These Highlights Do Not Include All The Information Needed To Use Quetiapine Tablets Safely And Effectively. See Full Prescribing Information For Quetiapine Tablets.

These Highlights Do Not Include All The Information Needed To Use Quetiapine Tablets Safely And Effectively. See Full Prescribing Information For Quetiapine Tablets.
SPL v9
SPL
SPL Set ID 531cbe20-dff2-4983-9788-4543079f83ff
Route
ORAL
Published
Effective Date 2023-03-16
Document Type 34391-3 Human Prescription Drug Label

Drug Facts

Composition & Product

Active Ingredients
Quetiapine (25 mg)
Inactive Ingredients
Povidone Calcium Phosphate, Dibasic, Dihydrate Cellulose, Microcrystalline Sodium Starch Glycolate Type A Potato Lactose Monohydrate Magnesium Stearate Silicon Dioxide Hypromelloses Polyethylene Glycol 400 Titanium Dioxide Ferric Oxide Red Ferric Oxide Yellow

Identifiers & Packaging

Pill Appearance
Imprint: F77 Shape: round Shape: capsule Color: pink Color: white Color: yellow Size: 6 mm Size: 7 mm Size: 10 mm Size: 11 mm Size: 19 mm Size: 20 mm Score: 1
Marketing Status
ANDA Active Since 2016-06-14

Description

Increased Mortality in Elderly Patients with Dementia-Related Psychosis Elderly patients with dementia-related psychosis treated with antipsychotic drugs are at an increased risk of death [see Warnings and Precautions ( 5.1 )].   Quetiapine is not approved for the treatment of patients with dementia-related psychosis [see Warnings and Precautions ( 5.1 )]. Suicidal Thoughts and Behaviors Antidepressants increased the risk of suicidal thoughts and behavior in children, adolescents, and young adults in short-term studies. These studies did not show an increase in the risk of suicidal thoughts and behavior with antidepressant use in patients over age 24; there was a reduction in risk with antidepressant use in patients aged 65 and older [see Warnings and Precautions ( 5.2 )]. In patients of all ages who are started on antidepressant therapy, monitor closely for worsening, and for emergence of suicidal thoughts and behaviors. Advise families and caregivers of the need for close observation and communication with the prescriber [ see Warnings and Precautions ( 5.2 )]. Quetiapine tablets are not approved for use in pediatric patients under ten years of age [see Use in Specific Populations ( 8.4 )].

Dosage and Administration

• Quetiapine tablets can be taken with or without food ( 2.1 ) Indication Initial Dose Recommended Dose Maximum Dose Schizophrenia-Adults (2.2) 25 mg twice daily 150 to 750 mg/day 750 mg/day Schizophrenia- Adolescents (13-17 years) (2.2) 25 mg twice daily   400 to  800 mg/day 800 mg/day Bipolar Mania- Adults Monotherapy or as an adjunct to lithium or divalproex (2.2)   50 mg twice daily   400 to 800 mg/day   800 mg/day   Bipolar Mania- Children and Adolescents (10 to 17 years), Monotherapy (2.2) 25 mg twice daily 400 to 600 mg/day 600 mg/day Bipolar Depression- Adults (2.2) 50 mg once daily at bedtime 300 mg/day 300 mg/day • Geriatric Use: Consider a lower starting dose (50 mg/day), slower titration and careful monitoring during the initial dosing period in the elderly ( 2.3 , 8.5 ) • Hepatic Impairment: Lower starting dose (25 mg/day) and slower titration may be needed ( 2.4 , 8.7 , 12.3 )

Warnings and Precautions

• Cerebrovascular Adverse Reactions: Increased incidence of cerebrovascular adverse reactions (e.g., stroke, transient ischemic attack) has been seen in elderly patients with dementia-related psychoses treated with atypical antipsychotic drugs ( 5.3 ) • Neuroleptic Malignant Syndrome (NMS): Manage with immediate discontinuation and close monitoring ( 5.4 ) • Metabolic Changes: Atypical antipsychotics have been associated with metabolic changes. These metabolic changes include hyperglycemia, dyslipidemia, and weight gain ( 5.5 )              • Hyperglycemia and Diabetes Mellitus: Monitor patients for symptoms of hyperglycemia including polydipsia, polyuria, polyphagia, and weakness. Monitor glucose regularly in patients with diabetes or at risk for diabetes              • Dyslipidemia: Undesirable alterations have been observed in patients treated with atypical antipsychotics. Appropriate clinical monitoring is recommended, including fasting blood lipid testing at the beginning of, and periodically, during treatment              • Weight Gain: Gain in body weight has been observed; clinical monitoring of weight is recommended • Tar dive Dyskinesia: Discontinue if clinically appropriate ( 5.6 ) • Hypotension: Use with caution in patients with known cardiovascular or cerebrovascular disease ( 5.7 ) • Increased Blood Pressure in Children and Adolescents: Monitor blood pressure at the beginning of, and periodically during treatment in children and adolescents ( 5.9 ) • Leukopenia, Neutropenia and Agranulocytosis: Monitor complete blood count frequently during the first few months of treatment in patients with a pre-existing low white cell count or a history of leukopenia/neutropenia and discontinue quetiapine at the first sign of a decline in WBC in absence of other causative factors ( 5.10 ) • Cataracts: Lens changes have been observed in patients during long-term quetiapine treatment. Lens examination is recommended when starting treatment and at 6-month intervals during chronic treatment ( 5.11 ) • Anticholinergic (antimuscarinic) Effects: Use with caution with other anticholinergic drugs and in patients with urinary retention, prostatic hypertrophy, or constipation ( 5.20 )

Contraindications

Hypersensitivity to quetiapine or to any excipients in the quetiapine tablets formulation. Anaphylactic reactions have been reported in patients treated with quetiapine tablets.

Adverse Reactions

The following adverse reactions are discussed in more detail in other sections of the labeling: • Increased mortality in elderly patients with dementia-related psychosis [ see Warnings and Precautions ( 5.1 ) ] • Suicidal thoughts and behaviors in adolescents and young adults [ see Warnings and Precautions ( 5.2 ) ] • Cerebrovascular adverse reactions, including stroke in elderly patients with dementia-related psychosis [ see Warnings and Precautions ( 5.3 ) ] • Neuroleptic Malignant Syndrome (NMS) [ see Warnings and Precautions ( 5.4 ) ] • Metabolic changes (hyperglycemia, dyslipidemia, weight gain) [ see Warnings and Precautions ( 5.5 ) ] • Tardive dyskinesia [ see Warnings and Precautions ( 5.6 ) ] • Hypotension [ see Warnings and Precautions ( 5.7 ) ] • Falls [ see Warnings and Precautions ( 5.8 ) ] • Increases in blood pressure (children and adolescents) [ see Warnings and Precautions ( 5.9 ) ] • Leukopenia, neutropenia and agranulocytosis [ see Warnings and Precautions ( 5.10 ) ] • Cataracts [ see Warnings and Precautions ( 5.11 ) ] • QT Prolongation [ see Warnings and Precautions ( 5.12 ) ] • Seizures [ see Warnings and Precautions ( 5.13 ) ] • Hypothyroidism [ see Warnings and Precautions ( 5.14 ) ] • Hyperprolactinemia [ see Warnings and Precautions ( 5.15 ) ] • Potential for cognitive and motor impairment [ see Warnings and Precautions ( 5.16 ) ] • Body temperature regulation [ see Warnings and Precautions ( 5.17 ) ] • Dysphagia [ see Warnings and Precautions ( 5.18 ) ] • Discontinuation Syndrome [ see Warnings and Precautions ( 5.19 ) ] • Anticholinergic (antimuscarinic) Effects [ see Warnings and Precautions (5.20) ]

Drug Interactions

• Concomitant use of strong CYP3A4 inhibitors: Reduce quetiapine dose to one sixth when coadministered with strong CYP3A4 inhibitors (e.g., ketoconazole, ritonavir) ( 2.5 , 7.1 , 12.3 ) • Concomitant use of strong CYP3A4 inducers: Increase quetiapine dose up to 5 fold when used in combination with a chronic treatment (more than 7-14 days) of potent CYP3A4 inducers (e.g., phenytoin, rifampin, St. John’s wort) ( 2.6 , 7.1 , 12.3 ) • Discontinuation of strong CYP3A4 inducers: Reduce quetiapine dose by 5-fold within 7-14 days of discontinuation of CYP3A4 inducers ( 2.6 , 7.1 , 12.3 )

Storage and Handling

Quetiapine tablets, USP are available as follows: 25 mg: Peach colored, round, film coated tablets debossed with "F 71" on one side and plain on the other side. Bottles of 100's NDC 33342-099-11 Bottles of 1000's NDC 33342-099-44 Unit dose blister pack of 100's NDC 33342-099-12 50 mg: White colored, round, film coated tablets, debossed with "F 72" on one side and plain on the other side. Bottles of 100's NDC 33342-100-11 Bottles of 1000's NDC 33342-100-44 Unit dose blister pack of 100's NDC 33342-100-12 100 mg: Yellow colored, round, film coated tablets debossed with "F 73" on one side and plain on the other side. Bottles of 100's NDC 33342-101-11 Bottles of 1000's NDC 33342-101-44 Unit dose blister pack of 100's NDC 33342-101-12 200 mg: White colored, round, film coated tablets debossed with "F 75" on one side and plain on the other side. Bottles of 100's NDC 33342-103-11 Bottles of 500's NDC 33342-103-15 Bottles of 1000's NDC 33342-103-44 Unit dose blister pack of 100's NDC 33342-103-12 300 mg: White colored, capsule shaped, film coated tablets debossed with "F 76" on one side and plain on the other side. Bottles of 60's NDC 33342-104-09 Bottles of 500's NDC 33342-104-15 Bottles of 1000's NDC 33342-104-44 Unit dose blister pack of 90's NDC 33342-104-39 400 mg: Yellow colored, capsule shaped, film coated tablets debossed with "F 77" on one side and plain on the other side. Bottles of 100's NDC 33342-105-11 Bottles of 500's NDC 33342-105-15 Unit dose blister pack of 90's NDC 33342-105-39   Store at 20° to 25°C (68° to 77°F); excursions permitted to 15° to 30°C (59° to 86°F) [See USP Controlled Room Temperature].

How Supplied

Quetiapine tablets, USP are available as follows: 25 mg: Peach colored, round, film coated tablets debossed with "F 71" on one side and plain on the other side. Bottles of 100's NDC 33342-099-11 Bottles of 1000's NDC 33342-099-44 Unit dose blister pack of 100's NDC 33342-099-12 50 mg: White colored, round, film coated tablets, debossed with "F 72" on one side and plain on the other side. Bottles of 100's NDC 33342-100-11 Bottles of 1000's NDC 33342-100-44 Unit dose blister pack of 100's NDC 33342-100-12 100 mg: Yellow colored, round, film coated tablets debossed with "F 73" on one side and plain on the other side. Bottles of 100's NDC 33342-101-11 Bottles of 1000's NDC 33342-101-44 Unit dose blister pack of 100's NDC 33342-101-12 200 mg: White colored, round, film coated tablets debossed with "F 75" on one side and plain on the other side. Bottles of 100's NDC 33342-103-11 Bottles of 500's NDC 33342-103-15 Bottles of 1000's NDC 33342-103-44 Unit dose blister pack of 100's NDC 33342-103-12 300 mg: White colored, capsule shaped, film coated tablets debossed with "F 76" on one side and plain on the other side. Bottles of 60's NDC 33342-104-09 Bottles of 500's NDC 33342-104-15 Bottles of 1000's NDC 33342-104-44 Unit dose blister pack of 90's NDC 33342-104-39 400 mg: Yellow colored, capsule shaped, film coated tablets debossed with "F 77" on one side and plain on the other side. Bottles of 100's NDC 33342-105-11 Bottles of 500's NDC 33342-105-15 Unit dose blister pack of 90's NDC 33342-105-39   Store at 20° to 25°C (68° to 77°F); excursions permitted to 15° to 30°C (59° to 86°F) [See USP Controlled Room Temperature].


Medication Information

Warnings and Precautions

• Cerebrovascular Adverse Reactions: Increased incidence of cerebrovascular adverse reactions (e.g., stroke, transient ischemic attack) has been seen in elderly patients with dementia-related psychoses treated with atypical antipsychotic drugs ( 5.3 ) • Neuroleptic Malignant Syndrome (NMS): Manage with immediate discontinuation and close monitoring ( 5.4 ) • Metabolic Changes: Atypical antipsychotics have been associated with metabolic changes. These metabolic changes include hyperglycemia, dyslipidemia, and weight gain ( 5.5 )              • Hyperglycemia and Diabetes Mellitus: Monitor patients for symptoms of hyperglycemia including polydipsia, polyuria, polyphagia, and weakness. Monitor glucose regularly in patients with diabetes or at risk for diabetes              • Dyslipidemia: Undesirable alterations have been observed in patients treated with atypical antipsychotics. Appropriate clinical monitoring is recommended, including fasting blood lipid testing at the beginning of, and periodically, during treatment              • Weight Gain: Gain in body weight has been observed; clinical monitoring of weight is recommended • Tar dive Dyskinesia: Discontinue if clinically appropriate ( 5.6 ) • Hypotension: Use with caution in patients with known cardiovascular or cerebrovascular disease ( 5.7 ) • Increased Blood Pressure in Children and Adolescents: Monitor blood pressure at the beginning of, and periodically during treatment in children and adolescents ( 5.9 ) • Leukopenia, Neutropenia and Agranulocytosis: Monitor complete blood count frequently during the first few months of treatment in patients with a pre-existing low white cell count or a history of leukopenia/neutropenia and discontinue quetiapine at the first sign of a decline in WBC in absence of other causative factors ( 5.10 ) • Cataracts: Lens changes have been observed in patients during long-term quetiapine treatment. Lens examination is recommended when starting treatment and at 6-month intervals during chronic treatment ( 5.11 ) • Anticholinergic (antimuscarinic) Effects: Use with caution with other anticholinergic drugs and in patients with urinary retention, prostatic hypertrophy, or constipation ( 5.20 )

Dosage and Administration

• Quetiapine tablets can be taken with or without food ( 2.1 ) Indication Initial Dose Recommended Dose Maximum Dose Schizophrenia-Adults (2.2) 25 mg twice daily 150 to 750 mg/day 750 mg/day Schizophrenia- Adolescents (13-17 years) (2.2) 25 mg twice daily   400 to  800 mg/day 800 mg/day Bipolar Mania- Adults Monotherapy or as an adjunct to lithium or divalproex (2.2)   50 mg twice daily   400 to 800 mg/day   800 mg/day   Bipolar Mania- Children and Adolescents (10 to 17 years), Monotherapy (2.2) 25 mg twice daily 400 to 600 mg/day 600 mg/day Bipolar Depression- Adults (2.2) 50 mg once daily at bedtime 300 mg/day 300 mg/day • Geriatric Use: Consider a lower starting dose (50 mg/day), slower titration and careful monitoring during the initial dosing period in the elderly ( 2.3 , 8.5 ) • Hepatic Impairment: Lower starting dose (25 mg/day) and slower titration may be needed ( 2.4 , 8.7 , 12.3 )

Contraindications

Hypersensitivity to quetiapine or to any excipients in the quetiapine tablets formulation. Anaphylactic reactions have been reported in patients treated with quetiapine tablets.

Adverse Reactions

The following adverse reactions are discussed in more detail in other sections of the labeling: • Increased mortality in elderly patients with dementia-related psychosis [ see Warnings and Precautions ( 5.1 ) ] • Suicidal thoughts and behaviors in adolescents and young adults [ see Warnings and Precautions ( 5.2 ) ] • Cerebrovascular adverse reactions, including stroke in elderly patients with dementia-related psychosis [ see Warnings and Precautions ( 5.3 ) ] • Neuroleptic Malignant Syndrome (NMS) [ see Warnings and Precautions ( 5.4 ) ] • Metabolic changes (hyperglycemia, dyslipidemia, weight gain) [ see Warnings and Precautions ( 5.5 ) ] • Tardive dyskinesia [ see Warnings and Precautions ( 5.6 ) ] • Hypotension [ see Warnings and Precautions ( 5.7 ) ] • Falls [ see Warnings and Precautions ( 5.8 ) ] • Increases in blood pressure (children and adolescents) [ see Warnings and Precautions ( 5.9 ) ] • Leukopenia, neutropenia and agranulocytosis [ see Warnings and Precautions ( 5.10 ) ] • Cataracts [ see Warnings and Precautions ( 5.11 ) ] • QT Prolongation [ see Warnings and Precautions ( 5.12 ) ] • Seizures [ see Warnings and Precautions ( 5.13 ) ] • Hypothyroidism [ see Warnings and Precautions ( 5.14 ) ] • Hyperprolactinemia [ see Warnings and Precautions ( 5.15 ) ] • Potential for cognitive and motor impairment [ see Warnings and Precautions ( 5.16 ) ] • Body temperature regulation [ see Warnings and Precautions ( 5.17 ) ] • Dysphagia [ see Warnings and Precautions ( 5.18 ) ] • Discontinuation Syndrome [ see Warnings and Precautions ( 5.19 ) ] • Anticholinergic (antimuscarinic) Effects [ see Warnings and Precautions (5.20) ]

Drug Interactions

• Concomitant use of strong CYP3A4 inhibitors: Reduce quetiapine dose to one sixth when coadministered with strong CYP3A4 inhibitors (e.g., ketoconazole, ritonavir) ( 2.5 , 7.1 , 12.3 ) • Concomitant use of strong CYP3A4 inducers: Increase quetiapine dose up to 5 fold when used in combination with a chronic treatment (more than 7-14 days) of potent CYP3A4 inducers (e.g., phenytoin, rifampin, St. John’s wort) ( 2.6 , 7.1 , 12.3 ) • Discontinuation of strong CYP3A4 inducers: Reduce quetiapine dose by 5-fold within 7-14 days of discontinuation of CYP3A4 inducers ( 2.6 , 7.1 , 12.3 )

Storage and Handling

Quetiapine tablets, USP are available as follows: 25 mg: Peach colored, round, film coated tablets debossed with "F 71" on one side and plain on the other side. Bottles of 100's NDC 33342-099-11 Bottles of 1000's NDC 33342-099-44 Unit dose blister pack of 100's NDC 33342-099-12 50 mg: White colored, round, film coated tablets, debossed with "F 72" on one side and plain on the other side. Bottles of 100's NDC 33342-100-11 Bottles of 1000's NDC 33342-100-44 Unit dose blister pack of 100's NDC 33342-100-12 100 mg: Yellow colored, round, film coated tablets debossed with "F 73" on one side and plain on the other side. Bottles of 100's NDC 33342-101-11 Bottles of 1000's NDC 33342-101-44 Unit dose blister pack of 100's NDC 33342-101-12 200 mg: White colored, round, film coated tablets debossed with "F 75" on one side and plain on the other side. Bottles of 100's NDC 33342-103-11 Bottles of 500's NDC 33342-103-15 Bottles of 1000's NDC 33342-103-44 Unit dose blister pack of 100's NDC 33342-103-12 300 mg: White colored, capsule shaped, film coated tablets debossed with "F 76" on one side and plain on the other side. Bottles of 60's NDC 33342-104-09 Bottles of 500's NDC 33342-104-15 Bottles of 1000's NDC 33342-104-44 Unit dose blister pack of 90's NDC 33342-104-39 400 mg: Yellow colored, capsule shaped, film coated tablets debossed with "F 77" on one side and plain on the other side. Bottles of 100's NDC 33342-105-11 Bottles of 500's NDC 33342-105-15 Unit dose blister pack of 90's NDC 33342-105-39   Store at 20° to 25°C (68° to 77°F); excursions permitted to 15° to 30°C (59° to 86°F) [See USP Controlled Room Temperature].

How Supplied

Quetiapine tablets, USP are available as follows: 25 mg: Peach colored, round, film coated tablets debossed with "F 71" on one side and plain on the other side. Bottles of 100's NDC 33342-099-11 Bottles of 1000's NDC 33342-099-44 Unit dose blister pack of 100's NDC 33342-099-12 50 mg: White colored, round, film coated tablets, debossed with "F 72" on one side and plain on the other side. Bottles of 100's NDC 33342-100-11 Bottles of 1000's NDC 33342-100-44 Unit dose blister pack of 100's NDC 33342-100-12 100 mg: Yellow colored, round, film coated tablets debossed with "F 73" on one side and plain on the other side. Bottles of 100's NDC 33342-101-11 Bottles of 1000's NDC 33342-101-44 Unit dose blister pack of 100's NDC 33342-101-12 200 mg: White colored, round, film coated tablets debossed with "F 75" on one side and plain on the other side. Bottles of 100's NDC 33342-103-11 Bottles of 500's NDC 33342-103-15 Bottles of 1000's NDC 33342-103-44 Unit dose blister pack of 100's NDC 33342-103-12 300 mg: White colored, capsule shaped, film coated tablets debossed with "F 76" on one side and plain on the other side. Bottles of 60's NDC 33342-104-09 Bottles of 500's NDC 33342-104-15 Bottles of 1000's NDC 33342-104-44 Unit dose blister pack of 90's NDC 33342-104-39 400 mg: Yellow colored, capsule shaped, film coated tablets debossed with "F 77" on one side and plain on the other side. Bottles of 100's NDC 33342-105-11 Bottles of 500's NDC 33342-105-15 Unit dose blister pack of 90's NDC 33342-105-39   Store at 20° to 25°C (68° to 77°F); excursions permitted to 15° to 30°C (59° to 86°F) [See USP Controlled Room Temperature].

Description

Increased Mortality in Elderly Patients with Dementia-Related Psychosis Elderly patients with dementia-related psychosis treated with antipsychotic drugs are at an increased risk of death [see Warnings and Precautions ( 5.1 )].   Quetiapine is not approved for the treatment of patients with dementia-related psychosis [see Warnings and Precautions ( 5.1 )]. Suicidal Thoughts and Behaviors Antidepressants increased the risk of suicidal thoughts and behavior in children, adolescents, and young adults in short-term studies. These studies did not show an increase in the risk of suicidal thoughts and behavior with antidepressant use in patients over age 24; there was a reduction in risk with antidepressant use in patients aged 65 and older [see Warnings and Precautions ( 5.2 )]. In patients of all ages who are started on antidepressant therapy, monitor closely for worsening, and for emergence of suicidal thoughts and behaviors. Advise families and caregivers of the need for close observation and communication with the prescriber [ see Warnings and Precautions ( 5.2 )]. Quetiapine tablets are not approved for use in pediatric patients under ten years of age [see Use in Specific Populations ( 8.4 )].

5.8 Falls


Atypical antipsychotic drugs, including quetiapine, may cause somnolence, postural hypotension, motor, and sensory instability, which may lead to falls and, consequently, fractures or other injuries. For patients with diseases, conditions, or medications that could exacerbate these effects, complete fall risk assessments when initiating antipsychotic treatment and recurrently for patients on long-term antipsychotic therapy.

9.2 Abuse

Quetiapine has not been systematically studied, in animals or humans, for its potential for abuse, tolerance, or physical dependence. While the clinical trials did not reveal any tendency for any drug-seeking behavior, these observations were not systematic and it is not possible to predict on the basis of this limited experience the extent to which a CNS-active drug will be misused, diverted, and/or abused once marketed. Consequently, patients should be evaluated carefully for a history of drug abuse, and such patients should be observed closely for signs of misuse or abuse of quetiapine, e.g., development of tolerance, increases in dose, drug-seeking behavior.

5.13 Seizures

During clinical trials, seizures occurred in 0.5% (20/3490) of patients treated with quetiapine compared to 0.2% (2/954) on placebo and 0.7% (4/527) on active control drugs. As with other antipsychotics, quetiapine should be used cautiously in patients with a history of seizures or with conditions that potentially lower the seizure threshold, e.g., Alzheimer’s dementia. Conditions that lower the seizure threshold may be more prevalent in a population of 65 years or older.

8.1 Pregnancy

Pregnancy Exposure Registry

There is a pregnancy exposure registry that monitors pregnancy outcomes in women exposed to atypical antipsychotics, including quetiapine, during pregnancy. Healthcare providers are encouraged to register patients by contacting the National Pregnancy Registry for Atypical Antipsychotics at 1-866-961-2388 or online at http://womensmentalhealth.org/clinical-and-research-programs/pregnancyregistry/



Risk Summary

Neonates exposed to antipsychotic drugs (including quetiapine) during the third trimester are at risk for extrapyramidal and/or withdrawal symptoms following delivery (see Clinical Considerations). Overall available data from published epidemiologic studies of pregnant women exposed to quetiapine have not established a drug-associated risk of major birth defects, miscarriage, or adverse maternal or fetal outcomes (see Data). There are risks to the mother associated with untreated schizophrenia, bipolar I, or major depressive disorder, and with exposure to antipsychotics, including quetiapine, during pregnancy (see Clinical Considerations).



In animal studies, embryo-fetal toxicity occurred including delays in skeletal ossification at approximately 1 and 2 times the maximum recommended human dose (MRHD) of 800 mg/day in both rats and rabbits, and an increased incidence of carpal/tarsal flexure (minor soft tissue anomaly) in rabbit fetuses at approximately 2 times the MRHD. In addition, fetal weights were decreased in both species. Maternal toxicity (observed as decreased body weights and/or death) occurred at 2 times the MRHD in rats and approximately 1 to 2 times the MRHD in rabbits.



The estimated background risk of major birth defects and miscarriage for the indicated populations is unknown. All pregnancies have a background risk of birth defect, loss, or other adverse outcomes. In the U.S. general population, the estimated background risk of major birth defects and miscarriage in clinically recognized pregnancies is 2 to 4% and 15 to 20%, respectively.



Clinical Considerations

Disease-associated maternal and/or fetal risk

There is a risk to the mother from untreated schizophrenia, or bipolar I disorder, including increased risk of relapse, hospitalization, and suicide. Schizophrenia and bipolar I disorder are associated with increased adverse perinatal outcomes, including preterm birth. It is not known if this is a direct result of the illness or other comorbid factors.

A prospective, longitudinal study followed 201 pregnant women with a history of major depressive disorder who were euthymic and taking antidepressants at the beginning of pregnancy. The women who discontinued antidepressants during pregnancy were more likely to experience a relapse of major depression than women who continued antidepressants. Consider the risk of untreated depression when discontinuing or changing treatment with antidepressant medication during pregnancy and postpartum.

Fetal/neonatal adverse reactions

Extrapyramidal and/or withdrawal symptoms, including agitation, hypertonia, hypotonia, tremor, somnolence, respiratory distress, and feeding disorder have been reported in neonates who were exposed to antipsychotic drugs, including quetiapine, during the third trimester of pregnancy. These symptoms varied in severity. Monitor neonates for extrapyramidal and/or withdrawal symptoms and manage symptoms appropriately. Some neonates recovered within hours or days without specific treatment; others required prolonged hospitalization.

Data

Human Data

Published data from observational studies, birth registries, and case reports on the use of atypical antipsychotics during pregnancy do not report a clear association with antipsychotics and major birth defects. A retrospective cohort study from a Medicaid database of 9258 women exposed to antipsychotics during pregnancy did not indicate an overall increased risk of major birth defects.

Animal Data

When pregnant rats and rabbits were exposed to quetiapine during organogenesis, there was no teratogenic effect in fetuses. Doses were 25, 50 and 200 mg/kg in rats and 25, 50 and 100 mg/kg in rabbits which are approximately 0.3, 0.6 and 2-times (rats) and 0.6, 1 and 2-times (rabbits) the MRHD for schizophrenia of 800 mg/day based on mg/m2 body surface area. However, there was evidence of embryo-fetal toxicity including delays in skeletal ossification at approximately 1 and 2 times the MRHD of 800 mg/day in both rats and rabbits, and an increased incidence of carpal/tarsal flexure (minor soft tissue anomaly) in rabbit fetuses at approximately 2 times the MRHD. In addition, fetal weights were decreased in both species. Maternal toxicity (observed as decreased body weights and/or death) occurred at 2 times the MRHD in rats and approximately 1 to 2 times the MRHD (all doses tested) in rabbits.

In a peri/postnatal reproductive study in rats, no drug-related effects were observed when pregnant dams were treated with quetiapine at doses 0.01, 0.1, and 0.2 times the MRHD of 800 mg/day based on mg/m2 body surface area. However, in a preliminary peri/postnatal study, there were increases in fetal and pup death, and decreases in mean litter weight at 3 times the MRHD.

8.2 Lactation

Risk Summary

Limited data from published literature report the presence of quetiapine in human breast milk at relative infant dose of <1% of the maternal weight-adjusted dosage. There are no consistent adverse events that have been reported in infants exposed to quetiapine through breast milk. There is no information on the effects of quetiapine on milk production. The developmental and health benefits of breastfeeding should be considered along with the mother's clinical need for quetiapine and any potential adverse effects on the breastfed child from quetiapine or from the mother's underlying condition.



