACTA (NCT04372186), a randomized, double-blind, placebo-controlled study. Results of two other randomized, double-blind, placebo-controlled studies, COVACTA (NCT04320615) and REMDACTA (NCT04409262) which evaluated the efficacy of tocilizumab for the treatment of COVID-19 are also summarized.

5.3 Hepatotoxicity

Serious cases of hepatic injury have been observed in patients taking intravenous or subcutaneous tocilizumab products. Some of these cases have resulted in liver transplant or death. Time to onset for cases ranged from months to years after treatment initiation with tocilizumab products. While most cases presented with marked elevations of transaminases (> 5 times ULN), some cases presented with signs or symptoms of liver dysfunction and only mildly elevated transaminases.

During randomized controlled studies, treatment with tocilizumab was associated with a higher incidence of transaminase elevations [see Adverse Reactions (6.1, 6.2, 6.5, 6.7)]. Increased frequency and magnitude of these elevations was observed when potentially hepatotoxic drugs (e.g., MTX) were used in combination with tocilizumab.

For RA and GCA patients, obtain a liver test panel (serum alanine aminotransferase [ALT], aspartate aminotransferase [AST], alkaline phosphatase, and total bilirubin) before initiating AVTOZMA, every 4 to 8 weeks after start of therapy for the first 6 months of treatment and every 3 months thereafter. It is not recommended to initiate AVTOZMA treatment in RA or GCA patients with elevated transaminases ALT or AST greater than 1.5× ULN. In patients who develop elevated ALT or AST greater than 5× ULN, discontinue AVTOZMA. For recommended modifications based upon increase in transaminases see Dosage and Administration. ( 2.10 )

Patients hospitalized with COVID-19 may have elevated ALT or AST levels. Multi-organ failure with involvement of the liver is recognized as a complication of severe COVID-19. The decision to administer AVTOZMA should balance the potential benefit of treating COVID-19 against the potential risks of acute treatment with AVTOZMA. It is not recommended to initiate AVTOZMA treatment in COVID-19 patients with elevated ALT or AST above 10 × ULN. Monitor ALT and AST during treatment.

Measure liver tests promptly in patients who report symptoms that may indicate liver injury, such as fatigue, anorexia, right upper abdominal discomfort, dark urine or jaundice. In this clinical context, if the patient is found to have abnormal liver tests (e.g., ALT greater than three times the upper limit of the reference range, serum total bilirubin greater than two times the upper limit of the reference range), AVTOZMA treatment should be interrupted and investigation done to establish the probable cause. AVTOZMA should only be restarted in patients with another explanation for the liver test abnormalities after normalization of the liver tests.

A similar pattern of liver enzyme elevation is noted with tocilizumab products treatment in the PJIA and SJIA populations. Monitor liver test panel at the time of the second administration and thereafter every 4 to 8 weeks for PJIA and every 2 to 4 weeks for SJIA.

4 Contraindications

AVTOZMA is contraindicated in patients with known hypersensitivity to tocilizumab products [see Warnings and Precautions (5.6)].

6 Adverse Reactions

The following serious adverse reactions are described elsewhere in labeling:

Because clinical studies are conducted under widely varying conditions, adverse reaction rates observed in the clinical studies of a drug cannot be directly compared to rates in the clinical studies of another drug and may not predict the rates observed in a broader patient population in clinical practice.

8.7 Renal Impairment

No dose adjustment is required in patients with mild or moderate renal impairment. Tocilizumab products have not been studied in patients with severe renal impairment [see Clinical Pharmacology (12.3)].

Instructions for Use

AVTOZMA® (AV-TOZE'-MAH)

(tocilizumab-anoh)

Injection, For Subcutaneous Use

Single-dose Prefilled Syringe

Read and follow the Instructions for Use that come with your AVTOZMA Prefilled Syringe before you start using it and each time you get a refill. There may be new information. Before you use AVTOZMA, make sure your healthcare provider shows you the right way to use it.

Important Information

  • Do not remove the prefilled syringe cap until you are ready to inject AVTOZMA.
  • Do not try to take apart the prefilled syringe at any time.
  • Do not reuse the same syringe.
  • Do not shake the prefilled syringe.
  • Do not use the prefilled syringe if it has been dropped or damaged.

Storing AVTOZMA

  • Store the unused prefilled syringe in the original carton in a refrigerator between 36°F to 46°F (2°C to 8°C). Do not freeze.
  • When removed from the refrigerator, AVTOZMA can be stored up to 3 weeks at or below 77°F (25°C). If not used within the 3 weeks, AVTOZMA should be thrown away (discarded).
  • Keep the prefilled syringe out of direct sunlight.
  • Do not remove the prefilled syringe from its original carton during storage.
  • Do not leave the prefilled syringe unattended.
  • Keep the prefilled syringe out of the reach of children.

Parts of your Prefilled Syringe (See Figure A).

Figure A

Preparing for the Injection

1. Gather the supplies for the injection.a.Prepare a clean, flat surface, such as a table or countertop, in a well-lit area.b.Take the carton containing the prefilled syringe out of the refrigerator.c.Make sure you have the following supplies (see Figure B ):-Carton containing AVTOZMA prefilled syringe

Not included in the carton:-Cotton ball or gauze-Adhesive bandage-FDA-cleared sharps disposal container-Alcohol swab
Figure B
2. Inspect the carton (see Figure C).a.Look at the carton and make sure you have the correct medicine and dose strength. (AVTOZMA)b.Check the expiration (EXP) date on the carton to make sure the date has not passed.
  • Do not use the prefilled syringe if the expiration (EXP) date has passed.
  • Do not use the prefilled syringe if the carton looks like it has been opened or damaged if you are opening the carton for the first time and check to make sure that it is properly sealed.
Figure C
3. Inspect the Prefilled Syringe.a.Open the carton and remove 1 single-dose prefilled syringe from the carton. Return any remaining AVTOZMA prefilled syringes in the carton to the refrigerator.b.Check the expiration (EXP) date on the AVTOZMA prefilled syringe (see Figure D ).
  • Do not use the prefilled syringe if the expiration (EXP) date has passed. If the expiration (EXP) date has passed, safely throw away (dispose of) the prefilled syringe in your FDA-cleared sharps disposal container and get a new one.
c.Check the prefilled syringe to make sure it is not damaged and shows no sign of leakage.
  • Do not use the prefilled syringe if it has been dropped, damaged, or has leaked.
Figure D
4. Wait 30 minutes.a.Leave the prefilled syringe outside of the carton at room temperature between 68°F to 77°F (20°C to 25°C) for 30 minutes to allow it to warm up (see Figure E ).
  • Do not warm the prefilled syringe using heat sources such as hot water or a microwave.
  • Do not leave the prefilled syringe in the direct sunlight.
  • Do not remove the cap while allowing your prefilled syringe to reach room temperature.
  • If the prefilled syringe does not reach room temperature, this could cause discomfort and make it hard to push the plunger.
Figure E
5. Inspect the medicine.a.Hold your AVTOZMA with the cap pointing down.b.Look at the medicine and confirm that the liquid is clear, to slightly pearly and colorless to yellow and does not contain any particles or flakes (see Figure F ).
  • Do not use the prefilled syringe if the liquid is discolored, cloudy, or has particles or flakes in it. Safely dispose of the prefilled syringe in a FDA-cleared sharps disposal container and use a new one.
  • Air bubbles are normal.
Figure F
6. Wash your hands.a.Wash your hands with soap and water and dry them thoroughly (see Figure G ).
Figure G
7. Choose an injection site (see Figure H).a.You may inject into-The front of the thighs-The stomach (abdomen), except for the 2 inches (5 cm) around the belly button.-The outer area of the upper arm (only if you are a caregiver).
  • Do not inject into the upper arm by yourself.
  • Choose a different injection site for each new injection at least 1 inch (2.5 cm) from the last area you injected.
  • Do not inject into moles, scars, bruises, or areas where the skin is tender, red, hard or not intact.
Figure H
8. Clean the injection site.a.Wipe the injection site with an alcohol swab and let it air dry for about 10 seconds (see Figure I ). This will reduce the chance of getting an infection.
  • Do not touch the injection site again before giving the injection.
  • Do not fan or blow on the clean area.
Figure I

Giving the Injection

9. Remove the cap.a.Hold the prefilled syringe by the syringe body using 1 hand.

Gently pull the cap straight off with the other hand (see Figure J ).

Note: If you cannot remove the cap, you should ask a caregiver for help or contact your healthcare provider.
  • Do not hold the plunger while removing the cap.
  • You may see a drop of liquid at the tip of the needle. This is normal.
  • If the prefilled syringe is not used within 5 minutes of needle cap removal, the prefilled syringe should be thrown away (disposed of) in the puncture resistant container or sharps container and a new prefilled syringe should be used.
b.Throw away (dispose of) the cap right away in your FDA-cleared sharps disposal container (see step 14 and Throw away (dispose of) prefilled syringe and Figure N )
  • Do not re-cap the prefilled syringe.
  • Do not touch the needle shield at the tip of the prefilled syringe to avoid accidental needle stick injury.
Figure J
10. Insert the prefilled syringe into the injection site.a.Gently pinch a fold of skin at the injection site with 1 hand.

Note: Pinching the skin is important to make sure that you inject under the skin (into fatty tissue) but not any deeper (into muscle).b.With a quick and "dart-like" motion, insert the Needle completely into the fold of skin at a 45 to 90-degree angle (see Figure K ).

Note: It is important to use the correct angle to make sure the medicine is delivered under the skin (into fatty tissue), or the injection could be painful, and the medicine may not work.
  • Do not touch the plunger while inserting the needle into the skin.
  • Do not pull back on the plunger rod at any time.
Figure K
11. Give the injection.a.After the needle is inserted, release the pinch.b.Slowly push the plunger all the way down until the full dose of medicine gets injected, and the syringe is empty (see Figure L ).
  • Do not change the position of the prefilled syringe after the injection has started.
  • If the plunger is not fully pressed, the needle guard will not extend to cover the needle when it is removed.
  • If the needle is not covered, proceed carefully to dispose of the syringe (see step 14. Throw away (dispose of) prefilled syringe .
Figure L
12. Remove the prefilled syringe from the injection site.a.After the prefilled syringe is empty, remove the needle from the injection site and release the plunger until the entire needle is covered by the guard (see Figure M ).
  • Some bleeding may occur (see step 13. Care for the injection site ).
  • In case of skin contact with medicine, wash the area that touched the medicine with water.
  • Do not reuse the prefilled syringe.
Figure M

After the Injection

13. Care for the injection site.a.If a little bleeding occurs, treat the injection site by gently pressing, not rubbing, a cotton ball or gauze to the site and apply an adhesive bandage if needed.
  • Do not rub the injection site.
14. Throw away (dispose of) the prefilled syringe.a.Put the used prefilled syringe and other supplies in your FDA-cleared sharps disposal container right away after use (see Figure N).

Note: If your injection is given by another person, this person must also be careful when removing the prefilled syringe and disposing of it to prevent accidental needle stick injury and passing infection.
  • Do not re-use the prefilled syringe.
  • Do not put the cap back onto the prefilled syringe.
  • Do not throw away (dispose of) your used sharps disposal container in your household trash.
  • Do not recycle your used sharps disposal container.
  • Keep the AVTOZMA prefilled syringe and disposal container out of the reach of children.
Figure N
If you do not have an FDA-cleared sharps disposal container, you may use a household container that is:-made of a heavy-duty plastic-can be closed with a tight-fitting, puncture-resistant lid, without sharps being able to come out-upright stable during use-leak-resistant-properly labeled to warn of hazardous waste inside the container
When your sharps disposal container is almost full, you will need to follow your community guidelines for the right way to dispose of your sharps disposal container. There may be state or local laws about how you should dispose of used prefilled syringes. For more information about the safe sharps disposal, and for specific information about sharps disposal in the state that you live in, go to the FDA's website at: http://www.fda.gov/safesharpsdisposal.
15. Record your injection.a.Write the date, time, and specific part of your body where you injected yourself.

This Instructions for Use has been approved by the U.S. Food and Drug Administration.

Issued: 1/2025

Manufactured by: CELLTRION, Inc., 23, Academy-ro, Yeonsu-gu, Incheon, 22014, Republic of Korea

US License Number 1996

Distributed by: CELLTRION USA, Inc., One Evertrust Plaza Suite 1207, Jersey City, NJ 07302

12.2 Pharmacodynamics

In clinical studies in RA patients with the 4 mg per kg and 8 mg per kg intravenous doses or the 162 mg weekly and every other weekly subcutaneous doses of tocilizumab, decreases in levels of C-reactive protein (CRP) to within normal ranges were seen as early as week 2. Changes in pharmacodynamic parameters were observed (i.e., decreases in rheumatoid factor, erythrocyte sedimentation rate (ESR), serum amyloid A, fibrinogen and increases in hemoglobin) with doses, however the greatest improvements were observed with 8 mg per kg tocilizumab. Pharmacodynamic changes were also observed to occur after tocilizumab administration in GCA, PJIA, and SJIA patients (decreases in CRP, ESR, and increases in hemoglobin). The relationship between these pharmacodynamic findings and clinical efficacy is not known.

In healthy subjects administered tocilizumab in doses from 2 to 28 mg per kg intravenously and 81 to 162 mg subcutaneously, absolute neutrophil counts decreased to the nadir 3 to 5 days following tocilizumab administration. Thereafter, neutrophils recovered towards baseline in a dose dependent manner. Rheumatoid arthritis and GCA patients demonstrated a similar pattern of absolute neutrophil counts following tocilizumab administration [see Warnings and Precautions (5.4)].

12.3 Pharmacokinetics

PK of tocilizumab is characterized by nonlinear elimination which is a combination of linear clearance and Michaelis-Menten elimination. The nonlinear part of tocilizumab elimination leads to an increase in exposure that is more than dose-proportional. The pharmacokinetic parameters of tocilizumab do not change with time. Due to the dependence of total clearance on tocilizumab serum concentrations, the half-life of tocilizumab is also concentration-dependent and varies depending on the serum concentration level. Population pharmacokinetic analyses in any patient population tested so far indicate no relationship between apparent clearance and the presence of anti-drug antibodies.

5.5 Immunosuppression

The impact of treatment with tocilizumab products on the development of malignancies is not known but malignancies were observed in clinical studies [see Adverse Reactions (6.1)]. AVTOZMA is an immunosuppressant, and treatment with immunosuppressants may result in an increased risk of malignancies.

5.1 Serious Infections

Serious and sometimes fatal infections due to bacterial, mycobacterial, invasive fungal, viral, protozoal, or other opportunistic pathogens have been reported in patients receiving immunosuppressive agents including tocilizumab products. The most common serious infections included pneumonia, urinary tract infection, cellulitis, herpes zoster, gastroenteritis, diverticulitis, sepsis and bacterial arthritis [see Adverse Reactions (6.1)]. Among opportunistic infections, tuberculosis, cryptococcus, aspergillosis, candidiasis, and pneumocystosis were reported with tocilizumab products. Other serious infections, not reported in clinical studies, may also occur (e.g., histoplasmosis, coccidioidomycosis, listeriosis). Patients have presented with disseminated rather than localized disease, and were often taking concomitant immunosuppressants such as methotrexate or corticosteroids which in addition to rheumatoid arthritis may predispose them to infections.

Do not administer AVTOZMA in patients with an active infection, including localized infections. The risks and benefits of treatment should be considered prior to initiating AVTOZMA in patients:

  • with chronic or recurrent infection;
  • who have been exposed to tuberculosis;
  • with a history of serious or an opportunistic infection;
  • who have resided or traveled in areas of endemic tuberculosis or endemic mycoses; or
  • with underlying conditions that may predispose them to infection.

Closely monitor patients for the development of signs and symptoms of infection during and after treatment with AVTOZMA, as signs and symptoms of acute inflammation may be lessened due to suppression of the acute phase reactants [see Dosage and Administration ( 2.10 ), Adverse Reactions (6.1), and Patient Counseling Information (17)].

Hold AVTOZMA if a patient develops a serious infection, an opportunistic infection, or sepsis. A patient who develops a new infection during treatment with AVTOZMA should undergo a prompt and complete diagnostic workup appropriate for an immunocompromised patient, initiate appropriate antimicrobial therapy, and closely monitor the patient.

8.6 Hepatic Impairment

The safety and efficacy of tocilizumab products have not been studied in patients with hepatic impairment, including patients with positive HBV and HCV serology [see Warnings and Precautions (5.8)].

Recent Major Changes 

Indications and Usage (1.5)                              07/2025

Dosage and Administration (2.1, 2.6)                 07/2025

1 Indications and Usage

AVTOZMA® (tocilizumab-anoh) is an interleukin-6 (IL-6) receptor antagonist indicated for treatment of:

Rheumatoid Arthritis (RA) (1.1)

  • Adult patients with moderately to severely active rheumatoid arthritis who have had an inadequate response to one or more Disease-Modifying Anti-Rheumatic Drugs (DMARDs).

Giant Cell Arteritis (GCA) (1.2)

  • Adult patients with giant cell arteritis.

Polyarticular Juvenile Idiopathic Arthritis (PJIA) (1.3)

  • Patients 2 years of age and older with active polyarticular juvenile idiopathic arthritis.

Systemic Juvenile Idiopathic Arthritis (SJIA) (1.4)

  • Patients 2 years of age and older with active systemic juvenile idiopathic arthritis.

Cytokine Release Syndrome (CRS) (1.5)

  • Adults and pediatric patients with 2 years of age and older with chimeric antigen recept (CAR) T cell-induced severe or life-threatening cytokine release syndrome.

Coronavirus Disease 2019 (COVID-19) ( 1.6 )

  • Hospitalized adult patients with coronavirus disease 2019 (COVID-19) who are receiving systemic corticosteroids and require supplemental oxygen, non-invasive or invasive mechanical ventilation, or extracorporeal membrane oxygenation (ECMO).
12.1 Mechanism of Action

Tocilizumab products bind to both soluble and membrane-bound IL-6 receptors (sIL-6R and mIL-6R), and have been shown to inhibit IL-6-mediated signaling through these receptors. IL-6 is a pleiotropic pro-inflammatory cytokine produced by a variety of cell types including T- and B-cells, lymphocytes, monocytes and fibroblasts. IL-6 has been shown to be involved in diverse physiological processes such as T-cell activation, induction of immunoglobulin secretion, initiation of hepatic acute phase protein synthesis, and stimulation of hematopoietic precursor cell proliferation and differentiation. IL-6 is also produced by synovial and endothelial cells leading to local production of IL-6 in joints affected by inflammatory processes such as rheumatoid arthritis.

5 Warnings and Precautions
  • Serious Infections – do not administer AVTOZMA during an active infection, including localized infections. If a serious infection develops, interrupt AVTOZMA until the infection is controlled. (5.1)
  • Gastrointestinal (GI) perforation—use with caution in patients who may be at increased risk. (5.2)
  • Hepatotoxicity- Monitor patients for signs and symptoms of hepatic injury. Modify or discontinue AVTOZMA if abnormal liver tests persist or worsen or if clinical signs and symptoms of liver disease develop. (2.8, 5.3)
  • Laboratory monitoring—recommended due to potential consequences of treatment-related changes in neutrophils, platelets, lipids, and liver function tests. (2.8, 5.4)
  • Hypersensitivity reactions, including anaphylaxis and death and serious cutaneous reactions including Drug Reaction with Eosinophilia and Systemic Symptoms (DRESS) – discontinue AVTOZMA, treat promptly, and monitor until reaction resolves. (5.6)
  • Live vaccines—Avoid use with AVTOZMA. (5.9, 7.3)
2 Dosage and Administration

For RA, pJIA and sJIA, AVTOZMA may be used alone or in combination with methotrexate: and in RA, other non-biologic DMARDs may be used. (2)

General Administration and Dosing Information (2.1)

  • RA, GCA, PJIA and SJIA It is recommended that AVTOZMA not be initiated in patients with an absolute neutrophil count (ANC) below 2000 per mm3, platelet count below 100,000 per mm3, or ALT or AST above 1.5 times the upper limit of normal (ULN)(5.3, 5.4).
  • COVID-19 It is recommended that AVTOZMA not be initiated in patients with an absolute neutrophil count (ANC) below 1000 per mm3, platelet count below 50,000 mm3, or ALT or AST above 10 times ULN (5.3, 5.4).
  • In RA, CRS, or COVID-19 patients, AVTOZMA doses exceeding 800 mg per infusion are not recommended. (2.2, 2.6, 12.3)
  • In GCA patients, AVTOZMA doses exceeding 600 mg per infusion are not recommended. (2.3, 12.3)

Rheumatoid Arthritis ( 2.2)

Recommended Adult Intravenous Dosage:

When used in combination with non-biologic DMARDs or as monotherapy the recommended starting dose is 4 mg per kg every 4 weeks followed by an increase to 8 mg per kg every 4 weeks based on clinical response.

Recommended Adult Subcutaneous Dosage:

Patients less than 100 kg weight 162 mg administered subcutaneously every other week, followed by an increase to every week based on clinical response
Patients at or above 100 kg weight 162 mg administered subcutaneously every week

Giant Cell Arteritis (2.3)

Recommended Adult Intravenous Dosage:

The recommended dose is 6 mg per kg every 4 weeks in combination with a tapering course of glucocorticoids. AVTOZMA can be used alone following discontinuation of glucocorticoids.

Recommended Adult Subcutaneous Dosage:

The recommended dose is 162 mg given once every week as a subcutaneous injection, in combination with a tapering course of glucocorticoids.

A dose of 162 mg given once every other week as a subcutaneous injection, in combination with a tapering course of glucocorticoids, may be prescribed based on clinical considerations.

AVTOZMA can be used alone following discontinuation of glucocorticoids.

