These Highlights Do Not Include All The Information Needed To Use Heparin Sodium Injection Safely And Effectively. See Full Prescribing Information For Heparin Sodium Injection.

These Highlights Do Not Include All The Information Needed To Use Heparin Sodium Injection Safely And Effectively. See Full Prescribing Information For Heparin Sodium Injection.
SPL v32
SPL
SPL Set ID 56dc3074-f1c5-45a3-b923-f1d14858e06d
Routes
INTRAVENOUS SUBCUTANEOUS
Published
Effective Date 2024-07-03
Document Type 34391-3 HUMAN PRESCRIPTION DRUG LABEL

Drug Facts

Composition & Product

Active Ingredients
Heparin (1000 [USP'U])
Inactive Ingredients
Sodium Chloride Benzyl Alcohol Hydrochloric Acid Sodium Hydroxide Water

Identifiers & Packaging

Marketing Status
NDA Completed Since 2013-03-11 Until 2021-12-31

Description

Warnings and Precautions, Unresponsiveness to Heparin with Concomitant Use with Andexanet Alfa ( 5.5 ) 9/2025

Indications and Usage

HEPARIN SODIUM INJECTION is indicated for: • Prophylaxis and treatment of venous thrombosis and pulmonary embolism; • Prophylaxis and treatment of thromboembolic complications associated with atrial fibrillation; • Treatment of acute and chronic consumption coagulopathies (disseminated intravascular coagulation); • Prevention of clotting in arterial and cardiac surgery; • Prophylaxis and treatment of peripheral arterial embolism; • Anticoagulant use in blood transfusions, extracorporeal circulation, and dialysis procedures.

Dosage and Administration

Recommended Adult Dosages: • Therapeutic Anticoagulant Effect with Full-Dose Heparin* ( 2.3 ) Deep Subcutaneous (Intrafat) Injection Use a different site for each injection Initial Dose 333 units/kg subcutaneously Every 12 hours 250 units/kg subcutaneously Intermittent Intravenous Injection Initial Dose 10,000 units Every 4 to 6 hours 5,000 units to 10,000 units Continuous Intravenous Infusion Initial Dose 5,000 units Continuous 20,000 units/24 hours to 40,000 units/24 hours * Based on 68 kg patient. Adjust dose based on laboratory monitoring. • Cardiovascular Surgery ( 2.5 ) Intravascular via Total Body Perfusion Initial Dose not less than 150 units/kg; adjust for longer procedures • Low-dose Prophylaxis of Postoperative Thromboembolism ( 2.6 ) Deep Subcutaneous (Intrafat) Injection Initial Dose 5,000 units 2 hours before surgery Every 8 to 12 hours 5,000 units • Extracorporeal dialysis ( 2.9 ) Intravascular via Extracorporeal Dialysis 25 units/kg to 30 units/kg followed by infusion rate of 1,500 units/hour to 2,000 units/hour if manufacturers' recommendations are not available

Warnings and Precautions

     

Contraindications

The use of HEPARIN SODIUM INJECTION is contraindicated in patients: • History of heparin-induced thrombocytopenia and heparin-induced thrombocytopenia and thrombosis • History of thrombocytopenia with pentosan polysulfate • Known hypersensitivity to heparin or pork products (e.g., anaphylactoid reactions) [see Adverse Reactions (6.1) ] • In whom suitable blood coagulation tests (e.g., whole-blood clotting time, partial thromboplastin time) cannot be performed at appropriate intervals. This contraindication refers to full-dose heparin regimens only; there is usually no need to monitor coagulation parameters in patients receiving low-dose heparin • An uncontrollable bleeding state [see Warnings and Precautions (5.2) ] , except when this is due to disseminated intravascular coagulation

Adverse Reactions

The following clinically significant adverse reactions are described elsewhere in the labeling: • Hemorrhage [see Warnings and Precautions (5.2) ] • Heparin-Induced Thrombocytopenia and Heparin-Induced Thrombocytopenia and Thrombosis [see Warnings and Precautions (5.3) ] • Risk of Serious Adverse Reactions in Infants due to Benzyl Alcohol Preservative [see Warnings and Precautions (5.4) ] • Thrombocytopenia [see Warnings and Precautions (5.6) ] • Heparin Resistance [see Warnings and Precautions (5.8) ] • Hypersensitivity [see Warnings and Precautions (5.9) ] • Hyperkalemia [see Warnings and Precautions (5.10) ]

Drug Interactions

• Drugs that interfere with coagulation, platelet aggregation or drugs that counteract coagulation may induce bleeding ( 7.2 ) • Andexanet alfa may reduce the efficacy of heparin when used concomitantly ( 7.3 )

Storage and Handling

HEPARIN SODIUM INJECTION preservative-free is available in the following strengths and package sizes: DESCRIPTION NDC 1,000 USP units/mL        Preservative-free, 25 vials: 2,000 USP units/2 mL, single-dose Discard unused portion 0069-0043-01 HEPARIN SODIUM INJECTION preserved with benzyl alcohol is available in the following strengths and package sizes: DESCRIPTION NDC 1,000 USP units/mL        25 vials: 10,000 USP units/10 mL, multiple-dose 0069-0058-01        10 vials: 30,000 USP units/30 mL, multiple-dose 0069-0137-03 5,000 USP units/mL        25 vials: 50,000 USP units/10 mL, multiple-dose 0069-0059-01        25 vials: 5,000 USP units/1 mL, multiple-dose 0069-0059-03 10,000 USP units/mL        25 vials: 10,000 USP units/1 mL, multiple-dose 0069-0062-01

How Supplied

HEPARIN SODIUM INJECTION preservative-free is available in the following strengths and package sizes: DESCRIPTION NDC 1,000 USP units/mL        Preservative-free, 25 vials: 2,000 USP units/2 mL, single-dose Discard unused portion 0069-0043-01 HEPARIN SODIUM INJECTION preserved with benzyl alcohol is available in the following strengths and package sizes: DESCRIPTION NDC 1,000 USP units/mL        25 vials: 10,000 USP units/10 mL, multiple-dose 0069-0058-01        10 vials: 30,000 USP units/30 mL, multiple-dose 0069-0137-03 5,000 USP units/mL        25 vials: 50,000 USP units/10 mL, multiple-dose 0069-0059-01        25 vials: 5,000 USP units/1 mL, multiple-dose 0069-0059-03 10,000 USP units/mL        25 vials: 10,000 USP units/1 mL, multiple-dose 0069-0062-01


Medication Information

Warnings and Precautions

     

Indications and Usage

HEPARIN SODIUM INJECTION is indicated for: • Prophylaxis and treatment of venous thrombosis and pulmonary embolism; • Prophylaxis and treatment of thromboembolic complications associated with atrial fibrillation; • Treatment of acute and chronic consumption coagulopathies (disseminated intravascular coagulation); • Prevention of clotting in arterial and cardiac surgery; • Prophylaxis and treatment of peripheral arterial embolism; • Anticoagulant use in blood transfusions, extracorporeal circulation, and dialysis procedures.

Dosage and Administration

Recommended Adult Dosages: • Therapeutic Anticoagulant Effect with Full-Dose Heparin* ( 2.3 ) Deep Subcutaneous (Intrafat) Injection Use a different site for each injection Initial Dose 333 units/kg subcutaneously Every 12 hours 250 units/kg subcutaneously Intermittent Intravenous Injection Initial Dose 10,000 units Every 4 to 6 hours 5,000 units to 10,000 units Continuous Intravenous Infusion Initial Dose 5,000 units Continuous 20,000 units/24 hours to 40,000 units/24 hours * Based on 68 kg patient. Adjust dose based on laboratory monitoring. • Cardiovascular Surgery ( 2.5 ) Intravascular via Total Body Perfusion Initial Dose not less than 150 units/kg; adjust for longer procedures • Low-dose Prophylaxis of Postoperative Thromboembolism ( 2.6 ) Deep Subcutaneous (Intrafat) Injection Initial Dose 5,000 units 2 hours before surgery Every 8 to 12 hours 5,000 units • Extracorporeal dialysis ( 2.9 ) Intravascular via Extracorporeal Dialysis 25 units/kg to 30 units/kg followed by infusion rate of 1,500 units/hour to 2,000 units/hour if manufacturers' recommendations are not available

Contraindications

The use of HEPARIN SODIUM INJECTION is contraindicated in patients: • History of heparin-induced thrombocytopenia and heparin-induced thrombocytopenia and thrombosis • History of thrombocytopenia with pentosan polysulfate • Known hypersensitivity to heparin or pork products (e.g., anaphylactoid reactions) [see Adverse Reactions (6.1) ] • In whom suitable blood coagulation tests (e.g., whole-blood clotting time, partial thromboplastin time) cannot be performed at appropriate intervals. This contraindication refers to full-dose heparin regimens only; there is usually no need to monitor coagulation parameters in patients receiving low-dose heparin • An uncontrollable bleeding state [see Warnings and Precautions (5.2) ] , except when this is due to disseminated intravascular coagulation

Adverse Reactions

The following clinically significant adverse reactions are described elsewhere in the labeling: • Hemorrhage [see Warnings and Precautions (5.2) ] • Heparin-Induced Thrombocytopenia and Heparin-Induced Thrombocytopenia and Thrombosis [see Warnings and Precautions (5.3) ] • Risk of Serious Adverse Reactions in Infants due to Benzyl Alcohol Preservative [see Warnings and Precautions (5.4) ] • Thrombocytopenia [see Warnings and Precautions (5.6) ] • Heparin Resistance [see Warnings and Precautions (5.8) ] • Hypersensitivity [see Warnings and Precautions (5.9) ] • Hyperkalemia [see Warnings and Precautions (5.10) ]