11 Description


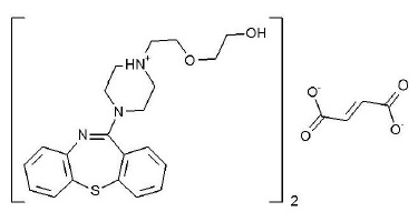
Quetiapine fumarate USP is an atypical antipsychotic belonging to a chemical class, the dibenzothiazepine derivatives. The chemical designation is 2-[2-(4-dibenzo [b,f] [1,4]thiazepin-11-yl-1-piperazinyl)ethoxy]-ethanol fumarate (2:1) (salt). It is present in tablets as the fumarate salt. All doses and tablet strengths are expressed as milligrams of base, not as fumarate salt. Its molecular formula is C42H50N6O4S2•C4H4O4 and it has a molecular weight of 883.11 (fumarate salt). The structural formula is:





Quetiapine fumarate USP is a white to off-white crystalline powder which is moderately soluble in water.



Quetiapine tablets USP are supplied for oral administration as 25 mg (round, peach, one side debossed with “F71”), 50 mg (round, white, one side debossed with “F72”), 100 mg (round, yellow one side debossed with “F73”), 200 mg (round, white, one side debossed with "F75”), 300 mg (capsule-shaped, white, one side debossed with "F76”), and 400 mg (capsule-shaped, yellow, one side debossed with “F77”) tablets.





Inactive ingredients are povidone, dibasic calcium phosphate dihydrate, microcrystalline cellulose, sodium starch glycolate, lactose monohydrate, magnesium stearate, colloidal silicon di-oxide, hypromellose, polyethylene glycol, and titanium dioxide.



The 25 mg tablets contain red ferric oxide and yellow ferric oxide and the 100 mg and 400 mg tablets contain only yellow ferric oxide.



Each 25 mg tablet contains 28.78 mg of quetiapine fumarate equivalent to 25 mg quetiapine. Each 50 mg tablet contains 57.56 mg of quetiapine fumarate equivalent to 50 mg quetiapine. Each 100 mg tablet contains 115.13 mg of quetiapine fumarate equivalent to 100 mg quetiapine. Each 200 mg tablet contains 230.26 mg of quetiapine fumarate equivalent to 200 mg quetiapine. Each 300 mg tablet contains 345.39 mg of quetiapine fumarate equivalent to 300 mg quetiapine. Each 400 mg tablet contains 460.51 mg of quetiapine fumarate equivalent to 400 mg quetiapine.

5.11 Cataracts

The development of cataracts was observed in association with quetiapine treatment in chronic dog studies [see Nonclinical Toxicology (13.2)]. Lens changes have also been observed in adults, children, and adolescents during long-term quetiapine treatment, but a causal relationship to quetiapine use has not been established. Nevertheless, the possibility of lenticular changes cannot be excluded at this time. Therefore, examination of the lens by methods adequate to detect cataract formation, such as slit lamp exam or other appropriately sensitive methods, is recommended at initiation of treatment or shortly thereafter, and at 6-month intervals during chronic treatment.

5.18 Dysphagia

Esophageal dysmotility and aspiration have been associated with antipsychotic drug use. Aspiration pneumonia is a common cause of morbidity and mortality in elderly patients, in particular those with advanced Alzheimer's dementia. Quetiapine and other antipsychotic drugs should be used cautiously in patients at risk for aspiration pneumonia.

5.7 Hypotension

Quetiapine may induce orthostatic hypotension associated with dizziness, tachycardia and, in some patients, syncope, especially during the initial dose-titration period, probably reflecting its α1-adrenergic antagonist properties. Syncope was reported in 1% (28/3265) of the patients treated with quetiapine, compared with 0.2% (2/954) on placebo and about 0.4% (2/527) on active control drugs. Orthostatic hypotension, dizziness, and syncope may lead to falls.



Quetiapine should be used with particular caution in patients with known cardiovascular disease (history of myocardial infarction or ischemic heart disease, heart failure, or conduction abnormalities), cerebrovascular disease or conditions which would predispose patients to hypotension (dehydration, hypovolemia, and treatment with antihypertensive medications). The risk of orthostatic hypotension and syncope may be minimized by limiting the initial dose to 25 mg twice daily [see Dosage and Administration (2.2)]. If hypotension occurs during titration to the target dose, a return to the previous dose in the titration schedule is appropriate.

1.1 Schizophrenia






Quetiapine tablets are indicated for the treatment of schizophrenia. The efficacy of quetiapine tablets in schizophrenia was established in three 6-week trials in adults and one 6-week trial in adolescents (13 to 17 years). The effectiveness of quetiapine tablets for the maintenance treatment of schizophrenia has not been systematically evaluated in controlled clinical trials [see Clinical Studies (14.1)].



8.4 Pediatric Use

In general, the adverse reactions observed in children and adolescents during the clinical trials were similar to those in the adult population with few exceptions. Increases in systolic and diastolic blood pressure occurred in children and adolescents and did not occur in adults. Orthostatic hypotension occurred more frequently in adults (4 to 7%) compared to children and adolescents (< 1%) [see Warnings and Precautions (5.7) and Adverse Reactions (6.1)].



Schizophrenia

The efficacy and safety of quetiapine in the treatment of schizophrenia in adolescents aged 13 to 17 years were demonstrated in one 6-week, double-blind, placebo-controlled trial [see Indications and Usage (1.1), Dosage and Administration (2.2), Adverse Reactions (6.1), and Clinical Studies (14.1)].



Safety and effectiveness of quetiapine in pediatric patients less than 13 years of age with schizophrenia have not been established.



Maintenance

The safety and effectiveness of quetiapine in the maintenance treatment of bipolar disorder has not been established in pediatric patients less than 18 years of age. The safety and effectiveness of quetiapine in the maintenance treatment of schizophrenia has not been established in any patient population, including pediatric patients.



Bipolar Mania

The efficacy and safety of quetiapine in the treatment of mania in children and adolescents ages 10 to 17 years with bipolar I disorder was demonstrated in a 3-week, double-blind, placebo-controlled, multicenter trial [see Indications and Usage (1.2), Dosage and Administration (2.3), Adverse Reactions (6.1), and Clinical Studies (14.2)].



Safety and effectiveness of quetiapine in pediatric patients less than 10 years of age with bipolar mania have not been established.



Bipolar Depression

Safety and effectiveness of quetiapine in pediatric patients less than 18 years of age with bipolar depression have not been established. A clinical trial with quetiapine extended-release was conducted in children and adolescents (10 to 17 years of age) with bipolar depression, efficacy was not established.



Some differences in the pharmacokinetics of quetiapine were noted between children/adolescents (10 to 17 years of age) and adults. When adjusted for weight, the AUC and Cmax of quetiapine were 41% and 39% lower, respectively, in children and adolescents compared to adults. The pharmacokinetics of the active metabolite, norquetiapine, were similar between children/adolescents and adults after adjusting for weight [see Clinical Pharmacology (12.3)].

8.5 Geriatric Use

Of the approximately 3700 patients in clinical studies with quetiapine, 7% (232) were 65 years of age or over. In general, there was no indication of any different tolerability of quetiapine in the elderly compared to younger adults. Nevertheless, the presence of factors that might decrease pharmacokinetic clearance, increase the pharmacodynamic response to quetiapine, or cause poorer tolerance or orthostasis, should lead to consideration of a lower starting dose, slower titration, and careful monitoring during the initial dosing period in the elderly. The mean plasma clearance of quetiapine was reduced by 30% to 50% in elderly patients when compared to younger patients [see Clinical Pharmacology (12.3) and Dosage and Administration (2.3)].

14.1 Schizophrenia

Short-term Trials-Adults

The efficacy of quetiapine in the treatment of schizophrenia was established in 3 short-term (6-week) controlled trials of inpatients with schizophrenia who met DSM III-R criteria for schizophrenia. Although a single fixed dose haloperidol arm was included as a comparative treatment in one of the three trials, this single haloperidol dose group was inadequate to provide a reliable and valid comparison of quetiapine and haloperidol.



Several instruments were used for assessing psychiatric signs and symptoms in these studies, among them the Brief Psychiatric Rating Scale (BPRS), a multi-item inventory of general psychopathology traditionally used to evaluate the effects of drug treatment in schizophrenia. The BPRS psychosis cluster (conceptual disorganization, hallucinatory behavior, suspiciousness, and unusual thought content) is considered a particularly useful subset for assessing actively psychotic schizophrenic patients. A second traditional assessment, the Clinical Global Impression (CGI), reflects the impression of a skilled observer, fully familiar with the manifestations of schizophrenia, about the overall clinical state of the patient.



The results of the trials follow:

1. In a 6-week, placebo-controlled trial (n=361) (Study 1) involving 5 fixed doses of quetiapine (75 mg/day, 150 mg/day, 300 mg/day, 600 mg/day, and 750 mg/day given in divided doses three times per day), the 4 highest doses of quetiapine were generally superior to placebo on the BPRS total score, the BPRS psychosis cluster and the CGI severity score, with the maximal effect seen at 300 mg/day, and the effects of doses of 150 mg/day to 750 mg/day were generally indistinguishable.





2. In a 6-week, placebo-controlled trial (n=286) (Study 2) involving titration of quetiapine in high (up to 750 mg/day given in divided doses three times per day) and low (up to 250 mg/day given in divided doses three times per day) doses, only the high dose quetiapine group (mean dose, 500 mg/day) was superior to placebo on the BPRS total score, the BPRS psychosis cluster, and the CGI severity score.



3. In a 6-week dose and dose regimen comparison trial (n=618) (Study 3) involving two fixed doses of quetiapine (450 mg/day given in divided doses both twice daily and three times daily and 50 mg/day given in divided doses twice daily), only the 450 mg/day (225 mg given twice daily) dose group was superior to the 50 mg/day (25 mg given twice daily) quetiapine dose group on the BPRS total score, the BPRS psychosis cluster, and the CGI severity score.



The primary efficacy results of these three studies in the treatment of schizophrenia in adults is presented in Table 19.



Examination of population subsets (race, gender, and age) did not reveal any differential responsiveness on the basis of race or gender, with an apparently greater effect in patients under the age of 40 years compared to those older than 40. The clinical significance of this finding is unknown.



Adolescents (ages 13 to 17)

The efficacy of quetiapine in the treatment of schizophrenia in adolescents (13 to 17 years of age) was demonstrated in a 6-week, double-blind, placebo-controlled trial (Study 4). Patients who met DSM-IV diagnostic criteria for schizophrenia were randomized into one of three treatment groups: quetiapine 400 mg/day (n=73), quetiapine 800 mg/day (n=74), or placebo (n=75). Study medication was initiated at 50 mg/day and on day 2 increased to 100 mg/per day (divided and given two or three times per day). Subsequently, the dose was titrated to the target dose of 400 mg/day or 800 mg/day using increments of 100 mg/day, divided and given two or three times daily. The primary efficacy variable was the mean change from baseline in total Positive and Negative Syndrome Scale (PANSS).



Quetiapine at 400 mg/day and 800 mg/day was superior to placebo in the reduction of PANSS total score. The primary efficacy results of this study in the treatment of schizophrenia in adolescents is presented in Table 19.



Table 19: Schizophrenia Short-Term Trials



Study Number


Treatment Group


                                    Primary Efficacy Endpoint: BPRS Total


Mean Baseline

Score (SD)


LS Mean Change

from Baseline (SE)


Placebo-subtracted

Difference1(95% CI)


Study 1


Quetiapine (75 mg/day)


45.7 (10.9)


-2.2 (2.0)


-4.0 (-11.2, 3.3)


Quetiapine (150 mg/day)2


47.2 (10.1)


-8.7 (2.1)


-10.4 (-17.8, -3.0)


Quetiapine (300 mg/day)2


45.3 (10.9)


-8.6 (2.1)


-10.3 (-17.6, -3.0)


Quetiapine (600 mg/day)2


43.5 (11.3)


-7.7 (2.1)


-9.4 (-16.7, -2.1)


Quetiapine (750 mg/day)2


45.7 (11.0)


-6.3 (2.0)


-8.0 (-15.2, -0.8)


Placebo


45.3 (9.2)


1.7 (2.1)


--


Study 2


Quetiapine (250 mg/day)


38.9 (9.8)


-4.2 (1.6)


-3.2 (-7.6, 1.2)


Quetiapine (750 mg/day)2


41.0 (9.6)


-8.7 (1.6)


-7.8 (-12.2, -3.4)


Placebo


38.4 (9.7)


-1.0 (1.6)


--


Study 3


Quetiapine (450 mg/day BID)


42.1 (10.7)


-10.0 (1.3)


-4.6 (-7.8, -1.4)


Quetiapine (450 mg/day TID)3


42.7 (10.4)


-8.6 (1.3)


-3.2 (-6.4, 0.0)


Quetiapine (50 mg BID)


41.7 (10.0)


-5.4 (1.3)


--


 


 


                      Primary Efficacy Endpoint: PANSS Total


 


Mean Baseline

Score (SD)


LS Mean Change

from Baseline (SE)


Placebo-subtracted

Difference1 (95% CI)


Study 4


Quetiapine (400 mg/day)2


96.2 (17.7)


-27.3 (2.6)


-8.2 (-16.1, -0.3)


Quetiapine (800 mg/day)2


96.9 (15.3)


-28.4 (1.8)


-9.3 (-16.2, -2.4)


Placebo


96.2 (17.7)


-19.2 (3.0)


--

SD: standard deviation; SE: standard error; LS Mean: least-squares mean; CI: unadjusted confidence interval.

1. Difference (drug minus placebo) in least-squares mean change from baseline.

2. Doses that are statistically significant superior to placebo. 

3. Doses that are statistically significant superior to  quetiapine 50 mg BID.







4 Contraindications

Hypersensitivity to quetiapine or to any excipients in the quetiapine tablets formulation. Anaphylactic reactions have been reported in patients treated with quetiapine tablets.

5.14 Hypothyroidism

Adults: Clinical trials with quetiapine demonstrated dose-related decreases in thyroid hormone levels. The reduction in total and free thyroxine (T4) of approximately 20% at the higher end of the therapeutic dose range was maximal in the first six weeks of treatment and maintained without adaptation or progression during more chronic therapy. In nearly all cases, cessation of quetiapine treatment was associated with a reversal of the effects on total and free T4, irrespective of the duration of treatment. The mechanism by which quetiapine effects the thyroid axis is unclear. If there is an effect on the hypothalamic-pituitary axis, measurement of TSH alone may not accurately reflect a patient’s thyroid status. Therefore, both TSH and free T4, in addition to clinical assessment, should be measured at baseline and at follow-up.



In the mania adjunct studies, where quetiapine was added to lithium or divalproex, 12% (24/196) of quetiapine treated patients compared to 7% (15/203) of placebo-treated patients had elevated TSH levels. Of the quetiapine treated patients with elevated TSH levels, 3 had simultaneous low free T4 levels (free T4 <0.8 LLN).



About 0.7% (26/3489) of quetiapine patients did experience TSH increases in monotherapy studies. Some patients with TSH increases needed replacement thyroid treatment.



In all quetiapine trials, the incidence of shifts in thyroid hormones and TSH were1: decrease in free T4 (<0.8LLN), 2.0% (357/17513); decrease in total T (<0.8LLN), 4.0% (75/1861); decrease in free T3(<0.8 LLN), 0.4% (53/13766); decrease in total T3 (<0.8LLN), 2.0% (26/1312), and increase in TSH (>5mIU/L), 4.9% (956/19412). In eight patients, where TBG was measured, levels of TBG were unchanged.



Table 8 shows the incidence of these shifts in short-term placebo-controlled clinical trials.



Table 8: Incidence of Shifts in Thyroid Hormone Levels and TSH in Short-Term Placebo-Controlled Clinical Trials1,2



Total T4


Free T4


Total T3


Free T3


TSH


Quetiapine


Placebo


Quetiapine


Placebo


Quetiapine


Placebo


Quetiapine


Placebo


Quetiapine


Placebo


3.4 % (37/1097)


0.6% (4/651)


0.7% (52/7218)


0.1% (4/3668)


0.5% (2/369)


0.0% (0/113)


0.2% (11/5673)


0.0% (1/2679)


3.2% (240/7587)


2.7% (105/3912)


1 Based on shifts from normal baseline to potentially clinically important value at any time post-baseline. Shifts in total T4, free T4, total T3, and free T3 are defined as <0.8 x LLN (pmol/L) and shift in TSH is > 5 mlU/L at any time.

2. Includes quetiapine and quetiapine extended-release data.

-------------------------------------------------------------------------------------------------------------

1. Based on shifts from normal baseline to potentially clinically important value at anytime post-baseline. Shifts in total T4, free T4, total T3 and free T3 are defined as <0.8 x LLN (pmol/L) and shift in TSH is >5 mlU/L at any time.



In short-term placebo-controlled monotherapy trials, the incidence of reciprocal, shifts in T3 and TSH was 0.0 % for both quetiapine (1/4800) and placebo (0/2190) and for T4 and TSH the shifts were 0.1% (7/6154) for quetiapine versus 0.0% (1/3007) for placebo.



Children and Adolescents:

In acute placebo-controlled trials in children and adolescent patients with schizophrenia (6-week duration) or bipolar mania (3-week duration), the incidence of shifts for thyroid function values at any time for quetiapine treated patients and placebo-treated patients for elevated TSH was 2.9% (8/280) vs. 0.7% (1/138), respectively, and for decreased total thyroxine was 2.8% (8/289) vs. 0% (0/145), respectively. Of the quetiapine treated patients with elevated TSH levels, 1 had simultaneous low free T4 level at end of treatment.







6 Adverse Reactions


The following adverse reactions are discussed in more detail in other sections of the labeling:

• Increased mortality in elderly patients with dementia-related psychosis [see Warnings and Precautions (5.1)]

• Suicidal thoughts and behaviors in adolescents and young adults [see Warnings and Precautions (5.2)]

• Cerebrovascular adverse reactions, including stroke in elderly patients with dementia-related psychosis [see Warnings and Precautions (5.3)]

• Neuroleptic Malignant Syndrome (NMS) [see Warnings and Precautions (5.4)]

• Metabolic changes (hyperglycemia, dyslipidemia, weight gain) [see Warnings and Precautions (5.5)]

• Tardive dyskinesia [see Warnings and Precautions (5.6)]

• Hypotension [see Warnings and Precautions (5.7)]

• Falls [see Warnings and Precautions (5.8)]

• Increases in blood pressure (children and adolescents) [see Warnings and Precautions (5.9)]

• Leukopenia, neutropenia and agranulocytosis [see Warnings and Precautions (5.10)]

• Cataracts [see Warnings and Precautions (5.11)]

• QT Prolongation [see Warnings and Precautions (5.12)]

• Seizures [see Warnings and Precautions (5.13)]

• Hypothyroidism [see Warnings and Precautions (5.14)]

• Hyperprolactinemia [see Warnings and Precautions (5.15)]

• Potential for cognitive and motor impairment [see Warnings and Precautions (5.16)]

• Body temperature regulation [see Warnings and Precautions (5.17)]

• Dysphagia [see Warnings and Precautions (5.18)]

• Discontinuation Syndrome [see Warnings and Precautions (5.19)]

• Anticholinergic (antimuscarinic) Effects [see Warnings and Precautions (5.20)]

7 Drug Interactions

• Concomitant use of strong CYP3A4 inhibitors: Reduce quetiapine dose to one sixth when coadministered with strong CYP3A4 inhibitors (e.g., ketoconazole, ritonavir) (2.5, 7.1, 12.3)

• Concomitant use of strong CYP3A4 inducers: Increase quetiapine dose up to 5 fold when used in combination with a chronic treatment (more than 7-14 days) of potent CYP3A4 inducers (e.g., phenytoin, rifampin, St. John’s wort) (2.6, 7.1, 12.3)

• Discontinuation of strong CYP3A4 inducers: Reduce quetiapine dose by 5-fold within 7-14 days of discontinuation of CYP3A4 inducers (2.6, 7.1, 12.3)



1.2 Bipolar Disorder

Quetiapine tablets are indicated for the acute treatment of manic episodes associated with bipolar I disorder, both as monotherapy and as an adjunct to lithium or divalproex. Efficacy was established in two 12-week monotherapy trials in adults, in one 3-week adjunctive trial in adults, and in one 3-week monotherapy trial in pediatric patients (10 to 17 years) [see Clinical Studies (14.2)].

Quetiapine tablets are indicated as monotherapy for the acute treatment of depressive episodes associated with bipolar disorder. Efficacy was established in two 8-week monotherapy trials in adult patients with bipolar I and bipolar II disorder [see Clinical Studies (14.2)].

Quetiapine tablets are indicated for the maintenance treatment of bipolar I disorder, as an adjunct to lithium or divalproex. Efficacy was established in two maintenance trials in adults. The effectiveness of quetiapine tablets as monotherapy for the maintenance treatment of bipolar disorder has not been systematically evaluated in controlled clinical trials [see Clinical Studies (14.2)].

5.12 Qt Prolongation

In clinical trials, quetiapine was not associated with a persistent increase in QT intervals. However, the QT effect was not systematically evaluated in a thorough QT study. In post marketing experience, there were cases reported of QT prolongation in patients who overdosed on quetiapine [see Overdosage (10.1)], in patients with concomitant illness, and in patients taking medicines known to cause electrolyte imbalance or increase QT interval [see Drug Interactions (7.1)].



The use of quetiapine should be avoided in combination with other drugs that are known to prolong QTc including Class 1A antiarrythmics (e.g., quinidine, procainamide) or Class III antiarrythmics (e.g., amiodarone, sotalol), antipsychotic medications (e.g., ziprasidone, chlorpromazine, thioridazine), antibiotics (e.g., gatifloxacin, moxifloxacin), or any other class of medications known to prolong the QTc interval (e.g., pentamidine, levomethadyl acetate, methadone).



Quetiapine should also be avoided in circumstances that may increase the risk of occurrence of torsade de pointes and/or sudden death including (1) a history of cardiac arrhythmias such as bradycardia; (2) hypokalemia or hypomagnesemia; (3) concomitant use of other drugs that prolong the QTc interval; and (4) presence of congenital prolongation of the QT interval.



Caution should also be exercised when quetiapine is prescribed in patients with increased risk of QT prolongation (e.g., cardiovascular disease, family history of QT prolongation, the elderly, congestive heart failure, and heart hypertrophy).





8.6 Renal Impairment

Clinical experience with quetiapine in patients with renal impairment is limited [see Clinical Pharmacology (12.3)].

Spl Medguide Section


Medication Guide

Quetiapine Tablets

(kwe-TYE-a-peen)

Read this Medication Guide before you start taking quetiapine tablets and each time you get a refill. There may be new information. This information does not take the place of talking to your healthcare provider about your medical condition or your treatment.



What is the most important information I should know about quetiapine tablets?

Quetiapine tablets may cause serious side effects, including:

1. risk of death in the elderly with dementia. Medicines like quetiapine can increase the risk of death in elderly people who have memory loss (dementia). Quetiapine tablets are not for treating psychosis in the elderly with dementia.

2. risk of suicidal thoughts or actions (antidepressant medicines, depression and other serious mental illnesses, and suicidal thoughts or actions).



Talk to your or your family member’s healthcare provider about:

° all risks and benefits of treatment with antidepressant medicines.

° all treatment choices for depression or other serious mental illness



Antidepressant medications may increase suicidal thoughts or actions in some children, teenagers, and young adults within the first few months of treatment.

Depression and other serious mental illnesses are the most important causes of suicidal thoughts and actions. Some people may have a particularly high risk of having suicidal thoughts or actions. These include people who have (or have a family history of) depression, bipolar illness (also called manic-depressive illness), or suicidal thoughts or actions.

How can I watch for and try to prevent suicidal thoughts and actions in myself or a family member?

° Pay close attention to any changes, especially sudden changes, in mood, behaviors, thoughts, or feelings. This is very important when an antidepressant medicine is started or when the dose is changed.

°Call the healthcare provider right away to report new or sudden changes in mood, behavior, thoughts, or feelings.

° Keep all follow-up visits with the healthcare provider as scheduled. Call the healthcare provider between visits as needed, especially if you have concerns about symptoms.

Call a healthcare provider right away if you or your family member has any of the following symptoms, especially if they are new, worse, or worry you:

• thoughts about suicide or dying

• attempts to commit suicide

• new or worse depression

• new or worse anxiety

• feeling very agitated or restless

• panic attacks

• trouble sleeping (insomnia)

• new or worse irritability

• acting aggressive, being angry, or violent

• acting on dangerous impulses

• an extreme increase in activity and talking (mania)

• other unusual changes in behavior or mood

What else do I need to know about antidepressant medicines?

Never stop an antidepressant medicine without first talking to your healthcare provider. Stopping an antidepressant medicine suddenly can cause other symptoms.

Antidepressants are medicines used to treat depression and other illnesses. It is important to discuss all the risks of treating depression, and also the risks of not treating it. Patients and their families or other caregivers should discuss all treatment choices with the healthcare provider, not just the use of antidepressants.

Antidepressant medicines have other side effects. Talk to the healthcare provider about the side effects of the medicine prescribed for you or your family member.

Antidepressant medicines can interact with other medicines. Know all of the medicines that you or your family member take. Keep a list of all medicines to show the healthcare provider. Do not start new medicines without first checking with your healthcare provider.

Not all antidepressant medicines prescribed for children are FDA approved for use in children. Talk to your child’s healthcare provider for more information.



What are quetiapine tablets?

Quetiapine tablets are a prescription medicine used to treat:



• schizophrenia in people 13 years of age or older

• bipolar disorder in adults, including:

° depressive episodes associated with bipolar disorder

° manic episodes associated with bipolar I disorder alone or with lithium or divalproex

° long-term treatment of bipolar I disorder with lithium or divalproex

• manic episodes associated with bipolar I disorder in children ages 10 to 17 years old



It is not known if quetiapine tablets are safe and effective in children under 10 years of age.



What should I tell my healthcare provider before taking quetiapine tablets?

Before you take quetiapine tablets tell your healthcare provider if you have or have had:

• diabetes or high blood sugar in you or your family. Your healthcare provider should check your blood sugar before you start quetiapine, tablets and also during therapy

• high levels of total cholesterol, triglycerides or LDL-cholesterol, or low levels of HDL-cholesterol

• low or high blood pressure

• low white blood cell count

• cataracts

• seizures

• abnormal thyroid tests

• high prolactin levels

• heart problems

• liver problems

• any other medical condition

• pregnancy or plans to become pregnant. It is not known if quetiapine tablets will harm your unborn baby.

• If you become pregnant while receiving quetiapine tablets, talk to your healthcare provider about registering with the National Pregnancy Registry for Atypical Antipsychotics. You can register by calling 1-866-961-2388 or go to http://womensmentalhealth.org/clinical-and- research-programs/pregnancyregistry/

•  breast-feeding or plans to breast-feed. Quetiapine  can pass into your breast milk. Talk to your healthcare provider about the best way to feed your baby if you receive quetiapine tablets.

• if you have or have had a condition where you cannot completely empty your bladder (urinary retention), have an enlarged prostate, or constipation, or increased pressure inside your eyes.



Tell the healthcare provider about all the medicines that you take or recently have taken including prescription medicines, over-the-counter medicines, herbal supplements, and vitamins.



Quetiapine tablets and other medicines may affect each other causing serious side effects. Quetiapine tablets may affect the way other medicines work, and other medicines may affect how quetiapine tablets works.



Tell your healthcare provider if you are having a urine drug screen because quetiapine may affect your test results. Tell those giving the test that you are taking quetiapine tablets.

How should I take quetiapine tablets?

• Take quetiapine tablets exactly as your healthcare provider tells you to take it. Do not change the dose yourself.

• Take quetiapine tabletsby mouth, with or without food.



If you feel you need to stop quetiapine tablets talk with your healthcare provider first. If you suddenly stop taking quetiapine tablets you may have side effects such as trouble sleeping or trouble staying asleep (insomnia), nausea, and vomiting.



• If you miss a dose of quetiapine tablets take it as soon as you remember. If you are close to your next dose, skip the missed dose. Just take the next dose at your regular time. Do not take 2 doses at the same time unless your healthcare provider tells you to. If you are not sure about your dosing, call your healthcare provider.



What should I avoid while taking quetiapine tablets?

• Do not drive, operate machinery, or do other dangerous activities until you know how quetiapine tablet affects you.

Quetiapine tablets may make you drowsy.

• Avoid getting overheated or dehydrated.

° Do not over-exercise.

