Levetiracetam Oral Solution

Levetiracetam Oral Solution
SPL v4
SPL
SPL Set ID 56fed03f-38c3-4273-8fd7-522bc508bf36
Route
ORAL
Published
Effective Date 2024-04-30
Document Type 34391-3 HUMAN PRESCRIPTION DRUG LABEL

Drug Facts

Composition & Product

Active Ingredients
Levetiracetam (100 mg)
Inactive Ingredients
Acesulfame Potassium Citric Acid Monohydrate Glycerin Glycyrrhizin Maltitol Methylparaben Propylparaben Water Sodium Citrate

Identifiers & Packaging

Marketing Status
ANDA Active Since 2015-06-11

Description

Warnings and Precautions (5.6)                                                           3/2024

Indications and Usage

Levetiracetam oral solution is indicated for the treatment of partial-onset seizures in patients 1 month of age and older (1.1) Levetiracetam oral solution is indicated for adjunctive therapy for the treatment of: • Myoclonic seizures in patients 12 years of age and older with juvenile myoclonic epilepsy (1.2) • Primary generalized tonic-clonic seizures in patients 6 years of age and older with idiopathic generalized epilepsy  (1.3)

Dosage and Administration

• Use the oral solution for pediatric patients with body weight ≤ 20 kg ( 2.1 ) • For pediatric patients, use weight-based dosing for the oral solution with a calibrated measuring device (not a household teaspoon or tablespoon) ( 2.1 ) Partial-Onset Seizures (monotherapy or adjunctive therapy) • 1 Month to < 6 Months: 7 mg/kg twice daily; increase by 7 mg/kg twice  daily every 2 weeks to recommended dose of 21 mg/kg twice daily ( 2.2 ) • 6 Months to < 4 Years: 10 mg/kg twice daily; increase by 10 mg/kg twice daily every 2 weeks to recommended dose of 25 mg/kg twice daily ( 2.2 ) • 4 Years to < 16 Years: 10 mg/kg twice daily; increase by 10 mg/kg twice daily every 2 weeks to recommended dose of 30 mg/kg twice daily ( 2.2 ) • Adults 16 Years and Older: 500 mg twice daily; increase by 500 mg twice daily every 2 weeks to a recommended dose of 1,500 mg twice daily ( 2.2 ) Myoclonic Seizures in Adults and Pediatric Patients 12 Years and Older • 500 mg twice daily; increase by 500 mg twice daily every 2 weeks to recommended dose of 1,500 mg twice daily ( 2.3 ) Primary Generalized Tonic-Clonic Seizures • 6 Years to < 16 Years: 10 mg/kg twice daily, increase in increments of 10 mg/kg twice daily every 2 weeks to recommended dose of 30 mg/kg twice daily ( 2.4 ) • Adults 16 Years and Older: 500 mg twice daily, increase by 500 mg twice daily every 2 weeks to recommended dose of 1,500 mg twice daily ( 2.4 ) Adult Patients with Impaired Renal Function • Dose adjustment is recommended, based on the patient’s estimated creatinine clearance ( 2.5 , 8.6 )

Warnings and Precautions

• Behavioral abnormalities including psychotic symptoms, suicidal ideation, irritability, and aggressive behavior have been observed; monitor patients    for psychiatric signs and symptoms ( 5.1 ) • Suicidal Behavior and Ideation: Monitor patients for new or worsening depression, suicidal thoughts/behavior, and/or unusual changes in mood or    behavior ( 5.2 ) • Monitor for somnolence and fatigue and advise patients not to drive or operate machinery until they have gained sufficient experience on    levetiracetam  (5.3 ) • Serious Dermatological Reactions: Discontinue levetiracetam at the first sign of rash unless clearly not drug related  (5.5) • Drug Reaction with Eosinophilia and Systemic Symptoms (DRESS)/Multiorgan Hypersensitivity: Discontinue if no alternative etiology ( 5.6 )  • Coordination Difficulties: Monitor for ataxia, abnormal gait, and incoordination. Advise patients to not drive or operate machinery until they have gained    experience on levetiracetam ( 5.7 ) • Withdrawal Seizures: Levetiracetam must be gradually withdrawn ( 5.8 )

Contraindications

Levetiracetam oral solution is contraindicated in patients with a hypersensitivity to levetiracetam. Reactions have included anaphylaxis and angioedema [see Warnings and Precautions (5.4)].

Adverse Reactions

The following adverse reactions are discussed in more details in other sections of labeling:               •  Behavior Abnormalities and Psychotic Symptoms [see Warnings and Precautions ( 5.1 )] •  Suicidal Behavior and Ideation [see Warnings and Precautions ( 5.2 )] •  Somnolence and Fatigue [see Warnings and Precautions ( 5.3 )] •  Anaphylaxis and Angioedema [see Warnings and Precautions ( 5.4 )] •  Serious Dermatological Reactions [see Warnings and Precautions ( 5.5 )] • Drug Reaction with Eosinophilia and Systemic Symptoms (DRESS)/Multiorgan Hypersensitivity [see Warnings and Precautions ( 5.6 )]  •  Coordination Difficulties [see Warnings and Precautions ( 5.7 )] •  Hematologic Abnormalities [see Warnings and Precautions ( 5.9 )] •  Increase in Blood Pressure [see Warnings and Precautions ( 5.10 )]

How Supplied

Levetiracetam oral solution USP, 100 mg/mL is a clear, colorless, grape-flavored liquid. It is supplied in 16 fl. oz. white HDPE bottles (NDC 31722-574-47).


Medication Information

Warnings and Precautions

• Behavioral abnormalities including psychotic symptoms, suicidal ideation, irritability, and aggressive behavior have been observed; monitor patients    for psychiatric signs and symptoms ( 5.1 ) • Suicidal Behavior and Ideation: Monitor patients for new or worsening depression, suicidal thoughts/behavior, and/or unusual changes in mood or    behavior ( 5.2 ) • Monitor for somnolence and fatigue and advise patients not to drive or operate machinery until they have gained sufficient experience on    levetiracetam  (5.3 ) • Serious Dermatological Reactions: Discontinue levetiracetam at the first sign of rash unless clearly not drug related  (5.5) • Drug Reaction with Eosinophilia and Systemic Symptoms (DRESS)/Multiorgan Hypersensitivity: Discontinue if no alternative etiology ( 5.6 )  • Coordination Difficulties: Monitor for ataxia, abnormal gait, and incoordination. Advise patients to not drive or operate machinery until they have gained    experience on levetiracetam ( 5.7 ) • Withdrawal Seizures: Levetiracetam must be gradually withdrawn ( 5.8 )

Indications and Usage

Levetiracetam oral solution is indicated for the treatment of partial-onset seizures in patients 1 month of age and older (1.1) Levetiracetam oral solution is indicated for adjunctive therapy for the treatment of: • Myoclonic seizures in patients 12 years of age and older with juvenile myoclonic epilepsy (1.2) • Primary generalized tonic-clonic seizures in patients 6 years of age and older with idiopathic generalized epilepsy  (1.3)

Dosage and Administration

• Use the oral solution for pediatric patients with body weight ≤ 20 kg ( 2.1 ) • For pediatric patients, use weight-based dosing for the oral solution with a calibrated measuring device (not a household teaspoon or tablespoon) ( 2.1 ) Partial-Onset Seizures (monotherapy or adjunctive therapy) • 1 Month to < 6 Months: 7 mg/kg twice daily; increase by 7 mg/kg twice  daily every 2 weeks to recommended dose of 21 mg/kg twice daily ( 2.2 ) • 6 Months to < 4 Years: 10 mg/kg twice daily; increase by 10 mg/kg twice daily every 2 weeks to recommended dose of 25 mg/kg twice daily ( 2.2 ) • 4 Years to < 16 Years: 10 mg/kg twice daily; increase by 10 mg/kg twice daily every 2 weeks to recommended dose of 30 mg/kg twice daily ( 2.2 ) • Adults 16 Years and Older: 500 mg twice daily; increase by 500 mg twice daily every 2 weeks to a recommended dose of 1,500 mg twice daily ( 2.2 ) Myoclonic Seizures in Adults and Pediatric Patients 12 Years and Older • 500 mg twice daily; increase by 500 mg twice daily every 2 weeks to recommended dose of 1,500 mg twice daily ( 2.3 ) Primary Generalized Tonic-Clonic Seizures • 6 Years to < 16 Years: 10 mg/kg twice daily, increase in increments of 10 mg/kg twice daily every 2 weeks to recommended dose of 30 mg/kg twice daily ( 2.4 ) • Adults 16 Years and Older: 500 mg twice daily, increase by 500 mg twice daily every 2 weeks to recommended dose of 1,500 mg twice daily ( 2.4 ) Adult Patients with Impaired Renal Function • Dose adjustment is recommended, based on the patient’s estimated creatinine clearance ( 2.5 , 8.6 )

Contraindications

Levetiracetam oral solution is contraindicated in patients with a hypersensitivity to levetiracetam. Reactions have included anaphylaxis and angioedema [see Warnings and Precautions (5.4)].

Adverse Reactions

The following adverse reactions are discussed in more details in other sections of labeling:               •  Behavior Abnormalities and Psychotic Symptoms [see Warnings and Precautions ( 5.1 )] •  Suicidal Behavior and Ideation [see Warnings and Precautions ( 5.2 )] •  Somnolence and Fatigue [see Warnings and Precautions ( 5.3 )] •  Anaphylaxis and Angioedema [see Warnings and Precautions ( 5.4 )] •  Serious Dermatological Reactions [see Warnings and Precautions ( 5.5 )] • Drug Reaction with Eosinophilia and Systemic Symptoms (DRESS)/Multiorgan Hypersensitivity [see Warnings and Precautions ( 5.6 )]  •  Coordination Difficulties [see Warnings and Precautions ( 5.7 )] •  Hematologic Abnormalities [see Warnings and Precautions ( 5.9 )] •  Increase in Blood Pressure [see Warnings and Precautions ( 5.10 )]

How Supplied

Levetiracetam oral solution USP, 100 mg/mL is a clear, colorless, grape-flavored liquid. It is supplied in 16 fl. oz. white HDPE bottles (NDC 31722-574-47).

Description

Warnings and Precautions (5.6)                                                           3/2024

Section 43683-2

Warnings and Precautions (5.6)                                                           3/2024

16.2 Storage


Store at 20ºC to 25ºC (68ºF to 77ºF) [see USP Controlled Room Temperature].

8.1 Pregnancy


Pregnancy Exposure Registry

There is a pregnancy exposure registry that monitors pregnancy outcomes in women exposed to antiepileptic drugs (AEDs), including levetiracetam, during pregnancy. Encourage women who are taking levetiracetam during pregnancy to enroll in the North American Antiepileptic Drug (NAAED) pregnancy registry by calling 1-888-233-2334 or visiting http://www.aedpregnancyregistry.org/.



Risk Summary

Prolonged experience with levetiracetam in pregnant women has not identified a drug-associated risk of major birth defects or miscarriage, based on published literature, which includes data from pregnancy registries and reflects experience over two decades [see Human Data].In animal studies, levetiracetam produced developmental toxicity (increased embryofetal and offspring mortality, increased incidences of fetal structural abnormalities, decreased embryofetal and offspring growth, neurobehavioral alterations in offspring) at doses similar to human therapeutic doses [see Animal Data].

 

In the U.S. general population, the estimated background risk of major birth defects and miscarriage in clinically recognized pregnancies is 2 to 4% and 15 to 20%, respectively. The background risk of major birth defects and miscarriage for the indicated population is unknown.



Clinical Considerations

Levetiracetam blood levels may decrease during pregnancy [see Warnings and Precautions ( 5.11)].

 

Physiological changes during pregnancy may affect levetiracetam concentration. Decrease in levetiracetam plasma concentrations has been observed during pregnancy. This decrease is more pronounced during the third trimester. Dose adjustments may be necessary to maintain clinical response.



Data

 

    Human Data

While available studies cannot definitively establish the absence of risk, data from the published literature and pregnancy registries have not established an association with levetiracetam use during pregnancy and major birth defects or miscarriage.



Animal Data

When levetiracetam (0, 400, 1,200, or 3,600 mg/kg/day) was administered orally to pregnant rats during the period of organogenesis, reduced fetal weights and increased incidence of fetal skeletal variations were observed at the highest dose tested. There was no evidence of maternal toxicity. The no-effect dose for adverse effects on embryofetal developmental in rats (1,200 mg/kg/day) is approximately 4 times the maximum recommended human dose (MRHD) of 3,000 mg on a body surface area (mg/m 2) basis.



Oral administration of levetiracetam (0, 200, 600, or 1,800 mg/kg/day) to pregnant rabbits during the period of organogenesis resulted in increased embryofetal mortality and incidence of fetal skeletal variations at the mid and high dose and decreased fetal weights and increased incidence of fetal malformations at the high dose, which was associated with maternal toxicity. The no-effect dose for adverse effects on embryofetal development in rabbits (200 mg/kg/day) is approximately equivalent to the MRHD on a mg/m 2basis.



Oral administration of levetiracetam (0, 70, 350, or 1,800 mg/kg/day) to female rats throughout pregnancy and lactation led to an increased incidence of fetal skeletal variations, reduced fetal body weight, and decreased growth in offspring at the mid and high doses and increased pup mortality and neurobehavioral alterations in offspring at the highest dose tested. There was no evidence of maternal toxicity. The no-effect dose for adverse effects on pre- and postnatal development in rats (70 mg/kg/day) is less than the MRHD on a mg/m 2basis.



Oral administration of levetiracetam to rats during the latter part of gestation and throughout lactation produced no adverse developmental or maternal effects at doses of up to 1,800 mg/kg/day (6 times the MRHD on a mg/m 2basis).

8.2 Lactation


Risk Summary

Levetiracetam is excreted in human milk. There are no data on the effects of levetiracetam on the breastfed infant, or the effects on milk production.



The developmental and health benefits of breastfeeding should be considered along with the mother’s clinical need for levetiracetam and any potential adverse effects on the breastfed infant from levetiracetam or from the underlying maternal condition.

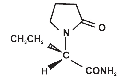
11 Description


Levetiracetam is an antiepileptic drug available as a clear, colorless, grape-flavored liquid (100 mg/mL) for oral administration.



The chemical name of levetiracetam, a single enantiomer, is (-)-(S)-α-ethyl-2-oxo-1-pyrrolidine acetamide, its molecular formula is C 8H 14N 2O 2and its molecular weight is 170.21. Levetiracetam is chemically unrelated to existing antiepileptic drugs (AEDs). It has the following structural formula:









Levetiracetam, USP is a white to off-white crystalline powder with a faint odor and a bitter taste. It is very soluble in water (1,040 mg/mL). It is freely soluble in chloroform (653 mg/mL) and in methanol (536 mg/mL), soluble in ethanol (165 mg/mL), sparingly soluble in acetonitrile (57 mg/mL) and practically insoluble in n-hexane. (Solubility limits are expressed as mg/mL solvent.)



Levetiracetam oral solution, USP contains 100 mg of levetiracetam, USP per mL. Inactive ingredients: acesulfame potassium, artificial grape flavor, citric acid monohydrate, glycerin, glycyrrhizate ammonium, maltitol solution, methyl paraben, propyl paraben, purified water and sodium citrate dihydrate.

Medication Guide
Levetiracetam Oral Solution USP

(lee" ve tye ra' se tam)

Read this Medication Guide before you start taking levetiracetam oral solution and each time you get a refill. There may be new information. This information does not take the place of talking to your healthcare provider about your medical condition or treatment.

What is the most important information I should know about levetiracetam oral solution?

 

  Like other antiepileptic drugs, levetiracetam oral solution may cause suicidal thoughts or actions in a very small number of people, about 1 in 500 people taking it.

 

  Call a healthcare provider right away if you have any of these symptoms, especially if they are new, worse, or worry you:

  • thoughts about suicide or dying
  • attempts to commit suicide
  • new or worse depression
  • new or worse anxiety
  • feeling agitated or restless
  • panic attacks
  • trouble sleeping (insomnia)
  • new or worse irritability
  • acting aggressive, being angry, or violent
  • acting on dangerous impulses
  • an extreme increase in activity and talking (mania)
  • other unusual changes in behavior or mood
Do not stop levetiracetam oral solution without first talking to a healthcare provider.

  • Stopping levetiracetam oral solution suddenly can cause serious problems. Stopping a seizure medicine suddenly can cause seizures that will not stop (status epilepticus).
  • Suicidal thoughts or actions can be caused by things other than medicines. If you have suicidal thoughts or actions, your healthcare provider may check for other causes.
How can I watch for early symptoms of suicidal thoughts and actions?

  • Pay attention to any changes, especially sudden changes, in mood, behaviors, thoughts, or feelings.
  • Keep all follow-up visits with your healthcare provider as scheduled.
Call your healthcare provider between visits as needed, especially if you are worried about symptoms

What is levetiracetam oral solution?

Levetiracetam oral solution is a prescription medicine taken by mouth that is used to treat partial-onset seizures in people 1 month of age and older.

Levetiracetam oral solution is a prescription medicine taken by mouth that is used with other medicines to treat:

  • myoclonic seizures in people 12 years of age and older with juvenile myoclonic epilepsy.
  • primary generalized tonic-clonic seizures in people 6 years of age and older with certain types of generalized epilepsy.
It is not known if levetiracetam oral solution is safe or effective in children under:

  • 1 month of age to treat partial-onset seizures
  • 12 years of age to treat myoclonic seizures
  •  6 years of age to treat primary generalized tonic-clonic seizures
Before taking your medicine, make sure you have received the correct medicine. Compare the name above with the name on your bottle and the appearance of your medicine with the description of levetiracetam oral solution provided below. Tell your pharmacist immediately if you think you have been given the wrong medicine.

Who should not take levetiracetam oral solution?

Do not take levetiracetam oral solution if you are allergic to levetiracetam.

What  should I tell my healthcare provider before starting levetiracetam oral solution?

Before taking levetiracetam oral solution, tell your healthcare provider about all of your medical conditions, including if you:

  • have or have had depression, mood problems or suicidal thoughts or behavior.
  • have kidney problems.
  • are pregnant or planning to become pregnant. It is not known if levetiracetam oral solution will harm your unborn baby. You and your healthcare provider will have to decide if you should take levetiracetam oral solution while you are pregnant. If you become pregnant while taking levetiracetam oral solution, talk to your healthcare provider about registering with the North American Antiepileptic Drug Pregnancy Registry. You can enroll in this registry by calling 1-888-233-2334 or go to http://www.aedpregnancyregistry.org. The purpose of this registry is to collect information about the safety of levetiracetam oral solution and other antiepileptic medicine during pregnancy.
  • are breastfeeding or plan to breastfeed. Levetiracetam can pass into your breast milk. It is not known if the levetiracetam that passes into your breast milk can harm your baby. Talk to your doctor about the best way to feed your baby while you receive levetiracetam oral solution.
 

Tell your healthcare provider about all the medicines you take, including prescription and over-the-counter medicines, vitamins, and herbal supplements. Do not start a new medicine without first talking with your healthcare provider.

 

 Know the medicines you take. Keep a list of them to show your healthcare provider and pharmacist each time you get a new medicine.

How should I take  levetiracetam oral solution?

  • Take levetiracetam oral solution exactly as your healthcare provider tells you to take it.
  • Your healthcare provider will tell you how much levetiracetam oral solution to take and when to take it. Levetiracetam oral solution is usually taken 2 times each day.
  • Your healthcare provider may change your dose. Do notchange your dose without talking to your healthcare provider.
  • Take levetiracetam oral solution with or without food.
  • If your healthcare provider has prescribed levetiracetam oral solution, be sure to ask your pharmacist for a medicine dropper or medicine cup to help you measure the correct amount of levetiracetam oral solution. Do not use a household teaspoon. Ask your pharmacist for instructions on how to use the measuring device the right way.
  • If you take too much levetiracetam oral solution, call your local Poison Control Center or go to the nearest emergency room right away.
What  should I avoid while taking  levetiracetam oral solution?

Do not drive, operate machinery or do other dangerous activities until you know how levetiracetam oral solution affects you. Levetiracetam oral solution may make you dizzy or sleepy.

What  are the possible side effects of levetiracetam oral solution?

Levetiracetam oral solution can cause serious side effects including:

• See “What is the most important information I should know about levetiracetam oral solution?”

Call your healthcare provider right away if you have any of these symptoms:

  • mood and behavior changes such as aggression, agitation, anger, anxiety, apathy, mood swings, depression, hostility, and irritability. A few people may get psychotic symptoms such as hallucinations (seeing or hearing things that are really not there), delusions (false or strange thoughts or beliefs) and unusual behavior.
  • extreme sleepiness, tiredness, and weakness
  • allergic reactions such as swelling of the face, lips, eyes, tongue, and throat, trouble
swallowing or breathing, and hives.

  • a skin rash. Serious skin rashes can happen after you start taking levetiracetam oral solution. There is no way to tell if a mild rash will become a serious reaction.
  • a serious allergic reaction that may affect your skin or other parts of your body such as your liver, kidneys, heart, or blood cells. This allergic reaction can be life-threatening and can cause death, particularly if it is not treated as early as possible. Call your healthcare provider right away if you have: 
        • a skin rash                      • fever or swollen glands that do not go away

        • swelling of your face      • shortness of breath 

        • dark urine                       • yellowing of the skin or whites of the eyes

  • problems with muscle coordination (problems walking and moving)
 

The most common side effects seen in people who take levetiracetam oral solution include:

                                    • sleepiness                         • weakness 

                                    • infection                             • dizziness 

The most common side effects seen in children who take levetiracetam oral solution include, in addition to those listed above include:

                                     • tiredness                           • acting aggressive 

                                     • decreased appetite           • nasal congestion 

                                     • irritability  

Tell your healthcare provider if you have any side effect that bothers you or that does not go away.

 

 These are not all the possible side effects of levetiracetam oral solution. For more information, ask your healthcare provider or pharmacist.

 

  Call your doctor for medical advice about side effects. You may report side effects to FDA at 1-800-FDA-1088.

How should I store levetiracetam oral solution?

  • Store  levetiracetam oral solutionat room temperature, between 68°F to 77°F (20°C to 25°C) away from heat and light.
  • Keep levetiracetam oral solution and all medicines out of the reach of children.
General information about the safe and effective use of levetiracetam oral solution.