Drug Interactions

• Drugs that interfere with coagulation, platelet aggregation or drugs that counteract coagulation may induce bleeding ( 7.2 ) • Andexanet alfa may reduce the efficacy of heparin when used concomitantly ( 7.3 )

Storage and Handling

HEPARIN SODIUM INJECTION preservative-free is available in the following strengths and package sizes: DESCRIPTION NDC 1,000 USP units/mL        Preservative-free, 25 vials: 2,000 USP units/2 mL, single-dose Discard unused portion 0069-0043-01 HEPARIN SODIUM INJECTION preserved with benzyl alcohol is available in the following strengths and package sizes: DESCRIPTION NDC 1,000 USP units/mL        25 vials: 10,000 USP units/10 mL, multiple-dose 0069-0058-01        10 vials: 30,000 USP units/30 mL, multiple-dose 0069-0137-03 5,000 USP units/mL        25 vials: 50,000 USP units/10 mL, multiple-dose 0069-0059-01        25 vials: 5,000 USP units/1 mL, multiple-dose 0069-0059-03 10,000 USP units/mL        25 vials: 10,000 USP units/1 mL, multiple-dose 0069-0062-01

How Supplied

HEPARIN SODIUM INJECTION preservative-free is available in the following strengths and package sizes: DESCRIPTION NDC 1,000 USP units/mL        Preservative-free, 25 vials: 2,000 USP units/2 mL, single-dose Discard unused portion 0069-0043-01 HEPARIN SODIUM INJECTION preserved with benzyl alcohol is available in the following strengths and package sizes: DESCRIPTION NDC 1,000 USP units/mL        25 vials: 10,000 USP units/10 mL, multiple-dose 0069-0058-01        10 vials: 30,000 USP units/30 mL, multiple-dose 0069-0137-03 5,000 USP units/mL        25 vials: 50,000 USP units/10 mL, multiple-dose 0069-0059-01        25 vials: 5,000 USP units/1 mL, multiple-dose 0069-0059-03 10,000 USP units/mL        25 vials: 10,000 USP units/1 mL, multiple-dose 0069-0062-01

Description

Warnings and Precautions, Unresponsiveness to Heparin with Concomitant Use with Andexanet Alfa ( 5.5 ) 9/2025

Section 42229-5

Risk Summary

There are no available data on heparin sodium use in pregnant women to infor a drug associated risk of major birth defects and miscarriage. In published reports, heparin exposure during pregnancy did not show evidence of an increased risk of adverse maternal or fetal outcomes in humans. No teratogenicity, but early embryo-fetal death was observed in animal reproductive studies with administration of heparin sodium to pregnant rats and rabbits during organogenesis at doses approximately 10 times the maximum recommended human dose (MRHD) of 40,000 USP units/24 hours infusion (see Data). Consider the benefits and risks of HEPARIN SODIUM INJECTION to a pregnant woman and possible risks to the fetus when prescribing HEPARIN SODIUM INJECTION to a pregnant woman.

If available, preservative-free HEPARIN SODIUM INJECTION is recommended when heparin therapy is needed during pregnancy. There are no known adverse outcomes associated with fetal exposure to the preservative benzyl alcohol through maternal drug administration; however, the preservative benzyl alcohol can cause serious adverse events and death when administered intravenously to neonates and infants [see Use in Specific Populations (8.4)].

The estimated background risk of major birth defects and miscarriage for the indicated population is unknown. All pregnancies have a risk of birth defect, loss, or other adverse outcomes. In the U.S. general population, the estimated background risk of major birth defects and miscarriage in clinically recognized pregnancies is 2–4% and 15–20%, respectively.

Section 43683-2

Warnings and Precautions, Unresponsiveness to Heparin with Concomitant Use with Andexanet Alfa (5.5)

9/2025

Section 44425-7

Store at 20° to 25°C (68° to 77°F) [see USP Controlled Room Temperature]. Use only if solution is clear and the seal is intact. Do not use if solution is discolored or contains a precipitate.

10 Overdosage

Bleeding is the chief sign of heparin overdosage.

11 Description

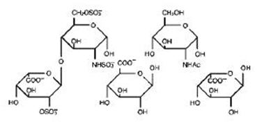
Heparin is a heterogenous group of straight-chain anionic mucopolysaccharides, called glycosaminoglycans, possessing anticoagulant properties. It is composed of polymers of alternating derivations of α-D-glucosamido (N-sulfated O-sulfated or N-acetylated) and O-sulfated uronic acid (α-L-iduronic acid or β-D-glucuronic acid).

Structure of heparin sodium (representative subunits):

HEPARIN SODIUM INJECTION is a sterile preparation of heparin sodium derived from porcine intestinal tissue, standardized for anticoagulant activity, in water for injection. It is intended for intravenous or deep subcutaneous administration. The potency is determined by a biological assay using a USP reference standard based on units of heparin activity per milligram.

For formulations preserved with benzyl alcohol, each mL of the 1,000 UPS units and 5,000 USP units per mL preparations contains: heparin sodium 1,000 UPS units or 5,000 USP units; 9 mg sodium chloride; 9.45 mg benzyl alcohol added as preservative. Each mL of the 10,000 USP units per mL preparations contains: heparin sodium 10,000 USP units; 9.45 mg benzyl alcohol added as preservative.

The preservative-free product contains (per mL): 1,000 USP units of heparin sodium and 9 mg sodium chloride.

When necessary, the pH of HEPARIN SODIUM INJECTION is adjusted with hydrochloric acid and/or sodium hydroxide. The pH range is 5.0 to 7.5.

5.2 Hemorrhage

Avoid using heparin in the presence of major bleeding, except when the benefits of heparin therapy outweigh the potential risks.

Hemorrhage, including fatal events, has occurred in patients receiving heparin. Hemorrhage can occur at virtually any site in patients receiving heparin. Adrenal hemorrhage (with resultant acute adrenal insufficiency), ovarian hemorrhage, and retroperitoneal hemorrhage have occurred during anticoagulant therapy with heparin [see Adverse Reactions (6.1]). A higher incidence of bleeding has been reported in patients, particularly women, over 60 years of age [see Clinical Pharmacology (12.3)]. An unexplained fall in hematocrit or fall in blood pressure should lead to serious consideration of a hemorrhagic event.

Use heparin sodium with caution in disease states in which there is increased risk of hemorrhage, including:

  • Cardiovascular – Subacute bacterial endocarditis, severe hypertension.
  • Surgical – During and immediately following: (a) spinal puncture or spinal anesthesia or (b) major surgery, especially involving the brain, spinal cord, or eye.
  • Hematologic – Conditions associated with increased bleeding tendencies, such as hemophilia, thrombocytopenia, and some vascular purpuras.
  • Patients with hereditary antithrombin III deficiency receiving concurrent antithrombin III therapy – The anticoagulant effect of heparin is enhanced by concurrent treatment with antithrombin III (human) in patients with hereditary antithrombin III deficiency. To reduce the risk of bleeding, reduce the heparin dose during concomitant treatment with antithrombin III (human).
  • Gastrointestinal – Ulcerative lesions, continuous tube drainage of the stomach or small intestine, and clinical settings in which stress-induced gastrointestinal hemorrhage is possible.
  • Other – Menstruation, liver disease with impaired hemostasis, severe renal disease, or in patients with indwelling catheters.
2.4 Pediatric Use

Use preservative-free HEPARIN SODIUM INJECTION in neonates and infants.

There are no adequate and well controlled studies on heparin use in pediatric patients. Pediatric dosing recommendations are based on clinical experience. In general, the following dosage schedule may be used as a guideline in pediatric patients:

Initial Dose

75 units/kg to 100 units/kg ( intravenous bolus over 10 minutes)

Maintenance Dose

Infants: 25 units/kg/hour to 30 units/kg/hour;

              Infants less than 2 months have the highest requirements (average 28 units/kg/hour)

Children greater than 1 year of age: 18 units/kg/hour to 20 units/kg/hour;

Older children may require less heparin, similar to weight-adjusted adult dosage

Monitoring

Adjust heparin to maintain aPTT of 60 seconds to 85 seconds, assuming this reflects an anti-Factor Xa level of 0.35 to 0.70.

5.10 Hyperkalemia

Heparin can suppress adrenal secretion of aldosterone leading to hyperkalemia, particularly in patients with diabetes mellitus, chronic renal failure, pre-existing metabolic acidosis, a raised plasma potassium, or taking potassium sparing drugs. The risk of hyperkalemia appears to increase with duration of therapy but is usually reversible upon discontinuation of heparin.

Measure blood potassium in patients at risk of hyperkalemia before starting heparin therapy and periodically in all patients treated for more than 5 days or earlier as deemed fit by the clinician.

8.4 Pediatric Use

There are no adequate and well controlled studies on heparin use in pediatric patients. Pediatric dosing recommendations are based on clinical experience [see Dosage and Administration (2.4)].

Carefully examine all HEPARIN SODIUM INJECTION vials to confirm choice of the correct strength prior to administration of the drug. Pediatric patients, including neonates, have died as a result of medication errors [see Warnings and Precautions (5.1)].

8.5 Geriatric Use

There are limited adequate and well-controlled studies in patients 65 years and older, however a higher incidence of bleeding has been reported in patients over 60 years of age, especially women [see Warnings and Precautions (5.2)]. Lower doses of heparin may be indicated in these patients [see Clinical Pharmacology (12.3)].