Polyarticular Juvenile Idiopathic Arthritis (2.4)

Recommended Intravenous PJIA Dosage Every 4 Weeks
Patients less than 30 kg weight 10 mg per kg
Patients at or above 30 kg weight 8 mg per kg
Recommended Subcutaneous PJIA Dosage
Patients less than 30 kg weight 162 mg once every three weeks
Patients at or above 30 kg weight 162 mg once every two weeks

Systemic Juvenile Idiopathic Arthritis (2.5)

Recommended Intravenous SJIA Dosage Every 2 Weeks
Patients less than 30 kg weight 12 mg per kg
Patients at or above 30 kg weight 8 mg per kg
Recommended Subcutaneous SJIA Dosage
Patients less than 30 kg weight 162 mg every two weeks
Patients at or above 30 kg weight 162 mg every week

Cytokine Release Syndrome ( 2.6 )

Recommened Intravenous CRS Dosage
Patients less than 30 kg weight 12 mg per kg
Patients at or above 30 kg weight 8 mg per kg
Alone or in combination with corticosteroids

Coronavirus Disease 2019 (2.7)

The recommended dosage of AVTOZMA for adult patients with COVID-19 is 8 mg per kg administered by a 60-minute intravenous infusion.

Administration of Intravenous Formulation (2.8)

  • For patients with RA, GCA, COVID-19, CRS, PJIA, and SJIA patients at or above 30 kg, dilute to 100 mL in 0.9% or 0.45% Sodium Chloride Injection, USP for intravenous infusion using aseptic technique.
  • For PJIA, CRS and SJIA patients less than 30 kg, dilute to 50 mL in 0.9% or 0.45% Sodium Chloride Injection, USP for intravenous infusion using aseptic technique.
  • Administer as a single intravenous drip infusion over 1 hour; do not administer as bolus or push.

Administration of Subcutaneous Formulation (2.9)

  • Follow the Instructions for Use for prefilled syringe and prefilled autoinjector

Dose Modifications (2.10)

  • Recommended for management of certain dose-related laboratory changes including elevated liver enzymes, neutropenia, and thrombocytopenia.
5.7 Demyelinating Disorders

The impact of treatment with tocilizumab products on demyelinating disorders is not known, but multiple sclerosis and chronic inflammatory demyelinating polyneuropathy were reported rarely in RA clinical studies. Monitor patients for signs and symptoms potentially indicative of demyelinating disorders. Prescribers should exercise caution in considering the use of AVTOZMA in patients with preexisting or recent onset demyelinating disorders.

9 Drug Abuse and Dependence

No studies on the potential for tocilizumab products to cause dependence have been performed. However, there is no evidence from the available data that tocilizumab products treatment results in dependence.

3 Dosage Forms and Strengths

Intravenous Infusion

Injection: 80 mg/4 mL (20 mg/mL), 200 mg/10 mL (20 mg/mL),

400 mg/20 mL (20 mg/mL) in single-dose vials for further dilution prior to intravenous infusion (3)

Subcutaneous Injection

Injection: 162 mg/0.9 mL in a single-dose prefilled syringe or single-dose prefilled autoinjector (3)

1.1 Rheumatoid Arthritis (ra)

AVTOZMA® (tocilizumab-anoh) is indicated for the treatment of adult patients with moderately to severely active rheumatoid arthritis who have had an inadequate response to one or more Disease-Modifying Anti-Rheumatic Drugs (DMARDs).

14.1 Rheumatoid Arthritis –

The efficacy and safety of intravenously administered tocilizumab was assessed in five randomized, double-blind, multicenter studies in patients greater than 18 years with active rheumatoid arthritis diagnosed according to American College of Rheumatology (ACR) criteria. Patients had at least 8 tender and 6 swollen joints at baseline. Tocilizumab was given intravenously every 4 weeks as monotherapy (Study I), in combination with methotrexate (MTX) (Studies II and III) or other disease-modifying anti-rheumatic drugs (DMARDs) (Study IV) in patients with an inadequate response to those drugs, or in combination with MTX in patients with an inadequate response to TNF antagonists (Study V).

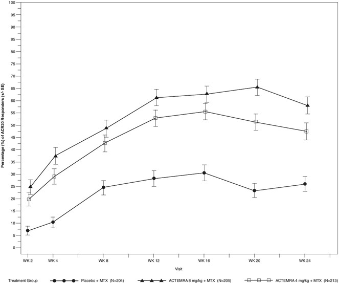
Study I (NCT00109408) evaluated patients with moderate to severe active rheumatoid arthritis who had not been treated with MTX within 24 weeks prior to randomization, or who had not discontinued previous methotrexate treatment as a result of clinically important toxic effects or lack of response. In this study, 67% of patients were MTX-naïve, and over 40% of patients had rheumatoid arthritis less than 2 years. Patients received tocilizumab 8 mg per kg monotherapy or MTX alone (dose titrated over 8 weeks from 7.5 mg to a maximum of 20 mg weekly). The primary endpoint was the proportion of tocilizumab patients who achieved an ACR 20 response at Week 24.

Study II (NCT00106535) was a 104-week study with an optional 156-week extension phase that evaluated patients with moderate to severe active rheumatoid arthritis who had an inadequate clinical response to MTX. Patients received tocilizumab 8 mg per kg, tocilizumab 4 mg per kg, or placebo every four weeks, in combination with MTX (10 to 25 mg weekly). Upon completion of 52-weeks, patients received open-label treatment with tocilizumab 8 mg per kg through 104 weeks or they had the option to continue their double-blind treatment if they maintained a greater than 70% improvement in swollen/tender joint count. Two pre-specified interim analyses at week 24 and week 52 were conducted. The primary endpoint at week 24 was the proportion of patients who achieved an ACR 20 response. At weeks 52 and 104, the primary endpoints were change from baseline in modified total Sharp-Genant score and the area under the curve (AUC) of the change from baseline in HAQ-DI score.

Study III (NCT00106548) evaluated patients with moderate to severe active rheumatoid arthritis who had an inadequate clinical response to MTX. Patients received tocilizumab 8 mg per kg, tocilizumab 4 mg per kg, or placebo every four weeks, in combination with MTX (10 to 25 mg weekly). The primary endpoint was the proportion of patients who achieved an ACR 20 response at week 24.

Study IV (NCT00106574) evaluated patients who had an inadequate response to their existing therapy, including one or more DMARDs. Patients received tocilizumab 8 mg per kg or placebo every four weeks, in combination with the stable DMARDs. The primary endpoint was the proportion of patients who achieved an ACR 20 response at week 24.

Study V (NCT00106522) evaluated patients with moderate to severe active rheumatoid arthritis who had an inadequate clinical response or were intolerant to one or more TNF antagonist therapies. The TNF antagonist therapy was discontinued prior to randomization. Patients received tocilizumab 8 mg per kg, tocilizumab 4 mg per kg, or placebo every four weeks, in combination with MTX (10 to 25 mg weekly). The primary endpoint was the proportion of patients who achieved an ACR 20 response at week 24.

14.2 Rheumatoid Arthritis –

The efficacy and safety of subcutaneously administered tocilizumab was assessed in two double-blind, controlled, multicenter studies in patients with active RA. One study, SC-I (NCT01194414), was a non-inferiority study that compared the efficacy and safety of tocilizumab 162 mg administered every week subcutaneously to 8 mg per kg intravenously every four weeks. The second study, SC-II (NCT01232569), was a placebo controlled superiority study that evaluated the safety and efficacy of tocilizumab 162 mg administered every other week subcutaneously to placebo. Both SC-I and SC-II required patients to be >18 years of age with moderate to severe active rheumatoid arthritis diagnosed according to ACR criteria who had at least 4 tender and 4 swollen joints at baseline (SC-I) or at least 8 tender and 6 swollen joints at baseline (SC-II), and an inadequate response to their existing DMARD therapy, where approximately 20% also had a history of inadequate response to at least one TNF inhibitor. All patients in both SC studies received background non-biologic DMARD(s).

In SC-I, 1262 patients were randomized 1:1 to receive tocilizumab-SC 162 mg every week or intravenous tocilizumab 8 mg/kg every four weeks in combination with DMARD(s). In SC-II, 656 patients were randomized 2:1 to tocilizumab-SC 162 mg every other week or placebo, in combination with DMARD(s). The primary endpoint in both studies was the proportion of patients who achieved an ACR20 response at Week 24.

The clinical response to 24 weeks of tocilizumab-SC therapy is shown in Table 8. In SC-I, the primary outcome measure was ACR20 at Week 24. The pre-specified non-inferiority margin was a treatment difference of 12%. The study demonstrated non-inferiority of tocilizumab with respect to ACR20 at Week 24; ACR50, ACR70, and DAS28 responses are also shown in Table 8. In SC-II, a greater portion of patients treated with tocilizumab 162 mg subcutaneously every other week achieved ACR20, ACR50, and ACR70 responses compared to placebo-treated patients (Table 8). Further, a greater proportion of patients treated with tocilizumab 162 mg subcutaneously every other week achieved a low level of disease activity as measured by a DAS28-ESR less than 2.6 at Week 24 compared to those treated with placebo (Table 8).

Table 8 Clinical Response at Week 24 in Trials of Subcutaneous Tocilizumab (Percent of Patients)
SC-I
Per Protocol Population
SC-II
Intent To Treat Population
TCZ SC 162 mg every week + DMARD TCZ IV 8mg/kg + DMARD TCZ SC 162 mg every other week + DMARD Placebo + DMARD
N=558 N=537 N=437 N=219
TCZ = tocilizumab
ACR20
Week 24 69% 73.4% 61% 32%
Weighted difference (95% CI) -4% (-9.2, 1.2) 30% (22.0, 37.0)
ACR50
Week 24 47% 49% 40% 12%
Weighted difference (95% CI) -2% (-7.5, 4.0) 28% (21.5, 34.4)
ACR70
Week 24 24% 28% 20% 5%
Weighted difference (95% CI) -4% (-9.0, 1.3) 15% (9.8, 19.9)
Change in DAS28 [Adjusted mean]
Week 24 -3.5 -3.5 -3.1 -1.7
Adjusted mean difference (95% CI) 0 (-0.2, 0.1) -1.4 (-1.7, -1.1)
DAS28 < 2.6
Week 24 38.4% 36.9% 32.0% 4.0%
Weighted difference (95% CI) 0.9 (-5.0, 6.8) 28.6 (22.0, 35.2)

The results of the components of the ACR response criteria and the percent of ACR20 responders by visit for tocilizumab-SC in Studies SC-I and SC-II were consistent with those observed for tocilizumab-IV.

14.3 Giant Cell Arteritis –

The efficacy and safety of subcutaneously administered tocilizumab was assessed in a single, randomized, double-blind, multicenter study in patients with active GCA. In Study WA28119 (NCT01791153), 251 screened patients with new-onset or relapsing GCA were randomized to one of four treatment arms. Two subcutaneous doses of tocilizumab (162 mg every week and 162 mg every other week) were compared to two different placebo control groups (pre-specified prednisone-taper regimen over 26 weeks and 52 weeks) randomized 2:1:1:1. The study consisted of a 52-week blinded period, followed by a 104-week open-label extension.

All patients received background glucocorticoid (prednisone) therapy. Each of the tocilizumab-treated groups and one of the placebo-treated groups followed a pre-specified prednisone-taper regimen with the aim to reach 0 mg by 26 weeks, while the second placebo-treated group followed a pre-specified prednisone-taper regimen with the aim to reach 0 mg by 52 weeks designed to be more in keeping with standard practice.

The primary efficacy endpoint was the proportion of patients achieving sustained remission from Week 12 through Week 52. Sustained remission was defined by a patient attaining a sustained (1) absence of GCA signs and symptoms from Week 12 through Week 52, (2) normalization of erythrocyte sedimentation rate (ESR) (to < 30 mm/hr without an elevation to ≥ 30 mm/hr attributable to GCA) from Week 12 through Week 52, (3) normalization of C-reactive protein (CRP) (to < 1 mg/dL, with an absence of successive elevations to ≥ 1mg/dL) from Week 12 through Week 52, and (4) successful adherence to the prednisone taper defined by not more than 100 mg of excess prednisone from Week 12 through Week 52. Tocilizumab 162 mg weekly and 162 mg every other week + 26 weeks prednisone taper both showed superiority in achieving sustained remission from Week 12 through Week 52 compared with placebo + 26 weeks prednisone taper (Table 9). Both tocilizumab treatment arms also showed superiority compared to the placebo + 52 weeks prednisone taper (Table 9).

Table 9 Efficacy Results from Study WA28119
PBO + 26 weeks prednisone taper

N=50
PBO + 52 weeks prednisone taper

N=51
TCZ 162mg SC QW + 26 weeks prednisone taper

N=100
TCZ 162 mg SC Q2W + 26 weeks prednisone taper

N=49
Patients not completing the study to week 52 were classified as non-responders in the primary and key secondary analysis: PBO+26: 6 (12.0%), PBO+52: 5 (9.8%), TCZ QW: 15 (15.0%), TCZ Q2W: 9 (18.4%).

CRP = C-reactive protein

ESR = erythrocyte sedimentation rate

PBO = placebo

Q2W = every other week dose

QW = every week dose

TCZ = tocilizumab
Sustained remission
Sustained remission was achieved by a patient meeting all of the following components: absence of GCA signs and symptomsb, normalization of ESRc, normalization of CRPd and adherence to the prednisone taper regimene
  Responders, n (%) 7 (14.0%) 9 (17.6%) 56 (56.0%) 26 (53.1%)
  Unadjusted difference in proportions vs PBO + 26 weeks taper

  (99.5% CI)
N/A N/A 42.0%

(18.0, 66.0)
39.1%

(12.5, 65.7)
  Unadjusted difference in proportions vs PBO + 52 weeks taper

  (99.5% CI)
N/A N/A 38.4%

(14.4, 62.3)
35.4%

(8.6, 62.2)
Components of Sustained Remission
  Sustained absence of GCA signs and symptoms
Patients who did not have any signs or symptoms of GCA recorded from Week 12 up to Week 52.
, n (%)
20 (40.0%) 23 (45.1%) 69 (69.0%) 28 (57.1%)
  Sustained ESR<30 mm/hr
Patients who did not have an elevated ESR ≥30 mm/hr which was classified as attributed to GCA from Week 12 up to Week 52.
, n (%)
20 (40.0%) 22 (43.1%) 83 (83.0%) 37 (75.5%)
  Sustained CRP normalization
Patients who did not have two or more consecutive CRP records of ≥ 1mg/dL from Week 12 up to Week 52.
, n (%)
17 (34.0%) 13 (25.5%) 72 (72.0%) 34 (69.4%)
  Successful prednisone tapering
Patients who did not enter escape therapy and received ≤ 100mg of additional concomitant prednisone from Week 12 up to Week 52.
, n (%)
10 (20.0%) 20 (39.2%) 60 (60.0%) 28 (57.1%)

The estimated annual cumulative prednisone dose was lower in the two tocilizumab dose groups (medians of 1887 mg and 2207 mg on tocilizumab QW and Q2W, respectively) relative to the placebo arms (medians of 3804 mg and 3902 mg on placebo + 26 weeks prednisone and placebo + 52 weeks prednisone taper, respectively).

6.11 Postmarketing Experience

The following adverse reactions have been identified during post-approval use of tocilizumab products. Because these reactions are reported voluntarily from a population of uncertain size, it is not always possible to reliably estimate their frequency or establish a causal relationship to drug exposure.

  • Hypersensitivity Reactions: Fatal anaphylaxis, Stevens-Johnson Syndrome, Drug Reaction with Eosinophilia and Systemic Symptoms (DRESS) [see Warnings and Precautions (5.6)]
  • Pancreatitis
  • Drug-induced liver injury, Hepatitis, Hepatic failure, Jaundice [see Warnings and Precautions (5.3)]
  • Hypofibrinogenemia
8 Use in Specific Populations
  • Pregnancy: Based on animal data, may cause fetal harm. (8.1)
  • Lactation: Discontinue drug or nursing taking into consideration importance of drug to mother. (8.2)
1.2 Giant Cell Arteritis (gca)

AVTOZMA® (tocilizumab-anoh) is indicated for the treatment of giant cell arteritis (GCA) in adult patients.

17 Patient Counseling Information

Advise the patient to read the FDA-approved patient labeling (Medication Guide and Instructions for Use).

5.2 Gastrointestinal Perforations

Events of gastrointestinal perforation have been reported in clinical trials, primarily as complications of diverticulitis in patients treated with tocilizumab. Use AVTOZMA with caution in patients who may be at increased risk for gastrointestinal perforation. Promptly evaluate patients presenting with fever, new onset abdominal symptoms, and a change in bowel habits for early identification of gastrointestinal perforation [see Adverse Reactions (6.1)].

1.5 Cytokine Release Syndrome (crs)

AVTOZMA® (tocilizumab-anoh) is indicated for the treatment of chimeric antigen receptor (CAR) T cell-induced severe or life-threatening cytokine release syndrome in adults and pediatric patients 2 years of age and older.

Warning: Risk of Serious Infections

Patients treated with tocilizumab products including AVTOZMA are at increased risk for developing serious infections that may lead to hospitalization or death [see Warnings and Precautions (5.1), Adverse Reactions (6.1)]. Most patients who developed these infections were taking concomitant immunosuppressants such as methotrexate or corticosteroids.

If a serious infection develops, interrupt AVTOZMA until the infection is controlled. Reported infections include:

  • Active tuberculosis, which may present with pulmonary or extrapulmonary disease. Patients, except those with COVID-19, should be tested for latent tuberculosis before AVTOZMA use and during therapy. Treatment for latent infection should be initiated prior to AVTOZMA use.
  • Invasive fungal infections, including candidiasis, aspergillosis, and pneumocystis. Patients with invasive fungal infections may present with disseminated, rather than localized, disease.
  • Bacterial, viral and other infections due to opportunistic pathogens.

The risks and benefits of treatment with AVTOZMA should be carefully considered prior to initiating therapy in patients with chronic or recurrent infection.

Patients should be closely monitored for the development of signs and symptoms of infection during and after treatment with AVTOZMA, including the possible development of tuberculosis in patients who tested negative for latent tuberculosis infection prior to initiating therapy [see Warnings and Precautions (5.1)].

1.6 Coronavirus Disease 2019 (covid 19)

AVTOZMA® (tocilizumab-anoh) is indicated for the treatment of coronavirus disease 2019 (COVID-19) in hospitalized adult patients who are receiving systemic corticosteroids and require supplemental oxygen, non- invasive or invasive mechanical ventilation, or extracorporeal membrane oxygenation (ECMO).

2.7 Coronavirus Disease 2019 (covid 19)

Administer AVTOZMA by intravenous infusion only.

The recommended dosage of AVTOZMA for treatment of adult patients with COVID-19 is 8 mg per kg administered as a single 60-minute intravenous infusion. If clinical signs or symptoms worsen or do not improve after the first dose, one additional infusion of AVTOZMA may be administered at least 8 hours after the initial infusion.

  • Doses exceeding 800 mg per infusion are not recommended in patients with COVID-19.
  • Subcutaneous administration is not approved for COVID-19.
7.2 Interactions With Cyp450 Substrates

Cytochrome P450s in the liver are down-regulated by infection and inflammation stimuli including cytokines such as IL-6. Inhibition of IL-6 signaling in RA patients treated with tocilizumab products may restore CYP450 activities to higher levels than those in the absence of tocilizumab products leading to increased metabolism of drugs that are CYP450 substrates. In vitro studies showed that tocilizumab has the potential to affect expression of multiple CYP enzymes including CYP1A2, CYP2B6, CYP2C9, CYP2C19, CYP2D6 and CYP3A4. Its effect on CYP2C8 or transporters is unknown. In vivo studies with omeprazole, metabolized by CYP2C19 and CYP3A4, and simvastatin, metabolized by CYP3A4, showed up to a 28% and 57% decrease in exposure one week following a single dose of tocilizumab, respectively. The effect of tocilizumab products on CYP enzymes may be clinically relevant for CYP450 substrates with narrow therapeutic index, where the dose is individually adjusted. Upon initiation or discontinuation of AVTOZMA, in patients being treated with these types of medicinal products, perform therapeutic monitoring of effect (e.g., warfarin) or drug concentration (e.g., cyclosporine or theophylline) and the individual dose of the medicinal product adjusted as needed. Exercise caution when coadministering AVTOZMA with CYP3A4 substrate drugs where decrease in effectiveness is undesirable, e.g., oral contraceptives, lovastatin, atorvastatin, etc. The effect of tocilizumab products on CYP450 enzyme activity may persist for several weeks after stopping therapy [see Clinical Pharmacology (12.3)].

14.7 Systemic Juvenile Idiopathic Arthritis –

The efficacy of tocilizumab for the treatment of active SJIA was assessed in WA18221 (NCT00642460), a 12- week randomized, double blind, placebo-controlled, parallel group, 2-arm study. Patients treated with or without MTX, were randomized (tocilizumab:placebo = 2:1) to one of two treatment groups: 75 patients received tocilizumab infusions every two weeks at either 8 mg per kg for patients at or above 30 kg or 12 mg per kg for patients less than 30 kg and 37 were randomized to receive placebo infusions every two weeks. Corticosteroid tapering could occur from week six for patients who achieved a JIA ACR 70 response. After 12 weeks or at the time of escape, due to disease worsening, patients were treated with tocilizumab in the open-label extension phase at weight appropriate dosing.

The primary endpoint was the proportion of patients with at least 30% improvement in JIA ACR core set (JIA ACR 30 response) at Week 12 and absence of fever (no temperature at or above 37.5°C in the preceding 7 days). JIA ACR (American College of Rheumatology) responses are defined as the percentage improvement (e.g., 30%, 50%, 70%) in 3 of any 6 core outcome variables compared to baseline, with worsening in no more than 1 of the remaining variables by 30% or more. Core outcome variables consist of physician global assessment, parent per patient global assessment, number of joints with active arthritis, number of joints with limitation of movement, erythrocyte sedimentation rate (ESR), and functional ability (childhood health assessment questionnaire-CHAQ).

Primary endpoint result and JIA ACR response rates at Week 12 are shown in Table 10.

