Pilocarpine Hydrochloride Ophthalmic Solution

these highlights do not include all the information needed to use pilocarpine hydrochloride ophthalmic solution safely and effectively. see full prescribing information for pilocarpine hydrochloride ophthalmic solution.
SPL v8
SPL
SPL Set ID 53fa0b7a-f982-48a7-92c4-6f098683c1ed
Route
ophthalmic
Published
Effective Date 2020-05-19
Document Type 34391-3 HUMAN PRESCRIPTION DRUG LABEL

Drug Facts

Composition & Product

Active Ingredients
pilocarpine (10 mg)
Inactive Ingredients
benzalkonium chloride hypromellose 2910 (15 mpa.s) boric acid sodium citrate, unspecified form sodium chloride hydrochloric acid sodium hydroxide water

Identifiers & Packaging

Marketing Status
nda authorized generic active Since 2011-09-30

Indications and Usage

Pilocarpine hydrochloride ophthalmic solution is indicated for the:

Contraindications

None.

Warnings and Precautions

• Poor Illumination : Exercise caution in night driving and other hazardous occupations in poor illumination. ( 5.1 ) • Preexisting Retinal Disease : Rare cases of retinal detachment have been reported; a thorough examination of the retina, including funduscopy is advised in all patients prior to the initiation of therapy. ( 5.2 ) • Iritis : Caution is advised in patients with iritis. ( 5.3 ) • Congenital Glaucoma : Caution is advised in pediatric patients with primary congenital glaucoma for control of IOP as cases of a paradoxical increase in IOP have been reported. ( 5.4 )

Adverse Reactions

Most common adverse reactions are headache/browache, accommodative change, eye irritation, eye pain, blurred vision, and/or visual impairment. ( 6.1 ) To report SUSPECTED ADVERSE REACTIONS, contact Sandoz Inc. at 1-800-525-8747 or FDA at 1-800-FDA-1088 or www.fda.gov/medwatch .

How Supplied

Pilocarpine hydrochloride ophthalmic solution 1%, 2%, and 4% is supplied sterile in natural low density polyethylene plastic ophthalmic dispensers and green low density polyethylene tips with green polypropylene caps.   15 mL in 15 mL bottles 1%: NDC 61314-203-15 2%: NDC 61314-204-15 4%: NDC 61314-206-15  STORAGE: Store at 20°C to 25°C (68°F to 77°F), excursions permitted between 15°C and 30°C (59°F and 86°F) [see USP Controlled Room Temperature]. Protect from freezing.

Storage and Handling

Pilocarpine hydrochloride ophthalmic solution 1%, 2%, and 4% is supplied sterile in natural low density polyethylene plastic ophthalmic dispensers and green low density polyethylene tips with green polypropylene caps.   15 mL in 15 mL bottles 1%: NDC 61314-203-15 2%: NDC 61314-204-15 4%: NDC 61314-206-15  STORAGE: Store at 20°C to 25°C (68°F to 77°F), excursions permitted between 15°C and 30°C (59°F and 86°F) [see USP Controlled Room Temperature]. Protect from freezing.

Description

Pilocarpine hydrochloride ophthalmic solution is indicated for the:


Medication Information

Warnings and Precautions

• Poor Illumination : Exercise caution in night driving and other hazardous occupations in poor illumination. ( 5.1 ) • Preexisting Retinal Disease : Rare cases of retinal detachment have been reported; a thorough examination of the retina, including funduscopy is advised in all patients prior to the initiation of therapy. ( 5.2 ) • Iritis : Caution is advised in patients with iritis. ( 5.3 ) • Congenital Glaucoma : Caution is advised in pediatric patients with primary congenital glaucoma for control of IOP as cases of a paradoxical increase in IOP have been reported. ( 5.4 )

Indications and Usage

Pilocarpine hydrochloride ophthalmic solution is indicated for the:

Contraindications

None.

Adverse Reactions

Most common adverse reactions are headache/browache, accommodative change, eye irritation, eye pain, blurred vision, and/or visual impairment. ( 6.1 ) To report SUSPECTED ADVERSE REACTIONS, contact Sandoz Inc. at 1-800-525-8747 or FDA at 1-800-FDA-1088 or www.fda.gov/medwatch .

