These Highlights Do Not Include All The Information Needed To Use Levoleucovorin For Injection Safely And Effectively. See Full Prescribing Information For Levoleucovorin For Injection.

These Highlights Do Not Include All The Information Needed To Use Levoleucovorin For Injection Safely And Effectively. See Full Prescribing Information For Levoleucovorin For Injection.
SPL v8
SPL
SPL Set ID 54f01988-aac2-4b0e-9d20-b7f621a0cd50
Route
INTRAVENOUS
Published
Effective Date 2021-04-07
Document Type 34391-3 HUMAN PRESCRIPTION DRUG LABEL

Drug Facts

Composition & Product

Active Ingredients
Levoleucovorin (50 mg)
Inactive Ingredients
Mannitol Hydrochloric Acid Sodium Hydroxide

Identifiers & Packaging

Marketing Status
ANDA Active Since 2016-07-07

Description

Indication and Usage (1)                                       01/2020      Dosage and Administration (2)                              11/2020      Contraindications (4)                                             01/2020      Warning and Precautions (5)                                 01/2020

Indications and Usage

Levoleucovorin for Injection is indicated for: rescue after high-dose methotrexate therapy in adult and pediatric patients with osteosarcoma. diminishing the toxicity associated with overdosage of folic acid antagonists or impaired methotrexate elimination in adult and pediatric patients. the treatment of adults with metastatic colorectal cancer in combination with fluorouracil. Limitations of Use Levoleucovorin for Injection is not indicated for pernicious anemia and megaloblastic anemia secondary to the lack of vitamin B12, because of the risk of progression of neurologic manifestations despite hematologic remission.

Dosage and Administration

For intravenous administration only. Do not administer intrathecally. ( 2.1 ) Rescue After High-Dose Methotrexate Therapy Rescue recommendations are based on methotrexate dose of 12 grams/m 2 administered by intravenous infusion over 4 hours. Initiate rescue at a dose of 7.5 mg (approximately 5 mg/m 2 ) every 6 hours, 24 hours after the beginning of methotrexate infusion. ( 2.2 ) Continue until the methotrexate level is below 5 x 10 -8 M (0.05 micromolar). Adjust dose if necessary based on methotrexate elimination; refer to Full Prescribing Information. ( 2.2 ) Overdosage of Folic Acid Antagonists or Impaired Methotrexate Elimination Start as soon as possible after methotrexate overdosage or within 24 hours of delayed methotrexate elimination. ( 2.3 ) Administer Levoleucovorin for Injection 7.5 mg (approximately 5 mg/m 2 ) intravenously every 6 hours until methotrexate level is less than 5 x 10 -8 M (0.05 micromolar). ( 2.3 ) Metastatic Colorectal Cancer in Combination with The following regimens have been used for the treatment of colorectal cancer: Levoleucovorin for Injection 100 mg/m 2 by intravenous injection over a minimum of 3 minutes, followed by fluorouracil 370 mg/m 2 once daily for 5 consecutive days. ( 2.4 ) Levoleucovorin for Injection 10 mg/m 2 by intravenous injection followed by fluorouracil 425 mg/m 2 once daily for 5 consecutive days. ( 2.4 ) Administer fluorouracil and Levoleucovorin for Injection separately to avoid the formation of precipitate. The above five-day courses may be repeated every 4 weeks for 2 courses, then every 4 to 5 weeks, if the patient has recovered from toxicity from the prior course. Do not adjust Levoleucovorin for Injection dosage for toxicity. ( 2.5 )

Warnings and Precautions

Hypercalcemia: Due to calcium content, inject no more than 16 mL (160 mg) of levoleucovorin solution intravenously per minute. ( 5.1 ) Increased Gastrointestinal Toxicities with Fluorouracil : Do not initiate or continue therapy with Levoleucovorin for Injection and fluorouracil in patients with symptoms of gastrointestinal toxicity until symptoms have resolved. Monitor patients with diarrhea until it has resolved as rapid deterioration leading to death can occur. ( 5.2 ,  7 ) Drug Interaction with Trimethoprim-Sulfamethoxazole : Increased rates of treatment failure and morbidity with concomitant use of d,l- leucovorin with trimethoprim-sulfamethoxazole for Pneumocystis jiroveci pneumonia in patients with HIV. ( 5.3 )

Contraindications

Levoleucovorin for Injection is contraindicated in patients who have had severe hypersensitivity to leucovorin products, folic acid or folinic acid [see Adverse Reactions ( 6.2 )] .

Adverse Reactions

The following clinically significant adverse reactions are described elsewhere in the labeling: Hypercalcemia [see Warnings and Precautions ( 5.1 )] Increased gastrointestinal toxicities with fluorouracil [see Warnings and Precautions ( 5.2 )]

Storage and Handling

Levoleucovorin for Injection is a sterile white to pale yellow lyophilized powder in a single dose vial available as: 50 mg vial – NDC 0143-9558-01 Store at 20°C to 25°C (68°F to 77°F) [See USP Controlled Room Temperature]. Retain in carton until contents are used. Protect from light. Manufactured by: HIKMA FARMACÊUTICA (PORTUGAL), S.A. Estrada do Rio da Mó, 8, 8A e 8B – Fervença – 2705-906 Terrugem SNT, PORTUGAL Distributed by: West-Ward Pharmaceuticals Eatontown, NJ 07724 USA Revised April 2021 PIN396-WES/4

How Supplied

Levoleucovorin for Injection is a sterile white to pale yellow lyophilized powder in a single dose vial available as: 50 mg vial – NDC 0143-9558-01 Store at 20°C to 25°C (68°F to 77°F) [See USP Controlled Room Temperature]. Retain in carton until contents are used. Protect from light. Manufactured by: HIKMA FARMACÊUTICA (PORTUGAL), S.A. Estrada do Rio da Mó, 8, 8A e 8B – Fervença – 2705-906 Terrugem SNT, PORTUGAL Distributed by: West-Ward Pharmaceuticals Eatontown, NJ 07724 USA Revised April 2021 PIN396-WES/4


Medication Information

Warnings and Precautions

Hypercalcemia: Due to calcium content, inject no more than 16 mL (160 mg) of levoleucovorin solution intravenously per minute. ( 5.1 ) Increased Gastrointestinal Toxicities with Fluorouracil : Do not initiate or continue therapy with Levoleucovorin for Injection and fluorouracil in patients with symptoms of gastrointestinal toxicity until symptoms have resolved. Monitor patients with diarrhea until it has resolved as rapid deterioration leading to death can occur. ( 5.2 ,  7 ) Drug Interaction with Trimethoprim-Sulfamethoxazole : Increased rates of treatment failure and morbidity with concomitant use of d,l- leucovorin with trimethoprim-sulfamethoxazole for Pneumocystis jiroveci pneumonia in patients with HIV. ( 5.3 )

Indications and Usage

Levoleucovorin for Injection is indicated for: rescue after high-dose methotrexate therapy in adult and pediatric patients with osteosarcoma. diminishing the toxicity associated with overdosage of folic acid antagonists or impaired methotrexate elimination in adult and pediatric patients. the treatment of adults with metastatic colorectal cancer in combination with fluorouracil. Limitations of Use Levoleucovorin for Injection is not indicated for pernicious anemia and megaloblastic anemia secondary to the lack of vitamin B12, because of the risk of progression of neurologic manifestations despite hematologic remission.