Medicines are sometimes prescribed for purposes other than those listed in a Medication Guide. Do not use levetiracetam oral solution for a condition for which it was not prescribed. Do not give levetiracetam oral solution to other people, even if they have the same symptoms that you have. It may harm them. You can ask your pharmacist or healthcare provider for information about levetiracetam oral solution that is written for health professionals .

 

For more information, call 1-866-495-1995.

What are the ingredients in levetiracetam oral solution?

Active ingredient: levetiracetam, USP

 

 Inactive ingredients: acesulfame potassium, artificial grape flavor, citric acid monohydrate, glycerin, glycyrrhizate ammonium, maltitol solution, methyl paraben, propyl paraben, purified water and sodium citrate dihydrate.

 

 Levetiracetam oral solution does not contain lactose or gluten. Levetiracetam oral solution does contain carbohydrates. The liquid is dye-free.

Medication Guide available at http://camberpharma.com/medication-guides

 

  Manufactured for:

Camber Pharmaceuticals, Inc.

Piscataway, NJ 08854

 

By: HETERO TM

Hetero Labs Limited

Jeedimetla, Hyderabad - 500 055, India

 

or



By: Annora Pharma Pvt. Ltd.                        

Sangareddy - 502313, Telangana, India. 

This Medication Guide has been approved by the U.S. Food and Drug Administration.



Revised: 04/2024



10.3 Hemodialysis

Standard hemodialysis procedures result in significant clearance of levetiracetam (approximately 50% in 4 hours) and should be considered in cases of overdose. Although hemodialysis has not been performed in the few known cases of overdose, it may be indicated by the patient's clinical state or in patients with significant renal impairment.

16.1 How Supplied


Levetiracetam oral solution USP, 100 mg/mL is a clear, colorless, grape-flavored liquid. It is supplied in 16 fl. oz. white HDPE bottles (NDC 31722-574-47).

8.4 Pediatric Use


The safety and effectiveness of levetiracetam for the treatment of partial-onset seizures in patients 1 month to 16 years of age have been established [see Clinical Pharmacology  (12.3)and Clinical Studies ( 14.1)]. The dosing recommendation in these pediatric patients varies according to age group and is weight-based [see Dosage and Administration (2.2)].

 

The safety and effectiveness of levetiracetam as adjunctive therapy for the treatment of myoclonic seizures in adolescents 12 years of age and older with juvenile myoclonic epilepsy have been established [see Clinical Studies  (14.2)].

 

The safety and effectiveness of levetiracetam as adjunctive therapy for the treatment of primary generalized tonic-clonic seizures in pediatric patients 6 years of age and older with idiopathic generalized epilepsy have been established [see Clinical Studies (14.3)].

 

Safety and effectiveness for the treatment of partial-onset seizures in pediatric patients below the age of 1 month; adjunctive therapy for the treatment of myoclonic seizures in pediatric patients below the age of 12 years; and adjunctive therapy for the treatment of primary generalized tonic-clonic seizures in pediatric patients below the age of 6 years have not been established.



A 3-month, randomized, double-blind, placebo-controlled study was performed to assess the neurocognitive and behavioral effects of levetiracetam as adjunctive therapy in 98 (levetiracetam N=64, placebo N=34) pediatric patients, ages 4 to 16 years old, with partial seizures that were inadequately controlled. The target dose was 60 mg/kg/day. Neurocognitive effects were measured by the Leiter-R Attention and Memory (AM) Battery, which measures various aspects of a child's memory and attention. Although no substantive differences were observed between the placebo and drug treated groups in the median change from baseline in this battery, the study was not adequate to assess formal statistical non-inferiority of the drug and placebo. The Achenbach Child Behavior Checklist (CBCL/6-18), a standardized validated tool used to assess a child’s competencies and behavioral/emotional problems, was also assessed in this study. An analysis of the CBCL/6-18 indicated on average a worsening in levetiracetam-treated patients in aggressive behavior, one of the eight syndrome scores [see Warnings and Precautions (5.1)].

 

  Juvenile Animal Toxicity Data

Studies of levetiracetam in juvenile rats (dosed on postnatal days 4 through 52) and dogs (dosed from postnatal weeks 3 through 7) at doses of up to 1,800 mg/kg/day (approximately 7 and 24 times, respectively, the maximum recommended pediatric dose of 60 mg/kg/day on a mg/m 2basis) did not demonstrate adverse effects on postnatal development.



8.5 Geriatric Use


There were 347 subjects in clinical studies of levetiracetam that were 65 and over. No overall differences in safety were observed between these subjects and younger subjects. There were insufficient numbers of elderly subjects in controlled trials of epilepsy to adequately assess the effectiveness of levetiracetam in these patients.



Levetiracetam is known to be substantially excreted by the kidney, and the risk of adverse reactions to this drug may be greater in patients with impaired renal function. Because elderly patients are more likely to have decreased renal function, care should be taken in dose selection, and it may be useful to monitor renal function [ see Clinical Pharmacology ( 12.3) ].

4 Contraindications


Levetiracetam oral solution is contraindicated in patients with a hypersensitivity to levetiracetam. Reactions have included anaphylaxis and angioedema [see Warnings and Precautions (5.4)].

6 Adverse Reactions


The following adverse reactions are discussed in more details in other sections of labeling:              

•  Behavior Abnormalities and Psychotic Symptoms [see Warnings and Precautions ( 5.1)]

•  Suicidal Behavior and Ideation [see Warnings and Precautions ( 5.2)]

•  Somnolence and Fatigue [see Warnings and Precautions ( 5.3)]

•  Anaphylaxis and Angioedema [see Warnings and Precautions ( 5.4)]

•  Serious Dermatological Reactions [see Warnings and Precautions ( 5.5)]

Drug Reaction with Eosinophilia and Systemic Symptoms (DRESS)/Multiorgan Hypersensitivity [see Warnings and Precautions ( 5.6)] 

•  Coordination Difficulties [see Warnings and Precautions ( 5.7)]

•  Hematologic Abnormalities [see Warnings and Precautions ( 5.9)]

•  Increase in Blood Pressure [see Warnings and Precautions ( 5.10)]

8.6 Renal Impairment


Clearance of levetiracetam is decreased in patients with renal impairment and is correlated with creatinine clearance [see Clinical Pharmacology ( 12.3 )]. Dose adjustment is recommended for patients with impaired renal function and supplemental doses should be given to patients after dialysis [see Dosage and Administration ( 2.5 )].

12.2 Pharmacodynamics


Effects on QTc Interval

The effect of levetiracetam on QTc prolongation was evaluated in a randomized, double-blind, positive-controlled (moxifloxacin 400 mg) and placebo-controlled crossover study of levetiracetam (1,000 mg or 5,000 mg) in 52 healthy subjects. The upper bound of the 90% confidence interval for the largest placebo-adjusted, baseline-corrected QTc was below 10 milliseconds. Therefore, there was no evidence of significant QTc prolongation in this study.

12.3 Pharmacokinetics


The pharmacokinetics of levetiracetam are similar when used as monotherapy or as adjunctive therapy for the treatment of partial-onset seizures.



Absorption and Distribution

 

Absorption of levetiracetam is rapid, with peak plasma concentrations occurring in about an hour following oral administration in fasted subjects. The oral bioavailability of levetiracetam tablets is 100% and the tablets and oral solution are bioequivalent in rate and extent of absorption. Food does not affect the extent of absorption of levetiracetam but it decreases C maxby 20% and delays T maxby 1.5 hours. The pharmacokinetics of levetiracetam are linear over the dose range of 500 to 5,000 mg. Steady state is achieved after 2 days of multiple twice-daily dosing. Levetiracetam and its major metabolite are less than 10% bound to plasma proteins; clinically significant interactions with other drugs through competition for protein binding sites are therefore unlikely.



Metabolism

 

 Levetiracetam is not extensively metabolized in humans. The major metabolic pathway is the enzymatic hydrolysis of the acetamide group, which produces the carboxylic acid metabolite, ucb L057 (24% of dose) and is not dependent on any liver cytochrome P450 isoenzymes. The major metabolite is inactive in animal seizure models. Two minor metabolites were identified as the product of hydroxylation of the 2-oxo-pyrrolidine ring (2% of dose) and opening of the 2-oxo-pyrrolidine ring in position 5 (1% of dose). There is no enantiomeric interconversion of levetiracetam or its major metabolite.



Elimination

 

 Levetiracetam plasma half-life in adults is 7 ± 1 hour and is unaffected by either dose or repeated administration. Levetiracetam is eliminated from the systemic circulation by renal excretion as unchanged drug which represents 66% of administered dose. The total body clearance is 0.96 mL/min/kg and the renal clearance is 0.6 mL/min/kg. The mechanism of excretion is glomerular filtration with subsequent partial tubular reabsorption. The metabolite ucb L057 is excreted by glomerular filtration and active tubular secretion with a renal clearance of 4 mL/min/kg. Levetiracetam elimination is correlated to creatinine clearance. Levetiracetam clearance is reduced in patients with renal impairment [see Use in Specific Populations ( 8.6 )   and  Dosage and Administration ( 2.5 )].



Specific Populations

 

    Elderly

 

 Pharmacokinetics of levetiracetam were evaluated in 16 elderly subjects (age 61 to 88 years) with creatinine clearance ranging from 30 to 74 mL/min. Following oral administration of twice-daily dosing for 10 days, total body clearance decreased by 38% and the half-life was 2.5 hours longer in the elderly compared to healthy adults. This is most likely due to the decrease in renal function in these subjects.



Pediatric Patients

 

Pharmacokinetics of levetiracetam were evaluated in 24 pediatric patients (age 6 to 12 years) after single dose (20 mg/kg). The body weight adjusted apparent clearance of levetiracetam was approximately 40% higher than in adults.



A repeat dose pharmacokinetic study was conducted in pediatric patients (age 4 to 12 years) at doses of 20 mg/kg/day, 40 mg/kg/day, and 60 mg/kg/day. The evaluation of the pharmacokinetic profile of levetiracetam and its metabolite (ucb L057) in 14 pediatric patients demonstrated rapid absorption of levetiracetam at all doses with a T maxof about 1 hour and a t 1/2of 5 hours across the three dosing levels. The pharmacokinetics of levetiracetam in children was linear between 20 to 60 mg/kg/day. The potential interaction of levetiracetam with other AEDs was also evaluated in these patients. Levetiracetam had no significant effect on the plasma concentrations of carbamazepine, valproic acid, topiramate or lamotrigine. However, there was about a 22% increase of apparent clearance of levetiracetam when it was co-administered with an enzyme-inducing AED (e.g. carbamazepine).



Following single dose administration (20 mg/kg) of a 10% oral solution to children with epilepsy (1 month to < 4 years), levetiracetam was rapidly absorbed and peak plasma concentrations were observed approximately 1 hour after dosing. The pharmacokinetic results indicated that half-life was shorter (5.3 h) than for adults (7.2 h) and apparent clearance was faster (1.5 mL/min/kg) than for adults (0.96 mL/min/kg). 

 

Population pharmacokinetic analysis showed that body weight was significantly correlated to the clearance of levetiracetam in pediatric patients; clearance increased with an increase in body weight.



Pediatric Patients with Obesity

 

A population PK analysis of levetiracetam was conducted in 164 obese and non-obese pediatric patients 2 to <18 years of age with median (range) weight 39.2 (11.3-134) kg to evaluate the potential impact of obesity on plasma levetiracetam exposures. Obesity was defined as BMI  >95th percentile for age and sex based on CDC 2000 growth chart recommendations. Simulations were conducted for obese and non-obese pediatric patients ages 4 to <16 years.

  • When the recommended tablet dose is administered to pediatric patients weighing < 40 kg, obese pediatric patients have 27% higher median C max,ssand 19% higher median C min,sscompared to non-obese patients.
  • When the recommended tablet dose is administered to pediatric patients weighing >40 kg, obese pediatric patients have 10 to 11% lower median C max,ssand 2% lower median C min,sscompared to non-obese patients.
  • When the recommended oral solution dose is administered to pediatric patients across the full weight range, obese pediatric patients have 25% higher median C max,ssand 41% higher median C min,ss compared to non-obese pediatric patients.

However, differences in exposures between obese and non-obese pediatric patients are not expected to be clinically meaningful because the recommended dose titration at initiation of levetiracetam therapy would establish an appropriate dose for each individual patient.



Pregnancy

 

Levetiracetam levels may decrease during pregnancy [see Warnings and Precautions ( 5.11 ) and Use in Specific Populations (8.1 )].





Gender

 

Levetiracetam C maxand AUC were 20% higher in women (N=11) compared to men (N=12). However, clearances adjusted for body weight were comparable.

 

Race

 

Formal pharmacokinetic studies of the effects of race have not been conducted. Cross-study comparisons involving Caucasians (N=12) and Asians (N=12), however, show that pharmacokinetics of levetiracetam were comparable between the two races. Because levetiracetam is primarily renally excreted and there are no important racial differences in creatinine clearance, pharmacokinetic differences due to race are not expected.



Renal Impairment

 

The disposition of levetiracetam was studied in adult subjects with varying degrees of renal function. Total body clearance of levetiracetam is reduced in patients with impaired renal function by 40% in the mild group (CLcr = 50 to    80 mL/min), 50% in the moderate group (CLcr = 30 to 50 mL/min) and 60% in the severe renal impairment group (CLcr <30 mL/min). Clearance of levetiracetam is correlated with creatinine clearance.



In anuric (end stage renal disease) patients, the total body clearance decreased 70% compared to normal subjects (CLcr >80 mL/min). Approximately 50% of the pool of levetiracetam in the body is removed during a standard 4-hour hemodialysis procedure [see Dosage and Administration ( 2.5 )].



Hepatic Impairment

 

In subjects with mild (Child-Pugh A) to moderate (Child-Pugh B) hepatic impairment, the pharmacokinetics of levetiracetam were unchanged. In patients with severe hepatic impairment (Child-Pugh C), total body clearance was 50% that of normal subjects, but decreased renal clearance accounted for most of the decrease. No dose adjustment is needed for patients with hepatic impairment.



Drug Interactions

 

In vitrodata on metabolic interactions indicate that levetiracetam is unlikely to produce, or be subject to, pharmacokinetic interactions. Levetiracetam and its major metabolite, at concentrations well above C maxlevels achieved within the therapeutic dose range, are neither inhibitors of, nor high affinity substrates for, human liver cytochrome P450 isoforms, epoxide hydrolase or UDP-glucuronidation enzymes. In addition, levetiracetam does not affect the in vitroglucuronidation of valproic acid.



Potential pharmacokinetic interactions of or with levetiracetam were assessed in clinical pharmacokinetic studies (phenytoin, valproate, warfarin, digoxin, oral contraceptive, probenecid) and through pharmacokinetic screening in the placebo-controlled clinical studies in epilepsy patients.



Phenytoin

 

Levetiracetam (3,000 mg daily) had no effect on the pharmacokinetic disposition of phenytoin in patients with refractory epilepsy. Pharmacokinetics of levetiracetam were also not affected by phenytoin.



Valproate

 

Levetiracetam (1,500 mg twice daily) did not alter the pharmacokinetics of valproate in healthy volunteers. Valproate 500 mg twice daily did not modify the rate or extent of levetiracetam absorption or its plasma clearance or urinary excretion. There also was no effect on exposure to and the excretion of the primary metabolite, ucb L057.



Other Antiepileptic Drugs

 

Potential drug interactions between levetiracetam and other AEDs (carbamazepine, gabapentin, lamotrigine, phenobarbital, phenytoin, primidone and valproate) were also assessed by evaluating the serum concentrations of levetiracetam and these AEDs during placebo-controlled clinical studies. These data indicate that levetiracetam does not influence the plasma concentration of other AEDs and that these AEDs do not influence the pharmacokinetics of levetiracetam.



Effect of AEDs in Pediatric Patients

 

There was about a 22% increase of apparent total body clearance of levetiracetam when it was co-administered with enzyme-inducing AEDs. Dose adjustment is not recommended. Levetiracetam had no effect on plasma concentrations of carbamazepine, valproate, topiramate, or lamotrigine.



Oral Contraceptives

 

Levetiracetam (500 mg twice daily) did not influence the pharmacokinetics of an oral contraceptive containing 0.03 mg ethinyl estradiol and 0.15 mg levonorgestrel, or of the luteinizing hormone and progesterone levels, indicating that impairment of contraceptive efficacy is unlikely. Coadministration of this oral contraceptive did not influence the pharmacokinetics of levetiracetam.



Digoxin

 

Levetiracetam (1,000 mg twice daily) did not influence the pharmacokinetics and pharmacodynamics (ECG) of digoxin given as a 0.25 mg dose every day. Coadministration of digoxin did not influence the pharmacokinetics of levetiracetam.



Warfarin

 

Levetiracetam (1,000 mg twice daily) did not influence the pharmacokinetics of R and S warfarin. Prothrombin time was not affected by levetiracetam. Coadministration of warfarin did not affect the pharmacokinetics of levetiracetam.



Probenecid

 

Probenecid, a renal tubular secretion blocking agent, administered at a dose of 500 mg four times a day, did not change the pharmacokinetics of levetiracetam 1,000 mg twice daily. C ss maxof the metabolite, ucb L057, was approximately doubled in the presence of probenecid while the fraction of drug excreted unchanged in the urine remained the same. Renal clearance of ucb L057 in the presence of probenecid decreased 60%, probably related to competitive inhibition of tubular secretion of ucb L057. The effect of levetiracetam on probenecid was not studied.

1 Indications and Usage


Levetiracetam oral solution is indicated for the treatment of partial-onset seizures in patients 1 month of age and older (1.1)



Levetiracetam oral solution is indicated for adjunctive therapy for the treatment of:

• Myoclonic seizures in patients 12 years of age and older with juvenile myoclonic epilepsy (1.2)

• Primary generalized tonic-clonic seizures in patients 6 years of age and older with idiopathic generalized epilepsy  (1.3)



5.8 Withdrawal Seizures


As with most antiepileptic drugs, levetiracetam should generally be withdrawn gradually because of the risk of increased seizure frequency and status epilepticus. If withdrawal is needed because of a serious adverse reaction, rapid discontinuation can be considered.

12.1 Mechanism of Action


The precise mechanism(s) by which levetiracetam exerts its antiepileptic effect is unknown.



A saturable and stereoselective neuronal binding site in rat brain tissue has been described for levetiracetam. Experimental data indicate that this binding site is the synaptic vesicle protein SV2A, thought to be involved in the regulation of vesicle exocytosis. Although the molecular significance of levetiracetam binding to SV2A is not understood, levetiracetam and related analogs showed a rank order of affinity for SV2A which correlated with the potency of their antiseizure activity in audiogenic seizure-prone mice. These findings suggest that the interaction of levetiracetam with the SV2A protein may contribute to the antiepileptic mechanism of action of the drug.

1.1 Partial Onset Seizures


 Levetiracetam oral solution is indicated for the treatment of partial-onset seizures in patients 1 month of age and older.



5 Warnings and Precautions


• Behavioral abnormalities including psychotic symptoms, suicidal ideation, irritability, and aggressive behavior have been observed; monitor patients

   for psychiatric signs and symptoms ( 5.1)

• Suicidal Behavior and Ideation: Monitor patients for new or worsening depression, suicidal thoughts/behavior, and/or unusual changes in mood or

   behavior ( 5.2)

• Monitor for somnolence and fatigue and advise patients not to drive or operate machinery until they have gained sufficient experience on

   levetiracetam  (5.3)

• Serious Dermatological Reactions: Discontinue levetiracetam at the first sign of rash unless clearly not drug related  (5.5)

• Drug Reaction with Eosinophilia and Systemic Symptoms (DRESS)/Multiorgan Hypersensitivity: Discontinue if no alternative etiology ( 5.6

• Coordination Difficulties: Monitor for ataxia, abnormal gait, and incoordination. Advise patients to not drive or operate machinery until they have gained

   experience on levetiracetam ( 5.7)

• Withdrawal Seizures: Levetiracetam must be gradually withdrawn ( 5.8)

5.3 Somnolence and Fatigue

Levetiracetam may cause somnolence and fatigue. Patients should be monitored for these signs and symptoms and advised not to drive or operate machinery until they have gained sufficient experience on levetiracetam to gauge whether it adversely affects their ability to drive or operate machinery.

Somnolence

In controlled trials of adult patients with epilepsy experiencing partial-onset seizures, 15% of levetiracetam-treated patients reported somnolence, compared to 8% of placebo-treated patients. There was no clear dose response up to 3,000 mg/day. In a study where there was no titration, about 45% of patients receiving 4,000 mg/day reported somnolence. The somnolence was considered serious in 0.3% of levetiracetam-treated patients, compared to 0% in the placebo group. About 3% of levetiracetam-treated patients discontinued treatment due to somnolence, compared to 0.7% of placebo-treated patients. In 1.4% of levetiracetam-treated patients and 0.9% of placebo-treated patients, the dose was reduced, while 0.3% of the levetiracetam-treated patients were hospitalized due to somnolence.

Asthenia

In controlled clinical studies of adult patients with epilepsy experiencing partial-onset seizures, 15% of levetiracetam-treated patients reported asthenia, compared to 9% of placebo-treated patients. Treatment was discontinued due to asthenia in 0.8% of levetiracetam-treated patients as compared to 0.5% of placebo-treated patients. In 0.5% of levetiracetam-treated patients and in 0.2% of placebo-treated patients, the dose was reduced due to asthenia.

Somnolence and asthenia occurred most frequently within the first 4 weeks of treatment. In general, the incidences of somnolence and fatigue in the pediatric partial-onset seizure studies, and in pediatric and adult myoclonic and primary generalized tonic-clonic seizure studies were comparable to those of the adult partial-onset seizure studies.



10.2 Management of Overdose


There is no specific antidote for overdose with levetiracetam. If indicated, elimination of unabsorbed drug should be attempted by emesis or gastric lavage; usual precautions should be observed to maintain airway. General supportive care of the patient is indicated including monitoring of vital signs and observation of the patient’s clinical status. A Certified Poison Control Center should be contacted for up to date information on the management of overdose with levetiracetam.