Storage and Handling

Pilocarpine hydrochloride ophthalmic solution 1%, 2%, and 4% is supplied sterile in natural low density polyethylene plastic ophthalmic dispensers and green low density polyethylene tips with green polypropylene caps.   15 mL in 15 mL bottles 1%: NDC 61314-203-15 2%: NDC 61314-204-15 4%: NDC 61314-206-15  STORAGE: Store at 20°C to 25°C (68°F to 77°F), excursions permitted between 15°C and 30°C (59°F and 86°F) [see USP Controlled Room Temperature]. Protect from freezing.

How Supplied

Pilocarpine hydrochloride ophthalmic solution 1%, 2%, and 4% is supplied sterile in natural low density polyethylene plastic ophthalmic dispensers and green low density polyethylene tips with green polypropylene caps.   15 mL in 15 mL bottles 1%: NDC 61314-203-15 2%: NDC 61314-204-15 4%: NDC 61314-206-15  STORAGE: Store at 20°C to 25°C (68°F to 77°F), excursions permitted between 15°C and 30°C (59°F and 86°F) [see USP Controlled Room Temperature]. Protect from freezing.

Description

Pilocarpine hydrochloride ophthalmic solution is indicated for the:

Principal Display Panel

NDC 61314-203-15



Pilocarpine

Hydrochloride

Ophthalmic

Solution

1%



Rx only



STERILE



15 mL

 

SANDOZ

NDC 61314-204-15



Pilocarpine

Hydrochloride

Ophthalmic

Solution

2%



Rx only



STERILE



15 mL

 

SANDOZ

NDC 61314-206-15



Pilocarpine

Hydrochloride

Ophthalmic

Solution

4%



Rx only



STERILE



15 mL

 

SANDOZ



5.3 Iritis

Pilocarpine hydrochloride ophthalmic solution is not recommended to be used when iritis is present.

10 Overdosage

Systemic toxicity following topical ocular administration of pilocarpine is rare, but occasionally patients who are sensitive may develop sweating and gastrointestinal overactivity following the suggested dosage and administration. Overdosage can produce sweating, salivation, nausea, tremors and slowing of the pulse and a decrease in blood pressure. In moderate overdosage, spontaneous recovery is to be expected and is aided by intravenous fluids to compensate for dehydration. For patients demonstrating severe poisoning, atropine, the pharmacologic antagonist to pilocarpine, should be used.

8.1 Pregnancy

Animal reproduction studies have not been conducted with pilocarpine hydrochloride. It is also not known whether pilocarpine hydrochloride can cause fetal harm when administered to a pregnant woman or can affect reproduction capacity. Pilocarpine hydrochloride ophthalmic solution should be given to a pregnant woman only if clearly needed.

11 Description

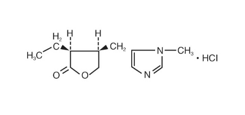
Pilocarpine hydrochloride ophthalmic solution is a cholinergic agonist prepared as a sterile topical ophthalmic solution. The active ingredient is represented by the chemical structure:

Established name: pilocarpine hydrochloride Chemical name: 2(3H)-furanone, 3-ethyldihydro-4-[(1-methyl-1H-imidazol-5-yl)-methyl]- monohydrochloride, (3S-cis)-. Molecular Formula: C11H16N2O2 • HCl; Molecular Weight: 244.72 g/mol. 



Each mL of contains: Active: pilocarpine hydrochloride 1% (10 mg/mL), 2% (20 mg/mL), or 4% (40 mg/mL). Preservative: benzalkonium chloride 0.01%. Inactives: hypromellose 2910, boric acid, sodium citrate, sodium chloride (present in 1% only); hydrochloric acid and/or sodium hydroxide (to adjust pH); purified water. Pilocarpine hydrochloride ophthalmic solution has a pH of 3.5 to 5.5 and an osmolality of 290 to 350 mOsm/kg (1% and 2% products) and 550 to 600 mOsm/kg (4% product).

8.4 Pediatric Use

Safety and effectiveness of pilocarpine hydrochloride ophthalmic solution in pediatric patients have been established.