Dosage and Administration

For intravenous administration only. Do not administer intrathecally. ( 2.1 ) Rescue After High-Dose Methotrexate Therapy Rescue recommendations are based on methotrexate dose of 12 grams/m 2 administered by intravenous infusion over 4 hours. Initiate rescue at a dose of 7.5 mg (approximately 5 mg/m 2 ) every 6 hours, 24 hours after the beginning of methotrexate infusion. ( 2.2 ) Continue until the methotrexate level is below 5 x 10 -8 M (0.05 micromolar). Adjust dose if necessary based on methotrexate elimination; refer to Full Prescribing Information. ( 2.2 ) Overdosage of Folic Acid Antagonists or Impaired Methotrexate Elimination Start as soon as possible after methotrexate overdosage or within 24 hours of delayed methotrexate elimination. ( 2.3 ) Administer Levoleucovorin for Injection 7.5 mg (approximately 5 mg/m 2 ) intravenously every 6 hours until methotrexate level is less than 5 x 10 -8 M (0.05 micromolar). ( 2.3 ) Metastatic Colorectal Cancer in Combination with The following regimens have been used for the treatment of colorectal cancer: Levoleucovorin for Injection 100 mg/m 2 by intravenous injection over a minimum of 3 minutes, followed by fluorouracil 370 mg/m 2 once daily for 5 consecutive days. ( 2.4 ) Levoleucovorin for Injection 10 mg/m 2 by intravenous injection followed by fluorouracil 425 mg/m 2 once daily for 5 consecutive days. ( 2.4 ) Administer fluorouracil and Levoleucovorin for Injection separately to avoid the formation of precipitate. The above five-day courses may be repeated every 4 weeks for 2 courses, then every 4 to 5 weeks, if the patient has recovered from toxicity from the prior course. Do not adjust Levoleucovorin for Injection dosage for toxicity. ( 2.5 )

Contraindications

Levoleucovorin for Injection is contraindicated in patients who have had severe hypersensitivity to leucovorin products, folic acid or folinic acid [see Adverse Reactions ( 6.2 )] .

Adverse Reactions

The following clinically significant adverse reactions are described elsewhere in the labeling: Hypercalcemia [see Warnings and Precautions ( 5.1 )] Increased gastrointestinal toxicities with fluorouracil [see Warnings and Precautions ( 5.2 )]

Storage and Handling

Levoleucovorin for Injection is a sterile white to pale yellow lyophilized powder in a single dose vial available as: 50 mg vial – NDC 0143-9558-01 Store at 20°C to 25°C (68°F to 77°F) [See USP Controlled Room Temperature]. Retain in carton until contents are used. Protect from light. Manufactured by: HIKMA FARMACÊUTICA (PORTUGAL), S.A. Estrada do Rio da Mó, 8, 8A e 8B – Fervença – 2705-906 Terrugem SNT, PORTUGAL Distributed by: West-Ward Pharmaceuticals Eatontown, NJ 07724 USA Revised April 2021 PIN396-WES/4

How Supplied

Levoleucovorin for Injection is a sterile white to pale yellow lyophilized powder in a single dose vial available as: 50 mg vial – NDC 0143-9558-01 Store at 20°C to 25°C (68°F to 77°F) [See USP Controlled Room Temperature]. Retain in carton until contents are used. Protect from light. Manufactured by: HIKMA FARMACÊUTICA (PORTUGAL), S.A. Estrada do Rio da Mó, 8, 8A e 8B – Fervença – 2705-906 Terrugem SNT, PORTUGAL Distributed by: West-Ward Pharmaceuticals Eatontown, NJ 07724 USA Revised April 2021 PIN396-WES/4

Description

Indication and Usage (1)                                       01/2020      Dosage and Administration (2)                              11/2020      Contraindications (4)                                             01/2020      Warning and Precautions (5)                                 01/2020

Section 43683-2

Indication and Usage (1)                                       01/2020     

Dosage and Administration (2)                              11/2020     

Contraindications (4)                                             01/2020     

Warning and Precautions (5)                                 01/2020

8.1 Pregnancy

Risk Summary

There are limited data with Levoleucovorin for Injection use in pregnant women. Animal reproduction studies have not been conducted with levoleucovorin.

Levoleucovorin is administered in combination with methotrexate or fluorouracil, which can cause embryo-fetal harm. Refer to methotrexate and fluorouracil prescribing information for additional information.

In the U.S. general population, the estimated background risk of major birth defects and miscarriage in clinically recognized pregnancies is 2% to 4% and 15% to 20%, respectively.

8.2 Lactation

Risk Summary

There are no data on the presence of levoleucovorin in human milk or its effects on the breastfed infant or on milk production.

Levoleucovorin is administered in combination with methotrexate or fluorouracil. Refer to methotrexate and fluorouracil prescribing information for additional information.

11 Description

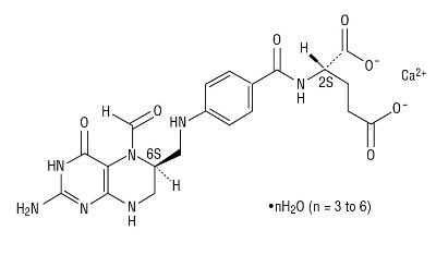
Levoleucovorin is a folate analog and the pharmacologically active levo-isomer of d,l-leucovorin. The chemical name of levoleucovorin calcium is Calcium N-[p-[[[(6S)-amino-5-formyl-1,4,5,6,7,8-hexahydro-4-oxo-6- pteridinyl]methyl]amino]benzoyl]-L-glutamate (1:1) mixed hydrate. The molecular formula is C20H21CaN7O7 .nH2O (n = 3 to 6) and the molecular weight is 565.6 to 619.6. The molecular structure is:

Levoleucovorin for Injection, for intravenous use is supplied as a sterile white to pale yellow lyophilized powder consisting of 50 mg levoleucovorin (equivalent to 64 mg levoleucovorin calcium mixed hydrate) and 50 mg mannitol per 50 mg single dose vial. Sodium hydroxide and/or hydrochloric acid are used to adjust the pH.

5.1 Hypercalcemia

Because of the calcium content of the levoleucovorin solution, inject no more than 16 mL (160 mg of levoleucovorin) intravenously per minute.

8.4 Pediatric Use

The safety and effectiveness of Levoleucovorin for Injection have been established in pediatric patients for rescue after high-dose methotrexate therapy in osteosarcoma and diminishing the toxicity associated with overdosage of folic acid antagonists or impaired methotrexate elimination. Use of levoleucovorin in pediatric patients is supported by open-label clinical trial data in 16 pediatric patients 6 years of age and older, with additional supporting evidence from literature [see Clinical Studies (14.1)].

The safety and effectiveness of Levoleucovorin for Injection have not been established for the treatment of pediatric patients with advanced metastatic colorectal cancer.

8.5 Geriatric Use

Clinical studies of Levoleucovorin for Injection in the treatment of osteosarcoma did not include patients aged 65 and over to determine whether they respond differently from younger patients.

In the NCCTG clinical trial of Levoleucovorin for Injection in combination with fluorouracil for the treatment of metastatic colorectal cancer, no overall differences in safety or effectiveness were observed between patients age 65 years and older and younger patients.

4 Contraindications

Levoleucovorin for Injection is contraindicated in patients who have had severe hypersensitivity to leucovorin products, folic acid or folinic acid [see Adverse Reactions (6.2)].

6 Adverse Reactions

The following clinically significant adverse reactions are described elsewhere in the labeling:

  • Hypercalcemia [see Warnings and Precautions (5.1)]
  • Increased gastrointestinal toxicities with fluorouracil [see Warnings and Precautions (5.2)]
Serialization Image

Representative Serialization Carton Image


12.3 Pharmacokinetics

The pharmacokinetics of levoleucovorin after intravenous administration of a 15 mg dose was studied in healthy subjects. The mean maximum serum total tetrahydrofolate (total-THF) concentrations was 1722 ng/mL (CV 39%) and the mean maximum serum (6S)-5-methyl-5,6,7,8-tetrahydrofolate concentrations was 275 ng/mL (CV 18%) observed around 0.9 hours post injection.

Distribution

Exploratory studies show that small quantities of systemically administered leucovorin enter the cerebrospinal fluid (CSF), primarily as its major metabolite 5-methyltetrahydrofolate (5-MTHFA). In humans, the CSF levels of 5-MTHFA remain 1-3 orders of magnitude lower than the usual methotrexate concentrations following intrathecal administration.

Elimination

The mean terminal half-life was 5.1 hours for total-THF and 6.8 hours for (6S)-5-methyl-5,6,7,8-tetrahydrofolate.

Drug Interaction Studies

The mean dose-normalized steady-state plasma concentrations for both levoleucovorin and 5-methyl-THF were comparable whether fluorouracil (370 mg/m2/day as an intravenous bolus) was given in combination with levoleucovorin (250 mg/m2 and 1000 mg/m2 as a continuous intravenous infusion for 5.5 days) or with d,l-leucovorin (500 mg/m2 as a continuous intravenous infusion for 5.5 days).