14.1 Partial Onset Seizures


Effectiveness in Partial-Onset Seizures in Adults

The effectiveness of levetiracetam for the treatment of partial-onset seizures in adults was established in three multicenter, randomized, double-blind, placebo-controlled clinical studies in patients who had refractory partial-onset seizures with or without secondary generalization. The tablet formulation was used in all these studies. In these studies, 904 patients were randomized to placebo, 1,000 mg, 2,000 mg, or 3,000 mg/day. Patients enrolled in Study 1 or Study 2 had refractory partial-onset seizures for at least two years and had taken two or more classical AEDs. Patients enrolled in Study 3 had refractory partial-onset seizures for at least 1 year and had taken one classical AED. At the time of the study, patients were taking a stable dose regimen of at least one and could take a maximum of two AEDs. During the baseline period, patients had to have experienced at least two partial-onset seizures during each 4-week period.



Study 1

 

 Study 1 was a double-blind, placebo-controlled, parallel-group study conducted at 41 sites in the United States comparing levetiracetam 1,000 mg/day (N=97), levetiracetam 3,000 mg/day (N=101), and placebo (N=95) given in equally divided doses twice daily. After a prospective baseline period of 12 weeks, patients were randomized to one of the three treatment groups described above. The 18-week treatment period consisted of a 6-week titration period, followed by a 12-week fixed dose evaluation period, during which concomitant AED regimens were held constant. The primary measure of effectiveness was a between group comparison of the percent reduction in weekly partial seizure frequency relative to placebo over the entire randomized treatment period (titration + evaluation period). Secondary outcome variables included the responder rate (incidence of patients with ≥50% reduction from baseline in partial-onset seizure frequency). The results of the analysis of Study 1 are displayed in Table 10.



Table 10: Reduction in Mean Over Placebo in Weekly Frequency of Partial-Onset Seizures in Study 1





Placebo

(N=95)


Levetiracetam

1,000 mg/day

(N=97)


Levetiracetam

3,000 mg/day

(N=101)


Percent reduction in partial seizure

frequency over placebo


      26.1%*

  30.1%*


*statistically significant versus placebo



The percentage of patients (y-axis) who achieved ≥50% reduction in weekly seizure rates from baseline in partial-onset seizure frequency over the entire randomized treatment period (titration + evaluation period) within the three treatment groups (x-axis) is presented in Figure 1.



Figure 1: Responder Rate (≥50% Reduction from Baseline) in Study 1





*statistically significant versus placebo



Study 2

 

 Study 2 was a double-blind, placebo-controlled, crossover study conducted at 62 centers in Europe comparing levetiracetam 1,000 mg/day (N=106), levetiracetam 2,000 mg/day (N=105), and placebo (N=111) given in equally divided doses twice daily.



The first period of the study (Period A) was designed to be analyzed as a parallel-group study. After a prospective baseline period of up to 12 weeks, patients were randomized to one of the three treatment groups described above. The 16-week treatment period consisted of the 4-week titration period followed by a 12-week fixed dose evaluation period, during which concomitant AED regimens were held constant. The primary measure of effectiveness was a between group comparison of the percent reduction in weekly partial seizure frequency relative to placebo over the entire randomized treatment period (titration + evaluation period). Secondary outcome variables included the responder rate (incidence of patients with ≥50% reduction from baseline in partial-onset seizure frequency). The results of the analysis of Period A are displayed in Table 11.



Table 11: Reduction in Mean Over Placebo in Weekly Frequency of Partial-Onset Seizures in Study 2: Period A







Placebo

(N=111)


Levetiracetam

1,000 mg/day

(N=106)


Levetiracetam

2,000 mg/day

(N=105)


Percent reduction in partial seizure

frequency over placebo


       17.1%*

   21.4%*


*statistically significant versus placebo



The percentage of patients (y-axis) who achieved ≥50% reduction in weekly seizure rates from baseline in partial-onset seizure frequency over the entire randomized treatment period (titration + evaluation period) within the three treatment groups (x-axis) is presented in Figure 2.



Figure 2: Responder Rate (≥50% Reduction from Baseline) in Study 2: Period A







*statistically significant versus placebo



The comparison of levetiracetam 2,000 mg/day to levetiracetam 1,000 mg/day for responder rate was statistically significant (P=0.02). Analysis of the trial as a cross-over yielded similar results.



Study 3

 

Study 3 was a double-blind, placebo-controlled, parallel-group study conducted at 47 centers in Europe comparing levetiracetam 3,000 mg/day (N=180) and placebo (N=104) in patients with refractory partial-onset seizures, with or without secondary generalization, receiving only one concomitant AED. Study drug was given in two divided doses. After a prospective baseline period of 12 weeks, patients were randomized to one of two treatment groups described above. The 16-week treatment period consisted of a 4-week titration period, followed by a 12-week fixed dose evaluation period, during which concomitant AED doses were held constant. The primary measure of effectiveness was a between group comparison of the percent reduction in weekly seizure frequency relative to placebo over the entire randomized treatment period (titration + evaluation period). Secondary outcome variables included the responder rate (incidence of patients with ≥50% reduction from baseline in partial-onset seizure frequency). Table 12 displays the results of the analysis of Study 3.



Table 12: Reduction in Mean Over Placebo in Weekly Frequency of Partial-Onset Seizures in Study 3



Placebo

(N=104)



Levetiracetam

3,000 mg/day

(N=180)
Percent reduction in partial seizure

frequency over placebo





     23.0% *


*statistically significant versus placebo



The percentage of patients (y-axis) who achieved ≥50% reduction in weekly seizure rates from baseline in partial-onset seizure frequency over the entire randomized treatment period (titration + evaluation period) within the two treatment groups (x-axis) is presented in Figure 3.



Figure 3: Responder Rate (≥50% Reduction from Baseline) in Study 3





*statistically significant versus placebo



Effectiveness in Partial-Onset Seizures   inPediatric Patients 4 to 16 Years of Age

 

 The effectiveness of levetiracetam for the treatment of partial-onset seizures in pediatric patients was established in one multicenter, randomized double-blind, placebo-controlled study (Study 4), conducted at 60 sites in North America, in pediatric patients 4 to 16 years of age with partial seizures uncontrolled by standard antiepileptic drugs (AEDs). Eligible patients on a stable dose of 1 to 2 AEDs, who still experienced at least 4 partial-onset seizures during the 4 weeks prior to screening, as well as at least 4 partial-onset seizures in each of the two 4-week baseline periods, were randomized to receive either levetiracetam or placebo. The enrolled population included 198 patients (levetiracetam N=101, placebo N=97) with refractory partial-onset seizures, whether or not secondarily generalized. The study consisted of an 8-week baseline period and 4-week titration period followed by a 10-week evaluation period. Dosing was initiated at a dose of 20 mg/kg/day in two divided doses. During the treatment period, levetiracetam doses were adjusted in 20 mg/kg/day increments, at 2-week intervals to the target dose of 60 mg/kg/day. The primary measure of effectiveness was a between group comparison of the percent reduction in weekly partial seizure frequency relative to placebo over the entire 14-week randomized treatment period (titration + evaluation period). Secondary outcome variables included the responder rate (incidence of patients with ≥ 50% reduction from baseline in partial-onset seizure frequency per week). Table 13 displays the results of this study.



 Table 13: Reduction in Mean Over Placebo in Weekly Frequency of Partial-Onset Seizures in Study 4





Placebo

(N=97)


Levetiracetam

(N=101)
Percent reduction in partial seizure

frequency over placebo



     26.8%*


*statistically significant versus placebo



The percentage of patients (y-axis) who achieved ≥ 50% reduction in weekly seizure rates from baseline in partial-onset seizure frequency over the entire randomized treatment period (titration + evaluation period) within the two treatment groups (x-axis) is presented in Figure 4.



Figure 4: Responder Rate (≥ 50% Reduction from Baseline) in Study 4







*statistically significant versus placebo



Effectiveness in Partial-Onset Seizures in Pediatric Patients 1 Month to <4 Years of Age

The effectiveness of levetiracetam for the treatment of partial-onset seizures in pediatric patients was established in one multicenter, randomized double-blind, placebo-controlled study (Study 5), conducted at 62 sites in North America, South America, and Europe in pediatric patients 1 month to less than 4 years of age with partial seizures, uncontrolled by standard epileptic drugs (AEDs). Eligible patients on a stable dose of 1 to 2 AEDs, who experienced at least 2 partial-onset seizures during the 48-hour baseline video EEG were randomized to receive either levetiracetam or placebo. The enrolled population included 116 patients (levetiracetam N=60, placebo N=56) with refractory partial-onset seizures, whether or not secondarily generalized. Randomization was stratified by age range as follows: 1 month to less than 6 months of age (N=4 treated with levetiracetam), 6 months to less than 1 year of age (N=8 treated with levetiracetam), 1 year to less than 2 years of age (N=20 treated with levetiracetam), and 2 years to less than 4 years of age (N=28 treated with levetiracetam). The study consisted of a 5-day evaluation period which included a 1-day titration period followed by a 4-day maintenance period. Levetiracetam dosing was determined by age and weight as follows: children 1 month to less than 6 months old were randomized to a target dose of 40 mg/kg/day, and children 6 months to less than 4 years old were randomized to a target dose of 50 mg/kg/day. The primary measure of effectiveness was the responder rate (percent of patients with ≥ 50% reduction from baseline in average daily partial-onset seizure frequency) assessed by a blinded central reader using a 48-hour video EEG performed during the last two days of the 4-day maintenance period. A total of 109 patients were included in the efficacy analysis. A statistically significant difference between levetiracetam and placebo was observed (see Figure 5). The treatment effect associated with levetiracetam was consistent across age groups.



Figure 5: Responder Rate for All Patients Ages 1 Month to < 4 Years (≥ 50% Reduction from Baseline) in Study 5







*statistically significant versus placebo

2 Dosage and Administration




• Use the oral solution for pediatric patients with body weight ≤ 20 kg ( 2.1)

• For pediatric patients, use weight-based dosing for the oral solution with a calibrated measuring device (not a household teaspoon or tablespoon) ( 2.1)

Partial-Onset Seizures (monotherapy or adjunctive therapy)

• 1 Month to < 6 Months: 7 mg/kg twice daily; increase by 7 mg/kg twice  daily every 2 weeks to recommended dose of 21 mg/kg twice daily ( 2.2)

• 6 Months to < 4 Years: 10 mg/kg twice daily; increase by 10 mg/kg twice daily every 2 weeks to recommended dose of 25 mg/kg twice daily ( 2.2)

• 4 Years to < 16 Years: 10 mg/kg twice daily; increase by 10 mg/kg twice daily every 2 weeks to recommended dose of 30 mg/kg twice daily ( 2.2)

• Adults 16 Years and Older: 500 mg twice daily; increase by 500 mg twice daily every 2 weeks to a recommended dose of 1,500 mg twice daily ( 2.2)

Myoclonic Seizures in Adults and Pediatric Patients 12 Years and Older

• 500 mg twice daily; increase by 500 mg twice daily every 2 weeks to recommended dose of 1,500 mg twice daily ( 2.3)

Primary Generalized Tonic-Clonic Seizures

• 6 Years to < 16 Years: 10 mg/kg twice daily, increase in increments of 10 mg/kg twice daily every 2 weeks to recommended dose of 30 mg/kg twice daily ( 2.4)

• Adults 16 Years and Older: 500 mg twice daily, increase by 500 mg twice daily every 2 weeks to recommended dose of 1,500 mg twice daily ( 2.4)

Adult Patients with Impaired Renal Function

• Dose adjustment is recommended, based on the patient’s estimated creatinine clearance ( 2.5, 8.6)

3 Dosage Forms and Strengths


Levetiracetam oral solution USP, 100 mg/mL is a clear, colorless, grape-flavored liquid.

6.2 Postmarketing Experience


The following adverse reactions have been identified during postapproval use of levetiracetam. Because these reactions are reported voluntarily from a population of uncertain size, it is not always possible to reliably estimate their frequency or establish a causal relationship to drug exposure.

The following adverse reactions have been reported in patients receiving marketed levetiracetam worldwide. The listing is alphabetized: abnormal liver function test, acute kidney injury, anaphylaxis, angioedema, agranulocytosis,  choreoathetosis, drug reaction with eosinophilia and systemic symptoms (DRESS), dyskinesia, erythema multiforme, hepatic failure, hepatitis, hyponatremia, muscular weakness, obsessive-compulsive disorders (OCD), pancreatitis, pancytopenia (with bone marrow suppression identified in some of these cases), panic attack, thrombocytopenia, weight loss, and worsening of seizures including in patients with SCN8A mutations. Alopecia has been reported with levetiracetam use; recovery was observed in majority of cases where levetiracetam was discontinued.

5.7 Coordination Difficulties


Levetiracetam may cause coordination difficulties.



In controlled clinical studies in adult patients with partial-onset seizure studies, 3.4% of adult levetiracetam-treated patients experienced coordination difficulties, (reported as either ataxia, abnormal gait, or incoordination) compared to 1.6% of placebo-treated patients. A total of 0.4% of patients in controlled clinical studies discontinued levetiracetam treatment due to ataxia, compared to 0% of placebo-treated patients. In 0.7% of levetiracetam-treated patients and in 0.2% of placebo-treated patients, the dose was reduced due to coordination difficulties, while one of the levetiracetam-treated patients was hospitalized due to worsening of pre-existing ataxia. These events occurred most frequently within the first 4 weeks of treatment.



Patients should be monitored for these signs and symptoms and advised not to drive or operate machinery until they have gained sufficient experience on levetiracetam to gauge whether it could adversely affect their ability to drive or operate machinery.

5.9 Hematologic Abnormalities


Levetiracetam can cause hematologic abnormalities. Hematologic abnormalities occurred in clinical trials and included decreases in white blood cell (WBC), neutrophil, and red blood cell (RBC) counts; decreases in hemoglobin and hematocrit; and increases in eosinophil counts. Cases of agranulocytosis, pancytopenia, and thrombocytopenia have been reported in the postmarketing setting. A complete blood count is recommended in patients experiencing significant weakness, pyrexia, recurrent infections, or coagulation disorders.



Partial-Onset Seizures

 

      Adults

 

  Minor, but statistically significant, decreases compared to placebo in total mean RBC count (0.03 x 10 6/mm 3), mean hemoglobin (0.09 g/dL), and mean hematocrit (0.38%), were seen in levetiracetam-treated patients in controlled trials.



A total of 3.2% of levetiracetam-treated and 1.8% of placebo-treated patients had at least one possibly significant (≤2.8 x 10 9/L) decreased WBC, and 2.4% of levetiracetam-treated and 1.4% of placebo-treated patients had at least one possibly significant (≤1.0 x 10 9/L) decreased neutrophil count. Of the levetiracetam-treated patients with a low neutrophil count, all but one rose towards or to baseline with continued treatment. No patient was discontinued secondary to low neutrophil counts.



Pediatric Patients 4 Years to < 16 Years



Statistically significant decreases in WBC and neutrophil counts were seen in levetiracetam-treated patients as compared to placebo. The mean decreases from baseline in the levetiracetam-treated group were -0.4 × 10 9/L and -0.3 × 10 9/L, respectively, whereas there were small increases in the placebo group. Mean relative lymphocyte counts increased by 1.7% in levetiracetam-treated patients, compared to a decrease of 4% in placebo patients (statistically significant).



In the controlled trial, more levetiracetam-treated patients had a possibly clinically significant abnormally low WBC value (3% of levetiracetam-treated patients versus 0% of placebo-treated patients), however, there was no apparent difference between treatment groups with respect to neutrophil count (5% of levetiracetam-treated patients versus 4.2% of placebo-treated patients). No patient was discontinued secondary to low WBC or neutrophil counts.



In the controlled cognitive and neuropsychological safety study, 5 patients (8.6%) in the levetiracetam-treated group and two patients (6.1%) in the placebo-treated group had high eosinophil count values that were possibly clinically significant (≥10% or ≥0.7X10 9/L).

8 Use in Specific Populations


Pregnancy: Plasma levels of levetiracetam may be decreased and therefore need to be monitored closely during pregnancy. Based on animal data, may cause fetal harm (5.11, 8.1)

 

 

5.4 Anaphylaxis and Angioedema


Levetiracetam can cause anaphylaxis or angioedema after the first dose or at any time during treatment. Signs and symptoms in cases reported in the postmarketing setting have included hypotension, hives, rash, respiratory distress, and swelling of the face, lip, mouth, eye, tongue, throat, and feet. In some reported cases, reactions were life-threatening and required emergency treatment. If a patient develops signs or symptoms of anaphylaxis or angioedema, levetiracetam should be discontinued and the patient should seek immediate medical attention. Levetiracetam should be discontinued permanently if a clear alternative etiology for the reaction cannot be established [see Contraindications (4)].

6.1 Clinical Trials Experience


Because clinical trials are conducted under widely varying conditions, adverse reaction rates observed in the clinical trials of a drug cannot be directly compared to rates in the clinical trials of another drug and may not reflect the rates observed in practice.



Partial-Onset Seizures

 

  Adults

In controlled clinical studies in adults with partial-onset seizures [see Clinical Studies (14.1)], the most common adverse reactions in patients receiving levetiracetam in combination with other AEDs, for events with rates greater than placebo, were somnolence, asthenia, infection, and dizziness. Of the most common adverse reactions in adults experiencing partial-onset seizures, asthenia, somnolence, and dizziness occurred predominantly during the first 4 weeks of treatment with levetiracetam.



Table 3 lists adverse reactions that occurred in at least 1% of adult epilepsy patients receiving levetiracetam in placebo-controlled studies and were numerically more common than in patients treated with placebo. In these studies, either levetiracetam or placebo was added to concurrent AED therapy.  



Table 3: Adverse Reactions in Pooled Placebo-Controlled, Adjunctive Studies in Adults Experiencing Partial-Onset Seizures

 

Levetiracetam

  (N=769)

%

Placebo

  (N=439)

%

Asthenia

15

9

Somnolence

15

8

Headache

14

13

Infection

13

8

Dizziness

9

4

Pain

7

6

Pharyngitis

6

4

Depression

4

2

Nervousness

4

2

Rhinitis

4

3

Anorexia

3

2

Ataxia

3

1

Vertigo

3

1

Amnesia

2

1

Anxiety

2

1

Cough  Increased

2

1

Diplopia

2

1

Emotional Lability

2

0

Hostility

2

1

Paresthesia

2

1

Sinusitis

2

1

In controlled adult clinical studies, 15% of patients receiving levetiracetam and 12% receiving placebo either discontinued or had a dose reduction as a result of an adverse reaction. Table 4 lists the most common (>1%) adverse reactions that resulted in discontinuation or dose reduction and that occurred more frequently in levetiracetam-treated patients than in placebo-treated patients.



Table 4: Adverse Reactions that Resulted in Discontinuation or Dose Reduction in Placebo-Controlled Studies in Adult Patients Experiencing Partial-Onset Seizures

Adverse Reaction

 

Levetiracetam

  (N=769)

%

Placebo

  (N=439)

%

Somnolence

4



 2  


Dizziness


1


0


Pediatric Patients 4 Years to <16 Years

 

 The adverse reaction data presented below was obtained from a pooled analysis of two controlled pediatric clinical studies in pediatric patients 4 to 16 years of age with partial-onset seizures. The most common adverse reactions in pediatric patients receiving levetiracetam in combination with other AEDs, for events with rates greater than placebo, were fatigue, aggression, nasal congestion, decreased appetite, and irritability.



Table 5 lists adverse reactions from the pooled pediatric controlled studies (4 to 16 years of age) that occurred in at least 2% of pediatric levetiracetam-treated patients and were numerically more common than in pediatric patients treated with placebo. In these studies, either levetiracetam or placebo was added to concurrent AED therapy.



Table 5: Adverse Reactions in Pooled Placebo-Controlled, Adjunctive Studies in Pediatric Patients Ages 4 to 16 Years Experiencing Partial-Onset Seizures



 

 

Levetiracetam

  (N=165) %

Placebo

  (N=131)

  %

Headache

19

15

Nasopharyngitis

15

12

Vomiting

15

12

Somnolence

13

9

Fatigue

11

5

Aggression

10

5

Cough

9

5

Nasal  Congestion

9

2

Upper Abdominal Pain

9

8

Decreased  Appetite

8

2

Abnormal  Behavior

7

4

Dizziness

7

5

Irritability

7

1

Pharyngolaryngeal Pain

7

4

Diarrhea

6

2

Lethargy

6

5

Insomnia

5

3

Agitation

4

1

Anorexia

4

3

Head Injury

4

0

Altered Mood

3

1

Constipation

3

1

Contusion

3

1

Depression

3

1

Fall

3

2

Influenza

3

1

Affect  Lability

2

1

Anxiety

2

1

Arthralgia

2

0

Confusional  State

2

0

Conjunctivitis

2

0

Ear Pain

2

1

Gastroenteritis

2

0

Joint  Sprain

2

1

Mood Swings

2

1

Neck Pain

2

1

Rhinitis

2

0

Sedation

2

1



In the controlled pooled pediatric clinical studies in patients 4 to 16 years of age, 7% of patients receiving levetiracetam and 9% receiving placebo discontinued as a result of an adverse reaction.



Pediatric Patients 1 Month to < 4 Years

In the 7-day, controlled pediatric clinical study in children 1 month to less than 4 years of age with partial-onset seizures, the most common adverse reactions in patients receiving levetiracetam in combination with other AEDs, for events with rates greater than placebo, were somnolence and irritability. Because of the shorter exposure period, incidences of adverse reactions are expected to be lower than in other pediatric studies in older patients. Therefore, other controlled pediatric data, presented above, should also be considered to apply to this age group.



Table 6 lists adverse reactions that occurred in at least 5% of pediatric epilepsy patients (ages 1 month to < 4 years) treated with levetiracetam in the placebo-controlled study and were numerically more common than in patients treated with placebo. In this study, either levetiracetam or placebo was added to concurrent AED therapy.