° In hot weather, stay inside in a cool place if possible.

° Stay out of the sun. Do not wear too much or heavy clothing.

° Drink plenty of water.

• Do not drink alcohol while taking quetiapine tablets. It may make some side effects of quetiapine tablets worse.

What are possible side effects of quetiapine tablets?

Quetiapine tablets can cause serious side effects, including:



See “What is the most important information I should know about quetiapine tablet?”

• stroke that can lead to death can happen in elderly people with dementia who take medicines like quetiapine tablets

• neuroleptic malignant syndrome (NMS). NMS is a rare but very serious condition that can happen in people who take antipsychotic medicines, including quetiapine tablets. NMS can cause death and must be treated in a hospital. Call your healthcare provider right away if you become severely ill and have some or all of these symptoms:

° high fever

° excessive sweating

° rigid muscles

° confusion

° changes in your breathing, heartbeat, and blood pressure

• falls can happen in some people who take quetiapine tablets. These falls may cause serious injuries.

high blood sugar (hyperglycemia). High blood sugar can happen if you have diabetes already or if you have never had diabetes. High blood sugar could lead to:

° build-up of acid in your blood due to ketones (ketoacidosis)

° coma

° death

Increases in blood sugar can happen in some people who take quetiapine tablets. Extremely high blood sugar can lead to coma or death. If you have diabetes or risk factors for diabetes (such as being overweight or a family history of diabetes) your healthcare provider should check your blood sugar before you start quetiapine tablets and during therapy.

Call your healthcare provider if you have any of these symptoms of high blood sugar (hyperglycemia) while taking quetiapine tablets:

° feel very thirsty

° need to urinate more than usual

° feel very hungry

° feel weak or tired

° feel sick to your stomach

° feel confused, or your breath smells fruity

high fat levels in your blood (increased cholesterol and triglycerides). High fat levels may happen in people treated with quetiapine tablets. You may not have any symptoms, so your healthcare provider may decide to check your cholesterol and triglycerides during your treatment with quetiapine tablets.

 • increase in weight (weight gain). Weight gain is common in people who take quetiapine tablets so you and your healthcare provider should check your weight regularly. Talk to your healthcare provider about ways to control weight gain, such as eating a healthy, balanced diet, and exercising.

movements you cannot control in your face, tongue, or other body parts (tardive dyskinesia). These may be signs of a serious condition. Tardive dyskinesia may not go away, even if you stop taking quetiapine tablets. Tardive dyskinesia may also start after you stop taking quetiapine tablets.

decreased blood pressure (orthostatic hypotension), including lightheadedness or fainting caused by a sudden change in heart rate and blood pressure when rising too quickly from a sitting or lying position.

increases in blood pressure in children and teenagers. Your healthcare provider should check blood pressure in children and adolescents before starting quetiapine tablets and during therapy.

low white blood cell count. Tell your healthcare provider as soon as possible if you have a fever, flu-like symptoms, or any other infection, as this could be a result of a very low white blood cell count. Your healthcare provider may check your white blood cell level to determine if further treatment or other action is needed.

cataracts

seizures

abnormal thyroid tests. Your healthcare provider may do blood tests to check your thyroid hormone level.

increases in prolactin levels

sleepiness, drowsiness, feeling tired, difficulty thinking and doing normal activities

increased body temperature

difficulty swallowing

trouble sleeping or trouble staying asleep (insomnia), nausea, or vomiting if you suddenly stop taking quetiapine tablets. These symptoms usually get better 1 week after you start having them.

The most common side effects of quetiapine tablets include:

 

In Adults:

• drowsiness

• sudden drop in blood pressure upon standing

• weight gain

• sluggishness

• abnormal liver tests

• upset stomach

• dry mouth

• dizziness

• weakness

• abdominal pain

• constipation

• sore throat

In Children and Adolescents:

• drowsiness

• dizziness

• fatigue

• nausea

• dry mouth

• weight gain

• increased appetite

• vomiting

• rapid heart beat

These are not all the possible side effects of quetiapine tablets. For more information, ask your healthcare provider or pharmacist.

Call your doctor for medical advice about side effects. You may report side effects to FDA at 1-800-FDA-1088.

How should I store quetiapine tablets?

• Store quetiapine tablets at room temperature, between 68°F to 77°F (20°C to 25°C).

• Keep quetiapine tablets and all medicines out of the reach of children.

General information about the safe and effective use of quetiapine tablets.

Medicines are sometimes prescribed for purposes other than those listed in a Medication Guide. Do not use quetiapine tablets for a condition for which it was not prescribed. Do not give quetiapine tablets to other people, even if they have the same symptoms you have. It may harm them.

This Medication Guide summarizes the most important information about quetiapine tablets. If you would like more information, talk with your healthcare provider. You can ask your pharmacist or healthcare provider for information about quetiapine tablets that is written for health professionals.

For more information, call Macleods Pharma USA, Inc. at 1-888-943-3210 or 1-855-926-3384.

What are the ingredients in quetiapine tablets?

Active ingredient: quetiapine

Inactive ingredients: povidone, dibasic calcium phosphate dihydrate, microcrystalline cellulose, sodium starch glycolate, lactose monohydrate, magnesium stearate, colloidal silicon di-oxide, hypromellose, polyethylene glycol, and titanium dioxide.

The 25 mg tablets contain red and yellow ferric oxide. The 100 mg and 400 mg tablets contain only yellow ferric oxide.

This Medication Guide has been approved by the U.S. Food and Drug Administration.

Trademarks are the property of their respective owners.

Manufactured for:

Macleods Pharma USA, Inc.

Princeton, NJ 08540



Manufactured by:

Macleods Pharmaceuticals Limited

Daman (U.T.), INDIA



Medication Guide available at: www.macleodspharma.com/usa



Revised: March 2023

1 Indications & Usage

Quetiapine tablets are an atypical antipsychotic indicated for the treatment of:

• Schizophrenia (1.1)

• Bipolar I disorder manic episodes (1.2)

• Bipolar disorder, depressive episodes (1.2)



10.1 Human Experience

In clinical trials, survival has been reported in acute overdoses of up to 30 grams of quetiapine. Most patients who overdosed experienced no adverse reactions or recovered fully from the reported reactions. Death has been reported in a clinical trial following an overdose of 13.6 grams of quetiapine alone. In general, reported signs and symptoms were those resulting from an exaggeration of the drug’s known pharmacological effects, i.e., drowsiness, sedation, tachycardia, hypotension, and anticholinergic toxicity including coma and delirium. Patients with pre-existing severe cardiovascular disease may be at an increased risk of the effects of overdose [see Warnings and Precautions (5.12)]. One case, involving an estimated overdose of 9600 mg, was associated with hypokalemia and first-degree heart block. In post-marketing experience, there were cases reported of QT prolongation with overdose.

12.2 Pharmacodynamics

Quetiapine and its metabolite, norquetiapine, have affinity for multiple neurotransmitter receptors with norquetiapine binding with higher affinity than quetiapine in general. The Ki values for quetiapine and norquetiapine at the dopamine D1 are 428/99.8 nM, at D2 626/489nM, at serotonin 5HT1A 1040/191 nM at 5HT2A 38/2.9 nM, at histamine H1 4.4/1.1 nM, at muscarinic M1 1086/38.3 nM, and at adrenergic α1b 14.6/46.4 nM and, at α2 receptors 617/1290 nM, respectively. Quetiapine and norquetiapine lack appreciable affinity to the benzodiazepine receptors.



Effect on QT Interval

In clinical trials, quetiapine was not associated with a persistent increase in QT intervals. However, the QT effect was not systematically evaluated in a thorough QT study. In post marketing experience, there were cases reported of QT prolongation in patients who overdosed on quetiapine [see Overdosage (10.1)], in patients with concomitant illness, and in patients taking medicines known to cause electrolyte imbalance or increase QT interval.

12.3 Pharmacokinetics

Adults

Quetiapine  activity is primarily due to the parent drug. The multiple-dose pharmacokinetics of quetiapine are dose-proportional within the proposed clinical dose range, and quetiapine accumulation is predictable upon multiple dosing. Elimination of quetiapine is mainly via hepatic metabolism with a mean terminal half-life of about 6 hours within the proposed clinical dose range. Steady-state concentrations are expected to be achieved within two days of dosing. Quetiapine is unlikely to interfere with the metabolism of drugs metabolized by cytochrome P450 enzymes.



Children and Adolescents

At steady state the pharmacokinetics of the parent compound, in children and adolescents (10 to 17 years of age), were similar to adults. However, when adjusted for dose and weight, AUC and Cmax of the parent compound were 41% and 39% lower, respectively, in children and adolescents than in adults. For the active metabolite, norquetiapine, AUC and Cmax were 45% and 31% higher, respectively, in children and adolescents than in adults. When adjusted for dose and weight, the pharmacokinetics of the metabolite, norquetiapine, was similar between children and adolescents and adults [ see Use in Specific Populations (8.4)].



Absorption

Quetiapine  is rapidly absorbed after oral administration, reaching peak plasma concentrations in 1.5 hours. The tablet formulation is 100% bioavailable relative to solution. The bioavailability of quetiapine is marginally affected by administration with food, with Cmax and AUC values increased by 25% and 15%, respectively.



Distribution

Quetiapine is widely distributed throughout the body with an apparent volume of distribution of 10±4 L/kg. It is 83% bound to plasma proteins at therapeutic concentrations. In vitro, quetiapine did not affect the binding of warfarin or diazepam to human serum albumin. In turn, neither warfarin nor diazepam altered the binding of quetiapine.



Metabolism and Elimination

Following a single oral dose of 14C-quetiapine, less than 1% of the administered dose was excreted as unchanged drug, indicating that quetiapine is highly metabolized. Approximately 73% and 20% of the dose was recovered in the urine and feces, respectively.



Quetiapine is extensively metabolized by the liver. The major metabolic pathways are sulfoxidation to the sulfoxide metabolite and oxidation to the parent acid metabolite; both metabolites are pharmacologically inactive. In vitro studies using human liver microsomes revealed that the cytochrome P450 3A4 isoenzyme is involved in the metabolism of quetiapine to its major, but inactive, sulfoxide metabolite and in the metabolism of its active metabolite N-desalkyl quetiapine.



Age

Oral clearance of quetiapine was reduced by 40% in elderly patients (> 65 years, n=9) compared to young patients (n=12), and dosing adjustment may be necessary [see Dosage and Administration (2.3)].



Gender

There is no gender effect on the pharmacokinetics of quetiapine.



Race

There is no race effect on the pharmacokinetics of quetiapine.



Smoking

Smoking has no effect on the oral clearance of quetiapine.



Renal Insufficiency

Patients with severe renal impairment (Clcr=10-30 mL/min/1.73 m2, n=8) had a 25% lower mean oral clearance than normal subjects (Clcr > 80 mL/min/1.73 m2, n=8), but plasma quetiapine concentrations in the subjects with renal insufficiency were within the range of concentrations seen in normal subjects receiving the same dose. Dosage adjustment is therefore not needed in these patients [see Use in Specific Populations (8.6)].



Hepatic Insufficiency

Hepatically impaired patients (n=8) had a 30% lower mean oral clearance of quetiapine than normal subjects. In two of the 8 hepatically impaired patients, AUC and Cmax were 3 times higher than those observed typically in healthy subjects. Since quetiapine is extensively metabolized by the liver, higher plasma levels are expected in the hepatically impaired population, and dosage adjustment may be needed [see Dosage and Administration (2.4) and Use in Specific Populations (8.7)].



Drug-Drug Interaction Studies

The in vivo assessments of effect of other drugs on the pharmacokinetics of quetiapine are summarized in Table 17 [see Dosage and Administration ( 2.5 and 2.6 ) and Drug Interactions ( 7.1 )].



Table 17: The Effect of Other Drugs on the Pharmacokinetics of Quetiapine



Coadministered

Drug


              Dose Schedules


Effect on Quetiapine

Pharmacokinetics


Coadministered

Drug


Quetiapine


Phenytoin


100 mg three

times daily


250 mg three

times daily


5-fold increase in oral clearance


Divalproex


500 mg twice

daily


150 mg

twice daily


17% increase mean max plasma concentration at steady state.

No effect on absorption or mean oral clearance


Thioridazine


200 mg twice

daily


300 mg

twice daily


65% increase in oral clearance


Cimetidine


400 mg three

times daily for 4 days


150 mg three

times daily


20% decrease in mean oral clearance


Ketoconazole

(potent CYP

3A4 inhibitor)


200 mg once

daily for 4 days


25 mg single dose


84% decrease in oral clearance resulting in a 6.2-fold

increase in AUC of quetiapine


Fluoxetine


60 mg once

daily


300 mg twice

daily


No change in steady state PK


Imipramine


75 mg twice

daily


300 mg

twice daily


No change in steady state PK


Haloperidol


7.5 mg twice

daily


300 mg

twice daily


No change in steady state PK


Risperidone


3 mg twice

daily


300 mg

twice daily


No change in steady state PK


In vitro enzyme inhibition data suggest that quetiapine and 9 of its metabolites would have little inhibitory effect on in vivo metabolism mediated by cytochromes CYP 1A2, 2C9, 2C19, 2D6, and 3A4. Quetiapine at doses of 750 mg/day did not affect the single dose pharmacokinetics of antipyrine, lithium, or lorazepam (Table 18) [see Drug Interactions ( 7.2 )].



Table 18: The Effect of Quetiapine on the Pharmacokinetics of Other Drugs



Coadministered drug Dose schedules Effect on other drugs pharmacokinetics
Coadministered drug Quetiapine
Lorazepam 2 mg, single dose 250 mg three times daily Oral clearance of lorazepam reduced by 20%
Divalproex 500 mg twice daily 150 mg twice daily Cmax and AUC of free valproic acid at

steady-state was decreased by 10 -12%
Lithium Up to 2400 mg/day given in twice daily doses 250 mg three times daily No effect on steady-state pharmacokinetics of lithium
Antipyrine 1 g, single dose 250 mg three times daily No effect on clearance of antipyrine or urinary recovery of its metabolites




14.2 Bipolar Disorder

Bipolar I disorder, manic or mixed episodes

Adults

The efficacy of quetiapine in the acute treatment of manic episodes was established in 3 placebo-controlled trials in patients who met DSM-IV criteria for bipolar I disorder with manic episodes. These trials included patients with or without psychotic features and excluded patients with rapid cycling and mixed episodes. Of these trials, 2 were monotherapy (12 weeks) and 1 was adjunct therapy (3 weeks) to either lithium or divalproex. Key outcomes in these trials were change from baseline in the Young Mania Rating Scale (YMRS) score at 3 and 12 weeks for monotherapy and at 3 weeks for adjunct therapy. Adjunct therapy is defined as the simultaneous initiation or subsequent administration of quetiapine with lithium or divalproex.



The primary rating instrument used for assessing manic symptoms in these trials was YMRS, an 11-item clinician-rated scale traditionally used to assess the degree of manic symptomatology (irritability, disruptive/aggressive behavior, sleep, elevated mood, speech, increased activity, sexual interest, language/thought disorder, thought content, appearance, and insight) in a range from 0 (no manic features) to 60 (maximum score).



The results of the trials follow:



Monotherapy

The efficacy of quetiapine in the acute treatment of bipolar mania was established in 2 placebo-controlled trials. In two 12-week trials (n=300, n=299) comparing quetiapine to placebo, quetiapine was superior to placebo in the reduction of the YMRS total score at weeks 3 and 12. The majority of patients in these trials taking quetiapine were dosed in a range between 400 mg/day and 800 mg per day (studies 1 and 2 in Table 20).



Adjunct Therapy

In this 3-week placebo-controlled trial, 170 patients with bipolar mania (YMRS >20) were randomized to receive quetiapine or placebo as adjunct treatment to lithium or divalproex. Patients may or may not have received an adequate treatment course of lithium or divalproex prior to randomization. Quetiapine was superior to placebo when added to lithium or divalproex alone in the reduction of YMRS total score (Study 3 in Table 20).



The majority of patients in this trial taking quetiapine were dosed in a range between 400 mg/day and 800 mg per day. In a similarly designed trial (n=200), quetiapine was associated with an improvement in YMRS scores but did not demonstrate superiority to placebo, possibly due to a higher placebo effect.



The primary efficacy results of these studies in the treatment of mania in adults is presented in Table 20.



Children and Adolescents (ages 10 to 17)



The efficacy of quetiapine in the acute treatment of manic episodes associated with bipolar I disorder in children and adolescents (10 to 17 years of age) was demonstrated in a 3-week, double-blind, placebo-controlled, multicenter trial (Study 4 in Table 20). Patients who met DSM-IV diagnostic criteria for a manic episode were randomized into one of three treatment groups: quetiapine 400 mg/day (n = 95), quetiapine 600 mg/day (n = 98), or placebo (n = 91). Study medication was initiated at 50 mg/day and on day 2 increased to 100 mg/day (divided doses given two or three times daily). Subsequently, the dose was titrated to a target dose of 400 mg/day or 600 mg/day using increments of 100 mg/day, given in divided doses two or three times daily. The primary efficacy variable was the mean change from baseline in total YMRS score.



Quetiapine 400 mg/day and 600 mg/day were superior to placebo in the reduction of YMRS total score (Table 20).



Table 20: Mania Trials





Study

Number
Treatment Group                Primary Efficacy Measure: YMRS Total
Mean Baseline

Score (SD)4
LS Mean Change

from Baseline (SE)
Placebo-subtracted

Difference2 (95% CI)
Study 1 Quetiapine (200 to 800 mg/day)1,3

34.0 (6.1)


-12.3 (1.3)


-4.0 (-7.0, -1.0)
Haloperidol1,3

32.3 (6.0)


-15.7 (1.3)


-7.4 (-10.4, -4.4)
Placebo

33.1 (6.6)


-8.3 (1.3)


--
Study 2 Quetiapine (200 to 800 mg/day)1

32.7 (6.5)


-14.6 (1.5)


-7.9 (-10.9, -5.0)
Lithium1,3

33.3 (7.1)


-15.2 (1.6)


-8.5 (-11.5, -5.5)
Placebo

34.0 (6.9)


-6.7 (1.6)


--
Study 3 Quetiapine (200 to 800mg/day)1 + mood stabilizer

31.5 (5.8)


-13.8 (1.6)


-3.8 (-7.1, -0.6)
Placebo + mood stabilizer

31.1 (5.5)


-10 (1.5)


--
Study 4 Quetiapine (400 mg/day)1

29.4 (5.9)


-14.3 (0.96)


-5.2 (-8.1, -2.3)
Quetiapine (600 mg/day)1

29.6 (6.4)


-15.6 (0.97)


-6.6 (-9.5, -3.7)
Placebo

30.7 (5.9)


-9.0 (1.1)


--


Mood stabilizer: lithium or divalproex; SD: standard deviation; SE: standard error; LS Mean: least-squares mean; CI: unadjusted confidence interval.

1. Doses that are statistically significantly superior to placebo.

2. Difference (drug minus placebo) in least-squares mean change from baseline.

3. Included in the trial as an active comparator.

4. Adult data mean baseline score is based on patients included in the primary analysis; pediatric mean baseline score is based on all patients in the ITT population.



Bipolar Disorder, Depressive Episodes

Adults

The efficacy of quetiapine for the acute treatment of depressive episodes associated with bipolar disorder was established in 2 identically designed 8-week, randomized, double-blind, placebo-controlled studies (N=1045) (studies 5 and 6 in Table 21). These studies included patients with either bipolar I or II disorder and those with or without a rapid cycling course. Patients randomized to quetiapine were administered fixed doses of either 300 mg or 600 mg once daily.



The primary rating instrument used to assess depressive symptoms in these studies was the Montgomery-Asberg Depression Rating Scale (MADRS), a 10-item clinician-rated scale with scores ranging from 0 to 60. The primary endpoint in both studies was the change from baseline in MADRS score at week 8. In both studies, quetiapine was superior to placebo in reduction of MADRS score. Improvement in symptoms, as measured by change in MADRS score relative to placebo, was seen in both studies at Day 8 (week 1) and onwards. In these studies, no additional benefit was seen with the 600 mg dose. For the 300 mg dose group, statistically significant improvements over placebo were seen in overall quality of life and satisfaction related to various areas of functioning, as measured using the Q-LES-Q(SF).



The primary efficacy results of these studies in the acute treatment of depressive episodes associated with bipolar disorder in adults is presented in Table 21.



Table 21: Depressive Episodes Associated with Bipolar Disorder



 
Study

Number
Treatment Group Primary Efficacy Measure: MADRS Total
Mean Baseline 

Score (SD)
LS Mean Change from Baseline (SE) Placebo-subtracted

Difference2 (95% CI)
Study 5 Quetiapine (300 mg/day)1

30.3 (5.0)


-16.4 (0.9)


-6.1

(-8.3, -3.9)
Quetiapine (600 mg/day)1

30.3 (5.3)


-16.7 (0.9)


-6.5

(-8.7, -4.3)
Placebo

30.6 (5.3)


-10.3 (0.9)


--
Study 6 Quetiapine (300 mg/day)1

31.1 (5.7)


-16.9 (1.0)


-5.0

(-7.3, -2.7)
Quetiapine (600 mg/day)1

29.9 (5.6)


-16.0 (1.0)


-4.1

(-6.4, -1.8)
Placebo

29.6 (5.4)


-11.9 (1.0)


--


SD: standard deviation; SE: standard error; LS Mean: least-squares mean; CI: unadjusted confidence interval.

1. Doses that are statistically significantly superior to placebo.

2. Difference (drug minus placebo) in least-squares mean change from baseline.



Maintenance Treatment as an Adjunct to Lithium or Divalproex



The efficacy of quetiapine in the maintenance treatment of bipolar I disorder was established in 2 placebo-controlled trials in patients (n=1326) who met DSM-IV criteria for bipolar I disorder (studies 7 and 8 in Figures 1 and 2). The trials included patients whose most recent episode was manic, depressed, or mixed, with or without psychotic features. In the open-label phase, patients were required to be stable on quetiapine plus lithium or divalproex for at least 12 weeks in order to be randomized. On average, patients were stabilized for 15 weeks. In the randomization phase, patients continued treatment with lithium or divalproex and were randomized to receive either quetiapine (administered twice daily totaling 400 mg/day to 800 mg/day) or placebo. Approximately 50% of the patients had discontinued from the quetiapine group by day 280 and 50% of the placebo group had discontinued by day 117 of double-blind treatment. The primary endpoint in these studies was time to recurrence of a mood event (manic, mixed, or depressed episode). A mood event was defined as medication initiation or hospitalization for a mood episode; YMRS score > 20 or MADRS score >20 at 2 consecutive assessments; or study discontinuation due to a mood event (Figure 1 and Figure 2).



In both studies, quetiapine was superior to placebo in increasing the time to recurrence of any mood event. The treatment effect was present for increasing time to recurrence of both manic and depressed episodes. The effect of quetiapine was independent of any specific subgroup (assigned mood stabilizer, sex, age, race, most recent bipolar episode, or rapid cycling course).



Figure 1: Kaplan-Meier Curves of Time to Recurrence of a Mood Event (Study 7)



Figure 2: Kaplan-Meier Curves of Time to Recurrence of a Mood Event (Study 8)

5.5 Metabolic Changes


Atypical antipsychotic drugs have been associated with metabolic changes that include hyperglycemia/diabetes mellitus, dyslipidemia, and body weight gain. While all of the drugs in the class have been shown to produce some metabolic changes, each drug has its own specific risk profile. In some patients, a worsening of more than one of the metabolic parameters of weight, blood glucose, and lipids was observed in clinical studies. Changes in these metabolic profiles should be managed as clinically appropriate.



Hyperglycemia and Diabetes Mellitus

Hyperglycemia, in some cases extreme and associated with ketoacidosis or hyperosmolar coma or death, has been reported in patients treated with atypical antipsychotics, including quetiapine. Assessment of the relationship between atypical antipsychotic use and glucose abnormalities is complicated by the possibility of an increased background risk of diabetes mellitus in patients with schizophrenia and the increasing incidence of diabetes mellitus in the general population. Given these confounders, the relationship between atypical antipsychotic use and hyperglycemia-related adverse reactions is not completely understood. However, epidemiological studies suggest an increased risk of  hyperglycemia-related adverse reactions in patients treated with the atypical antipsychotics. Precise risk estimates for hyperglycemia-related adverse reactions in patients treated with atypical antipsychotics are not available.



Patients with an established diagnosis of diabetes mellitus who are started on atypical antipsychotics should be monitored regularly for worsening of glucose control. Patients with risk factors for diabetes mellitus (e.g., obesity, family history of diabetes) who are starting treatment with atypical antipsychotics should undergo fasting blood glucose testing at the beginning of treatment and periodically during treatment. Any patient treated with atypical antipsychotics should be monitored for symptoms of hyperglycemia including polydipsia, polyuria, polyphagia, and weakness. Patients who develop symptoms of hyperglycemia during treatment with atypical antipsychotics should undergo fasting blood glucose testing. In some cases, hyperglycemia has resolved when the atypical antipsychotic was discontinued; however, some patients required continuation of anti-diabetic treatment despite discontinuation of the suspect drug.



Adults:

Table 3: Fasting Glucose – Proportion of Patients Shifting to >126 mg/dL in Short-Term (<12 weeks) Placebo-Controlled Studies1

Laboratory

Analyte

Category Change

(At Least Once)

from Baseline

Treatment

Arm

N

Patients

n (%)

Fasting

Glucose

Normal to High

(<100 mg/dL to

≥126 mg/dL)

Quetiapine

2907

71 (2.4%)

Placebo

1346

19 (1.4%)

Borderline to High

(≥ 100 mg/dL and

<126 mg/dL to

≥126 mg/dL)

Quetiapine

572

67 (11.7%)

Placebo

279

33 (11.8%)

1. Includes quetiapine and quetiapine extended-release data.

 

In a 24-week trial (active-controlled, 115 patients treated with quetiapine) designed to evaluate glycemic status with oral glucose tolerance testing of all patients, at Week 24 the incidence of a post-glucose challenge glucose level ≥200 mg/dL was 1.7% and the incidence of a fasting  blood glucose level ≥126 mg/dL was 2.6%. The mean change in fasting glucose from baseline was 3.2 mg/dL and mean change in 2-hour glucose from baseline was -1.8 mg/dL for quetiapine.

In 2 long-term placebo-controlled randomized withdrawal clinical trials for bipolar I disorder maintenance, mean exposure of 213 days for quetiapine (646 patients) and 152 days for placebo (680 patients), the mean change in glucose from baseline was +5.0 mg/dL for quetiapine and –0.05 mg/dL for placebo. The exposure-adjusted rate of any increased blood glucose level (>126 mg/dL) for patients more than 8 hours since a meal (however, some patients may not have been precluded from calorie intake from fluids during fasting period) was 18.0 per 100 patient years for quetiapine (10.7% of patients; n=556) and 9.5 for placebo per 100 patient years (4.6% of patients; n=581).





Children and Adolescents:

 

In a placebo-controlled quetiapine monotherapy study of adolescent patients (13 to 17 years of age) with schizophrenia (6 weeks duration), the mean change in fasting glucose levels for quetiapine (n=138) compared to placebo (n=67) was – 0.75 mg/dL versus –1.70 mg/dL. In a placebo-controlled quetiapine monotherapy study of children and adolescent patients (10 to 17 years of age) with bipolar mania (3 weeks duration), the mean change in fasting glucose level for quetiapine (n=170) compared to placebo (n=81) was 3.62 mg/dL versus –1.17 mg/dL. No patient in either study with a baseline normal fasting glucose level (<100 mg/dL) or a baseline borderline fasting glucose level (>100 mg/dL and <126 mg/dL) had a blood glucose level of >126 mg/dL.

In a placebo-controlled quetiapine extended-release monotherapy study (8 weeks duration) of children and adolescent patients (10 to 17 years of age) with bipolar depression, in which efficacy was not established, the mean change in fasting glucose levels for quetiapine extended-release (n=60) compared to placebo (n=62) was 1.8 mg/dL versus 1.6 mg/dL. In this study, there were no patients in the quetiapine extended-release or placebo-treated groups with a baseline normal fasting glucose level (<100 mg/dL) that had an increase in blood glucose level >126 mg/dL. There was one patient in the quetiapine extended-release group with a baseline borderline fasting glucose level (>100 mg/dL  and <126 mg/dL) who had an increase in blood glucose level of >126 mg/dL compared to zero patients in the placebo group.



Dyslipidemia



Adults:



Table 4 shows the percentage of adult patients with changes in total cholesterol, triglycerides, LDL-cholesterol, and HDL-cholesterol from baseline by indication in clinical trials with quetiapine.