1 Indications and Usage

Levoleucovorin for Injection is indicated for:

  • rescue after high-dose methotrexate therapy in adult and pediatric patients with osteosarcoma.
  • diminishing the toxicity associated with overdosage of folic acid antagonists or impaired methotrexate elimination in adult and pediatric patients.
  • the treatment of adults with metastatic colorectal cancer in combination with fluorouracil.

Limitations of Use

Levoleucovorin for Injection is not indicated for pernicious anemia and megaloblastic anemia secondary to the lack of vitamin B12, because of the risk of progression of neurologic manifestations despite hematologic remission.

12.1 Mechanism of Action

High-Dose Methotrexate Therapy

Levoleucovorin is the pharmacologically active isomer of 5-formyl tetrahydrofolic acid. Levoleucovorin does not require reduction by the enzyme dihydrofolate reductase in order to participate in reactions utilizing folates as a source of “one­ carbon” moieties. Administration of levoleucovorin counteracts the therapeutic and toxic effects of folic acid antagonists such as methotrexate, which act by inhibiting dihydrofolate reductase.

Combination with Fluorouracil in Colorectal Cancer

Levoleucovorin enhances the therapeutic and toxic effects of fluorouracil. Fluorouracil is metabolized to 5-fluoro-2'­ deoxyuridine-5'-monophosphate (FdUMP), which binds to and inhibits thymidylate synthase (an enzyme important in DNA repair and replication). Levoleucovorin is converted to another reduced folate, 5,10-methylenetetrahydrofolate, which acts to stabilize the binding of FdUMP to thymidylate synthase and thereby enhancing the inhibition of thymidylate synthase.

5 Warnings and Precautions
  • Hypercalcemia: Due to calcium content, inject no more than 16 mL (160 mg) of levoleucovorin solution intravenously per minute. (5.1)
  • Increased Gastrointestinal Toxicities with Fluorouracil: Do not initiate or continue therapy with Levoleucovorin for Injection and fluorouracil in patients with symptoms of gastrointestinal toxicity until symptoms have resolved. Monitor patients with diarrhea until it has resolved as rapid deterioration leading to death can occur. (5.27)
  • Drug Interaction with Trimethoprim-Sulfamethoxazole: Increased rates of treatment failure and morbidity with concomitant use of d,l-leucovorin with trimethoprim-sulfamethoxazole for Pneumocystis jiroveci pneumonia in patients with HIV. (5.3)
2 Dosage and Administration

For intravenous administration only. Do not administer intrathecally. (2.1)

Rescue After High-Dose Methotrexate Therapy

  • Rescue recommendations are based on methotrexate dose of 12 grams/m2 administered by intravenous infusion over 4 hours. Initiate rescue at a dose of 7.5 mg (approximately 5 mg/m2) every 6 hours, 24 hours after the beginning of methotrexate infusion. (2.2)
  • Continue until the methotrexate level is below 5 x 10-8 M (0.05 micromolar). Adjust dose if necessary based on methotrexate elimination; refer to Full Prescribing Information. (2.2)

Overdosage of Folic Acid Antagonists or Impaired Methotrexate Elimination

  • Start as soon as possible after methotrexate overdosage or within 24 hours of delayed methotrexate elimination. (2.3)
  • Administer Levoleucovorin for Injection 7.5 mg (approximately 5 mg/m2) intravenously every 6 hours until methotrexate level is less than 5 x 10-8 M (0.05 micromolar). (2.3)

Metastatic Colorectal Cancer in Combination with

  • The following regimens have been used for the treatment of colorectal cancer:
    • Levoleucovorin for Injection 100 mg/m2 by intravenous injection over a minimum of 3 minutes, followed by fluorouracil 370 mg/m2 once daily for 5 consecutive days. (2.4)
    • Levoleucovorin for Injection 10 mg/m2 by intravenous injection followed by fluorouracil 425 mg/m2 once daily for 5 consecutive days. (2.4)
  • Administer fluorouracil and Levoleucovorin for Injection separately to avoid the formation of precipitate.
  • The above five-day courses may be repeated every 4 weeks for 2 courses, then every 4 to 5 weeks, if the patient has recovered from toxicity from the prior course.
  • Do not adjust Levoleucovorin for Injection dosage for toxicity. (2.5)
3 Dosage Forms and Strengths

50 mg of levoleucovorin as a sterile white to pale yellow lyophilized powder in a single dose vial for reconstitution.

6.2 Postmarketing Experience

The following adverse reaction have been identified during postapproval use of levoleucovorin products. Because these reactions are reported from a population of uncertain size, it is not always possible to reliably estimate their frequency or establish a causal relationship to drug exposure.

Dermatologic: pruritus, rash

Respiratory: dyspnea

Other: temperature change, rigors, allergic reactions

2.1 Important Use Information

Levoleucovorin for Injection is indicated for intravenous administration only. Do not administer intrathecally.

6.1 Clinical Trials Experience

Because clinical trials are conducted under widely varying conditions, adverse reaction rates observed in the clinical trials of a drug cannot be directly compared to rates in the clinical trials of another drug and may not reflect the rates observed in practice.

High-Dose Methotrexate Therapy

Table 2 presents the frequency of adverse reactions which occurred during the administration of 58 courses of high-dose methotrexate 12 grams/m2 followed by Levoleucovorin for Injection rescue for osteosarcoma in 16 patients aged 6 to 21 years. Most patients received Levoleucovorin for Injection 7.5 mg every 6 hours for 60 hours or longer, beginning 24 hours after completion of methotrexate administration.

Table 2 Adverse Reactions with High-Dose Methotrexate Therapy

Adverse Reactions

Levoleucovorin for Injection n = 16

All Grades (%)

Grades 3-4 (%)

Gastrointestinal

Stomatitis

38

6

Vomiting

38

0

Nausea

19

0

Diarrhea

6

0

Dyspepsia

6

0

Typhlitis

6

6

Respiratory

Dyspnea

6

0

Skin and Appendages

Dermatitis

6

0

Other

Confusion

6

0

Neuropathy

6

0

Renal function abnormal

6

0

Taste perversion

6

0

Combination with Fluorouracil in Colorectal Cancer

Table 3 presents the frequency of adverse reaction which occurred in 2 arms of a randomized controlled trial conducted by the North Central Cancer Treatment Group (NCCTG) in patients with metastatic colorectal cancer. The trial failed to show superior overall survival with fluorouracil + levoleucovorin compared to fluorouracil + d,l-leucovorin. Patients were randomized to fluorouracil 370 mg/m2 intravenously and levoleucovorin 100 mg/m2 intravenously, both daily for 5 days, or to fluorouracil 370 mg/m2 intravenously and d,l-leucovorin 200 mg/m2 intravenously, both daily for 5 days. Treatment was repeated week 4 and week 8, and then every 5 weeks until disease progression or unacceptable toxicity.

Table 3  Adverse Reactions Occurring in ≥ 10% of Patients in Either Arm

Adverse Reaction

Levoleucovorin/fluorouracil n=318

d,l -Leucovorin/fluorouracil n=307

Grades 1-4 (%)

Grades 3-4 (%)

Grades 1-4 (%)

Grades 3-4 (%)

Gastrointestinal Disorders

Stomatitis

72

12

72

14

Diarrhea

70

19

65

17

Nausea

62

8

61

8

Vomiting

40

5

37

6

Abdominal Pain1

14

3

19

3

General Disorders

Asthenia/Fatigue/Malaise

29

5

32

11

Skin Disorders

Dermatitis

29

1

28

1

Alopecia

26

0.3

28

1

Metabolism and Nutrition

Anorexia/Decreased Appetite

24

4

25

2

1Includes abdominal pain, upper abdominal pain, lower abdominal pain, and abdominal tenderness



14.2 Metastatic Colorectal Cancer

In a randomized clinical study conducted by Mayo Clinic and North Central Cancer Treatment Group (NCCTG) in patients with metastatic colorectal cancer comparing d,l-leucovorin 200 mg/m2 and fluorouracil 370 mg/m2 versus d,l-leucovorin 20 mg/m2 and fluorouracil 425 mg/m2 versus fluorouracil 500 mg/m2, with all drugs administered by intravenous infusion daily for 5 days every 28 to 35 days, response rates were 26% (p=0.04 versus fluorouracil alone), 43% (p=0.001 versus fluorouracil alone) and 10%, respectively. Respective median survival times were 12.2 months (p=0.037), 12 months (p=0.050), and 7.7 months. The low dose d,l-leucovorin regimen was associated with a statistically significant improvement in weight gain of more than 5%, relief of symptoms, and improvement in performance status.