Table 6: Adverse Reactions in a Placebo-Controlled, Adjunctive Study in Pediatric Patients Ages 1 Month to < 4 Years Experiencing Partial-Onset Seizures



 

Levetiracetam

(N=60)

%

Placebo

(N=56)

%

Somnolence

13

2

Irritability

12

0

 

In the 7-day controlled pediatric clinical study in patients 1 month to < 4 years of age, 3% of patients receiving levetiracetam and 2% receiving placebo either discontinued or had a dose reduction as a result of an adverse reaction. There was no adverse reaction that resulted in discontinuation for more than one patient.



Myoclonic Seizures

Although the pattern of adverse reactions in this study seems somewhat different from that seen in patients with partial-onset seizures, this is likely due to the much smaller number of patients in this study compared to partial seizure studies. The adverse reaction pattern for patients with JME is expected to be essentially the same as for patients with partial seizures.



In the controlled clinical study  in patients 12 years of age and older with myoclonic seizures [see Clinical Studies (14.2)], the most common adverse reactions in patients receiving levetiracetam in combination with other AEDs, for events with rates greater than placebo, were somnolence, neck pain, and pharyngitis.



Table 7 lists adverse reactions that occurred in at least 5% of juvenile myoclonic epilepsy patients experiencing myoclonic seizures treated with levetiracetam and were numerically more common than in patients treated with placebo. In this study, either levetiracetam or placebo was added to concurrent AED therapy.



Table 7: Adverse Reactions in a Placebo-Controlled, Adjunctive Study in Patients 12 Years of Age and Older with Myoclonic Seizures





 


Levetiracetam

 
(N=60)

%


Placebo

(N=60)



%


Somnolence


12




2


Neck pain


8




2


Pharyngitis


7




0


Depression


5




2


Influenza


5




2


Vertigo


5




3

In the placebo-controlled study, 8% of patients receiving levetiracetam and 2% receiving placebo either discontinued or had a dose reduction as a result of an adverse reaction. The adverse reactions that led to discontinuation or dose reduction and that occurred more frequently in levetiracetam-treated patients than in placebo-treated patients are presented in Table 8.



Table 8: Adverse Reactions that Resulted in Discontinuation or Dose Reduction in a Placebo-Controlled Study in Patients with Juvenile Myoclonic Epilepsy



Adverse Reaction 





Levetiracetam

  (N=60)

  %




Placebo

  (N=60)

  % 



Anxiety


3


2


Depressed mood


2


0


Depression


2


0


Diplopia


2


0


Hypersomnia


2


0


Insomnia


2


0


Irritability


2


0


Nervousness


2


0


Somnolence


2


0

 

Primary Generalized Tonic-Clonic Seizures

Although the pattern of adverse reactions in this study seems somewhat different from that seen in patients with partial-onset seizures, this is likely due to the much smaller number of patients in this study compared to partial seizure studies. The adverse reaction pattern for patients with primary generalized tonic-clonic (PGTC) seizures is expected to be essentially the same as for patients with partial seizures.



In the controlled clinical study that included patients 4 years of age and older with PGTC seizures [see Clinical Studies  (14.3)], the most common adverse reaction in patients receiving levetiracetam in combination with other AEDs, for events with rates greater than placebo, was nasopharyngitis.



Table 9 lists adverse reactions that occurred in at least 5% of idiopathic generalized epilepsy patients experiencing PGTC seizures treated with levetiracetam and were numerically more common than in patients treated with placebo. In this study, either levetiracetam or placebo was added to concurrent AED therapy.



Table 9: Adverse Reactions in a Placebo-Controlled, Adjunctive Study in Patients 4 Years of Age and Older with PGTC Seizures



  

 





Levetiracetam

(N=79) 

%




Placebo

  (N=84)

  %


Nasopharyngitis


14


5


Fatigue


10


8


Diarrhea


8


7


Irritability


6


2


Mood swings


5


1




In the placebo-controlled study, 5% of patients receiving levetiracetam and 8% receiving placebo either discontinued or had a dose reduction during the treatment period as a result of an adverse reaction.



This study was too small to adequately characterize the adverse reactions that could be expected to result in discontinuation of treatment in this population. It is expected that the adverse reactions that would lead to discontinuation in this population would be similar to those resulting in discontinuation in other epilepsy trials (see tables 4 and 8).



In addition, the following adverse reactions were seen in other controlled adult studies of levetiracetam: balance disorder, disturbance in attention, eczema, memory impairment, myalgia, and blurred vision.



Comparison of Gender, Age and Race

The overall adverse reaction profile of levetiracetam was similar between females and males. There are insufficient data to support a statement regarding the distribution of adverse reactions by age and race.

5.10 Increase in Blood Pressure


In a randomized, placebo-controlled study in patients 1 month to <4 years of age, a significantly higher risk of increased diastolic blood pressure was observed in the levetiracetam-treated patients (17%), compared to the placebo-treated patients (2%). There was no overall difference in mean diastolic blood pressure between the treatment groups. This disparity between the levetiracetam and placebo treatment groups was not observed in the studies of older children or in adults.

Monitor patients 1 month to <4 years of age for increases in diastolic blood pressure.

17 Patient Counseling Information


Advise the patient to read the FDA-approved patient labeling (Medication Guide). The Medication Guide accompanies the product and can also be accessed by calling 1-866-495-1995.



Psychiatric Reactions and Changes in Behavior

Advise patients that levetiracetam may cause changes in behavior (e.g. aggression, agitation, anger, anxiety, apathy, depression, hostility, and irritability) and psychotic symptoms [see Warnings and Precautions ( 5.1)].

 

  Suicidal Behavior and Ideation

Counsel patients, their caregivers, and/or families that antiepileptic drugs (AEDs), including levetiracetam, may increase the risk of suicidal thoughts and behavior and advise patients to be alert for the emergence or worsening of symptoms of depression; unusual changes in mood or behavior; or suicidal thoughts, behavior, or thoughts about self-harm. Advise patients, their caregivers, and/or families to immediately report behaviors of concern to a healthcare provider [see Warnings and Precautions ( 5.2)].

 

  Effects on Driving or Operating Machinery

Inform patients that levetiracetam may cause dizziness and somnolence. Inform patients not to drive or operate machinery until they have gained sufficient experience on levetiracetam to gauge whether it adversely affects their ability to drive or operate machinery [see Warnings and Precautions ( 5.3)].

 

  Anaphylaxis and Angioedema

Advise patients to discontinue levetiracetam and seek medical care if they develop signs and symptoms of anaphylaxis or angioedema [see Warnings and Precautions ( 5.4)].

 

  Dermatological Adverse Reactions

Advise patients that serious dermatological adverse reactions have occurred in patients treated with levetiracetam and instruct them to call their physician immediately if a rash develops [see Warnings and Precautions ( 5.5)].

 

  Withdrawal of Levetiracetam

Advise patients and caregivers not to discontinue use of levetiracetam without consulting with their healthcare provider. Levetiracetam should normally be gradually withdrawn to reduce the potential of increased seizure frequency and status epilepticus [see Warnings and Precautions (5.7)].

 

  Pregnancy

Advise patients to notify their healthcare provider if they become pregnant or intend to become pregnant during levetiracetam therapy. Encourage patients to enroll in the North American Antiepileptic Drug (NAAED) pregnancy registry if they become pregnant [see Use in Specific Populations (8.1 )].



Manufactured for:

Camber Pharmaceuticals, Inc.

Piscataway, NJ 08854



By:  HETERO TM

Hetero Labs Limited

Jeedimetla, Hyderabad - 500 055, India



or



By: Annora Pharma Pvt. Ltd.

Sangareddy - 502313, Telangana, India.



Revised: 04/2024

5.2 Suicidal Behavior and Ideation


Antiepileptic drugs (AEDs), including levetiracetam, increase the risk of suicidal thoughts or behavior in patients taking these drugs for any indication. Patients treated with any AED for any indication should be monitored for the emergence or worsening of depression, suicidal thoughts or behavior, and/or any unusual changes in mood or behavior.



Pooled analyses of 199 placebo-controlled clinical trials (mono- and adjunctive therapy) of 11 different AEDs showed that patients randomized to one of the AEDs had approximately twice the risk (adjusted Relative Risk 1.8, 95% CI:1.2, 2.7) of suicidal thinking or behavior compared to patients randomized to placebo. In these trials, which had a median treatment duration of 12 weeks, the estimated incidence rate of suicidal behavior or ideation among 27,863 AED-treated patients was 0.43%, compared to 0.24% among 16,029 placebo-treated patients, representing an increase of approximately one case of suicidal thinking or behavior for every 530 patients treated. There were four suicides in drug-treated patients in the trials and none in placebo-treated patients, but the number is too small to allow any conclusion about drug effect on suicide.



The increased risk of suicidal thoughts or behavior with AEDs was observed as early as one week after starting drug treatment with AEDs and persisted for the duration of treatment assessed. Because most trials included in the analysis did not extend beyond 24 weeks, the risk of suicidal thoughts or behavior beyond    24 weeks could not be assessed.



The risk of suicidal thoughts or behavior was generally consistent among drugs in the data analyzed. The finding of increased risk with AEDs of varying mechanisms of action and across a range of indications suggests that the risk applies to all AEDs used for any indication. The risk did not vary substantially by age (5 to 100 years) in the clinical trials analyzed. Table 2 shows absolute and relative risk by indication for all evaluated AEDs.



Table 2: Risk by Indication for Antiepileptic Drugs in the Pooled Analysis





Indication

Placebo Patients

with Events Per

1,000 Patients


Drug Patients

with Events Per

1,000 Patients
Relative Risk:

Incidence of Events

in Drug Patients/

Incidence in Placebo

Patients

Risk Difference:

Additional Drug

Patients with Events

Per 1,000 Patients

Epilepsy

1.0


3.4


3.5


2.4
Psychiatric

5.7


8.5


1.5


2.9
Other

1.0


1.8


1.9


0.9
Total

2.4


4.3


1.8


1.9


The relative risk for suicidal thoughts or behavior was higher in clinical trials for epilepsy than in clinical trials for psychiatric or other conditions, but the absolute risk differences were similar for the epilepsy and psychiatric indications.



Anyone considering prescribing levetiracetam or any other AED must balance the risk of suicidal thoughts or behaviors with the risk of untreated illness. Epilepsy and many other illnesses for which AEDs are prescribed are themselves associated with morbidity and mortality and an increased risk of suicidal thoughts and behavior. Should suicidal thoughts and behavior emerge during treatment, the prescriber needs to consider whether the emergence of these symptoms in any given patient may be related to the illness being treated.



5.5 Serious Dermatological Reactions


Serious dermatological reactions, including Stevens-Johnson syndrome (SJS) and toxic epidermal necrolysis (TEN), have been reported in both pediatric and adult patients treated with levetiracetam. The median time of onset is reported to be 14 to 17 days, but cases have been reported at least four months after initiation of treatment. Recurrence of the serious skin reactions following rechallenge with levetiracetam has also been reported. Levetiracetam should be discontinued at the first sign of a rash, unless the rash is clearly not drug-related. If signs or symptoms suggest SJS/TEN, use of this drug should not be resumed and alternative therapy should be considered.

2.2 Dosing for Partial Onset Seizures


The recommended dosing for monotherapy and adjunctive therapy is the same; as outlined below.



Adults 16 Years of Age and Older

Initiate treatment with a daily dose of 1,000 mg/day, given as twice-daily dosing (500 mg twice daily). Additional dosing increments may be given (1,000 mg/day additional every 2 weeks) to a maximum recommended daily dose of 3,000 mg. There is no evidence that doses greater than 3,000 mg/day confer additional benefit.



Pediatric Patients

1 Month to < 6 Months

Initiate treatment with a daily dose of 14 mg/kg in 2 divided doses (7 mg/kg twice daily). Increase the daily dose every 2 weeks by increments of 14 mg/kg to the recommended daily dose of 42 mg/kg (21 mg/kg twice daily). In the clinical trial, the mean daily dose was 35 mg/kg in this age group. 



6 Months to < 4 Years:

Initiate treatment with a daily dose of 20 mg/kg in 2 divided doses (10 mg/kg twice daily). Increase the daily dose in 2 weeks by an increment of 20 mg/kg to the recommended daily dose of 50 mg/kg (25 mg/kg twice daily). If a patient cannot tolerate a daily dose of 50 mg/kg, the daily dose may be reduced. In the clinical trial, the mean daily dose was 47 mg/kg in this age group.



4 Years to < 16 Years

Initiate treatment with a daily dose of 20 mg/kg in 2 divided doses (10 mg/kg twice daily). Increase the daily dose every 2 weeks by increments of 20 mg/kg to the recommended daily dose of 60 mg/kg (30 mg/kg twice daily). If a patient cannot tolerate a daily dose of 60 mg/kg, the daily dose may be reduced. In the clinical trial, the mean daily dose was 44 mg/kg. The maximum daily dose was 3,000 mg/day.

Levetiracetam Oral Solution Weight-Based Dosing Calculation For Pediatric Patients

 

 The following calculation should be used to determine the appropriate daily dose of oral solution for pediatric patients:



                                            Daily dose (mg/kg/day) x patient weight (kg)

Total daily dose (mL/day) = --------------------------------------------------------

                                                                    100 mg/mL

5.11 Seizure Control During Pregnancy


Physiological changes may gradually decrease plasma levels of levetiracetam throughout pregnancy. This decrease is more pronounced during the third trimester. It is recommended that patients be monitored carefully during pregnancy. Close monitoring should continue through the postpartum period especially if the dose was changed during pregnancy.

Package Label.principal Display Panel


Container Label for Leveteracetam oral Solution 100 mg/mL, 473 mL Container Label-Hetero

 Container Label for Leveteracetam oral Solution 100 mg/mL, 473 mL Container Label-Annora

2.1 Important Administration Instructions


Levetiracetam oral solution is given orally with or without food. The levetiracetam oral solution dosing regimen depends on the indication, age group, dosage form (tablets or oral solution), and renal function.

Prescribe the oral solution for pediatric patients with body weight ≤ 20 kg. Prescribe the oral solution or tablets for pediatric patients with body weight above 20 kg.

When using the oral solution in pediatric patients, dosing is weight-based (mg per kg) using a calibrated measuring device (not a household teaspoon or tablespoon).



1.3 Primary Generalized Tonic Clonic Seizures


Levetiracetam oral solution is indicated as adjunctive therapy for the treatment of primary generalized tonic-clonic seizures in patients 6 years of age and older with idiopathic generalized epilepsy.

14.3 Primary Generalized Tonic Clonic Seizures




The effectiveness of levetiracetam as adjunctive therapy in patients 6 years of age and older with idiopathic generalized epilepsy experiencing primary generalized tonic-clonic (PGTC) seizures was established in one multicenter, randomized, double-blind, placebo-controlled study (Study 7), conducted at 50 sites in 8 countries. Eligible patients on a stable dose of 1 or 2 antiepileptic drugs (AEDs) experiencing at least 3 PGTC seizures during the 8-week combined baseline period (at least one PGTC seizure during the 4 weeks prior to the prospective baseline period and at least one PGTC seizure during the 4-week prospective baseline period) were randomized to either levetiracetam or placebo. The 8-week combined baseline period is referred to as “baseline” in the remainder of this section. Patients were titrated over 4 weeks to a target dose of 3,000 mg/day for adults or a pediatric target dose of 60 mg/kg/day and treated at a stable dose of 3,000 mg/day (or 60 mg/kg/day for children) over 20 weeks (evaluation period). Study drug was given in 2 equally divided doses per day. The primary measure of effectiveness was the percent reduction from baseline in weekly PGTC seizure frequency for levetiracetam and placebo treatment groups over the treatment period (titration + evaluation periods).  The population included 164 patients (levetiracetam N=80, placebo N=84) with idiopathic generalized epilepsy (predominately juvenile myoclonic epilepsy, juvenile absence epilepsy, childhood absence epilepsy, or epilepsy with Grand Mal seizures on awakening) experiencing primary generalized tonic-clonic seizures. Each of these syndromes of idiopathic generalized epilepsy was well represented in this patient population.



There was a statistically significant decrease from baseline in PGTC frequency in the levetiracetam-treated patients compared to the placebo-treated patients.



Table 15: Median Percent Reduction from Baseline in PGTC Seizure Frequency per Week in Study 7

 







 


Placebo

(N=84)


Levetiracetam

(N=78)


Percent reduction

in PGTC seizure frequency


44.6%


 77.6%*


*statistically significant versus placebo



The percentage of patients (y-axis) who achieved ≥50% reduction in weekly seizure rates from baseline in PGTC seizure frequency over the entire randomized treatment period (titration + evaluation period) within the two treatment groups (x-axis) is presented in Figure 6.



Figure 6: Responder Rate (≥50% Reduction from Baseline) in PGTC Seizure Frequency per Week in Study 7 





*statistically significant versus placebo

2.6 Discontinuation of Levetiracetam Oral Solution


Avoid abrupt withdrawal from levetiracetam oral solution in order to reduce the risk of increased seizure frequency and status epilepticus [see Warnings and Precautions ( 5.8)].

5.1 Behavioral Abnormalities and Psychotic Symptoms


Levetiracetam may cause behavioral abnormalities and psychotic symptoms. Patients treated with levetiracetam should be monitored for psychiatric signs and symptoms.







Behavioral abnormalities

In clinical studies, 13% of adult levetiracetam-treated patients and 38% of pediatric levetiracetam-treated patients (4 to 16 years of age) compared to 6% and 19% of adult and pediatric placebo-treated patients, experienced non-psychotic behavioral symptoms (reported as aggression, agitation, anger, anxiety, apathy, depersonalization, depression, emotional lability, hostility, hyperkinesias, irritability, nervousness, neurosis, and personality disorder).



A randomized double-blind, placebo-controlled study was performed to assess the neurocognitive and behavioral effects of levetiracetam as adjunctive therapy in pediatric patients (4 to 16 years of age). The results from an exploratory analysis indicated a worsening in levetiracetam-treated patients on aggressive behavior (one of eight behavior dimensions) as measured in a standardized and systematic way using a validated instrument, the Achenbach Child Behavior Checklist (CBCL/6-18).



In clinical studies in pediatric patients 1 month to < 4 years of age, irritability was reported in 12% of the levetiracetam-treated patients compared to 0% of placebo-treated patients.



In clinical studies, 1.7% of adult levetiracetam-treated patients discontinued treatment due to behavioral adverse reactions, compared to 0.2% of placebo-treated patients. The treatment dose was reduced in 0.8% of adult levetiracetam-treated patients and in 0.5% of placebo-treated patients. Overall, 11% of levetiracetam-treated pediatric patients experienced behavioral symptoms associated with discontinuation or dose reduction, compared to 6% of placebo-treated patients.



Psychotic symptoms

In clinical studies, 1% of levetiracetam-treated adult patients, 2% of levetiracetam-treated pediatric patients 4 to 16 years of age, and 17% of levetiracetam-treated pediatric patients 1 month to <4 years of age experienced psychotic symptoms, compared to 0.2%, 2%, and 5% in the corresponding age groups treated with placebo. In a controlled study that assessed the neurocognitive and behavioral effects of levetiracetam in pediatric patients 4 to 16 years of age, 1.6% of levetiracetam-treated patients experienced paranoia, compared to 0% of placebo-treated patients. In the same study, 3.1% of levetiracetam-treated patients experienced confusional state, compared to 0% of placebo-treated patients [see Use in Specific Populations (8.4)].

 



In clinical studies, two (0.3%) levetiracetam-treated adult patients were hospitalized and their treatment was discontinued due to psychosis. Both events, reported as psychosis, developed within the first week of treatment and resolved within 1 to 2 weeks following treatment discontinuation. There was no difference between drug and placebo-treated patients in the incidence of the pediatric patients who discontinued treatment due to psychotic and non-psychotic adverse reactions.



2.4 Dosing for Primary Generalized Tonic Clonic Seizures


Adults 16 Years of Age and Older

Initiate treatment with a dose of 1,000 mg/day, given as twice-daily dosing (500 mg twice daily). Increase dosage by 1,000 mg/day every 2 weeks to the recommended daily dose of 3,000 mg. The effectiveness of doses lower than 3,000 mg/day has not been adequately studied. 



Pediatric Patients 6 to <16 Years of Age

Initiate treatment with a daily dose of 20 mg/kg in 2 divided doses (10 mg/kg twice daily). Increase the daily dose every 2 weeks by increments of 20 mg/kg to the recommended daily dose of 60 mg/kg (30 mg/kg twice daily). The effectiveness of doses lower than 60 mg/kg/day has not been adequately studied. Patients with body weight ≤20 kg should be dosed with oral solution. Patients with body weight above 20 kg can be dosed with either tablets or oral solution [see Dosage and Administration ( 2.1)] .

13.1 Carcinogenesis, Mutagenesis, Impairment of Fertility


Carcinogenesis

Rats were dosed with levetiracetam in the diet for 104 weeks at doses of 50, 300, and 1,800 mg/kg/day. Plasma exposure (AUC) at the highest dose was approximately 6 times that in humans at the maximum recommended daily human dose (MRHD) of 3,000 mg. There was no evidence of carcinogenicity. In mice, oral administration of levetiracetam for 80 weeks (doses up to 960 mg/kg/day) or 2 years (doses up to 4,000 mg/kg/day, lowered to 3,000 mg/kg/day after 45 weeks due to intolerability) was not associated with an increase in tumors. The highest dose tested in mice for 2 years (3,000 mg/kg/day) is approximately 5 times the MRHD on a body surface area (mg/m 2) basis.



Mutagenesis

Levetiracetam was negative in in vitro(Ames, chromosomal aberration in mammalian cells) and in vivo(mouse micronucleus) assays. The major human metabolite of levetiracetam (ucb L057) was negative in in vitro(Ames, mouse lymphoma) assays.



Impairment of Fertility

No adverse effects on male or female fertility or reproductive performance were observed in rats at oral doses up to 1,800 mg/kg/day, which were associated with plasma exposures (AUC) up to approximately 6 times that in humans at the MRHD.