8.5 Geriatric Use

No overall differences in safety or effectiveness have been observed between elderly and younger patients.

14 Clinical Studies

In clinical trials reported in the medical literature, pilocarpine ophthalmic solution reduced IOP by 3-7 mmHg in patients with open-angle glaucoma. Pilocarpine ophthalmic solution has also been shown to be effective in the induction of miosis, in the prevention of postoperative elevated IOP, and in the management of acute angle-closure glaucoma.

4 Contraindications

None.

6 Adverse Reactions

Most common adverse reactions are headache/browache, accommodative change, eye irritation, eye pain, blurred vision, and/or visual impairment. (6.1)

To report SUSPECTED ADVERSE REACTIONS, contact Sandoz Inc. at 1-800-525-8747 or FDA at 1-800-FDA-1088 or www.fda.gov/medwatch.

8.3 Nursing Mothers

It is not known whether this drug is excreted in human milk. Because many drugs are excreted in human milk, caution should be exercised when pilocarpine hydrochloride ophthalmic solution is administered to a nursing woman.

12.3 Pharmacokinetics

Systemic exposure to pilocarpine was evaluated in 14 healthy subjects administered 2 drops of pilocarpine hydrochloride ophthalmic solution 4% to both eyes four times daily for eight days. A comparison of Cmax values on Days 5 and 8 indicated that pilocarpine concentrations in plasma reached steady-state following topical administration of pilocarpine hydrochloride ophthalmic solution 4%. The mean (SD) Cmax and AUC0-last values on Day 8 were 3.7 (3.2) ng/mL and 7.7 (8.4) ng×hour/mL, respectively. The Tmax values on Day 8 ranged from 0.5 to 1 hour.

5.1 Poor Illumination

Patients should be advised to exercise caution in night driving and other hazardous occupations in poor illumination. In addition, miotics may cause accommodative spasm. Patients should be advised not to drive or use machinery if vision is not clear.

5.5 Contact Lens Wear

Contact lens wearers should be advised to remove their lenses prior to the instillation of pilocarpine hydrochloride ophthalmic solution and to wait 10 minutes after dosing before reinserting their contact lenses.

1 Indications and Usage

Pilocarpine hydrochloride ophthalmic solution is indicated for the:

1.4 Induction of Miosis

.

2.4 Induction of Miosis

One drop of pilocarpine hydrochloride ophthalmic solution 1%, 2%, or 4% (or two drops administered five minutes apart) should be applied topically in the eye(s).

12.1 Mechanism of Action

Pilocarpine hydrochloride is a direct acting cholinergic parasympathomimetic agent which acts through direct stimulation of muscarinic receptors and smooth muscle such as the iris and secretory glands. Pilocarpine contracts the ciliary muscle, causing increased tension on the scleral spur and opening of the trabecular meshwork spaces to facilitate outflow of aqueous humor. Outflow resistance is reduced, lowering IOP. Pilocarpine also produces miosis through contraction of the iris sphincter muscle. Miosis relieves appositional angle narrowing and closure, which lowers IOP in certain types of angle-closure glaucoma.

5 Warnings and Precautions
  • Poor Illumination: Exercise caution in night driving and other hazardous occupations in poor illumination. (5.1)
  • Preexisting Retinal Disease: Rare cases of retinal detachment have been reported; a thorough examination of the retina, including funduscopy is advised in all patients prior to the initiation of therapy. (5.2)
  • Iritis: Caution is advised in patients with iritis. (5.3)
  • Congenital Glaucoma: Caution is advised in pediatric patients with primary congenital glaucoma for control of IOP as cases of a paradoxical increase in IOP have been reported. (5.4)
2 Dosage and Administration

Instill one drop in the eye(s) up to four times daily. (2)

3 Dosage Forms and Strengths

Bottle filled with 15 mL of 1% (10 mg/mL), 2% (20 mg/mL), or 4% (40 mg/mL) pilocarpine hydrochloride sterile ophthalmic solution.