Table 10 Efficacy Findings at Week 12
Tocilizumab

N=75
Placebo

N=37
Primary Endpoint: JIA ACR 30 response + absence of fever
Responders 85% 24%
Weighted difference

(95% CI)
62

(45, 78)
-
JIA ACR Response Rates at Week 12
JIA ACR 30
Responders 91% 24%
Weighted difference
The weighted difference is the difference between the tocilizumab and Placebo response rates, adjusted for the stratification factors (weight, disease duration, background oral corticosteroid dose and background methotrexate use).
67 -
(95% CI)
CI: confidence interval of the weighted difference.
(51, 83)
JIA ACR 50
Responders 85% 11%
Weighted difference
74 -
(95% CI)
(58, 90)
JIA ACR 70
Responders 71% 8%
Weighted difference
63 -
(95% CI)
(46, 80)

The treatment effect of tocilizumab was consistent across all components of the JIA ACR response core variables. JIA ACR scores and absence of fever responses in the open label extension were consistent with the controlled portion of the study (data available through 44 weeks).

14.8 Systemic Juvenile Idiopathic Arthritis –

Subcutaneously administered tocilizumab in pediatric patients with systemic juvenile idiopathic arthritis (SJIA) was assessed in WA28118 (NCT01904292), a 52-week, open-label, multicenter, PK-PD and safety study to determine the appropriate subcutaneous dose of tocilizumab that achieved comparable PK/PD profiles to the tocilizumab-IV regimen.

Eligible patients received tocilizumab subcutaneously dosed according to body weight, with patients weighing at or above 30 kg (n = 26) dosed with 162 mg of tocilizumab every week and patients weighing below 30 kg (n = 25) dosed with 162 mg of tocilizumab every 10 days (n=8) or every 2 weeks (n=17) for 52 weeks. Of these 51 patients, 26 (51%) were naive to subcutaneous tocilizumab and 25 (49%) had been receiving tocilizumab intravenously and switched to subcutaneous tocilizumab at baseline.

The efficacy of subcutaneous tocilizumab in children 2 to 17 years of age is based on pharmacokinetic exposure and extrapolation of the established efficacy of intravenous tocilizumab in systemic JIA patients [see Clinical Pharmacology (12.3) and Clinical Studies (14.7)].

2.2 Recommended Dosage for Rheumatoid Arthritis

AVTOZMA may be used as monotherapy or concomitantly with methotrexate or other non-biologic DMARDs as an intravenous infusion or as a subcutaneous injection.

1.4 Systemic Juvenile Idiopathic Arthritis (sjia)

AVTOZMA® (tocilizumab-anoh) is indicated for the treatment of active systemic juvenile idiopathic arthritis in patients 2 years of age and older.

5.8 Active Hepatic Disease and Hepatic Impairment

Treatment with AVTOZMA is not recommended in patients with active hepatic disease or hepatic impairment [see Adverse Reactions (6.1), Use in Specific Populations (8.6)].

Principal Display Panel  80 Mg/4 Ml Vial Carton

NDC 72606-042-02

Rx only

Avtozma®

(tocilizumab-anoh)

Injection

80 mg/4 mL

(20 mg/mL)

For Intravenous Infusion After Dilution.

Single-Dose Vial.

Discard Unused Portion.

4 vials

CELLTRION USA

CELLTRION

Principal Display Panel 200 Mg/10 Ml Vial Carton

NDC 72606-043-02

Rx only

Avtozma®

(tocilizumab-anoh)

Injection

200 mg/10 mL

(20 mg/mL)

For Intravenous Infusion After Dilution.

Single-Dose Vial.

Discard Unused Portion.

4 vials

CELLTRION USA

CELLTRION

Principal Display Panel 400 Mg/20 Ml Vial Carton

NDC 72606-044-02

Rx only

Avtozma®

(tocilizumab-anoh)

Injection

400 mg/20 mL

(20 mg/mL)

For Intravenous Infusion After Dilution.

Single-Dose Vial.

Discard Unused Portion.

4 vials

CELLTRION USA

CELLTRION

14.5 Polyarticular Juvenile Idiopathic Arthritis –

The efficacy of tocilizumab was assessed in a three-part study, WA19977 (NCT00988221), including an open- label extension in children 2 to 17 years of age with active polyarticular juvenile idiopathic arthritis (PJIA), who had an inadequate response to methotrexate or inability to tolerate methotrexate. Patients had at least 6 months of active disease (mean disease duration of 4.2 ± 3.7 years), with at least five joints with active arthritis (swollen or limitation of movement accompanied by pain and/or tenderness) and/or at least 3 active joints having limitation of motion (mean, 20 ± 14 active joints). The patients treated had subtypes of JIA that at disease onset included Rheumatoid Factor Positive or Negative Polyarticular JIA, or Extended Oligoarticular JIA. Treatment with a stable dose of methotrexate was permitted but was not required during the study. Concurrent use of disease modifying antirheumatic drugs (DMARDs), other than methotrexate, or other biologics (e.g., TNF antagonists or T cell costimulation modulator) were not permitted in the study.

Part I consisted of a 16-week active tocilizumab treatment lead-in period (n=188) followed by Part II, a 24-week randomized double-blind placebo-controlled withdrawal period, followed by Part III, a 64-week open-label period. Eligible patients weighing at or above 30 kg received tocilizumab at 8 mg/kg intravenously once every four weeks. Patients weighing less than 30 kg were randomized 1:1 to receive either tocilizumab 8 mg/kg or 10 mg/kg intravenously every four weeks. At the conclusion of the open-label Part I, 91% of patients taking background MTX in addition to tocilizumab and 83% of patients on tocilizumab monotherapy achieved an ACR 30 response at week 16 compared to baseline and entered the blinded withdrawal period (Part II) of the study. The proportions of patients with JIA ACR 50/70 responses in Part I were 84.0%, and 64%, respectively for patients taking background MTX in addition to tocilizumab and 80% and 55% respectively for patients on tocilizumab monotherapy.

In Part II, patients (ITT, n=163) were randomized to tocilizumab (same dose received in Part I) or placebo in a 1:1 ratio that was stratified by concurrent methotrexate use and concurrent corticosteroid use. Each patient continued in Part II of the study until Week 40 or until the patient satisfied JIA ACR 30 flare criteria (relative to Week 16) and qualified for escape.

The primary endpoint was the proportion of patients with a JIA ACR 30 flare at week 40 relative to week 16. JIA ACR 30 flare was defined as 3 or more of the 6 core outcome variables worsening by at least 30% with no more than 1 of the remaining variables improving by more than 30% relative to Week 16.

Tocilizumab treated patients experienced significantly fewer disease flares compared to placebo-treated patients (26% [21/82] versus 48% [39/81]; adjusted difference in proportions -21%, 95% CI: -35%, -8%).

During the withdrawal phase (Part II), more patients treated with tocilizumab showed JIA ACR 30/50/70 responses at Week 40 compared to patients withdrawn to placebo.

14.6 Polyarticular Juvenile Idiopathic Arthritis –

Subcutaneously administered tocilizumab in pediatric patients with polyarticular juvenile idiopathic arthritis (PJIA) was assessed in WA28117 (NCT01904279), a 52-week, open-label, multicenter, PK-PD and safety study to determine the appropriate subcutaneous dose of tocilizumab that achieved comparable PK/PD profiles to the tocilizumab-IV regimen. PJIA patients aged 1 to 17 years with an inadequate response or inability to tolerate MTX, including patients with well-controlled disease on treatment with tocilizumab-IV and tocilizumab-naïve patients with active disease, were treated with subcutaneous tocilizumab based on body weight.

Patients weighing at or above 30 kg (n = 25) were treated with 162 mg of tocilizumab-SC every 2 weeks and patients weighing less than 30 kg (n = 27) received 162 mg of tocilizumab-SC every 3 weeks for 52 weeks. Of these 52 patients, 37 (71%) were naive to tocilizumab and 15 (29%) had been receiving tocilizumab-IV and switched to tocilizumab-SC at baseline.

The efficacy of subcutaneous tocilizumab in children 2 to 17 years of age is based on pharmacokinetic exposure and extrapolation of the established efficacy of intravenous tocilizumab in polyarticular JIA patients and subcutaneous tocilizumab in patients with RA [see Clinical Pharmacology (12.3) and Clinical Studies (14.2 and 14.5)].

5.6 Hypersensitivity Reactions, Including Anaphylaxis

Hypersensitivity reactions, including anaphylaxis, have been reported in association with tocilizumab products and anaphylactic events with a fatal outcome have been reported with intravenous infusion of tocilizumab products. Anaphylaxis and other hypersensitivity reactions that required treatment discontinuation were reported in 0.1% (3 out of 2644) of patients in the 6-month controlled trials of intravenous tocilizumab, 0.2% (8 out of 4009) of patients in the intravenous all-exposure RA population, 0.7% (8 out of 1068) in the subcutaneous 6-month controlled RA trials, and in 0.7% (10 out of 1465) of patients in the subcutaneous all- exposure population. In the SJIA controlled trial with intravenous tocilizumab, 1 out of 112 patients (0.9%) experienced hypersensitivity reactions that required treatment discontinuation. In the PJIA controlled trial with intravenous tocilizumab, 0 out of 188 patients (0%) in the tocilizumab all-exposure population experienced hypersensitivity reactions that required treatment discontinuation. Reactions that required treatment discontinuation included generalized erythema, rash, and urticaria. Injection site reactions were categorized separately [see Adverse Reactions (6)].

In the postmarketing setting, events of hypersensitivity reactions, including anaphylaxis and death have occurred in patients treated with a range of doses of intravenous tocilizumab products, with or without concomitant therapies. Events have occurred in patients who received premedication. Hypersensitivity, including anaphylaxis events, have occurred both with and without previous hypersensitivity reactions and as early as the first infusion of tocilizumab products [see Adverse Reactions (6.10)]. In addition, serious cutaneous reactions, including Drug Reaction with Eosinophilia and Systemic Symptoms (DRESS), have been reported in patients with autoinflammatory conditions treated with tocilizumab products.

AVTOZMA for intravenous use should only be infused by a healthcare professional with appropriate medical support to manage anaphylaxis. For AVTOZMA subcutaneous injection, advise patients to seek immediate medical attention if they experience any symptoms of a hypersensitivity reaction. If a hypersensitivity reaction occurs, immediately discontinue AVTOZMA, treat promptly and monitor until signs and symptoms resolve .

1.3 Polyarticular Juvenile Idiopathic Arthritis (pjia)

AVTOZMA® (tocilizumab-anoh) is indicated for the treatment of active polyarticular juvenile idiopathic arthritis in patients 2 years of age and older.

14.4 Giant Cell Arteritis – Intravenous Administration

Intravenously administered tocilizumab in patients with GCA was assessed in WP41152 (NCT03923738), an open-label PK-PD and safety study to determine the appropriate intravenous dose of tocilizumab that achieved comparable PK-PD profiles to the tocilizumab-SC regimen.

At enrollment, all patients (n=24) were in remission on tocilizumab-IV. In Period 1, all patients received open- label tocilizumab-IV 7 mg/kg every 4 weeks for 20 weeks. Patients who completed Period 1 and remained in remission (n=22) were eligible to enter Period 2, and received open-label tocilizumab-IV 6 mg/kg every 4 weeks for 20 weeks.

The efficacy of intravenous tocilizumab 6 mg/kg in adult patients with GCA is based on pharmacokinetic exposure and extrapolation to the efficacy established for subcutaneous tocilizumab in patients with GCA [see Clinical Pharmacology (12.3) and Clinical Studies (14.3)].

7.1 Concomitant Drugs for Treatment of Adult Indications

In RA patients, population pharmacokinetic analyses did not detect any effect of methotrexate (MTX), non- steroidal anti-inflammatory drugs or corticosteroids on tocilizumab clearance. Concomitant administration of a single intravenous dose of 10 mg/kg tocilizumab with 10-25 mg MTX once weekly had no clinically significant effect on MTX exposure. Tocilizumab products have not been studied in combination with biological DMARDs such as TNF antagonists [see Dosage and Administration (2.2)].

In GCA patients, no effect of concomitant corticosteroid on tocilizumab exposure was observed.

13.1 Carcinogenesis, Mutagenesis, Impairment of Fertility

No long-term animal studies have been performed to establish the carcinogenicity potential of tocilizumab products. Literature indicates that the IL-6 pathway can mediate anti-tumor responses by promoting increased immune cell surveillance of the tumor microenvironment. However, available published evidence also supports that IL-6 signaling through the IL-6 receptor may be involved in pathways that lead to tumorigenesis. The malignancy risk in humans from an antibody that disrupts signaling through the IL-6 receptor, such as tocilizumab, is presently unknown.

Fertility and reproductive performance were unaffected in male and female mice that received a murine analogue of tocilizumab administered by the intravenous route at a dose of 50 mg/kg every three days.

14.9 Cytokine Release Syndrome Intravenous Administration

The efficacy of tocilizumab for the treatment of CRS was assessed in a retrospective analysis of pooled outcome data from clinical trials of CAR T-cell therapies for hematological malignancies. Evaluable patients had been treated with tocilizumab 8 mg/kg (12 mg/kg for patients < 30 kg) with or without additional high-dose corticosteroids for severe or life-threatening CRS; only the first episode of CRS was included in the analysis. The study population included 24 males and 21 females (total 45 patients) of median age 12 years (range, 3–23 years); 82% were Caucasian. The median time from start of CRS to first dose of tocilizumab was 4 days (range, 0-18 days). Resolution of CRS was defined as lack of fever and off vasopressors for at least 24 hours. Patients were considered responders if CRS resolved within 14 days of the first dose of tocilizumab, if no more than 2 doses of tocilizumab were needed, and if no drugs other than tocilizumab and corticosteroids were used for treatment. Thirty-one patients (69%; 95% CI: 53%–82%) achieved a response. Achievement of resolution of CRS within 14 days was confirmed in a second study using an independent cohort that included 15 patients (range: 9–75 years old) with CAR T cell-induced CRS.

2.6 recommended Dosage for Cytokine Release Syndrome (crs)

Use only the intravenous route for treatment of CRS. The recommended dose of AVTOZMA for treatment of CRS given as a 60-minute intravenous infusion is:

 Recommended Intravenous CRS Dosage
Patients less than 30 kg weight  12 mg per kg
Patients at or above 30 kg weight    8 mg per kg
 Alone or in combination with corticosteroids

• If no clinical improvement in the signs and symptoms of CRS occurs after the first dose, up to 3 additional does of AVTOZMA may be administered. The interval between consecutive doses should be at least 8 hours.

• Doses exceeding 800 mg per infusion are not recommended in CRS patients.

• Subcutaneous administration is not approved for CRS.

2.5 Recommended Dosage for Systemic Juvenile Idiopathic Arthritis

AVTOZMA may be used as an intravenous infusion or as a subcutaneous injection alone or in combination with methotrexate. Do not change a dose based solely on a single visit body weight measurement, as weight may fluctuate.

Principal Display Panel 4 Autoinjectors Carton Ndc 72606 045 06

Avtozma®

(tocilizumab-anoh)

Injection

162 mg/0.9 mL

FOR SUBCUTANEOUS USE ONLY

ATTENTION: Dispense the enclosed

Medication Guide to each patient

NDC 72606-045-06

Rx only

Each carton contains 4 single-dose Autoinjectors,

1 Medication Guide,

1 Prescribing Information and 1 Instructions for Use

4

single-dose

Autoinjectors

CELLTRION USA

CELLTRION

Principal Display Panel 12 Autoinjectors Carton Ndc 72606 045 06

Avtozma®

(tocilizumab-anoh)

Injection

162 mg/0.9 mL

FOR SUBCUTANEOUS USE ONLY

ATTENTION: Dispense the enclosed

Medication Guide to each patient

Multipack contains:

  • Three cartons
  • Each carton contains four 0.9-mL single-dose autoinjectors
  • 1 Medication Guide
  • 1 Prescribing Information
  • 1 Instructions for Use

NDC 72606-045-06

Rx only

Multipack:

12 (3 packs of 4) autoinjectors

12

single-dose

Autoinjectors

CELLTRION USA

CELLTRION

2.4 Recommended Dosage for Polyarticular Juvenile Idiopathic Arthritis

AVTOZMA may be used as an intravenous infusion or as a subcutaneous injection alone or in combination with methotrexate. Do not change dose based solely on a single visit body weight measurement, as weight may fluctuate.

Principal Display Panel 4 Prefilled Syringe Carton Ndc 72606 045 03

Avtozma®

(tocilizumab-anoh)

Injection

162 mg/0.9 mL

FOR SUBCUTANEOUS USE ONLY

ATTENTION: Dispense the enclosed

Medication Guide to each patient

NDC 72606-045-03

Rx only

Each carton contains 4 single-dose Prefilled syringes with safety guard,

1 Medication Guide,

1 Prescribing Information and 1 Instructions for Use

4

single-dose

Prefilled syringe with safety guard

CELLTRION USA

CELLTRION

2.8 Preparation and Administration Instructions for Intravenous Infusion

AVTOZMA for intravenous infusion should be diluted by a healthcare professional using aseptic technique as follows:

  • Use a sterile needle and syringe to prepare AVTOZMA.
  • Patients less than 30 kg: use a 50 mL infusion bag or bottle of 0.9% or 0.45% Sodium Chloride Injection, USP, and then follow steps 1 and 2 below.
  • Patients at or above 30 kg weight: use a 100 mL infusion bag or bottle, and then follow steps 1 and 2 below.
  • Step 1. Withdraw a volume of 0.9% or 0.45% Sodium Chloride Injection, USP, equal to the volume of the AVTOZMA injection required for the patient's dose from the infusion bag or bottle [see Dosage and Administration (2.2, 2.4, 2.5, 2.6)].
For Intravenous Use: Volume of AVTOZMA Injection per kg of Body Weight
Dosage Indication Volume of AVTOZMA injection per kg of body weight
4 mg/kg Adult RA 0.2 mL/kg
6 mg/kg Adult GCA 0.3 mL/kg
8 mg/kg Adult RA

Adult COVID-19

SJIA, PJIA and CRS (greater than or equal to 30 kg of body weight)
0.4 mL/kg
10 mg/kg PJIA (less than 30 kg of body weight) 0.5 mL/kg
12 mg/kg SJIA and CRS (less than 30 kg of body weight) 0.6 mL/kg
  • Step 2. Withdraw the amount of AVTOZMA for intravenous infusion from the vial(s) and add slowly into the 0.9% or 0.45% Sodium Chloride Injection, USP infusion bag or bottle. To mix the solution, gently invert the bag to avoid foaming.
  • The fully diluted AVTOZMA solutions for infusion using 0.9% Sodium Chloride Injection, USP may be stored at 36°F to 46°F (2°C to 8°C) for up to 48 hours or room temperature up to 86°F (30°C) for up to 4 hours and should be protected from light.
  • The fully diluted AVTOZMA solutions for infusion using 0.45% Sodium Chloride Injection, USP may be stored at 36°F to 46°F (2°C to 8°C) for up to 48 hours or room temperature up to 86°F (30°C) for up to 4 hours and should be protected from light.
  • AVTOZMA solutions do not contain preservatives; therefore, unused product remaining in the vials should not be used.
  • Allow the fully diluted AVTOZMA solution to reach room temperature prior to infusion.
  • The infusion should be administered over 60 minutes, and must be administered with an infusion set. Do not administer as an intravenous push or bolus.
  • AVTOZMA should not be infused concomitantly in the same intravenous line with other drugs. No physical or biochemical compatibility studies have been conducted to evaluate the co-administration of AVTOZMA with other drugs.
  • Parenteral drug products should be inspected visually for particulate matter and discoloration prior to administration, whenever solution and container permit. If particulates and discolorations are noted, the product should not be used.
  • Fully diluted AVTOZMA solutions are compatible with polypropylene, polyethylene and polyvinyl chloride infusion bags and polypropylene, polyethylene and glass infusion bottles.
Principal Display Panel 12 Prefilled Syringe Carton Ndc 72606 045 03

Avtozma®

(tocilizumab-anoh)

Injection

162 mg/0.9 mL

FOR SUBCUTANEOUS USE ONLY

ATTENTION: Dispense the enclosed

Medication Guide to each patient

Multipack contains:

  • Three cartons
  • Each carton contains four 0.9-mL single-dose prefilled syringes with safety guard
  • 1 Medication Guide
  • 1 Prescribing Information
  • 1 Instructions for Use

NDC 72606-045-03

Rx only

Multipack:

12 (3 packs of 4) prefilled syringes with safety guard

12

single-dose

Prefilled syringes with safety guard

CELLTRION USA

CELLTRION

2.9 Preparation and Administration Instructions for Subcutaneous Injection
  • AVTOZMA for subcutaneous injection is not intended for intravenous drip infusion.