4 Contraindications

The use of HEPARIN SODIUM INJECTION is contraindicated in patients:

  • History of heparin-induced thrombocytopenia and heparin-induced thrombocytopenia and thrombosis
  • History of thrombocytopenia with pentosan polysulfate
  • Known hypersensitivity to heparin or pork products (e.g., anaphylactoid reactions) [see Adverse Reactions (6.1)]
  • In whom suitable blood coagulation tests (e.g., whole-blood clotting time, partial thromboplastin time) cannot be performed at appropriate intervals. This contraindication refers to full-dose heparin regimens only; there is usually no need to monitor coagulation parameters in patients receiving low-dose heparin
  • An uncontrollable bleeding state [see Warnings and Precautions (5.2)], except when this is due to disseminated intravascular coagulation
6 Adverse Reactions

The following clinically significant adverse reactions are described elsewhere in the labeling:

7 Drug Interactions
  • Drugs that interfere with coagulation, platelet aggregation or drugs that counteract coagulation may induce bleeding (7.2)
  • Andexanet alfa may reduce the efficacy of heparin when used concomitantly (7.3)
5.6 Thrombocytopenia

Thrombocytopenia in patients receiving heparin has been reported at frequencies up to 30%. It can occur 2 to 20 days (average 5 to 9) following the onset of heparin therapy. Obtain platelet counts before and periodically during heparin therapy. Monitor thrombocytopenia of any degree closely. If the count falls below 100,000/mm3 or if recurrent thrombosis develops, promptly discontinue heparin, evaluate for HIT and HITT, and, if necessary, administer an alternative anticoagulant [see Warnings and Precautions (5.3)].

5.9 Hypersensitivity

Patients with documented hypersensitivity to heparin should be given the drug only in clearly life-threatening situations.

Because HEPARIN SODIUM INJECTION is derived from animal tissue, it should be used with caution in patients with a history of allergy.

12.2 Pharmacodynamics

Various times (activated clotting time, activated partial thromboplastin time, prothrombin time, whole blood clotting time) are prolonged by full therapeutic doses of heparin; in most cases, they are not measurably affected by low doses of heparin. The bleeding time is usually unaffected by heparin.

5.8 Heparin Resistance

Resistance to heparin is frequently encountered in fever, thrombosis, thrombophlebitis, infections with thrombosing tendencies, myocardial infarction, cancer, in postsurgical patients, and patients with antithrombin III deficiency. Close monitoring of coagulation tests is recommended in these cases. Adjustment of heparin doses based on anti-Factor Xa levels may be warranted.

7.4 Other Interactions

Digitalis, tetracyclines, nicotine, or antihistamines, or intravenous (IV) nitroglycerin may partially counteract the anticoagulant action of heparin sodium.

Antithrombin III (human) – The anticoagulant effect of heparin is enhanced by concurrent treatment with antithrombin III (human) in patients with hereditary antithrombin III deficiency. To reduce the risk of bleeding, a reduced dosage of heparin is recommended during treatment with antithrombin III (human).

1 Indications and Usage

HEPARIN SODIUM INJECTION is indicated for:

  • Prophylaxis and treatment of venous thrombosis and pulmonary embolism;
  • Prophylaxis and treatment of thromboembolic complications associated with atrial fibrillation;
  • Treatment of acute and chronic consumption coagulopathies (disseminated intravascular coagulation);
  • Prevention of clotting in arterial and cardiac surgery;
  • Prophylaxis and treatment of peripheral arterial embolism;
  • Anticoagulant use in blood transfusions, extracorporeal circulation, and dialysis procedures.
7.1 Oral Anticoagulants

Heparin sodium may prolong the one-stage prothrombin time. Therefore, when heparin sodium is given with dicumarol or warfarin sodium, a period of at least 5 hours after the last intravenous dose or 24 hours after the last subcutaneous dose should elapse before blood is drawn if a valid prothrombin time is to be obtained.

7.2 Platelet Inhibitors

Drugs such as NSAIDs (including salicylic acid, ibuprofen, indomethacin, and celecoxib), dextran, phenylbutazone, thienopyridines, dipyridamole, hydroxychloroquine, glycoprotein IIb/IIIa antagonists (including abciximab, eptifibatide, and tirofiban), and others that interfere with platelet-aggregation reactions (the main hemostatic defense of heparinized patients) may induce bleeding and should be used with caution in patients receiving heparin sodium.

12.1 Mechanism of Action

Heparin interacts with the naturally occurring plasma protein, Antithrombin III, to induce a conformational change, which markedly enhances the serine protease activity of Antithrombin III, thereby inhibiting the activated coagulation factors involved in the clotting sequence, particularly Xa and IIa. Small amounts of heparin inhibit Factor Xa, and larger amounts inhibit thrombin (Factor IIa). Heparin also prevents the formation of a stable fibrin clot by inhibiting the activation of the fibrin stabilizing factor. Heparin does not have fibrinolytic activity; therefore, it will not lyse existing clots.

2.5 Cardiovascular Surgery

Patients undergoing total body perfusion for open-heart surgery should receive an initial dose of not less than 150 units of heparin sodium per kilogram of body weight. Frequently, a dose of 300 units per kilogram is used for procedures estimated to last less than 60 minutes or 400 units per kilogram for those estimated to last longer than 60 minutes.

2.7 Converting to Warfarin

To ensure continuous anticoagulation when converting from HEPARIN SODIUM INJECTION to warfarin, continue full heparin therapy for several days until the INR (prothrombin time) has reached a stable therapeutic range. Heparin therapy may then be discontinued without tapering [see Drug Interactions (7.1)].

5 Warnings and Precautions

     

2 Dosage and Administration

Recommended Adult Dosages:

  • Therapeutic Anticoagulant Effect with Full-Dose Heparin* (2.3)

Deep Subcutaneous (Intrafat) Injection

Use a different site for each injection

Initial Dose

333 units/kg subcutaneously

Every 12 hours

250 units/kg subcutaneously

Intermittent

Intravenous Injection

Initial Dose

10,000 units

Every 4 to 6 hours

5,000 units to 10,000 units

Continuous

Intravenous Infusion

Initial Dose

5,000 units

Continuous

20,000 units/24 hours to 40,000 units/24 hours

* Based on 68 kg patient. Adjust dose based on laboratory monitoring.

  • Cardiovascular Surgery (2.5)

Intravascular via Total Body Perfusion

Initial Dose

not less than 150 units/kg;

adjust for longer procedures

  • Low-dose Prophylaxis of Postoperative Thromboembolism (2.6)

Deep Subcutaneous (Intrafat) Injection

Initial Dose

5,000 units 2 hours before surgery

Every 8 to 12 hours

5,000 units

  • Extracorporeal dialysis (2.9)

Intravascular via Extracorporeal Dialysis

25 units/kg to 30 units/kg followed by infusion rate of 1,500 units/hour to 2,000 units/hour if manufacturers' recommendations are not available

2.9 Extracorporeal Dialysis

Follow equipment manufacturers' operating directions carefully. A dose of 25 units/kg to 30 units/kg followed by an infusion rate of 1,500 units/hour to 2,000 units/hour is suggested based on pharmacodynamic data if specific manufacturers' recommendations are not available.

5.1 Fatal Medication Errors

Do not use HEPARIN SODIUM INJECTION as a "catheter lock flush" product. HEPARIN SODIUM INJECTION is supplied in vials containing various strengths of heparin, including vials that contain a highly concentrated solution of 10,000 units in 1 mL. Fatal hemorrhages have occurred due to medication errors. Carefully examine all HEPARIN SODIUM INJECTION vials to confirm the correct vial choice prior to administration of the drug.

3 Dosage Forms and Strengths

HEPARIN SODIUM INJECTION is available as:

  • 1,000 USP units/mL preservative-free, single-dose

              Vial: 2,000 USP units/2 mL
  • 1,000 USP units/mL preserved with benzyl alcohol, multiple-dose

              Vial: 10,000 USP units/10 mL

              Vial: 30,000 USP units/30 mL
  • 5,000 USP units/mL preserved with benzyl alcohol, multiple-dose

              Vial: 50,000 USP units/10 mL

              Vial: 5,000 USP units/1 mL
  • 10,000 USP units/mL preserved with benzyl alcohol, multiple-dose

              Vial: 10,000 USP units/1 mL
6.1 Postmarketing Experience

The following adverse reactions have been identified during post approval use of HEPARIN SODIUM INJECTION. Because these reactions are reported voluntarily from a population of uncertain size, it is not always possible to reliably estimate their frequency.