Table 4: Percentage of Adult Patients with Shifts in Total Cholesterol, Triglycerides, LDL-Cholesterol, and HDL-Cholesterol from Baseline to Clinically Significant Levels by Indication



Laboratory

Analyte


Indication


Treatment Arm


N


Patients

n (%)


Total Cholesterol

≥240 mg/dL


Schizophrenia1


Quetiapine


137


24 (18%)


Placebo


92


6 (7%)


Bipolar Depression2


Quetiapine


463


41 (9%)


Placebo


250


15 (6%)


Triglycerides

≥200 mg/dL


Schizophrenia1


Quetiapine


120


26 (22%)


Placebo


70


11 (16%)


Bipolar Depression2


Quetiapine


436


59 (14%)


Placebo


232


20 (9%)


LDL-Cholesterol

≥160 mg/dL


Schizophrenia1


Quetiapine


na3


na3


Placebo


na3


na3


Bipolar Depression2


Quetiapine


465


29 (6%)


Placebo


256


12 (5%)


HDL-Cholesterol

≤40 mg/dL


Schizophrenia1


Quetiapine


na3


na3


Placebo


na3


na3


Bipolar Depression2


Quetiapine


393


56 (14%)


Placebo


214


29 (14%)

1. 6 weeks duration

2. 8 weeks duration

3. Parameters not measured in the quetiapine registration studies for schizophrenia.





Children and Adolescents:Table 5 shows the percentage of children and adolescents with changes in total cholesterol, triglycerides, LDL-cholesterol, and HDL-cholesterol from baseline in clinical trials with quetiapine.



Table 5: Percentage of Children and Adolescents with Shifts in Total Cholesterol, Triglycerides, LDL-Cholesterol, and HDL-Cholesterol from Baseline to Clinically Significant Levels





 


Laboratory

Analyte


Indication


Treatment Arm


N


Patients

n (%)


Total Cholesterol

≥200 mg/dL


Schizophrenia1


Quetiapine


107


13 (12%)


Placebo


56


1 (2%)


Bipolar Mania2


Quetiapine


159


16 (10%)


Placebo


66


2 (3%)


Triglycerides

≥150 mg/dL


Schizophrenia1


Quetiapine


103


17 (17%)


Placebo


51


4 (8%)


Bipolar Mania2


Quetiapine


149


32 (22%)


Placebo


60


8 (13%)


LDL-Cholesterol

≥130 mg/dL


Schizophrenia1


Quetiapine


112


4 (4%)


Placebo


60


1 (2%)


Bipolar Mania2


Quetiapine


169


13 (8%)


Placebo


74


4 (5%)


HDL-Cholesterol

≤40 mg/dL


Schizophrenia1


Quetiapine


104


16 (15%)


Placebo


54


10 (19%)


Bipolar Mania2


Quetiapine


154


16 (10%)


Placebo


61


4 (7%)


1. 13 to 17 years, 6 weeks duration

2. 10 to 17 years, 3 weeks duration



In a placebo-controlled quetiapine extended-release monotherapy study (8 weeks duration) of children and adolescent patients (10 to 17 years of age) with bipolar depression, in which efficacy was not established, the percentage of children and adolescents with shifts in total cholesterol (>200 mg/dL), triglycerides (>150 mg/dL), LDL-cholesterol (> 130 mg/dL), and HDL-cholesterol (<40 mg/dL) from baseline to clinically significant levels were: total cholesterol 8% (7/83) for quetiapine extended-release vs. 6% (5/84) for placebo; triglycerides 28% (22/80) for quetiapine extended-release vs. 9% (7/82) for placebo; LDL-cholesterol 2% (2/86) for quetiapine extended-release vs. 4% (3/85) for placebo and HDL-cholesterol 20% (13/65) for quetiapine extended-release vs. 15% (11/74) for placebo.



Weight Gain

Increases in weight have been observed in clinical trials. Patients receiving quetiapine should receive regular monitoring of weight.

Adults:

In clinical trials with quetiapine the following increases in weight have been reported.



Table 6: Proportion of Patients with Weight Gain ≥7% of Body Weight (Adults)



 


Vital

Sign


Indication


Treatment Arm


N


Patients

n (%)


Weight



Gain



7% of

 Body

Weight


Schizophrenia1


Quetiapine


391


89 (23%)


Placebo


206


11 (6%)


Bipolar Mania2

(monotherapy)


Quetiapine


209


44 (21%)


Placebo


198


13 (7%)


Bipolar Mania3

(adjunct therapy)


Quetiapine


196


25 (13%)


Placebo


203


8 (4%)


Bipolar Depression4


Quetiapine


554


47 (8%)


Placebo


295


7 (2%)




1. up to 6 weeks duration

2. up to 12 weeks duration

3. up to 3 weeks duration

4. up to 8 weeks duration



Children and Adolescents:

In two clinical trials with quetiapine, one in bipolar mania and one in schizophrenia, reported increases in weight are included in Table 7.



Table 7: Proportion of Patients with Weight Gain ≥7% of Body Weight (Children and Adolescents)

Vital Sign Indication Treatment Arm N Patients

 n (%)
Weight

Gain

≥ 7% 
of

Body Weight
Schizophrenia1 Quetiapine 111 23 (21%)
Placebo 44 3 (7%)
Bipolar Mania2 Quetiapine 157 18 (12%)
Placebo 68 0 (0%)


1. 6 weeks duration

2. 3 weeks duration



The mean change in body weight in the schizophrenia trial was 2.0 kg in the quetiapine group and -0.4 kg in the placebo group and in the bipolar mania trial, it was 1.7 kg in the quetiapine group and 0.4 kg in the placebo group.

In an open-label study that enrolled patients from the above two pediatric trials, 63% of patients (241/380) completed 26 weeks of therapy with quetiapine. After 26 weeks of treatment, the mean increase in body weight was 4.4 kg. Forty-five percent of the patients gained 7% of their body weight, not adjusted for normal growth. In order to adjust for normal growth over 26 weeks, an increase of at least 0.5 standard deviation from baseline in BMI was used as a measure of a clinically significant change; 18.3% of patients on quetiapine met this criterion after 26 weeks of treatment.



In a clinical trial for quetiapine extended-release in children and adolescents (10 to 17 years of age) with bipolar depression, in which efficacy was not established, the percentage of patients with weight gain 7% of body weight at any time was 15% (14/92) for quetiapine extended-release vs. 10% (10/100) for placebo. The mean change in body weight was 1.4 kg in the quetiapine extended-release group vs. 0.6 kg in the placebo group.



When treating pediatric patients with quetiapine for any indication, weight gain should be assessed against that expected for normal growth.

2.2 Recommended Dosing

The recommended initial dose, titration, dose range and maximum quetiapine dose for each approved indication is displayed in Table 1. After initial dosing, adjustments can be made upwards or downwards, if necessary, depending upon the clinical response and tolerability of the patient [see Clinical Studies (14.1 and 14.2)].



Table 1: Recommended Dosing for Quetiapine Tablets



Indication

Initial Dose and Titration

Recommended Dose

Maximum Dose

Schizophrenia-Adults

Day 1: 25 mg twice daily.

Increase in increments of 25 mg to 50 mg divided two or three times on Days 2 and 3 to range of 300 to 400 mg by Day 4.

Further adjustments can be made in increments of 25 to 50 mg twice a day, in intervals of not less than 2 days.

150 to 750 mg/day

750 mg/day

Schizophrenia- Adolescents (13 to 17 years)

Day 1: 25 mg twice daily.

Day 2: Twice daily dosing totaling 100 mg.

Day 3: Twice daily dosing totaling 200 mg.

Day 4: Twice daily dosing totaling 300 mg.

Day 5: Twice daily dosing totaling 400 mg.

Further adjustments should be in increments no greater than 100 mg/day within the recommended dose range of 400 to 800 mg/day.

Based on response and tolerability, may be administered three times daily.

400 to 800 mg/day

800 mg/day

Schizophrenia-Maintenance

Not applicable.

400 to 800 mg/day

800 mg/day

Bipolar Mania- Adults Monotherapy or as an adjunct to lithium or divalproex

Day 1: Twice daily dosing totaling 100 mg.

Day 2: Twice daily dosing totaling 200 mg.

Day 3: Twice daily dosing totaling 300 mg.

Day 4: Twice daily dosing totaling 400 mg.

Further dosage adjustments up to 800 mg/day by Day 6 should be in increments of no greater than 200 mg/day.

400 to 800 mg/day

800 mg/day

Bipolar Mania- Children and Adolescents (10 to 17 years), Monotherapy

Day 1: 25 mg twice daily.

Day 2: Twice daily dosing totaling 100 mg.

Day 3: Twice daily dosing totaling 200 mg.

Day 4: Twice daily dosing totaling 300 mg.

Day 5: Twice daily dosing totaling 400 mg.

Further adjustments should be in increments no greater than 100 mg/day within the recommended dose range of 400 to 600 mg/day.

Based on response and tolerability, may be administered three times daily.

400 to 600 mg/day

600 mg/day

Bipolar Depression- Adults

Administer once daily at bedtime.

Day 1: 50 mg

Day 2: 100 mg

Day 3: 200 mg

Day 4: 300 mg

300 mg/day

300 mg/day

Bipolar I Disorder Maintenance Therapy- Adults

Administer twice daily totaling 400 to 800 mg/day as adjunct to lithium or divalproex. Generally, in the maintenance phase, patients continued on the same dose on which they were stabilized.

400 to 800 mg/day

800 mg/day



Maintenance Treatment for Schizophrenia and Bipolar I Disorder

Maintenance Treatment –
Patients should be periodically reassessed to determine the need for maintenance treatment and the appropriate dose for such treatment [see Clinical Studies (14.2)].

5.6 Tardive Dyskinesia


  

A syndrome of potentially irreversible, involuntary, dyskinetic movements may develop in patients treated with antipsychotic drugs, including quetiapine. Although the prevalence of the syndrome appears to be highest among the elderly, especially elderly women, it is impossible to rely upon prevalence estimates to predict, at the inception of antipsychotic treatment, which patients are likely to develop the syndrome. Whether antipsychotic drug products differ in their potential to cause tardive dyskinesia is unknown.



The risk of developing tardive dyskinesia and the likelihood that it will become irreversible are believed to increase as the duration of treatment and the total cumulative dose of antipsychotic drugs administered to the patient increase. However, the syndrome can develop, although much less commonly, after relatively brief treatment periods at low doses or may even arise after discontinuation of treatment.

 

Tardive dyskinesia may remit, partially or completely, if antipsychotic treatment is withdrawn. Antipsychotic treatment, itself, however, may suppress (or partially suppress) the signs and symptoms of the syndrome and thereby may possibly mask the underlying process. The effect that symptomatic suppression has upon the long-term course of the syndrome is unknown. 



Given these considerations, quetiapine should be prescribed in a manner that is most likely to minimize the occurrence of tardive dyskinesia. Chronic antipsychotic treatment should generally be reserved for patients who appear to suffer from a chronic illness that (1) is known to respond to antipsychotic drugs, and (2) for whom alternative, equally effective, but potentially less harmful treatments are not available or appropriate. In patients who do require chronic treatment, the smallest dose and the shortest duration of treatment producing a satisfactory clinical response should be sought. The need for continued treatment should be reassessed periodically.



If signs and symptoms of tardive dyskinesia appear in a patient on quetiapine, drug discontinuation should be considered. However, some patients may require treatment with quetiapine despite the presence of the syndrome.

8.7 Hepatic Impairment

Since quetiapine is extensively metabolized by the liver, higher plasma levels are expected in patients with hepatic impairment. In this population, a low starting dose of 25 mg/day is recommended and the dose may be increased in increments of 25 mg/day - 50 mg/day [see Dosage and Administration (2.4) and Clinical Pharmacology (12.3)].

5.15 Hyperprolactinemia

Adults:

During clinical trials with quetiapine, the incidence of shifts in prolactin levels to a clinically significant value occurred in 3.6% (158/4416) of patients treated with quetiapine compared to 2.6% (51/1968) on placebo.



Children and Adolescents:

In acute placebo-controlled trials in children and adolescent patients with bipolar mania (3-week duration) or schizophrenia (6-week duration), the incidence of shifts in prolactin levels to a value (>20 µg/L males; > 26 µg/L females at any time) was 13.4% (18/134) for quetiapine compared to 4% (3/75) for placebo in males and 8.7% (9/104) for quetiapine compared to 0% (0/39) for placebo in females.



Like other drugs that antagonize dopamine D2 receptors, quetiapine elevates prolactin levels in some patients and the elevation may persist during chronic administration. Hyperprolactinemia, regardless of etiology, may suppress hypothalamic GnRH, resulting in reduced pituitary gonadotrophin secretion. This, in turn, may inhibit reproductive function by impairing gonadal steroidogenesis in both female and male patients. Galactorrhea, amenorrhea, gynecomastia, and impotence have been reported in patients receiving prolactin-elevating compounds. Long-standing hyperprolactinemia when associated with hypogonadism may lead to decreased bone density in both female and male subjects.





Tissue culture experiments indicate that approximately one-third of human breast cancers are prolactin dependent in vitro, a factor of potential importance if the prescription of these drugs is considered in a patient with previously detected breast cancer. As is common with compounds which increase prolactin release, mammary gland, and pancreatic islet cell neoplasia (mammary adenocarcinomas, pituitary, and pancreatic adenomas) was observed in carcinogenicity studies conducted in mice and rats. Neither clinical studies nor epidemiologic studies conducted to date have shown an association between chronic administration of this class of drugs and tumorigenesis in humans, but the available evidence is too limited to be conclusive [see Nonclinical Toxicology (13.1)].

12.1 Mechanism of Action

The mechanism of action of quetiapine in the listed indications is unclear. However, the efficacy of quetiapine in these indications could be mediated through a combination of dopamine type 2 (D2 ) and serotonin type 2 (5HT2 ) antagonism. The active metabolite, N-desalkyl quetiapine (norquetiapine), has  similar activity at D2, but greater activity at 5HT2A receptors, than the parent drug (quetiapine).

9.1 Controlled Substance

Quetiapine is not a controlled substance.

5 Warnings and Precautions

Cerebrovascular Adverse Reactions: Increased incidence of cerebrovascular adverse reactions (e.g., stroke, transient ischemic attack) has been seen in elderly patients with dementia-related psychoses treated with atypical antipsychotic drugs (5.3)

Neuroleptic Malignant Syndrome (NMS): Manage with immediate discontinuation and close monitoring (5.4)

Metabolic Changes: Atypical antipsychotics have been associated with metabolic changes. These metabolic changes include hyperglycemia, dyslipidemia, and weight gain (5.5)

             • Hyperglycemia and Diabetes Mellitus: Monitor patients for symptoms of hyperglycemia including polydipsia, polyuria, polyphagia, and weakness. Monitor glucose regularly in patients with diabetes or at risk for diabetes

             • Dyslipidemia: Undesirable alterations have been observed in patients treated with atypical antipsychotics. Appropriate clinical monitoring is recommended, including fasting blood lipid testing at the beginning of, and periodically, during treatment

             • Weight Gain: Gain in body weight has been observed; clinical monitoring of weight is recommended

• Tardive Dyskinesia: Discontinue if clinically appropriate (5.6)

Hypotension: Use with caution in patients with known cardiovascular or cerebrovascular disease (5.7)

Increased Blood Pressure in Children and Adolescents: Monitor blood pressure at the beginning of, and periodically during treatment in children and adolescents (5.9)

Leukopenia, Neutropenia and Agranulocytosis: Monitor complete blood count frequently during the first few months of treatment in patients with a pre-existing low white cell count or a history of leukopenia/neutropenia and discontinue quetiapine at the first sign of a decline in WBC in absence of other causative factors (5.10)

Cataracts: Lens changes have been observed in patients during long-term quetiapine treatment. Lens examination is recommended when starting treatment and at 6-month intervals during chronic treatment (5.11)

Anticholinergic (antimuscarinic) Effects: Use with caution with other anticholinergic drugs and in patients with urinary retention, prostatic hypertrophy, or constipation (5.20)



2 Dosage and Administration

• Quetiapine tablets can be taken with or without food (2.1)



Indication

Initial Dose

Recommended

Dose

Maximum

Dose

Schizophrenia-Adults (2.2)

25 mg twice

daily

150 to 750 mg/day

750 mg/day

Schizophrenia-

Adolescents (13-17 years) (2.2)

25 mg twice

daily

 

400 to  800 mg/day

800 mg/day

Bipolar Mania- Adults

Monotherapy or as an adjunct to lithium or

divalproex (2.2)

 

50 mg twice

daily

 

400 to 800

mg/day

 

800 mg/day

 

Bipolar Mania-

Children and

Adolescents (10 to 17 years), Monotherapy (2.2)

25 mg twice

daily

400 to 600 mg/day

600 mg/day

Bipolar Depression-

Adults (2.2)

50 mg once

daily at bedtime

300 mg/day

300 mg/day



Geriatric Use: Consider a lower starting dose (50 mg/day), slower titration and careful monitoring during the initial dosing period in the elderly (2.3, 8.5)

Hepatic Impairment: Lower starting dose (25 mg/day) and slower titration may be needed (2.4, 8.7, 12.3)



6.2 Postmarketing Experience


The following adverse reactions were identified during post approval of quetiapine. Because these reactions are reported voluntarily from a population of uncertain size, it is not always possible to reliably estimate their frequency or establish a causal relationship to drug exposure.



Adverse reactions reported since market introduction which were temporally related to quetiapine therapy include anaphylactic reaction, cardiomyopathy, drug reaction with eosinophilia and systemic symptoms (DRESS), hyponatremia, myocarditis, nocturnal enuresis, pancreatitis, retrograde amnesia, rhabdomyolysis, syndrome of inappropriate antidiuretic hormone secretion (SIADH), Stevens-Johnson syndrome (SJS),  toxic epidermal necrolysis (TEN), decreased platelet count, serious liver reactions (including hepatitis, liver necrosis, and hepatic failure), agranulocytosis, intestinal obstruction, ileus, colon ischemia, urinary retention, sleep apnea, acute generalized exanthematous pustulosis (AGEP), confusional state and cutaneous vasculitis.

10.2 Management of Overdosage

Establish and maintain an airway and ensure adequate oxygenation and ventilation. Cardiovascular monitoring should commence immediately and should include continuous electrocardiographic monitoring to detect possible arrhythmias.

Appropriate supportive measures are the mainstay of management. For the most up-to-date information on the management of quetiapine tablets  overdosage, contact a certified Regional Poison Control Center (1-800-222-1222).



5.19 Discontinuation Syndrome

Acute withdrawal symptoms, such as insomnia, nausea, and vomiting have been described after abrupt cessation of atypical antipsychotic drugs, including quetiapine. In short-term placebo-controlled, monotherapy clinical trials with quetiapine extended-release that included a discontinuation phase which evaluated discontinuation symptoms, the aggregated incidence of patients experiencing one or more discontinuation symptoms after abrupt cessation was 12.1% (241/1993) for quetiapine extended-release and 6.7% (71/1065) for placebo. The incidence of the individual adverse reactions (i.e., insomnia, nausea, headache, diarrhea, vomiting, dizziness, and irritability) did not exceed 5.3% in any treatment group and usually resolved after 1 week post-discontinuation. Gradual withdrawal is advised.[see Use in Specific Populations (8.1)]

6.1 Clinical Study Experience

Because clinical studies are conducted under widely varying conditions, adverse reaction rates observed in the clinical studies of a drug cannot be directly compared to rates in the clinical studies of another drug and may not reflect the rates observed in practice. 

Adults:

The information below is derived from a clinical trial database for quetiapine consisting of over 4300 patients. This database includes 698 patients exposed to quetiapine for the treatment of bipolar depression, 405 patients exposed to quetiapine for the treatment of acute bipolar mania (monotherapy and adjunct therapy), 646 patients exposed to quetiapine for the maintenance treatment of bipolar I disorder as adjunct therapy, and approximately 2600 patients and/or normal subjects exposed to 1 or more doses of quetiapine for the treatment of schizophrenia.



Of these approximately 4,300 subjects, approximately 4000 (2300 in schizophrenia, 405 in acute bipolar mania, 698 in bipolar depression, and 646 for the maintenance treatment of bipolar I disorder) were patients who participated in multiple dose effectiveness trials, and their experience corresponded to approximately 2400 patient-years. The conditions and duration of treatment with quetiapine varied greatly and included (in overlapping categories) open-label and double-blind phases of studies, inpatients and outpatients, fixed-dose and dose-titration studies, and short-term or longer-term exposure. Adverse reactions were assessed by collecting adverse reactions, results of physical examinations, vital signs, weights, laboratory analyses, ECGs, and results of ophthalmologic examinations.



The stated frequencies of adverse reactions represent the proportion of individuals who experienced, at least once, an adverse reaction of the type listed.





Adverse Reactions Associated with Discontinuation of Treatment in Short-Term, Placebo-Controlled Trials



Schizophrenia: Overall, there was little difference in the incidence of discontinuation due to adverse reactions (4% for quetiapine vs. 3% for placebo) in a pool of controlled trials. However, discontinuations due to somnolence (0.8% quetiapine vs. 0% placebo) and hypotension (0.4% quetiapine vs. 0% placebo) were considered to be drug related [see Warnings and Precautions (5.7 and 5.19)].



Bipolar Disorder:



Mania: Overall, discontinuations due to adverse reactions were 5.7% for quetiapine vs. 5.1% for placebo in monotherapy and 3.6% for quetiapine vs. 5.9% for placebo in adjunct therapy.

Depression: Overall, discontinuations due to adverse reactions were 12.3% for quetiapine 300 mg vs. 19.0% for quetiapine 600 mg and 5.2% for placebo.



Commonly Observed Adverse Reactions in Short-Term, Placebo-Controlled Trials:



In the acute therapy of schizophrenia (up to 6 weeks) and bipolar mania (up to 12 weeks) trials, the most commonly observed adverse reactions associated with the use of quetiapine monotherapy (incidence of 5% or greater) and observed at a rate on quetiapine at least twice that of placebo were somnolence (18%), dizziness (11%), dry mouth (9%), constipation (8%), ALT increased (5%), weight gain (5%), and dyspepsia (5%).



Adverse Reactions Occurring at an Incidence of 2% or More Among quetiapine Treated Patients in Short-Term, Placebo-Controlled Trials:



The prescriber should be aware that the figures in the tables and tabulations cannot be used to predict the incidence of side effects in the course of usual medical practice where patient characteristics and other factors differ from those that prevailed in the clinical trials. Similarly, the cited frequencies cannot be compared with figures obtained from other clinical investigations involving different treatments, uses, and investigators. The cited figures, however, do provide the prescribing physician with some basis for estimating the relative contribution of drug and non-drug factors to the side effect incidence in the population studied.



Table 9 enumerates the incidence, rounded to the nearest percent, of adverse reactions that occurred during acute therapy of schizophrenia (up to 6 weeks) and bipolar mania (up to 12 weeks) in 2% or more of patients treated with quetiapine (doses ranging from 75 to 800 mg/day) where the incidence in patients treated with quetiapine was greater than the incidence in placebo-treated patients.





Table 9: Adverse Reaction Incidence in 3- to 12-Week Placebo-Controlled Clinical Trials for the Treatment of Schizophrenia and Bipolar Mania (Monotherapy)

Preferred Term

Quetiapine

(n=719)


PLACEBO

(n=404)
Headache

21%


14%
Agitation

20%


17%
Somnolence

18%


8%
Dizziness

11%


5%
Dry Mouth

9%


3%
Constipation

8%


3%
Pain

7%


5%
Tachycardia

6%


4%
Vomiting

6%


5%
Asthenia

5%


3%
Dyspepsia

5%


1%
Weight Gain

5%


1%
ALT Increased

5%


1%
Anxiety

4%


3%
Pharyngitis

4%


3%
Rash

4%


2%
Abdominal Pain

4%


1%
Postural Hypotension

4%


1%
Back Pain

3%


1%
AST Increased

3%


1%
Rhinitis

3%


1%
Fever

2%


1%
Gastroenteritis

2%


0%
Amblyopia

2%


1%


In the acute adjunct therapy of bipolar mania (up to 3 weeks) studies, the most commonly observed adverse reactions associated with the use of quetiapine (incidence of 5% or greater) and observed at a rate on quetiapine at least twice that of placebo were somnolence (34%), dry mouth (19%), asthenia (10%), constipation (10%), abdominal pain (7%), postural hypotension (7%), pharyngitis (6%), and weight gain (6%).

Table 10 enumerates the incidence, rounded to the nearest percent, of adverse reactions that occurred during therapy (up to 3 weeks) of acute mania in 2% or more of patients treated with quetiapine (doses ranging from 100 to 800 mg/day) used as adjunct therapy to lithium and divalproex where the incidence in patients treated with quetiapine was greater than the incidence in placebo-treated patients.



Table 10: Adverse Reaction Incidence in 3-Week Placebo-Controlled Clinical Trials for the Treatment of Bipolar Mania (Adjunct Therapy)





Preferred Term


Quetiapine

(n=196)


PLACEBO

(n=203)


Somnolence


34%


9%


Dry Mouth


19%


3%


Headache


17%


13%


Asthenia


10%


4%


Constipation


10%


5%


Dizziness


9%


6%


Tremor


8%


7%


Abdominal Pain


7%


3%


Postural Hypotension


7%


2%


Agitation


6%


4%


Weight Gain


6%


3%


Pharyngitis


6%


3%


Back Pain


5%


3%


Hypertonia


4%


3%


Rhinitis


4%


2%


Peripheral Edema


4%


2%


Twitching


4%


1%


Dyspepsia


4%


3%


Depression


3%


2%


Amblyopia


3%


2%


Speech Disorder


3%


1%


Hypotension


3%


1%


Hormone Level Altered


3%


0%


Heaviness


2%


1%


Infection


2%


1%


Fever


2%


1%


Hypertension


2%


1%


Tachycardia


2%


1%


Increased Appetite


2%


1%


Hypothyroidism


2%


1%


Incoordination


2%


1%


Thinking Abnormal


2%


0%


Anxiety


2%


0%


Ataxia


2%


0%


Sinusitis


2%


1%


Sweating


2%


1%


Urinary Tract Infection


2%


1%


In bipolar depression studies (up to 8 weeks), the most commonly observed adverse reactions associated with the use of quetiapine (incidence of 5% or greater) and observed at a rate on quetiapine at least twice that of placebo were somnolence (57%), dry mouth (44%), dizziness (18%), constipation (10%), and lethargy (5%).



Table 11 enumerates the incidence, rounded to the nearest percent, of adverse reactions that occurred during therapy (up to 8 weeks) of bipolar depression in 2% or more of patients treated with quetiapine (doses of 300 and 600 mg/day) where the incidence in patients treated with quetiapine was greater than the incidence in placebo-treated patients.

Table 11: Adverse Reaction Incidence in 8-Week Placebo-Controlled Clinical Trials for the Treatment of Bipolar Depression



Preferred Term


Quetiapine

 (n=698)


PLACEBO

(n=347)
Somnolence1



57%


15%
Dry Mouth



44%


13%
Dizziness



18%


7%
Constipation



10%


4%
Fatigue



10%


8%
Dyspepsia



7%


4%
Vomiting



5%


4%
Increased Appetite



5%


3%
Lethargy



5%


2%
Nasal Congestion



5%


3%
Orthostatic Hypotension



4%


3%
Akathisia



4%


1%
Palpitations



4%


1%
Vision Blurred



4%


2%
Weight increased



4%


1%
Arthralgia



3%


2%
Paraesthesia



3%


2%
Cough



3%


1%
Extrapyramidal Disorder



3%


1%
Irritability



3%


1%
Dysarthria



3%


0%
Hypersomnia



3%


0%
Sinus Congestion



2%


1%
Abnormal Dreams



2%


1%
Tremor



2%


1%
Gastroesophageal Reflux Disease



2%


1%
Pain in Extremity



2%


1%
Asthenia



2%


1%
Balance Disorder



2%


1%
Hypoesthesia



2%


1%
Dysphagia



2%


0%
Restless Legs Syndrome



2%


0%


1. Somnolence combines adverse reaction terms somnolence and sedation



Explorations for interactions on the basis of gender, age, and race did not reveal any clinically meaningful differences in the adverse reaction occurrence on the basis of these demographic factors.

Dose Dependency of Adverse Reactions in Short-Term, Placebo-Controlled Trials



Dose-related Adverse Reactions: Spontaneously elicited adverse reaction data from a study of schizophrenia comparing five fixed doses of quetiapine (75 mg, 150 mg, 300 mg, 600 mg, and 750 mg/day) to placebo were explored for doserelatedness of adverse reactions. Logistic regression analyses revealed a positive dose response (p<0.05) for the following adverse reactions: dyspepsia, abdominal pain, and weight gain.