    Assess suitability of patient for subcutaneous home use and instruct patients to inform a healthcare professional before administering the next dose if they experience any symptoms of allergic reaction. Patients should seek immediate medical attention if they develop symptoms of serious allergic reactions. AVTOZMA subcutaneous injection is intended for use under the guidance of a healthcare practitioner. After proper training in subcutaneous injection technique, a patient may self-inject AVTOZMA or the patient's caregiver may administer AVTOZMA if a healthcare practitioner determines that it is appropriate. PJIA and SJIA patients may self-inject with the AVTOZMA prefilled syringe or prefilled autoinjector, or the patient's caregiver may administer AVTOZMA if both the healthcare practitioner and the parent/legal guardian determines it is appropriate [see Use in Specific Populations (8.4)]. Patients, or patient caregivers, should be instructed to follow the directions provided in the Instructions for Use (IFU) for additional details on medication administration.
  • Parenteral drug products should be inspected visually for particulate matter and discoloration prior to administration. Do not use AVTOZMA prefilled syringes (PFS) or prefilled autoinjector (AI) exhibiting particulate matter, cloudiness, or discoloration. AVTOZMA for subcutaneous administration should be clear to slightly opalescent and colorless to yellow. Do not use if any part of the PFS or AI appears to be damaged.
  • Patients using AVTOZMA for subcutaneous administration should be instructed to inject the full amount in the syringe (0.9 mL) or full amount in the autoinjector (0.9 mL), which provides 162 mg of AVTOZMA, according to the directions provided in the IFU.
  • Injection sites should be rotated with each injection and should never be given into moles, scars, or areas where the skin is tender, bruised, red, hard, or not intact.
Principal Display Panel 162 Mg/0.9 Ml Autoinjector Carton Ndc 72606 045 04

Avtozma®

(tocilizumab-anoh)

Injection

162 mg/0.9 mL

FOR SUBCUTANEOUS USE ONLY

ATTENTION: Dispense the enclosed Medication Guide to each patient

NDC 72606-045-04

Rx only

Each carton contains 1 single-dose Autoinjector,

1 Medication Guide,

1 Prescribing Information and 1 Instructions for Use

1

single-dose

Autoinjector

CELLTRION USA

CELLTRION

Principal Display Panel 162 Mg/0.9 Ml Autoinjectors Carton Ndc 72606 045 05

Avtozma®

(tocilizumab-anoh)

Injection

162 mg/0.9 mL

FOR SUBCUTANEOUS USE ONLY

ATTENTION: Dispense the enclosed

Medication Guide to each patient

NDC 72606-045-05

Rx only

Each carton contains 4 single-dose Autoinjectors,

1 Medication Guide,

1 Prescribing Information and 1 Instructions for Use

4

single-dose

Autoinjectors

CELLTRION USA

CELLTRION

Principal Display Panel 162 Mg/0.9 Ml Prefilled Syringe Carton Ndc 72606 045 01

Avtozma®

(tocilizumab-anoh)

Injection

162 mg/0.9 mL

FOR SUBCUTANEOUS USE ONLY

ATTENTION: Dispense the enclosed

Medication Guide to each patient

NDC 72606-045-01

Rx only

Each carton contains 1 single-dose Prefilled syringe with safety guard,

1 Medication Guide,

1 Prescribing Information and 1 Instructions for Use

1

single-dose

Prefilled syringe with safety guard

CELLTRION USA

CELLTRION

Principal Display Panel 162 Mg/0.9 Ml Prefilled Syringe Carton Ndc 72606 045 02

Avtozma®

(tocilizumab-anoh)

Injection

162 mg/0.9 mL

FOR SUBCUTANEOUS USE ONLY

ATTENTION: Dispense the enclosed

Medication Guide to each patient

NDC 72606-045-02

Rx only

Each carton contains 4 single-dose Prefilled syringes with safety guard,

1 Medication Guide,

1 Prescribing Information and 1 Instructions for Use

4

single-dose

Prefilled syringe with safety guard

CELLTRION USA

CELLTRION

6.10 Clinical Trials Experience in Covid 19 Patients Treated With Intravenous Tocilizumab (tocilizumab Iv)

The safety of tocilizumab in hospitalized COVID-19 patients was evaluated in a pooled safety population that includes patients enrolled in EMPACTA, COVACTA, AND REMDACTA. The analysis of adverse reactions included a total of 974 patients exposed to tocilizumab. Patients received a single, 60-minute infusion of intravenous tocilizumab 8 mg/kg (maximum dose of 800 mg). If clinical signs or symptoms worsened or did not improve, one additional dose of tocilizumab 8 mg/kg could be administered between 8- 24 hours after the initial dose.

Adverse reactions summarized in Table 3 occurred in at least 3% of tocilizumab-treated patients and more commonly than in patients on placebo in the pooled safety population.

Table 3 Adverse Reactions
Patients are counted once for each category regardless of the number of reactions
Identified From the Pooled COVID-19 Safety Population
Adverse Reaction Tocilizumab 8 mg per kg Placebo
N = 974

(%)
N = 483

(%)
Hepatic Transaminases increased 10% 8%
Constipation 9 % 8%
Urinary tract infection 5% 4%
Hypertension 4% 1%
Hypokalaemia 4% 3%
Anxiety 4% 2%
Diarrhea 4% 2%
Insomnia 4% 3%
Nausea 3% 2%

In the pooled safety population, the rates of infection/serious infection events were 30%/19% in patients receiving tocilizumab versus 32%/23% receiving placebo.

6.1 Clinical Trials Experience in Rheumatoid Arthritis Patients Treated With Intravenous Tocilizumab (tocilizumab Iv)

The tocilizumab-IV data in rheumatoid arthritis (RA) includes 5 double-blind, controlled, multicenter studies. In these studies, patients received doses of tocilizumab-IV 8 mg per kg monotherapy (288 patients), tocilizumab- IV 8 mg per kg in combination with DMARDs (including methotrexate) (1582 patients), or tocilizumab-IV 4 mg per kg in combination with methotrexate (774 patients).

The all exposure population includes all patients in registration studies who received at least one dose of tocilizumab-IV. Of the 4009 patients in this population, 3577 received treatment for at least 6 months, 3309 for at least one year; 2954 received treatment for at least 2 years and 2189 for 3 years.

All patients in these studies had moderately to severely active rheumatoid arthritis. The study population had a mean age of 52 years, 82% were female and 74% were Caucasian.

The most common serious adverse reactions were serious infections [see Warnings and Precautions (5.1)]. The most commonly reported adverse reactions in controlled studies up to 24 weeks (occurring in at least 5% of patients treated with tocilizumab-IV monotherapy or in combination with DMARDs) were upper respiratory tract infections, nasopharyngitis, headache, hypertension and increased ALT.

The proportion of patients who discontinued treatment due to any adverse reactions during the double-blind, placebo-controlled studies was 5% for patients taking tocilizumab-IV and 3% for placebo-treated patients. The most common adverse reactions that required discontinuation of tocilizumab-IV were increased hepatic transaminase values (per protocol requirement) and serious infections.

6.4 Clinical Trials Experience in Giant Cell Arteritis Patients Treated With Intravenous Tocilizumab (tocilizumab Iv)

The safety of tocilizumab-IV was studied in an open label PK-PD and safety study in 24 patients with GCA who were in remission on tocilizumab-IV at time of enrollment. Patients received tocilizumab 7 mg/kg every 4 weeks for 20 weeks, followed by 6 mg/kg every 4 weeks for 20 weeks. The total patient years exposure to treatment was 17.5 years. The overall safety profile observed for tocilizumab administered intravenously in GCA patients was consistent with the known safety profile of tocilizumab.

6.2 Clinical Trials Experience in Rheumatoid Arthritis Patients Treated With Subcutaneous Tocilizumab (tocilizumab Sc)

The tocilizumab-SC data in rheumatoid arthritis (RA) includes 2 double-blind, controlled, multicenter studies. Study SC-I was a non-inferiority study that compared the efficacy and safety of tocilizumab 162 mg administered every week subcutaneously and 8 mg/kg intravenously every four weeks in 1262 adult subjects with rheumatoid arthritis. Study SC-II was a placebo controlled superiority study that evaluated the safety and efficacy of tocilizumab 162 mg administered every other week subcutaneously or placebo in 656 patients. All patients in both studies received background non-biologic DMARDs.

The safety observed for tocilizumab-SC administered subcutaneously was consistent with the known safety profile of intravenous tocilizumab, with the exception of injection site reactions (ISRs), which were more common with tocilizumab-SC compared with placebo SC injections (IV arm).

6.3 Clinical Trials Experience in Giant Cell Arteritis Patients Treated With Subcutaneous Tocilizumab (tocilizumab Sc)

The safety of subcutaneous tocilizumab has been studied in one Phase III study (WA28119) with 251 GCA patients. The total patient years duration in the tocilizumab-SC GCA all exposure population was 138.5 patient years during the 12-month double blind, placebo-controlled phase of the study. The overall safety profile observed in the tocilizumab-SC treatment groups was generally consistent with the known safety profile of tocilizumab. There was an overall higher incidence of infections in GCA patients relative to RA patients. The rate of infection/serious infection events was 200.2/9.7 events per 100 patient years in the tocilizumab-SC weekly group and 160.2/4.4 events per 100 patient years in the tocilizumab-SC every other week group as compared to 156.0/4.2 events per 100 patient years in the placebo + 26 week prednisone taper and 210.2/12.5 events per 100 patient years in the placebo + 52 week taper groups.

6.9 Clinical Trials Experience in Patients With Cytokine Release Syndrome Treated With Intravenous Avtozma (tocilizumab Iv)

In a retrospective analysis of pooled outcome data from multiple clinical trials 45 patients were treated with tocilizumab 8 mg/kg (12 mg/kg for patients less than 30 kg) with or without additional high-dose corticosteroids for severe or life-threatening CAR T cell-induced CRS. A median of 1 dose of tocilizumab (range, 1-4 doses) was administered. No adverse reactions related to tocilizumab were reported [see Clinical Studies (14.9)].

6.7 Clinical Trials Experience in Systemic Juvenile Idiopathic Arthritis Patients Treated With Intravenous Tocilizumab (tocilizumab Iv)

The data described below reflect exposure to tocilizumab-IV in one randomized, double-blind, placebo- controlled trial of 112 pediatric patients with SJIA 2 to 17 years of age who had an inadequate clinical response to nonsteroidal anti-inflammatory drugs (NSAIDs) or corticosteroids due to toxicity or lack of efficacy. At baseline, approximately half of the patients were taking 0.3 mg/kg/day corticosteroids or more, and almost 70% were taking methotrexate. The trial included a 12 week controlled phase followed by an open-label extension. In the 12 week double-blind, controlled portion of the clinical study 75 patients received treatment with tocilizumab- IV (8 or 12 mg per kg based upon body weight). After 12 weeks or at the time of escape, due to disease worsening, patients were treated with tocilizumab-IV in the open-label extension phase.

The most common adverse events (at least 5%) seen in tocilizumab-IV treated patients in the 12 week controlled portion of the study were: upper respiratory tract infection, headache, nasopharyngitis and diarrhea.

6.8 Clinical Trials Experience in Systemic Juvenile Idiopathic Arthritis Patients Treated With Subcutaneous Tocilizumab (tocilizumab Sc)

The safety profile of tocilizumab-SC was studied in 51 pediatric patients 1 to 17 years of age with SJIA who had an inadequate clinical response to NSAIDs and corticosteroids. In general, the safety observed for tocilizumab administered subcutaneously was consistent with the known safety profile of intravenous tocilizumab, with the exception of ISRs where a higher frequency was observed in tocilizumab-SC treated SJIA patients compared to PJIA patients and adult RA or GCA patients [see Adverse Reactions (6.2, 6.3 and 6.6)].

6.5 Clinical Trials Experience in Polyarticular Juvenile Idiopathic Arthritis Patients Treated With Intravenous Tocilizumab (tocilizumab Iv)

The safety of tocilizumab-IV was studied in 188 pediatric patients 2 to 17 years of age with PJIA who had an inadequate clinical response or were intolerant to methotrexate. The total patient exposure in the tocilizumab-IV all exposure population (defined as patients who received at least one dose of tocilizumab-IV) was 184.4 patient years. At baseline, approximately half of the patients were taking oral corticosteroids and almost 80% were taking methotrexate. In general, the types of adverse drug reactions in patients with PJIA were consistent with those seen in RA and SJIA patients [see Adverse Reactions (6.1 and 6.7)].

6.6 Clinical Trials Experience in Polyarticular Juvenile Idiopathic Arthritis Patients Treated With Subcutaneous Tocilizumab (tocilizumab Sc)

The safety of tocilizumab-SC was studied in 52 pediatric patients 1 to 17 years of age with PJIA who had an inadequate clinical response or were intolerant to methotrexate. The total patient exposure in the PJIA tocilizumab-SC population (defined as patients who received at least one dose of tocilizumab-SC and accounting for treatment discontinuation) was 49.5 patient years. In general, the safety observed for tocilizumab administered subcutaneously was consistent with the known safety profile of intravenous tocilizumab, with the exception of injection site reactions (ISRs), and neutropenia.


Structured Label Content

Section 42229-5 (42229-5)

Not Recommended for Concomitant Use with Biological DMARDs

Tocilizumab products have not been studied in combination with biological DMARDs such as TNF antagonists, IL-1R antagonists, anti-CD20 monoclonal antibodies and selective co-stimulation modulators because of the possibility of increased immunosuppression and increased risk of infection. Avoid using AVTOZMA with biological DMARDs.

Section 42231-1 (42231-1)
Medication Guide has been approved by the U.S. Food and Drug Administration Issued: 1/2025    
Medication Guide

AVTOZMA® (AV-TOZE'-MAH)

(tocilizumab-anoh) injection

for intravenous use

AVTOZMA® (AV-TOZE'-MAH)

(tocilizumab-anoh) injection

for subcutaneous use
What is the most important information I should know about AVTOZMA?
AVTOZMA can cause serious side effects including:
  • 1.
    Serious Infections. AVTOZMA is a medicine that affects your immune system. AVTOZMA can lower the ability of your immune system to fight infections. Some people have serious infections while taking AVTOZMA, including tuberculosis (TB), and infections caused by bacteria, fungi, or viruses that can spread throughout the body. Some people have died from these infections. Your healthcare provider should assess you for TB before starting AVTOZMA (except if you have COVID-19).
If you have COVID-19, your healthcare provider should monitor you for signs and symptoms of new infections during and after treatment with AVTOZMA.
Your healthcare provider should monitor you closely for signs and symptoms of TB during and after treatment with AVTOZMA.
  • You should not start taking AVTOZMA if you have any kind of infection unless your healthcare provider says it is okay.
Before starting AVTOZMA, tell your healthcare provider if you:
  • think you have an infection or have symptoms of an infection, with or without a fever, such as:
  • sweating or chills
  • shortness of breath
  • warm, red, or painful skin or sores on your body
  • feel very tired
  • muscle aches
  • blood in phlegm
  • diarrhea or stomach pain
  • cough
  • weight loss
  • burning when you urinate or urinating more often than normal
  • are being treated for an infection.
  • get a lot of infections or have infections that keep coming back.
  • have diabetes, HIV, or a weak immune system. People with these conditions have a higher chance for infections.
  • have TB, or have been in close contact with someone with TB.
  • live or have lived, or have traveled to certain parts of the country (such as the Ohio and Mississippi River valleys and the Southwest) where there is an increased chance for getting certain kinds of fungal infections (histoplasmosis, coccidiomycosis, or blastomycosis). These infections may happen or become more severe if you use AVTOZMA. Ask your healthcare provider if you do not know if you have lived in an area where these infections are common.
  • have or have had hepatitis B.
After starting AVTOZMA, call your healthcare provider right away if you have any symptoms of an infection. AVTOZMA can make you more likely to get infections or make worse any infection that you have.
  • 2.
    Tears (perforation) of the stomach or intestines.
    • Tell your healthcare provider if you have had diverticulitis (inflammation in parts of the large intestine) or ulcers in your stomach or intestines. Some people taking AVTOZMA get tears in their stomach or intestine. This happens most often in people who also take nonsteroidal anti-inflammatory drugs (NSAIDs), corticosteroids, or methotrexate.
    • Tell your healthcare provider right away if you have fever and new onset stomach-area pain that does not go away, and a change in your bowel habits.
  • 3.
    Liver problems (Hepatotoxicity): Some people have experienced serious life-threatening liver problems, which required a liver transplant or led to death. Your healthcare provider may tell you to stop taking AVTOZMA if you develop new or worse liver problems during treatment with AVTOZMA. Tell your healthcare provider right away if you have any of the following symptoms:
  • feeling tired (fatigue)
  • lack of appetite for several days or longer (anorexia)
  • yellowing of your skin or the whites of your eyes (jaundice)
  • abdominal swelling and pain on the right side of your stomach-area
  • light colored stools
  • weakness
  • nausea and vomiting
  • confusion
  • dark "tea-colored" urine
  • 4.
    Changes in certain laboratory test results. Your healthcare provider should do blood tests before you start receiving AVTOZMA. If you have rheumatoid arthritis (RA) or giant cell arteritis (GCA) your healthcare provider should do blood tests every 4 to 8 weeks after you start receiving AVTOZMA for the first 6 months and then every 3 months after that. If you have polyarticular juvenile idiopathic arthritis (PJIA) you will have blood tests done every 4 to 8 weeks during treatment. If you have systemic juvenile idiopathic arthritis (SJIA) you will have blood tests done every 2 to 4 weeks during treatment. These blood tests are to check for the following side effects of AVTOZMA:
    • low neutrophil count. Neutrophils are white blood cells that help the body fight off bacterial infections.
    • low platelet count. Platelets are blood cells that help with blood clotting and stop bleeding.
    • increase in certain liver function tests.
    • increase in blood cholesterol levels. You may also have changes in other laboratory tests, such as your blood cholesterol levels. Your healthcare provider should do blood tests to check your cholesterol levels 4 to 8 weeks after you start receiving AVTOZMA.
    Your healthcare provider will determine how often you will have follow-up blood tests. Make sure you get all your follow-up blood tests done as ordered by your healthcare provider.

    You should not receive AVTOZMA if your neutrophil or platelet counts are too low or your liver function tests are too high.

    Your healthcare provider may stop your AVTOZMA treatment for a period of time or change your dose of medicine if needed because of changes in these blood test results.
  • 5.
    Cancer. AVTOZMA may increase your risk of certain cancers by changing the way your immune system works. Tell your healthcare provider if you have ever had any type of cancer.
See "What are the possible side effects with AVTOZMA?" for more information about side effects.
What is AVTOZMA?
AVTOZMA is a prescription medicine called an Interleukin-6 (IL-6) receptor antagonist. AVTOZMA is used:
  • To treat adults with moderately to severely active rheumatoid arthritis (RA), after at least one other medicine called a Disease-Modifying Anti-Rheumatic Drug (DMARD) has been used and did not work well.
  • To treat adults with giant cell arteritis (GCA).
  • To treat people with active PJIA ages 2 and above.
  • To treat people with active SJIA ages 2 and above.
  • To treat hospitalized adults with coronavirus disease 2019 (COVID-19) receiving systemic corticosteroids and requiring supplemental oxygen or mechanical ventilation.
  • AVTOZMA is not approved for subcutaneous use in people with COVID-19.
It is not known if AVTOZMA is safe and effective in children with PJIA or SJIA under 2 years of age or in children with conditions other than PJIA or SJIA.
Do not take AVTOZMA: if you are allergic to tocilizumab products, or any of the ingredients in AVTOZMA. See the end of this Medication Guide for a complete list of ingredients in AVTOZMA.
Before you receive AVTOZMA, tell your healthcare provider about all of your medical conditions, including if you:
  • have an infection. See "What is the most important information I should know about AVTOZMA?"
  • have liver problems.
  • have any stomach-area (abdominal) pain or been diagnosed with diverticulitis or ulcers in your stomach or intestines.
  • have had a reaction to tocilizumab products or any of the ingredients in AVTOZMA before.
  • have or had a condition that affects your nervous system, such as multiple sclerosis.
  • have recently received or are scheduled to receive a vaccine:
    • All vaccines should be brought up-to-date before starting AVTOZMA, unless urgent treatment initiation is required.
    • People who take AVTOZMA should not receive live vaccines.
    • People taking AVTOZMA can receive non-live vaccines.
  • plan to have surgery or a medical procedure.
  • are pregnant or plan to become pregnant. AVTOZMA may harm your unborn baby. Tell your healthcare provider if you become pregnant or think you may be pregnant during treatment with AVTOZMA.
  • are breastfeeding or plan to breastfeed. It is not known if AVTOZMA passes into your breast milk. Talk to your healthcare provider about the best way to feed your baby if you take AVTOZMA.
Tell your healthcare provider about all of the medicines you take, including prescription, over-the-counter medicines, vitamins and herbal supplements. AVTOZMA and other medicines may affect each other causing side effects.
Especially tell your healthcare provider if you take:
  • any other medicines to treat your RA. Taking AVTOZMA with these medicines may increase your risk of infection.
  • medicines that affect the way certain liver enzymes work. Ask your healthcare provider if you are not sure if your medicine is one of these.
Know the medicines you take. Keep a list of them to show to your healthcare provider and pharmacist when you get a new medicine.
How will I receive AVTOZMA?
Into a vein (IV or intravenous infusion) for Rheumatoid Arthritis, Giant Cell Arteritis, PJIA, SJIA or COVID- 19:
  • If your healthcare provider prescribes AVTOZMA as an IV infusion, you will receive AVTOZMA from a healthcare provider through a needle placed in a vein in your arm. The infusion will take about 1 hour to give you the full dose of medicine.
  • For rheumatoid arthritis, giant cell arteritis or PJIA you will receive a dose of AVTOZMA about every 4 weeks.
  • For SJIA you will receive a dose of AVTOZMA about every 2 weeks.
  • For COVID-19, you will receive a single dose of AVTOZMA, and if needed one additional dose.
  • While taking AVTOZMA, you may continue to use other medicines that help treat your rheumatoid arthritis, PJIA, SJIA or COVID-19 such as methotrexate, non-steroidal anti-inflammatory drugs (NSAIDs) and prescription steroids, as instructed by your healthcare provider.
  • Keep all of your follow-up appointments and get your blood tests as ordered by your healthcare provider.
Under the skin (SC or subcutaneous injection) for Rheumatoid Arthritis, Giant Cell Arteritis, PJIA or SJIA:
  • See the Instructions for Use at the end of this Medication Guide for instructions about the right way to prepare and give your AVTOZMA injections at home.
  • AVTOZMA is available as a single-dose Prefilled Syringe or single-dose Prefilled Autoinjector.
  • You may also receive AVTOZMA as an injection under your skin (subcutaneous). If your healthcare provider decides that you or a caregiver can give your injections of AVTOZMA at home, you or your caregiver should receive training on the right way to prepare and inject AVTOZMA. Do not try to inject AVTOZMA until you have been shown the right way to give the injections by your healthcare provider.
  • For PJIA or SJIA, you may self-inject with the Prefilled Syringe or Prefilled Autoinjector, or your caregiver can give you AVTOZMA, if both your healthcare provider and parent/legal guardian find it appropriate.
  • Your healthcare provider will tell you how much AVTOZMA to use and when to use it.
What are the possible side effects with AVTOZMA?
AVTOZMA can cause serious side effects, including:
  • See "What is the most important information I should know about AVTOZMA?"
  • Hepatitis B infection in people who carry the virus in their blood. If you are a carrier of the hepatitis B virus (a virus that affects the liver), the virus may become active while you use AVTOZMA. Your healthcare provider may do blood tests before you start treatment with AVTOZMA and while you are using AVTOZMA. Tell your healthcare provider if you have any of the following symptoms of a possible hepatitis B infection:
  • feel very tired
  • vomiting
  • chills
  • dark urine
  • skin or eyes look yellow
  • clay-colored bowel movements
  • stomach discomfort
  • skin rash
  • little or no appetite
  • fevers
  • muscle aches
  • Serious Allergic Reactions. Serious allergic reactions, including death, can happen with AVTOZMA. These reactions can happen with any infusion or injection of AVTOZMA, even if they did not occur with an earlier infusion or injection. Stop taking AVTOZMA, contact your healthcare provider, and get emergency help right away if you have any of the following signs of a serious allergic reaction:
    • swelling of your face, lips, mouth, or tongue
    • trouble breathing
    • wheezing
    • severe itching
    • skin rash, hives, redness, or swelling outside of the injection site area
    • dizziness or fainting
    • fast heartbeat or pounding in your chest (tachycardia)
    • sweating
  • Nervous system problems. While rare, Multiple Sclerosis has been diagnosed in people who take AVTOZMA. It is not known what effect AVTOZMA may have on some nervous system disorders.
The most common side effects of AVTOZMA include:
  • upper respiratory tract infections (common cold, sinus infections)
  • headache
  • increased blood pressure (hypertension)
  • injection site reactions
Tell your healthcare provider about any side effect that bothers you or does not go away. These are not all the possible side effects of AVTOZMA. For more information, ask your healthcare provider or pharmacist.