  • Hemorrhage – Hemorrhage is the chief complication that may result from heparin therapy [see Warnings and Precautions (5.2)]. Gastrointestinal or urinary tract bleeding during anticoagulant therapy may indicate the presence of an underlying occult lesion. Bleeding can occur at any site but certain specific hemorrhagic complications may be difficult to detect including:
    • -
      Adrenal hemorrhage, with resultant acute adrenal insufficiency, has occurred with heparin therapy, including fatal cases.
    • -
      Ovarian (corpus luteum) hemorrhage developed in a number of women of reproductive age receiving short- or long-term heparin therapy.
    • -
      Retroperitoneal hemorrhage.
  • HIT and HITT, including delayed onset cases [see Warnings and Precautions (5.3)].
  • Local irritation – Local irritation, erythema, mild pain, hematoma, or ulceration have occurred following deep subcutaneous (intrafat) injection of heparin sodium. Because such reactions occur more frequently after intramuscular administration, the IM route is not recommended.
  • Histamine-like reactions – Such reactions have been observed at the site of injection. Necrosis of the skin has been reported at the site of subcutaneous injection of heparin, occasionally requiring skin grafting [see Warnings and Precautions (5.3)].
  • Hypersensitivity – Generalized hypersensitivity reactions have been reported with chills, fever, and urticaria as the most usual manifestations; asthma, rhinitis, lacrimation, headache, nausea and vomiting, and anaphylactoid reactions, including shock, occur less frequently. Itching and burning, especially on the plantar site of the feet, may occur.
  • Metabolism and Nutrition Disorders – Hyperkalemia.
  • Elevations of serum aminotransferases – Significant elevations of aspartate aminotransferase (AST) and alanine aminotransferase (ALT) levels have occurred in patients who have received heparin.
  • Others – Osteoporosis following long-term administration of high doses of heparin, cutaneous necrosis after systemic administration, suppression of aldosterone synthesis, delayed transient alopecia, priapism, and rebound hyperlipemia on discontinuation of heparin sodium have been reported.
8 Use in Specific Populations
  • Pregnancy: Preservative-free formulation recommended (8.1)
  • Lactation: Preservative-free formulation recommended (8.2)
  • Pediatric Use: Use preservative-free formulation in neonates and infants (8.4)
2.1 Preparation for Administration

Confirm the choice of the correct HEPARIN SODIUM INJECTION vial to ensure that the 1 mL vial is not confused with a "catheter lock flush" vial or other 1 mL vial of incorrect strength [see Warnings and Precautions (5.1)]. Confirm the selection of the correct formulation and strength prior to administration of the drug.

Inspect parenteral drug products visually for particulate matter and discoloration prior to administration, whenever solution and container permit. Use only if solution is clear and the seal is intact. Do not use if solution is discolored or contains a precipitate.

When HEPARIN SODIUM INJECTION is added to an infusion solution for continuous intravenous (IV) administration, invert the container at least six times to ensure adequate mixing and prevent pooling of the heparin in the solution. Storage of prepared infusion solution should not exceed 4 hours at room temperature or 24 hours at 2° to 8°C (36° to 46°F). HEPARIN SODIUM INJECTION is incompatible with certain substances in solution (e.g., alteplase, amikacin sulfate, atracurium besylate, ciprofloxacin, cytarabine, daunorubicin, droperidol, erythromycin lactobionate, gentamicin sulfate, idarubicin, kanamycin sulfate, mitoxantrone HCl, polymyxin B sulfate, promethazine HCl, streptomycin sulfate, tobramycin sulfate). Consult specialized references to verify with which substances incompatibilities have been noted, as compatibility may depend on concentration, temperature, time, and other variables.

Administer HEPARIN SODIUM INJECTION by intermittent intravenous injection, intravenous infusion, or deep subcutaneous (intrafat, i.e., above the iliac crest or abdominal fat layer) injection. HEPARIN SODIUM INJECTION is not intended for intramuscular (IM) use [see Adverse Reactions (6.1)].

16 How Supplied/storage and Handling

HEPARIN SODIUM INJECTION preservative-free is available in the following strengths and package sizes:

DESCRIPTION

NDC

1,000 USP units/mL

       Preservative-free, 25 vials: 2,000 USP units/2 mL, single-dose

Discard unused portion

0069-0043-01

HEPARIN SODIUM INJECTION preserved with benzyl alcohol is available in the following strengths and package sizes:

DESCRIPTION

NDC

1,000 USP units/mL

       25 vials: 10,000 USP units/10 mL, multiple-dose

0069-0058-01

       10 vials: 30,000 USP units/30 mL, multiple-dose

0069-0137-03

5,000 USP units/mL

       25 vials: 50,000 USP units/10 mL, multiple-dose

0069-0059-01

       25 vials: 5,000 USP units/1 mL, multiple-dose

0069-0059-03

10,000 USP units/mL

       25 vials: 10,000 USP units/1 mL, multiple-dose

0069-0062-01

5.7 Coagulation Testing and Monitoring

When using a full dose heparin regimen, adjust the heparin dose based on frequent blood coagulation tests. If the coagulation test is unduly prolonged or if hemorrhage occurs, discontinue heparin promptly [see Overdosage (10)]. Periodically monitor platelet counts, hematocrit, and occult blood in stool during the entire course of heparin therapy, regardless of the route of administration [see Dosage and Administration (2.2)].

Principal Display Panel 30 Ml Vial Carton

Ten—30 mL Multidose Vials

NDC 0069-0137-03

Contains 10 of

NDC 0069-0137-01

HEPARIN

Sodium Injection, USP

30,000 USP units/30 mL

(1,000 USP units per mL)

Derived from porcine intestinal tissue

For subcutaneous or intravenous use

Pfizer Injectables

Warning: Contains Benzyl Alcohol

NOT for Lock Flush

Rx only

Multidose Vials

2.2 Laboratory Monitoring for Efficacy and Safety

Adjust the dosage of HEPARIN SODIUM INJECTION according to the patient's coagulation test results. Dosage is considered adequate when the activated partial thromboplastin time (aPTT) is 1.5 to 2 times normal or when the whole blood clotting time is elevated approximately 2.5 to 3 times the control value. When initiating treatment with HEPARIN SODIUM INJECTION by continuous intravenous infusion, determine the coagulation status (aPTT, INR, platelet count) at baseline and continue to follow aPTT approximately every 4 hours and then at appropriate intervals thereafter. When the drug is administered intermittently by intravenous injection, perform coagulation tests before each injection during initiation of treatment and at appropriate intervals thereafter. After deep subcutaneous injections, tests for adequacy of dosage are best performed on samples drawn 4 to 6 hours after the injections.

Periodically monitor platelet counts, hematocrit, and occult blood in stool during the entire course of HEPARIN SODIUM INJECTION therapy, regardless of the route of administration.

Principal Display Panel 1 Ml Multidose Vial Label

NDC 0069-0062-02

Multidose Vial

Heparin

Sodium Injection, USP

10,000 USP units / mL

Warning: Contains

Benzyl Alcohol

Rx only

Principal Display Panel 1 Ml Multidose Vial Carton

NDC 0069-0062-01

Contains 25 of

NDC 0069-0062-02

Rx only

Twenty-five—1 mL Multidose Vials

Heparin

Sodium Injection, USP

10,000 USP units /mL

Derived from porcine intestinal tissue

For subcutaneous or intravenous use

Warning: Contains Benzyl Alcohol

Pfizer Injectables

NOT for Lock Flush

Principal Display Panel 30 Ml Multidose Vial Label

NDC 0069-0137-01

HEPARIN

Sodium Injection, USP

30,000 USP units/30 mL

(1,000 USP units/mL)

Warning: Contains Benzyl Alcohol

Multidose Vial

NOT for Lock Flush

Principal Display Panel 2 Ml Single Dose Vial Label

NDC 0069-0043-02

Single Dose Vial

Heparin

Sodium Injection, USP

2,000 USP units / 2 mL

(1,000 USP units/mL)

Preservative-Free

Rx only

Principal Display Panel 2 Ml Single Dose Vial Carton

NDC 0069-0043-01

Contains 25 of

NDC 0069-0043-02

Twenty-five—2 mL Single Dose Vials

Heparin

Sodium Injection, USP

2,000 USP units /2 mL

(1,000 USP units per mL)

Derived from porcine intestinal tissue

For subcutaneous or intravenous use

Pfizer

Preservative-Free

NOT for Lock Flush

Rx only

13.1 Carcinogenesis, Mutagenesis, Impairment of Fertility

No long-term studies in animals have been performed to evaluate carcinogenic potential of heparin. No studies in animals have been performed addressing mutagenesis or impairment of fertility.

2.6 Low Dose Prophylaxis of Postoperative Thromboembolism

The most widely used dosage has been 5,000 units 2 hours before surgery and 5,000 units every 8 to 12 hours thereafter for 7 days or until the patient is fully ambulatory, whichever is longer. Administer the heparin by deep subcutaneous (intrafat, i.e., above the iliac crest or abdominal fat layer, arm, or thigh) injection with a fine (25 to 26-gauge) needle to minimize tissue trauma.

2.8 Converting to Oral Anticoagulants Other Than Warfarin

For patients currently receiving intravenous heparin, stop intravenous infusion of heparin sodium immediately after administering the first dose of oral anticoagulant; or for intermittent intravenous administration of heparin sodium, start oral anticoagulant 0 to 2 hours before the time that the next dose of heparin was to have been administered.