The high dose d,l-leucovorin regimen was associated with a statistically significant improvement in performance status and trended toward improvement in weight gain and in relief of symptoms but these were not statistically significant.

In a second randomized clinical study conducted by Mayo Clinic and NCCTG, the fluorouracil alone arm was replaced by a regimen of sequentially administered methotrexate, fluorouracil, and d,l-leucovorin. Response rates with d,l-leucovorin 200 mg/m2 and fluorouracil 370 mg/m2 versus d,l-leucovorin 20 mg/m2 and fluorouracil 425 mg/m2 versus sequential methotrexate and fluorouracil and d,l-leucovorin were respectively 31% (p≤0.01), 42% (p≤0.01), and 14%. Respective median survival times were 12.7 months (p≤0.04), 12.7 months (p≤0.01), and 8.4 months. There was no statistically significant difference in weight gain of more than 5% or in improvement in performance status was seen between the treatment arms.

A randomized controlled trial conducted by NCCTG in patients with metastatic colorectal cancer failed to show superiority of a regimen of fluorouracil + levoleucovorin to fluorouracil + d,l-leucovorin in overall survival. Patients were randomized to fluorouracil 370 mg/m2 intravenously and levoleucovorin 100 mg/m2 intravenously, both daily for 5 days, or to fluorouracil 370 mg/m2 intravenously and d,l-leucovorin 200 mg/m2 intravenously, both daily for 5 days. Treatment was repeated week 4 and week 8, and then every 5 weeks until disease progression or unacceptable toxicity.

2.6 Preparation for Administration

Levoleucovorin for Injection

  • Prior to intravenous injection, reconstitute the 50 mg vial of Levoleucovorin for Injection with 5.3 mL of 0.9% Sodium Chloride Injection, USP to yield a levoleucovorin concentration of 10 mg per mL. Reconstitution with Sodium Chloride solutions with preservatives (e.g. benzyl alcohol) has not been studied. The use of solutions other than 0.9% Sodium Chloride Injection, USP is not recommended.
  • The reconstituted 10 mg per mL levoleucovorin contains no preservative. Observe strict aseptic technique during reconstitution of the drug product. Discard unused portion.
  • Saline reconstituted levoleucovorin solutions may be further diluted, immediately, to concentrations of 0.5 mg/mL to 5 mg/mL in 0.9% Sodium Chloride Injection, USP or 5% Dextrose Injection, USP. Do not store the reconstituted product or reconstituted product diluted using 0.9% Sodium Chloride Injection, USP for more than 12 hours at room temperature. Do not store reconstituted product diluted using 5% Dextrose Injection, USP for more than 4 hours at room temperature.
  • Visually inspect the reconstituted solution for particulate matter and discoloration prior to administration. Do not use if cloudiness or precipitate is observed.
  • Do not intravenously inject more than 16 mL of reconstituted solutions (160 mg of levoleucovorin) per minute, because of the calcium content of the levoleucovorin solution.
16 How Supplied/storage and Handling

Levoleucovorin for Injection is a sterile white to pale yellow lyophilized powder in a single dose vial available as: 50 mg vial – NDC 0143-9558-01

Store at 20°C to 25°C (68°F to 77°F) [See USP Controlled Room Temperature]. Retain in carton until contents are used. Protect from light.

Manufactured by:

HIKMA FARMACÊUTICA (PORTUGAL), S.A.

Estrada do Rio da Mó, 8, 8A e 8B – Fervença – 2705-906 Terrugem SNT, PORTUGAL

Distributed by:

West-Ward Pharmaceuticals

Eatontown, NJ 07724 USA

Revised April 2021

PIN396-WES/4

Package/label Principal Display Panel

NDC 0143-9558-01   

Levoleucovorin

For Injection

50 mg/vial

present as levoleucovorin calcium

For Intravenous Use

Lyophilized

Sterile Single-dose Vial

Rx only

7.1 Effects of Leucovorin Products On Other Drugs

Antiepileptic Drugs

Folic acid in large amounts may counteract the antiepileptic effect of phenobarbital, phenytoin and primidone and increase the frequency of seizures in susceptible children. It is not known whether folinic acid has the same effects; however, both folic and folinic acids share some common metabolic pathways. Monitor patients taking folinic acid in combination with antiepileptic drugs.

Fluorouracil

Leucovorin products increase the toxicity of fluorouracil. Do not initiate or continue therapy with Levoleucovorin for Injection and fluorouracil in patients with symptoms of gastrointestinal toxicity until those symptoms have resolved. Monitor patients with diarrhea until the diarrhea has resolved, as rapid deterioration leading to death can occur [see Warnings and Precautions (5.2)].

Trimethoprim-Sulfamethoxazole

The concomitant use of d,l-leucovorin with trimethoprim-sulfamethoxazole for the acute treatment of Pneumocystis jiroveci pneumonia in patients with HIV infection was associated with increased rates of treatment failure and morbidity in a placebo-controlled study [see Warnings and Precautions (5.3)].

5.3 Drug Interaction With Trimethoprim Sulfamethoxazole

The concomitant use of d,l-leucovorin with trimethoprim-sulfamethoxazole for the acute treatment of Pneumocystis jiroveci pneumonia in patients with HIV infection was associated with increased rates of treatment failure and morbidity [see Drug Interactions (7)].

13.1 Carcinogenesis, Mutagenesis, Impairment of Fertility

No studies have been conducted to evaluate the potential of levoleucovorin for carcinogenesis, mutagenesis and impairment of fertility.

5.2 Increased Gastrointestinal Toxicities With Fluorouracil

Leucovorin products increase the toxicities of fluorouracil [see Drug Interactions (7)]. Gastrointestinal toxicities, including stomatitis and diarrhea, occur more commonly and may be of greater severity and of prolonged duration. Deaths from severe enterocolitis, diarrhea, and dehydration have occurred in elderly patients receiving weekly d,l-leucovorin and fluorouracil.

Monitor patients for gastrointestinal toxicities. Do not initiate or continue therapy with Levoleucovorin for Injection and fluorouracil in patients with symptoms of gastrointestinal toxicity until those symptoms have resolved. Monitor patients with diarrhea until resolved, as rapid deterioration leading to death can occur.

2.2 Co Administration of Levoleucovorin for Injection With Other Agents

Due to the risk of precipitation, do not co-administer Levoleucovorin for Injection with other agents in the same admixture.

2.3  Recommended Dosage for Rescue After High Dose Methotrexate Therapy

The recommended dosage for Levoleucovorin for Injection is based on a methotrexate dose of 12 grams/m2 administered by intravenous infusion over 4 hours. Twenty-four hours after starting the methotrexate infusion, initiate Levoleucovorin for Injection at a dose of 7.5 mg (approximately 5 mg/m2) as an intravenous infusion every 6 hours.

Monitor serum creatinine and methotrexate levels at least once daily. Continue Levoleucovorin for Injection administration, hydration, and urinary alkalinization (pH of 7 or greater) until the methotrexate level is below 5 x 10-8 M (0.05 micromolar). Adjust the Levoleucovorin for Injection dose or extend the duration as recommended in Table 1.