Call your doctor for medical advice about side effects. You may report side effects to FDA at 1-800-FDA-1088.
General information about the safe and effective use of AVTOZMA.
Medicines are sometimes prescribed for purposes other than those listed in a Medication Guide. Do not give AVTOZMA to other people, even if they have the same symptoms that you have. It may harm them. You can ask your pharmacist or healthcare provider for information about AVTOZMA that is written for health professionals.
What are the ingredients in AVTOZMA?
Active ingredient: tocilizumab-anoh.

Inactive ingredients of Intravenous AVTOZMA: histidine, L-histidine hydrochloride monohydrate, methionine, polysorbate 80, threonine, and water for Injection.

Inactive ingredients of Subcutaneous AVTOZMA: histidine, L-histidine hydrochloride monohydrate, methionine, polysorbate 80, threonine, and water for Injection.
Manufactured by: CELLTRION, Inc., 23, Academy-ro, Yeonsu-gu, Incheon, 22014, Republic of Korea

US License Number 1996
Distributed by: CELLTRION USA, Inc., One Evertrust Plaza, Suite 1207, Jersey City, NJ 07302, USA
Section 44425-7 (44425-7)

Storage and Handling: Do not use beyond expiration date on the container, package, prefilled syringe, or autoinjector. AVTOZMA must be refrigerated at 36°F to 46°F (2ºC to 8ºC). Do not freeze. Protect the vials, syringes, and autoinjectors from light by storage in the original carton until time of use, and keep syringes and autoinjectors dry. Once removed from the refrigerator, the prefilled syringe and autoinjector can be stored at room temperature at or below 77°F (25°C) for up to 3 weeks. The prefilled syringe and autoinjector must always be kept in the carton.

10 Overdosage (10 OVERDOSAGE)

There are limited data available on overdoses with tocilizumab products. One case of accidental overdose was reported with intravenous tocilizumab in which a patient with multiple myeloma received a dose of 40 mg per kg. No adverse drug reactions were observed. No serious adverse drug reactions were observed in healthy volunteers who received single doses of up to 28 mg per kg, although all 5 patients at the highest dose of 28 mg per kg developed dose-limiting neutropenia.

In case of an overdose, it is recommended that the patient be monitored for signs and symptoms of adverse reactions. Patients who develop adverse reactions should receive appropriate symptomatic treatment.

11 Description (11 DESCRIPTION)

Tocilizumab-anoh is a recombinant humanized anti-human interleukin 6 (IL-6) receptor monoclonal antibody of the immunoglobulin IgG1κ (gamma 1, kappa) subclass with a typical H2L2 polypeptide structure. Each light chain and heavy chain consists of 214 and 448 amino acids, respectively. The four polypeptide chains are linked intra- and inter-molecularly by disulfide bonds. Tocilizumab-anoh has a molecular weight of approximately 148 kDa. The antibody is produced in mammalian (Chinese hamster ovary) cells.

5.9 Vaccinations

Avoid use of live vaccines concurrently with AVTOZMA as clinical safety has not been established. No data are available on the secondary transmission of infection from persons receiving live vaccines to patients receiving tocilizumab products.

No data are available on the effectiveness of vaccination in patients receiving tocilizumab products. Because IL-6 inhibition may interfere with the normal immune response to new antigens, it is recommended that all patients, particularly pediatric or elderly patients, if possible, be brought up to date with all immunizations in agreement with current immunization guidelines prior to initiating AVTOZMA therapy. The interval between live vaccinations and initiation of AVTOZMA therapy should be in accordance with current vaccination guidelines regarding immunosuppressive agents.

7.3 Live Vaccines

Avoid use of live vaccines concurrently with AVTOZMA [see Warnings and Precautions (5.9)].

8.4 Pediatric Use

AVTOZMA by intravenous use is indicated for the treatment of pediatric patients with:

  • Active systemic juvenile idiopathic arthritis in patients 2 years of age and older
  • Active polyarticular juvenile idiopathic arthritis in patients 2 years of age and older
  • Severe or life-threatening CAR T cell-induced cytokine release syndrome (CRS) in patients with 2 years of age and older.

AVTOZMA by subcutaneous use is indicated for the treatment of pediatric patients with:

  • Active polyarticular juvenile idiopathic arthritis in patients 2 years of age and older
  • Active systemic juvenile idiopathic arthritis in patients 2 years of age and older

The safety and effectiveness of AVTOZMA in pediatric patients with conditions other than PJIA, SJIA or CRS have not been established. The safety and effectiveness in pediatric patients below the age of 2 have not been established in PJIA, SJIA or CRS.

8.5 Geriatric Use

Of the 2644 patients who received tocilizumab in Studies I to V [see Clinical Studies (14)], a total of 435 rheumatoid arthritis patients were 65 years of age and older, including 50 patients 75 years and older. Of the 1069 patients who received tocilizumab-SC in studies SC-I and SC-II there were 295 patients 65 years of age and older, including 41 patients 75 years and older. The frequency of serious infection among tocilizumab treated subjects 65 years of age and older was higher than those under the age of 65. As there is a higher incidence of infections in the elderly population in general, caution should be used when treating the elderly.

Clinical studies that included AVTOZMA for CRS did not include sufficient numbers of patients aged 65 and over to determine whether they respond differently from younger patients. 

In the EMPACTA, COVACTA, and REMDACTA studies, of the 974 COVID-19 patients in the tocilizumab arm, 375 (39%) were 65 years of age or older. No overall differences in safety or effectiveness of tocilizumab were observed between patients 65 years of age and older and those under the age of 65 years of age in these studies [see Adverse Reactions (6.1) and Clinical Studies (14.10)].

In the RECOVERY study, of the 2022 COVID-19 patients in the tocilizumab arm, 930 (46%) were 65 years of age or older. No overall differences in effectiveness of tocilizumab were observed between patients 65 years of age and older and those under the age 65 years of age in this study [see Clinical Studies (14.10)].

14.10 Covid 19 – (14.10 COVID-19 –)

The efficacy of tocilizumab for the treatment of COVID-19 was based on RECOVERY (NCT04381936), a randomized, controlled, open-label, platform study, and supported by the results from EMPACTA (NCT04372186), a randomized, double-blind, placebo-controlled study. Results of two other randomized, double-blind, placebo-controlled studies, COVACTA (NCT04320615) and REMDACTA (NCT04409262) which evaluated the efficacy of tocilizumab for the treatment of COVID-19 are also summarized.

5.3 Hepatotoxicity

Serious cases of hepatic injury have been observed in patients taking intravenous or subcutaneous tocilizumab products. Some of these cases have resulted in liver transplant or death. Time to onset for cases ranged from months to years after treatment initiation with tocilizumab products. While most cases presented with marked elevations of transaminases (> 5 times ULN), some cases presented with signs or symptoms of liver dysfunction and only mildly elevated transaminases.

During randomized controlled studies, treatment with tocilizumab was associated with a higher incidence of transaminase elevations [see Adverse Reactions (6.1, 6.2, 6.5, 6.7)]. Increased frequency and magnitude of these elevations was observed when potentially hepatotoxic drugs (e.g., MTX) were used in combination with tocilizumab.

For RA and GCA patients, obtain a liver test panel (serum alanine aminotransferase [ALT], aspartate aminotransferase [AST], alkaline phosphatase, and total bilirubin) before initiating AVTOZMA, every 4 to 8 weeks after start of therapy for the first 6 months of treatment and every 3 months thereafter. It is not recommended to initiate AVTOZMA treatment in RA or GCA patients with elevated transaminases ALT or AST greater than 1.5× ULN. In patients who develop elevated ALT or AST greater than 5× ULN, discontinue AVTOZMA. For recommended modifications based upon increase in transaminases see Dosage and Administration. ( 2.10 )

Patients hospitalized with COVID-19 may have elevated ALT or AST levels. Multi-organ failure with involvement of the liver is recognized as a complication of severe COVID-19. The decision to administer AVTOZMA should balance the potential benefit of treating COVID-19 against the potential risks of acute treatment with AVTOZMA. It is not recommended to initiate AVTOZMA treatment in COVID-19 patients with elevated ALT or AST above 10 × ULN. Monitor ALT and AST during treatment.

Measure liver tests promptly in patients who report symptoms that may indicate liver injury, such as fatigue, anorexia, right upper abdominal discomfort, dark urine or jaundice. In this clinical context, if the patient is found to have abnormal liver tests (e.g., ALT greater than three times the upper limit of the reference range, serum total bilirubin greater than two times the upper limit of the reference range), AVTOZMA treatment should be interrupted and investigation done to establish the probable cause. AVTOZMA should only be restarted in patients with another explanation for the liver test abnormalities after normalization of the liver tests.

A similar pattern of liver enzyme elevation is noted with tocilizumab products treatment in the PJIA and SJIA populations. Monitor liver test panel at the time of the second administration and thereafter every 4 to 8 weeks for PJIA and every 2 to 4 weeks for SJIA.

4 Contraindications (4 CONTRAINDICATIONS)

AVTOZMA is contraindicated in patients with known hypersensitivity to tocilizumab products [see Warnings and Precautions (5.6)].

6 Adverse Reactions (6 ADVERSE REACTIONS)

The following serious adverse reactions are described elsewhere in labeling:

Because clinical studies are conducted under widely varying conditions, adverse reaction rates observed in the clinical studies of a drug cannot be directly compared to rates in the clinical studies of another drug and may not predict the rates observed in a broader patient population in clinical practice.

8.7 Renal Impairment

No dose adjustment is required in patients with mild or moderate renal impairment. Tocilizumab products have not been studied in patients with severe renal impairment [see Clinical Pharmacology (12.3)].

Instructions for Use

AVTOZMA® (AV-TOZE'-MAH)

(tocilizumab-anoh)

Injection, For Subcutaneous Use

Single-dose Prefilled Syringe

Read and follow the Instructions for Use that come with your AVTOZMA Prefilled Syringe before you start using it and each time you get a refill. There may be new information. Before you use AVTOZMA, make sure your healthcare provider shows you the right way to use it.

Important Information

  • Do not remove the prefilled syringe cap until you are ready to inject AVTOZMA.
  • Do not try to take apart the prefilled syringe at any time.
  • Do not reuse the same syringe.
  • Do not shake the prefilled syringe.
  • Do not use the prefilled syringe if it has been dropped or damaged.

Storing AVTOZMA

  • Store the unused prefilled syringe in the original carton in a refrigerator between 36°F to 46°F (2°C to 8°C). Do not freeze.
  • When removed from the refrigerator, AVTOZMA can be stored up to 3 weeks at or below 77°F (25°C). If not used within the 3 weeks, AVTOZMA should be thrown away (discarded).
  • Keep the prefilled syringe out of direct sunlight.
  • Do not remove the prefilled syringe from its original carton during storage.
  • Do not leave the prefilled syringe unattended.
  • Keep the prefilled syringe out of the reach of children.

Parts of your Prefilled Syringe (See Figure A).

Figure A

Preparing for the Injection

1. Gather the supplies for the injection.a.Prepare a clean, flat surface, such as a table or countertop, in a well-lit area.b.Take the carton containing the prefilled syringe out of the refrigerator.c.Make sure you have the following supplies (see Figure B ):-Carton containing AVTOZMA prefilled syringe

Not included in the carton:-Cotton ball or gauze-Adhesive bandage-FDA-cleared sharps disposal container-Alcohol swab
Figure B
2. Inspect the carton (see Figure C).a.Look at the carton and make sure you have the correct medicine and dose strength. (AVTOZMA)b.Check the expiration (EXP) date on the carton to make sure the date has not passed.
  • Do not use the prefilled syringe if the expiration (EXP) date has passed.
  • Do not use the prefilled syringe if the carton looks like it has been opened or damaged if you are opening the carton for the first time and check to make sure that it is properly sealed.
Figure C
3. Inspect the Prefilled Syringe.a.Open the carton and remove 1 single-dose prefilled syringe from the carton. Return any remaining AVTOZMA prefilled syringes in the carton to the refrigerator.b.Check the expiration (EXP) date on the AVTOZMA prefilled syringe (see Figure D ).
  • Do not use the prefilled syringe if the expiration (EXP) date has passed. If the expiration (EXP) date has passed, safely throw away (dispose of) the prefilled syringe in your FDA-cleared sharps disposal container and get a new one.
c.Check the prefilled syringe to make sure it is not damaged and shows no sign of leakage.
  • Do not use the prefilled syringe if it has been dropped, damaged, or has leaked.
Figure D
4. Wait 30 minutes.a.Leave the prefilled syringe outside of the carton at room temperature between 68°F to 77°F (20°C to 25°C) for 30 minutes to allow it to warm up (see Figure E ).
  • Do not warm the prefilled syringe using heat sources such as hot water or a microwave.
  • Do not leave the prefilled syringe in the direct sunlight.
  • Do not remove the cap while allowing your prefilled syringe to reach room temperature.
  • If the prefilled syringe does not reach room temperature, this could cause discomfort and make it hard to push the plunger.
Figure E
5. Inspect the medicine.a.Hold your AVTOZMA with the cap pointing down.b.Look at the medicine and confirm that the liquid is clear, to slightly pearly and colorless to yellow and does not contain any particles or flakes (see Figure F ).
  • Do not use the prefilled syringe if the liquid is discolored, cloudy, or has particles or flakes in it. Safely dispose of the prefilled syringe in a FDA-cleared sharps disposal container and use a new one.
  • Air bubbles are normal.
Figure F
6. Wash your hands.a.Wash your hands with soap and water and dry them thoroughly (see Figure G ).
Figure G
7. Choose an injection site (see Figure H).a.You may inject into-The front of the thighs-The stomach (abdomen), except for the 2 inches (5 cm) around the belly button.-The outer area of the upper arm (only if you are a caregiver).
  • Do not inject into the upper arm by yourself.
  • Choose a different injection site for each new injection at least 1 inch (2.5 cm) from the last area you injected.
  • Do not inject into moles, scars, bruises, or areas where the skin is tender, red, hard or not intact.
Figure H
8. Clean the injection site.a.Wipe the injection site with an alcohol swab and let it air dry for about 10 seconds (see Figure I ). This will reduce the chance of getting an infection.
  • Do not touch the injection site again before giving the injection.
  • Do not fan or blow on the clean area.
Figure I

Giving the Injection

9. Remove the cap.a.Hold the prefilled syringe by the syringe body using 1 hand.

Gently pull the cap straight off with the other hand (see Figure J ).

Note: If you cannot remove the cap, you should ask a caregiver for help or contact your healthcare provider.
  • Do not hold the plunger while removing the cap.
  • You may see a drop of liquid at the tip of the needle. This is normal.
  • If the prefilled syringe is not used within 5 minutes of needle cap removal, the prefilled syringe should be thrown away (disposed of) in the puncture resistant container or sharps container and a new prefilled syringe should be used.
b.Throw away (dispose of) the cap right away in your FDA-cleared sharps disposal container (see step 14 and Throw away (dispose of) prefilled syringe and Figure N )
  • Do not re-cap the prefilled syringe.
  • Do not touch the needle shield at the tip of the prefilled syringe to avoid accidental needle stick injury.
Figure J
10. Insert the prefilled syringe into the injection site.a.Gently pinch a fold of skin at the injection site with 1 hand.

Note: Pinching the skin is important to make sure that you inject under the skin (into fatty tissue) but not any deeper (into muscle).b.With a quick and "dart-like" motion, insert the Needle completely into the fold of skin at a 45 to 90-degree angle (see Figure K ).

Note: It is important to use the correct angle to make sure the medicine is delivered under the skin (into fatty tissue), or the injection could be painful, and the medicine may not work.
  • Do not touch the plunger while inserting the needle into the skin.
  • Do not pull back on the plunger rod at any time.
Figure K
11. Give the injection.a.After the needle is inserted, release the pinch.b.Slowly push the plunger all the way down until the full dose of medicine gets injected, and the syringe is empty (see Figure L ).
  • Do not change the position of the prefilled syringe after the injection has started.
  • If the plunger is not fully pressed, the needle guard will not extend to cover the needle when it is removed.
  • If the needle is not covered, proceed carefully to dispose of the syringe (see step 14. Throw away (dispose of) prefilled syringe .
Figure L
12. Remove the prefilled syringe from the injection site.a.After the prefilled syringe is empty, remove the needle from the injection site and release the plunger until the entire needle is covered by the guard (see Figure M ).
  • Some bleeding may occur (see step 13. Care for the injection site ).
  • In case of skin contact with medicine, wash the area that touched the medicine with water.
  • Do not reuse the prefilled syringe.
Figure M

After the Injection

13. Care for the injection site.a.If a little bleeding occurs, treat the injection site by gently pressing, not rubbing, a cotton ball or gauze to the site and apply an adhesive bandage if needed.
  • Do not rub the injection site.
14. Throw away (dispose of) the prefilled syringe.a.Put the used prefilled syringe and other supplies in your FDA-cleared sharps disposal container right away after use (see Figure N).

Note: If your injection is given by another person, this person must also be careful when removing the prefilled syringe and disposing of it to prevent accidental needle stick injury and passing infection.
  • Do not re-use the prefilled syringe.
  • Do not put the cap back onto the prefilled syringe.
  • Do not throw away (dispose of) your used sharps disposal container in your household trash.
  • Do not recycle your used sharps disposal container.
  • Keep the AVTOZMA prefilled syringe and disposal container out of the reach of children.
Figure N
If you do not have an FDA-cleared sharps disposal container, you may use a household container that is:-made of a heavy-duty plastic-can be closed with a tight-fitting, puncture-resistant lid, without sharps being able to come out-upright stable during use-leak-resistant-properly labeled to warn of hazardous waste inside the container
When your sharps disposal container is almost full, you will need to follow your community guidelines for the right way to dispose of your sharps disposal container. There may be state or local laws about how you should dispose of used prefilled syringes. For more information about the safe sharps disposal, and for specific information about sharps disposal in the state that you live in, go to the FDA's website at: http://www.fda.gov/safesharpsdisposal.
15. Record your injection.a.Write the date, time, and specific part of your body where you injected yourself.

This Instructions for Use has been approved by the U.S. Food and Drug Administration.

Issued: 1/2025

Manufactured by: CELLTRION, Inc., 23, Academy-ro, Yeonsu-gu, Incheon, 22014, Republic of Korea

US License Number 1996

Distributed by: CELLTRION USA, Inc., One Evertrust Plaza Suite 1207, Jersey City, NJ 07302

12.2 Pharmacodynamics

In clinical studies in RA patients with the 4 mg per kg and 8 mg per kg intravenous doses or the 162 mg weekly and every other weekly subcutaneous doses of tocilizumab, decreases in levels of C-reactive protein (CRP) to within normal ranges were seen as early as week 2. Changes in pharmacodynamic parameters were observed (i.e., decreases in rheumatoid factor, erythrocyte sedimentation rate (ESR), serum amyloid A, fibrinogen and increases in hemoglobin) with doses, however the greatest improvements were observed with 8 mg per kg tocilizumab. Pharmacodynamic changes were also observed to occur after tocilizumab administration in GCA, PJIA, and SJIA patients (decreases in CRP, ESR, and increases in hemoglobin). The relationship between these pharmacodynamic findings and clinical efficacy is not known.

In healthy subjects administered tocilizumab in doses from 2 to 28 mg per kg intravenously and 81 to 162 mg subcutaneously, absolute neutrophil counts decreased to the nadir 3 to 5 days following tocilizumab administration. Thereafter, neutrophils recovered towards baseline in a dose dependent manner. Rheumatoid arthritis and GCA patients demonstrated a similar pattern of absolute neutrophil counts following tocilizumab administration [see Warnings and Precautions (5.4)].

12.3 Pharmacokinetics

PK of tocilizumab is characterized by nonlinear elimination which is a combination of linear clearance and Michaelis-Menten elimination. The nonlinear part of tocilizumab elimination leads to an increase in exposure that is more than dose-proportional. The pharmacokinetic parameters of tocilizumab do not change with time. Due to the dependence of total clearance on tocilizumab serum concentrations, the half-life of tocilizumab is also concentration-dependent and varies depending on the serum concentration level. Population pharmacokinetic analyses in any patient population tested so far indicate no relationship between apparent clearance and the presence of anti-drug antibodies.

5.5 Immunosuppression

The impact of treatment with tocilizumab products on the development of malignancies is not known but malignancies were observed in clinical studies [see Adverse Reactions (6.1)]. AVTOZMA is an immunosuppressant, and treatment with immunosuppressants may result in an increased risk of malignancies.

5.1 Serious Infections

Serious and sometimes fatal infections due to bacterial, mycobacterial, invasive fungal, viral, protozoal, or other opportunistic pathogens have been reported in patients receiving immunosuppressive agents including tocilizumab products. The most common serious infections included pneumonia, urinary tract infection, cellulitis, herpes zoster, gastroenteritis, diverticulitis, sepsis and bacterial arthritis [see Adverse Reactions (6.1)]. Among opportunistic infections, tuberculosis, cryptococcus, aspergillosis, candidiasis, and pneumocystosis were reported with tocilizumab products. Other serious infections, not reported in clinical studies, may also occur (e.g., histoplasmosis, coccidioidomycosis, listeriosis). Patients have presented with disseminated rather than localized disease, and were often taking concomitant immunosuppressants such as methotrexate or corticosteroids which in addition to rheumatoid arthritis may predispose them to infections.