2.3 Therapeutic Anticoagulant Effect With Full Dose Heparin

The dosing recommendations in Table 1 are based on clinical experience. Although dosages must be adjusted for the individual patient according to the results of suitable laboratory tests, the following dosage schedules may be used as guidelines:

Table 1: Recommended Adult Full-Dose Heparin Regimens for Therapeutic Anticoagulant Effect

METHOD OF ADMINISTRATION

FREQUENCY

RECOMMENDED DOSE

Based on 68 kg patient

Deep Subcutaneous

(Intrafat) Injection



Use a different site for each injection to prevent the development of hematoma

Initial Dose

333 units/kg subcutaneously

Every 12 hours

250 units/kg subcutaneously

Intermittent Intravenous Injection

Initial Dose

10,000 units, either undiluted or in 50 mL to 100 mL of 0.9% Sodium Chloride Injection, USP

Every 4 to 6 hours

5,000 units to 10,000 units, either undiluted or in 50 mL to 100 mL of 0.9% Sodium Chloride Injection, USP

Continuous Intravenous Infusion

Initial Dose

5,000 units by intravenous injection

Continuous

20,000 units to 40,000 units per 24 hours in 1,000 mL of 0.9% Sodium Chloride Injection, USP (or in any compatible solution) for infusion

Principal Display Panel 10,000 Usp Units/10 Ml Multidose Vial Label

NDC 0069-0058-02

Multidose Vial

Heparin

Sodium Injection, USP

10,000 USP units /

10 mL

(1,000 USP units/mL)

Warning: Contains

Benzyl Alcohol

Rx only

Principal Display Panel 50,000 Usp Units/10 Ml Multidose Vial Label

NDC 0069-0059-02

Multidose Vial

Heparin

Sodium Injection, USP

50,000 USP units /

10 mL

(1,000 USP units/mL)

Warning: Contains

Benzyl Alcohol

Rx only

Principal Display Panel 10,000 Usp Units/10 Ml Multidose Vial Carton

NDC 0069-0058-01

Contains 25 of NDC 0069-0058-02

Rx only

Twenty-five—10 mL Multidose Vials

Heparin

Sodium Injection, USP

10,000 USP units/10 mL

(1,000 USP units per mL)

Derived from porcine intestinal tissue

For subcutaneous or intravenous use

Warning: Contains Benzyl Alcohol

NOT for Lock Flush

Pfizer Injectables

Principal Display Panel 50,000 Usp Units/10 Ml Multidose Vial Carton

NDC 0069-0059-01

Contains 25 of NDC 0069-0059-02

Rx only

Twenty-five—10 mL Multidose Vials

Heparin

Sodium Injection, USP

50,000 USP units/10 mL

(5,000 USP units per mL)

Derived from porcine intestinal tissue

For subcutaneous or intravenous use

Warning: Contains Benzyl Alcohol

NOT for Lock Flush

Pfizer Injectables

5.5 Unresponsiveness to Heparin With Concomitant Use With Andexanet Alfa

Unresponsiveness to unfractionated heparin leading to non-prolongation of activated clotting times and serious thrombotic events has occurred when unfractionated heparin was administered after use of andexanet alfa for the reversal of direct Factor Xa inhibitors (apixaban and rivaroxaban). Avoid use of heparin after use of andexanet alfa. Use an alternative anticoagulant to heparin [see Drug Interactions (7.3) ].

7.3 Unresponsiveness to Heparin With Concomitant Use With Andexanet Alfa

Andexanet binds to heparin-bound antithrombin III (ATIII) and may reduce the anticoagulant effect of heparin. Unresponsiveness to unfractionated heparin may lead to serious and life-threatening thrombotic events. Use of andexanet alfa as an antidote for heparin has not been established. Avoid use of heparin after use of andexanet alfa for the reversal of direct Factor Xa inhibitors (apixaban and rivaroxaban). If anticoagulation is needed, use an alternative anticoagulant to heparin [see Warnings and Precautions (5.5)].

5.4 Risk of Serious Adverse Reactions in Infants Due to Benzyl Alcohol Preservative

Use preservative-free HEPARIN SODIUM INJECTION in neonates and infants.

Serious and fatal adverse reactions including "gasping syndrome" can occur in neonates and low-birth weight infants treated with benzyl alcohol-preserved formulation in infusion solutions, including HEPARIN SODIUM INJECTION. The "gasping syndrome" is characterized by central nervous system depression, metabolic acidosis, and gasping respirations.

When prescribing HEPARIN SODIUM INJECTION in infants consider the combined daily metabolic load of benzyl alcohol from all sources including HEPARIN SODIUM INJECTION (HEPARIN SODIUM INJECTION contains 9.45 mg of benzyl alcohol per mL) and other drugs containing benzyl alcohol. The minimum amount of benzyl alcohol at which toxicity may occur is not known [see Use in Specific Populations (8.4)].

5.3 Heparin Induced Thrombocytopenia and Heparin Induced Thrombocytopenia and Thrombosis

Heparin-induced thrombocytopenia (HIT) is a serious antibody-mediated reaction resulting from irreversible aggregation of platelets. HIT occurs in patients treated with heparin and is due to the development of antibodies to a platelet Factor 4-heparin complex that induce in vivo platelet aggregation. HIT may progress to the development of venous and arterial thromboses, a condition known as heparin-induced thrombocytopenia and thrombosis (HITT). Thrombotic events may also be the initial presentation for HITT. These serious thromboembolic events include deep vein thrombosis, pulmonary embolism, cerebral vein thrombosis, limb ischemia, stroke, myocardial infarction, mesenteric thrombosis, renal arterial thrombosis, skin necrosis, gangrene of the extremities that may lead to amputation, and possibly death. Monitor thrombocytopenia of any degree closely. If the platelet count falls below 100,000/mm3 or if recurrent thrombosis develops, promptly discontinue heparin, evaluate for HIT and HITT, and, if necessary, administer an alternative anticoagulant. HIT and HITT can occur up to several weeks after the discontinuation of heparin therapy. Patients presenting with thrombocytopenia or thrombosis after discontinuation of heparin should be evaluated for HIT and HITT.


Structured Label Content

Section 42229-5 (42229-5)

Risk Summary

There are no available data on heparin sodium use in pregnant women to infor a drug associated risk of major birth defects and miscarriage. In published reports, heparin exposure during pregnancy did not show evidence of an increased risk of adverse maternal or fetal outcomes in humans. No teratogenicity, but early embryo-fetal death was observed in animal reproductive studies with administration of heparin sodium to pregnant rats and rabbits during organogenesis at doses approximately 10 times the maximum recommended human dose (MRHD) of 40,000 USP units/24 hours infusion (see Data). Consider the benefits and risks of HEPARIN SODIUM INJECTION to a pregnant woman and possible risks to the fetus when prescribing HEPARIN SODIUM INJECTION to a pregnant woman.

If available, preservative-free HEPARIN SODIUM INJECTION is recommended when heparin therapy is needed during pregnancy. There are no known adverse outcomes associated with fetal exposure to the preservative benzyl alcohol through maternal drug administration; however, the preservative benzyl alcohol can cause serious adverse events and death when administered intravenously to neonates and infants [see Use in Specific Populations (8.4)].

The estimated background risk of major birth defects and miscarriage for the indicated population is unknown. All pregnancies have a risk of birth defect, loss, or other adverse outcomes. In the U.S. general population, the estimated background risk of major birth defects and miscarriage in clinically recognized pregnancies is 2–4% and 15–20%, respectively.

Section 43683-2 (43683-2)

Warnings and Precautions, Unresponsiveness to Heparin with Concomitant Use with Andexanet Alfa (5.5)

9/2025

Section 44425-7 (44425-7)

Store at 20° to 25°C (68° to 77°F) [see USP Controlled Room Temperature]. Use only if solution is clear and the seal is intact. Do not use if solution is discolored or contains a precipitate.

10 Overdosage (10 OVERDOSAGE)

Bleeding is the chief sign of heparin overdosage.

11 Description (11 DESCRIPTION)

Heparin is a heterogenous group of straight-chain anionic mucopolysaccharides, called glycosaminoglycans, possessing anticoagulant properties. It is composed of polymers of alternating derivations of α-D-glucosamido (N-sulfated O-sulfated or N-acetylated) and O-sulfated uronic acid (α-L-iduronic acid or β-D-glucuronic acid).

Structure of heparin sodium (representative subunits):

HEPARIN SODIUM INJECTION is a sterile preparation of heparin sodium derived from porcine intestinal tissue, standardized for anticoagulant activity, in water for injection. It is intended for intravenous or deep subcutaneous administration. The potency is determined by a biological assay using a USP reference standard based on units of heparin activity per milligram.

For formulations preserved with benzyl alcohol, each mL of the 1,000 UPS units and 5,000 USP units per mL preparations contains: heparin sodium 1,000 UPS units or 5,000 USP units; 9 mg sodium chloride; 9.45 mg benzyl alcohol added as preservative. Each mL of the 10,000 USP units per mL preparations contains: heparin sodium 10,000 USP units; 9.45 mg benzyl alcohol added as preservative.

The preservative-free product contains (per mL): 1,000 USP units of heparin sodium and 9 mg sodium chloride.

When necessary, the pH of HEPARIN SODIUM INJECTION is adjusted with hydrochloric acid and/or sodium hydroxide. The pH range is 5.0 to 7.5.

5.2 Hemorrhage

Avoid using heparin in the presence of major bleeding, except when the benefits of heparin therapy outweigh the potential risks.

Hemorrhage, including fatal events, has occurred in patients receiving heparin. Hemorrhage can occur at virtually any site in patients receiving heparin. Adrenal hemorrhage (with resultant acute adrenal insufficiency), ovarian hemorrhage, and retroperitoneal hemorrhage have occurred during anticoagulant therapy with heparin [see Adverse Reactions (6.1]). A higher incidence of bleeding has been reported in patients, particularly women, over 60 years of age [see Clinical Pharmacology (12.3)]. An unexplained fall in hematocrit or fall in blood pressure should lead to serious consideration of a hemorrhagic event.

Use heparin sodium with caution in disease states in which there is increased risk of hemorrhage, including:

  • Cardiovascular – Subacute bacterial endocarditis, severe hypertension.
  • Surgical – During and immediately following: (a) spinal puncture or spinal anesthesia or (b) major surgery, especially involving the brain, spinal cord, or eye.
  • Hematologic – Conditions associated with increased bleeding tendencies, such as hemophilia, thrombocytopenia, and some vascular purpuras.
  • Patients with hereditary antithrombin III deficiency receiving concurrent antithrombin III therapy – The anticoagulant effect of heparin is enhanced by concurrent treatment with antithrombin III (human) in patients with hereditary antithrombin III deficiency. To reduce the risk of bleeding, reduce the heparin dose during concomitant treatment with antithrombin III (human).
  • Gastrointestinal – Ulcerative lesions, continuous tube drainage of the stomach or small intestine, and clinical settings in which stress-induced gastrointestinal hemorrhage is possible.
  • Other – Menstruation, liver disease with impaired hemostasis, severe renal disease, or in patients with indwelling catheters.
2.4 Pediatric Use

Use preservative-free HEPARIN SODIUM INJECTION in neonates and infants.