2.6 Use in Pediatric Patients

In children under 2 years of age, one drop of pilocarpine hydrochloride ophthalmic solution 1% should be applied topically in the eye(s) three times daily. Children 2 years of age and over should be dosed as for adults. For the induction of miosis prior to goniotomy or trabeculotomy in children, one drop of pilocarpine hydrochloride ophthalmic solution 1% or 2% should be applied topically in the eye 15 to 60 minutes prior to surgery.

6.1 Clinical Trials Experience

Because clinical trials are conducted under widely varying conditions, adverse reaction rates observed in the clinical trials of a drug cannot be directly compared to rates in the clinical trials of another drug and may not reflect the rates observed in practice.

The safety data described below reflect exposure in four controlled clinical trials of 90 days to 2 years duration in 317 patients diagnosed with open-angle glaucoma or ocular hypertension. In the four clinical trials, patients were treated with pilocarpine hydrochloride ophthalmic solution 2%, two to four times daily or with pilocarpine 1%, 1.75%, or 2% in fixed combination with betaxolol 0.25%, two or three times daily. The most frequently reported adverse reactions occurring in ≥ 5% of patients in the pilocarpine 2% populations were: headache/brow ache, accommodative change, blurred vision, eye irritation, visual impairment (dim, dark, or “jumping” vision), and eye pain.

The adverse reaction profile reported for the use of pilocarpine hydrochloride ophthalmic solution in pediatric patients is comparable to that seen in adult patients.

5.2 Preexisting Retinal Disease

As with all miotics, rare cases of retinal detachment have been reported when used in certain susceptible individuals and those with preexisting retinal disease; therefore, a thorough examination of the retina including funduscopy is advised in all patients prior to the initiation of therapy.

5.4 Primary Congenital Glaucoma

Caution is advised when using pilocarpine hydrochloride ophthalmic solution in pediatric patients with primary congenital glaucoma for control of IOP as cases of a paradoxical increase in IOP have been reported. In addition, the use of pilocarpine hydrochloride ophthalmic solution is not recommended in pediatric patients diagnosed with glaucoma secondary to anterior segment dysgenesis or uveitis (especially if uveitis is active).

17 Patient Counseling Information

Avoiding Contamination of the Product

Do not touch dropper tip to any surface, as this may contaminate the contents.

Night Driving

Caution is advised with night driving and when hazardous activities are undertaken in poor illumination.

Accommodative Spasm

Pilocarpine hydrochloride ophthalmic solution may cause problems when changing focus between near objects and distant objects. Do not drive or use machinery if vision is not clear.

Contact Lens Wear

Contact lens should be removed prior to the instillation of pilocarpine hydrochloride ophthalmic solution. Wait 10 minutes after dosing before reinserting contact lenses.

Concomitant Topical Ocular Therapy

If more than one topical ophthalmic medication is being used, the medicines must be administered at least 5 minutes apart.

Systemic Exposure

To limit exposure to pilocarpine to the eye alone, close eyes gently and apply pressure with finger to the corner of eye by the nose for 2 minutes after instillation of pilocarpine hydrochloride ophthalmic solution.

update to

Manufactured by

Alcon Laboratories, Inc.

Fort Worth, Texas 76134 for

Sandoz Inc.

Princeton, NJ 08540

T2020-98

300072245-0825

16 How Supplied/storage and Handling

Pilocarpine hydrochloride ophthalmic solution 1%, 2%, and 4% is supplied sterile in natural low density polyethylene plastic ophthalmic dispensers and green low density polyethylene tips with green polypropylene caps.  



15 mL in 15 mL bottles

1%: NDC 61314-203-15

2%: NDC 61314-204-15

4%: NDC 61314-206-15 



STORAGE: Store at 20°C to 25°C (68°F to 77°F), excursions permitted between 15°C and 30°C (59°F and 86°F) [see USP Controlled Room Temperature]. Protect from freezing.

1.2 Management of Acute Angle Closure Glaucoma

.

2.2 Management of Acute Angle Closure Glaucoma

Prior to pilocarpine hydrochloride ophthalmic solution use, treatment with secretory suppressants and hyperosmotic agents may be needed to lower IOP below 50 mmHg and relieve iris ischemia. 