Adverse Reactions in clinical trials with quetiapine and not listed elsewhere in the label:



The following adverse reactions have also been reported with quetiapine: nightmares, hypersensitivity, and elevations in serum creatine phosphokinase (not associated with NMS), galactorrhea, bradycardia (which may occur at or near initiation of treatment and be associated with hypotension and/ or syncope) decreased platelets, somnambulism (and other related events), elevations in gamma-GT levels, hypothermia, dyspnea, eosinophilia, urinary retention, intestinal obstruction and priapism.



Extrapyramidal Symptoms (EPS):



Dystonia



Class Effect: Symptoms of dystonia, prolonged abnormal contractions of muscle groups, may occur in susceptible individuals during the first few days of treatment. Dystonic symptoms include: spasm of the neck muscles, sometimes progressing to tightness of the throat, swallowing difficulty, difficulty breathing, and/or protrusion of the tongue. While these symptoms can occur at low doses, they occur more frequently and with greater severity with high potency and at higher doses of first generation antipsychotic drugs. An elevated risk of acute dystonia is observed in males and younger age groups.



Four methods were used to measure EPS: (1) Simpson-Angus total score (mean change from baseline) which evaluates Parkinsonism and akathisia, (2) Barnes Akathisia Rating Scale (BARS) Global Assessment Score, (3) incidence of spontaneous complaints of EPS (akathisia, akinesia, cogwheel rigidity, extrapyramidal syndrome, hypertonia, hypokinesia, neck rigidity, and tremor), and (4) use of anticholinergic medications to treat EPS.



Adults: Data from one 6-week clinical trial of schizophrenia comparing five fixed doses of quetiapine (75, 150, 300, 600, 750 mg/day) provided evidence for the lack of extrapyramidal symptoms (EPS) and dose-relatedness for EPS associated with quetiapine treatment. Three methods were used to measure EPS: (1) Simpson- Angus total score (mean change from baseline) which evaluates Parkinsonism and akathisia, (2) incidence of spontaneous complaints of EPS (akathisia, akinesia, cogwheel rigidity, extrapyramidal syndrome, hypertonia, hypokinesia, neck rigidity, and tremor), and (3) use of anticholinergic medications to EPS.





In Table 12, dystonic event included nuchal rigidity, hypertonia, dystonia, muscle rigidity, oculogyration; parkinsonism included cogwheel rigidity, tremor, drooling, hypokinesia; akathisia included akathisia, psychomotor agitation; dyskinetic event included tardive dyskinesia, dyskinesia, choreoathetosis; and other extrapyramidal event included restlessness, extrapyramidal disorder, movement disorder.



Table 12: Adverse Reactions Associated with EPS in a Short-Term, Placebo-Controlled Multiple Fixed-Dose Phase III Schizophrenia Trial (6 weeks duration)



Preferred Term


Quetiapine

75 mg/day

(N=53)


Quetiapine

150 mg/day

(N=48)


Quetiapine

300 mg/day

(N=52)


Quetiapine

600 mg/day

(N=51)


Quetiapine

750 mg/day

(N=54)


 

Placebo

(N=51)


 


n


%


n


%


n


%


n


%


n


%


n


%


Dystonic event


2


3.8


2


4.2


0


0.0


2


3.9


3


5.6


4


7.8


Parkinsonism


2


3.8


0


0.0


1


1.9


1


2.0


1


1.9


4


7.8


Akathisia


1


1.9


1


2.1


0


0.0


0


0.0


1


1.9


4


7.8


Dyskinetic event


2


3.8


0


0.0


0


0.0


1


2.0


0


0.0


0


0.0


Other extrapyramidal event


2


3.8


0


0.0


3


5.8


3


5.9


1


1.9


4


7.8

  

Parkinsonism incidence rates as measured by the Simpson-Angus total score for placebo and the five fixed doses (75, 150, 300, 600, 750 mg/day) were: -0.6; -1.0, -1.2; -1.6; -1.8, and -1.8. The rate of anticholinergic medication use to treat EPS for placebo and the five fixed doses was: 14%; 11%; 10%; 8%; 12%, and 11%.



In six additional placebo-controlled clinical trials (3 in acute mania and 3 in schizophrenia) using variable doses of quetiapine, there were no differences between the quetiapine and placebo treatment groups in the incidence of EPS, as assessed by Simpson-Angus total scores, spontaneous complaints of EPS and the use of concomitant anticholinergic medications to treat EPS.



In two placebo-controlled clinical trials for the treatment of bipolar depression using 300 mg and 600 mg of quetiapine, the incidence of adverse reactions potentially related to EPS was 12% in both dose groups and 6% in the placebo group. In these studies, the incidence of the individual adverse reactions (akathisia, extrapyramidal disorder, tremor, dyskinesia, dystonia, restlessness, muscle contractions involuntary, psychomotor hyperactivity, and muscle rigidity) were generally low and did not exceed 4% in any treatment group.



The 3 treatment groups were similar in mean change in SAS total score and BARS Global Assessment score at the end of treatment. The use of concomitant anticholinergic medications was infrequent and similar across the three treatment groups.

Children and Adolescents



The information below is derived from a clinical trial database for quetiapine consisting of over 1000 pediatric patients. This database includes 677 patients exposed to quetiapine for the treatment of schizophrenia and 393 children and adolescents (10 to 17 years old) exposed to quetiapine for the treatment of acute bipolar mania.



Adverse Reactions Associated with Discontinuation of Treatment in Short-Term, Placebo-Controlled Trials

Schizophrenia: The incidence of discontinuation due to adverse reactions for quetiapine-treated and placebo-treated patients was 8.2% and 2.7%, respectively. The adverse event leading to discontinuation in 1% or more of patients on quetiapine and at a greater incidence than placebo was somnolence (2.7% and 0% for placebo).

Bipolar I Mania: The incidence of discontinuation due to adverse reactions for quetiapine-treated and placebo-treated patients was 11.4% and 4.4%, respectively. The adverse reactions leading to discontinuation in 2% or more of patients on quetiapine and at a greater incidence than placebo were somnolence (4.1% vs. 1.1%) and fatigue (2.1% vs. 0).



Commonly Observed Adverse Reactions in Short-Term, Placebo-Controlled Trials



In therapy for schizophrenia (up to 6 weeks), the most commonly observed adverse reactions associated with the use of quetiapine in adolescents (incidence of 5% or greater and quetiapine incidence at least twice that for placebo) were somnolence (34%), dizziness (12%), dry mouth (7%), tachycardia ( 7%).



In bipolar mania therapy (up to 3 weeks) the most commonly observed adverse reactions associated with  the use of quetiapine in children and adolescents (incidence of 5% or greater and quetiapine incidence at least twice that for placebo) were somnolence (53%), dizziness (18%), fatigue (11%), increased appetite(9%), nausea (8%), vomiting (8%), tachycardia (7%), dry mouth (7%), and weight increased (6%).



In an acute (8-week) quetiapine extended-release trial in children and adolescents (10 to 17 years of age) with bipolar depression, in which efficacy was not established, the most commonly observed adverse reactions associated with the use of quetiapine extended-release (incidence of 5% or greater and at least twice that for placebo) were dizziness 7%, diarrhea 5%, fatigue 5%, and nausea 5%.



Adverse Reactions Occurring at an Incidence of ≥ 2% among Quetiapine Treated Patients in Short-Term, Placebo-Controlled Trials

Schizophrenia (Adolescents, 13 to 17 years old)



The following findings were based on a 6-week placebo-controlled trial in which quetiapine was administered in either doses of 400 or 800 mg/day.

Table 13 enumerates the incidence, rounded to the nearest percent, of adverse reactions that occurred during therapy (up to 6 weeks) of schizophrenia in 2% or more of patients treated with quetiapine (doses of 400 or 800 mg/day) where the incidence in patients treated with quetiapine was at least twice the incidence in placebo-treated patients.

Adverse reactions that were potentially dose-related with higher frequency in the 800 mg group compared to the 400 mg group included dizziness (8% vs. 15%), dry mouth (4% vs. 10%), and tachycardia (6% vs. 11%).



Table 13: Adverse Reaction Incidence in a 6-Week Placebo-Controlled Clinical Trial for the Treatment of Schizophrenia in Adolescent Patients



Preferred Term


Quetiapine

400 mg

(n=73)


Quetiapine

800 mg

(n=74)


Placebo

(n=75)


Somnolence1


33%


35%


11%


Dizziness


8%


15%


5%


Dry Mouth


4%


10%


1%


Tachycardia2


6%


11%


0%


Irritability


3%


5%


0%


Arthralgia


1%


3%


0%


Asthenia


1%


3%


1%


Back Pain


1%


3%


0%


Dyspnea


0%


3%


0%


Abdominal Pain


3%


1%


0%


Anorexia


3%


1%


0%


Tooth Abscess


3%


1%


0%


Dyskinesia


3%


0%


0%


Epistaxis


3%


0%


1%


Muscle Rigidity


3%


0%


0%

1. Somnolence combines adverse reaction terms somnolence and sedation.

2. Tachycardia combines adverse reaction terms tachycardia and sinus tachycardia.



Bipolar I Mania (Children and Adolescents 10 to 17 years old)



The following findings were based on a 3-week placebo-controlled trial in which quetiapine was administered in either doses of 400 or 600 mg/day.



Commonly Observed Adverse Reactions

In bipolar mania therapy (up to 3 weeks) the most commonly observed adverse reactions associated with the use of quetiapine in children and adolescents (incidence of 5% or greater and quetiapine incidence at least twice that for placebo) were somnolence (53%), dizziness (18%), fatigue (11%), increased appetite (9%), nausea (8%), vomiting (8%), tachycardia (7%), dry mouth (7%), and weight increased (6%).



Table 14 enumerates the incidence, rounded to the nearest percent, of adverse reactions that occurred during therapy (up to 3 weeks) of bipolar mania in 2% or more of patients treated with quetiapine (doses of 400 or 600 mg/day) where the incidence in patients treated with quetiapine was greater than the incidence in placebo-treated patients.

Adverse reactions that were potentially dose-related with higher frequency in the 600 mg group compared to the 400 mg group included somnolence (50% vs. 57%), nausea (6% vs. 10%), and tachycardia (6% vs. 9%).

Table 14: Adverse Reactions in a 3-Week Placebo-Controlled Clinical Trial for the Treatment of Bipolar Mania in Children and Adolescent Patients



Preferred Term


Quetiapine

400 mg

(n=95)


Quetiapine

600 mg

(n=98)


Placebo

(n=90)


Somnolence1


50%


57%


14%


Dizziness


19%


17%


2%


Nausea


6%


10%


4%


Fatigue


14%


9%


4%


Increased Appetite


10%


9%


1%


Tachycardia2


6%


9%


1%


Dry Mouth


7%


7%


0%


Vomiting


8%


7%


3%


Nasal Congestion


3%


6%


2%


Weight Increased


6%


6%


0%


Irritability


3%


5%


1%


Pyrexia


1%


4%


1%


Aggression


1%


3%


0%


Musculoskeletal Stiffness


1%


3%


1%


Accidental Overdose


0%


2%


0%


Acne


3%


2%


0%


Arthralgia


4%


2%


1%


Lethargy


2%


2%


0%


Pallor


1%


2%


0%


Stomach Discomfort


4%


2%


1%


Syncope


2%


2%


0%


Vision Blurred


3%


2%


0%


Constipation


4%


2%


0%


Ear Pain


2%


0%


0%


Paresthesia


2%


0%


0%


Sinus Congestion


3%


0%


0%


Thirst


2%


0%


0%

1. Somnolence combines adverse reactions terms somnolence and sedation.

2. Tachycardia combines adverse reaction terms tachycardia and sinus tachycardia.



Extrapyramidal Symptoms:



In a short-term placebo-controlled monotherapy trial in adolescent patients with schizophrenia (6-week duration), the aggregated incidence of extrapyramidal symptoms was 12.9% (19/147) for quetiapine and 5.3% (4/75) for placebo, though the incidence of the individual adverse reactions (akathisia, tremor, extrapyramidal disorder, hypokinesia, restlessness, psychomotor hyperactivity, muscle rigidity, dyskinesia) did not exceed 4.1% in any treatment group. In a short-term placebo-controlled monotherapy trial in children and adolescent patients with bipolar mania (3-week duration), the aggregated incidence of extrapyramidal symptoms was 3.6% (7/193) or quetiapine and 1.1% (1/90) for placebo.



Table 15 presents a listing of patients with adverse reactions potentially associated with extrapyramidal symptoms in the short-term placebo-controlled monotherapy trial in adolescent patients with schizophrenia (6-week duration).



In Tables 15 – 16, dystonic event included nuchal rigidity, hypertonia, and muscle rigidity; parkinsonism included cogwheel rigidity and tremor; akathisia included akathisia only; dyskinetic event included tardive dyskinesia, dyskinesia, and choreoathetosis; and other extrapyramidal event included restlessness and extrapyramidal disorder.



Table 15: Adverse Reactions Associated with Extrapyramidal Symptoms in the Placebo-Controlled Trial in Adolescent Patients with Schizophrenia (6-week duration)



 
Preferred Term

Quetiapine

400 mg/day

(N=73)


Quetiapine

800 mg/day

(N=74)


All

Quetiapine

 (N=147)


Placebo

(N=75)


n


%


n


%


n


%


n


%
Dystonic event

2


2.7


0


0.0


2


1.4


0


0.0
Parkinsonism

4


5.5


4


5.4


8


5.4


2


2.7
Akathisia

3


4.1


4


5.4


7


4.8


3


4.0
Dyskinetic event

2


2.7


0


0.0


2


1.4


0


0.0
Other Extrapyramidal Event

2


2.7


2


2.7


4


2.7


0


0.0


Table 16 presents a listing of patients with adverse reactions associated with extrapyramidal symptoms in a short-term placebo-controlled monotherapy trial in children and adolescent patients with bipolar mania (3-week duration).



Table 16: Adverse Reactions Associated with Extrapyramidal Symptoms in a Placebo-Controlled Trial in Children and Adolescent Patients with Bipolar I Mania (3-week duration)

Preferred Term1 Quetiapine

400 mg/day

(N=95)
Quetiapine

600 mg/day

(N=98)
All

Quetiapine

(N=193)
Placebo

(N=90)


n


%


n


%


n


%


n


%


Parkinsonism


2


2.1


1


1.0


3


1.6


1


1.1


Akathisia


1


1.0


1


1.0


2


1.0


0


0.0


Other Extrapyramidal Event


1


1.1


1


1.0


2


1.0


0


0.0

1. There were no adverse reactions with the preferred term of dystonic or dyskinetic events.

  









Laboratory, ECG, and vital sign changes observed in clinical studies



Laboratory Changes:



Neutrophil Counts



Adults: In placebo-controlled monotherapy clinical trials involving 3368 patients on quetiapine and 1515 on placebo, the incidence of at least one occurrence of neutrophil count <1.0 x 109/L among patients with a normal baseline neutrophil count and at least one available follow up laboratory measurement was 0.3% (10/2967) in patients treated with quetiapine, compared to 0.1% (2/1349) in patients treated with placebo [see Warnings and Precautions (5.10)].



Transaminase Elevations

Adults: Asymptomatic, transient, and reversible elevations in serum transaminases (primarily ALT) have been reported. In schizophrenia trials in adults, the proportions of patients with transaminase elevations of > 3 times the upper limits of the normal reference range in a pool of 3- to 6-week placebo-controlled trials were approximately 6% (29/483) for quetiapine compared to 1% (3/194) for placebo. In acute bipolar mania trials in adults, the proportions of patients with transaminase elevations of > 3 times the upper limits of the normal reference range in a pool of 3- to 12-week placebo-controlled trials were approximately 1% for both quetiapine (3/560) and placebo (3/294). These hepatic enzyme elevations usually occurred within the first 3 weeks of drug treatment and promptly returned to pre-study levels with ongoing treatment with quetiapine. In bipolar depression trials, the proportions of patients with transaminase elevations of > 3 times the upper limits of the normal reference range in two 8-week placebo-controlled trials was 1% (5/698) for quetiapine and 2% (6/347) for placebo.



Decreased Hemoglobin

Adults: In short-term placebo-controlled trials, decreases in hemoglobin to <13 g/dL males, <12 g/dL females on at least one occasion occurred in 8.3% (594/7155) of quetiapine-treated patients compared to 6.2% (219/3536) of patients treated with placebo. In a database of controlled and uncontrolled clinical trials, decreases in hemoglobin to <13 g/dL males, <12 g/dL females on at least one occasion occurred in 11% (2277/20729) of quetiapine-treated patients.



Interference with Urine Drug Screens



There have been literature reports suggesting false positive results in urine enzyme immunoassays for methadone and tricyclic antidepressants in patients who have taken quetiapine. Caution should be exercised in the interpretation of positive urine drug screen results for these drugs, and confirmation by alternative analytical technique (e.g., chromatographic methods) should be considered.



ECG Changes

Adults: Between-group comparisons for pooled placebo-controlled trials revealed no statistically significant quetiapine /placebo differences in the proportions of patients experiencing potentially important changes in ECG parameters, including QT, QTc, and PR intervals. However, the proportions of patients meeting the criteria for tachycardia were compared in four 3- to 6-week placebo-controlled clinical trials for the treatment of schizophrenia revealing a 1% (4/399) incidence for quetiapine compared to 0.6% (1/156) incidence for placebo. In acute (monotherapy) bipolar mania trials the proportions of patients meeting the criteria for tachycardia was 0.5% (1/192) for quetiapine compared to 0% (0/178) incidence for placebo. In acute bipolar mania (adjunct) trials the proportions of patients meeting the same criteria was 0.6% (1/166) for quetiapine compared to 0% (0/171) incidence for placebo. In bipolar depression trials, no patients had heart rate increases to > 120 beats per minute. Quetiapine use was associated with a mean increase in heart rate, assessed by ECG, of 7 beats per minute compared to a mean increase of 1 beat per minute among placebo patients. This slight tendency to tachycardia in adults may be related to quetiapine potential for inducing orthostatic changes [see Warnings and Precautions (5.7)].



Children and Adolescents: In the acute (6-week) schizophrenia trial in adolescents, increases in heart rate (> 110 bpm) occurred in 5.2% (3/73) of patients receiving quetiapine 400 mg and 8.5% (5/74) of patients receiving quetiapine 800 mg compared to 0% (0/75) of patients receiving placebo. Mean increases in heart rate were 3.8 bpm and 11.2 bpm for quetiapine 400 mg and 800 mg groups, respectively, compared to a decrease of 3.3 bpm in the placebo group [see Warnings and Precautions (5.7)].



In the acute (3-week) bipolar mania trial in children and adolescents, increases in heart rate (> 110 bpm) occurred in 1.1% (1/89) of patients receiving quetiapine 400 mg and 4.7% (4/85) of patients receiving quetiapine 600 mg compared to 0% (0/98) of patients receiving placebo. Mean increases in heart rate were 12.8 bpm and 13.4 bpm for quetiapine 400 mg and 600 mg groups, respectively, compared to a decrease of 1.7 bpm in the placebo group [see Warnings and Precautions (5.7)].



In an acute (8-week) quetiapine extended-release trial in children and adolescents (10 to 17 years of age) with bipolar depression, in which efficacy was not established, increases in heart rate (> 110 bpm 10 to 12 years and 13 to 17 years) occurred in 0% of patients receiving quetiapine extended-release and 1.2% of patients receiving placebo. Mean increases in heart rate were 3.4 bpm for quetiapine extended-release, compared to 0.3 bpm in the placebo group [see Warnings and Precautions (5.7)].

8 Use in Specific Populations

• Pregnancy: May cause extrapyramidal and/or withdrawal symptoms in neonates with third trimester exposure. (8.1)





3 Dosage Forms and strengths


  • Quetiapine tablets, USP 25 mg are peach colored, round, film-coated tablets debossed with "F 71" on one side and plain on the other side.
  • Quetiapine tablets, USP 50 mg are white colored, round, film-coated tablets, debossed with "F 72" on one side and plain on the other side.
  • Quetiapine tablets, USP 100 mg are yellow colored, round, film-coated tablets debossed with "F 73" on one side and plain on the other side.
  • Quetiapine tablets, USP 200 mg are white colored, round, film-coated tablets debossed with "F 75" on one side and plain on the other side.
  • Quetiapine tablets, USP 300 mg are white colored, capsule shaped, film-coated tablets debossed with "F 76" on one side and plain on the other side.
  • Quetiapine tablets, USP 400 mg are yellow colored, capsule shaped, film-coated tablets debossed with "F 77" on one side and plain on the other side.
5.17 Body Temperature Regulation

Although not reported with quetiapine, disruption of the body's ability to reduce core body temperature has been attributed to antipsychotic agents. Appropriate care is advised when prescribing quetiapine for patients who will be experiencing conditions which may contribute to an elevation in core body temperature, e.g., exercising strenuously, exposure to extreme heat, receiving concomitant medication with anticholinergic activity, or being subject to dehydration.

17 Patient Counseling Information

Advise the patient to read the FDA-approved patient labeling (Medication Guide).



Patients should be advised of the following issues and asked to alert their prescriber if these occur while taking quetiapine tablets.



Increased Mortality in Elderly Patients with Dementia-Related Psychosis



Patients and caregivers should be advised that elderly patients with dementia-related psychosis treated with atypical antipsychotic drugs are at increased risk of death compared with placebo. Quetiapine is not approved for elderly patients with dementia-related psychosis [see Warnings and Precautions (5.1)].



Suicidal Thoughts and Behaviors

Patients, their families, and their caregivers should be encouraged to be alert to the emergence of anxiety, agitation, panic attacks, insomnia, irritability, hostility, aggressiveness, impulsivity, akathisia (psychomotor restlessness), hypomania, mania, other unusual changes in behavior, worsening of depression, and suicidal ideation, especially early during antidepressant treatment and when the dose is adjusted up or down. Families and caregivers of patients should be advised to look for the emergence of such symptoms on a day-to-day basis, since changes may be abrupt. Such symptoms should be reported to the patient's prescriber or health professional, especially if they are severe, abrupt in onset, or were not part of the patient's presenting symptoms. Symptoms such as these may be associated with an increased risk for suicidal thinking and behavior and indicate a need for very close monitoring and possibly changes in the medication [see Warnings and Precautions (5.2)].



Neuroleptic Malignant Syndrome (NMS)

Patients should be advised to report to their physician any signs or symptoms that may be related to NMS. These may include muscle stiffness and high fever [see Warnings and Precautions (5.4)].



Hyperglycemia and Diabetes Mellitus

Patients should be aware of the symptoms of hyperglycemia (high blood sugar) and diabetes mellitus. Patients who are diagnosed with diabetes, those with risk factors for diabetes, or those that develop these symptoms during treatment should have their blood glucose monitored at the beginning of and periodically during treatment [see Warnings and Precautions (5.5)].



Hyperlipidemia

Patients should be advised that elevations in total cholesterol, LDL-cholesterol and triglycerides and decreases in HDL-cholesterol may occur. Patients should have their lipid profile monitored at the beginning of and periodically during treatment [see Warnings and Precautions (5.5)].



Weight Gain

Patients should be advised that they may experience weight gain. Patients should have their weight monitored regularly [see Warnings and Precautions (5.5)].



Orthostatic Hypotension

Patients should be advised of the risk of orthostatic hypotension (symptoms include feeling dizzy or lightheaded upon standing, which may lead to falls), especially during the period of initial dose titration, and also at times of re-initiating treatment or increases in dose [see Warnings and Precautions (5.7)].





Increased Blood Pressure in Children and Adolescents

Children and adolescent patients should have their blood pressure measured at the beginning of, and periodically during, treatment [see Warnings and Precautions (5.9)].



Leukopenia/Neutropenia

Patients with a pre-existing low WBC or a history of drug induced leukopenia/neutropenia should be advised that they should have their CBC monitored while taking quetiapine tablets. Patients should be advised to talk to their doctor as soon as possible if they have a fever, flu-like symptoms, sore throat, or any other infection as this could be a result of a very low WBC, which may require quetiapine tablets to be stopped and/or treatment to be given [see Warnings and Precautions (5.10)].



Interference with Cognitive and Motor Performance

Patients should be advised of the risk of somnolence or sedation (which may lead to falls), especially during the period of initial dose titration. Patients should be cautioned about performing any activity requiring mental alertness, such as operating a motor vehicle (including automobiles) or operating machinery, until they are reasonably certain quetiapine therapy does not affect them adversely [see Warnings and Precautions (5.16)].



Heat Exposure and Dehydration

Patients should be advised regarding appropriate care in avoiding overheating and dehydration [see Warnings and Precautions (5.17)].



Concomitant Medication

As with other medications, patients should be advised to notify their physicians if they are taking, or plan to take, any prescription or over-the-counter drugs [see Drug Interactions (7.1)].



Pregnancy

Advise pregnant women to notify their healthcare provider if they become pregnant or intend to become pregnant during treatment with quetiapine. Advise patients that quetiapine may cause extrapyramidal and/or withdrawal symptoms (agitation, hypertonia, hypotonia, tremor, somnolence, respiratory distress, and feeding disorder) in a neonate. Advise patients that there is a pregnancy registry that monitors pregnancy outcomes in women exposed to quetiapine during pregnancy [see Use in Specific Populations (8.1)].



Infertility

Advise females of reproductive potential that quetiapine may impair fertility due to an increase in serum prolactin levels. The effects on fertility are reversible [see Use in Specific Populations (8.3)].



Need for Comprehensive Treatment Program

Quetiapine tablets is indicated as an integral part of a total treatment program for adolescents with schizophrenia and pediatric bipolar disorder that may include other measures (psychological, educational, and social). Effectiveness and safety of quetiapine tablets have not been established in pediatric patients less than 13 years of age for schizophrenia or less than 10 years of age for bipolar mania. Appropriate educational placement is essential and psychosocial intervention is often helpful. The decision to prescribe atypical antipsychotic medication will depend upon the physician’s assessment of the chronicity and severity of the patient’s symptoms [see Indications and Usage (1.3)].



Trademarks are the property of their respective owners



Manufactured for :

Macleods Pharma USA, Inc.

Princeton, NJ 08540



Manufactured by :

Macleods Pharmaceuticals Ltd.

Daman (U.T.), INDIA



Medication Guide available at: www.macleodspharma.com/usa



Revised: March 2023

2.8 Switching From Antipsychotics


There are no systematically collected data to specifically address switching patients with schizophrenia from antipsychotics to quetiapine, or concerning concomitant administration with antipsychotics. While immediate discontinuation of the previous antipsychotic treatment may be acceptable for some patients with schizophrenia, more gradual discontinuation may be most appropriate for others. In all cases, the period of overlapping antipsychotic administration should be minimized. When switching patients with schizophrenia from depot antipsychotics, if medically appropriate, initiate quetiapine therapy in place of the next scheduled injection. The need for continuing existing EPS medication should be re-evaluated periodically.



16 How Supplied/storage and Handling

Quetiapine tablets, USP are available as follows:

25 mg: Peach colored, round, film coated tablets debossed with "F 71" on one side and plain on the other

side.

Bottles of 100's NDC 33342-099-11

Bottles of 1000's NDC 33342-099-44

Unit dose blister pack of 100's NDC 33342-099-12

50 mg: White colored, round, film coated tablets, debossed with "F 72" on one side and plain on the other side.

Bottles of 100's NDC 33342-100-11

Bottles of 1000's NDC 33342-100-44

Unit dose blister pack of 100's NDC 33342-100-12

100 mg: Yellow colored, round, film coated tablets debossed with "F 73" on one side and plain on the other side.

Bottles of 100's NDC 33342-101-11

Bottles of 1000's NDC 33342-101-44

Unit dose blister pack of 100's NDC 33342-101-12

200 mg: White colored, round, film coated tablets debossed with "F 75" on one side and plain on the other side.

Bottles of 100's NDC 33342-103-11

Bottles of 500's NDC 33342-103-15

Bottles of 1000's NDC 33342-103-44

Unit dose blister pack of 100's NDC 33342-103-12

300 mg: White colored, capsule shaped, film coated tablets debossed with "F 76" on one side and plain on the other side.

Bottles of 60's NDC 33342-104-09

Bottles of 500's NDC 33342-104-15

Bottles of 1000's NDC 33342-104-44

Unit dose blister pack of 90's NDC 33342-104-39

400 mg: Yellow colored, capsule shaped, film coated tablets debossed with "F 77" on one side and plain on

the other side.

Bottles of 100's NDC 33342-105-11

Bottles of 500's NDC 33342-105-15

Unit dose blister pack of 90's NDC 33342-105-39



 

Store at 20° to 25°C (68° to 77°F); excursions permitted to 15° to 30°C (59° to 86°F) [See USP Controlled Room Temperature].