Table 1 Recommended Dosage for Levoleucovorin for Injection based on Serum Methotrexate and Creatinine Levels



 Clinical Situation Laboratory Findings   Recommendation
Normal Methotrexate Elimination Serum methotrexate level approximately 10 micromolar at 24 hours after administration, 1 micromolar at 48 hours, and less than 0.2 micromolar at 72 hours  Administer 7.5 mg by intravenous infusion every 6 hours for 60 hours (10 doses starting at 24 hours after start of methotrexate infusion).
Delayed Late Methotrexate Elimination Serum methotrexate level remaining above 0.2 micromolar at 72 hours, and more than 0.05 micromolar at 96 hours after administration. Continue 7.5 mg by intravenous infusion every 6 hours until methotrexate level is less than 0.05 micromolar.
Delayed Early Methotrexate Elimination and/or Evidence of Acute Renal Injury Serum methotrexate level of 50 micromolar or more at 24 hours, or 5 micromolar or more at 48 hours after administration

OR

100% or greater increase in serum creatinine level at 24 hours after methotrexate administration (e.g., an increase from 0.5 mg/dL to a level of 1 mg/dL or more).
 Administer 75 mg by intravenous infusion every 3 hours until methotrexate level is less than 1 micromolar; then 7.5 mg by intravenous infusion every 3 hours until methotrexate level is less than 0.05 micromolar.

* These patients are likely to develop reversible renal failure. In addition to appropriate Levoleucovorin for Injection therapy, continue hydration and urinary alkalinization and monitor fluid and electrolyte status, until the serum methotrexate level has fallen to below 0.05 micromolar and the renal failure has resolved.

Impaired Methotrexate Elimination or Renal Impairment

Decreased methotrexate elimination or renal impairment which are clinically important but less severe than the abnormalities described in Table 1 can occur following methotrexate administration. If toxicity associated with methotrexate is observed, in subsequent courses extend Levoleucovorin for Injection rescue for an additional 24 hours (total of 14 doses over 84 hours).

Third-Space Fluid Collection and Other Causes of Delayed Methotrexate Elimination

Accumulation in a third space fluid collection (i.e., ascites, pleural effusion), renal insufficiency, or inadequate hydration can delay methotrexate elimination. Under such circumstances, higher doses of Levoleucovorin for Injection or prolonged administration may be indicated.

2.5 Dosage in Combination With Fluorouracil for Metastatic Colorectal Cancer

The following regimens have been used for the treatment of colorectal cancer:

  • Levoleucovorin for Injection 100 mg/m2 by intravenous injection over a minimum of 3 minutes, followed by fluorouracil at 370 mg/m2 by intravenous injection, once daily for 5 consecutive days.
  • Levoleucovorin for Injection 10 mg/m2 by intravenous injection, followed by fluorouracil 425 mg/m2 by intravenous injection, once daily for 5 consecutive days.

Administer fluorouracil and Levoleucovorin for Injection separately to avoid the formation of a precipitate.

This five-day course may be repeated every 4 weeks for 2 courses, then every 4 to 5 weeks, if the patient has recovered from the toxicity from the prior course. Do not adjust Levoleucovorin for Injection dosage for toxicity.

Refer to fluorouracil prescribing information for information on fluorouracil dosage and dosage modifications for adverse reactions.

14.1 Rescue After High Dose Methotrexate Therapy in Patients With Osteosarcoma

The efficacy of levoleucovorin rescue following high-dose methotrexate was evaluated in 16 patients aged 6 to 21 years who received 58 courses of therapy for osteogenic sarcoma. High-dose methotrexate was one component of several different combination chemotherapy regimens evaluated across several trials. Methotrexate 12 grams/m2 as an intravenous infusion over 4 hours was administered to 13 patients, who received Levoleucovorin for Injection 7.5 mg by intravenous infusion every 6 hours for 60 hours or longer beginning 24 hours after completion of methotrexate. Three patients received methotrexate 12.5 grams/m2 intravenously over 6 hours, followed by Levoleucovorin for Injection 7.5 mg by intravenous infusion every 3 hours for 18 doses beginning 12 hours after completion of methotrexate. The mean number of Levoleucovorin for Injection doses per course was 18.2 and the mean total dose per course was 350 mg. The efficacy of Levoleucovorin for Injection rescue following high-dose methotrexate was based on the adverse reaction profile [See Adverse Reactions (6.1)].

2.4 Recommended Dosage for Overdosage of Folic Acid Antagonists Or Impaired Methotrexate Elimination

Start Levoleucovorin for Injection as soon as possible after an overdosage of methotrexate or within 24 hours of methotrexate administration when methotrexate elimination is impaired. As the time interval between methotrexate administration and Levoleucovorin for Injection increases, the effectiveness of Levoleucovorin for Injection to diminish methotrexate toxicity may decrease. Administer Levoleucovorin for Injection 7.5 mg (approximately 5 mg/m2 ) by intravenous infusion every 6 hours until the serum methotrexate level is less than 5 x 10-8 M (0.05 micromolar).

Monitor serum creatinine and methotrexate levels at least every 24 hours. Increase the dosage of Levoleucovorin for Injection to 50 mg/m2 intravenously every 3 hours and continue Levoleucovorin for Injection at this dosage until the methotrexate level is less than 5 x 10-8 M for the following:

  • if serum creatinine at 24-hours increases 50% or more compared to baseline
  • if the methotrexate level at 24-hours is greater than 5 x 10-6 M
  • if the methotrexate level at 48-hours is greater than 9 x 10-7 M,

Continue concomitant hydration (3 L per day) and urinary alkalinization with sodium bicarbonate. Adjust the sodium bicarbonate dose to maintain urine pH at 7 or greater.


Structured Label Content

Section 43683-2 (43683-2)

Indication and Usage (1)                                       01/2020     

Dosage and Administration (2)                              11/2020     

Contraindications (4)                                             01/2020     

Warning and Precautions (5)                                 01/2020

8.1 Pregnancy

Risk Summary

There are limited data with Levoleucovorin for Injection use in pregnant women. Animal reproduction studies have not been conducted with levoleucovorin.

Levoleucovorin is administered in combination with methotrexate or fluorouracil, which can cause embryo-fetal harm. Refer to methotrexate and fluorouracil prescribing information for additional information.

In the U.S. general population, the estimated background risk of major birth defects and miscarriage in clinically recognized pregnancies is 2% to 4% and 15% to 20%, respectively.

8.2 Lactation

Risk Summary

There are no data on the presence of levoleucovorin in human milk or its effects on the breastfed infant or on milk production.

Levoleucovorin is administered in combination with methotrexate or fluorouracil. Refer to methotrexate and fluorouracil prescribing information for additional information.

11 Description (11 DESCRIPTION)

Levoleucovorin is a folate analog and the pharmacologically active levo-isomer of d,l-leucovorin. The chemical name of levoleucovorin calcium is Calcium N-[p-[[[(6S)-amino-5-formyl-1,4,5,6,7,8-hexahydro-4-oxo-6- pteridinyl]methyl]amino]benzoyl]-L-glutamate (1:1) mixed hydrate. The molecular formula is C20H21CaN7O7 .nH2O (n = 3 to 6) and the molecular weight is 565.6 to 619.6. The molecular structure is:

Levoleucovorin for Injection, for intravenous use is supplied as a sterile white to pale yellow lyophilized powder consisting of 50 mg levoleucovorin (equivalent to 64 mg levoleucovorin calcium mixed hydrate) and 50 mg mannitol per 50 mg single dose vial. Sodium hydroxide and/or hydrochloric acid are used to adjust the pH.

5.1 Hypercalcemia

Because of the calcium content of the levoleucovorin solution, inject no more than 16 mL (160 mg of levoleucovorin) intravenously per minute.

8.4 Pediatric Use

The safety and effectiveness of Levoleucovorin for Injection have been established in pediatric patients for rescue after high-dose methotrexate therapy in osteosarcoma and diminishing the toxicity associated with overdosage of folic acid antagonists or impaired methotrexate elimination. Use of levoleucovorin in pediatric patients is supported by open-label clinical trial data in 16 pediatric patients 6 years of age and older, with additional supporting evidence from literature [see Clinical Studies (14.1)].

The safety and effectiveness of Levoleucovorin for Injection have not been established for the treatment of pediatric patients with advanced metastatic colorectal cancer.

8.5 Geriatric Use

Clinical studies of Levoleucovorin for Injection in the treatment of osteosarcoma did not include patients aged 65 and over to determine whether they respond differently from younger patients.

In the NCCTG clinical trial of Levoleucovorin for Injection in combination with fluorouracil for the treatment of metastatic colorectal cancer, no overall differences in safety or effectiveness were observed between patients age 65 years and older and younger patients.