For initial management of acute angle-closure glaucoma, one drop of pilocarpine hydrochloride ophthalmic solution 1% or 2% may be applied topically in the eye(s) up to three times over a 30-minute period. 



If laser iridoplasty or iridomy is used to break the attack, one drop of pilocarpine hydrochloride ophthalmic solution 4% should be administered prior to the procedure. Following laser iridoplasty, one drop of pilocarpine hydrochloride ophthalmic solution 1% should be administered four times daily until an iridotomy can be performed.

2.5 Use With Other Topical Ophthalmic Medications

Pilocarpine hydrochloride ophthalmic solution may be used in combination with beta-blockers, carbonic anhydrase inhibitors, sympathomimetics or hyperosmotic agents. If more than one topical ophthalmic drug is being used, the drugs should be administered at least five minutes apart.

13.1 Carcinogenesis, Mutagenesis, Impairment of Fertility

There have been no long-term studies done using pilocarpine hydrochloride in animals to evaluate carcinogenic potential.

1.3 Prevention of Postoperative Elevated Iop Associated With Laser Surgery

.

2.3 Prevention of Postoperative Elevated Iop Associated With Laser Surgery

One drop of pilocarpine hydrochloride ophthalmic solution 1%, 2%, or 4% (or two drops administered five minutes apart) should be applied topically in the eye(s) 15 to 60 minutes prior to surgery.

2.1 Reduction of Elevated Iop in Patients With Open Angle Glaucoma Or Ocular Hypertension

One drop of pilocarpine hydrochloride ophthalmic solution 1%, 2%, or 4% should be applied topically in the eye(s) up to four times daily.  



Pilocarpine-naïve patients should be started on the 1% concentration as higher concentrations are often not tolerated initially. The frequency of instillation and concentration of pilocarpine hydrochloride ophthalmic solution are determined by the severity of the elevated intraocular pressure and miotic response of the patient. To limit systemic exposure to pilocarpine, patients may be instructed to perform punctal occlusion for 2 minutes after instillation of pilocarpine hydrochloride ophthalmic solution.

1.1 Reduction of Elevated Intraocular Pressure (iop) in Patients With Open Angle Glaucoma Or Ocular Hypertension

.


Structured Label Content

Principal Display Panel (PRINCIPAL DISPLAY PANEL)

NDC 61314-203-15



Pilocarpine

Hydrochloride

Ophthalmic

Solution

1%



Rx only



STERILE



15 mL

 

SANDOZ

NDC 61314-204-15



Pilocarpine

Hydrochloride

Ophthalmic

Solution

2%



Rx only



STERILE



15 mL

 

SANDOZ

NDC 61314-206-15



Pilocarpine

Hydrochloride

Ophthalmic

Solution

4%



Rx only



STERILE



15 mL

 

SANDOZ



5.3 Iritis

Pilocarpine hydrochloride ophthalmic solution is not recommended to be used when iritis is present.

10 Overdosage (10 OVERDOSAGE)

Systemic toxicity following topical ocular administration of pilocarpine is rare, but occasionally patients who are sensitive may develop sweating and gastrointestinal overactivity following the suggested dosage and administration. Overdosage can produce sweating, salivation, nausea, tremors and slowing of the pulse and a decrease in blood pressure. In moderate overdosage, spontaneous recovery is to be expected and is aided by intravenous fluids to compensate for dehydration. For patients demonstrating severe poisoning, atropine, the pharmacologic antagonist to pilocarpine, should be used.

8.1 Pregnancy

Animal reproduction studies have not been conducted with pilocarpine hydrochloride. It is also not known whether pilocarpine hydrochloride can cause fetal harm when administered to a pregnant woman or can affect reproduction capacity. Pilocarpine hydrochloride ophthalmic solution should be given to a pregnant woman only if clearly needed.

11 Description (11 DESCRIPTION)

Pilocarpine hydrochloride ophthalmic solution is a cholinergic agonist prepared as a sterile topical ophthalmic solution. The active ingredient is represented by the chemical structure:

Established name: pilocarpine hydrochloride Chemical name: 2(3H)-furanone, 3-ethyldihydro-4-[(1-methyl-1H-imidazol-5-yl)-methyl]- monohydrochloride, (3S-cis)-. Molecular Formula: C11H16N2O2 • HCl; Molecular Weight: 244.72 g/mol. 