2.5 Dosage Adjustments in Adult Patients With Renal Impairment


Levetiracetam oral solution dosing must be individualized according to the patient’s renal function status. Recommended dosage adjustments for adults are shown in Table 1. In order to calculate the dose recommended for patients with renal impairment, creatinine clearance adjusted for body surface area must be calculated. To do this an estimate of the patient’s creatinine clearance (CLcr) in mL/min must first be calculated using the following formula:



                                      [140-age (years)] x weight (kg)           

                       CLcr = ---------------------------------------           (x 0.85 for female patients)

                                      72 x serum creatinine (mg/dL)            



        Then CLcr is adjusted for body surface area (BSA) as follows:

                                                      CLcr (mL/min)

           CLcr (mL/min/1.73m 2) =    ------------------- x 1.73

                                                      BSA subject (m 2)



Table 1: Dosing Adjustment Regimen for Adult Patients with Renal Impairment

Group

Creatinine Clearance

 (mL/min/1.73m 2)

             Dosage (mg)            

Frequency

Normal

> 80

500 to 1,500

Every 12 hours



 

Mild

50 to 80

500 to 1,000

Every 12 hours

Moderate

30 to 50

250 to 750

Every 12 hours

Severe

< 30

250 to 500

Every 12 hours

ESRD patients

using dialysis

----

500 to 1,000*

Every 24 hours *

Following dialysis, a 250 to 500 mg supplemental dose is recommended.

1.2 Myoclonic Seizures in Patients With Juvenile Myoclonic Epilepsy


Levetiracetam oral solution is indicated as adjunctive therapy for the treatment of myoclonic seizures in patients 12 years of age and older with juvenile myoclonic epilepsy.

14.2 Myoclonic Seizures in Patients With Juvenile Myoclonic Epilepsy


The effectiveness of levetiracetam as adjunctive therapy in patients 12 years of age and older with juvenile myoclonic epilepsy (JME) experiencing myoclonic seizures was established in one multicenter, randomized, double-blind, placebo-controlled study (Study 6), conducted at 37 sites in 14 countries. Eligible patients on a stable dose of 1 antiepileptic drug (AED) experiencing one or more myoclonic seizures per day for at least 8 days during the prospective 8-week baseline period were randomized to either levetiracetam or placebo (levetiracetam N=60, placebo N=60). Patients were titrated over 4 weeks to a target dose of 3,000 mg/day and treated at a stable dose of 3,000 mg/day over 12 weeks (evaluation period). Study drug was given in 2 divided doses.



The primary measure of effectiveness was the proportion of patients with at least 50% reduction in the number of days per week with one or more myoclonic seizures during the treatment period (titration + evaluation periods) as compared to baseline. Of the 120 patients enrolled, 113 had a diagnosis of confirmed or suspected JME. Table 14 displays the results for the 113 patients with JME in this study.



Table 14: Responder Rate (≥50% Reduction from Baseline) in Myoclonic Seizure Days per Week for Patients with JME in Study 6







Placebo

(N=59)


Levetiracetam

(N=54)
Percentage of responders

23.7%
       60.4%*

*statistically significant versus placebo

10.1 Signs, Symptoms and Laboratory Findings of Acute Overdosage in Humans


The highest known dose of levetiracetam received in the clinical development program was 6,000 mg/day. Other than drowsiness, there were no adverse reactions in the few known cases of overdose in clinical trials. Cases of somnolence, agitation, aggression, depressed level of consciousness, respiratory depression and coma were observed with levetiracetam overdoses in postmarketing use.

5.6 Drug Reaction With Eosinophilia and Systemic Symptoms (dress)/multiorgan Hypersensitifity


Drug Reaction with Eosinophilia and Systemic Symptoms (DRESS), also known as multiorgan hypersensitivity, has been reported in patients taking antiepileptic drugs, including levetiracetam. These events can be fatal or life-threatening, particularly if diagnosis and treatment do not occur as early as possible. DRESS typically, although not exclusively, presents with fever, rash, lymphadenopathy, and/or facial swelling, in association with other organ system involvement, such as hepatitis,nephritis, hematological abnormalities, myocarditis, or myositis, sometimes resembling an acute viral infection. Eosinophilia is often present. Because this disorder is variable in its expression, other organ systems not noted here may be involved. It is important to note that early manifestations of hypersensitivity, such as fever or lymphadenopathy, may be present even though rash is not evident. If such signs or symptoms are present, the patient should be evaluated immediately. Levetiracetam should be discontinued if an alternative etiology for the signs or symptoms cannot be established [see Contraindications (4)].

2.3 Dosing for Myoclonic Seizures in Patients 12 Years of Age and Older With Juvenile Myoclonic Epilepsy


Initiate treatment with a dose of 1,000 mg/day, given as twice-daily dosing (500 mg twice daily). Increase the dosage by 1,000 mg/day every 2 weeks to the recommended daily dose of 3,000 mg. The effectiveness of doses lower than 3,000 mg/day has not been studied.




Structured Label Content

Section 43683-2 (43683-2)

Warnings and Precautions (5.6)                                                           3/2024

16.2 Storage


Store at 20ºC to 25ºC (68ºF to 77ºF) [see USP Controlled Room Temperature].

8.1 Pregnancy


Pregnancy Exposure Registry

There is a pregnancy exposure registry that monitors pregnancy outcomes in women exposed to antiepileptic drugs (AEDs), including levetiracetam, during pregnancy. Encourage women who are taking levetiracetam during pregnancy to enroll in the North American Antiepileptic Drug (NAAED) pregnancy registry by calling 1-888-233-2334 or visiting http://www.aedpregnancyregistry.org/.



Risk Summary

Prolonged experience with levetiracetam in pregnant women has not identified a drug-associated risk of major birth defects or miscarriage, based on published literature, which includes data from pregnancy registries and reflects experience over two decades [see Human Data].In animal studies, levetiracetam produced developmental toxicity (increased embryofetal and offspring mortality, increased incidences of fetal structural abnormalities, decreased embryofetal and offspring growth, neurobehavioral alterations in offspring) at doses similar to human therapeutic doses [see Animal Data].

 

In the U.S. general population, the estimated background risk of major birth defects and miscarriage in clinically recognized pregnancies is 2 to 4% and 15 to 20%, respectively. The background risk of major birth defects and miscarriage for the indicated population is unknown.



Clinical Considerations

Levetiracetam blood levels may decrease during pregnancy [see Warnings and Precautions ( 5.11)].

 

Physiological changes during pregnancy may affect levetiracetam concentration. Decrease in levetiracetam plasma concentrations has been observed during pregnancy. This decrease is more pronounced during the third trimester. Dose adjustments may be necessary to maintain clinical response.



Data

 

    Human Data

While available studies cannot definitively establish the absence of risk, data from the published literature and pregnancy registries have not established an association with levetiracetam use during pregnancy and major birth defects or miscarriage.



Animal Data

When levetiracetam (0, 400, 1,200, or 3,600 mg/kg/day) was administered orally to pregnant rats during the period of organogenesis, reduced fetal weights and increased incidence of fetal skeletal variations were observed at the highest dose tested. There was no evidence of maternal toxicity. The no-effect dose for adverse effects on embryofetal developmental in rats (1,200 mg/kg/day) is approximately 4 times the maximum recommended human dose (MRHD) of 3,000 mg on a body surface area (mg/m 2) basis.



Oral administration of levetiracetam (0, 200, 600, or 1,800 mg/kg/day) to pregnant rabbits during the period of organogenesis resulted in increased embryofetal mortality and incidence of fetal skeletal variations at the mid and high dose and decreased fetal weights and increased incidence of fetal malformations at the high dose, which was associated with maternal toxicity. The no-effect dose for adverse effects on embryofetal development in rabbits (200 mg/kg/day) is approximately equivalent to the MRHD on a mg/m 2basis.



Oral administration of levetiracetam (0, 70, 350, or 1,800 mg/kg/day) to female rats throughout pregnancy and lactation led to an increased incidence of fetal skeletal variations, reduced fetal body weight, and decreased growth in offspring at the mid and high doses and increased pup mortality and neurobehavioral alterations in offspring at the highest dose tested. There was no evidence of maternal toxicity. The no-effect dose for adverse effects on pre- and postnatal development in rats (70 mg/kg/day) is less than the MRHD on a mg/m 2basis.



Oral administration of levetiracetam to rats during the latter part of gestation and throughout lactation produced no adverse developmental or maternal effects at doses of up to 1,800 mg/kg/day (6 times the MRHD on a mg/m 2basis).

8.2 Lactation


Risk Summary

Levetiracetam is excreted in human milk. There are no data on the effects of levetiracetam on the breastfed infant, or the effects on milk production.



The developmental and health benefits of breastfeeding should be considered along with the mother’s clinical need for levetiracetam and any potential adverse effects on the breastfed infant from levetiracetam or from the underlying maternal condition.

11 Description (11 DESCRIPTION)


Levetiracetam is an antiepileptic drug available as a clear, colorless, grape-flavored liquid (100 mg/mL) for oral administration.



The chemical name of levetiracetam, a single enantiomer, is (-)-(S)-α-ethyl-2-oxo-1-pyrrolidine acetamide, its molecular formula is C 8H 14N 2O 2and its molecular weight is 170.21. Levetiracetam is chemically unrelated to existing antiepileptic drugs (AEDs). It has the following structural formula:









Levetiracetam, USP is a white to off-white crystalline powder with a faint odor and a bitter taste. It is very soluble in water (1,040 mg/mL). It is freely soluble in chloroform (653 mg/mL) and in methanol (536 mg/mL), soluble in ethanol (165 mg/mL), sparingly soluble in acetonitrile (57 mg/mL) and practically insoluble in n-hexane. (Solubility limits are expressed as mg/mL solvent.)



Levetiracetam oral solution, USP contains 100 mg of levetiracetam, USP per mL. Inactive ingredients: acesulfame potassium, artificial grape flavor, citric acid monohydrate, glycerin, glycyrrhizate ammonium, maltitol solution, methyl paraben, propyl paraben, purified water and sodium citrate dihydrate.

Medication Guide
Levetiracetam Oral Solution USP

(lee" ve tye ra' se tam)

Read this Medication Guide before you start taking levetiracetam oral solution and each time you get a refill. There may be new information. This information does not take the place of talking to your healthcare provider about your medical condition or treatment.

What is the most important information I should know about levetiracetam oral solution?

 

  Like other antiepileptic drugs, levetiracetam oral solution may cause suicidal thoughts or actions in a very small number of people, about 1 in 500 people taking it.

 

  Call a healthcare provider right away if you have any of these symptoms, especially if they are new, worse, or worry you:

  • thoughts about suicide or dying
  • attempts to commit suicide
  • new or worse depression
  • new or worse anxiety
  • feeling agitated or restless
  • panic attacks
  • trouble sleeping (insomnia)
  • new or worse irritability
  • acting aggressive, being angry, or violent
  • acting on dangerous impulses
  • an extreme increase in activity and talking (mania)
  • other unusual changes in behavior or mood
Do not stop levetiracetam oral solution without first talking to a healthcare provider.

  • Stopping levetiracetam oral solution suddenly can cause serious problems. Stopping a seizure medicine suddenly can cause seizures that will not stop (status epilepticus).
  • Suicidal thoughts or actions can be caused by things other than medicines. If you have suicidal thoughts or actions, your healthcare provider may check for other causes.
How can I watch for early symptoms of suicidal thoughts and actions?

  • Pay attention to any changes, especially sudden changes, in mood, behaviors, thoughts, or feelings.
  • Keep all follow-up visits with your healthcare provider as scheduled.
Call your healthcare provider between visits as needed, especially if you are worried about symptoms

What is levetiracetam oral solution?

Levetiracetam oral solution is a prescription medicine taken by mouth that is used to treat partial-onset seizures in people 1 month of age and older.

Levetiracetam oral solution is a prescription medicine taken by mouth that is used with other medicines to treat:

  • myoclonic seizures in people 12 years of age and older with juvenile myoclonic epilepsy.
  • primary generalized tonic-clonic seizures in people 6 years of age and older with certain types of generalized epilepsy.
It is not known if levetiracetam oral solution is safe or effective in children under:

  • 1 month of age to treat partial-onset seizures
  • 12 years of age to treat myoclonic seizures
  •  6 years of age to treat primary generalized tonic-clonic seizures
Before taking your medicine, make sure you have received the correct medicine. Compare the name above with the name on your bottle and the appearance of your medicine with the description of levetiracetam oral solution provided below. Tell your pharmacist immediately if you think you have been given the wrong medicine.

Who should not take levetiracetam oral solution?

Do not take levetiracetam oral solution if you are allergic to levetiracetam.

What  should I tell my healthcare provider before starting levetiracetam oral solution?

Before taking levetiracetam oral solution, tell your healthcare provider about all of your medical conditions, including if you:

  • have or have had depression, mood problems or suicidal thoughts or behavior.
  • have kidney problems.
  • are pregnant or planning to become pregnant. It is not known if levetiracetam oral solution will harm your unborn baby. You and your healthcare provider will have to decide if you should take levetiracetam oral solution while you are pregnant. If you become pregnant while taking levetiracetam oral solution, talk to your healthcare provider about registering with the North American Antiepileptic Drug Pregnancy Registry. You can enroll in this registry by calling 1-888-233-2334 or go to http://www.aedpregnancyregistry.org. The purpose of this registry is to collect information about the safety of levetiracetam oral solution and other antiepileptic medicine during pregnancy.
  • are breastfeeding or plan to breastfeed. Levetiracetam can pass into your breast milk. It is not known if the levetiracetam that passes into your breast milk can harm your baby. Talk to your doctor about the best way to feed your baby while you receive levetiracetam oral solution.
 

Tell your healthcare provider about all the medicines you take, including prescription and over-the-counter medicines, vitamins, and herbal supplements. Do not start a new medicine without first talking with your healthcare provider.

 

 Know the medicines you take. Keep a list of them to show your healthcare provider and pharmacist each time you get a new medicine.

How should I take  levetiracetam oral solution?

  • Take levetiracetam oral solution exactly as your healthcare provider tells you to take it.
  • Your healthcare provider will tell you how much levetiracetam oral solution to take and when to take it. Levetiracetam oral solution is usually taken 2 times each day.
  • Your healthcare provider may change your dose. Do notchange your dose without talking to your healthcare provider.
  • Take levetiracetam oral solution with or without food.
  • If your healthcare provider has prescribed levetiracetam oral solution, be sure to ask your pharmacist for a medicine dropper or medicine cup to help you measure the correct amount of levetiracetam oral solution. Do not use a household teaspoon. Ask your pharmacist for instructions on how to use the measuring device the right way.
  • If you take too much levetiracetam oral solution, call your local Poison Control Center or go to the nearest emergency room right away.
What  should I avoid while taking  levetiracetam oral solution?

Do not drive, operate machinery or do other dangerous activities until you know how levetiracetam oral solution affects you. Levetiracetam oral solution may make you dizzy or sleepy.

What  are the possible side effects of levetiracetam oral solution?

Levetiracetam oral solution can cause serious side effects including:

• See “What is the most important information I should know about levetiracetam oral solution?”

Call your healthcare provider right away if you have any of these symptoms:

  • mood and behavior changes such as aggression, agitation, anger, anxiety, apathy, mood swings, depression, hostility, and irritability. A few people may get psychotic symptoms such as hallucinations (seeing or hearing things that are really not there), delusions (false or strange thoughts or beliefs) and unusual behavior.
  • extreme sleepiness, tiredness, and weakness
  • allergic reactions such as swelling of the face, lips, eyes, tongue, and throat, trouble
swallowing or breathing, and hives.

  • a skin rash. Serious skin rashes can happen after you start taking levetiracetam oral solution. There is no way to tell if a mild rash will become a serious reaction.
  • a serious allergic reaction that may affect your skin or other parts of your body such as your liver, kidneys, heart, or blood cells. This allergic reaction can be life-threatening and can cause death, particularly if it is not treated as early as possible. Call your healthcare provider right away if you have: 
        • a skin rash                      • fever or swollen glands that do not go away

        • swelling of your face      • shortness of breath 

        • dark urine                       • yellowing of the skin or whites of the eyes

  • problems with muscle coordination (problems walking and moving)
 

The most common side effects seen in people who take levetiracetam oral solution include:

                                    • sleepiness                         • weakness 

                                    • infection                             • dizziness 

The most common side effects seen in children who take levetiracetam oral solution include, in addition to those listed above include:

                                     • tiredness                           • acting aggressive 

                                     • decreased appetite           • nasal congestion 

                                     • irritability  

Tell your healthcare provider if you have any side effect that bothers you or that does not go away.

 

 These are not all the possible side effects of levetiracetam oral solution. For more information, ask your healthcare provider or pharmacist.

 

  Call your doctor for medical advice about side effects. You may report side effects to FDA at 1-800-FDA-1088.

How should I store levetiracetam oral solution?

  • Store  levetiracetam oral solutionat room temperature, between 68°F to 77°F (20°C to 25°C) away from heat and light.
  • Keep levetiracetam oral solution and all medicines out of the reach of children.
General information about the safe and effective use of levetiracetam oral solution.

Medicines are sometimes prescribed for purposes other than those listed in a Medication Guide. Do not use levetiracetam oral solution for a condition for which it was not prescribed. Do not give levetiracetam oral solution to other people, even if they have the same symptoms that you have. It may harm them. You can ask your pharmacist or healthcare provider for information about levetiracetam oral solution that is written for health professionals .

 

For more information, call 1-866-495-1995.

What are the ingredients in levetiracetam oral solution?

Active ingredient: levetiracetam, USP

 

 Inactive ingredients: acesulfame potassium, artificial grape flavor, citric acid monohydrate, glycerin, glycyrrhizate ammonium, maltitol solution, methyl paraben, propyl paraben, purified water and sodium citrate dihydrate.

 

 Levetiracetam oral solution does not contain lactose or gluten. Levetiracetam oral solution does contain carbohydrates. The liquid is dye-free.

Medication Guide available at http://camberpharma.com/medication-guides

 

  Manufactured for:

Camber Pharmaceuticals, Inc.

Piscataway, NJ 08854

 

By: HETERO TM

Hetero Labs Limited

Jeedimetla, Hyderabad - 500 055, India

 

or



By: Annora Pharma Pvt. Ltd.                        

Sangareddy - 502313, Telangana, India. 

This Medication Guide has been approved by the U.S. Food and Drug Administration.



Revised: 04/2024



10.3 Hemodialysis

Standard hemodialysis procedures result in significant clearance of levetiracetam (approximately 50% in 4 hours) and should be considered in cases of overdose. Although hemodialysis has not been performed in the few known cases of overdose, it may be indicated by the patient's clinical state or in patients with significant renal impairment.

16.1 How Supplied


Levetiracetam oral solution USP, 100 mg/mL is a clear, colorless, grape-flavored liquid. It is supplied in 16 fl. oz. white HDPE bottles (NDC 31722-574-47).

8.4 Pediatric Use


The safety and effectiveness of levetiracetam for the treatment of partial-onset seizures in patients 1 month to 16 years of age have been established [see Clinical Pharmacology  (12.3)and Clinical Studies ( 14.1)]. The dosing recommendation in these pediatric patients varies according to age group and is weight-based [see Dosage and Administration (2.2)].

 

The safety and effectiveness of levetiracetam as adjunctive therapy for the treatment of myoclonic seizures in adolescents 12 years of age and older with juvenile myoclonic epilepsy have been established [see Clinical Studies  (14.2)].

 

The safety and effectiveness of levetiracetam as adjunctive therapy for the treatment of primary generalized tonic-clonic seizures in pediatric patients 6 years of age and older with idiopathic generalized epilepsy have been established [see Clinical Studies (14.3)].

 

Safety and effectiveness for the treatment of partial-onset seizures in pediatric patients below the age of 1 month; adjunctive therapy for the treatment of myoclonic seizures in pediatric patients below the age of 12 years; and adjunctive therapy for the treatment of primary generalized tonic-clonic seizures in pediatric patients below the age of 6 years have not been established.



A 3-month, randomized, double-blind, placebo-controlled study was performed to assess the neurocognitive and behavioral effects of levetiracetam as adjunctive therapy in 98 (levetiracetam N=64, placebo N=34) pediatric patients, ages 4 to 16 years old, with partial seizures that were inadequately controlled. The target dose was 60 mg/kg/day. Neurocognitive effects were measured by the Leiter-R Attention and Memory (AM) Battery, which measures various aspects of a child's memory and attention. Although no substantive differences were observed between the placebo and drug treated groups in the median change from baseline in this battery, the study was not adequate to assess formal statistical non-inferiority of the drug and placebo. The Achenbach Child Behavior Checklist (CBCL/6-18), a standardized validated tool used to assess a child’s competencies and behavioral/emotional problems, was also assessed in this study. An analysis of the CBCL/6-18 indicated on average a worsening in levetiracetam-treated patients in aggressive behavior, one of the eight syndrome scores [see Warnings and Precautions (5.1)].

 

  Juvenile Animal Toxicity Data

Studies of levetiracetam in juvenile rats (dosed on postnatal days 4 through 52) and dogs (dosed from postnatal weeks 3 through 7) at doses of up to 1,800 mg/kg/day (approximately 7 and 24 times, respectively, the maximum recommended pediatric dose of 60 mg/kg/day on a mg/m 2basis) did not demonstrate adverse effects on postnatal development.



8.5 Geriatric Use


There were 347 subjects in clinical studies of levetiracetam that were 65 and over. No overall differences in safety were observed between these subjects and younger subjects. There were insufficient numbers of elderly subjects in controlled trials of epilepsy to adequately assess the effectiveness of levetiracetam in these patients.



Levetiracetam is known to be substantially excreted by the kidney, and the risk of adverse reactions to this drug may be greater in patients with impaired renal function. Because elderly patients are more likely to have decreased renal function, care should be taken in dose selection, and it may be useful to monitor renal function [ see Clinical Pharmacology ( 12.3) ].

4 Contraindications (4 CONTRAINDICATIONS)


Levetiracetam oral solution is contraindicated in patients with a hypersensitivity to levetiracetam. Reactions have included anaphylaxis and angioedema [see Warnings and Precautions (5.4)].