Package Label.principal Display Panel

Rx Only

NDC 33342-099-11

Quetiapine tablets, USP

25 mg

100 tablets

  

Rx Only

NDC 33342-099-44

Quetiapine tablets, USP

25 mg

1000 tablets

 

Rx Only

NDC 33342-100-11

Quetiapine tablets, USP

50 mg

100 tablets

 



Rx Only

NDC 33342-100-44

Quetiapine tablets, USP

50 mg

1000 tablets

 

Rx Only

NDC 33342-101-11

Quetiapine tablets, USP

100 mg

100 tablets

 



Rx Only

NDC 33342-101-44

Quetiapine tablets, USP

100 mg

1000 tablets



Rx Only

NDC 33342-103-11

Quetiapine tablets, USP

200 mg

100 tablets



Rx Only

NDC 33342-103-15

Quetiapine tablets, USP

200 mg

500 tablets



Rx Only

NDC 33342-103-44

Quetiapine tablets, USP

200 mg

1000 tablets



Rx Only

NDC 33342-104-09

Quetiapine tablets, USP

300 mg

60 tablets



Rx Only

NDC 33342-104-15

Quetiapine tablets, USP

300 mg

500 tablets

 

Rx Only

NDC 33342-104-44

Quetiapine tablets, USP

300 mg

1000 tablets

 

Rx Only

NDC 33342-105-11

Quetiapine tablets, USP

400 mg

100 tablets



Rx Only

NDC 33342-105-15

Quetiapine tablets, USP

400 mg

500 tablets

7.1 Effect of Other Drugs On Quetiapine

The risks of using quetiapine in combination with other drugs have not been extensively evaluated in systematic studies. Given the primary CNS effects of quetiapine, caution should be used when it is taken in combination with other centrally acting drugs. Quetiapine potentiated the cognitive and motor effects of alcohol in a clinical trial in subjects with selected psychotic disorders, and alcoholic beverages should be limited while taking quetiapine.



Quetiapine exposure is increased by the prototype CYP3A4 inhibitors (e.g., ketoconazole, itraconazole, indinavir, ritonavir, nefazodone, etc.) and decreased by the prototype CYP3A4 inducers (e.g., phenytoin, carbamazepine, rifampin, avasimibe, St. John’s wort etc.). Dose adjustment of quetiapine will be necessary if it is co-administered with potent CYP3A4 inducers or inhibitors.



CYP3A4 inhibitors:

Coadministration of ketoconazole, a potent inhibitor of cytochrome CYP3A4, resulted in significant increase in quetiapine exposure. The dose of quetiapine should be reduced to one sixth of the original dose if co-administered with a strong CYP3A4 inhibitor [see Dosage and Administration (2.5) and Clinical Pharmacology (12.3)].



CYP3A4 inducers:

Coadministration of quetiapine and phenytoin, a CYP3A4 inducer increased the mean oral clearance of quetiapine by 5-fold. Increased doses of quetiapine up to 5fold may be required to maintain control of symptoms of schizophrenia in patients receiving quetiapine and phenytoin, or other known potent CYP3A4 inducers [see Dosage and Administration (2.6) and Clinical Pharmacology (12.3)]. When the CYP3A4 inducer is discontinued, the dose of quetiapine should be reduced to the original level within 7 to 14 days [see Dosage and Administration (2.6)].



Anticholinergic Drugs:

Concomitant treatment with quetiapine and other drugs with anticholinergic activity can increase the risk for severe gastrointestinal adverse reactions related to hypomotility. Quetiapine should be used with caution in patients receiving medications having anticholinergic (antimuscarinic) effects [see Warnings and Precautions (5.20)].



The potential effects of several concomitant medications on quetiapine pharmacokinetics were studied [see Clinical Pharmacology ( 12.3 )].

7.2 Effect of Quetiapine On Other Drugs

Because of its potential for inducing hypotension, quetiapine may enhance the effects of certain antihypertensive agents.



Quetiapine may antagonize the effects of levodopa and dopamine agonists.



There are no clinically relevant pharmacokinetic interactions of quetiapine on other drugs based on the CYP pathway. Quetiapine and its metabolites are non-inhibitors of major metabolizing CYP’s (1A2, 2C9, 2C19, 2D6, and 3A4).

13.2 Animal Pharmacology & Or Toxicology

Quetiapine caused a dose-related increase in pigment deposition in thyroid gland in rat toxicity studies which were 4 weeks in duration or longer and in a mouse 2-year carcinogenicity study. Doses were 10, 25, 50, 75, 150 and 250 mg/kg in rat studies which are approximately 0.1, 0.3, 0.6, 1, 2 and 3-times the MRHD of 800 mg/day based on mg/m2 body surface area, respectively. Doses in the mouse carcinogenicity study were 20, 75, 250 and 750 mg/kg which are approximately 0.1, 0.5, 1.5, and 4.5 times the MRHD of 800 mg/day based on mg/m2 body surface area. Pigment deposition was shown to be irreversible in rats. The identity of the pigment could not be determined, but was found to be co-localized with quetiapine in thyroid gland follicular epithelial cells. The functional effects and the relevance of this finding to human risk are unknown.



In dogs receiving quetiapine for 6 or 12 months, but not for 1-month, focal triangular cataracts occurred at the junction of posterior sutures in the outer cortex of the lens at a dose of 100 mg/kg, or 4 times the MRHD of 800 mg/day based on mg/m2 body surface area. This finding may be due to inhibition of cholesterol biosynthesis by quetiapine. Quetiapine caused a dose-related reduction in plasma cholesterol levels in repeat-dose dog and monkey studies; however, there was no correlation between plasma cholesterol and the presence of cataracts in individual dogs. The appearance of delta-8-cholestanol in plasma is consistent with inhibition of a late stage in cholesterol biosynthesis in these species. There also was a 25% reduction in cholesterol content of the outer cortex of the lens observed in a special study in quetiapine treated female dogs. Drug-related cataracts have not been seen in any other species; however, in a 1-year study in monkeys, a striated appearance of the anterior lens surface was detected in 2/7 females at a dose of 225 mg/kg or 5.5 times the MRHD of 800 mg/day based on mg/m2 body surface area.

5.4 Neuroleptic Malignant Syndrome (nms)

A potentially fatal symptom complex sometimes referred to as Neuroleptic Malignant Syndrome (NMS) has been reported in association with administration of antipsychotic drugs, including quetiapine. Rare cases of NMS have been reported with quetiapine. Clinical manifestations of NMS are hyperpyrexia, muscle rigidity, altered mental status, and evidence of autonomic instability (irregular pulse or blood pressure, tachycardia, diaphoresis, and cardiac dysrhythmia). Additional signs may include elevated creatinine phosphokinase, myoglobinuria (rhabdomyolysis) and acute renal failure.



The diagnostic evaluation of patients with this syndrome is complicated. In arriving at a diagnosis, it is important to exclude cases where the clinical presentation includes both serious medical illness (e.g., pneumonia, systemic infection, etc.) and untreated or inadequately treated extrapyramidal signs and symptoms (EPS). Other important considerations in the differential diagnosis include central anticholinergic toxicity, heat stroke, drug fever, and primary central nervous system (CNS) pathology.



The management of NMS should include: 1) immediate discontinuation of antipsychotic drugs and other drugs not essential to concurrent therapy; 2) intensive symptomatic treatment and medical monitoring; and 3) treatment of any concomitant serious medical problems for which specific treatments are available. There is no general agreement about specific pharmacological treatment regimens for NMS.



If a patient requires antipsychotic drug treatment after recovery from NMS, the potential reintroduction of drug therapy should be carefully considered. The patient should be carefully monitored since recurrences of NMS have been reported.



2.1 Important Administration Instructions

Quetiapine tablets can be taken with or without food.

2.3 Dose Modifications in Elderly Patients


Consideration should be given to a slower rate of dose titration and a lower target dose in the elderly and in patients who are debilitated or who have a predisposition to hypotensive reactions [see Clinical Pharmacology (12.3)]. When indicated, dose escalation should be performed with caution in these patients.



Elderly patients should be started on quetiapine 50 mg/day and the dose can be increased in increments of 50 mg/day depending on the clinical response and tolerability of the individual patient.

5.20 Anticholinergic (antimuscarinic) Effects

Norquetiapine, an active metabolite of quetiapine, has moderate to strong affinity for several muscarinic receptor subtypes. This contributes to anticholinergic adverse reactions when quetiapine is used at therapeutic doses, taken concomitantly with other anticholinergic medications, or taken in overdose. Quetiapine should be used with caution in patients receiving medications having anticholinergic (antimuscarinic) effects [see Drug Interactions (7.1), Overdosage (10.1), and Clinical Pharmacology (12.1)].



Constipation was a commonly reported adverse event in patients treated with quetiapine and represents a risk factor for intestinal obstruction. Intestinal obstruction has been reported with quetiapine, including fatal reports in patients who were receiving multiple concomitant medications that decrease intestinal motility.



Quetiapine should be used with caution in patients with a current diagnosis or prior history of urinary retention, clinically significant prostatic hypertrophy, or constipation.

8.3 Females and Males of Reproductive Potential

Infertility

Females

Based on the pharmacologic action of quetiapine (D2 antagonism), treatment with quetiapine may result in an increase in serum prolactin levels, which may lead to a reversible reduction in fertility in females of reproductive potential [see Warnings and Precautions (5.15)].



5.10 Leukopenia, Neutropenia, and Agranulocytosis

In clinical trial and postmarketing experience, events of leukopenia/neutropenia have been reported temporally related to atypical antipsychotic agents, including quetiapine. Agranulocytosis has been reported.



Agranulocytosis (defined as absolute neutrophil count <500/mm3) has been reported with quetiapine, including fatal cases and cases in patients without pre-existing risk factors. Neutropenia should be considered in patients presenting with infection, particularly in the absence of obvious predisposing factor(s), or in patients with unexplained fever, and should be managed as clinically appropriate.



Possible risk factors for leukopenia/neutropenia include pre-existing low white cell count (WBC) and history of drug induced leukopenia/neutropenia. Patients with a pre-existing low WBC or a history of drug induced leukopenia/neutropenia should have their complete blood count (CBC) monitored frequently during the first few months of therapy and should discontinue quetiapine at the first sign of a decline in WBC in absence of other causative factors.



Patients with neutropenia should be carefully monitored for fever or other symptoms or signs of infection and treated promptly if such symptoms or signs occur. Patients with severe neutropenia (absolute neutrophil count <1000/mm3) should discontinue quetiapine and have their WBC followed until recovery.

5.16 Potential for Cognitive and Motor Impairment


Somnolence was a commonly reported adverse event reported in patients treated with quetiapine especially during the 3-5 day period of initial dose-titration. In schizophrenia trials, somnolence was reported in 18% (89/510) of patients on quetiapine compared to 11% (22/206) of placebo patients. In acute bipolar mania trials using quetiapine as monotherapy, somnolence was reported in 16% (34/209) of patients on quetiapine compared to 4% of placebo patients. In acute bipolar mania trials using quetiapine as adjunct therapy, somnolence was reported in 34% (66/196) of patients on quetiapine compared to 9% (19/203) of placebo patients. In bipolar depression trials, somnolence was reported in 57% (398/698) of patients on quetiapine compared to 15% (51/347) of placebo patients. Since quetiapine has the potential to impair judgment, thinking, or motor skills, patients should be cautioned about performing activities requiring mental alertness, such as operating a motor vehicle (including automobiles) or operating hazardous machinery until they are reasonably certain that quetiapine therapy does not affect them adversely. Somnolence may lead to falls.

2.6 Dose Modifications When Used With Cyp3a4 Inducers


Quetiapine dose should be increased up to 5-fold of the original dose when used in combination with a chronic treatment (e.g., greater than 7 to 14 days) of a potent CYP3A4 inducer (e.g., phenytoin, carbamazepine, rifampin, avasimibe, St. John’s wort etc.). The dose should be titrated based on the clinical response and tolerability of the individual patient. When the CYP3A4 inducer is discontinued, the dose of quetiapine should be reduced to the original level within 7 to14 days [see Clinical Pharmacology (12.3) and Drug Interactions (7.1)].

13.1 Carcinogenesis,mutagenesis,impairment of Fertility

Carcinogenesis

Carcinogenicity studies were conducted in C57BL mice and Wistar rats. Quetiapine was administered in the diet to mice at doses of 20, 75, 250, and 750 mg/kg and to rats by gavage at doses of 25, 75, and 250 mg/kg for two years. These doses are equivalent to 0.1, 0.5, 1.5, and 4.5 times the MRHD of 800 mg/day based on mg/m2 body surface area (mice) or 0.3, 1, and 3 times the MRHD based on mg/m2 body surface area (rats). There were statistically significant increases in thyroid gland follicular adenomas in male mice at doses 1.5 and 4.5 times the MRHD based on mg/m2 body surface area and in male rats at a dose of 3 times the MRHD on mg/m2 body surface area. Mammary gland adenocarcinomas were statistically significantly increased in female rats at all doses tested (0.3, 1, and 3 times the MRHD based on mg/m2 body surface area).

Thyroid follicular cell adenomas may have resulted from chronic stimulation of the thyroid gland by thyroid stimulating hormone (TSH) resulting from enhanced metabolism and clearance of thyroxine by rodent liver. Changes in TSH, thyroxine, and thyroxine clearance consistent with this mechanism were observed in subchronic toxicity studies in rat and mouse and in a 1-year toxicity study in rat; however, the results of these studies were not definitive. The relevance of the increases in thyroid follicular cell adenomas to human risk, through whatever mechanism, is unknown.

Antipsychotic drugs have been shown to chronically elevate prolactin levels in rodents. Serum measurements in a 1-year toxicity study showed that quetiapine increased median serum prolactin levels a maximum of 32-and 13-fold in male and female rats, respectively. Increases in mammary neoplasms have been found in rodents after chronic administration of other antipsychotic drugs and are considered to be prolactin-mediated. The relevance of this increased incidence of prolactin-mediated mammary gland tumors in rats to human risk is unknown [see Warnings and Precautions (5.15)].

Mutagenesis

Quetiapine was not mutagenic or clastogenic in standard genotoxicity tests. The mutagenic potential of quetiapine was tested in the in vitro Ames bacterial gene mutation assay and in the in vitro mammalian gene mutation assay in Chinese Hamster Ovary cells. The clastogenic potential of quetiapine was tested in the in vitro chromosomal aberration assay in cultured human lymphocytes and in the in vivo bone marrow micronucleus assay in rats up to 500 mg/kg, which is 6 times the MRHD based on mg/m2 body surface area.

Impairment of Fertility

Quetiapine decreased mating and fertility in male Sprague-Dawley rats at oral doses of 50 and 150 mg/kg or approximately 1 and 3 times the MRHD of 800 mg/day based on mg/m2 body surface area. Drug-related effects included increases in interval to mate and in the number of matings required for successful impregnation. These effects continued to be observed at 3 times the MRHD even after a two-week period without treatment. The no-effect dose for impaired mating and fertility in male rats was 25 mg/kg, or 0.3 times the MRHD based on mg/m2 body surface area. Quetiapine adversely affected mating and fertility in female Sprague-Dawley rats at an oral dose approximately 1 times the MRHD of 800 mg/day based on mg/m2 body surface area. Drug-related effects included decreases in matings and in matings resulting in pregnancy, and an increase in the interval to mate. An increase in irregular estrus cycles was observed at doses of 10 and 50 mg/kg, or approximately 0.1 and 1 times the MRHD of 800 mg/day based on mg/m2 body surface area. The no-effect dose in female rats was 1 mg/kg, or 0.01 times the MRHD of 800 mg/day based on mg/m2 body surface area.

2.4 Dose Modifications in Hepatically Impaired Patients

Patients with hepatic impairment should be started on 25 mg/day. The dose should be increased daily in increments of 25 mg/day - 50 mg/day to an effective dose, depending on the clinical response and tolerability of the patient.

2.5 Dose Modifications When Used With Cyp3a4 Inhibitors


Quetiapine dose should be reduced to one sixth of original dose when co-medicated with a potent CYP3A4 inhibitor (e.g., ketoconazole, itraconazole, indinavir, ritonavir, nefazodone, etc.). When the CYP3A4 inhibitor is discontinued, the dose of quetiapine should be increased by 6-fold [see Clinical Pharmacology ( 12.3 ) and Drug Interactions ( 7.1 )].

5.9 Increases in Blood Pressure (children and Adolescents)

In placebo-controlled trials in children and adolescents with schizophrenia (6-week duration) or bipolar mania (3-week duration), the incidence of increases at any time in systolic blood pressure (>20 mmHg) was 15.2% (51/335) for quetiapine and 5.5% (9/163) for placebo; the incidence of increases at any time in diastolic blood pressure (>10 mmHg) was 40.6% (136/335) for quetiapine and 24.5% (40/163) for placebo. In the 26-week open-label clinical trial, one child with a reported history of hypertension experienced a hypertensive crisis. Blood pressure in children and adolescents should be measured at the beginning of, and periodically during treatment.



In a placebo-controlled quetiapine extended-release clinical trial (8 weeks duration) in children and adolescents (10 to 17 years of age) with bipolar depression, in which efficacy was not established, the incidence of increases at any time in systolic blood pressure (>20 mmHg) was 6.5% (6/92) for quetiapine extended-release and 6.0% (6/100) for placebo; the incidence of increases at any time in diastolic blood pressure (>10 mmHg) was 46.7% (43/92) for quetiapine extended-release and 36.0% (36/100) for placebo.

2.7 Re Initiation of Treatment in Patients Previously Discontinued

Although there are no data to specifically address re-initiation of treatment, it is recommended that when restarting therapy of patients who have been off quetiapine for more than one-week, the initial dosing schedule should be followed. When restarting patients who have been off quetiapine for less than one-week, gradual dose escalation may not be required and the maintenance dose may be re-initiated.

5.2 Suicidal Thoughts and Behaviors in Adolescents and Young Adults


Patients with major depressive disorder (MDD), both adult and pediatric, may experience worsening of their depression and/or the emergence of suicidal ideation and behavior (suicidality) or unusual changes in behavior, whether or not they are taking antidepressant medications, and this risk may persist until significant remission occurs. Suicide is a known risk of depression and certain other psychiatric disorders, and these disorders themselves are the strongest predictors of suicide. There has been a long-standing concern, however, that antidepressants may have a role in inducing worsening of depression and the emergence of suicidality in certain patients during the early phases of treatment. Pooled analyses of short-term placebo-controlled trials of antidepressant drugs (SSRIs and others) showed that these drugs increase the risk of suicidal thinking and behavior (suicidality) in children, adolescents, and young adults (ages 18 to 24) with major depressive disorder (MDD) and other psychiatric disorders. Short-term studies did not show an increase in the risk of suicidality with antidepressants compared to placebo in adults beyond age 24; there was a reduction with antidepressants compared to placebo in adults aged 65 and older.



The pooled analyses of placebo-controlled trials in children and adolescents with MDD, obsessive-compulsive disorder (OCD), or other psychiatric disorders included a total of 24 short-term trials of 9 antidepressant drugs in over 4400 patients. The pooled analyses of placebo-controlled trials in adults with MDD or other psychiatric disorders included a total of 295 short-term trials (median duration of 2 months) of 11 antidepressant drugs in over 77,000 patients. There was considerable variation in risk of suicidality among drugs, but a tendency toward an increase in the younger patients for almost all drugs studied. There were differences in absolute risk of suicidality across the different indications, with the highest incidence in MDD. The risk differences (drug vs. placebo), however, were relatively stable within age strata and across indications. These risk differences (drug-placebo difference in the number of cases of suicidality per 1000 patients treated) are provided in Table 2.



Table 2: Drug-Placebo Difference in Number of Cases of Suicidality per 1000 Patients Treated

 

Age Range

Drug-Placebo Difference in Number of Cases of Suicidality per 1000 Patients Treated

 

Increases Compared to Placebo

<18

14 additional cases

18 to 24

5 additional cases

 

Decreases Compared to Placebo

25 to 64

1 fewer case

≥65

6 fewer cases





No suicides occurred in any of the pediatric trials. There were suicides in the adult trials, but the number was not sufficient to reach any conclusion about drug effect on suicide.  

It is unknown whether the suicidality risk extends to longer-term use, i.e., beyond several months. However, there is substantial evidence from placebo-controlled maintenance trials in adults with depression that the use of antidepressants can delay the recurrence of depression.



All patients being treated with antidepressants for any indication should be monitored appropriately and observed closely for clinical worsening, suicidality, and unusual changes in behavior, especially during the initial few months of a course of drug therapy, or at times of dose changes, either increases or decreases.

The following symptoms, anxiety, agitation, panic attacks, insomnia, irritability, hostility, aggressiveness, impulsivity, akathisia (psychomotor restlessness), hypomania, and mania, have been reported in adult and pediatric patients being treated with antidepressants for major depressive disorder as well as for other indications, both psychiatric and nonpsychiatric. Although a causal link between the emergence of such symptoms and either the worsening of depression and/or the emergence of suicidal impulses has not been established, there is concern that such symptoms may represent precursors to emerging suicidality.



Consideration should be given to changing the therapeutic regimen, including possibly discontinuing the medication, in patients whose depression is persistently worse, or who are experiencing emergent suicidality or symptoms that might be precursors to worsening depression or suicidality, especially if these symptoms are severe, abrupt in onset, or were not part of the patient's presenting symptoms.



Families and caregivers of patients being treated with antidepressants for major depressive disorder or other indications, both psychiatric and non-psychiatric, should be alerted about the need to monitor patients for the emergence of agitation, irritability, unusual changes in behavior, and the other symptoms described above, as well as the emergence of suicidality, and to report such symptoms immediately to healthcare providers. Such monitoring should include daily observation by families and caregivers. Prescriptions for quetiapine tablets should be written for the smallest quantity of tablets consistent with good patient management, in order to reduce the risk of overdose.



Screening Patients for Bipolar Disorder: A major depressive episode may be the initial presentation of bipolar disorder. It is generally believed (though not established in controlled trials) that treating such an episode with an antidepressant alone may increase the likelihood of precipitation of a mixed/manic episode in patients at risk for bipolar disorder. Whether any of the symptoms described above represent such a conversion is unknown. However, prior to initiating treatment with an antidepressant, including quetiapine, patients with depressive symptoms should be adequately screened to determine if they are at risk for bipolar disorder; such screening should include a detailed psychiatric history, including a family history of suicide, bipolar disorder, and depression.

5.1 Increased Mortality in Elderly Patients With Dementia Related Psychosis


Elderly patients with dementia-related psychosis treated with antipsychotic drugs are at an increased risk of death. Analysis of 17 placebo-controlled trials (modal duration of 10 weeks), largely in patients taking atypical antipsychotic drugs, revealed a risk of death in drug-treated patients of between 1.6 to 1.7 times the risk of death in placebo-treated patients. Over the course of a typical 10-week controlled trial, the rate of death in drug-treated patients was about 4.5%, compared to a rate of about 2.6% in the placebo group. Although the causes of death were varied, most of the deaths appeared to be either cardiovascular (e.g., heart failure, sudden death) or infectious (e.g., pneumonia) in nature.

Observational studies suggest that, similar to atypical antipsychotic drugs, treatment with conventional antipsychotic drugs may increase mortality. The extent to which the findings of increased mortality in observational studies may be attributed to the antipsychotic drug as opposed to some characteristic(s) of the patients is not clear. Quetiapine is not approved for the treatment of patients with dementia-related psychosis [see Boxed Warning ].

1.3 Special Considerations in Treating Pediatric Schizophrenia and Bipolar I Disorder




Pediatric schizophrenia and bipolar I disorder are serious mental disorders, however, diagnosis can be challenging. For pediatric schizophrenia, symptom profiles can be variable, and for bipolar I disorder, patients may have variable patterns of periodicity of manic or mixed symptoms. It is recommended that medication therapy for pediatric schizophrenia and bipolar I disorder be initiated only after a thorough diagnostic evaluation has been performed and careful consideration given to the risks associated with medication treatment. Medication treatment for both pediatric schizophrenia and bipolar I disorder is indicated as part of a total treatment program that often includes psychological, educational and social interventions.



5.3 Cerebrovascular Adverse Reactions, Including Stroke, in Elderly Patients With Dementia Related Psychosis

In placebo-controlled trials with risperidone, aripiprazole, and olanzapine in elderly subjects with dementia, there was a higher incidence of cerebrovascular adverse reactions (cerebrovascular accidents and transient ischemic attacks) including fatalities compared to placebo-treated subjects. Quetiapine is not approved for the treatment of patients with dementia-related psychosis [see also Boxed Warningand Warnings and Precautions (5.1)].

Warning: Increased Mortality in Elderly Patients With Dementia Related Psychosis; and Suicidal Thoughts and Behaviors




Increased Mortality in Elderly Patients with Dementia-Related Psychosis

Elderly patients with dementia-related psychosis treated with antipsychotic drugs are at an increased risk of death [see Warnings and Precautions (5.1)].  Quetiapine is not approved for the treatment of patients with dementia-related psychosis [see Warnings and Precautions (5.1)].




Suicidal Thoughts and Behaviors

Antidepressants increased the risk of suicidal thoughts and behavior in children, adolescents, and young adults in short-term studies. These studies did not show an increase in the risk of suicidal thoughts and behavior with antidepressant use in patients over age 24; there was a reduction in risk with antidepressant use in patients aged 65 and older [see Warnings and Precautions (5.2)].

In patients of all ages who are started on antidepressant therapy, monitor closely for worsening, and for emergence of suicidal thoughts and behaviors. Advise families and caregivers of the need for close observation and communication with the prescriber [see Warnings and Precautions (5.2)].


Quetiapine tablets are not approved for use in pediatric patients under ten years of age [see Use in Specific Populations (8.4)].




Structured Label Content

5.8 Falls


Atypical antipsychotic drugs, including quetiapine, may cause somnolence, postural hypotension, motor, and sensory instability, which may lead to falls and, consequently, fractures or other injuries. For patients with diseases, conditions, or medications that could exacerbate these effects, complete fall risk assessments when initiating antipsychotic treatment and recurrently for patients on long-term antipsychotic therapy.

9.2 Abuse

Quetiapine has not been systematically studied, in animals or humans, for its potential for abuse, tolerance, or physical dependence. While the clinical trials did not reveal any tendency for any drug-seeking behavior, these observations were not systematic and it is not possible to predict on the basis of this limited experience the extent to which a CNS-active drug will be misused, diverted, and/or abused once marketed. Consequently, patients should be evaluated carefully for a history of drug abuse, and such patients should be observed closely for signs of misuse or abuse of quetiapine, e.g., development of tolerance, increases in dose, drug-seeking behavior.

5.13 Seizures

During clinical trials, seizures occurred in 0.5% (20/3490) of patients treated with quetiapine compared to 0.2% (2/954) on placebo and 0.7% (4/527) on active control drugs. As with other antipsychotics, quetiapine should be used cautiously in patients with a history of seizures or with conditions that potentially lower the seizure threshold, e.g., Alzheimer’s dementia. Conditions that lower the seizure threshold may be more prevalent in a population of 65 years or older.

8.1 Pregnancy

Pregnancy Exposure Registry

There is a pregnancy exposure registry that monitors pregnancy outcomes in women exposed to atypical antipsychotics, including quetiapine, during pregnancy. Healthcare providers are encouraged to register patients by contacting the National Pregnancy Registry for Atypical Antipsychotics at 1-866-961-2388 or online at http://womensmentalhealth.org/clinical-and-research-programs/pregnancyregistry/



Risk Summary

Neonates exposed to antipsychotic drugs (including quetiapine) during the third trimester are at risk for extrapyramidal and/or withdrawal symptoms following delivery (see Clinical Considerations). Overall available data from published epidemiologic studies of pregnant women exposed to quetiapine have not established a drug-associated risk of major birth defects, miscarriage, or adverse maternal or fetal outcomes (see Data). There are risks to the mother associated with untreated schizophrenia, bipolar I, or major depressive disorder, and with exposure to antipsychotics, including quetiapine, during pregnancy (see Clinical Considerations).



In animal studies, embryo-fetal toxicity occurred including delays in skeletal ossification at approximately 1 and 2 times the maximum recommended human dose (MRHD) of 800 mg/day in both rats and rabbits, and an increased incidence of carpal/tarsal flexure (minor soft tissue anomaly) in rabbit fetuses at approximately 2 times the MRHD. In addition, fetal weights were decreased in both species. Maternal toxicity (observed as decreased body weights and/or death) occurred at 2 times the MRHD in rats and approximately 1 to 2 times the MRHD in rabbits.