Each mL of contains: Active: pilocarpine hydrochloride 1% (10 mg/mL), 2% (20 mg/mL), or 4% (40 mg/mL). Preservative: benzalkonium chloride 0.01%. Inactives: hypromellose 2910, boric acid, sodium citrate, sodium chloride (present in 1% only); hydrochloric acid and/or sodium hydroxide (to adjust pH); purified water. Pilocarpine hydrochloride ophthalmic solution has a pH of 3.5 to 5.5 and an osmolality of 290 to 350 mOsm/kg (1% and 2% products) and 550 to 600 mOsm/kg (4% product).

8.4 Pediatric Use

Safety and effectiveness of pilocarpine hydrochloride ophthalmic solution in pediatric patients have been established.

8.5 Geriatric Use

No overall differences in safety or effectiveness have been observed between elderly and younger patients.

14 Clinical Studies (14 CLINICAL STUDIES)

In clinical trials reported in the medical literature, pilocarpine ophthalmic solution reduced IOP by 3-7 mmHg in patients with open-angle glaucoma. Pilocarpine ophthalmic solution has also been shown to be effective in the induction of miosis, in the prevention of postoperative elevated IOP, and in the management of acute angle-closure glaucoma.

4 Contraindications (4 CONTRAINDICATIONS)

None.

6 Adverse Reactions (6 ADVERSE REACTIONS)

Most common adverse reactions are headache/browache, accommodative change, eye irritation, eye pain, blurred vision, and/or visual impairment. (6.1)

To report SUSPECTED ADVERSE REACTIONS, contact Sandoz Inc. at 1-800-525-8747 or FDA at 1-800-FDA-1088 or www.fda.gov/medwatch.

8.3 Nursing Mothers

It is not known whether this drug is excreted in human milk. Because many drugs are excreted in human milk, caution should be exercised when pilocarpine hydrochloride ophthalmic solution is administered to a nursing woman.

12.3 Pharmacokinetics

Systemic exposure to pilocarpine was evaluated in 14 healthy subjects administered 2 drops of pilocarpine hydrochloride ophthalmic solution 4% to both eyes four times daily for eight days. A comparison of Cmax values on Days 5 and 8 indicated that pilocarpine concentrations in plasma reached steady-state following topical administration of pilocarpine hydrochloride ophthalmic solution 4%. The mean (SD) Cmax and AUC0-last values on Day 8 were 3.7 (3.2) ng/mL and 7.7 (8.4) ng×hour/mL, respectively. The Tmax values on Day 8 ranged from 0.5 to 1 hour.

5.1 Poor Illumination

Patients should be advised to exercise caution in night driving and other hazardous occupations in poor illumination. In addition, miotics may cause accommodative spasm. Patients should be advised not to drive or use machinery if vision is not clear.

5.5 Contact Lens Wear

Contact lens wearers should be advised to remove their lenses prior to the instillation of pilocarpine hydrochloride ophthalmic solution and to wait 10 minutes after dosing before reinserting their contact lenses.

1 Indications and Usage (1 INDICATIONS AND USAGE)

Pilocarpine hydrochloride ophthalmic solution is indicated for the:

1.4 Induction of Miosis

.

2.4 Induction of Miosis

One drop of pilocarpine hydrochloride ophthalmic solution 1%, 2%, or 4% (or two drops administered five minutes apart) should be applied topically in the eye(s).

12.1 Mechanism of Action

Pilocarpine hydrochloride is a direct acting cholinergic parasympathomimetic agent which acts through direct stimulation of muscarinic receptors and smooth muscle such as the iris and secretory glands. Pilocarpine contracts the ciliary muscle, causing increased tension on the scleral spur and opening of the trabecular meshwork spaces to facilitate outflow of aqueous humor. Outflow resistance is reduced, lowering IOP. Pilocarpine also produces miosis through contraction of the iris sphincter muscle. Miosis relieves appositional angle narrowing and closure, which lowers IOP in certain types of angle-closure glaucoma.