There are no adequate and well controlled studies on heparin use in pediatric patients. Pediatric dosing recommendations are based on clinical experience. In general, the following dosage schedule may be used as a guideline in pediatric patients:

Initial Dose

75 units/kg to 100 units/kg ( intravenous bolus over 10 minutes)

Maintenance Dose

Infants: 25 units/kg/hour to 30 units/kg/hour;

              Infants less than 2 months have the highest requirements (average 28 units/kg/hour)

Children greater than 1 year of age: 18 units/kg/hour to 20 units/kg/hour;

Older children may require less heparin, similar to weight-adjusted adult dosage

Monitoring

Adjust heparin to maintain aPTT of 60 seconds to 85 seconds, assuming this reflects an anti-Factor Xa level of 0.35 to 0.70.

5.10 Hyperkalemia

Heparin can suppress adrenal secretion of aldosterone leading to hyperkalemia, particularly in patients with diabetes mellitus, chronic renal failure, pre-existing metabolic acidosis, a raised plasma potassium, or taking potassium sparing drugs. The risk of hyperkalemia appears to increase with duration of therapy but is usually reversible upon discontinuation of heparin.

Measure blood potassium in patients at risk of hyperkalemia before starting heparin therapy and periodically in all patients treated for more than 5 days or earlier as deemed fit by the clinician.

8.4 Pediatric Use

There are no adequate and well controlled studies on heparin use in pediatric patients. Pediatric dosing recommendations are based on clinical experience [see Dosage and Administration (2.4)].

Carefully examine all HEPARIN SODIUM INJECTION vials to confirm choice of the correct strength prior to administration of the drug. Pediatric patients, including neonates, have died as a result of medication errors [see Warnings and Precautions (5.1)].

8.5 Geriatric Use

There are limited adequate and well-controlled studies in patients 65 years and older, however a higher incidence of bleeding has been reported in patients over 60 years of age, especially women [see Warnings and Precautions (5.2)]. Lower doses of heparin may be indicated in these patients [see Clinical Pharmacology (12.3)].

4 Contraindications (4 CONTRAINDICATIONS)

The use of HEPARIN SODIUM INJECTION is contraindicated in patients:

  • History of heparin-induced thrombocytopenia and heparin-induced thrombocytopenia and thrombosis
  • History of thrombocytopenia with pentosan polysulfate
  • Known hypersensitivity to heparin or pork products (e.g., anaphylactoid reactions) [see Adverse Reactions (6.1)]
  • In whom suitable blood coagulation tests (e.g., whole-blood clotting time, partial thromboplastin time) cannot be performed at appropriate intervals. This contraindication refers to full-dose heparin regimens only; there is usually no need to monitor coagulation parameters in patients receiving low-dose heparin
  • An uncontrollable bleeding state [see Warnings and Precautions (5.2)], except when this is due to disseminated intravascular coagulation
6 Adverse Reactions (6 ADVERSE REACTIONS)

The following clinically significant adverse reactions are described elsewhere in the labeling:

7 Drug Interactions (7 DRUG INTERACTIONS)
  • Drugs that interfere with coagulation, platelet aggregation or drugs that counteract coagulation may induce bleeding (7.2)
  • Andexanet alfa may reduce the efficacy of heparin when used concomitantly (7.3)
5.6 Thrombocytopenia

Thrombocytopenia in patients receiving heparin has been reported at frequencies up to 30%. It can occur 2 to 20 days (average 5 to 9) following the onset of heparin therapy. Obtain platelet counts before and periodically during heparin therapy. Monitor thrombocytopenia of any degree closely. If the count falls below 100,000/mm3 or if recurrent thrombosis develops, promptly discontinue heparin, evaluate for HIT and HITT, and, if necessary, administer an alternative anticoagulant [see Warnings and Precautions (5.3)].

5.9 Hypersensitivity

Patients with documented hypersensitivity to heparin should be given the drug only in clearly life-threatening situations.

Because HEPARIN SODIUM INJECTION is derived from animal tissue, it should be used with caution in patients with a history of allergy.

12.2 Pharmacodynamics

Various times (activated clotting time, activated partial thromboplastin time, prothrombin time, whole blood clotting time) are prolonged by full therapeutic doses of heparin; in most cases, they are not measurably affected by low doses of heparin. The bleeding time is usually unaffected by heparin.

5.8 Heparin Resistance

Resistance to heparin is frequently encountered in fever, thrombosis, thrombophlebitis, infections with thrombosing tendencies, myocardial infarction, cancer, in postsurgical patients, and patients with antithrombin III deficiency. Close monitoring of coagulation tests is recommended in these cases. Adjustment of heparin doses based on anti-Factor Xa levels may be warranted.

7.4 Other Interactions

Digitalis, tetracyclines, nicotine, or antihistamines, or intravenous (IV) nitroglycerin may partially counteract the anticoagulant action of heparin sodium.

Antithrombin III (human) – The anticoagulant effect of heparin is enhanced by concurrent treatment with antithrombin III (human) in patients with hereditary antithrombin III deficiency. To reduce the risk of bleeding, a reduced dosage of heparin is recommended during treatment with antithrombin III (human).

1 Indications and Usage (1 INDICATIONS AND USAGE)

HEPARIN SODIUM INJECTION is indicated for:

  • Prophylaxis and treatment of venous thrombosis and pulmonary embolism;
  • Prophylaxis and treatment of thromboembolic complications associated with atrial fibrillation;
  • Treatment of acute and chronic consumption coagulopathies (disseminated intravascular coagulation);
  • Prevention of clotting in arterial and cardiac surgery;
  • Prophylaxis and treatment of peripheral arterial embolism;
  • Anticoagulant use in blood transfusions, extracorporeal circulation, and dialysis procedures.
7.1 Oral Anticoagulants

Heparin sodium may prolong the one-stage prothrombin time. Therefore, when heparin sodium is given with dicumarol or warfarin sodium, a period of at least 5 hours after the last intravenous dose or 24 hours after the last subcutaneous dose should elapse before blood is drawn if a valid prothrombin time is to be obtained.

7.2 Platelet Inhibitors

Drugs such as NSAIDs (including salicylic acid, ibuprofen, indomethacin, and celecoxib), dextran, phenylbutazone, thienopyridines, dipyridamole, hydroxychloroquine, glycoprotein IIb/IIIa antagonists (including abciximab, eptifibatide, and tirofiban), and others that interfere with platelet-aggregation reactions (the main hemostatic defense of heparinized patients) may induce bleeding and should be used with caution in patients receiving heparin sodium.

12.1 Mechanism of Action

Heparin interacts with the naturally occurring plasma protein, Antithrombin III, to induce a conformational change, which markedly enhances the serine protease activity of Antithrombin III, thereby inhibiting the activated coagulation factors involved in the clotting sequence, particularly Xa and IIa. Small amounts of heparin inhibit Factor Xa, and larger amounts inhibit thrombin (Factor IIa). Heparin also prevents the formation of a stable fibrin clot by inhibiting the activation of the fibrin stabilizing factor. Heparin does not have fibrinolytic activity; therefore, it will not lyse existing clots.

2.5 Cardiovascular Surgery

Patients undergoing total body perfusion for open-heart surgery should receive an initial dose of not less than 150 units of heparin sodium per kilogram of body weight. Frequently, a dose of 300 units per kilogram is used for procedures estimated to last less than 60 minutes or 400 units per kilogram for those estimated to last longer than 60 minutes.

2.7 Converting to Warfarin

To ensure continuous anticoagulation when converting from HEPARIN SODIUM INJECTION to warfarin, continue full heparin therapy for several days until the INR (prothrombin time) has reached a stable therapeutic range. Heparin therapy may then be discontinued without tapering [see Drug Interactions (7.1)].

5 Warnings and Precautions (5 WARNINGS AND PRECAUTIONS)

     

2 Dosage and Administration (2 DOSAGE AND ADMINISTRATION)

Recommended Adult Dosages:

  • Therapeutic Anticoagulant Effect with Full-Dose Heparin* (2.3)

Deep Subcutaneous (Intrafat) Injection

Use a different site for each injection

Initial Dose

333 units/kg subcutaneously

Every 12 hours

250 units/kg subcutaneously

Intermittent

Intravenous Injection

Initial Dose

10,000 units

Every 4 to 6 hours

5,000 units to 10,000 units

Continuous

Intravenous Infusion

Initial Dose

5,000 units

Continuous

20,000 units/24 hours to 40,000 units/24 hours

* Based on 68 kg patient. Adjust dose based on laboratory monitoring.

  • Cardiovascular Surgery (2.5)

Intravascular via Total Body Perfusion

Initial Dose

not less than 150 units/kg;

adjust for longer procedures

  • Low-dose Prophylaxis of Postoperative Thromboembolism (2.6)

Deep Subcutaneous (Intrafat) Injection

Initial Dose

5,000 units 2 hours before surgery

Every 8 to 12 hours

5,000 units

  • Extracorporeal dialysis (2.9)

Intravascular via Extracorporeal Dialysis

25 units/kg to 30 units/kg followed by infusion rate of 1,500 units/hour to 2,000 units/hour if manufacturers' recommendations are not available

2.9 Extracorporeal Dialysis

Follow equipment manufacturers' operating directions carefully. A dose of 25 units/kg to 30 units/kg followed by an infusion rate of 1,500 units/hour to 2,000 units/hour is suggested based on pharmacodynamic data if specific manufacturers' recommendations are not available.