6 Adverse Reactions (6 ADVERSE REACTIONS)


The following adverse reactions are discussed in more details in other sections of labeling:              

•  Behavior Abnormalities and Psychotic Symptoms [see Warnings and Precautions ( 5.1)]

•  Suicidal Behavior and Ideation [see Warnings and Precautions ( 5.2)]

•  Somnolence and Fatigue [see Warnings and Precautions ( 5.3)]

•  Anaphylaxis and Angioedema [see Warnings and Precautions ( 5.4)]

•  Serious Dermatological Reactions [see Warnings and Precautions ( 5.5)]

Drug Reaction with Eosinophilia and Systemic Symptoms (DRESS)/Multiorgan Hypersensitivity [see Warnings and Precautions ( 5.6)] 

•  Coordination Difficulties [see Warnings and Precautions ( 5.7)]

•  Hematologic Abnormalities [see Warnings and Precautions ( 5.9)]

•  Increase in Blood Pressure [see Warnings and Precautions ( 5.10)]

8.6 Renal Impairment


Clearance of levetiracetam is decreased in patients with renal impairment and is correlated with creatinine clearance [see Clinical Pharmacology ( 12.3 )]. Dose adjustment is recommended for patients with impaired renal function and supplemental doses should be given to patients after dialysis [see Dosage and Administration ( 2.5 )].

12.2 Pharmacodynamics


Effects on QTc Interval

The effect of levetiracetam on QTc prolongation was evaluated in a randomized, double-blind, positive-controlled (moxifloxacin 400 mg) and placebo-controlled crossover study of levetiracetam (1,000 mg or 5,000 mg) in 52 healthy subjects. The upper bound of the 90% confidence interval for the largest placebo-adjusted, baseline-corrected QTc was below 10 milliseconds. Therefore, there was no evidence of significant QTc prolongation in this study.

12.3 Pharmacokinetics


The pharmacokinetics of levetiracetam are similar when used as monotherapy or as adjunctive therapy for the treatment of partial-onset seizures.



Absorption and Distribution

 

Absorption of levetiracetam is rapid, with peak plasma concentrations occurring in about an hour following oral administration in fasted subjects. The oral bioavailability of levetiracetam tablets is 100% and the tablets and oral solution are bioequivalent in rate and extent of absorption. Food does not affect the extent of absorption of levetiracetam but it decreases C maxby 20% and delays T maxby 1.5 hours. The pharmacokinetics of levetiracetam are linear over the dose range of 500 to 5,000 mg. Steady state is achieved after 2 days of multiple twice-daily dosing. Levetiracetam and its major metabolite are less than 10% bound to plasma proteins; clinically significant interactions with other drugs through competition for protein binding sites are therefore unlikely.



Metabolism

 

 Levetiracetam is not extensively metabolized in humans. The major metabolic pathway is the enzymatic hydrolysis of the acetamide group, which produces the carboxylic acid metabolite, ucb L057 (24% of dose) and is not dependent on any liver cytochrome P450 isoenzymes. The major metabolite is inactive in animal seizure models. Two minor metabolites were identified as the product of hydroxylation of the 2-oxo-pyrrolidine ring (2% of dose) and opening of the 2-oxo-pyrrolidine ring in position 5 (1% of dose). There is no enantiomeric interconversion of levetiracetam or its major metabolite.



Elimination

 

 Levetiracetam plasma half-life in adults is 7 ± 1 hour and is unaffected by either dose or repeated administration. Levetiracetam is eliminated from the systemic circulation by renal excretion as unchanged drug which represents 66% of administered dose. The total body clearance is 0.96 mL/min/kg and the renal clearance is 0.6 mL/min/kg. The mechanism of excretion is glomerular filtration with subsequent partial tubular reabsorption. The metabolite ucb L057 is excreted by glomerular filtration and active tubular secretion with a renal clearance of 4 mL/min/kg. Levetiracetam elimination is correlated to creatinine clearance. Levetiracetam clearance is reduced in patients with renal impairment [see Use in Specific Populations ( 8.6 )   and  Dosage and Administration ( 2.5 )].



Specific Populations

 

    Elderly

 

 Pharmacokinetics of levetiracetam were evaluated in 16 elderly subjects (age 61 to 88 years) with creatinine clearance ranging from 30 to 74 mL/min. Following oral administration of twice-daily dosing for 10 days, total body clearance decreased by 38% and the half-life was 2.5 hours longer in the elderly compared to healthy adults. This is most likely due to the decrease in renal function in these subjects.



Pediatric Patients

 

Pharmacokinetics of levetiracetam were evaluated in 24 pediatric patients (age 6 to 12 years) after single dose (20 mg/kg). The body weight adjusted apparent clearance of levetiracetam was approximately 40% higher than in adults.



A repeat dose pharmacokinetic study was conducted in pediatric patients (age 4 to 12 years) at doses of 20 mg/kg/day, 40 mg/kg/day, and 60 mg/kg/day. The evaluation of the pharmacokinetic profile of levetiracetam and its metabolite (ucb L057) in 14 pediatric patients demonstrated rapid absorption of levetiracetam at all doses with a T maxof about 1 hour and a t 1/2of 5 hours across the three dosing levels. The pharmacokinetics of levetiracetam in children was linear between 20 to 60 mg/kg/day. The potential interaction of levetiracetam with other AEDs was also evaluated in these patients. Levetiracetam had no significant effect on the plasma concentrations of carbamazepine, valproic acid, topiramate or lamotrigine. However, there was about a 22% increase of apparent clearance of levetiracetam when it was co-administered with an enzyme-inducing AED (e.g. carbamazepine).



Following single dose administration (20 mg/kg) of a 10% oral solution to children with epilepsy (1 month to < 4 years), levetiracetam was rapidly absorbed and peak plasma concentrations were observed approximately 1 hour after dosing. The pharmacokinetic results indicated that half-life was shorter (5.3 h) than for adults (7.2 h) and apparent clearance was faster (1.5 mL/min/kg) than for adults (0.96 mL/min/kg). 

 

Population pharmacokinetic analysis showed that body weight was significantly correlated to the clearance of levetiracetam in pediatric patients; clearance increased with an increase in body weight.



Pediatric Patients with Obesity

 

A population PK analysis of levetiracetam was conducted in 164 obese and non-obese pediatric patients 2 to <18 years of age with median (range) weight 39.2 (11.3-134) kg to evaluate the potential impact of obesity on plasma levetiracetam exposures. Obesity was defined as BMI  >95th percentile for age and sex based on CDC 2000 growth chart recommendations. Simulations were conducted for obese and non-obese pediatric patients ages 4 to <16 years.

  • When the recommended tablet dose is administered to pediatric patients weighing < 40 kg, obese pediatric patients have 27% higher median C max,ssand 19% higher median C min,sscompared to non-obese patients.
  • When the recommended tablet dose is administered to pediatric patients weighing >40 kg, obese pediatric patients have 10 to 11% lower median C max,ssand 2% lower median C min,sscompared to non-obese patients.
  • When the recommended oral solution dose is administered to pediatric patients across the full weight range, obese pediatric patients have 25% higher median C max,ssand 41% higher median C min,ss compared to non-obese pediatric patients.

However, differences in exposures between obese and non-obese pediatric patients are not expected to be clinically meaningful because the recommended dose titration at initiation of levetiracetam therapy would establish an appropriate dose for each individual patient.



Pregnancy

 

Levetiracetam levels may decrease during pregnancy [see Warnings and Precautions ( 5.11 ) and Use in Specific Populations (8.1 )].





Gender

 

Levetiracetam C maxand AUC were 20% higher in women (N=11) compared to men (N=12). However, clearances adjusted for body weight were comparable.

 

Race

 

Formal pharmacokinetic studies of the effects of race have not been conducted. Cross-study comparisons involving Caucasians (N=12) and Asians (N=12), however, show that pharmacokinetics of levetiracetam were comparable between the two races. Because levetiracetam is primarily renally excreted and there are no important racial differences in creatinine clearance, pharmacokinetic differences due to race are not expected.



Renal Impairment

 

The disposition of levetiracetam was studied in adult subjects with varying degrees of renal function. Total body clearance of levetiracetam is reduced in patients with impaired renal function by 40% in the mild group (CLcr = 50 to    80 mL/min), 50% in the moderate group (CLcr = 30 to 50 mL/min) and 60% in the severe renal impairment group (CLcr <30 mL/min). Clearance of levetiracetam is correlated with creatinine clearance.



In anuric (end stage renal disease) patients, the total body clearance decreased 70% compared to normal subjects (CLcr >80 mL/min). Approximately 50% of the pool of levetiracetam in the body is removed during a standard 4-hour hemodialysis procedure [see Dosage and Administration ( 2.5 )].



Hepatic Impairment

 

In subjects with mild (Child-Pugh A) to moderate (Child-Pugh B) hepatic impairment, the pharmacokinetics of levetiracetam were unchanged. In patients with severe hepatic impairment (Child-Pugh C), total body clearance was 50% that of normal subjects, but decreased renal clearance accounted for most of the decrease. No dose adjustment is needed for patients with hepatic impairment.



Drug Interactions

 

In vitrodata on metabolic interactions indicate that levetiracetam is unlikely to produce, or be subject to, pharmacokinetic interactions. Levetiracetam and its major metabolite, at concentrations well above C maxlevels achieved within the therapeutic dose range, are neither inhibitors of, nor high affinity substrates for, human liver cytochrome P450 isoforms, epoxide hydrolase or UDP-glucuronidation enzymes. In addition, levetiracetam does not affect the in vitroglucuronidation of valproic acid.



Potential pharmacokinetic interactions of or with levetiracetam were assessed in clinical pharmacokinetic studies (phenytoin, valproate, warfarin, digoxin, oral contraceptive, probenecid) and through pharmacokinetic screening in the placebo-controlled clinical studies in epilepsy patients.



Phenytoin

 

Levetiracetam (3,000 mg daily) had no effect on the pharmacokinetic disposition of phenytoin in patients with refractory epilepsy. Pharmacokinetics of levetiracetam were also not affected by phenytoin.



Valproate

 

Levetiracetam (1,500 mg twice daily) did not alter the pharmacokinetics of valproate in healthy volunteers. Valproate 500 mg twice daily did not modify the rate or extent of levetiracetam absorption or its plasma clearance or urinary excretion. There also was no effect on exposure to and the excretion of the primary metabolite, ucb L057.



Other Antiepileptic Drugs

 

Potential drug interactions between levetiracetam and other AEDs (carbamazepine, gabapentin, lamotrigine, phenobarbital, phenytoin, primidone and valproate) were also assessed by evaluating the serum concentrations of levetiracetam and these AEDs during placebo-controlled clinical studies. These data indicate that levetiracetam does not influence the plasma concentration of other AEDs and that these AEDs do not influence the pharmacokinetics of levetiracetam.



Effect of AEDs in Pediatric Patients

 

There was about a 22% increase of apparent total body clearance of levetiracetam when it was co-administered with enzyme-inducing AEDs. Dose adjustment is not recommended. Levetiracetam had no effect on plasma concentrations of carbamazepine, valproate, topiramate, or lamotrigine.



Oral Contraceptives

 

Levetiracetam (500 mg twice daily) did not influence the pharmacokinetics of an oral contraceptive containing 0.03 mg ethinyl estradiol and 0.15 mg levonorgestrel, or of the luteinizing hormone and progesterone levels, indicating that impairment of contraceptive efficacy is unlikely. Coadministration of this oral contraceptive did not influence the pharmacokinetics of levetiracetam.



Digoxin

 

Levetiracetam (1,000 mg twice daily) did not influence the pharmacokinetics and pharmacodynamics (ECG) of digoxin given as a 0.25 mg dose every day. Coadministration of digoxin did not influence the pharmacokinetics of levetiracetam.



Warfarin

 

Levetiracetam (1,000 mg twice daily) did not influence the pharmacokinetics of R and S warfarin. Prothrombin time was not affected by levetiracetam. Coadministration of warfarin did not affect the pharmacokinetics of levetiracetam.



Probenecid

 

Probenecid, a renal tubular secretion blocking agent, administered at a dose of 500 mg four times a day, did not change the pharmacokinetics of levetiracetam 1,000 mg twice daily. C ss maxof the metabolite, ucb L057, was approximately doubled in the presence of probenecid while the fraction of drug excreted unchanged in the urine remained the same. Renal clearance of ucb L057 in the presence of probenecid decreased 60%, probably related to competitive inhibition of tubular secretion of ucb L057. The effect of levetiracetam on probenecid was not studied.

1 Indications and Usage (1 INDICATIONS AND USAGE)


Levetiracetam oral solution is indicated for the treatment of partial-onset seizures in patients 1 month of age and older (1.1)



Levetiracetam oral solution is indicated for adjunctive therapy for the treatment of:

• Myoclonic seizures in patients 12 years of age and older with juvenile myoclonic epilepsy (1.2)

• Primary generalized tonic-clonic seizures in patients 6 years of age and older with idiopathic generalized epilepsy  (1.3)



5.8 Withdrawal Seizures


As with most antiepileptic drugs, levetiracetam should generally be withdrawn gradually because of the risk of increased seizure frequency and status epilepticus. If withdrawal is needed because of a serious adverse reaction, rapid discontinuation can be considered.

12.1 Mechanism of Action


The precise mechanism(s) by which levetiracetam exerts its antiepileptic effect is unknown.



A saturable and stereoselective neuronal binding site in rat brain tissue has been described for levetiracetam. Experimental data indicate that this binding site is the synaptic vesicle protein SV2A, thought to be involved in the regulation of vesicle exocytosis. Although the molecular significance of levetiracetam binding to SV2A is not understood, levetiracetam and related analogs showed a rank order of affinity for SV2A which correlated with the potency of their antiseizure activity in audiogenic seizure-prone mice. These findings suggest that the interaction of levetiracetam with the SV2A protein may contribute to the antiepileptic mechanism of action of the drug.

1.1 Partial Onset Seizures (1.1 Partial-Onset Seizures)


 Levetiracetam oral solution is indicated for the treatment of partial-onset seizures in patients 1 month of age and older.



5 Warnings and Precautions (5 WARNINGS AND PRECAUTIONS)


• Behavioral abnormalities including psychotic symptoms, suicidal ideation, irritability, and aggressive behavior have been observed; monitor patients

   for psychiatric signs and symptoms ( 5.1)

• Suicidal Behavior and Ideation: Monitor patients for new or worsening depression, suicidal thoughts/behavior, and/or unusual changes in mood or

   behavior ( 5.2)

• Monitor for somnolence and fatigue and advise patients not to drive or operate machinery until they have gained sufficient experience on

   levetiracetam  (5.3)

• Serious Dermatological Reactions: Discontinue levetiracetam at the first sign of rash unless clearly not drug related  (5.5)

• Drug Reaction with Eosinophilia and Systemic Symptoms (DRESS)/Multiorgan Hypersensitivity: Discontinue if no alternative etiology ( 5.6

• Coordination Difficulties: Monitor for ataxia, abnormal gait, and incoordination. Advise patients to not drive or operate machinery until they have gained

   experience on levetiracetam ( 5.7)

• Withdrawal Seizures: Levetiracetam must be gradually withdrawn ( 5.8)

5.3 Somnolence and Fatigue

Levetiracetam may cause somnolence and fatigue. Patients should be monitored for these signs and symptoms and advised not to drive or operate machinery until they have gained sufficient experience on levetiracetam to gauge whether it adversely affects their ability to drive or operate machinery.

Somnolence

In controlled trials of adult patients with epilepsy experiencing partial-onset seizures, 15% of levetiracetam-treated patients reported somnolence, compared to 8% of placebo-treated patients. There was no clear dose response up to 3,000 mg/day. In a study where there was no titration, about 45% of patients receiving 4,000 mg/day reported somnolence. The somnolence was considered serious in 0.3% of levetiracetam-treated patients, compared to 0% in the placebo group. About 3% of levetiracetam-treated patients discontinued treatment due to somnolence, compared to 0.7% of placebo-treated patients. In 1.4% of levetiracetam-treated patients and 0.9% of placebo-treated patients, the dose was reduced, while 0.3% of the levetiracetam-treated patients were hospitalized due to somnolence.

Asthenia

In controlled clinical studies of adult patients with epilepsy experiencing partial-onset seizures, 15% of levetiracetam-treated patients reported asthenia, compared to 9% of placebo-treated patients. Treatment was discontinued due to asthenia in 0.8% of levetiracetam-treated patients as compared to 0.5% of placebo-treated patients. In 0.5% of levetiracetam-treated patients and in 0.2% of placebo-treated patients, the dose was reduced due to asthenia.

Somnolence and asthenia occurred most frequently within the first 4 weeks of treatment. In general, the incidences of somnolence and fatigue in the pediatric partial-onset seizure studies, and in pediatric and adult myoclonic and primary generalized tonic-clonic seizure studies were comparable to those of the adult partial-onset seizure studies.



10.2 Management of Overdose


There is no specific antidote for overdose with levetiracetam. If indicated, elimination of unabsorbed drug should be attempted by emesis or gastric lavage; usual precautions should be observed to maintain airway. General supportive care of the patient is indicated including monitoring of vital signs and observation of the patient’s clinical status. A Certified Poison Control Center should be contacted for up to date information on the management of overdose with levetiracetam.

14.1 Partial Onset Seizures (14.1 Partial-Onset Seizures)


Effectiveness in Partial-Onset Seizures in Adults

The effectiveness of levetiracetam for the treatment of partial-onset seizures in adults was established in three multicenter, randomized, double-blind, placebo-controlled clinical studies in patients who had refractory partial-onset seizures with or without secondary generalization. The tablet formulation was used in all these studies. In these studies, 904 patients were randomized to placebo, 1,000 mg, 2,000 mg, or 3,000 mg/day. Patients enrolled in Study 1 or Study 2 had refractory partial-onset seizures for at least two years and had taken two or more classical AEDs. Patients enrolled in Study 3 had refractory partial-onset seizures for at least 1 year and had taken one classical AED. At the time of the study, patients were taking a stable dose regimen of at least one and could take a maximum of two AEDs. During the baseline period, patients had to have experienced at least two partial-onset seizures during each 4-week period.



Study 1

 

 Study 1 was a double-blind, placebo-controlled, parallel-group study conducted at 41 sites in the United States comparing levetiracetam 1,000 mg/day (N=97), levetiracetam 3,000 mg/day (N=101), and placebo (N=95) given in equally divided doses twice daily. After a prospective baseline period of 12 weeks, patients were randomized to one of the three treatment groups described above. The 18-week treatment period consisted of a 6-week titration period, followed by a 12-week fixed dose evaluation period, during which concomitant AED regimens were held constant. The primary measure of effectiveness was a between group comparison of the percent reduction in weekly partial seizure frequency relative to placebo over the entire randomized treatment period (titration + evaluation period). Secondary outcome variables included the responder rate (incidence of patients with ≥50% reduction from baseline in partial-onset seizure frequency). The results of the analysis of Study 1 are displayed in Table 10.



Table 10: Reduction in Mean Over Placebo in Weekly Frequency of Partial-Onset Seizures in Study 1





Placebo

(N=95)


Levetiracetam

1,000 mg/day

(N=97)


Levetiracetam

3,000 mg/day

(N=101)


Percent reduction in partial seizure

frequency over placebo


      26.1%*

  30.1%*


*statistically significant versus placebo



The percentage of patients (y-axis) who achieved ≥50% reduction in weekly seizure rates from baseline in partial-onset seizure frequency over the entire randomized treatment period (titration + evaluation period) within the three treatment groups (x-axis) is presented in Figure 1.



Figure 1: Responder Rate (≥50% Reduction from Baseline) in Study 1





*statistically significant versus placebo



Study 2

 

 Study 2 was a double-blind, placebo-controlled, crossover study conducted at 62 centers in Europe comparing levetiracetam 1,000 mg/day (N=106), levetiracetam 2,000 mg/day (N=105), and placebo (N=111) given in equally divided doses twice daily.



The first period of the study (Period A) was designed to be analyzed as a parallel-group study. After a prospective baseline period of up to 12 weeks, patients were randomized to one of the three treatment groups described above. The 16-week treatment period consisted of the 4-week titration period followed by a 12-week fixed dose evaluation period, during which concomitant AED regimens were held constant. The primary measure of effectiveness was a between group comparison of the percent reduction in weekly partial seizure frequency relative to placebo over the entire randomized treatment period (titration + evaluation period). Secondary outcome variables included the responder rate (incidence of patients with ≥50% reduction from baseline in partial-onset seizure frequency). The results of the analysis of Period A are displayed in Table 11.



Table 11: Reduction in Mean Over Placebo in Weekly Frequency of Partial-Onset Seizures in Study 2: Period A







Placebo

(N=111)


Levetiracetam

1,000 mg/day

(N=106)


Levetiracetam

2,000 mg/day

(N=105)


Percent reduction in partial seizure

frequency over placebo


       17.1%*

   21.4%*


*statistically significant versus placebo



The percentage of patients (y-axis) who achieved ≥50% reduction in weekly seizure rates from baseline in partial-onset seizure frequency over the entire randomized treatment period (titration + evaluation period) within the three treatment groups (x-axis) is presented in Figure 2.



Figure 2: Responder Rate (≥50% Reduction from Baseline) in Study 2: Period A







*statistically significant versus placebo



The comparison of levetiracetam 2,000 mg/day to levetiracetam 1,000 mg/day for responder rate was statistically significant (P=0.02). Analysis of the trial as a cross-over yielded similar results.



Study 3

 

Study 3 was a double-blind, placebo-controlled, parallel-group study conducted at 47 centers in Europe comparing levetiracetam 3,000 mg/day (N=180) and placebo (N=104) in patients with refractory partial-onset seizures, with or without secondary generalization, receiving only one concomitant AED. Study drug was given in two divided doses. After a prospective baseline period of 12 weeks, patients were randomized to one of two treatment groups described above. The 16-week treatment period consisted of a 4-week titration period, followed by a 12-week fixed dose evaluation period, during which concomitant AED doses were held constant. The primary measure of effectiveness was a between group comparison of the percent reduction in weekly seizure frequency relative to placebo over the entire randomized treatment period (titration + evaluation period). Secondary outcome variables included the responder rate (incidence of patients with ≥50% reduction from baseline in partial-onset seizure frequency). Table 12 displays the results of the analysis of Study 3.



Table 12: Reduction in Mean Over Placebo in Weekly Frequency of Partial-Onset Seizures in Study 3



Placebo

(N=104)



Levetiracetam

3,000 mg/day

(N=180)
Percent reduction in partial seizure

frequency over placebo





     23.0% *


*statistically significant versus placebo



The percentage of patients (y-axis) who achieved ≥50% reduction in weekly seizure rates from baseline in partial-onset seizure frequency over the entire randomized treatment period (titration + evaluation period) within the two treatment groups (x-axis) is presented in Figure 3.