Do not administer AVTOZMA in patients with an active infection, including localized infections. The risks and benefits of treatment should be considered prior to initiating AVTOZMA in patients:

  • with chronic or recurrent infection;
  • who have been exposed to tuberculosis;
  • with a history of serious or an opportunistic infection;
  • who have resided or traveled in areas of endemic tuberculosis or endemic mycoses; or
  • with underlying conditions that may predispose them to infection.

Closely monitor patients for the development of signs and symptoms of infection during and after treatment with AVTOZMA, as signs and symptoms of acute inflammation may be lessened due to suppression of the acute phase reactants [see Dosage and Administration ( 2.10 ), Adverse Reactions (6.1), and Patient Counseling Information (17)].

Hold AVTOZMA if a patient develops a serious infection, an opportunistic infection, or sepsis. A patient who develops a new infection during treatment with AVTOZMA should undergo a prompt and complete diagnostic workup appropriate for an immunocompromised patient, initiate appropriate antimicrobial therapy, and closely monitor the patient.

8.6 Hepatic Impairment

The safety and efficacy of tocilizumab products have not been studied in patients with hepatic impairment, including patients with positive HBV and HCV serology [see Warnings and Precautions (5.8)].

Recent Major Changes  (RECENT MAJOR CHANGES )

Indications and Usage (1.5)                              07/2025

Dosage and Administration (2.1, 2.6)                 07/2025

1 Indications and Usage (1 INDICATIONS AND USAGE)

AVTOZMA® (tocilizumab-anoh) is an interleukin-6 (IL-6) receptor antagonist indicated for treatment of:

Rheumatoid Arthritis (RA) (1.1)

  • Adult patients with moderately to severely active rheumatoid arthritis who have had an inadequate response to one or more Disease-Modifying Anti-Rheumatic Drugs (DMARDs).

Giant Cell Arteritis (GCA) (1.2)

  • Adult patients with giant cell arteritis.

Polyarticular Juvenile Idiopathic Arthritis (PJIA) (1.3)

  • Patients 2 years of age and older with active polyarticular juvenile idiopathic arthritis.

Systemic Juvenile Idiopathic Arthritis (SJIA) (1.4)

  • Patients 2 years of age and older with active systemic juvenile idiopathic arthritis.

Cytokine Release Syndrome (CRS) (1.5)

  • Adults and pediatric patients with 2 years of age and older with chimeric antigen recept (CAR) T cell-induced severe or life-threatening cytokine release syndrome.

Coronavirus Disease 2019 (COVID-19) ( 1.6 )

  • Hospitalized adult patients with coronavirus disease 2019 (COVID-19) who are receiving systemic corticosteroids and require supplemental oxygen, non-invasive or invasive mechanical ventilation, or extracorporeal membrane oxygenation (ECMO).
12.1 Mechanism of Action

Tocilizumab products bind to both soluble and membrane-bound IL-6 receptors (sIL-6R and mIL-6R), and have been shown to inhibit IL-6-mediated signaling through these receptors. IL-6 is a pleiotropic pro-inflammatory cytokine produced by a variety of cell types including T- and B-cells, lymphocytes, monocytes and fibroblasts. IL-6 has been shown to be involved in diverse physiological processes such as T-cell activation, induction of immunoglobulin secretion, initiation of hepatic acute phase protein synthesis, and stimulation of hematopoietic precursor cell proliferation and differentiation. IL-6 is also produced by synovial and endothelial cells leading to local production of IL-6 in joints affected by inflammatory processes such as rheumatoid arthritis.

5 Warnings and Precautions (5 WARNINGS AND PRECAUTIONS)
  • Serious Infections – do not administer AVTOZMA during an active infection, including localized infections. If a serious infection develops, interrupt AVTOZMA until the infection is controlled. (5.1)
  • Gastrointestinal (GI) perforation—use with caution in patients who may be at increased risk. (5.2)
  • Hepatotoxicity- Monitor patients for signs and symptoms of hepatic injury. Modify or discontinue AVTOZMA if abnormal liver tests persist or worsen or if clinical signs and symptoms of liver disease develop. (2.8, 5.3)
  • Laboratory monitoring—recommended due to potential consequences of treatment-related changes in neutrophils, platelets, lipids, and liver function tests. (2.8, 5.4)
  • Hypersensitivity reactions, including anaphylaxis and death and serious cutaneous reactions including Drug Reaction with Eosinophilia and Systemic Symptoms (DRESS) – discontinue AVTOZMA, treat promptly, and monitor until reaction resolves. (5.6)
  • Live vaccines—Avoid use with AVTOZMA. (5.9, 7.3)
2 Dosage and Administration (2 DOSAGE AND ADMINISTRATION)

For RA, pJIA and sJIA, AVTOZMA may be used alone or in combination with methotrexate: and in RA, other non-biologic DMARDs may be used. (2)

General Administration and Dosing Information (2.1)

  • RA, GCA, PJIA and SJIA It is recommended that AVTOZMA not be initiated in patients with an absolute neutrophil count (ANC) below 2000 per mm3, platelet count below 100,000 per mm3, or ALT or AST above 1.5 times the upper limit of normal (ULN)(5.3, 5.4).
  • COVID-19 It is recommended that AVTOZMA not be initiated in patients with an absolute neutrophil count (ANC) below 1000 per mm3, platelet count below 50,000 mm3, or ALT or AST above 10 times ULN (5.3, 5.4).
  • In RA, CRS, or COVID-19 patients, AVTOZMA doses exceeding 800 mg per infusion are not recommended. (2.2, 2.6, 12.3)
  • In GCA patients, AVTOZMA doses exceeding 600 mg per infusion are not recommended. (2.3, 12.3)

Rheumatoid Arthritis ( 2.2)

Recommended Adult Intravenous Dosage:

When used in combination with non-biologic DMARDs or as monotherapy the recommended starting dose is 4 mg per kg every 4 weeks followed by an increase to 8 mg per kg every 4 weeks based on clinical response.

Recommended Adult Subcutaneous Dosage:

Patients less than 100 kg weight 162 mg administered subcutaneously every other week, followed by an increase to every week based on clinical response
Patients at or above 100 kg weight 162 mg administered subcutaneously every week

Giant Cell Arteritis (2.3)

Recommended Adult Intravenous Dosage:

The recommended dose is 6 mg per kg every 4 weeks in combination with a tapering course of glucocorticoids. AVTOZMA can be used alone following discontinuation of glucocorticoids.

Recommended Adult Subcutaneous Dosage:

The recommended dose is 162 mg given once every week as a subcutaneous injection, in combination with a tapering course of glucocorticoids.

A dose of 162 mg given once every other week as a subcutaneous injection, in combination with a tapering course of glucocorticoids, may be prescribed based on clinical considerations.

AVTOZMA can be used alone following discontinuation of glucocorticoids.

Polyarticular Juvenile Idiopathic Arthritis (2.4)

Recommended Intravenous PJIA Dosage Every 4 Weeks
Patients less than 30 kg weight 10 mg per kg
Patients at or above 30 kg weight 8 mg per kg
Recommended Subcutaneous PJIA Dosage
Patients less than 30 kg weight 162 mg once every three weeks
Patients at or above 30 kg weight 162 mg once every two weeks

Systemic Juvenile Idiopathic Arthritis (2.5)

Recommended Intravenous SJIA Dosage Every 2 Weeks
Patients less than 30 kg weight 12 mg per kg
Patients at or above 30 kg weight 8 mg per kg
Recommended Subcutaneous SJIA Dosage
Patients less than 30 kg weight 162 mg every two weeks
Patients at or above 30 kg weight 162 mg every week

Cytokine Release Syndrome ( 2.6 )

Recommened Intravenous CRS Dosage
Patients less than 30 kg weight 12 mg per kg
Patients at or above 30 kg weight 8 mg per kg
Alone or in combination with corticosteroids

Coronavirus Disease 2019 (2.7)

The recommended dosage of AVTOZMA for adult patients with COVID-19 is 8 mg per kg administered by a 60-minute intravenous infusion.

Administration of Intravenous Formulation (2.8)

  • For patients with RA, GCA, COVID-19, CRS, PJIA, and SJIA patients at or above 30 kg, dilute to 100 mL in 0.9% or 0.45% Sodium Chloride Injection, USP for intravenous infusion using aseptic technique.
  • For PJIA, CRS and SJIA patients less than 30 kg, dilute to 50 mL in 0.9% or 0.45% Sodium Chloride Injection, USP for intravenous infusion using aseptic technique.
  • Administer as a single intravenous drip infusion over 1 hour; do not administer as bolus or push.

Administration of Subcutaneous Formulation (2.9)

  • Follow the Instructions for Use for prefilled syringe and prefilled autoinjector

Dose Modifications (2.10)

  • Recommended for management of certain dose-related laboratory changes including elevated liver enzymes, neutropenia, and thrombocytopenia.
5.7 Demyelinating Disorders

The impact of treatment with tocilizumab products on demyelinating disorders is not known, but multiple sclerosis and chronic inflammatory demyelinating polyneuropathy were reported rarely in RA clinical studies. Monitor patients for signs and symptoms potentially indicative of demyelinating disorders. Prescribers should exercise caution in considering the use of AVTOZMA in patients with preexisting or recent onset demyelinating disorders.

9 Drug Abuse and Dependence (9 DRUG ABUSE AND DEPENDENCE)

No studies on the potential for tocilizumab products to cause dependence have been performed. However, there is no evidence from the available data that tocilizumab products treatment results in dependence.

3 Dosage Forms and Strengths (3 DOSAGE FORMS AND STRENGTHS)

Intravenous Infusion

Injection: 80 mg/4 mL (20 mg/mL), 200 mg/10 mL (20 mg/mL),

400 mg/20 mL (20 mg/mL) in single-dose vials for further dilution prior to intravenous infusion (3)

Subcutaneous Injection

Injection: 162 mg/0.9 mL in a single-dose prefilled syringe or single-dose prefilled autoinjector (3)

1.1 Rheumatoid Arthritis (ra) (1.1 Rheumatoid Arthritis (RA))

AVTOZMA® (tocilizumab-anoh) is indicated for the treatment of adult patients with moderately to severely active rheumatoid arthritis who have had an inadequate response to one or more Disease-Modifying Anti-Rheumatic Drugs (DMARDs).

14.1 Rheumatoid Arthritis –

The efficacy and safety of intravenously administered tocilizumab was assessed in five randomized, double-blind, multicenter studies in patients greater than 18 years with active rheumatoid arthritis diagnosed according to American College of Rheumatology (ACR) criteria. Patients had at least 8 tender and 6 swollen joints at baseline. Tocilizumab was given intravenously every 4 weeks as monotherapy (Study I), in combination with methotrexate (MTX) (Studies II and III) or other disease-modifying anti-rheumatic drugs (DMARDs) (Study IV) in patients with an inadequate response to those drugs, or in combination with MTX in patients with an inadequate response to TNF antagonists (Study V).

Study I (NCT00109408) evaluated patients with moderate to severe active rheumatoid arthritis who had not been treated with MTX within 24 weeks prior to randomization, or who had not discontinued previous methotrexate treatment as a result of clinically important toxic effects or lack of response. In this study, 67% of patients were MTX-naïve, and over 40% of patients had rheumatoid arthritis less than 2 years. Patients received tocilizumab 8 mg per kg monotherapy or MTX alone (dose titrated over 8 weeks from 7.5 mg to a maximum of 20 mg weekly). The primary endpoint was the proportion of tocilizumab patients who achieved an ACR 20 response at Week 24.

Study II (NCT00106535) was a 104-week study with an optional 156-week extension phase that evaluated patients with moderate to severe active rheumatoid arthritis who had an inadequate clinical response to MTX. Patients received tocilizumab 8 mg per kg, tocilizumab 4 mg per kg, or placebo every four weeks, in combination with MTX (10 to 25 mg weekly). Upon completion of 52-weeks, patients received open-label treatment with tocilizumab 8 mg per kg through 104 weeks or they had the option to continue their double-blind treatment if they maintained a greater than 70% improvement in swollen/tender joint count. Two pre-specified interim analyses at week 24 and week 52 were conducted. The primary endpoint at week 24 was the proportion of patients who achieved an ACR 20 response. At weeks 52 and 104, the primary endpoints were change from baseline in modified total Sharp-Genant score and the area under the curve (AUC) of the change from baseline in HAQ-DI score.

Study III (NCT00106548) evaluated patients with moderate to severe active rheumatoid arthritis who had an inadequate clinical response to MTX. Patients received tocilizumab 8 mg per kg, tocilizumab 4 mg per kg, or placebo every four weeks, in combination with MTX (10 to 25 mg weekly). The primary endpoint was the proportion of patients who achieved an ACR 20 response at week 24.

Study IV (NCT00106574) evaluated patients who had an inadequate response to their existing therapy, including one or more DMARDs. Patients received tocilizumab 8 mg per kg or placebo every four weeks, in combination with the stable DMARDs. The primary endpoint was the proportion of patients who achieved an ACR 20 response at week 24.

Study V (NCT00106522) evaluated patients with moderate to severe active rheumatoid arthritis who had an inadequate clinical response or were intolerant to one or more TNF antagonist therapies. The TNF antagonist therapy was discontinued prior to randomization. Patients received tocilizumab 8 mg per kg, tocilizumab 4 mg per kg, or placebo every four weeks, in combination with MTX (10 to 25 mg weekly). The primary endpoint was the proportion of patients who achieved an ACR 20 response at week 24.

14.2 Rheumatoid Arthritis –

The efficacy and safety of subcutaneously administered tocilizumab was assessed in two double-blind, controlled, multicenter studies in patients with active RA. One study, SC-I (NCT01194414), was a non-inferiority study that compared the efficacy and safety of tocilizumab 162 mg administered every week subcutaneously to 8 mg per kg intravenously every four weeks. The second study, SC-II (NCT01232569), was a placebo controlled superiority study that evaluated the safety and efficacy of tocilizumab 162 mg administered every other week subcutaneously to placebo. Both SC-I and SC-II required patients to be >18 years of age with moderate to severe active rheumatoid arthritis diagnosed according to ACR criteria who had at least 4 tender and 4 swollen joints at baseline (SC-I) or at least 8 tender and 6 swollen joints at baseline (SC-II), and an inadequate response to their existing DMARD therapy, where approximately 20% also had a history of inadequate response to at least one TNF inhibitor. All patients in both SC studies received background non-biologic DMARD(s).

In SC-I, 1262 patients were randomized 1:1 to receive tocilizumab-SC 162 mg every week or intravenous tocilizumab 8 mg/kg every four weeks in combination with DMARD(s). In SC-II, 656 patients were randomized 2:1 to tocilizumab-SC 162 mg every other week or placebo, in combination with DMARD(s). The primary endpoint in both studies was the proportion of patients who achieved an ACR20 response at Week 24.

The clinical response to 24 weeks of tocilizumab-SC therapy is shown in Table 8. In SC-I, the primary outcome measure was ACR20 at Week 24. The pre-specified non-inferiority margin was a treatment difference of 12%. The study demonstrated non-inferiority of tocilizumab with respect to ACR20 at Week 24; ACR50, ACR70, and DAS28 responses are also shown in Table 8. In SC-II, a greater portion of patients treated with tocilizumab 162 mg subcutaneously every other week achieved ACR20, ACR50, and ACR70 responses compared to placebo-treated patients (Table 8). Further, a greater proportion of patients treated with tocilizumab 162 mg subcutaneously every other week achieved a low level of disease activity as measured by a DAS28-ESR less than 2.6 at Week 24 compared to those treated with placebo (Table 8).

Table 8 Clinical Response at Week 24 in Trials of Subcutaneous Tocilizumab (Percent of Patients)
SC-I
Per Protocol Population
SC-II
Intent To Treat Population
TCZ SC 162 mg every week + DMARD TCZ IV 8mg/kg + DMARD TCZ SC 162 mg every other week + DMARD Placebo + DMARD
N=558 N=537 N=437 N=219
TCZ = tocilizumab
ACR20
Week 24 69% 73.4% 61% 32%
Weighted difference (95% CI) -4% (-9.2, 1.2) 30% (22.0, 37.0)
ACR50
Week 24 47% 49% 40% 12%
Weighted difference (95% CI) -2% (-7.5, 4.0) 28% (21.5, 34.4)
ACR70
Week 24 24% 28% 20% 5%
Weighted difference (95% CI) -4% (-9.0, 1.3) 15% (9.8, 19.9)
Change in DAS28 [Adjusted mean]
Week 24 -3.5 -3.5 -3.1 -1.7
Adjusted mean difference (95% CI) 0 (-0.2, 0.1) -1.4 (-1.7, -1.1)
DAS28 < 2.6
Week 24 38.4% 36.9% 32.0% 4.0%
Weighted difference (95% CI) 0.9 (-5.0, 6.8) 28.6 (22.0, 35.2)

The results of the components of the ACR response criteria and the percent of ACR20 responders by visit for tocilizumab-SC in Studies SC-I and SC-II were consistent with those observed for tocilizumab-IV.

14.3 Giant Cell Arteritis –

The efficacy and safety of subcutaneously administered tocilizumab was assessed in a single, randomized, double-blind, multicenter study in patients with active GCA. In Study WA28119 (NCT01791153), 251 screened patients with new-onset or relapsing GCA were randomized to one of four treatment arms. Two subcutaneous doses of tocilizumab (162 mg every week and 162 mg every other week) were compared to two different placebo control groups (pre-specified prednisone-taper regimen over 26 weeks and 52 weeks) randomized 2:1:1:1. The study consisted of a 52-week blinded period, followed by a 104-week open-label extension.

All patients received background glucocorticoid (prednisone) therapy. Each of the tocilizumab-treated groups and one of the placebo-treated groups followed a pre-specified prednisone-taper regimen with the aim to reach 0 mg by 26 weeks, while the second placebo-treated group followed a pre-specified prednisone-taper regimen with the aim to reach 0 mg by 52 weeks designed to be more in keeping with standard practice.

The primary efficacy endpoint was the proportion of patients achieving sustained remission from Week 12 through Week 52. Sustained remission was defined by a patient attaining a sustained (1) absence of GCA signs and symptoms from Week 12 through Week 52, (2) normalization of erythrocyte sedimentation rate (ESR) (to < 30 mm/hr without an elevation to ≥ 30 mm/hr attributable to GCA) from Week 12 through Week 52, (3) normalization of C-reactive protein (CRP) (to < 1 mg/dL, with an absence of successive elevations to ≥ 1mg/dL) from Week 12 through Week 52, and (4) successful adherence to the prednisone taper defined by not more than 100 mg of excess prednisone from Week 12 through Week 52. Tocilizumab 162 mg weekly and 162 mg every other week + 26 weeks prednisone taper both showed superiority in achieving sustained remission from Week 12 through Week 52 compared with placebo + 26 weeks prednisone taper (Table 9). Both tocilizumab treatment arms also showed superiority compared to the placebo + 52 weeks prednisone taper (Table 9).

Table 9 Efficacy Results from Study WA28119
PBO + 26 weeks prednisone taper

N=50
PBO + 52 weeks prednisone taper

N=51
TCZ 162mg SC QW + 26 weeks prednisone taper

N=100
TCZ 162 mg SC Q2W + 26 weeks prednisone taper

N=49
Patients not completing the study to week 52 were classified as non-responders in the primary and key secondary analysis: PBO+26: 6 (12.0%), PBO+52: 5 (9.8%), TCZ QW: 15 (15.0%), TCZ Q2W: 9 (18.4%).

CRP = C-reactive protein

ESR = erythrocyte sedimentation rate

PBO = placebo

Q2W = every other week dose

QW = every week dose

TCZ = tocilizumab
Sustained remission
Sustained remission was achieved by a patient meeting all of the following components: absence of GCA signs and symptomsb, normalization of ESRc, normalization of CRPd and adherence to the prednisone taper regimene
  Responders, n (%) 7 (14.0%) 9 (17.6%) 56 (56.0%) 26 (53.1%)
  Unadjusted difference in proportions vs PBO + 26 weeks taper

  (99.5% CI)
N/A N/A 42.0%

(18.0, 66.0)
39.1%

(12.5, 65.7)
  Unadjusted difference in proportions vs PBO + 52 weeks taper

  (99.5% CI)
N/A N/A 38.4%

(14.4, 62.3)
35.4%

(8.6, 62.2)
Components of Sustained Remission
  Sustained absence of GCA signs and symptoms
Patients who did not have any signs or symptoms of GCA recorded from Week 12 up to Week 52.
, n (%)
20 (40.0%) 23 (45.1%) 69 (69.0%) 28 (57.1%)
  Sustained ESR<30 mm/hr
Patients who did not have an elevated ESR ≥30 mm/hr which was classified as attributed to GCA from Week 12 up to Week 52.
, n (%)
20 (40.0%) 22 (43.1%) 83 (83.0%) 37 (75.5%)
  Sustained CRP normalization
Patients who did not have two or more consecutive CRP records of ≥ 1mg/dL from Week 12 up to Week 52.
, n (%)
17 (34.0%) 13 (25.5%) 72 (72.0%) 34 (69.4%)
  Successful prednisone tapering
Patients who did not enter escape therapy and received ≤ 100mg of additional concomitant prednisone from Week 12 up to Week 52.
, n (%)
10 (20.0%) 20 (39.2%) 60 (60.0%) 28 (57.1%)

The estimated annual cumulative prednisone dose was lower in the two tocilizumab dose groups (medians of 1887 mg and 2207 mg on tocilizumab QW and Q2W, respectively) relative to the placebo arms (medians of 3804 mg and 3902 mg on placebo + 26 weeks prednisone and placebo + 52 weeks prednisone taper, respectively).

6.11 Postmarketing Experience

The following adverse reactions have been identified during post-approval use of tocilizumab products. Because these reactions are reported voluntarily from a population of uncertain size, it is not always possible to reliably estimate their frequency or establish a causal relationship to drug exposure.