The estimated background risk of major birth defects and miscarriage for the indicated populations is unknown. All pregnancies have a background risk of birth defect, loss, or other adverse outcomes. In the U.S. general population, the estimated background risk of major birth defects and miscarriage in clinically recognized pregnancies is 2 to 4% and 15 to 20%, respectively.



Clinical Considerations

Disease-associated maternal and/or fetal risk

There is a risk to the mother from untreated schizophrenia, or bipolar I disorder, including increased risk of relapse, hospitalization, and suicide. Schizophrenia and bipolar I disorder are associated with increased adverse perinatal outcomes, including preterm birth. It is not known if this is a direct result of the illness or other comorbid factors.

A prospective, longitudinal study followed 201 pregnant women with a history of major depressive disorder who were euthymic and taking antidepressants at the beginning of pregnancy. The women who discontinued antidepressants during pregnancy were more likely to experience a relapse of major depression than women who continued antidepressants. Consider the risk of untreated depression when discontinuing or changing treatment with antidepressant medication during pregnancy and postpartum.

Fetal/neonatal adverse reactions

Extrapyramidal and/or withdrawal symptoms, including agitation, hypertonia, hypotonia, tremor, somnolence, respiratory distress, and feeding disorder have been reported in neonates who were exposed to antipsychotic drugs, including quetiapine, during the third trimester of pregnancy. These symptoms varied in severity. Monitor neonates for extrapyramidal and/or withdrawal symptoms and manage symptoms appropriately. Some neonates recovered within hours or days without specific treatment; others required prolonged hospitalization.

Data

Human Data

Published data from observational studies, birth registries, and case reports on the use of atypical antipsychotics during pregnancy do not report a clear association with antipsychotics and major birth defects. A retrospective cohort study from a Medicaid database of 9258 women exposed to antipsychotics during pregnancy did not indicate an overall increased risk of major birth defects.

Animal Data

When pregnant rats and rabbits were exposed to quetiapine during organogenesis, there was no teratogenic effect in fetuses. Doses were 25, 50 and 200 mg/kg in rats and 25, 50 and 100 mg/kg in rabbits which are approximately 0.3, 0.6 and 2-times (rats) and 0.6, 1 and 2-times (rabbits) the MRHD for schizophrenia of 800 mg/day based on mg/m2 body surface area. However, there was evidence of embryo-fetal toxicity including delays in skeletal ossification at approximately 1 and 2 times the MRHD of 800 mg/day in both rats and rabbits, and an increased incidence of carpal/tarsal flexure (minor soft tissue anomaly) in rabbit fetuses at approximately 2 times the MRHD. In addition, fetal weights were decreased in both species. Maternal toxicity (observed as decreased body weights and/or death) occurred at 2 times the MRHD in rats and approximately 1 to 2 times the MRHD (all doses tested) in rabbits.

In a peri/postnatal reproductive study in rats, no drug-related effects were observed when pregnant dams were treated with quetiapine at doses 0.01, 0.1, and 0.2 times the MRHD of 800 mg/day based on mg/m2 body surface area. However, in a preliminary peri/postnatal study, there were increases in fetal and pup death, and decreases in mean litter weight at 3 times the MRHD.

8.2 Lactation

Risk Summary

Limited data from published literature report the presence of quetiapine in human breast milk at relative infant dose of <1% of the maternal weight-adjusted dosage. There are no consistent adverse events that have been reported in infants exposed to quetiapine through breast milk. There is no information on the effects of quetiapine on milk production. The developmental and health benefits of breastfeeding should be considered along with the mother's clinical need for quetiapine and any potential adverse effects on the breastfed child from quetiapine or from the mother's underlying condition.



11 Description (11 DESCRIPTION)


Quetiapine fumarate USP is an atypical antipsychotic belonging to a chemical class, the dibenzothiazepine derivatives. The chemical designation is 2-[2-(4-dibenzo [b,f] [1,4]thiazepin-11-yl-1-piperazinyl)ethoxy]-ethanol fumarate (2:1) (salt). It is present in tablets as the fumarate salt. All doses and tablet strengths are expressed as milligrams of base, not as fumarate salt. Its molecular formula is C42H50N6O4S2•C4H4O4 and it has a molecular weight of 883.11 (fumarate salt). The structural formula is:





Quetiapine fumarate USP is a white to off-white crystalline powder which is moderately soluble in water.



Quetiapine tablets USP are supplied for oral administration as 25 mg (round, peach, one side debossed with “F71”), 50 mg (round, white, one side debossed with “F72”), 100 mg (round, yellow one side debossed with “F73”), 200 mg (round, white, one side debossed with "F75”), 300 mg (capsule-shaped, white, one side debossed with "F76”), and 400 mg (capsule-shaped, yellow, one side debossed with “F77”) tablets.





Inactive ingredients are povidone, dibasic calcium phosphate dihydrate, microcrystalline cellulose, sodium starch glycolate, lactose monohydrate, magnesium stearate, colloidal silicon di-oxide, hypromellose, polyethylene glycol, and titanium dioxide.



The 25 mg tablets contain red ferric oxide and yellow ferric oxide and the 100 mg and 400 mg tablets contain only yellow ferric oxide.



Each 25 mg tablet contains 28.78 mg of quetiapine fumarate equivalent to 25 mg quetiapine. Each 50 mg tablet contains 57.56 mg of quetiapine fumarate equivalent to 50 mg quetiapine. Each 100 mg tablet contains 115.13 mg of quetiapine fumarate equivalent to 100 mg quetiapine. Each 200 mg tablet contains 230.26 mg of quetiapine fumarate equivalent to 200 mg quetiapine. Each 300 mg tablet contains 345.39 mg of quetiapine fumarate equivalent to 300 mg quetiapine. Each 400 mg tablet contains 460.51 mg of quetiapine fumarate equivalent to 400 mg quetiapine.

5.11 Cataracts

The development of cataracts was observed in association with quetiapine treatment in chronic dog studies [see Nonclinical Toxicology (13.2)]. Lens changes have also been observed in adults, children, and adolescents during long-term quetiapine treatment, but a causal relationship to quetiapine use has not been established. Nevertheless, the possibility of lenticular changes cannot be excluded at this time. Therefore, examination of the lens by methods adequate to detect cataract formation, such as slit lamp exam or other appropriately sensitive methods, is recommended at initiation of treatment or shortly thereafter, and at 6-month intervals during chronic treatment.

5.18 Dysphagia

Esophageal dysmotility and aspiration have been associated with antipsychotic drug use. Aspiration pneumonia is a common cause of morbidity and mortality in elderly patients, in particular those with advanced Alzheimer's dementia. Quetiapine and other antipsychotic drugs should be used cautiously in patients at risk for aspiration pneumonia.

5.7 Hypotension

Quetiapine may induce orthostatic hypotension associated with dizziness, tachycardia and, in some patients, syncope, especially during the initial dose-titration period, probably reflecting its α1-adrenergic antagonist properties. Syncope was reported in 1% (28/3265) of the patients treated with quetiapine, compared with 0.2% (2/954) on placebo and about 0.4% (2/527) on active control drugs. Orthostatic hypotension, dizziness, and syncope may lead to falls.



Quetiapine should be used with particular caution in patients with known cardiovascular disease (history of myocardial infarction or ischemic heart disease, heart failure, or conduction abnormalities), cerebrovascular disease or conditions which would predispose patients to hypotension (dehydration, hypovolemia, and treatment with antihypertensive medications). The risk of orthostatic hypotension and syncope may be minimized by limiting the initial dose to 25 mg twice daily [see Dosage and Administration (2.2)]. If hypotension occurs during titration to the target dose, a return to the previous dose in the titration schedule is appropriate.

1.1 Schizophrenia






Quetiapine tablets are indicated for the treatment of schizophrenia. The efficacy of quetiapine tablets in schizophrenia was established in three 6-week trials in adults and one 6-week trial in adolescents (13 to 17 years). The effectiveness of quetiapine tablets for the maintenance treatment of schizophrenia has not been systematically evaluated in controlled clinical trials [see Clinical Studies (14.1)].



8.4 Pediatric Use

In general, the adverse reactions observed in children and adolescents during the clinical trials were similar to those in the adult population with few exceptions. Increases in systolic and diastolic blood pressure occurred in children and adolescents and did not occur in adults. Orthostatic hypotension occurred more frequently in adults (4 to 7%) compared to children and adolescents (< 1%) [see Warnings and Precautions (5.7) and Adverse Reactions (6.1)].



Schizophrenia

The efficacy and safety of quetiapine in the treatment of schizophrenia in adolescents aged 13 to 17 years were demonstrated in one 6-week, double-blind, placebo-controlled trial [see Indications and Usage (1.1), Dosage and Administration (2.2), Adverse Reactions (6.1), and Clinical Studies (14.1)].



Safety and effectiveness of quetiapine in pediatric patients less than 13 years of age with schizophrenia have not been established.



Maintenance

The safety and effectiveness of quetiapine in the maintenance treatment of bipolar disorder has not been established in pediatric patients less than 18 years of age. The safety and effectiveness of quetiapine in the maintenance treatment of schizophrenia has not been established in any patient population, including pediatric patients.



Bipolar Mania

The efficacy and safety of quetiapine in the treatment of mania in children and adolescents ages 10 to 17 years with bipolar I disorder was demonstrated in a 3-week, double-blind, placebo-controlled, multicenter trial [see Indications and Usage (1.2), Dosage and Administration (2.3), Adverse Reactions (6.1), and Clinical Studies (14.2)].



Safety and effectiveness of quetiapine in pediatric patients less than 10 years of age with bipolar mania have not been established.



Bipolar Depression

Safety and effectiveness of quetiapine in pediatric patients less than 18 years of age with bipolar depression have not been established. A clinical trial with quetiapine extended-release was conducted in children and adolescents (10 to 17 years of age) with bipolar depression, efficacy was not established.



Some differences in the pharmacokinetics of quetiapine were noted between children/adolescents (10 to 17 years of age) and adults. When adjusted for weight, the AUC and Cmax of quetiapine were 41% and 39% lower, respectively, in children and adolescents compared to adults. The pharmacokinetics of the active metabolite, norquetiapine, were similar between children/adolescents and adults after adjusting for weight [see Clinical Pharmacology (12.3)].

8.5 Geriatric Use

Of the approximately 3700 patients in clinical studies with quetiapine, 7% (232) were 65 years of age or over. In general, there was no indication of any different tolerability of quetiapine in the elderly compared to younger adults. Nevertheless, the presence of factors that might decrease pharmacokinetic clearance, increase the pharmacodynamic response to quetiapine, or cause poorer tolerance or orthostasis, should lead to consideration of a lower starting dose, slower titration, and careful monitoring during the initial dosing period in the elderly. The mean plasma clearance of quetiapine was reduced by 30% to 50% in elderly patients when compared to younger patients [see Clinical Pharmacology (12.3) and Dosage and Administration (2.3)].

14.1 Schizophrenia

Short-term Trials-Adults

The efficacy of quetiapine in the treatment of schizophrenia was established in 3 short-term (6-week) controlled trials of inpatients with schizophrenia who met DSM III-R criteria for schizophrenia. Although a single fixed dose haloperidol arm was included as a comparative treatment in one of the three trials, this single haloperidol dose group was inadequate to provide a reliable and valid comparison of quetiapine and haloperidol.



Several instruments were used for assessing psychiatric signs and symptoms in these studies, among them the Brief Psychiatric Rating Scale (BPRS), a multi-item inventory of general psychopathology traditionally used to evaluate the effects of drug treatment in schizophrenia. The BPRS psychosis cluster (conceptual disorganization, hallucinatory behavior, suspiciousness, and unusual thought content) is considered a particularly useful subset for assessing actively psychotic schizophrenic patients. A second traditional assessment, the Clinical Global Impression (CGI), reflects the impression of a skilled observer, fully familiar with the manifestations of schizophrenia, about the overall clinical state of the patient.



The results of the trials follow:

1. In a 6-week, placebo-controlled trial (n=361) (Study 1) involving 5 fixed doses of quetiapine (75 mg/day, 150 mg/day, 300 mg/day, 600 mg/day, and 750 mg/day given in divided doses three times per day), the 4 highest doses of quetiapine were generally superior to placebo on the BPRS total score, the BPRS psychosis cluster and the CGI severity score, with the maximal effect seen at 300 mg/day, and the effects of doses of 150 mg/day to 750 mg/day were generally indistinguishable.





2. In a 6-week, placebo-controlled trial (n=286) (Study 2) involving titration of quetiapine in high (up to 750 mg/day given in divided doses three times per day) and low (up to 250 mg/day given in divided doses three times per day) doses, only the high dose quetiapine group (mean dose, 500 mg/day) was superior to placebo on the BPRS total score, the BPRS psychosis cluster, and the CGI severity score.



3. In a 6-week dose and dose regimen comparison trial (n=618) (Study 3) involving two fixed doses of quetiapine (450 mg/day given in divided doses both twice daily and three times daily and 50 mg/day given in divided doses twice daily), only the 450 mg/day (225 mg given twice daily) dose group was superior to the 50 mg/day (25 mg given twice daily) quetiapine dose group on the BPRS total score, the BPRS psychosis cluster, and the CGI severity score.



The primary efficacy results of these three studies in the treatment of schizophrenia in adults is presented in Table 19.



Examination of population subsets (race, gender, and age) did not reveal any differential responsiveness on the basis of race or gender, with an apparently greater effect in patients under the age of 40 years compared to those older than 40. The clinical significance of this finding is unknown.



Adolescents (ages 13 to 17)

The efficacy of quetiapine in the treatment of schizophrenia in adolescents (13 to 17 years of age) was demonstrated in a 6-week, double-blind, placebo-controlled trial (Study 4). Patients who met DSM-IV diagnostic criteria for schizophrenia were randomized into one of three treatment groups: quetiapine 400 mg/day (n=73), quetiapine 800 mg/day (n=74), or placebo (n=75). Study medication was initiated at 50 mg/day and on day 2 increased to 100 mg/per day (divided and given two or three times per day). Subsequently, the dose was titrated to the target dose of 400 mg/day or 800 mg/day using increments of 100 mg/day, divided and given two or three times daily. The primary efficacy variable was the mean change from baseline in total Positive and Negative Syndrome Scale (PANSS).



Quetiapine at 400 mg/day and 800 mg/day was superior to placebo in the reduction of PANSS total score. The primary efficacy results of this study in the treatment of schizophrenia in adolescents is presented in Table 19.



Table 19: Schizophrenia Short-Term Trials



Study Number


Treatment Group


                                    Primary Efficacy Endpoint: BPRS Total


Mean Baseline

Score (SD)


LS Mean Change

from Baseline (SE)


Placebo-subtracted

Difference1(95% CI)


Study 1


Quetiapine (75 mg/day)


45.7 (10.9)


-2.2 (2.0)


-4.0 (-11.2, 3.3)


Quetiapine (150 mg/day)2


47.2 (10.1)


-8.7 (2.1)


-10.4 (-17.8, -3.0)


Quetiapine (300 mg/day)2


45.3 (10.9)


-8.6 (2.1)


-10.3 (-17.6, -3.0)


Quetiapine (600 mg/day)2


43.5 (11.3)


-7.7 (2.1)


-9.4 (-16.7, -2.1)


Quetiapine (750 mg/day)2


45.7 (11.0)


-6.3 (2.0)


-8.0 (-15.2, -0.8)


Placebo


45.3 (9.2)


1.7 (2.1)


--


Study 2


Quetiapine (250 mg/day)


38.9 (9.8)


-4.2 (1.6)


-3.2 (-7.6, 1.2)


Quetiapine (750 mg/day)2


41.0 (9.6)


-8.7 (1.6)


-7.8 (-12.2, -3.4)


Placebo


38.4 (9.7)


-1.0 (1.6)


--


Study 3


Quetiapine (450 mg/day BID)


42.1 (10.7)


-10.0 (1.3)


-4.6 (-7.8, -1.4)


Quetiapine (450 mg/day TID)3


42.7 (10.4)


-8.6 (1.3)


-3.2 (-6.4, 0.0)


Quetiapine (50 mg BID)


41.7 (10.0)


-5.4 (1.3)


--


 


 


                      Primary Efficacy Endpoint: PANSS Total


 


Mean Baseline

Score (SD)


LS Mean Change

from Baseline (SE)


Placebo-subtracted

Difference1 (95% CI)


Study 4


Quetiapine (400 mg/day)2


96.2 (17.7)


-27.3 (2.6)


-8.2 (-16.1, -0.3)


Quetiapine (800 mg/day)2


96.9 (15.3)


-28.4 (1.8)


-9.3 (-16.2, -2.4)


Placebo


96.2 (17.7)


-19.2 (3.0)


--

SD: standard deviation; SE: standard error; LS Mean: least-squares mean; CI: unadjusted confidence interval.

1. Difference (drug minus placebo) in least-squares mean change from baseline.

2. Doses that are statistically significant superior to placebo. 

3. Doses that are statistically significant superior to  quetiapine 50 mg BID.







4 Contraindications (4 CONTRAINDICATIONS)

Hypersensitivity to quetiapine or to any excipients in the quetiapine tablets formulation. Anaphylactic reactions have been reported in patients treated with quetiapine tablets.

5.14 Hypothyroidism

Adults: Clinical trials with quetiapine demonstrated dose-related decreases in thyroid hormone levels. The reduction in total and free thyroxine (T4) of approximately 20% at the higher end of the therapeutic dose range was maximal in the first six weeks of treatment and maintained without adaptation or progression during more chronic therapy. In nearly all cases, cessation of quetiapine treatment was associated with a reversal of the effects on total and free T4, irrespective of the duration of treatment. The mechanism by which quetiapine effects the thyroid axis is unclear. If there is an effect on the hypothalamic-pituitary axis, measurement of TSH alone may not accurately reflect a patient’s thyroid status. Therefore, both TSH and free T4, in addition to clinical assessment, should be measured at baseline and at follow-up.



In the mania adjunct studies, where quetiapine was added to lithium or divalproex, 12% (24/196) of quetiapine treated patients compared to 7% (15/203) of placebo-treated patients had elevated TSH levels. Of the quetiapine treated patients with elevated TSH levels, 3 had simultaneous low free T4 levels (free T4 <0.8 LLN).



About 0.7% (26/3489) of quetiapine patients did experience TSH increases in monotherapy studies. Some patients with TSH increases needed replacement thyroid treatment.



In all quetiapine trials, the incidence of shifts in thyroid hormones and TSH were1: decrease in free T4 (<0.8LLN), 2.0% (357/17513); decrease in total T (<0.8LLN), 4.0% (75/1861); decrease in free T3(<0.8 LLN), 0.4% (53/13766); decrease in total T3 (<0.8LLN), 2.0% (26/1312), and increase in TSH (>5mIU/L), 4.9% (956/19412). In eight patients, where TBG was measured, levels of TBG were unchanged.



Table 8 shows the incidence of these shifts in short-term placebo-controlled clinical trials.



Table 8: Incidence of Shifts in Thyroid Hormone Levels and TSH in Short-Term Placebo-Controlled Clinical Trials1,2



Total T4


Free T4


Total T3


Free T3


TSH


Quetiapine


Placebo


Quetiapine


Placebo


Quetiapine


Placebo


Quetiapine


Placebo


Quetiapine


Placebo


3.4 % (37/1097)


0.6% (4/651)


0.7% (52/7218)


0.1% (4/3668)


0.5% (2/369)


0.0% (0/113)


0.2% (11/5673)


0.0% (1/2679)


3.2% (240/7587)


2.7% (105/3912)


1 Based on shifts from normal baseline to potentially clinically important value at any time post-baseline. Shifts in total T4, free T4, total T3, and free T3 are defined as <0.8 x LLN (pmol/L) and shift in TSH is > 5 mlU/L at any time.

2. Includes quetiapine and quetiapine extended-release data.

-------------------------------------------------------------------------------------------------------------

1. Based on shifts from normal baseline to potentially clinically important value at anytime post-baseline. Shifts in total T4, free T4, total T3 and free T3 are defined as <0.8 x LLN (pmol/L) and shift in TSH is >5 mlU/L at any time.



In short-term placebo-controlled monotherapy trials, the incidence of reciprocal, shifts in T3 and TSH was 0.0 % for both quetiapine (1/4800) and placebo (0/2190) and for T4 and TSH the shifts were 0.1% (7/6154) for quetiapine versus 0.0% (1/3007) for placebo.



Children and Adolescents:

In acute placebo-controlled trials in children and adolescent patients with schizophrenia (6-week duration) or bipolar mania (3-week duration), the incidence of shifts for thyroid function values at any time for quetiapine treated patients and placebo-treated patients for elevated TSH was 2.9% (8/280) vs. 0.7% (1/138), respectively, and for decreased total thyroxine was 2.8% (8/289) vs. 0% (0/145), respectively. Of the quetiapine treated patients with elevated TSH levels, 1 had simultaneous low free T4 level at end of treatment.







6 Adverse Reactions (6 ADVERSE REACTIONS)


The following adverse reactions are discussed in more detail in other sections of the labeling:

• Increased mortality in elderly patients with dementia-related psychosis [see Warnings and Precautions (5.1)]

• Suicidal thoughts and behaviors in adolescents and young adults [see Warnings and Precautions (5.2)]

• Cerebrovascular adverse reactions, including stroke in elderly patients with dementia-related psychosis [see Warnings and Precautions (5.3)]

• Neuroleptic Malignant Syndrome (NMS) [see Warnings and Precautions (5.4)]

• Metabolic changes (hyperglycemia, dyslipidemia, weight gain) [see Warnings and Precautions (5.5)]

• Tardive dyskinesia [see Warnings and Precautions (5.6)]

• Hypotension [see Warnings and Precautions (5.7)]

• Falls [see Warnings and Precautions (5.8)]

• Increases in blood pressure (children and adolescents) [see Warnings and Precautions (5.9)]

• Leukopenia, neutropenia and agranulocytosis [see Warnings and Precautions (5.10)]

• Cataracts [see Warnings and Precautions (5.11)]

• QT Prolongation [see Warnings and Precautions (5.12)]

• Seizures [see Warnings and Precautions (5.13)]

• Hypothyroidism [see Warnings and Precautions (5.14)]

• Hyperprolactinemia [see Warnings and Precautions (5.15)]

• Potential for cognitive and motor impairment [see Warnings and Precautions (5.16)]

• Body temperature regulation [see Warnings and Precautions (5.17)]

• Dysphagia [see Warnings and Precautions (5.18)]

• Discontinuation Syndrome [see Warnings and Precautions (5.19)]

• Anticholinergic (antimuscarinic) Effects [see Warnings and Precautions (5.20)]

7 Drug Interactions (7 DRUG INTERACTIONS)

• Concomitant use of strong CYP3A4 inhibitors: Reduce quetiapine dose to one sixth when coadministered with strong CYP3A4 inhibitors (e.g., ketoconazole, ritonavir) (2.5, 7.1, 12.3)

• Concomitant use of strong CYP3A4 inducers: Increase quetiapine dose up to 5 fold when used in combination with a chronic treatment (more than 7-14 days) of potent CYP3A4 inducers (e.g., phenytoin, rifampin, St. John’s wort) (2.6, 7.1, 12.3)

• Discontinuation of strong CYP3A4 inducers: Reduce quetiapine dose by 5-fold within 7-14 days of discontinuation of CYP3A4 inducers (2.6, 7.1, 12.3)



1.2 Bipolar Disorder

Quetiapine tablets are indicated for the acute treatment of manic episodes associated with bipolar I disorder, both as monotherapy and as an adjunct to lithium or divalproex. Efficacy was established in two 12-week monotherapy trials in adults, in one 3-week adjunctive trial in adults, and in one 3-week monotherapy trial in pediatric patients (10 to 17 years) [see Clinical Studies (14.2)].

Quetiapine tablets are indicated as monotherapy for the acute treatment of depressive episodes associated with bipolar disorder. Efficacy was established in two 8-week monotherapy trials in adult patients with bipolar I and bipolar II disorder [see Clinical Studies (14.2)].

Quetiapine tablets are indicated for the maintenance treatment of bipolar I disorder, as an adjunct to lithium or divalproex. Efficacy was established in two maintenance trials in adults. The effectiveness of quetiapine tablets as monotherapy for the maintenance treatment of bipolar disorder has not been systematically evaluated in controlled clinical trials [see Clinical Studies (14.2)].

5.12 Qt Prolongation (5.12 QT Prolongation)

In clinical trials, quetiapine was not associated with a persistent increase in QT intervals. However, the QT effect was not systematically evaluated in a thorough QT study. In post marketing experience, there were cases reported of QT prolongation in patients who overdosed on quetiapine [see Overdosage (10.1)], in patients with concomitant illness, and in patients taking medicines known to cause electrolyte imbalance or increase QT interval [see Drug Interactions (7.1)].



The use of quetiapine should be avoided in combination with other drugs that are known to prolong QTc including Class 1A antiarrythmics (e.g., quinidine, procainamide) or Class III antiarrythmics (e.g., amiodarone, sotalol), antipsychotic medications (e.g., ziprasidone, chlorpromazine, thioridazine), antibiotics (e.g., gatifloxacin, moxifloxacin), or any other class of medications known to prolong the QTc interval (e.g., pentamidine, levomethadyl acetate, methadone).



Quetiapine should also be avoided in circumstances that may increase the risk of occurrence of torsade de pointes and/or sudden death including (1) a history of cardiac arrhythmias such as bradycardia; (2) hypokalemia or hypomagnesemia; (3) concomitant use of other drugs that prolong the QTc interval; and (4) presence of congenital prolongation of the QT interval.



Caution should also be exercised when quetiapine is prescribed in patients with increased risk of QT prolongation (e.g., cardiovascular disease, family history of QT prolongation, the elderly, congestive heart failure, and heart hypertrophy).





8.6 Renal Impairment

Clinical experience with quetiapine in patients with renal impairment is limited [see Clinical Pharmacology (12.3)].

Spl Medguide Section (SPL MEDGUIDE SECTION)


Medication Guide

Quetiapine Tablets

(kwe-TYE-a-peen)

Read this Medication Guide before you start taking quetiapine tablets and each time you get a refill. There may be new information. This information does not take the place of talking to your healthcare provider about your medical condition or your treatment.



What is the most important information I should know about quetiapine tablets?

Quetiapine tablets may cause serious side effects, including:

1. risk of death in the elderly with dementia. Medicines like quetiapine can increase the risk of death in elderly people who have memory loss (dementia). Quetiapine tablets are not for treating psychosis in the elderly with dementia.

2. risk of suicidal thoughts or actions (antidepressant medicines, depression and other serious mental illnesses, and suicidal thoughts or actions).



Talk to your or your family member’s healthcare provider about:

° all risks and benefits of treatment with antidepressant medicines.

° all treatment choices for depression or other serious mental illness



Antidepressant medications may increase suicidal thoughts or actions in some children, teenagers, and young adults within the first few months of treatment.

Depression and other serious mental illnesses are the most important causes of suicidal thoughts and actions. Some people may have a particularly high risk of having suicidal thoughts or actions. These include people who have (or have a family history of) depression, bipolar illness (also called manic-depressive illness), or suicidal thoughts or actions.

How can I watch for and try to prevent suicidal thoughts and actions in myself or a family member?

° Pay close attention to any changes, especially sudden changes, in mood, behaviors, thoughts, or feelings. This is very important when an antidepressant medicine is started or when the dose is changed.

°Call the healthcare provider right away to report new or sudden changes in mood, behavior, thoughts, or feelings.

° Keep all follow-up visits with the healthcare provider as scheduled. Call the healthcare provider between visits as needed, especially if you have concerns about symptoms.

Call a healthcare provider right away if you or your family member has any of the following symptoms, especially if they are new, worse, or worry you:

• thoughts about suicide or dying

• attempts to commit suicide

• new or worse depression

• new or worse anxiety

• feeling very agitated or restless

• panic attacks

• trouble sleeping (insomnia)

• new or worse irritability

• acting aggressive, being angry, or violent

• acting on dangerous impulses

• an extreme increase in activity and talking (mania)

• other unusual changes in behavior or mood

What else do I need to know about antidepressant medicines?

Never stop an antidepressant medicine without first talking to your healthcare provider. Stopping an antidepressant medicine suddenly can cause other symptoms.

Antidepressants are medicines used to treat depression and other illnesses. It is important to discuss all the risks of treating depression, and also the risks of not treating it. Patients and their families or other caregivers should discuss all treatment choices with the healthcare provider, not just the use of antidepressants.

Antidepressant medicines have other side effects. Talk to the healthcare provider about the side effects of the medicine prescribed for you or your family member.

Antidepressant medicines can interact with other medicines. Know all of the medicines that you or your family member take. Keep a list of all medicines to show the healthcare provider. Do not start new medicines without first checking with your healthcare provider.

Not all antidepressant medicines prescribed for children are FDA approved for use in children. Talk to your child’s healthcare provider for more information.