5.1 Fatal Medication Errors

Do not use HEPARIN SODIUM INJECTION as a "catheter lock flush" product. HEPARIN SODIUM INJECTION is supplied in vials containing various strengths of heparin, including vials that contain a highly concentrated solution of 10,000 units in 1 mL. Fatal hemorrhages have occurred due to medication errors. Carefully examine all HEPARIN SODIUM INJECTION vials to confirm the correct vial choice prior to administration of the drug.

3 Dosage Forms and Strengths (3 DOSAGE FORMS AND STRENGTHS)

HEPARIN SODIUM INJECTION is available as:

  • 1,000 USP units/mL preservative-free, single-dose

              Vial: 2,000 USP units/2 mL
  • 1,000 USP units/mL preserved with benzyl alcohol, multiple-dose

              Vial: 10,000 USP units/10 mL

              Vial: 30,000 USP units/30 mL
  • 5,000 USP units/mL preserved with benzyl alcohol, multiple-dose

              Vial: 50,000 USP units/10 mL

              Vial: 5,000 USP units/1 mL
  • 10,000 USP units/mL preserved with benzyl alcohol, multiple-dose

              Vial: 10,000 USP units/1 mL
6.1 Postmarketing Experience

The following adverse reactions have been identified during post approval use of HEPARIN SODIUM INJECTION. Because these reactions are reported voluntarily from a population of uncertain size, it is not always possible to reliably estimate their frequency.

  • Hemorrhage – Hemorrhage is the chief complication that may result from heparin therapy [see Warnings and Precautions (5.2)]. Gastrointestinal or urinary tract bleeding during anticoagulant therapy may indicate the presence of an underlying occult lesion. Bleeding can occur at any site but certain specific hemorrhagic complications may be difficult to detect including:
    • -
      Adrenal hemorrhage, with resultant acute adrenal insufficiency, has occurred with heparin therapy, including fatal cases.
    • -
      Ovarian (corpus luteum) hemorrhage developed in a number of women of reproductive age receiving short- or long-term heparin therapy.
    • -
      Retroperitoneal hemorrhage.
  • HIT and HITT, including delayed onset cases [see Warnings and Precautions (5.3)].
  • Local irritation – Local irritation, erythema, mild pain, hematoma, or ulceration have occurred following deep subcutaneous (intrafat) injection of heparin sodium. Because such reactions occur more frequently after intramuscular administration, the IM route is not recommended.
  • Histamine-like reactions – Such reactions have been observed at the site of injection. Necrosis of the skin has been reported at the site of subcutaneous injection of heparin, occasionally requiring skin grafting [see Warnings and Precautions (5.3)].
  • Hypersensitivity – Generalized hypersensitivity reactions have been reported with chills, fever, and urticaria as the most usual manifestations; asthma, rhinitis, lacrimation, headache, nausea and vomiting, and anaphylactoid reactions, including shock, occur less frequently. Itching and burning, especially on the plantar site of the feet, may occur.
  • Metabolism and Nutrition Disorders – Hyperkalemia.
  • Elevations of serum aminotransferases – Significant elevations of aspartate aminotransferase (AST) and alanine aminotransferase (ALT) levels have occurred in patients who have received heparin.
  • Others – Osteoporosis following long-term administration of high doses of heparin, cutaneous necrosis after systemic administration, suppression of aldosterone synthesis, delayed transient alopecia, priapism, and rebound hyperlipemia on discontinuation of heparin sodium have been reported.
8 Use in Specific Populations (8 USE IN SPECIFIC POPULATIONS)
  • Pregnancy: Preservative-free formulation recommended (8.1)
  • Lactation: Preservative-free formulation recommended (8.2)
  • Pediatric Use: Use preservative-free formulation in neonates and infants (8.4)
2.1 Preparation for Administration

Confirm the choice of the correct HEPARIN SODIUM INJECTION vial to ensure that the 1 mL vial is not confused with a "catheter lock flush" vial or other 1 mL vial of incorrect strength [see Warnings and Precautions (5.1)]. Confirm the selection of the correct formulation and strength prior to administration of the drug.

Inspect parenteral drug products visually for particulate matter and discoloration prior to administration, whenever solution and container permit. Use only if solution is clear and the seal is intact. Do not use if solution is discolored or contains a precipitate.

When HEPARIN SODIUM INJECTION is added to an infusion solution for continuous intravenous (IV) administration, invert the container at least six times to ensure adequate mixing and prevent pooling of the heparin in the solution. Storage of prepared infusion solution should not exceed 4 hours at room temperature or 24 hours at 2° to 8°C (36° to 46°F). HEPARIN SODIUM INJECTION is incompatible with certain substances in solution (e.g., alteplase, amikacin sulfate, atracurium besylate, ciprofloxacin, cytarabine, daunorubicin, droperidol, erythromycin lactobionate, gentamicin sulfate, idarubicin, kanamycin sulfate, mitoxantrone HCl, polymyxin B sulfate, promethazine HCl, streptomycin sulfate, tobramycin sulfate). Consult specialized references to verify with which substances incompatibilities have been noted, as compatibility may depend on concentration, temperature, time, and other variables.

Administer HEPARIN SODIUM INJECTION by intermittent intravenous injection, intravenous infusion, or deep subcutaneous (intrafat, i.e., above the iliac crest or abdominal fat layer) injection. HEPARIN SODIUM INJECTION is not intended for intramuscular (IM) use [see Adverse Reactions (6.1)].

16 How Supplied/storage and Handling (16 HOW SUPPLIED/STORAGE AND HANDLING)

HEPARIN SODIUM INJECTION preservative-free is available in the following strengths and package sizes:

DESCRIPTION

NDC

1,000 USP units/mL

       Preservative-free, 25 vials: 2,000 USP units/2 mL, single-dose

Discard unused portion

0069-0043-01

HEPARIN SODIUM INJECTION preserved with benzyl alcohol is available in the following strengths and package sizes:

DESCRIPTION

NDC

1,000 USP units/mL

       25 vials: 10,000 USP units/10 mL, multiple-dose

0069-0058-01

       10 vials: 30,000 USP units/30 mL, multiple-dose

0069-0137-03

5,000 USP units/mL

       25 vials: 50,000 USP units/10 mL, multiple-dose

0069-0059-01

       25 vials: 5,000 USP units/1 mL, multiple-dose

0069-0059-03

10,000 USP units/mL

       25 vials: 10,000 USP units/1 mL, multiple-dose

0069-0062-01

5.7 Coagulation Testing and Monitoring

When using a full dose heparin regimen, adjust the heparin dose based on frequent blood coagulation tests. If the coagulation test is unduly prolonged or if hemorrhage occurs, discontinue heparin promptly [see Overdosage (10)]. Periodically monitor platelet counts, hematocrit, and occult blood in stool during the entire course of heparin therapy, regardless of the route of administration [see Dosage and Administration (2.2)].

Principal Display Panel 30 Ml Vial Carton (PRINCIPAL DISPLAY PANEL - 30 mL Vial Carton)

Ten—30 mL Multidose Vials

NDC 0069-0137-03

Contains 10 of

NDC 0069-0137-01

HEPARIN

Sodium Injection, USP

30,000 USP units/30 mL

(1,000 USP units per mL)

Derived from porcine intestinal tissue

For subcutaneous or intravenous use

Pfizer Injectables

Warning: Contains Benzyl Alcohol

NOT for Lock Flush

Rx only

Multidose Vials

2.2 Laboratory Monitoring for Efficacy and Safety

Adjust the dosage of HEPARIN SODIUM INJECTION according to the patient's coagulation test results. Dosage is considered adequate when the activated partial thromboplastin time (aPTT) is 1.5 to 2 times normal or when the whole blood clotting time is elevated approximately 2.5 to 3 times the control value. When initiating treatment with HEPARIN SODIUM INJECTION by continuous intravenous infusion, determine the coagulation status (aPTT, INR, platelet count) at baseline and continue to follow aPTT approximately every 4 hours and then at appropriate intervals thereafter. When the drug is administered intermittently by intravenous injection, perform coagulation tests before each injection during initiation of treatment and at appropriate intervals thereafter. After deep subcutaneous injections, tests for adequacy of dosage are best performed on samples drawn 4 to 6 hours after the injections.

Periodically monitor platelet counts, hematocrit, and occult blood in stool during the entire course of HEPARIN SODIUM INJECTION therapy, regardless of the route of administration.