5 Warnings and Precautions (5 WARNINGS AND PRECAUTIONS)
  • Poor Illumination: Exercise caution in night driving and other hazardous occupations in poor illumination. (5.1)
  • Preexisting Retinal Disease: Rare cases of retinal detachment have been reported; a thorough examination of the retina, including funduscopy is advised in all patients prior to the initiation of therapy. (5.2)
  • Iritis: Caution is advised in patients with iritis. (5.3)
  • Congenital Glaucoma: Caution is advised in pediatric patients with primary congenital glaucoma for control of IOP as cases of a paradoxical increase in IOP have been reported. (5.4)
2 Dosage and Administration (2 DOSAGE AND ADMINISTRATION)

Instill one drop in the eye(s) up to four times daily. (2)

3 Dosage Forms and Strengths (3 DOSAGE FORMS AND STRENGTHS)

Bottle filled with 15 mL of 1% (10 mg/mL), 2% (20 mg/mL), or 4% (40 mg/mL) pilocarpine hydrochloride sterile ophthalmic solution.

2.6 Use in Pediatric Patients

In children under 2 years of age, one drop of pilocarpine hydrochloride ophthalmic solution 1% should be applied topically in the eye(s) three times daily. Children 2 years of age and over should be dosed as for adults. For the induction of miosis prior to goniotomy or trabeculotomy in children, one drop of pilocarpine hydrochloride ophthalmic solution 1% or 2% should be applied topically in the eye 15 to 60 minutes prior to surgery.

6.1 Clinical Trials Experience

Because clinical trials are conducted under widely varying conditions, adverse reaction rates observed in the clinical trials of a drug cannot be directly compared to rates in the clinical trials of another drug and may not reflect the rates observed in practice.

The safety data described below reflect exposure in four controlled clinical trials of 90 days to 2 years duration in 317 patients diagnosed with open-angle glaucoma or ocular hypertension. In the four clinical trials, patients were treated with pilocarpine hydrochloride ophthalmic solution 2%, two to four times daily or with pilocarpine 1%, 1.75%, or 2% in fixed combination with betaxolol 0.25%, two or three times daily. The most frequently reported adverse reactions occurring in ≥ 5% of patients in the pilocarpine 2% populations were: headache/brow ache, accommodative change, blurred vision, eye irritation, visual impairment (dim, dark, or “jumping” vision), and eye pain.

The adverse reaction profile reported for the use of pilocarpine hydrochloride ophthalmic solution in pediatric patients is comparable to that seen in adult patients.

5.2 Preexisting Retinal Disease

As with all miotics, rare cases of retinal detachment have been reported when used in certain susceptible individuals and those with preexisting retinal disease; therefore, a thorough examination of the retina including funduscopy is advised in all patients prior to the initiation of therapy.

5.4 Primary Congenital Glaucoma

Caution is advised when using pilocarpine hydrochloride ophthalmic solution in pediatric patients with primary congenital glaucoma for control of IOP as cases of a paradoxical increase in IOP have been reported. In addition, the use of pilocarpine hydrochloride ophthalmic solution is not recommended in pediatric patients diagnosed with glaucoma secondary to anterior segment dysgenesis or uveitis (especially if uveitis is active).

17 Patient Counseling Information (17 PATIENT COUNSELING INFORMATION)

Avoiding Contamination of the Product

Do not touch dropper tip to any surface, as this may contaminate the contents.

Night Driving

Caution is advised with night driving and when hazardous activities are undertaken in poor illumination.

Accommodative Spasm

Pilocarpine hydrochloride ophthalmic solution may cause problems when changing focus between near objects and distant objects. Do not drive or use machinery if vision is not clear.

Contact Lens Wear

Contact lens should be removed prior to the instillation of pilocarpine hydrochloride ophthalmic solution. Wait 10 minutes after dosing before reinserting contact lenses.

Concomitant Topical Ocular Therapy

If more than one topical ophthalmic medication is being used, the medicines must be administered at least 5 minutes apart.