Figure 3: Responder Rate (≥50% Reduction from Baseline) in Study 3





*statistically significant versus placebo



Effectiveness in Partial-Onset Seizures   inPediatric Patients 4 to 16 Years of Age

 

 The effectiveness of levetiracetam for the treatment of partial-onset seizures in pediatric patients was established in one multicenter, randomized double-blind, placebo-controlled study (Study 4), conducted at 60 sites in North America, in pediatric patients 4 to 16 years of age with partial seizures uncontrolled by standard antiepileptic drugs (AEDs). Eligible patients on a stable dose of 1 to 2 AEDs, who still experienced at least 4 partial-onset seizures during the 4 weeks prior to screening, as well as at least 4 partial-onset seizures in each of the two 4-week baseline periods, were randomized to receive either levetiracetam or placebo. The enrolled population included 198 patients (levetiracetam N=101, placebo N=97) with refractory partial-onset seizures, whether or not secondarily generalized. The study consisted of an 8-week baseline period and 4-week titration period followed by a 10-week evaluation period. Dosing was initiated at a dose of 20 mg/kg/day in two divided doses. During the treatment period, levetiracetam doses were adjusted in 20 mg/kg/day increments, at 2-week intervals to the target dose of 60 mg/kg/day. The primary measure of effectiveness was a between group comparison of the percent reduction in weekly partial seizure frequency relative to placebo over the entire 14-week randomized treatment period (titration + evaluation period). Secondary outcome variables included the responder rate (incidence of patients with ≥ 50% reduction from baseline in partial-onset seizure frequency per week). Table 13 displays the results of this study.



 Table 13: Reduction in Mean Over Placebo in Weekly Frequency of Partial-Onset Seizures in Study 4





Placebo

(N=97)


Levetiracetam

(N=101)
Percent reduction in partial seizure

frequency over placebo



     26.8%*


*statistically significant versus placebo



The percentage of patients (y-axis) who achieved ≥ 50% reduction in weekly seizure rates from baseline in partial-onset seizure frequency over the entire randomized treatment period (titration + evaluation period) within the two treatment groups (x-axis) is presented in Figure 4.



Figure 4: Responder Rate (≥ 50% Reduction from Baseline) in Study 4







*statistically significant versus placebo



Effectiveness in Partial-Onset Seizures in Pediatric Patients 1 Month to <4 Years of Age

The effectiveness of levetiracetam for the treatment of partial-onset seizures in pediatric patients was established in one multicenter, randomized double-blind, placebo-controlled study (Study 5), conducted at 62 sites in North America, South America, and Europe in pediatric patients 1 month to less than 4 years of age with partial seizures, uncontrolled by standard epileptic drugs (AEDs). Eligible patients on a stable dose of 1 to 2 AEDs, who experienced at least 2 partial-onset seizures during the 48-hour baseline video EEG were randomized to receive either levetiracetam or placebo. The enrolled population included 116 patients (levetiracetam N=60, placebo N=56) with refractory partial-onset seizures, whether or not secondarily generalized. Randomization was stratified by age range as follows: 1 month to less than 6 months of age (N=4 treated with levetiracetam), 6 months to less than 1 year of age (N=8 treated with levetiracetam), 1 year to less than 2 years of age (N=20 treated with levetiracetam), and 2 years to less than 4 years of age (N=28 treated with levetiracetam). The study consisted of a 5-day evaluation period which included a 1-day titration period followed by a 4-day maintenance period. Levetiracetam dosing was determined by age and weight as follows: children 1 month to less than 6 months old were randomized to a target dose of 40 mg/kg/day, and children 6 months to less than 4 years old were randomized to a target dose of 50 mg/kg/day. The primary measure of effectiveness was the responder rate (percent of patients with ≥ 50% reduction from baseline in average daily partial-onset seizure frequency) assessed by a blinded central reader using a 48-hour video EEG performed during the last two days of the 4-day maintenance period. A total of 109 patients were included in the efficacy analysis. A statistically significant difference between levetiracetam and placebo was observed (see Figure 5). The treatment effect associated with levetiracetam was consistent across age groups.



Figure 5: Responder Rate for All Patients Ages 1 Month to < 4 Years (≥ 50% Reduction from Baseline) in Study 5







*statistically significant versus placebo

2 Dosage and Administration (2 DOSAGE AND ADMINISTRATION)




• Use the oral solution for pediatric patients with body weight ≤ 20 kg ( 2.1)

• For pediatric patients, use weight-based dosing for the oral solution with a calibrated measuring device (not a household teaspoon or tablespoon) ( 2.1)

Partial-Onset Seizures (monotherapy or adjunctive therapy)

• 1 Month to < 6 Months: 7 mg/kg twice daily; increase by 7 mg/kg twice  daily every 2 weeks to recommended dose of 21 mg/kg twice daily ( 2.2)

• 6 Months to < 4 Years: 10 mg/kg twice daily; increase by 10 mg/kg twice daily every 2 weeks to recommended dose of 25 mg/kg twice daily ( 2.2)

• 4 Years to < 16 Years: 10 mg/kg twice daily; increase by 10 mg/kg twice daily every 2 weeks to recommended dose of 30 mg/kg twice daily ( 2.2)

• Adults 16 Years and Older: 500 mg twice daily; increase by 500 mg twice daily every 2 weeks to a recommended dose of 1,500 mg twice daily ( 2.2)

Myoclonic Seizures in Adults and Pediatric Patients 12 Years and Older

• 500 mg twice daily; increase by 500 mg twice daily every 2 weeks to recommended dose of 1,500 mg twice daily ( 2.3)

Primary Generalized Tonic-Clonic Seizures

• 6 Years to < 16 Years: 10 mg/kg twice daily, increase in increments of 10 mg/kg twice daily every 2 weeks to recommended dose of 30 mg/kg twice daily ( 2.4)

• Adults 16 Years and Older: 500 mg twice daily, increase by 500 mg twice daily every 2 weeks to recommended dose of 1,500 mg twice daily ( 2.4)

Adult Patients with Impaired Renal Function

• Dose adjustment is recommended, based on the patient’s estimated creatinine clearance ( 2.5, 8.6)

3 Dosage Forms and Strengths (3 DOSAGE FORMS AND STRENGTHS)


Levetiracetam oral solution USP, 100 mg/mL is a clear, colorless, grape-flavored liquid.

6.2 Postmarketing Experience


The following adverse reactions have been identified during postapproval use of levetiracetam. Because these reactions are reported voluntarily from a population of uncertain size, it is not always possible to reliably estimate their frequency or establish a causal relationship to drug exposure.

The following adverse reactions have been reported in patients receiving marketed levetiracetam worldwide. The listing is alphabetized: abnormal liver function test, acute kidney injury, anaphylaxis, angioedema, agranulocytosis,  choreoathetosis, drug reaction with eosinophilia and systemic symptoms (DRESS), dyskinesia, erythema multiforme, hepatic failure, hepatitis, hyponatremia, muscular weakness, obsessive-compulsive disorders (OCD), pancreatitis, pancytopenia (with bone marrow suppression identified in some of these cases), panic attack, thrombocytopenia, weight loss, and worsening of seizures including in patients with SCN8A mutations. Alopecia has been reported with levetiracetam use; recovery was observed in majority of cases where levetiracetam was discontinued.

5.7 Coordination Difficulties


Levetiracetam may cause coordination difficulties.



In controlled clinical studies in adult patients with partial-onset seizure studies, 3.4% of adult levetiracetam-treated patients experienced coordination difficulties, (reported as either ataxia, abnormal gait, or incoordination) compared to 1.6% of placebo-treated patients. A total of 0.4% of patients in controlled clinical studies discontinued levetiracetam treatment due to ataxia, compared to 0% of placebo-treated patients. In 0.7% of levetiracetam-treated patients and in 0.2% of placebo-treated patients, the dose was reduced due to coordination difficulties, while one of the levetiracetam-treated patients was hospitalized due to worsening of pre-existing ataxia. These events occurred most frequently within the first 4 weeks of treatment.



Patients should be monitored for these signs and symptoms and advised not to drive or operate machinery until they have gained sufficient experience on levetiracetam to gauge whether it could adversely affect their ability to drive or operate machinery.

5.9 Hematologic Abnormalities


Levetiracetam can cause hematologic abnormalities. Hematologic abnormalities occurred in clinical trials and included decreases in white blood cell (WBC), neutrophil, and red blood cell (RBC) counts; decreases in hemoglobin and hematocrit; and increases in eosinophil counts. Cases of agranulocytosis, pancytopenia, and thrombocytopenia have been reported in the postmarketing setting. A complete blood count is recommended in patients experiencing significant weakness, pyrexia, recurrent infections, or coagulation disorders.



Partial-Onset Seizures

 

      Adults

 

  Minor, but statistically significant, decreases compared to placebo in total mean RBC count (0.03 x 10 6/mm 3), mean hemoglobin (0.09 g/dL), and mean hematocrit (0.38%), were seen in levetiracetam-treated patients in controlled trials.



A total of 3.2% of levetiracetam-treated and 1.8% of placebo-treated patients had at least one possibly significant (≤2.8 x 10 9/L) decreased WBC, and 2.4% of levetiracetam-treated and 1.4% of placebo-treated patients had at least one possibly significant (≤1.0 x 10 9/L) decreased neutrophil count. Of the levetiracetam-treated patients with a low neutrophil count, all but one rose towards or to baseline with continued treatment. No patient was discontinued secondary to low neutrophil counts.



Pediatric Patients 4 Years to < 16 Years



Statistically significant decreases in WBC and neutrophil counts were seen in levetiracetam-treated patients as compared to placebo. The mean decreases from baseline in the levetiracetam-treated group were -0.4 × 10 9/L and -0.3 × 10 9/L, respectively, whereas there were small increases in the placebo group. Mean relative lymphocyte counts increased by 1.7% in levetiracetam-treated patients, compared to a decrease of 4% in placebo patients (statistically significant).



In the controlled trial, more levetiracetam-treated patients had a possibly clinically significant abnormally low WBC value (3% of levetiracetam-treated patients versus 0% of placebo-treated patients), however, there was no apparent difference between treatment groups with respect to neutrophil count (5% of levetiracetam-treated patients versus 4.2% of placebo-treated patients). No patient was discontinued secondary to low WBC or neutrophil counts.



In the controlled cognitive and neuropsychological safety study, 5 patients (8.6%) in the levetiracetam-treated group and two patients (6.1%) in the placebo-treated group had high eosinophil count values that were possibly clinically significant (≥10% or ≥0.7X10 9/L).

8 Use in Specific Populations (8 USE IN SPECIFIC POPULATIONS)


Pregnancy: Plasma levels of levetiracetam may be decreased and therefore need to be monitored closely during pregnancy. Based on animal data, may cause fetal harm (5.11, 8.1)

 

 

5.4 Anaphylaxis and Angioedema


Levetiracetam can cause anaphylaxis or angioedema after the first dose or at any time during treatment. Signs and symptoms in cases reported in the postmarketing setting have included hypotension, hives, rash, respiratory distress, and swelling of the face, lip, mouth, eye, tongue, throat, and feet. In some reported cases, reactions were life-threatening and required emergency treatment. If a patient develops signs or symptoms of anaphylaxis or angioedema, levetiracetam should be discontinued and the patient should seek immediate medical attention. Levetiracetam should be discontinued permanently if a clear alternative etiology for the reaction cannot be established [see Contraindications (4)].

6.1 Clinical Trials Experience


Because clinical trials are conducted under widely varying conditions, adverse reaction rates observed in the clinical trials of a drug cannot be directly compared to rates in the clinical trials of another drug and may not reflect the rates observed in practice.



Partial-Onset Seizures

 

  Adults

In controlled clinical studies in adults with partial-onset seizures [see Clinical Studies (14.1)], the most common adverse reactions in patients receiving levetiracetam in combination with other AEDs, for events with rates greater than placebo, were somnolence, asthenia, infection, and dizziness. Of the most common adverse reactions in adults experiencing partial-onset seizures, asthenia, somnolence, and dizziness occurred predominantly during the first 4 weeks of treatment with levetiracetam.



Table 3 lists adverse reactions that occurred in at least 1% of adult epilepsy patients receiving levetiracetam in placebo-controlled studies and were numerically more common than in patients treated with placebo. In these studies, either levetiracetam or placebo was added to concurrent AED therapy.  



Table 3: Adverse Reactions in Pooled Placebo-Controlled, Adjunctive Studies in Adults Experiencing Partial-Onset Seizures

 

Levetiracetam

  (N=769)

%

Placebo

  (N=439)

%

Asthenia

15

9

Somnolence

15

8

Headache

14

13

Infection

13

8

Dizziness

9

4

Pain

7

6

Pharyngitis

6

4

Depression

4

2

Nervousness

4

2

Rhinitis

4

3

Anorexia

3

2

Ataxia

3

1

Vertigo

3

1

Amnesia

2

1

Anxiety

2

1

Cough  Increased

2

1

Diplopia

2

1

Emotional Lability

2

0

Hostility

2

1

Paresthesia

2

1

Sinusitis

2

1

In controlled adult clinical studies, 15% of patients receiving levetiracetam and 12% receiving placebo either discontinued or had a dose reduction as a result of an adverse reaction. Table 4 lists the most common (>1%) adverse reactions that resulted in discontinuation or dose reduction and that occurred more frequently in levetiracetam-treated patients than in placebo-treated patients.



Table 4: Adverse Reactions that Resulted in Discontinuation or Dose Reduction in Placebo-Controlled Studies in Adult Patients Experiencing Partial-Onset Seizures

Adverse Reaction

 

Levetiracetam

  (N=769)

%

Placebo

  (N=439)

%

Somnolence

4



 2  


Dizziness


1


0


Pediatric Patients 4 Years to <16 Years

 

 The adverse reaction data presented below was obtained from a pooled analysis of two controlled pediatric clinical studies in pediatric patients 4 to 16 years of age with partial-onset seizures. The most common adverse reactions in pediatric patients receiving levetiracetam in combination with other AEDs, for events with rates greater than placebo, were fatigue, aggression, nasal congestion, decreased appetite, and irritability.



Table 5 lists adverse reactions from the pooled pediatric controlled studies (4 to 16 years of age) that occurred in at least 2% of pediatric levetiracetam-treated patients and were numerically more common than in pediatric patients treated with placebo. In these studies, either levetiracetam or placebo was added to concurrent AED therapy.



Table 5: Adverse Reactions in Pooled Placebo-Controlled, Adjunctive Studies in Pediatric Patients Ages 4 to 16 Years Experiencing Partial-Onset Seizures



 

 

Levetiracetam

  (N=165) %

Placebo

  (N=131)

  %

Headache

19

15

Nasopharyngitis

15

12

Vomiting

15

12

Somnolence

13

9

Fatigue

11

5

Aggression

10

5

Cough

9

5

Nasal  Congestion

9

2

Upper Abdominal Pain

9

8

Decreased  Appetite

8

2

Abnormal  Behavior

7

4

Dizziness

7

5

Irritability

7

1

Pharyngolaryngeal Pain

7

4

Diarrhea

6

2

Lethargy

6

5

Insomnia

5

3

Agitation

4

1

Anorexia

4

3

Head Injury

4

0

Altered Mood

3

1

Constipation

3

1

Contusion

3

1

Depression

3

1

Fall

3

2

Influenza

3

1

Affect  Lability

2

1

Anxiety

2

1

Arthralgia

2

0

Confusional  State

2

0

Conjunctivitis

2

0

Ear Pain

2

1

Gastroenteritis

2

0

Joint  Sprain

2

1

Mood Swings

2

1

Neck Pain

2

1

Rhinitis

2

0

Sedation

2

1



In the controlled pooled pediatric clinical studies in patients 4 to 16 years of age, 7% of patients receiving levetiracetam and 9% receiving placebo discontinued as a result of an adverse reaction.



Pediatric Patients 1 Month to < 4 Years

In the 7-day, controlled pediatric clinical study in children 1 month to less than 4 years of age with partial-onset seizures, the most common adverse reactions in patients receiving levetiracetam in combination with other AEDs, for events with rates greater than placebo, were somnolence and irritability. Because of the shorter exposure period, incidences of adverse reactions are expected to be lower than in other pediatric studies in older patients. Therefore, other controlled pediatric data, presented above, should also be considered to apply to this age group.



Table 6 lists adverse reactions that occurred in at least 5% of pediatric epilepsy patients (ages 1 month to < 4 years) treated with levetiracetam in the placebo-controlled study and were numerically more common than in patients treated with placebo. In this study, either levetiracetam or placebo was added to concurrent AED therapy.



Table 6: Adverse Reactions in a Placebo-Controlled, Adjunctive Study in Pediatric Patients Ages 1 Month to < 4 Years Experiencing Partial-Onset Seizures



 

Levetiracetam

(N=60)

%

Placebo

(N=56)

%

Somnolence

13

2

Irritability

12

0

 

In the 7-day controlled pediatric clinical study in patients 1 month to < 4 years of age, 3% of patients receiving levetiracetam and 2% receiving placebo either discontinued or had a dose reduction as a result of an adverse reaction. There was no adverse reaction that resulted in discontinuation for more than one patient.



Myoclonic Seizures

Although the pattern of adverse reactions in this study seems somewhat different from that seen in patients with partial-onset seizures, this is likely due to the much smaller number of patients in this study compared to partial seizure studies. The adverse reaction pattern for patients with JME is expected to be essentially the same as for patients with partial seizures.



In the controlled clinical study  in patients 12 years of age and older with myoclonic seizures [see Clinical Studies (14.2)], the most common adverse reactions in patients receiving levetiracetam in combination with other AEDs, for events with rates greater than placebo, were somnolence, neck pain, and pharyngitis.



Table 7 lists adverse reactions that occurred in at least 5% of juvenile myoclonic epilepsy patients experiencing myoclonic seizures treated with levetiracetam and were numerically more common than in patients treated with placebo. In this study, either levetiracetam or placebo was added to concurrent AED therapy.



Table 7: Adverse Reactions in a Placebo-Controlled, Adjunctive Study in Patients 12 Years of Age and Older with Myoclonic Seizures





 


Levetiracetam

 
(N=60)

%


Placebo

(N=60)



%


Somnolence


12




2


Neck pain


8




2


Pharyngitis


7




0


Depression


5




2


Influenza


5




2


Vertigo


5




3

In the placebo-controlled study, 8% of patients receiving levetiracetam and 2% receiving placebo either discontinued or had a dose reduction as a result of an adverse reaction. The adverse reactions that led to discontinuation or dose reduction and that occurred more frequently in levetiracetam-treated patients than in placebo-treated patients are presented in Table 8.



Table 8: Adverse Reactions that Resulted in Discontinuation or Dose Reduction in a Placebo-Controlled Study in Patients with Juvenile Myoclonic Epilepsy



Adverse Reaction 





Levetiracetam

  (N=60)

  %




Placebo

  (N=60)

  % 



Anxiety


3


2


Depressed mood


2


0


Depression


2


0


Diplopia


2


0


Hypersomnia


2


0


Insomnia


2


0


Irritability


2


0


Nervousness


2


0


Somnolence


2


0

 

Primary Generalized Tonic-Clonic Seizures

Although the pattern of adverse reactions in this study seems somewhat different from that seen in patients with partial-onset seizures, this is likely due to the much smaller number of patients in this study compared to partial seizure studies. The adverse reaction pattern for patients with primary generalized tonic-clonic (PGTC) seizures is expected to be essentially the same as for patients with partial seizures.



In the controlled clinical study that included patients 4 years of age and older with PGTC seizures [see Clinical Studies  (14.3)], the most common adverse reaction in patients receiving levetiracetam in combination with other AEDs, for events with rates greater than placebo, was nasopharyngitis.



Table 9 lists adverse reactions that occurred in at least 5% of idiopathic generalized epilepsy patients experiencing PGTC seizures treated with levetiracetam and were numerically more common than in patients treated with placebo. In this study, either levetiracetam or placebo was added to concurrent AED therapy.



Table 9: Adverse Reactions in a Placebo-Controlled, Adjunctive Study in Patients 4 Years of Age and Older with PGTC Seizures



  

 





Levetiracetam

(N=79) 

%




Placebo

  (N=84)

  %


Nasopharyngitis


14


5


Fatigue


10


8


Diarrhea


8


7


Irritability


6


2


Mood swings


5


1




In the placebo-controlled study, 5% of patients receiving levetiracetam and 8% receiving placebo either discontinued or had a dose reduction during the treatment period as a result of an adverse reaction.



This study was too small to adequately characterize the adverse reactions that could be expected to result in discontinuation of treatment in this population. It is expected that the adverse reactions that would lead to discontinuation in this population would be similar to those resulting in discontinuation in other epilepsy trials (see tables 4 and 8).



In addition, the following adverse reactions were seen in other controlled adult studies of levetiracetam: balance disorder, disturbance in attention, eczema, memory impairment, myalgia, and blurred vision.



Comparison of Gender, Age and Race

The overall adverse reaction profile of levetiracetam was similar between females and males. There are insufficient data to support a statement regarding the distribution of adverse reactions by age and race.

5.10 Increase in Blood Pressure


In a randomized, placebo-controlled study in patients 1 month to <4 years of age, a significantly higher risk of increased diastolic blood pressure was observed in the levetiracetam-treated patients (17%), compared to the placebo-treated patients (2%). There was no overall difference in mean diastolic blood pressure between the treatment groups. This disparity between the levetiracetam and placebo treatment groups was not observed in the studies of older children or in adults.

Monitor patients 1 month to <4 years of age for increases in diastolic blood pressure.

17 Patient Counseling Information (17 PATIENT COUNSELING INFORMATION)


Advise the patient to read the FDA-approved patient labeling (Medication Guide). The Medication Guide accompanies the product and can also be accessed by calling 1-866-495-1995.



Psychiatric Reactions and Changes in Behavior

Advise patients that levetiracetam may cause changes in behavior (e.g. aggression, agitation, anger, anxiety, apathy, depression, hostility, and irritability) and psychotic symptoms [see Warnings and Precautions ( 5.1)].