4 Contraindications (4 CONTRAINDICATIONS)

Levoleucovorin for Injection is contraindicated in patients who have had severe hypersensitivity to leucovorin products, folic acid or folinic acid [see Adverse Reactions (6.2)].

6 Adverse Reactions (6 ADVERSE REACTIONS)

The following clinically significant adverse reactions are described elsewhere in the labeling:

  • Hypercalcemia [see Warnings and Precautions (5.1)]
  • Increased gastrointestinal toxicities with fluorouracil [see Warnings and Precautions (5.2)]
Serialization Image (SERIALIZATION IMAGE)

Representative Serialization Carton Image


12.3 Pharmacokinetics

The pharmacokinetics of levoleucovorin after intravenous administration of a 15 mg dose was studied in healthy subjects. The mean maximum serum total tetrahydrofolate (total-THF) concentrations was 1722 ng/mL (CV 39%) and the mean maximum serum (6S)-5-methyl-5,6,7,8-tetrahydrofolate concentrations was 275 ng/mL (CV 18%) observed around 0.9 hours post injection.

Distribution

Exploratory studies show that small quantities of systemically administered leucovorin enter the cerebrospinal fluid (CSF), primarily as its major metabolite 5-methyltetrahydrofolate (5-MTHFA). In humans, the CSF levels of 5-MTHFA remain 1-3 orders of magnitude lower than the usual methotrexate concentrations following intrathecal administration.

Elimination

The mean terminal half-life was 5.1 hours for total-THF and 6.8 hours for (6S)-5-methyl-5,6,7,8-tetrahydrofolate.

Drug Interaction Studies

The mean dose-normalized steady-state plasma concentrations for both levoleucovorin and 5-methyl-THF were comparable whether fluorouracil (370 mg/m2/day as an intravenous bolus) was given in combination with levoleucovorin (250 mg/m2 and 1000 mg/m2 as a continuous intravenous infusion for 5.5 days) or with d,l-leucovorin (500 mg/m2 as a continuous intravenous infusion for 5.5 days).

1 Indications and Usage (1 INDICATIONS AND USAGE)

Levoleucovorin for Injection is indicated for:

  • rescue after high-dose methotrexate therapy in adult and pediatric patients with osteosarcoma.
  • diminishing the toxicity associated with overdosage of folic acid antagonists or impaired methotrexate elimination in adult and pediatric patients.
  • the treatment of adults with metastatic colorectal cancer in combination with fluorouracil.

Limitations of Use

Levoleucovorin for Injection is not indicated for pernicious anemia and megaloblastic anemia secondary to the lack of vitamin B12, because of the risk of progression of neurologic manifestations despite hematologic remission.

12.1 Mechanism of Action

High-Dose Methotrexate Therapy

Levoleucovorin is the pharmacologically active isomer of 5-formyl tetrahydrofolic acid. Levoleucovorin does not require reduction by the enzyme dihydrofolate reductase in order to participate in reactions utilizing folates as a source of “one­ carbon” moieties. Administration of levoleucovorin counteracts the therapeutic and toxic effects of folic acid antagonists such as methotrexate, which act by inhibiting dihydrofolate reductase.

Combination with Fluorouracil in Colorectal Cancer

Levoleucovorin enhances the therapeutic and toxic effects of fluorouracil. Fluorouracil is metabolized to 5-fluoro-2'­ deoxyuridine-5'-monophosphate (FdUMP), which binds to and inhibits thymidylate synthase (an enzyme important in DNA repair and replication). Levoleucovorin is converted to another reduced folate, 5,10-methylenetetrahydrofolate, which acts to stabilize the binding of FdUMP to thymidylate synthase and thereby enhancing the inhibition of thymidylate synthase.

5 Warnings and Precautions (5 WARNINGS AND PRECAUTIONS)
  • Hypercalcemia: Due to calcium content, inject no more than 16 mL (160 mg) of levoleucovorin solution intravenously per minute. (5.1)
  • Increased Gastrointestinal Toxicities with Fluorouracil: Do not initiate or continue therapy with Levoleucovorin for Injection and fluorouracil in patients with symptoms of gastrointestinal toxicity until symptoms have resolved. Monitor patients with diarrhea until it has resolved as rapid deterioration leading to death can occur. (5.27)
  • Drug Interaction with Trimethoprim-Sulfamethoxazole: Increased rates of treatment failure and morbidity with concomitant use of d,l-leucovorin with trimethoprim-sulfamethoxazole for Pneumocystis jiroveci pneumonia in patients with HIV. (5.3)
2 Dosage and Administration (2 DOSAGE AND ADMINISTRATION)

For intravenous administration only. Do not administer intrathecally. (2.1)

Rescue After High-Dose Methotrexate Therapy

  • Rescue recommendations are based on methotrexate dose of 12 grams/m2 administered by intravenous infusion over 4 hours. Initiate rescue at a dose of 7.5 mg (approximately 5 mg/m2) every 6 hours, 24 hours after the beginning of methotrexate infusion. (2.2)
  • Continue until the methotrexate level is below 5 x 10-8 M (0.05 micromolar). Adjust dose if necessary based on methotrexate elimination; refer to Full Prescribing Information. (2.2)

Overdosage of Folic Acid Antagonists or Impaired Methotrexate Elimination

  • Start as soon as possible after methotrexate overdosage or within 24 hours of delayed methotrexate elimination. (2.3)
  • Administer Levoleucovorin for Injection 7.5 mg (approximately 5 mg/m2) intravenously every 6 hours until methotrexate level is less than 5 x 10-8 M (0.05 micromolar). (2.3)

Metastatic Colorectal Cancer in Combination with

  • The following regimens have been used for the treatment of colorectal cancer:
    • Levoleucovorin for Injection 100 mg/m2 by intravenous injection over a minimum of 3 minutes, followed by fluorouracil 370 mg/m2 once daily for 5 consecutive days. (2.4)
    • Levoleucovorin for Injection 10 mg/m2 by intravenous injection followed by fluorouracil 425 mg/m2 once daily for 5 consecutive days. (2.4)
  • Administer fluorouracil and Levoleucovorin for Injection separately to avoid the formation of precipitate.
  • The above five-day courses may be repeated every 4 weeks for 2 courses, then every 4 to 5 weeks, if the patient has recovered from toxicity from the prior course.
  • Do not adjust Levoleucovorin for Injection dosage for toxicity. (2.5)
3 Dosage Forms and Strengths (3 DOSAGE FORMS AND STRENGTHS)

50 mg of levoleucovorin as a sterile white to pale yellow lyophilized powder in a single dose vial for reconstitution.

6.2 Postmarketing Experience

The following adverse reaction have been identified during postapproval use of levoleucovorin products. Because these reactions are reported from a population of uncertain size, it is not always possible to reliably estimate their frequency or establish a causal relationship to drug exposure.

Dermatologic: pruritus, rash

Respiratory: dyspnea

Other: temperature change, rigors, allergic reactions

2.1 Important Use Information

Levoleucovorin for Injection is indicated for intravenous administration only. Do not administer intrathecally.

6.1 Clinical Trials Experience

Because clinical trials are conducted under widely varying conditions, adverse reaction rates observed in the clinical trials of a drug cannot be directly compared to rates in the clinical trials of another drug and may not reflect the rates observed in practice.

High-Dose Methotrexate Therapy

Table 2 presents the frequency of adverse reactions which occurred during the administration of 58 courses of high-dose methotrexate 12 grams/m2 followed by Levoleucovorin for Injection rescue for osteosarcoma in 16 patients aged 6 to 21 years. Most patients received Levoleucovorin for Injection 7.5 mg every 6 hours for 60 hours or longer, beginning 24 hours after completion of methotrexate administration.