Principal Display Panel 1 Ml Multidose Vial Label (PRINCIPAL DISPLAY PANEL - 1 mL Multidose Vial Label)

NDC 0069-0062-02

Multidose Vial

Heparin

Sodium Injection, USP

10,000 USP units / mL

Warning: Contains

Benzyl Alcohol

Rx only

Principal Display Panel 1 Ml Multidose Vial Carton (PRINCIPAL DISPLAY PANEL - 1 mL Multidose Vial Carton)

NDC 0069-0062-01

Contains 25 of

NDC 0069-0062-02

Rx only

Twenty-five—1 mL Multidose Vials

Heparin

Sodium Injection, USP

10,000 USP units /mL

Derived from porcine intestinal tissue

For subcutaneous or intravenous use

Warning: Contains Benzyl Alcohol

Pfizer Injectables

NOT for Lock Flush

Principal Display Panel 30 Ml Multidose Vial Label (PRINCIPAL DISPLAY PANEL - 30 mL Multidose Vial Label)

NDC 0069-0137-01

HEPARIN

Sodium Injection, USP

30,000 USP units/30 mL

(1,000 USP units/mL)

Warning: Contains Benzyl Alcohol

Multidose Vial

NOT for Lock Flush

Principal Display Panel 2 Ml Single Dose Vial Label (PRINCIPAL DISPLAY PANEL - 2 mL Single Dose Vial Label)

NDC 0069-0043-02

Single Dose Vial

Heparin

Sodium Injection, USP

2,000 USP units / 2 mL

(1,000 USP units/mL)

Preservative-Free

Rx only

Principal Display Panel 2 Ml Single Dose Vial Carton (PRINCIPAL DISPLAY PANEL - 2 mL Single Dose Vial Carton)

NDC 0069-0043-01

Contains 25 of

NDC 0069-0043-02

Twenty-five—2 mL Single Dose Vials

Heparin

Sodium Injection, USP

2,000 USP units /2 mL

(1,000 USP units per mL)

Derived from porcine intestinal tissue

For subcutaneous or intravenous use

Pfizer

Preservative-Free

NOT for Lock Flush

Rx only

13.1 Carcinogenesis, Mutagenesis, Impairment of Fertility

No long-term studies in animals have been performed to evaluate carcinogenic potential of heparin. No studies in animals have been performed addressing mutagenesis or impairment of fertility.

2.6 Low Dose Prophylaxis of Postoperative Thromboembolism (2.6 Low-Dose Prophylaxis of Postoperative Thromboembolism)

The most widely used dosage has been 5,000 units 2 hours before surgery and 5,000 units every 8 to 12 hours thereafter for 7 days or until the patient is fully ambulatory, whichever is longer. Administer the heparin by deep subcutaneous (intrafat, i.e., above the iliac crest or abdominal fat layer, arm, or thigh) injection with a fine (25 to 26-gauge) needle to minimize tissue trauma.

2.8 Converting to Oral Anticoagulants Other Than Warfarin (2.8 Converting to Oral Anticoagulants other than Warfarin)

For patients currently receiving intravenous heparin, stop intravenous infusion of heparin sodium immediately after administering the first dose of oral anticoagulant; or for intermittent intravenous administration of heparin sodium, start oral anticoagulant 0 to 2 hours before the time that the next dose of heparin was to have been administered.

2.3 Therapeutic Anticoagulant Effect With Full Dose Heparin (2.3 Therapeutic Anticoagulant Effect with Full-Dose Heparin)

The dosing recommendations in Table 1 are based on clinical experience. Although dosages must be adjusted for the individual patient according to the results of suitable laboratory tests, the following dosage schedules may be used as guidelines:

Table 1: Recommended Adult Full-Dose Heparin Regimens for Therapeutic Anticoagulant Effect

METHOD OF ADMINISTRATION

FREQUENCY

RECOMMENDED DOSE

Based on 68 kg patient

Deep Subcutaneous

(Intrafat) Injection



Use a different site for each injection to prevent the development of hematoma

Initial Dose

333 units/kg subcutaneously

Every 12 hours

250 units/kg subcutaneously

Intermittent Intravenous Injection

Initial Dose

10,000 units, either undiluted or in 50 mL to 100 mL of 0.9% Sodium Chloride Injection, USP

Every 4 to 6 hours

5,000 units to 10,000 units, either undiluted or in 50 mL to 100 mL of 0.9% Sodium Chloride Injection, USP

Continuous Intravenous Infusion

Initial Dose

5,000 units by intravenous injection

Continuous

20,000 units to 40,000 units per 24 hours in 1,000 mL of 0.9% Sodium Chloride Injection, USP (or in any compatible solution) for infusion

Principal Display Panel 10,000 Usp Units/10 Ml Multidose Vial Label (PRINCIPAL DISPLAY PANEL - 10,000 USP units/10 mL Multidose Vial Label)

NDC 0069-0058-02

Multidose Vial

Heparin

Sodium Injection, USP

10,000 USP units /

10 mL

(1,000 USP units/mL)

Warning: Contains

Benzyl Alcohol

Rx only

Principal Display Panel 50,000 Usp Units/10 Ml Multidose Vial Label (PRINCIPAL DISPLAY PANEL - 50,000 USP units/10 mL Multidose Vial Label)

NDC 0069-0059-02

Multidose Vial

Heparin

Sodium Injection, USP

50,000 USP units /

10 mL

(1,000 USP units/mL)

Warning: Contains

Benzyl Alcohol

Rx only

Principal Display Panel 10,000 Usp Units/10 Ml Multidose Vial Carton (PRINCIPAL DISPLAY PANEL - 10,000 USP units/10 mL Multidose Vial Carton)

NDC 0069-0058-01

Contains 25 of NDC 0069-0058-02

Rx only

Twenty-five—10 mL Multidose Vials

Heparin

Sodium Injection, USP

10,000 USP units/10 mL

(1,000 USP units per mL)

Derived from porcine intestinal tissue

For subcutaneous or intravenous use

Warning: Contains Benzyl Alcohol

NOT for Lock Flush

Pfizer Injectables

Principal Display Panel 50,000 Usp Units/10 Ml Multidose Vial Carton (PRINCIPAL DISPLAY PANEL - 50,000 USP units/10 mL Multidose Vial Carton)

NDC 0069-0059-01

Contains 25 of NDC 0069-0059-02

Rx only

Twenty-five—10 mL Multidose Vials

Heparin

Sodium Injection, USP

50,000 USP units/10 mL

(5,000 USP units per mL)

Derived from porcine intestinal tissue

For subcutaneous or intravenous use

Warning: Contains Benzyl Alcohol

NOT for Lock Flush

Pfizer Injectables

5.5 Unresponsiveness to Heparin With Concomitant Use With Andexanet Alfa (5.5 Unresponsiveness to Heparin with Concomitant Use with Andexanet Alfa)

Unresponsiveness to unfractionated heparin leading to non-prolongation of activated clotting times and serious thrombotic events has occurred when unfractionated heparin was administered after use of andexanet alfa for the reversal of direct Factor Xa inhibitors (apixaban and rivaroxaban). Avoid use of heparin after use of andexanet alfa. Use an alternative anticoagulant to heparin [see Drug Interactions (7.3) ].

7.3 Unresponsiveness to Heparin With Concomitant Use With Andexanet Alfa (7.3 Unresponsiveness to Heparin with Concomitant Use with Andexanet Alfa)

Andexanet binds to heparin-bound antithrombin III (ATIII) and may reduce the anticoagulant effect of heparin. Unresponsiveness to unfractionated heparin may lead to serious and life-threatening thrombotic events. Use of andexanet alfa as an antidote for heparin has not been established. Avoid use of heparin after use of andexanet alfa for the reversal of direct Factor Xa inhibitors (apixaban and rivaroxaban). If anticoagulation is needed, use an alternative anticoagulant to heparin [see Warnings and Precautions (5.5)].

5.4 Risk of Serious Adverse Reactions in Infants Due to Benzyl Alcohol Preservative (5.4 Risk of Serious Adverse Reactions in Infants due to Benzyl Alcohol Preservative)

Use preservative-free HEPARIN SODIUM INJECTION in neonates and infants.

Serious and fatal adverse reactions including "gasping syndrome" can occur in neonates and low-birth weight infants treated with benzyl alcohol-preserved formulation in infusion solutions, including HEPARIN SODIUM INJECTION. The "gasping syndrome" is characterized by central nervous system depression, metabolic acidosis, and gasping respirations.

When prescribing HEPARIN SODIUM INJECTION in infants consider the combined daily metabolic load of benzyl alcohol from all sources including HEPARIN SODIUM INJECTION (HEPARIN SODIUM INJECTION contains 9.45 mg of benzyl alcohol per mL) and other drugs containing benzyl alcohol. The minimum amount of benzyl alcohol at which toxicity may occur is not known [see Use in Specific Populations (8.4)].

5.3 Heparin Induced Thrombocytopenia and Heparin Induced Thrombocytopenia and Thrombosis (5.3 Heparin-Induced Thrombocytopenia and Heparin-Induced Thrombocytopenia and Thrombosis)

Heparin-induced thrombocytopenia (HIT) is a serious antibody-mediated reaction resulting from irreversible aggregation of platelets. HIT occurs in patients treated with heparin and is due to the development of antibodies to a platelet Factor 4-heparin complex that induce in vivo platelet aggregation. HIT may progress to the development of venous and arterial thromboses, a condition known as heparin-induced thrombocytopenia and thrombosis (HITT). Thrombotic events may also be the initial presentation for HITT. These serious thromboembolic events include deep vein thrombosis, pulmonary embolism, cerebral vein thrombosis, limb ischemia, stroke, myocardial infarction, mesenteric thrombosis, renal arterial thrombosis, skin necrosis, gangrene of the extremities that may lead to amputation, and possibly death. Monitor thrombocytopenia of any degree closely. If the platelet count falls below 100,000/mm3 or if recurrent thrombosis develops, promptly discontinue heparin, evaluate for HIT and HITT, and, if necessary, administer an alternative anticoagulant. HIT and HITT can occur up to several weeks after the discontinuation of heparin therapy. Patients presenting with thrombocytopenia or thrombosis after discontinuation of heparin should be evaluated for HIT and HITT.


Advanced Ingredient Data


Raw Label Data

All Sections (JSON)