 

  Suicidal Behavior and Ideation

Counsel patients, their caregivers, and/or families that antiepileptic drugs (AEDs), including levetiracetam, may increase the risk of suicidal thoughts and behavior and advise patients to be alert for the emergence or worsening of symptoms of depression; unusual changes in mood or behavior; or suicidal thoughts, behavior, or thoughts about self-harm. Advise patients, their caregivers, and/or families to immediately report behaviors of concern to a healthcare provider [see Warnings and Precautions ( 5.2)].

 

  Effects on Driving or Operating Machinery

Inform patients that levetiracetam may cause dizziness and somnolence. Inform patients not to drive or operate machinery until they have gained sufficient experience on levetiracetam to gauge whether it adversely affects their ability to drive or operate machinery [see Warnings and Precautions ( 5.3)].

 

  Anaphylaxis and Angioedema

Advise patients to discontinue levetiracetam and seek medical care if they develop signs and symptoms of anaphylaxis or angioedema [see Warnings and Precautions ( 5.4)].

 

  Dermatological Adverse Reactions

Advise patients that serious dermatological adverse reactions have occurred in patients treated with levetiracetam and instruct them to call their physician immediately if a rash develops [see Warnings and Precautions ( 5.5)].

 

  Withdrawal of Levetiracetam

Advise patients and caregivers not to discontinue use of levetiracetam without consulting with their healthcare provider. Levetiracetam should normally be gradually withdrawn to reduce the potential of increased seizure frequency and status epilepticus [see Warnings and Precautions (5.7)].

 

  Pregnancy

Advise patients to notify their healthcare provider if they become pregnant or intend to become pregnant during levetiracetam therapy. Encourage patients to enroll in the North American Antiepileptic Drug (NAAED) pregnancy registry if they become pregnant [see Use in Specific Populations (8.1 )].



Manufactured for:

Camber Pharmaceuticals, Inc.

Piscataway, NJ 08854



By:  HETERO TM

Hetero Labs Limited

Jeedimetla, Hyderabad - 500 055, India



or



By: Annora Pharma Pvt. Ltd.

Sangareddy - 502313, Telangana, India.



Revised: 04/2024

5.2 Suicidal Behavior and Ideation


Antiepileptic drugs (AEDs), including levetiracetam, increase the risk of suicidal thoughts or behavior in patients taking these drugs for any indication. Patients treated with any AED for any indication should be monitored for the emergence or worsening of depression, suicidal thoughts or behavior, and/or any unusual changes in mood or behavior.



Pooled analyses of 199 placebo-controlled clinical trials (mono- and adjunctive therapy) of 11 different AEDs showed that patients randomized to one of the AEDs had approximately twice the risk (adjusted Relative Risk 1.8, 95% CI:1.2, 2.7) of suicidal thinking or behavior compared to patients randomized to placebo. In these trials, which had a median treatment duration of 12 weeks, the estimated incidence rate of suicidal behavior or ideation among 27,863 AED-treated patients was 0.43%, compared to 0.24% among 16,029 placebo-treated patients, representing an increase of approximately one case of suicidal thinking or behavior for every 530 patients treated. There were four suicides in drug-treated patients in the trials and none in placebo-treated patients, but the number is too small to allow any conclusion about drug effect on suicide.



The increased risk of suicidal thoughts or behavior with AEDs was observed as early as one week after starting drug treatment with AEDs and persisted for the duration of treatment assessed. Because most trials included in the analysis did not extend beyond 24 weeks, the risk of suicidal thoughts or behavior beyond    24 weeks could not be assessed.



The risk of suicidal thoughts or behavior was generally consistent among drugs in the data analyzed. The finding of increased risk with AEDs of varying mechanisms of action and across a range of indications suggests that the risk applies to all AEDs used for any indication. The risk did not vary substantially by age (5 to 100 years) in the clinical trials analyzed. Table 2 shows absolute and relative risk by indication for all evaluated AEDs.



Table 2: Risk by Indication for Antiepileptic Drugs in the Pooled Analysis





Indication

Placebo Patients

with Events Per

1,000 Patients


Drug Patients

with Events Per

1,000 Patients
Relative Risk:

Incidence of Events

in Drug Patients/

Incidence in Placebo

Patients

Risk Difference:

Additional Drug

Patients with Events

Per 1,000 Patients

Epilepsy

1.0


3.4


3.5


2.4
Psychiatric

5.7


8.5


1.5


2.9
Other

1.0


1.8


1.9


0.9
Total

2.4


4.3


1.8


1.9


The relative risk for suicidal thoughts or behavior was higher in clinical trials for epilepsy than in clinical trials for psychiatric or other conditions, but the absolute risk differences were similar for the epilepsy and psychiatric indications.



Anyone considering prescribing levetiracetam or any other AED must balance the risk of suicidal thoughts or behaviors with the risk of untreated illness. Epilepsy and many other illnesses for which AEDs are prescribed are themselves associated with morbidity and mortality and an increased risk of suicidal thoughts and behavior. Should suicidal thoughts and behavior emerge during treatment, the prescriber needs to consider whether the emergence of these symptoms in any given patient may be related to the illness being treated.



5.5 Serious Dermatological Reactions


Serious dermatological reactions, including Stevens-Johnson syndrome (SJS) and toxic epidermal necrolysis (TEN), have been reported in both pediatric and adult patients treated with levetiracetam. The median time of onset is reported to be 14 to 17 days, but cases have been reported at least four months after initiation of treatment. Recurrence of the serious skin reactions following rechallenge with levetiracetam has also been reported. Levetiracetam should be discontinued at the first sign of a rash, unless the rash is clearly not drug-related. If signs or symptoms suggest SJS/TEN, use of this drug should not be resumed and alternative therapy should be considered.

2.2 Dosing for Partial Onset Seizures (2.2 Dosing for Partial-Onset Seizures)


The recommended dosing for monotherapy and adjunctive therapy is the same; as outlined below.



Adults 16 Years of Age and Older

Initiate treatment with a daily dose of 1,000 mg/day, given as twice-daily dosing (500 mg twice daily). Additional dosing increments may be given (1,000 mg/day additional every 2 weeks) to a maximum recommended daily dose of 3,000 mg. There is no evidence that doses greater than 3,000 mg/day confer additional benefit.



Pediatric Patients

1 Month to < 6 Months

Initiate treatment with a daily dose of 14 mg/kg in 2 divided doses (7 mg/kg twice daily). Increase the daily dose every 2 weeks by increments of 14 mg/kg to the recommended daily dose of 42 mg/kg (21 mg/kg twice daily). In the clinical trial, the mean daily dose was 35 mg/kg in this age group. 



6 Months to < 4 Years:

Initiate treatment with a daily dose of 20 mg/kg in 2 divided doses (10 mg/kg twice daily). Increase the daily dose in 2 weeks by an increment of 20 mg/kg to the recommended daily dose of 50 mg/kg (25 mg/kg twice daily). If a patient cannot tolerate a daily dose of 50 mg/kg, the daily dose may be reduced. In the clinical trial, the mean daily dose was 47 mg/kg in this age group.



4 Years to < 16 Years

Initiate treatment with a daily dose of 20 mg/kg in 2 divided doses (10 mg/kg twice daily). Increase the daily dose every 2 weeks by increments of 20 mg/kg to the recommended daily dose of 60 mg/kg (30 mg/kg twice daily). If a patient cannot tolerate a daily dose of 60 mg/kg, the daily dose may be reduced. In the clinical trial, the mean daily dose was 44 mg/kg. The maximum daily dose was 3,000 mg/day.

Levetiracetam Oral Solution Weight-Based Dosing Calculation For Pediatric Patients

 

 The following calculation should be used to determine the appropriate daily dose of oral solution for pediatric patients:



                                            Daily dose (mg/kg/day) x patient weight (kg)

Total daily dose (mL/day) = --------------------------------------------------------

                                                                    100 mg/mL

5.11 Seizure Control During Pregnancy


Physiological changes may gradually decrease plasma levels of levetiracetam throughout pregnancy. This decrease is more pronounced during the third trimester. It is recommended that patients be monitored carefully during pregnancy. Close monitoring should continue through the postpartum period especially if the dose was changed during pregnancy.

Package Label.principal Display Panel (PACKAGE LABEL.PRINCIPAL DISPLAY PANEL)


Container Label for Leveteracetam oral Solution 100 mg/mL, 473 mL Container Label-Hetero

 Container Label for Leveteracetam oral Solution 100 mg/mL, 473 mL Container Label-Annora

2.1 Important Administration Instructions


Levetiracetam oral solution is given orally with or without food. The levetiracetam oral solution dosing regimen depends on the indication, age group, dosage form (tablets or oral solution), and renal function.

Prescribe the oral solution for pediatric patients with body weight ≤ 20 kg. Prescribe the oral solution or tablets for pediatric patients with body weight above 20 kg.

When using the oral solution in pediatric patients, dosing is weight-based (mg per kg) using a calibrated measuring device (not a household teaspoon or tablespoon).



1.3 Primary Generalized Tonic Clonic Seizures (1.3 Primary Generalized Tonic-Clonic Seizures)


Levetiracetam oral solution is indicated as adjunctive therapy for the treatment of primary generalized tonic-clonic seizures in patients 6 years of age and older with idiopathic generalized epilepsy.

14.3 Primary Generalized Tonic Clonic Seizures (14.3 Primary Generalized Tonic-Clonic Seizures)




The effectiveness of levetiracetam as adjunctive therapy in patients 6 years of age and older with idiopathic generalized epilepsy experiencing primary generalized tonic-clonic (PGTC) seizures was established in one multicenter, randomized, double-blind, placebo-controlled study (Study 7), conducted at 50 sites in 8 countries. Eligible patients on a stable dose of 1 or 2 antiepileptic drugs (AEDs) experiencing at least 3 PGTC seizures during the 8-week combined baseline period (at least one PGTC seizure during the 4 weeks prior to the prospective baseline period and at least one PGTC seizure during the 4-week prospective baseline period) were randomized to either levetiracetam or placebo. The 8-week combined baseline period is referred to as “baseline” in the remainder of this section. Patients were titrated over 4 weeks to a target dose of 3,000 mg/day for adults or a pediatric target dose of 60 mg/kg/day and treated at a stable dose of 3,000 mg/day (or 60 mg/kg/day for children) over 20 weeks (evaluation period). Study drug was given in 2 equally divided doses per day. The primary measure of effectiveness was the percent reduction from baseline in weekly PGTC seizure frequency for levetiracetam and placebo treatment groups over the treatment period (titration + evaluation periods).  The population included 164 patients (levetiracetam N=80, placebo N=84) with idiopathic generalized epilepsy (predominately juvenile myoclonic epilepsy, juvenile absence epilepsy, childhood absence epilepsy, or epilepsy with Grand Mal seizures on awakening) experiencing primary generalized tonic-clonic seizures. Each of these syndromes of idiopathic generalized epilepsy was well represented in this patient population.



There was a statistically significant decrease from baseline in PGTC frequency in the levetiracetam-treated patients compared to the placebo-treated patients.



Table 15: Median Percent Reduction from Baseline in PGTC Seizure Frequency per Week in Study 7

 







 


Placebo

(N=84)


Levetiracetam

(N=78)


Percent reduction

in PGTC seizure frequency


44.6%


 77.6%*


*statistically significant versus placebo



The percentage of patients (y-axis) who achieved ≥50% reduction in weekly seizure rates from baseline in PGTC seizure frequency over the entire randomized treatment period (titration + evaluation period) within the two treatment groups (x-axis) is presented in Figure 6.



Figure 6: Responder Rate (≥50% Reduction from Baseline) in PGTC Seizure Frequency per Week in Study 7 





*statistically significant versus placebo

2.6 Discontinuation of Levetiracetam Oral Solution


Avoid abrupt withdrawal from levetiracetam oral solution in order to reduce the risk of increased seizure frequency and status epilepticus [see Warnings and Precautions ( 5.8)].

5.1 Behavioral Abnormalities and Psychotic Symptoms


Levetiracetam may cause behavioral abnormalities and psychotic symptoms. Patients treated with levetiracetam should be monitored for psychiatric signs and symptoms.







Behavioral abnormalities

In clinical studies, 13% of adult levetiracetam-treated patients and 38% of pediatric levetiracetam-treated patients (4 to 16 years of age) compared to 6% and 19% of adult and pediatric placebo-treated patients, experienced non-psychotic behavioral symptoms (reported as aggression, agitation, anger, anxiety, apathy, depersonalization, depression, emotional lability, hostility, hyperkinesias, irritability, nervousness, neurosis, and personality disorder).



A randomized double-blind, placebo-controlled study was performed to assess the neurocognitive and behavioral effects of levetiracetam as adjunctive therapy in pediatric patients (4 to 16 years of age). The results from an exploratory analysis indicated a worsening in levetiracetam-treated patients on aggressive behavior (one of eight behavior dimensions) as measured in a standardized and systematic way using a validated instrument, the Achenbach Child Behavior Checklist (CBCL/6-18).



In clinical studies in pediatric patients 1 month to < 4 years of age, irritability was reported in 12% of the levetiracetam-treated patients compared to 0% of placebo-treated patients.



In clinical studies, 1.7% of adult levetiracetam-treated patients discontinued treatment due to behavioral adverse reactions, compared to 0.2% of placebo-treated patients. The treatment dose was reduced in 0.8% of adult levetiracetam-treated patients and in 0.5% of placebo-treated patients. Overall, 11% of levetiracetam-treated pediatric patients experienced behavioral symptoms associated with discontinuation or dose reduction, compared to 6% of placebo-treated patients.



Psychotic symptoms

In clinical studies, 1% of levetiracetam-treated adult patients, 2% of levetiracetam-treated pediatric patients 4 to 16 years of age, and 17% of levetiracetam-treated pediatric patients 1 month to <4 years of age experienced psychotic symptoms, compared to 0.2%, 2%, and 5% in the corresponding age groups treated with placebo. In a controlled study that assessed the neurocognitive and behavioral effects of levetiracetam in pediatric patients 4 to 16 years of age, 1.6% of levetiracetam-treated patients experienced paranoia, compared to 0% of placebo-treated patients. In the same study, 3.1% of levetiracetam-treated patients experienced confusional state, compared to 0% of placebo-treated patients [see Use in Specific Populations (8.4)].

 



In clinical studies, two (0.3%) levetiracetam-treated adult patients were hospitalized and their treatment was discontinued due to psychosis. Both events, reported as psychosis, developed within the first week of treatment and resolved within 1 to 2 weeks following treatment discontinuation. There was no difference between drug and placebo-treated patients in the incidence of the pediatric patients who discontinued treatment due to psychotic and non-psychotic adverse reactions.



2.4 Dosing for Primary Generalized Tonic Clonic Seizures (2.4 Dosing for Primary Generalized Tonic-Clonic Seizures)


Adults 16 Years of Age and Older

Initiate treatment with a dose of 1,000 mg/day, given as twice-daily dosing (500 mg twice daily). Increase dosage by 1,000 mg/day every 2 weeks to the recommended daily dose of 3,000 mg. The effectiveness of doses lower than 3,000 mg/day has not been adequately studied. 



Pediatric Patients 6 to <16 Years of Age

Initiate treatment with a daily dose of 20 mg/kg in 2 divided doses (10 mg/kg twice daily). Increase the daily dose every 2 weeks by increments of 20 mg/kg to the recommended daily dose of 60 mg/kg (30 mg/kg twice daily). The effectiveness of doses lower than 60 mg/kg/day has not been adequately studied. Patients with body weight ≤20 kg should be dosed with oral solution. Patients with body weight above 20 kg can be dosed with either tablets or oral solution [see Dosage and Administration ( 2.1)] .

13.1 Carcinogenesis, Mutagenesis, Impairment of Fertility


Carcinogenesis

Rats were dosed with levetiracetam in the diet for 104 weeks at doses of 50, 300, and 1,800 mg/kg/day. Plasma exposure (AUC) at the highest dose was approximately 6 times that in humans at the maximum recommended daily human dose (MRHD) of 3,000 mg. There was no evidence of carcinogenicity. In mice, oral administration of levetiracetam for 80 weeks (doses up to 960 mg/kg/day) or 2 years (doses up to 4,000 mg/kg/day, lowered to 3,000 mg/kg/day after 45 weeks due to intolerability) was not associated with an increase in tumors. The highest dose tested in mice for 2 years (3,000 mg/kg/day) is approximately 5 times the MRHD on a body surface area (mg/m 2) basis.



Mutagenesis

Levetiracetam was negative in in vitro(Ames, chromosomal aberration in mammalian cells) and in vivo(mouse micronucleus) assays. The major human metabolite of levetiracetam (ucb L057) was negative in in vitro(Ames, mouse lymphoma) assays.



Impairment of Fertility

No adverse effects on male or female fertility or reproductive performance were observed in rats at oral doses up to 1,800 mg/kg/day, which were associated with plasma exposures (AUC) up to approximately 6 times that in humans at the MRHD.

2.5 Dosage Adjustments in Adult Patients With Renal Impairment (2.5 Dosage Adjustments in Adult Patients with Renal Impairment)


Levetiracetam oral solution dosing must be individualized according to the patient’s renal function status. Recommended dosage adjustments for adults are shown in Table 1. In order to calculate the dose recommended for patients with renal impairment, creatinine clearance adjusted for body surface area must be calculated. To do this an estimate of the patient’s creatinine clearance (CLcr) in mL/min must first be calculated using the following formula:



                                      [140-age (years)] x weight (kg)           

                       CLcr = ---------------------------------------           (x 0.85 for female patients)

                                      72 x serum creatinine (mg/dL)            



        Then CLcr is adjusted for body surface area (BSA) as follows:

                                                      CLcr (mL/min)

           CLcr (mL/min/1.73m 2) =    ------------------- x 1.73

                                                      BSA subject (m 2)



Table 1: Dosing Adjustment Regimen for Adult Patients with Renal Impairment

Group

Creatinine Clearance

 (mL/min/1.73m 2)

             Dosage (mg)            

Frequency

Normal

> 80

500 to 1,500

Every 12 hours



 

Mild

50 to 80

500 to 1,000

Every 12 hours

Moderate

30 to 50

250 to 750

Every 12 hours

Severe

< 30

250 to 500

Every 12 hours

ESRD patients

using dialysis

----

500 to 1,000*

Every 24 hours *

Following dialysis, a 250 to 500 mg supplemental dose is recommended.

1.2 Myoclonic Seizures in Patients With Juvenile Myoclonic Epilepsy (1.2 Myoclonic Seizures in Patients with Juvenile Myoclonic Epilepsy)


Levetiracetam oral solution is indicated as adjunctive therapy for the treatment of myoclonic seizures in patients 12 years of age and older with juvenile myoclonic epilepsy.

14.2 Myoclonic Seizures in Patients With Juvenile Myoclonic Epilepsy (14.2 Myoclonic Seizures in Patients with Juvenile Myoclonic Epilepsy)


The effectiveness of levetiracetam as adjunctive therapy in patients 12 years of age and older with juvenile myoclonic epilepsy (JME) experiencing myoclonic seizures was established in one multicenter, randomized, double-blind, placebo-controlled study (Study 6), conducted at 37 sites in 14 countries. Eligible patients on a stable dose of 1 antiepileptic drug (AED) experiencing one or more myoclonic seizures per day for at least 8 days during the prospective 8-week baseline period were randomized to either levetiracetam or placebo (levetiracetam N=60, placebo N=60). Patients were titrated over 4 weeks to a target dose of 3,000 mg/day and treated at a stable dose of 3,000 mg/day over 12 weeks (evaluation period). Study drug was given in 2 divided doses.



The primary measure of effectiveness was the proportion of patients with at least 50% reduction in the number of days per week with one or more myoclonic seizures during the treatment period (titration + evaluation periods) as compared to baseline. Of the 120 patients enrolled, 113 had a diagnosis of confirmed or suspected JME. Table 14 displays the results for the 113 patients with JME in this study.



Table 14: Responder Rate (≥50% Reduction from Baseline) in Myoclonic Seizure Days per Week for Patients with JME in Study 6







Placebo

(N=59)


Levetiracetam

(N=54)
Percentage of responders

23.7%
       60.4%*

*statistically significant versus placebo

10.1 Signs, Symptoms and Laboratory Findings of Acute Overdosage in Humans


The highest known dose of levetiracetam received in the clinical development program was 6,000 mg/day. Other than drowsiness, there were no adverse reactions in the few known cases of overdose in clinical trials. Cases of somnolence, agitation, aggression, depressed level of consciousness, respiratory depression and coma were observed with levetiracetam overdoses in postmarketing use.

5.6 Drug Reaction With Eosinophilia and Systemic Symptoms (dress)/multiorgan Hypersensitifity (5.6 Drug Reaction with Eosinophilia and Systemic Symptoms (DRESS)/Multiorgan Hypersensitifity)


Drug Reaction with Eosinophilia and Systemic Symptoms (DRESS), also known as multiorgan hypersensitivity, has been reported in patients taking antiepileptic drugs, including levetiracetam. These events can be fatal or life-threatening, particularly if diagnosis and treatment do not occur as early as possible. DRESS typically, although not exclusively, presents with fever, rash, lymphadenopathy, and/or facial swelling, in association with other organ system involvement, such as hepatitis,nephritis, hematological abnormalities, myocarditis, or myositis, sometimes resembling an acute viral infection. Eosinophilia is often present. Because this disorder is variable in its expression, other organ systems not noted here may be involved. It is important to note that early manifestations of hypersensitivity, such as fever or lymphadenopathy, may be present even though rash is not evident. If such signs or symptoms are present, the patient should be evaluated immediately. Levetiracetam should be discontinued if an alternative etiology for the signs or symptoms cannot be established [see Contraindications (4)].

2.3 Dosing for Myoclonic Seizures in Patients 12 Years of Age and Older With Juvenile Myoclonic Epilepsy (2.3 Dosing for Myoclonic Seizures in Patients 12 Years of Age and Older with Juvenile Myoclonic Epilepsy)


Initiate treatment with a dose of 1,000 mg/day, given as twice-daily dosing (500 mg twice daily). Increase the dosage by 1,000 mg/day every 2 weeks to the recommended daily dose of 3,000 mg. The effectiveness of doses lower than 3,000 mg/day has not been studied.




Advanced Ingredient Data


Raw Label Data

All Sections (JSON)