Table 2 Adverse Reactions with High-Dose Methotrexate Therapy

Adverse Reactions

Levoleucovorin for Injection n = 16

All Grades (%)

Grades 3-4 (%)

Gastrointestinal

Stomatitis

38

6

Vomiting

38

0

Nausea

19

0

Diarrhea

6

0

Dyspepsia

6

0

Typhlitis

6

6

Respiratory

Dyspnea

6

0

Skin and Appendages

Dermatitis

6

0

Other

Confusion

6

0

Neuropathy

6

0

Renal function abnormal

6

0

Taste perversion

6

0

Combination with Fluorouracil in Colorectal Cancer

Table 3 presents the frequency of adverse reaction which occurred in 2 arms of a randomized controlled trial conducted by the North Central Cancer Treatment Group (NCCTG) in patients with metastatic colorectal cancer. The trial failed to show superior overall survival with fluorouracil + levoleucovorin compared to fluorouracil + d,l-leucovorin. Patients were randomized to fluorouracil 370 mg/m2 intravenously and levoleucovorin 100 mg/m2 intravenously, both daily for 5 days, or to fluorouracil 370 mg/m2 intravenously and d,l-leucovorin 200 mg/m2 intravenously, both daily for 5 days. Treatment was repeated week 4 and week 8, and then every 5 weeks until disease progression or unacceptable toxicity.

Table 3  Adverse Reactions Occurring in ≥ 10% of Patients in Either Arm

Adverse Reaction

Levoleucovorin/fluorouracil n=318

d,l -Leucovorin/fluorouracil n=307

Grades 1-4 (%)

Grades 3-4 (%)

Grades 1-4 (%)

Grades 3-4 (%)

Gastrointestinal Disorders

Stomatitis

72

12

72

14

Diarrhea

70

19

65

17

Nausea

62

8

61

8

Vomiting

40

5

37

6

Abdominal Pain1

14

3

19

3

General Disorders

Asthenia/Fatigue/Malaise

29

5

32

11

Skin Disorders

Dermatitis

29

1

28

1

Alopecia

26

0.3

28

1

Metabolism and Nutrition

Anorexia/Decreased Appetite

24

4

25

2

1Includes abdominal pain, upper abdominal pain, lower abdominal pain, and abdominal tenderness



14.2 Metastatic Colorectal Cancer

In a randomized clinical study conducted by Mayo Clinic and North Central Cancer Treatment Group (NCCTG) in patients with metastatic colorectal cancer comparing d,l-leucovorin 200 mg/m2 and fluorouracil 370 mg/m2 versus d,l-leucovorin 20 mg/m2 and fluorouracil 425 mg/m2 versus fluorouracil 500 mg/m2, with all drugs administered by intravenous infusion daily for 5 days every 28 to 35 days, response rates were 26% (p=0.04 versus fluorouracil alone), 43% (p=0.001 versus fluorouracil alone) and 10%, respectively. Respective median survival times were 12.2 months (p=0.037), 12 months (p=0.050), and 7.7 months. The low dose d,l-leucovorin regimen was associated with a statistically significant improvement in weight gain of more than 5%, relief of symptoms, and improvement in performance status.

The high dose d,l-leucovorin regimen was associated with a statistically significant improvement in performance status and trended toward improvement in weight gain and in relief of symptoms but these were not statistically significant.

In a second randomized clinical study conducted by Mayo Clinic and NCCTG, the fluorouracil alone arm was replaced by a regimen of sequentially administered methotrexate, fluorouracil, and d,l-leucovorin. Response rates with d,l-leucovorin 200 mg/m2 and fluorouracil 370 mg/m2 versus d,l-leucovorin 20 mg/m2 and fluorouracil 425 mg/m2 versus sequential methotrexate and fluorouracil and d,l-leucovorin were respectively 31% (p≤0.01), 42% (p≤0.01), and 14%. Respective median survival times were 12.7 months (p≤0.04), 12.7 months (p≤0.01), and 8.4 months. There was no statistically significant difference in weight gain of more than 5% or in improvement in performance status was seen between the treatment arms.

A randomized controlled trial conducted by NCCTG in patients with metastatic colorectal cancer failed to show superiority of a regimen of fluorouracil + levoleucovorin to fluorouracil + d,l-leucovorin in overall survival. Patients were randomized to fluorouracil 370 mg/m2 intravenously and levoleucovorin 100 mg/m2 intravenously, both daily for 5 days, or to fluorouracil 370 mg/m2 intravenously and d,l-leucovorin 200 mg/m2 intravenously, both daily for 5 days. Treatment was repeated week 4 and week 8, and then every 5 weeks until disease progression or unacceptable toxicity.

2.6 Preparation for Administration

Levoleucovorin for Injection

  • Prior to intravenous injection, reconstitute the 50 mg vial of Levoleucovorin for Injection with 5.3 mL of 0.9% Sodium Chloride Injection, USP to yield a levoleucovorin concentration of 10 mg per mL. Reconstitution with Sodium Chloride solutions with preservatives (e.g. benzyl alcohol) has not been studied. The use of solutions other than 0.9% Sodium Chloride Injection, USP is not recommended.
  • The reconstituted 10 mg per mL levoleucovorin contains no preservative. Observe strict aseptic technique during reconstitution of the drug product. Discard unused portion.
  • Saline reconstituted levoleucovorin solutions may be further diluted, immediately, to concentrations of 0.5 mg/mL to 5 mg/mL in 0.9% Sodium Chloride Injection, USP or 5% Dextrose Injection, USP. Do not store the reconstituted product or reconstituted product diluted using 0.9% Sodium Chloride Injection, USP for more than 12 hours at room temperature. Do not store reconstituted product diluted using 5% Dextrose Injection, USP for more than 4 hours at room temperature.
  • Visually inspect the reconstituted solution for particulate matter and discoloration prior to administration. Do not use if cloudiness or precipitate is observed.
  • Do not intravenously inject more than 16 mL of reconstituted solutions (160 mg of levoleucovorin) per minute, because of the calcium content of the levoleucovorin solution.
16 How Supplied/storage and Handling (16 HOW SUPPLIED/STORAGE AND HANDLING)

Levoleucovorin for Injection is a sterile white to pale yellow lyophilized powder in a single dose vial available as: 50 mg vial – NDC 0143-9558-01

Store at 20°C to 25°C (68°F to 77°F) [See USP Controlled Room Temperature]. Retain in carton until contents are used. Protect from light.

Manufactured by:

HIKMA FARMACÊUTICA (PORTUGAL), S.A.

Estrada do Rio da Mó, 8, 8A e 8B – Fervença – 2705-906 Terrugem SNT, PORTUGAL

Distributed by:

West-Ward Pharmaceuticals

Eatontown, NJ 07724 USA

Revised April 2021

PIN396-WES/4

Package/label Principal Display Panel (PACKAGE/LABEL PRINCIPAL DISPLAY PANEL)

NDC 0143-9558-01   

Levoleucovorin

For Injection

50 mg/vial

present as levoleucovorin calcium

For Intravenous Use

Lyophilized

Sterile Single-dose Vial

Rx only

7.1 Effects of Leucovorin Products On Other Drugs (7.1 Effects of Leucovorin Products on Other Drugs)

Antiepileptic Drugs

Folic acid in large amounts may counteract the antiepileptic effect of phenobarbital, phenytoin and primidone and increase the frequency of seizures in susceptible children. It is not known whether folinic acid has the same effects; however, both folic and folinic acids share some common metabolic pathways. Monitor patients taking folinic acid in combination with antiepileptic drugs.

Fluorouracil

Leucovorin products increase the toxicity of fluorouracil. Do not initiate or continue therapy with Levoleucovorin for Injection and fluorouracil in patients with symptoms of gastrointestinal toxicity until those symptoms have resolved. Monitor patients with diarrhea until the diarrhea has resolved, as rapid deterioration leading to death can occur [see Warnings and Precautions (5.2)].

Trimethoprim-Sulfamethoxazole

The concomitant use of d,l-leucovorin with trimethoprim-sulfamethoxazole for the acute treatment of Pneumocystis jiroveci pneumonia in patients with HIV infection was associated with increased rates of treatment failure and morbidity in a placebo-controlled study [see Warnings and Precautions (5.3)].

5.3 Drug Interaction With Trimethoprim Sulfamethoxazole (5.3 Drug Interaction with Trimethoprim-Sulfamethoxazole)

The concomitant use of d,l-leucovorin with trimethoprim-sulfamethoxazole for the acute treatment of Pneumocystis jiroveci pneumonia in patients with HIV infection was associated with increased rates of treatment failure and morbidity [see Drug Interactions (7)].