  • Hypersensitivity Reactions: Fatal anaphylaxis, Stevens-Johnson Syndrome, Drug Reaction with Eosinophilia and Systemic Symptoms (DRESS) [see Warnings and Precautions (5.6)]
  • Pancreatitis
  • Drug-induced liver injury, Hepatitis, Hepatic failure, Jaundice [see Warnings and Precautions (5.3)]
  • Hypofibrinogenemia
8 Use in Specific Populations (8 USE IN SPECIFIC POPULATIONS)
  • Pregnancy: Based on animal data, may cause fetal harm. (8.1)
  • Lactation: Discontinue drug or nursing taking into consideration importance of drug to mother. (8.2)
1.2 Giant Cell Arteritis (gca) (1.2 Giant Cell Arteritis (GCA))

AVTOZMA® (tocilizumab-anoh) is indicated for the treatment of giant cell arteritis (GCA) in adult patients.

17 Patient Counseling Information (17 PATIENT COUNSELING INFORMATION)

Advise the patient to read the FDA-approved patient labeling (Medication Guide and Instructions for Use).

5.2 Gastrointestinal Perforations

Events of gastrointestinal perforation have been reported in clinical trials, primarily as complications of diverticulitis in patients treated with tocilizumab. Use AVTOZMA with caution in patients who may be at increased risk for gastrointestinal perforation. Promptly evaluate patients presenting with fever, new onset abdominal symptoms, and a change in bowel habits for early identification of gastrointestinal perforation [see Adverse Reactions (6.1)].

1.5 Cytokine Release Syndrome (crs) (1.5 Cytokine Release Syndrome (CRS))

AVTOZMA® (tocilizumab-anoh) is indicated for the treatment of chimeric antigen receptor (CAR) T cell-induced severe or life-threatening cytokine release syndrome in adults and pediatric patients 2 years of age and older.

Warning: Risk of Serious Infections (WARNING: RISK OF SERIOUS INFECTIONS)

Patients treated with tocilizumab products including AVTOZMA are at increased risk for developing serious infections that may lead to hospitalization or death [see Warnings and Precautions (5.1), Adverse Reactions (6.1)]. Most patients who developed these infections were taking concomitant immunosuppressants such as methotrexate or corticosteroids.

If a serious infection develops, interrupt AVTOZMA until the infection is controlled. Reported infections include:

  • Active tuberculosis, which may present with pulmonary or extrapulmonary disease. Patients, except those with COVID-19, should be tested for latent tuberculosis before AVTOZMA use and during therapy. Treatment for latent infection should be initiated prior to AVTOZMA use.
  • Invasive fungal infections, including candidiasis, aspergillosis, and pneumocystis. Patients with invasive fungal infections may present with disseminated, rather than localized, disease.
  • Bacterial, viral and other infections due to opportunistic pathogens.

The risks and benefits of treatment with AVTOZMA should be carefully considered prior to initiating therapy in patients with chronic or recurrent infection.

Patients should be closely monitored for the development of signs and symptoms of infection during and after treatment with AVTOZMA, including the possible development of tuberculosis in patients who tested negative for latent tuberculosis infection prior to initiating therapy [see Warnings and Precautions (5.1)].

1.6 Coronavirus Disease 2019 (covid 19) (1.6 Coronavirus Disease 2019 (COVID-19))

AVTOZMA® (tocilizumab-anoh) is indicated for the treatment of coronavirus disease 2019 (COVID-19) in hospitalized adult patients who are receiving systemic corticosteroids and require supplemental oxygen, non- invasive or invasive mechanical ventilation, or extracorporeal membrane oxygenation (ECMO).

2.7 Coronavirus Disease 2019 (covid 19) (2.7 Coronavirus Disease 2019 (COVID-19))

Administer AVTOZMA by intravenous infusion only.

The recommended dosage of AVTOZMA for treatment of adult patients with COVID-19 is 8 mg per kg administered as a single 60-minute intravenous infusion. If clinical signs or symptoms worsen or do not improve after the first dose, one additional infusion of AVTOZMA may be administered at least 8 hours after the initial infusion.

  • Doses exceeding 800 mg per infusion are not recommended in patients with COVID-19.
  • Subcutaneous administration is not approved for COVID-19.
7.2 Interactions With Cyp450 Substrates (7.2 Interactions with CYP450 Substrates)

Cytochrome P450s in the liver are down-regulated by infection and inflammation stimuli including cytokines such as IL-6. Inhibition of IL-6 signaling in RA patients treated with tocilizumab products may restore CYP450 activities to higher levels than those in the absence of tocilizumab products leading to increased metabolism of drugs that are CYP450 substrates. In vitro studies showed that tocilizumab has the potential to affect expression of multiple CYP enzymes including CYP1A2, CYP2B6, CYP2C9, CYP2C19, CYP2D6 and CYP3A4. Its effect on CYP2C8 or transporters is unknown. In vivo studies with omeprazole, metabolized by CYP2C19 and CYP3A4, and simvastatin, metabolized by CYP3A4, showed up to a 28% and 57% decrease in exposure one week following a single dose of tocilizumab, respectively. The effect of tocilizumab products on CYP enzymes may be clinically relevant for CYP450 substrates with narrow therapeutic index, where the dose is individually adjusted. Upon initiation or discontinuation of AVTOZMA, in patients being treated with these types of medicinal products, perform therapeutic monitoring of effect (e.g., warfarin) or drug concentration (e.g., cyclosporine or theophylline) and the individual dose of the medicinal product adjusted as needed. Exercise caution when coadministering AVTOZMA with CYP3A4 substrate drugs where decrease in effectiveness is undesirable, e.g., oral contraceptives, lovastatin, atorvastatin, etc. The effect of tocilizumab products on CYP450 enzyme activity may persist for several weeks after stopping therapy [see Clinical Pharmacology (12.3)].

14.7 Systemic Juvenile Idiopathic Arthritis –

The efficacy of tocilizumab for the treatment of active SJIA was assessed in WA18221 (NCT00642460), a 12- week randomized, double blind, placebo-controlled, parallel group, 2-arm study. Patients treated with or without MTX, were randomized (tocilizumab:placebo = 2:1) to one of two treatment groups: 75 patients received tocilizumab infusions every two weeks at either 8 mg per kg for patients at or above 30 kg or 12 mg per kg for patients less than 30 kg and 37 were randomized to receive placebo infusions every two weeks. Corticosteroid tapering could occur from week six for patients who achieved a JIA ACR 70 response. After 12 weeks or at the time of escape, due to disease worsening, patients were treated with tocilizumab in the open-label extension phase at weight appropriate dosing.

The primary endpoint was the proportion of patients with at least 30% improvement in JIA ACR core set (JIA ACR 30 response) at Week 12 and absence of fever (no temperature at or above 37.5°C in the preceding 7 days). JIA ACR (American College of Rheumatology) responses are defined as the percentage improvement (e.g., 30%, 50%, 70%) in 3 of any 6 core outcome variables compared to baseline, with worsening in no more than 1 of the remaining variables by 30% or more. Core outcome variables consist of physician global assessment, parent per patient global assessment, number of joints with active arthritis, number of joints with limitation of movement, erythrocyte sedimentation rate (ESR), and functional ability (childhood health assessment questionnaire-CHAQ).

Primary endpoint result and JIA ACR response rates at Week 12 are shown in Table 10.

Table 10 Efficacy Findings at Week 12
Tocilizumab

N=75
Placebo

N=37
Primary Endpoint: JIA ACR 30 response + absence of fever
Responders 85% 24%
Weighted difference

(95% CI)
62

(45, 78)
-
JIA ACR Response Rates at Week 12
JIA ACR 30
Responders 91% 24%
Weighted difference
The weighted difference is the difference between the tocilizumab and Placebo response rates, adjusted for the stratification factors (weight, disease duration, background oral corticosteroid dose and background methotrexate use).
67 -
(95% CI)
CI: confidence interval of the weighted difference.
(51, 83)
JIA ACR 50
Responders 85% 11%
Weighted difference
74 -
(95% CI)
(58, 90)
JIA ACR 70
Responders 71% 8%
Weighted difference
63 -
(95% CI)
(46, 80)

The treatment effect of tocilizumab was consistent across all components of the JIA ACR response core variables. JIA ACR scores and absence of fever responses in the open label extension were consistent with the controlled portion of the study (data available through 44 weeks).

14.8 Systemic Juvenile Idiopathic Arthritis –

Subcutaneously administered tocilizumab in pediatric patients with systemic juvenile idiopathic arthritis (SJIA) was assessed in WA28118 (NCT01904292), a 52-week, open-label, multicenter, PK-PD and safety study to determine the appropriate subcutaneous dose of tocilizumab that achieved comparable PK/PD profiles to the tocilizumab-IV regimen.

Eligible patients received tocilizumab subcutaneously dosed according to body weight, with patients weighing at or above 30 kg (n = 26) dosed with 162 mg of tocilizumab every week and patients weighing below 30 kg (n = 25) dosed with 162 mg of tocilizumab every 10 days (n=8) or every 2 weeks (n=17) for 52 weeks. Of these 51 patients, 26 (51%) were naive to subcutaneous tocilizumab and 25 (49%) had been receiving tocilizumab intravenously and switched to subcutaneous tocilizumab at baseline.

The efficacy of subcutaneous tocilizumab in children 2 to 17 years of age is based on pharmacokinetic exposure and extrapolation of the established efficacy of intravenous tocilizumab in systemic JIA patients [see Clinical Pharmacology (12.3) and Clinical Studies (14.7)].

2.2 Recommended Dosage for Rheumatoid Arthritis

AVTOZMA may be used as monotherapy or concomitantly with methotrexate or other non-biologic DMARDs as an intravenous infusion or as a subcutaneous injection.

1.4 Systemic Juvenile Idiopathic Arthritis (sjia) (1.4 Systemic Juvenile Idiopathic Arthritis (SJIA))

AVTOZMA® (tocilizumab-anoh) is indicated for the treatment of active systemic juvenile idiopathic arthritis in patients 2 years of age and older.

5.8 Active Hepatic Disease and Hepatic Impairment

Treatment with AVTOZMA is not recommended in patients with active hepatic disease or hepatic impairment [see Adverse Reactions (6.1), Use in Specific Populations (8.6)].

Principal Display Panel  80 Mg/4 Ml Vial Carton (PRINCIPAL DISPLAY PANEL - 80 mg/4 mL Vial Carton)

NDC 72606-042-02

Rx only

Avtozma®

(tocilizumab-anoh)

Injection

80 mg/4 mL

(20 mg/mL)

For Intravenous Infusion After Dilution.

Single-Dose Vial.

Discard Unused Portion.

4 vials

CELLTRION USA

CELLTRION

Principal Display Panel 200 Mg/10 Ml Vial Carton (PRINCIPAL DISPLAY PANEL - 200 mg/10 mL Vial Carton)

NDC 72606-043-02

Rx only

Avtozma®

(tocilizumab-anoh)

Injection

200 mg/10 mL

(20 mg/mL)

For Intravenous Infusion After Dilution.

Single-Dose Vial.

Discard Unused Portion.

4 vials

CELLTRION USA

CELLTRION

Principal Display Panel 400 Mg/20 Ml Vial Carton (PRINCIPAL DISPLAY PANEL - 400 mg/20 mL Vial Carton)

NDC 72606-044-02

Rx only

Avtozma®

(tocilizumab-anoh)

Injection

400 mg/20 mL

(20 mg/mL)

For Intravenous Infusion After Dilution.

Single-Dose Vial.

Discard Unused Portion.

4 vials

CELLTRION USA

CELLTRION

14.5 Polyarticular Juvenile Idiopathic Arthritis –

The efficacy of tocilizumab was assessed in a three-part study, WA19977 (NCT00988221), including an open- label extension in children 2 to 17 years of age with active polyarticular juvenile idiopathic arthritis (PJIA), who had an inadequate response to methotrexate or inability to tolerate methotrexate. Patients had at least 6 months of active disease (mean disease duration of 4.2 ± 3.7 years), with at least five joints with active arthritis (swollen or limitation of movement accompanied by pain and/or tenderness) and/or at least 3 active joints having limitation of motion (mean, 20 ± 14 active joints). The patients treated had subtypes of JIA that at disease onset included Rheumatoid Factor Positive or Negative Polyarticular JIA, or Extended Oligoarticular JIA. Treatment with a stable dose of methotrexate was permitted but was not required during the study. Concurrent use of disease modifying antirheumatic drugs (DMARDs), other than methotrexate, or other biologics (e.g., TNF antagonists or T cell costimulation modulator) were not permitted in the study.

Part I consisted of a 16-week active tocilizumab treatment lead-in period (n=188) followed by Part II, a 24-week randomized double-blind placebo-controlled withdrawal period, followed by Part III, a 64-week open-label period. Eligible patients weighing at or above 30 kg received tocilizumab at 8 mg/kg intravenously once every four weeks. Patients weighing less than 30 kg were randomized 1:1 to receive either tocilizumab 8 mg/kg or 10 mg/kg intravenously every four weeks. At the conclusion of the open-label Part I, 91% of patients taking background MTX in addition to tocilizumab and 83% of patients on tocilizumab monotherapy achieved an ACR 30 response at week 16 compared to baseline and entered the blinded withdrawal period (Part II) of the study. The proportions of patients with JIA ACR 50/70 responses in Part I were 84.0%, and 64%, respectively for patients taking background MTX in addition to tocilizumab and 80% and 55% respectively for patients on tocilizumab monotherapy.

In Part II, patients (ITT, n=163) were randomized to tocilizumab (same dose received in Part I) or placebo in a 1:1 ratio that was stratified by concurrent methotrexate use and concurrent corticosteroid use. Each patient continued in Part II of the study until Week 40 or until the patient satisfied JIA ACR 30 flare criteria (relative to Week 16) and qualified for escape.

The primary endpoint was the proportion of patients with a JIA ACR 30 flare at week 40 relative to week 16. JIA ACR 30 flare was defined as 3 or more of the 6 core outcome variables worsening by at least 30% with no more than 1 of the remaining variables improving by more than 30% relative to Week 16.

Tocilizumab treated patients experienced significantly fewer disease flares compared to placebo-treated patients (26% [21/82] versus 48% [39/81]; adjusted difference in proportions -21%, 95% CI: -35%, -8%).

During the withdrawal phase (Part II), more patients treated with tocilizumab showed JIA ACR 30/50/70 responses at Week 40 compared to patients withdrawn to placebo.

14.6 Polyarticular Juvenile Idiopathic Arthritis –

Subcutaneously administered tocilizumab in pediatric patients with polyarticular juvenile idiopathic arthritis (PJIA) was assessed in WA28117 (NCT01904279), a 52-week, open-label, multicenter, PK-PD and safety study to determine the appropriate subcutaneous dose of tocilizumab that achieved comparable PK/PD profiles to the tocilizumab-IV regimen. PJIA patients aged 1 to 17 years with an inadequate response or inability to tolerate MTX, including patients with well-controlled disease on treatment with tocilizumab-IV and tocilizumab-naïve patients with active disease, were treated with subcutaneous tocilizumab based on body weight.

Patients weighing at or above 30 kg (n = 25) were treated with 162 mg of tocilizumab-SC every 2 weeks and patients weighing less than 30 kg (n = 27) received 162 mg of tocilizumab-SC every 3 weeks for 52 weeks. Of these 52 patients, 37 (71%) were naive to tocilizumab and 15 (29%) had been receiving tocilizumab-IV and switched to tocilizumab-SC at baseline.

The efficacy of subcutaneous tocilizumab in children 2 to 17 years of age is based on pharmacokinetic exposure and extrapolation of the established efficacy of intravenous tocilizumab in polyarticular JIA patients and subcutaneous tocilizumab in patients with RA [see Clinical Pharmacology (12.3) and Clinical Studies (14.2 and 14.5)].

5.6 Hypersensitivity Reactions, Including Anaphylaxis

Hypersensitivity reactions, including anaphylaxis, have been reported in association with tocilizumab products and anaphylactic events with a fatal outcome have been reported with intravenous infusion of tocilizumab products. Anaphylaxis and other hypersensitivity reactions that required treatment discontinuation were reported in 0.1% (3 out of 2644) of patients in the 6-month controlled trials of intravenous tocilizumab, 0.2% (8 out of 4009) of patients in the intravenous all-exposure RA population, 0.7% (8 out of 1068) in the subcutaneous 6-month controlled RA trials, and in 0.7% (10 out of 1465) of patients in the subcutaneous all- exposure population. In the SJIA controlled trial with intravenous tocilizumab, 1 out of 112 patients (0.9%) experienced hypersensitivity reactions that required treatment discontinuation. In the PJIA controlled trial with intravenous tocilizumab, 0 out of 188 patients (0%) in the tocilizumab all-exposure population experienced hypersensitivity reactions that required treatment discontinuation. Reactions that required treatment discontinuation included generalized erythema, rash, and urticaria. Injection site reactions were categorized separately [see Adverse Reactions (6)].

In the postmarketing setting, events of hypersensitivity reactions, including anaphylaxis and death have occurred in patients treated with a range of doses of intravenous tocilizumab products, with or without concomitant therapies. Events have occurred in patients who received premedication. Hypersensitivity, including anaphylaxis events, have occurred both with and without previous hypersensitivity reactions and as early as the first infusion of tocilizumab products [see Adverse Reactions (6.10)]. In addition, serious cutaneous reactions, including Drug Reaction with Eosinophilia and Systemic Symptoms (DRESS), have been reported in patients with autoinflammatory conditions treated with tocilizumab products.

AVTOZMA for intravenous use should only be infused by a healthcare professional with appropriate medical support to manage anaphylaxis. For AVTOZMA subcutaneous injection, advise patients to seek immediate medical attention if they experience any symptoms of a hypersensitivity reaction. If a hypersensitivity reaction occurs, immediately discontinue AVTOZMA, treat promptly and monitor until signs and symptoms resolve .

1.3 Polyarticular Juvenile Idiopathic Arthritis (pjia) (1.3 Polyarticular Juvenile Idiopathic Arthritis (PJIA))

AVTOZMA® (tocilizumab-anoh) is indicated for the treatment of active polyarticular juvenile idiopathic arthritis in patients 2 years of age and older.

14.4 Giant Cell Arteritis – Intravenous Administration

Intravenously administered tocilizumab in patients with GCA was assessed in WP41152 (NCT03923738), an open-label PK-PD and safety study to determine the appropriate intravenous dose of tocilizumab that achieved comparable PK-PD profiles to the tocilizumab-SC regimen.

At enrollment, all patients (n=24) were in remission on tocilizumab-IV. In Period 1, all patients received open- label tocilizumab-IV 7 mg/kg every 4 weeks for 20 weeks. Patients who completed Period 1 and remained in remission (n=22) were eligible to enter Period 2, and received open-label tocilizumab-IV 6 mg/kg every 4 weeks for 20 weeks.

The efficacy of intravenous tocilizumab 6 mg/kg in adult patients with GCA is based on pharmacokinetic exposure and extrapolation to the efficacy established for subcutaneous tocilizumab in patients with GCA [see Clinical Pharmacology (12.3) and Clinical Studies (14.3)].

7.1 Concomitant Drugs for Treatment of Adult Indications

In RA patients, population pharmacokinetic analyses did not detect any effect of methotrexate (MTX), non- steroidal anti-inflammatory drugs or corticosteroids on tocilizumab clearance. Concomitant administration of a single intravenous dose of 10 mg/kg tocilizumab with 10-25 mg MTX once weekly had no clinically significant effect on MTX exposure. Tocilizumab products have not been studied in combination with biological DMARDs such as TNF antagonists [see Dosage and Administration (2.2)].

In GCA patients, no effect of concomitant corticosteroid on tocilizumab exposure was observed.

13.1 Carcinogenesis, Mutagenesis, Impairment of Fertility

No long-term animal studies have been performed to establish the carcinogenicity potential of tocilizumab products. Literature indicates that the IL-6 pathway can mediate anti-tumor responses by promoting increased immune cell surveillance of the tumor microenvironment. However, available published evidence also supports that IL-6 signaling through the IL-6 receptor may be involved in pathways that lead to tumorigenesis. The malignancy risk in humans from an antibody that disrupts signaling through the IL-6 receptor, such as tocilizumab, is presently unknown.

Fertility and reproductive performance were unaffected in male and female mice that received a murine analogue of tocilizumab administered by the intravenous route at a dose of 50 mg/kg every three days.

14.9 Cytokine Release Syndrome Intravenous Administration (14.9 Cytokine Release Syndrome - Intravenous Administration)

The efficacy of tocilizumab for the treatment of CRS was assessed in a retrospective analysis of pooled outcome data from clinical trials of CAR T-cell therapies for hematological malignancies. Evaluable patients had been treated with tocilizumab 8 mg/kg (12 mg/kg for patients < 30 kg) with or without additional high-dose corticosteroids for severe or life-threatening CRS; only the first episode of CRS was included in the analysis. The study population included 24 males and 21 females (total 45 patients) of median age 12 years (range, 3–23 years); 82% were Caucasian. The median time from start of CRS to first dose of tocilizumab was 4 days (range, 0-18 days). Resolution of CRS was defined as lack of fever and off vasopressors for at least 24 hours. Patients were considered responders if CRS resolved within 14 days of the first dose of tocilizumab, if no more than 2 doses of tocilizumab were needed, and if no drugs other than tocilizumab and corticosteroids were used for treatment. Thirty-one patients (69%; 95% CI: 53%–82%) achieved a response. Achievement of resolution of CRS within 14 days was confirmed in a second study using an independent cohort that included 15 patients (range: 9–75 years old) with CAR T cell-induced CRS.

2.6 recommended Dosage for Cytokine Release Syndrome (crs) (2.6 Recommended Dosage for Cytokine Release Syndrome (CRS))

Use only the intravenous route for treatment of CRS. The recommended dose of AVTOZMA for treatment of CRS given as a 60-minute intravenous infusion is:

 Recommended Intravenous CRS Dosage
Patients less than 30 kg weight  12 mg per kg
Patients at or above 30 kg weight    8 mg per kg
 Alone or in combination with corticosteroids

• If no clinical improvement in the signs and symptoms of CRS occurs after the first dose, up to 3 additional does of AVTOZMA may be administered. The interval between consecutive doses should be at least 8 hours.