Systemic Exposure

To limit exposure to pilocarpine to the eye alone, close eyes gently and apply pressure with finger to the corner of eye by the nose for 2 minutes after instillation of pilocarpine hydrochloride ophthalmic solution.

update to

Manufactured by

Alcon Laboratories, Inc.

Fort Worth, Texas 76134 for

Sandoz Inc.

Princeton, NJ 08540

T2020-98

300072245-0825

16 How Supplied/storage and Handling (16 HOW SUPPLIED/STORAGE AND HANDLING)

Pilocarpine hydrochloride ophthalmic solution 1%, 2%, and 4% is supplied sterile in natural low density polyethylene plastic ophthalmic dispensers and green low density polyethylene tips with green polypropylene caps.  



15 mL in 15 mL bottles

1%: NDC 61314-203-15

2%: NDC 61314-204-15

4%: NDC 61314-206-15 



STORAGE: Store at 20°C to 25°C (68°F to 77°F), excursions permitted between 15°C and 30°C (59°F and 86°F) [see USP Controlled Room Temperature]. Protect from freezing.

1.2 Management of Acute Angle Closure Glaucoma (1.2 Management of Acute Angle-Closure Glaucoma)

.

2.2 Management of Acute Angle Closure Glaucoma (2.2 Management of Acute Angle-Closure Glaucoma)

Prior to pilocarpine hydrochloride ophthalmic solution use, treatment with secretory suppressants and hyperosmotic agents may be needed to lower IOP below 50 mmHg and relieve iris ischemia. 



For initial management of acute angle-closure glaucoma, one drop of pilocarpine hydrochloride ophthalmic solution 1% or 2% may be applied topically in the eye(s) up to three times over a 30-minute period. 



If laser iridoplasty or iridomy is used to break the attack, one drop of pilocarpine hydrochloride ophthalmic solution 4% should be administered prior to the procedure. Following laser iridoplasty, one drop of pilocarpine hydrochloride ophthalmic solution 1% should be administered four times daily until an iridotomy can be performed.

2.5 Use With Other Topical Ophthalmic Medications

Pilocarpine hydrochloride ophthalmic solution may be used in combination with beta-blockers, carbonic anhydrase inhibitors, sympathomimetics or hyperosmotic agents. If more than one topical ophthalmic drug is being used, the drugs should be administered at least five minutes apart.

13.1 Carcinogenesis, Mutagenesis, Impairment of Fertility

There have been no long-term studies done using pilocarpine hydrochloride in animals to evaluate carcinogenic potential.

1.3 Prevention of Postoperative Elevated Iop Associated With Laser Surgery (1.3 Prevention of Postoperative Elevated IOP Associated With Laser Surgery)

.

2.3 Prevention of Postoperative Elevated Iop Associated With Laser Surgery (2.3 Prevention of Postoperative Elevated IOP Associated With Laser Surgery)

One drop of pilocarpine hydrochloride ophthalmic solution 1%, 2%, or 4% (or two drops administered five minutes apart) should be applied topically in the eye(s) 15 to 60 minutes prior to surgery.

2.1 Reduction of Elevated Iop in Patients With Open Angle Glaucoma Or Ocular Hypertension (2.1 Reduction of Elevated IOP in Patients With Open-Angle Glaucoma or Ocular Hypertension)

One drop of pilocarpine hydrochloride ophthalmic solution 1%, 2%, or 4% should be applied topically in the eye(s) up to four times daily.  



Pilocarpine-naïve patients should be started on the 1% concentration as higher concentrations are often not tolerated initially. The frequency of instillation and concentration of pilocarpine hydrochloride ophthalmic solution are determined by the severity of the elevated intraocular pressure and miotic response of the patient. To limit systemic exposure to pilocarpine, patients may be instructed to perform punctal occlusion for 2 minutes after instillation of pilocarpine hydrochloride ophthalmic solution.

1.1 Reduction of Elevated Intraocular Pressure (iop) in Patients With Open Angle Glaucoma Or Ocular Hypertension (1.1 Reduction of Elevated Intraocular Pressure (IOP) in Patients With Open-Angle Glaucoma or Ocular Hypertension)

.


Advanced Ingredient Data


Raw Label Data

All Sections (JSON)