13.1 Carcinogenesis, Mutagenesis, Impairment of Fertility

No studies have been conducted to evaluate the potential of levoleucovorin for carcinogenesis, mutagenesis and impairment of fertility.

5.2 Increased Gastrointestinal Toxicities With Fluorouracil (5.2 Increased Gastrointestinal Toxicities with Fluorouracil)

Leucovorin products increase the toxicities of fluorouracil [see Drug Interactions (7)]. Gastrointestinal toxicities, including stomatitis and diarrhea, occur more commonly and may be of greater severity and of prolonged duration. Deaths from severe enterocolitis, diarrhea, and dehydration have occurred in elderly patients receiving weekly d,l-leucovorin and fluorouracil.

Monitor patients for gastrointestinal toxicities. Do not initiate or continue therapy with Levoleucovorin for Injection and fluorouracil in patients with symptoms of gastrointestinal toxicity until those symptoms have resolved. Monitor patients with diarrhea until resolved, as rapid deterioration leading to death can occur.

2.2 Co Administration of Levoleucovorin for Injection With Other Agents (2.2 Co-administration of Levoleucovorin for Injection with other agents)

Due to the risk of precipitation, do not co-administer Levoleucovorin for Injection with other agents in the same admixture.

2.3  Recommended Dosage for Rescue After High Dose Methotrexate Therapy (2.3  Recommended Dosage for Rescue After High-Dose Methotrexate Therapy)

The recommended dosage for Levoleucovorin for Injection is based on a methotrexate dose of 12 grams/m2 administered by intravenous infusion over 4 hours. Twenty-four hours after starting the methotrexate infusion, initiate Levoleucovorin for Injection at a dose of 7.5 mg (approximately 5 mg/m2) as an intravenous infusion every 6 hours.

Monitor serum creatinine and methotrexate levels at least once daily. Continue Levoleucovorin for Injection administration, hydration, and urinary alkalinization (pH of 7 or greater) until the methotrexate level is below 5 x 10-8 M (0.05 micromolar). Adjust the Levoleucovorin for Injection dose or extend the duration as recommended in Table 1.

Table 1 Recommended Dosage for Levoleucovorin for Injection based on Serum Methotrexate and Creatinine Levels



 Clinical Situation Laboratory Findings   Recommendation
Normal Methotrexate Elimination Serum methotrexate level approximately 10 micromolar at 24 hours after administration, 1 micromolar at 48 hours, and less than 0.2 micromolar at 72 hours  Administer 7.5 mg by intravenous infusion every 6 hours for 60 hours (10 doses starting at 24 hours after start of methotrexate infusion).
Delayed Late Methotrexate Elimination Serum methotrexate level remaining above 0.2 micromolar at 72 hours, and more than 0.05 micromolar at 96 hours after administration. Continue 7.5 mg by intravenous infusion every 6 hours until methotrexate level is less than 0.05 micromolar.
Delayed Early Methotrexate Elimination and/or Evidence of Acute Renal Injury Serum methotrexate level of 50 micromolar or more at 24 hours, or 5 micromolar or more at 48 hours after administration

OR

100% or greater increase in serum creatinine level at 24 hours after methotrexate administration (e.g., an increase from 0.5 mg/dL to a level of 1 mg/dL or more).
 Administer 75 mg by intravenous infusion every 3 hours until methotrexate level is less than 1 micromolar; then 7.5 mg by intravenous infusion every 3 hours until methotrexate level is less than 0.05 micromolar.

* These patients are likely to develop reversible renal failure. In addition to appropriate Levoleucovorin for Injection therapy, continue hydration and urinary alkalinization and monitor fluid and electrolyte status, until the serum methotrexate level has fallen to below 0.05 micromolar and the renal failure has resolved.

Impaired Methotrexate Elimination or Renal Impairment

Decreased methotrexate elimination or renal impairment which are clinically important but less severe than the abnormalities described in Table 1 can occur following methotrexate administration. If toxicity associated with methotrexate is observed, in subsequent courses extend Levoleucovorin for Injection rescue for an additional 24 hours (total of 14 doses over 84 hours).

Third-Space Fluid Collection and Other Causes of Delayed Methotrexate Elimination

Accumulation in a third space fluid collection (i.e., ascites, pleural effusion), renal insufficiency, or inadequate hydration can delay methotrexate elimination. Under such circumstances, higher doses of Levoleucovorin for Injection or prolonged administration may be indicated.

2.5 Dosage in Combination With Fluorouracil for Metastatic Colorectal Cancer (2.5 Dosage in Combination with Fluorouracil for Metastatic Colorectal Cancer)

The following regimens have been used for the treatment of colorectal cancer:

  • Levoleucovorin for Injection 100 mg/m2 by intravenous injection over a minimum of 3 minutes, followed by fluorouracil at 370 mg/m2 by intravenous injection, once daily for 5 consecutive days.
  • Levoleucovorin for Injection 10 mg/m2 by intravenous injection, followed by fluorouracil 425 mg/m2 by intravenous injection, once daily for 5 consecutive days.

Administer fluorouracil and Levoleucovorin for Injection separately to avoid the formation of a precipitate.

This five-day course may be repeated every 4 weeks for 2 courses, then every 4 to 5 weeks, if the patient has recovered from the toxicity from the prior course. Do not adjust Levoleucovorin for Injection dosage for toxicity.

Refer to fluorouracil prescribing information for information on fluorouracil dosage and dosage modifications for adverse reactions.

14.1 Rescue After High Dose Methotrexate Therapy in Patients With Osteosarcoma (14.1 Rescue after High-Dose Methotrexate Therapy in Patients with Osteosarcoma)

The efficacy of levoleucovorin rescue following high-dose methotrexate was evaluated in 16 patients aged 6 to 21 years who received 58 courses of therapy for osteogenic sarcoma. High-dose methotrexate was one component of several different combination chemotherapy regimens evaluated across several trials. Methotrexate 12 grams/m2 as an intravenous infusion over 4 hours was administered to 13 patients, who received Levoleucovorin for Injection 7.5 mg by intravenous infusion every 6 hours for 60 hours or longer beginning 24 hours after completion of methotrexate. Three patients received methotrexate 12.5 grams/m2 intravenously over 6 hours, followed by Levoleucovorin for Injection 7.5 mg by intravenous infusion every 3 hours for 18 doses beginning 12 hours after completion of methotrexate. The mean number of Levoleucovorin for Injection doses per course was 18.2 and the mean total dose per course was 350 mg. The efficacy of Levoleucovorin for Injection rescue following high-dose methotrexate was based on the adverse reaction profile [See Adverse Reactions (6.1)].

2.4 Recommended Dosage for Overdosage of Folic Acid Antagonists Or Impaired Methotrexate Elimination (2.4 Recommended Dosage for Overdosage of Folic Acid Antagonists or Impaired Methotrexate Elimination)

Start Levoleucovorin for Injection as soon as possible after an overdosage of methotrexate or within 24 hours of methotrexate administration when methotrexate elimination is impaired. As the time interval between methotrexate administration and Levoleucovorin for Injection increases, the effectiveness of Levoleucovorin for Injection to diminish methotrexate toxicity may decrease. Administer Levoleucovorin for Injection 7.5 mg (approximately 5 mg/m2 ) by intravenous infusion every 6 hours until the serum methotrexate level is less than 5 x 10-8 M (0.05 micromolar).

Monitor serum creatinine and methotrexate levels at least every 24 hours. Increase the dosage of Levoleucovorin for Injection to 50 mg/m2 intravenously every 3 hours and continue Levoleucovorin for Injection at this dosage until the methotrexate level is less than 5 x 10-8 M for the following:

  • if serum creatinine at 24-hours increases 50% or more compared to baseline
  • if the methotrexate level at 24-hours is greater than 5 x 10-6 M
  • if the methotrexate level at 48-hours is greater than 9 x 10-7 M,

Continue concomitant hydration (3 L per day) and urinary alkalinization with sodium bicarbonate. Adjust the sodium bicarbonate dose to maintain urine pH at 7 or greater.


Advanced Ingredient Data


Raw Label Data

All Sections (JSON)