• Doses exceeding 800 mg per infusion are not recommended in CRS patients.

• Subcutaneous administration is not approved for CRS.

2.5 Recommended Dosage for Systemic Juvenile Idiopathic Arthritis

AVTOZMA may be used as an intravenous infusion or as a subcutaneous injection alone or in combination with methotrexate. Do not change a dose based solely on a single visit body weight measurement, as weight may fluctuate.

Principal Display Panel 4 Autoinjectors Carton Ndc 72606 045 06 (PRINCIPAL DISPLAY PANEL - 4 Autoinjectors Carton - NDC 72606-045-06)

Avtozma®

(tocilizumab-anoh)

Injection

162 mg/0.9 mL

FOR SUBCUTANEOUS USE ONLY

ATTENTION: Dispense the enclosed

Medication Guide to each patient

NDC 72606-045-06

Rx only

Each carton contains 4 single-dose Autoinjectors,

1 Medication Guide,

1 Prescribing Information and 1 Instructions for Use

4

single-dose

Autoinjectors

CELLTRION USA

CELLTRION

Principal Display Panel 12 Autoinjectors Carton Ndc 72606 045 06 (PRINCIPAL DISPLAY PANEL - 12 Autoinjectors Carton - NDC 72606-045-06)

Avtozma®

(tocilizumab-anoh)

Injection

162 mg/0.9 mL

FOR SUBCUTANEOUS USE ONLY

ATTENTION: Dispense the enclosed

Medication Guide to each patient

Multipack contains:

  • Three cartons
  • Each carton contains four 0.9-mL single-dose autoinjectors
  • 1 Medication Guide
  • 1 Prescribing Information
  • 1 Instructions for Use

NDC 72606-045-06

Rx only

Multipack:

12 (3 packs of 4) autoinjectors

12

single-dose

Autoinjectors

CELLTRION USA

CELLTRION

2.4 Recommended Dosage for Polyarticular Juvenile Idiopathic Arthritis

AVTOZMA may be used as an intravenous infusion or as a subcutaneous injection alone or in combination with methotrexate. Do not change dose based solely on a single visit body weight measurement, as weight may fluctuate.

Principal Display Panel 4 Prefilled Syringe Carton Ndc 72606 045 03 (PRINCIPAL DISPLAY PANEL - 4 Prefilled Syringe Carton - NDC 72606-045-03)

Avtozma®

(tocilizumab-anoh)

Injection

162 mg/0.9 mL

FOR SUBCUTANEOUS USE ONLY

ATTENTION: Dispense the enclosed

Medication Guide to each patient

NDC 72606-045-03

Rx only

Each carton contains 4 single-dose Prefilled syringes with safety guard,

1 Medication Guide,

1 Prescribing Information and 1 Instructions for Use

4

single-dose

Prefilled syringe with safety guard

CELLTRION USA

CELLTRION

2.8 Preparation and Administration Instructions for Intravenous Infusion

AVTOZMA for intravenous infusion should be diluted by a healthcare professional using aseptic technique as follows:

  • Use a sterile needle and syringe to prepare AVTOZMA.
  • Patients less than 30 kg: use a 50 mL infusion bag or bottle of 0.9% or 0.45% Sodium Chloride Injection, USP, and then follow steps 1 and 2 below.
  • Patients at or above 30 kg weight: use a 100 mL infusion bag or bottle, and then follow steps 1 and 2 below.
  • Step 1. Withdraw a volume of 0.9% or 0.45% Sodium Chloride Injection, USP, equal to the volume of the AVTOZMA injection required for the patient's dose from the infusion bag or bottle [see Dosage and Administration (2.2, 2.4, 2.5, 2.6)].
For Intravenous Use: Volume of AVTOZMA Injection per kg of Body Weight
Dosage Indication Volume of AVTOZMA injection per kg of body weight
4 mg/kg Adult RA 0.2 mL/kg
6 mg/kg Adult GCA 0.3 mL/kg
8 mg/kg Adult RA

Adult COVID-19

SJIA, PJIA and CRS (greater than or equal to 30 kg of body weight)
0.4 mL/kg
10 mg/kg PJIA (less than 30 kg of body weight) 0.5 mL/kg
12 mg/kg SJIA and CRS (less than 30 kg of body weight) 0.6 mL/kg
  • Step 2. Withdraw the amount of AVTOZMA for intravenous infusion from the vial(s) and add slowly into the 0.9% or 0.45% Sodium Chloride Injection, USP infusion bag or bottle. To mix the solution, gently invert the bag to avoid foaming.
  • The fully diluted AVTOZMA solutions for infusion using 0.9% Sodium Chloride Injection, USP may be stored at 36°F to 46°F (2°C to 8°C) for up to 48 hours or room temperature up to 86°F (30°C) for up to 4 hours and should be protected from light.
  • The fully diluted AVTOZMA solutions for infusion using 0.45% Sodium Chloride Injection, USP may be stored at 36°F to 46°F (2°C to 8°C) for up to 48 hours or room temperature up to 86°F (30°C) for up to 4 hours and should be protected from light.
  • AVTOZMA solutions do not contain preservatives; therefore, unused product remaining in the vials should not be used.
  • Allow the fully diluted AVTOZMA solution to reach room temperature prior to infusion.
  • The infusion should be administered over 60 minutes, and must be administered with an infusion set. Do not administer as an intravenous push or bolus.
  • AVTOZMA should not be infused concomitantly in the same intravenous line with other drugs. No physical or biochemical compatibility studies have been conducted to evaluate the co-administration of AVTOZMA with other drugs.
  • Parenteral drug products should be inspected visually for particulate matter and discoloration prior to administration, whenever solution and container permit. If particulates and discolorations are noted, the product should not be used.
  • Fully diluted AVTOZMA solutions are compatible with polypropylene, polyethylene and polyvinyl chloride infusion bags and polypropylene, polyethylene and glass infusion bottles.
Principal Display Panel 12 Prefilled Syringe Carton Ndc 72606 045 03 (PRINCIPAL DISPLAY PANEL - 12 Prefilled Syringe Carton - NDC 72606-045-03)

Avtozma®

(tocilizumab-anoh)

Injection

162 mg/0.9 mL

FOR SUBCUTANEOUS USE ONLY

ATTENTION: Dispense the enclosed

Medication Guide to each patient

Multipack contains:

  • Three cartons
  • Each carton contains four 0.9-mL single-dose prefilled syringes with safety guard
  • 1 Medication Guide
  • 1 Prescribing Information
  • 1 Instructions for Use

NDC 72606-045-03

Rx only

Multipack:

12 (3 packs of 4) prefilled syringes with safety guard

12

single-dose

Prefilled syringes with safety guard

CELLTRION USA

CELLTRION

2.9 Preparation and Administration Instructions for Subcutaneous Injection
  • AVTOZMA for subcutaneous injection is not intended for intravenous drip infusion.

    Assess suitability of patient for subcutaneous home use and instruct patients to inform a healthcare professional before administering the next dose if they experience any symptoms of allergic reaction. Patients should seek immediate medical attention if they develop symptoms of serious allergic reactions. AVTOZMA subcutaneous injection is intended for use under the guidance of a healthcare practitioner. After proper training in subcutaneous injection technique, a patient may self-inject AVTOZMA or the patient's caregiver may administer AVTOZMA if a healthcare practitioner determines that it is appropriate. PJIA and SJIA patients may self-inject with the AVTOZMA prefilled syringe or prefilled autoinjector, or the patient's caregiver may administer AVTOZMA if both the healthcare practitioner and the parent/legal guardian determines it is appropriate [see Use in Specific Populations (8.4)]. Patients, or patient caregivers, should be instructed to follow the directions provided in the Instructions for Use (IFU) for additional details on medication administration.
  • Parenteral drug products should be inspected visually for particulate matter and discoloration prior to administration. Do not use AVTOZMA prefilled syringes (PFS) or prefilled autoinjector (AI) exhibiting particulate matter, cloudiness, or discoloration. AVTOZMA for subcutaneous administration should be clear to slightly opalescent and colorless to yellow. Do not use if any part of the PFS or AI appears to be damaged.
  • Patients using AVTOZMA for subcutaneous administration should be instructed to inject the full amount in the syringe (0.9 mL) or full amount in the autoinjector (0.9 mL), which provides 162 mg of AVTOZMA, according to the directions provided in the IFU.
  • Injection sites should be rotated with each injection and should never be given into moles, scars, or areas where the skin is tender, bruised, red, hard, or not intact.
Principal Display Panel 162 Mg/0.9 Ml Autoinjector Carton Ndc 72606 045 04 (PRINCIPAL DISPLAY PANEL - 162 mg/0.9 mL Autoinjector Carton - NDC 72606-045-04)

Avtozma®

(tocilizumab-anoh)

Injection

162 mg/0.9 mL

FOR SUBCUTANEOUS USE ONLY

ATTENTION: Dispense the enclosed Medication Guide to each patient

NDC 72606-045-04

Rx only

Each carton contains 1 single-dose Autoinjector,

1 Medication Guide,

1 Prescribing Information and 1 Instructions for Use

1

single-dose

Autoinjector

CELLTRION USA

CELLTRION

Principal Display Panel 162 Mg/0.9 Ml Autoinjectors Carton Ndc 72606 045 05 (PRINCIPAL DISPLAY PANEL - 162 mg/0.9 mL Autoinjectors Carton - NDC 72606-045-05)

Avtozma®

(tocilizumab-anoh)

Injection

162 mg/0.9 mL

FOR SUBCUTANEOUS USE ONLY

ATTENTION: Dispense the enclosed

Medication Guide to each patient

NDC 72606-045-05

Rx only

Each carton contains 4 single-dose Autoinjectors,

1 Medication Guide,

1 Prescribing Information and 1 Instructions for Use

4

single-dose

Autoinjectors

CELLTRION USA

CELLTRION

Principal Display Panel 162 Mg/0.9 Ml Prefilled Syringe Carton Ndc 72606 045 01 (PRINCIPAL DISPLAY PANEL - 162 mg/0.9 mL Prefilled Syringe Carton - NDC 72606-045-01)

Avtozma®

(tocilizumab-anoh)

Injection

162 mg/0.9 mL

FOR SUBCUTANEOUS USE ONLY

ATTENTION: Dispense the enclosed

Medication Guide to each patient

NDC 72606-045-01

Rx only

Each carton contains 1 single-dose Prefilled syringe with safety guard,

1 Medication Guide,

1 Prescribing Information and 1 Instructions for Use

1

single-dose

Prefilled syringe with safety guard

CELLTRION USA

CELLTRION

Principal Display Panel 162 Mg/0.9 Ml Prefilled Syringe Carton Ndc 72606 045 02 (PRINCIPAL DISPLAY PANEL - 162 mg/0.9 mL Prefilled Syringe Carton - NDC 72606-045-02)

Avtozma®

(tocilizumab-anoh)

Injection

162 mg/0.9 mL

FOR SUBCUTANEOUS USE ONLY

ATTENTION: Dispense the enclosed

Medication Guide to each patient

NDC 72606-045-02

Rx only

Each carton contains 4 single-dose Prefilled syringes with safety guard,

1 Medication Guide,

1 Prescribing Information and 1 Instructions for Use

4

single-dose

Prefilled syringe with safety guard

CELLTRION USA

CELLTRION

6.10 Clinical Trials Experience in Covid 19 Patients Treated With Intravenous Tocilizumab (tocilizumab Iv) (6.10 Clinical Trials Experience in COVID-19 Patients Treated with Intravenous Tocilizumab (Tocilizumab-IV))

The safety of tocilizumab in hospitalized COVID-19 patients was evaluated in a pooled safety population that includes patients enrolled in EMPACTA, COVACTA, AND REMDACTA. The analysis of adverse reactions included a total of 974 patients exposed to tocilizumab. Patients received a single, 60-minute infusion of intravenous tocilizumab 8 mg/kg (maximum dose of 800 mg). If clinical signs or symptoms worsened or did not improve, one additional dose of tocilizumab 8 mg/kg could be administered between 8- 24 hours after the initial dose.

Adverse reactions summarized in Table 3 occurred in at least 3% of tocilizumab-treated patients and more commonly than in patients on placebo in the pooled safety population.

Table 3 Adverse Reactions
Patients are counted once for each category regardless of the number of reactions
Identified From the Pooled COVID-19 Safety Population
Adverse Reaction Tocilizumab 8 mg per kg Placebo
N = 974

(%)
N = 483

(%)
Hepatic Transaminases increased 10% 8%
Constipation 9 % 8%
Urinary tract infection 5% 4%
Hypertension 4% 1%
Hypokalaemia 4% 3%
Anxiety 4% 2%
Diarrhea 4% 2%
Insomnia 4% 3%
Nausea 3% 2%

In the pooled safety population, the rates of infection/serious infection events were 30%/19% in patients receiving tocilizumab versus 32%/23% receiving placebo.

6.1 Clinical Trials Experience in Rheumatoid Arthritis Patients Treated With Intravenous Tocilizumab (tocilizumab Iv) (6.1 Clinical Trials Experience in Rheumatoid Arthritis Patients Treated with Intravenous Tocilizumab (Tocilizumab-IV))

The tocilizumab-IV data in rheumatoid arthritis (RA) includes 5 double-blind, controlled, multicenter studies. In these studies, patients received doses of tocilizumab-IV 8 mg per kg monotherapy (288 patients), tocilizumab- IV 8 mg per kg in combination with DMARDs (including methotrexate) (1582 patients), or tocilizumab-IV 4 mg per kg in combination with methotrexate (774 patients).

The all exposure population includes all patients in registration studies who received at least one dose of tocilizumab-IV. Of the 4009 patients in this population, 3577 received treatment for at least 6 months, 3309 for at least one year; 2954 received treatment for at least 2 years and 2189 for 3 years.

All patients in these studies had moderately to severely active rheumatoid arthritis. The study population had a mean age of 52 years, 82% were female and 74% were Caucasian.

The most common serious adverse reactions were serious infections [see Warnings and Precautions (5.1)]. The most commonly reported adverse reactions in controlled studies up to 24 weeks (occurring in at least 5% of patients treated with tocilizumab-IV monotherapy or in combination with DMARDs) were upper respiratory tract infections, nasopharyngitis, headache, hypertension and increased ALT.

The proportion of patients who discontinued treatment due to any adverse reactions during the double-blind, placebo-controlled studies was 5% for patients taking tocilizumab-IV and 3% for placebo-treated patients. The most common adverse reactions that required discontinuation of tocilizumab-IV were increased hepatic transaminase values (per protocol requirement) and serious infections.

6.4 Clinical Trials Experience in Giant Cell Arteritis Patients Treated With Intravenous Tocilizumab (tocilizumab Iv) (6.4 Clinical Trials Experience in Giant Cell Arteritis Patients Treated with Intravenous Tocilizumab (Tocilizumab-IV))

The safety of tocilizumab-IV was studied in an open label PK-PD and safety study in 24 patients with GCA who were in remission on tocilizumab-IV at time of enrollment. Patients received tocilizumab 7 mg/kg every 4 weeks for 20 weeks, followed by 6 mg/kg every 4 weeks for 20 weeks. The total patient years exposure to treatment was 17.5 years. The overall safety profile observed for tocilizumab administered intravenously in GCA patients was consistent with the known safety profile of tocilizumab.

6.2 Clinical Trials Experience in Rheumatoid Arthritis Patients Treated With Subcutaneous Tocilizumab (tocilizumab Sc) (6.2 Clinical Trials Experience in Rheumatoid Arthritis Patients Treated with Subcutaneous Tocilizumab (Tocilizumab-SC))

The tocilizumab-SC data in rheumatoid arthritis (RA) includes 2 double-blind, controlled, multicenter studies. Study SC-I was a non-inferiority study that compared the efficacy and safety of tocilizumab 162 mg administered every week subcutaneously and 8 mg/kg intravenously every four weeks in 1262 adult subjects with rheumatoid arthritis. Study SC-II was a placebo controlled superiority study that evaluated the safety and efficacy of tocilizumab 162 mg administered every other week subcutaneously or placebo in 656 patients. All patients in both studies received background non-biologic DMARDs.

The safety observed for tocilizumab-SC administered subcutaneously was consistent with the known safety profile of intravenous tocilizumab, with the exception of injection site reactions (ISRs), which were more common with tocilizumab-SC compared with placebo SC injections (IV arm).

6.3 Clinical Trials Experience in Giant Cell Arteritis Patients Treated With Subcutaneous Tocilizumab (tocilizumab Sc) (6.3 Clinical Trials Experience in Giant Cell Arteritis Patients Treated with Subcutaneous Tocilizumab (Tocilizumab-SC))

The safety of subcutaneous tocilizumab has been studied in one Phase III study (WA28119) with 251 GCA patients. The total patient years duration in the tocilizumab-SC GCA all exposure population was 138.5 patient years during the 12-month double blind, placebo-controlled phase of the study. The overall safety profile observed in the tocilizumab-SC treatment groups was generally consistent with the known safety profile of tocilizumab. There was an overall higher incidence of infections in GCA patients relative to RA patients. The rate of infection/serious infection events was 200.2/9.7 events per 100 patient years in the tocilizumab-SC weekly group and 160.2/4.4 events per 100 patient years in the tocilizumab-SC every other week group as compared to 156.0/4.2 events per 100 patient years in the placebo + 26 week prednisone taper and 210.2/12.5 events per 100 patient years in the placebo + 52 week taper groups.

6.9 Clinical Trials Experience in Patients With Cytokine Release Syndrome Treated With Intravenous Avtozma (tocilizumab Iv) (6.9 Clinical Trials Experience in Patients with Cytokine Release Syndrome Treated with Intravenous AVTOZMA (Tocilizumab-IV))

In a retrospective analysis of pooled outcome data from multiple clinical trials 45 patients were treated with tocilizumab 8 mg/kg (12 mg/kg for patients less than 30 kg) with or without additional high-dose corticosteroids for severe or life-threatening CAR T cell-induced CRS. A median of 1 dose of tocilizumab (range, 1-4 doses) was administered. No adverse reactions related to tocilizumab were reported [see Clinical Studies (14.9)].

6.7 Clinical Trials Experience in Systemic Juvenile Idiopathic Arthritis Patients Treated With Intravenous Tocilizumab (tocilizumab Iv) (6.7 Clinical Trials Experience in Systemic Juvenile Idiopathic Arthritis Patients Treated with Intravenous Tocilizumab (Tocilizumab-IV))

The data described below reflect exposure to tocilizumab-IV in one randomized, double-blind, placebo- controlled trial of 112 pediatric patients with SJIA 2 to 17 years of age who had an inadequate clinical response to nonsteroidal anti-inflammatory drugs (NSAIDs) or corticosteroids due to toxicity or lack of efficacy. At baseline, approximately half of the patients were taking 0.3 mg/kg/day corticosteroids or more, and almost 70% were taking methotrexate. The trial included a 12 week controlled phase followed by an open-label extension. In the 12 week double-blind, controlled portion of the clinical study 75 patients received treatment with tocilizumab- IV (8 or 12 mg per kg based upon body weight). After 12 weeks or at the time of escape, due to disease worsening, patients were treated with tocilizumab-IV in the open-label extension phase.

The most common adverse events (at least 5%) seen in tocilizumab-IV treated patients in the 12 week controlled portion of the study were: upper respiratory tract infection, headache, nasopharyngitis and diarrhea.

6.8 Clinical Trials Experience in Systemic Juvenile Idiopathic Arthritis Patients Treated With Subcutaneous Tocilizumab (tocilizumab Sc) (6.8 Clinical Trials Experience in Systemic Juvenile Idiopathic Arthritis Patients Treated with Subcutaneous Tocilizumab (Tocilizumab-SC))

The safety profile of tocilizumab-SC was studied in 51 pediatric patients 1 to 17 years of age with SJIA who had an inadequate clinical response to NSAIDs and corticosteroids. In general, the safety observed for tocilizumab administered subcutaneously was consistent with the known safety profile of intravenous tocilizumab, with the exception of ISRs where a higher frequency was observed in tocilizumab-SC treated SJIA patients compared to PJIA patients and adult RA or GCA patients [see Adverse Reactions (6.2, 6.3 and 6.6)].

6.5 Clinical Trials Experience in Polyarticular Juvenile Idiopathic Arthritis Patients Treated With Intravenous Tocilizumab (tocilizumab Iv) (6.5 Clinical Trials Experience in Polyarticular Juvenile Idiopathic Arthritis Patients Treated with Intravenous Tocilizumab (Tocilizumab-IV))

The safety of tocilizumab-IV was studied in 188 pediatric patients 2 to 17 years of age with PJIA who had an inadequate clinical response or were intolerant to methotrexate. The total patient exposure in the tocilizumab-IV all exposure population (defined as patients who received at least one dose of tocilizumab-IV) was 184.4 patient years. At baseline, approximately half of the patients were taking oral corticosteroids and almost 80% were taking methotrexate. In general, the types of adverse drug reactions in patients with PJIA were consistent with those seen in RA and SJIA patients [see Adverse Reactions (6.1 and 6.7)].

6.6 Clinical Trials Experience in Polyarticular Juvenile Idiopathic Arthritis Patients Treated With Subcutaneous Tocilizumab (tocilizumab Sc) (6.6 Clinical Trials Experience in Polyarticular Juvenile Idiopathic Arthritis Patients Treated with Subcutaneous Tocilizumab (Tocilizumab-SC))

The safety of tocilizumab-SC was studied in 52 pediatric patients 1 to 17 years of age with PJIA who had an inadequate clinical response or were intolerant to methotrexate. The total patient exposure in the PJIA tocilizumab-SC population (defined as patients who received at least one dose of tocilizumab-SC and accounting for treatment discontinuation) was 49.5 patient years. In general, the safety observed for tocilizumab administered subcutaneously was consistent with the known safety profile of intravenous tocilizumab, with the exception of injection site reactions (ISRs), and neutropenia.


Advanced Ingredient Data


Raw Label Data

All Sections (JSON)