What are quetiapine tablets?

Quetiapine tablets are a prescription medicine used to treat:



• schizophrenia in people 13 years of age or older

• bipolar disorder in adults, including:

° depressive episodes associated with bipolar disorder

° manic episodes associated with bipolar I disorder alone or with lithium or divalproex

° long-term treatment of bipolar I disorder with lithium or divalproex

• manic episodes associated with bipolar I disorder in children ages 10 to 17 years old



It is not known if quetiapine tablets are safe and effective in children under 10 years of age.



What should I tell my healthcare provider before taking quetiapine tablets?

Before you take quetiapine tablets tell your healthcare provider if you have or have had:

• diabetes or high blood sugar in you or your family. Your healthcare provider should check your blood sugar before you start quetiapine, tablets and also during therapy

• high levels of total cholesterol, triglycerides or LDL-cholesterol, or low levels of HDL-cholesterol

• low or high blood pressure

• low white blood cell count

• cataracts

• seizures

• abnormal thyroid tests

• high prolactin levels

• heart problems

• liver problems

• any other medical condition

• pregnancy or plans to become pregnant. It is not known if quetiapine tablets will harm your unborn baby.

• If you become pregnant while receiving quetiapine tablets, talk to your healthcare provider about registering with the National Pregnancy Registry for Atypical Antipsychotics. You can register by calling 1-866-961-2388 or go to http://womensmentalhealth.org/clinical-and- research-programs/pregnancyregistry/

•  breast-feeding or plans to breast-feed. Quetiapine  can pass into your breast milk. Talk to your healthcare provider about the best way to feed your baby if you receive quetiapine tablets.

• if you have or have had a condition where you cannot completely empty your bladder (urinary retention), have an enlarged prostate, or constipation, or increased pressure inside your eyes.



Tell the healthcare provider about all the medicines that you take or recently have taken including prescription medicines, over-the-counter medicines, herbal supplements, and vitamins.



Quetiapine tablets and other medicines may affect each other causing serious side effects. Quetiapine tablets may affect the way other medicines work, and other medicines may affect how quetiapine tablets works.



Tell your healthcare provider if you are having a urine drug screen because quetiapine may affect your test results. Tell those giving the test that you are taking quetiapine tablets.

How should I take quetiapine tablets?

• Take quetiapine tablets exactly as your healthcare provider tells you to take it. Do not change the dose yourself.

• Take quetiapine tabletsby mouth, with or without food.



If you feel you need to stop quetiapine tablets talk with your healthcare provider first. If you suddenly stop taking quetiapine tablets you may have side effects such as trouble sleeping or trouble staying asleep (insomnia), nausea, and vomiting.



• If you miss a dose of quetiapine tablets take it as soon as you remember. If you are close to your next dose, skip the missed dose. Just take the next dose at your regular time. Do not take 2 doses at the same time unless your healthcare provider tells you to. If you are not sure about your dosing, call your healthcare provider.



What should I avoid while taking quetiapine tablets?

• Do not drive, operate machinery, or do other dangerous activities until you know how quetiapine tablet affects you.

Quetiapine tablets may make you drowsy.

• Avoid getting overheated or dehydrated.

° Do not over-exercise.

° In hot weather, stay inside in a cool place if possible.

° Stay out of the sun. Do not wear too much or heavy clothing.

° Drink plenty of water.

• Do not drink alcohol while taking quetiapine tablets. It may make some side effects of quetiapine tablets worse.

What are possible side effects of quetiapine tablets?

Quetiapine tablets can cause serious side effects, including:



See “What is the most important information I should know about quetiapine tablet?”

• stroke that can lead to death can happen in elderly people with dementia who take medicines like quetiapine tablets

• neuroleptic malignant syndrome (NMS). NMS is a rare but very serious condition that can happen in people who take antipsychotic medicines, including quetiapine tablets. NMS can cause death and must be treated in a hospital. Call your healthcare provider right away if you become severely ill and have some or all of these symptoms:

° high fever

° excessive sweating

° rigid muscles

° confusion

° changes in your breathing, heartbeat, and blood pressure

• falls can happen in some people who take quetiapine tablets. These falls may cause serious injuries.

high blood sugar (hyperglycemia). High blood sugar can happen if you have diabetes already or if you have never had diabetes. High blood sugar could lead to:

° build-up of acid in your blood due to ketones (ketoacidosis)

° coma

° death

Increases in blood sugar can happen in some people who take quetiapine tablets. Extremely high blood sugar can lead to coma or death. If you have diabetes or risk factors for diabetes (such as being overweight or a family history of diabetes) your healthcare provider should check your blood sugar before you start quetiapine tablets and during therapy.

Call your healthcare provider if you have any of these symptoms of high blood sugar (hyperglycemia) while taking quetiapine tablets:

° feel very thirsty

° need to urinate more than usual

° feel very hungry

° feel weak or tired

° feel sick to your stomach

° feel confused, or your breath smells fruity

high fat levels in your blood (increased cholesterol and triglycerides). High fat levels may happen in people treated with quetiapine tablets. You may not have any symptoms, so your healthcare provider may decide to check your cholesterol and triglycerides during your treatment with quetiapine tablets.

 • increase in weight (weight gain). Weight gain is common in people who take quetiapine tablets so you and your healthcare provider should check your weight regularly. Talk to your healthcare provider about ways to control weight gain, such as eating a healthy, balanced diet, and exercising.

movements you cannot control in your face, tongue, or other body parts (tardive dyskinesia). These may be signs of a serious condition. Tardive dyskinesia may not go away, even if you stop taking quetiapine tablets. Tardive dyskinesia may also start after you stop taking quetiapine tablets.

decreased blood pressure (orthostatic hypotension), including lightheadedness or fainting caused by a sudden change in heart rate and blood pressure when rising too quickly from a sitting or lying position.

increases in blood pressure in children and teenagers. Your healthcare provider should check blood pressure in children and adolescents before starting quetiapine tablets and during therapy.

low white blood cell count. Tell your healthcare provider as soon as possible if you have a fever, flu-like symptoms, or any other infection, as this could be a result of a very low white blood cell count. Your healthcare provider may check your white blood cell level to determine if further treatment or other action is needed.

cataracts

seizures

abnormal thyroid tests. Your healthcare provider may do blood tests to check your thyroid hormone level.

increases in prolactin levels

sleepiness, drowsiness, feeling tired, difficulty thinking and doing normal activities

increased body temperature

difficulty swallowing

trouble sleeping or trouble staying asleep (insomnia), nausea, or vomiting if you suddenly stop taking quetiapine tablets. These symptoms usually get better 1 week after you start having them.

The most common side effects of quetiapine tablets include:

 

In Adults:

• drowsiness

• sudden drop in blood pressure upon standing

• weight gain

• sluggishness

• abnormal liver tests

• upset stomach

• dry mouth

• dizziness

• weakness

• abdominal pain

• constipation

• sore throat

In Children and Adolescents:

• drowsiness

• dizziness

• fatigue

• nausea

• dry mouth

• weight gain

• increased appetite

• vomiting

• rapid heart beat

These are not all the possible side effects of quetiapine tablets. For more information, ask your healthcare provider or pharmacist.

Call your doctor for medical advice about side effects. You may report side effects to FDA at 1-800-FDA-1088.

How should I store quetiapine tablets?

• Store quetiapine tablets at room temperature, between 68°F to 77°F (20°C to 25°C).

• Keep quetiapine tablets and all medicines out of the reach of children.

General information about the safe and effective use of quetiapine tablets.

Medicines are sometimes prescribed for purposes other than those listed in a Medication Guide. Do not use quetiapine tablets for a condition for which it was not prescribed. Do not give quetiapine tablets to other people, even if they have the same symptoms you have. It may harm them.

This Medication Guide summarizes the most important information about quetiapine tablets. If you would like more information, talk with your healthcare provider. You can ask your pharmacist or healthcare provider for information about quetiapine tablets that is written for health professionals.

For more information, call Macleods Pharma USA, Inc. at 1-888-943-3210 or 1-855-926-3384.

What are the ingredients in quetiapine tablets?

Active ingredient: quetiapine

Inactive ingredients: povidone, dibasic calcium phosphate dihydrate, microcrystalline cellulose, sodium starch glycolate, lactose monohydrate, magnesium stearate, colloidal silicon di-oxide, hypromellose, polyethylene glycol, and titanium dioxide.

The 25 mg tablets contain red and yellow ferric oxide. The 100 mg and 400 mg tablets contain only yellow ferric oxide.

This Medication Guide has been approved by the U.S. Food and Drug Administration.

Trademarks are the property of their respective owners.

Manufactured for:

Macleods Pharma USA, Inc.

Princeton, NJ 08540



Manufactured by:

Macleods Pharmaceuticals Limited

Daman (U.T.), INDIA



Medication Guide available at: www.macleodspharma.com/usa



Revised: March 2023

1 Indications & Usage (1 INDICATIONS & USAGE)

Quetiapine tablets are an atypical antipsychotic indicated for the treatment of:

• Schizophrenia (1.1)

• Bipolar I disorder manic episodes (1.2)

• Bipolar disorder, depressive episodes (1.2)



10.1 Human Experience

In clinical trials, survival has been reported in acute overdoses of up to 30 grams of quetiapine. Most patients who overdosed experienced no adverse reactions or recovered fully from the reported reactions. Death has been reported in a clinical trial following an overdose of 13.6 grams of quetiapine alone. In general, reported signs and symptoms were those resulting from an exaggeration of the drug’s known pharmacological effects, i.e., drowsiness, sedation, tachycardia, hypotension, and anticholinergic toxicity including coma and delirium. Patients with pre-existing severe cardiovascular disease may be at an increased risk of the effects of overdose [see Warnings and Precautions (5.12)]. One case, involving an estimated overdose of 9600 mg, was associated with hypokalemia and first-degree heart block. In post-marketing experience, there were cases reported of QT prolongation with overdose.

12.2 Pharmacodynamics

Quetiapine and its metabolite, norquetiapine, have affinity for multiple neurotransmitter receptors with norquetiapine binding with higher affinity than quetiapine in general. The Ki values for quetiapine and norquetiapine at the dopamine D1 are 428/99.8 nM, at D2 626/489nM, at serotonin 5HT1A 1040/191 nM at 5HT2A 38/2.9 nM, at histamine H1 4.4/1.1 nM, at muscarinic M1 1086/38.3 nM, and at adrenergic α1b 14.6/46.4 nM and, at α2 receptors 617/1290 nM, respectively. Quetiapine and norquetiapine lack appreciable affinity to the benzodiazepine receptors.



Effect on QT Interval

In clinical trials, quetiapine was not associated with a persistent increase in QT intervals. However, the QT effect was not systematically evaluated in a thorough QT study. In post marketing experience, there were cases reported of QT prolongation in patients who overdosed on quetiapine [see Overdosage (10.1)], in patients with concomitant illness, and in patients taking medicines known to cause electrolyte imbalance or increase QT interval.

12.3 Pharmacokinetics

Adults

Quetiapine  activity is primarily due to the parent drug. The multiple-dose pharmacokinetics of quetiapine are dose-proportional within the proposed clinical dose range, and quetiapine accumulation is predictable upon multiple dosing. Elimination of quetiapine is mainly via hepatic metabolism with a mean terminal half-life of about 6 hours within the proposed clinical dose range. Steady-state concentrations are expected to be achieved within two days of dosing. Quetiapine is unlikely to interfere with the metabolism of drugs metabolized by cytochrome P450 enzymes.



Children and Adolescents

At steady state the pharmacokinetics of the parent compound, in children and adolescents (10 to 17 years of age), were similar to adults. However, when adjusted for dose and weight, AUC and Cmax of the parent compound were 41% and 39% lower, respectively, in children and adolescents than in adults. For the active metabolite, norquetiapine, AUC and Cmax were 45% and 31% higher, respectively, in children and adolescents than in adults. When adjusted for dose and weight, the pharmacokinetics of the metabolite, norquetiapine, was similar between children and adolescents and adults [ see Use in Specific Populations (8.4)].



Absorption

Quetiapine  is rapidly absorbed after oral administration, reaching peak plasma concentrations in 1.5 hours. The tablet formulation is 100% bioavailable relative to solution. The bioavailability of quetiapine is marginally affected by administration with food, with Cmax and AUC values increased by 25% and 15%, respectively.



Distribution

Quetiapine is widely distributed throughout the body with an apparent volume of distribution of 10±4 L/kg. It is 83% bound to plasma proteins at therapeutic concentrations. In vitro, quetiapine did not affect the binding of warfarin or diazepam to human serum albumin. In turn, neither warfarin nor diazepam altered the binding of quetiapine.



Metabolism and Elimination

Following a single oral dose of 14C-quetiapine, less than 1% of the administered dose was excreted as unchanged drug, indicating that quetiapine is highly metabolized. Approximately 73% and 20% of the dose was recovered in the urine and feces, respectively.



Quetiapine is extensively metabolized by the liver. The major metabolic pathways are sulfoxidation to the sulfoxide metabolite and oxidation to the parent acid metabolite; both metabolites are pharmacologically inactive. In vitro studies using human liver microsomes revealed that the cytochrome P450 3A4 isoenzyme is involved in the metabolism of quetiapine to its major, but inactive, sulfoxide metabolite and in the metabolism of its active metabolite N-desalkyl quetiapine.



Age

Oral clearance of quetiapine was reduced by 40% in elderly patients (> 65 years, n=9) compared to young patients (n=12), and dosing adjustment may be necessary [see Dosage and Administration (2.3)].



Gender

There is no gender effect on the pharmacokinetics of quetiapine.



Race

There is no race effect on the pharmacokinetics of quetiapine.



Smoking

Smoking has no effect on the oral clearance of quetiapine.



Renal Insufficiency

Patients with severe renal impairment (Clcr=10-30 mL/min/1.73 m2, n=8) had a 25% lower mean oral clearance than normal subjects (Clcr > 80 mL/min/1.73 m2, n=8), but plasma quetiapine concentrations in the subjects with renal insufficiency were within the range of concentrations seen in normal subjects receiving the same dose. Dosage adjustment is therefore not needed in these patients [see Use in Specific Populations (8.6)].



Hepatic Insufficiency

Hepatically impaired patients (n=8) had a 30% lower mean oral clearance of quetiapine than normal subjects. In two of the 8 hepatically impaired patients, AUC and Cmax were 3 times higher than those observed typically in healthy subjects. Since quetiapine is extensively metabolized by the liver, higher plasma levels are expected in the hepatically impaired population, and dosage adjustment may be needed [see Dosage and Administration (2.4) and Use in Specific Populations (8.7)].



Drug-Drug Interaction Studies

The in vivo assessments of effect of other drugs on the pharmacokinetics of quetiapine are summarized in Table 17 [see Dosage and Administration ( 2.5 and 2.6 ) and Drug Interactions ( 7.1 )].



Table 17: The Effect of Other Drugs on the Pharmacokinetics of Quetiapine



Coadministered

Drug


              Dose Schedules


Effect on Quetiapine

Pharmacokinetics


Coadministered

Drug


Quetiapine


Phenytoin


100 mg three

times daily


250 mg three

times daily


5-fold increase in oral clearance


Divalproex


500 mg twice

daily


150 mg

twice daily


17% increase mean max plasma concentration at steady state.

No effect on absorption or mean oral clearance


Thioridazine


200 mg twice

daily


300 mg

twice daily


65% increase in oral clearance


Cimetidine


400 mg three

times daily for 4 days


150 mg three

times daily


20% decrease in mean oral clearance


Ketoconazole

(potent CYP

3A4 inhibitor)


200 mg once

daily for 4 days


25 mg single dose


84% decrease in oral clearance resulting in a 6.2-fold

increase in AUC of quetiapine


Fluoxetine


60 mg once

daily


300 mg twice

daily


No change in steady state PK


Imipramine


75 mg twice

daily


300 mg

twice daily


No change in steady state PK


Haloperidol


7.5 mg twice

daily


300 mg

twice daily


No change in steady state PK


Risperidone


3 mg twice

daily


300 mg

twice daily


No change in steady state PK


In vitro enzyme inhibition data suggest that quetiapine and 9 of its metabolites would have little inhibitory effect on in vivo metabolism mediated by cytochromes CYP 1A2, 2C9, 2C19, 2D6, and 3A4. Quetiapine at doses of 750 mg/day did not affect the single dose pharmacokinetics of antipyrine, lithium, or lorazepam (Table 18) [see Drug Interactions ( 7.2 )].



Table 18: The Effect of Quetiapine on the Pharmacokinetics of Other Drugs



Coadministered drug Dose schedules Effect on other drugs pharmacokinetics
Coadministered drug Quetiapine
Lorazepam 2 mg, single dose 250 mg three times daily Oral clearance of lorazepam reduced by 20%
Divalproex 500 mg twice daily 150 mg twice daily Cmax and AUC of free valproic acid at

steady-state was decreased by 10 -12%
Lithium Up to 2400 mg/day given in twice daily doses 250 mg three times daily No effect on steady-state pharmacokinetics of lithium
Antipyrine 1 g, single dose 250 mg three times daily No effect on clearance of antipyrine or urinary recovery of its metabolites




14.2 Bipolar Disorder

Bipolar I disorder, manic or mixed episodes

Adults

The efficacy of quetiapine in the acute treatment of manic episodes was established in 3 placebo-controlled trials in patients who met DSM-IV criteria for bipolar I disorder with manic episodes. These trials included patients with or without psychotic features and excluded patients with rapid cycling and mixed episodes. Of these trials, 2 were monotherapy (12 weeks) and 1 was adjunct therapy (3 weeks) to either lithium or divalproex. Key outcomes in these trials were change from baseline in the Young Mania Rating Scale (YMRS) score at 3 and 12 weeks for monotherapy and at 3 weeks for adjunct therapy. Adjunct therapy is defined as the simultaneous initiation or subsequent administration of quetiapine with lithium or divalproex.



The primary rating instrument used for assessing manic symptoms in these trials was YMRS, an 11-item clinician-rated scale traditionally used to assess the degree of manic symptomatology (irritability, disruptive/aggressive behavior, sleep, elevated mood, speech, increased activity, sexual interest, language/thought disorder, thought content, appearance, and insight) in a range from 0 (no manic features) to 60 (maximum score).



The results of the trials follow:



Monotherapy

The efficacy of quetiapine in the acute treatment of bipolar mania was established in 2 placebo-controlled trials. In two 12-week trials (n=300, n=299) comparing quetiapine to placebo, quetiapine was superior to placebo in the reduction of the YMRS total score at weeks 3 and 12. The majority of patients in these trials taking quetiapine were dosed in a range between 400 mg/day and 800 mg per day (studies 1 and 2 in Table 20).



Adjunct Therapy

In this 3-week placebo-controlled trial, 170 patients with bipolar mania (YMRS >20) were randomized to receive quetiapine or placebo as adjunct treatment to lithium or divalproex. Patients may or may not have received an adequate treatment course of lithium or divalproex prior to randomization. Quetiapine was superior to placebo when added to lithium or divalproex alone in the reduction of YMRS total score (Study 3 in Table 20).



The majority of patients in this trial taking quetiapine were dosed in a range between 400 mg/day and 800 mg per day. In a similarly designed trial (n=200), quetiapine was associated with an improvement in YMRS scores but did not demonstrate superiority to placebo, possibly due to a higher placebo effect.



The primary efficacy results of these studies in the treatment of mania in adults is presented in Table 20.



Children and Adolescents (ages 10 to 17)



The efficacy of quetiapine in the acute treatment of manic episodes associated with bipolar I disorder in children and adolescents (10 to 17 years of age) was demonstrated in a 3-week, double-blind, placebo-controlled, multicenter trial (Study 4 in Table 20). Patients who met DSM-IV diagnostic criteria for a manic episode were randomized into one of three treatment groups: quetiapine 400 mg/day (n = 95), quetiapine 600 mg/day (n = 98), or placebo (n = 91). Study medication was initiated at 50 mg/day and on day 2 increased to 100 mg/day (divided doses given two or three times daily). Subsequently, the dose was titrated to a target dose of 400 mg/day or 600 mg/day using increments of 100 mg/day, given in divided doses two or three times daily. The primary efficacy variable was the mean change from baseline in total YMRS score.



Quetiapine 400 mg/day and 600 mg/day were superior to placebo in the reduction of YMRS total score (Table 20).



Table 20: Mania Trials





Study

Number
Treatment Group                Primary Efficacy Measure: YMRS Total
Mean Baseline

Score (SD)4
LS Mean Change

from Baseline (SE)
Placebo-subtracted

Difference2 (95% CI)
Study 1 Quetiapine (200 to 800 mg/day)1,3

34.0 (6.1)


-12.3 (1.3)


-4.0 (-7.0, -1.0)
Haloperidol1,3

32.3 (6.0)


-15.7 (1.3)


-7.4 (-10.4, -4.4)
Placebo

33.1 (6.6)


-8.3 (1.3)


--
Study 2 Quetiapine (200 to 800 mg/day)1

32.7 (6.5)


-14.6 (1.5)


-7.9 (-10.9, -5.0)
Lithium1,3

33.3 (7.1)


-15.2 (1.6)


-8.5 (-11.5, -5.5)
Placebo

34.0 (6.9)


-6.7 (1.6)


--
Study 3 Quetiapine (200 to 800mg/day)1 + mood stabilizer

31.5 (5.8)


-13.8 (1.6)


-3.8 (-7.1, -0.6)
Placebo + mood stabilizer

31.1 (5.5)


-10 (1.5)


--
Study 4 Quetiapine (400 mg/day)1

29.4 (5.9)


-14.3 (0.96)


-5.2 (-8.1, -2.3)
Quetiapine (600 mg/day)1

29.6 (6.4)


-15.6 (0.97)


-6.6 (-9.5, -3.7)
Placebo

30.7 (5.9)


-9.0 (1.1)


--


Mood stabilizer: lithium or divalproex; SD: standard deviation; SE: standard error; LS Mean: least-squares mean; CI: unadjusted confidence interval.

1. Doses that are statistically significantly superior to placebo.

2. Difference (drug minus placebo) in least-squares mean change from baseline.

3. Included in the trial as an active comparator.

4. Adult data mean baseline score is based on patients included in the primary analysis; pediatric mean baseline score is based on all patients in the ITT population.



Bipolar Disorder, Depressive Episodes

Adults

The efficacy of quetiapine for the acute treatment of depressive episodes associated with bipolar disorder was established in 2 identically designed 8-week, randomized, double-blind, placebo-controlled studies (N=1045) (studies 5 and 6 in Table 21). These studies included patients with either bipolar I or II disorder and those with or without a rapid cycling course. Patients randomized to quetiapine were administered fixed doses of either 300 mg or 600 mg once daily.



The primary rating instrument used to assess depressive symptoms in these studies was the Montgomery-Asberg Depression Rating Scale (MADRS), a 10-item clinician-rated scale with scores ranging from 0 to 60. The primary endpoint in both studies was the change from baseline in MADRS score at week 8. In both studies, quetiapine was superior to placebo in reduction of MADRS score. Improvement in symptoms, as measured by change in MADRS score relative to placebo, was seen in both studies at Day 8 (week 1) and onwards. In these studies, no additional benefit was seen with the 600 mg dose. For the 300 mg dose group, statistically significant improvements over placebo were seen in overall quality of life and satisfaction related to various areas of functioning, as measured using the Q-LES-Q(SF).



The primary efficacy results of these studies in the acute treatment of depressive episodes associated with bipolar disorder in adults is presented in Table 21.



Table 21: Depressive Episodes Associated with Bipolar Disorder



 
Study

Number
Treatment Group Primary Efficacy Measure: MADRS Total
Mean Baseline 

Score (SD)
LS Mean Change from Baseline (SE) Placebo-subtracted

Difference2 (95% CI)
Study 5 Quetiapine (300 mg/day)1

30.3 (5.0)


-16.4 (0.9)


-6.1

(-8.3, -3.9)
Quetiapine (600 mg/day)1

30.3 (5.3)


-16.7 (0.9)


-6.5

(-8.7, -4.3)
Placebo

30.6 (5.3)


-10.3 (0.9)


--
Study 6 Quetiapine (300 mg/day)1

31.1 (5.7)


-16.9 (1.0)


-5.0

(-7.3, -2.7)
Quetiapine (600 mg/day)1

29.9 (5.6)


-16.0 (1.0)


-4.1

(-6.4, -1.8)
Placebo

29.6 (5.4)


-11.9 (1.0)


--


SD: standard deviation; SE: standard error; LS Mean: least-squares mean; CI: unadjusted confidence interval.

1. Doses that are statistically significantly superior to placebo.

2. Difference (drug minus placebo) in least-squares mean change from baseline.



Maintenance Treatment as an Adjunct to Lithium or Divalproex



The efficacy of quetiapine in the maintenance treatment of bipolar I disorder was established in 2 placebo-controlled trials in patients (n=1326) who met DSM-IV criteria for bipolar I disorder (studies 7 and 8 in Figures 1 and 2). The trials included patients whose most recent episode was manic, depressed, or mixed, with or without psychotic features. In the open-label phase, patients were required to be stable on quetiapine plus lithium or divalproex for at least 12 weeks in order to be randomized. On average, patients were stabilized for 15 weeks. In the randomization phase, patients continued treatment with lithium or divalproex and were randomized to receive either quetiapine (administered twice daily totaling 400 mg/day to 800 mg/day) or placebo. Approximately 50% of the patients had discontinued from the quetiapine group by day 280 and 50% of the placebo group had discontinued by day 117 of double-blind treatment. The primary endpoint in these studies was time to recurrence of a mood event (manic, mixed, or depressed episode). A mood event was defined as medication initiation or hospitalization for a mood episode; YMRS score > 20 or MADRS score >20 at 2 consecutive assessments; or study discontinuation due to a mood event (Figure 1 and Figure 2).



In both studies, quetiapine was superior to placebo in increasing the time to recurrence of any mood event. The treatment effect was present for increasing time to recurrence of both manic and depressed episodes. The effect of quetiapine was independent of any specific subgroup (assigned mood stabilizer, sex, age, race, most recent bipolar episode, or rapid cycling course).



Figure 1: Kaplan-Meier Curves of Time to Recurrence of a Mood Event (Study 7)



Figure 2: Kaplan-Meier Curves of Time to Recurrence of a Mood Event (Study 8)

5.5 Metabolic Changes


Atypical antipsychotic drugs have been associated with metabolic changes that include hyperglycemia/diabetes mellitus, dyslipidemia, and body weight gain. While all of the drugs in the class have been shown to produce some metabolic changes, each drug has its own specific risk profile. In some patients, a worsening of more than one of the metabolic parameters of weight, blood glucose, and lipids was observed in clinical studies. Changes in these metabolic profiles should be managed as clinically appropriate.



Hyperglycemia and Diabetes Mellitus

Hyperglycemia, in some cases extreme and associated with ketoacidosis or hyperosmolar coma or death, has been reported in patients treated with atypical antipsychotics, including quetiapine. Assessment of the relationship between atypical antipsychotic use and glucose abnormalities is complicated by the possibility of an increased background risk of diabetes mellitus in patients with schizophrenia and the increasing incidence of diabetes mellitus in the general population. Given these confounders, the relationship between atypical antipsychotic use and hyperglycemia-related adverse reactions is not completely understood. However, epidemiological studies suggest an increased risk of  hyperglycemia-related adverse reactions in patients treated with the atypical antipsychotics. Precise risk estimates for hyperglycemia-related adverse reactions in patients treated with atypical antipsychotics are not available.



Patients with an established diagnosis of diabetes mellitus who are started on atypical antipsychotics should be monitored regularly for worsening of glucose control. Patients with risk factors for diabetes mellitus (e.g., obesity, family history of diabetes) who are starting treatment with atypical antipsychotics should undergo fasting blood glucose testing at the beginning of treatment and periodically during treatment. Any patient treated with atypical antipsychotics should be monitored for symptoms of hyperglycemia including polydipsia, polyuria, polyphagia, and weakness. Patients who develop symptoms of hyperglycemia during treatment with atypical antipsychotics should undergo fasting blood glucose testing. In some cases, hyperglycemia has resolved when the atypical antipsychotic was discontinued; however, some patients required continuation of anti-diabetic treatment despite discontinuation of the suspect drug.



Adults:

Table 3: Fasting Glucose – Proportion of Patients Shifting to >126 mg/dL in Short-Term (<12 weeks) Placebo-Controlled Studies1

Laboratory

Analyte

Category Change

(At Least Once)

from Baseline

Treatment

Arm

N

Patients

n (%)

Fasting

Glucose

Normal to High

(<100 mg/dL to

≥126 mg/dL)

Quetiapine

2907

71 (2.4%)

Placebo

1346

19 (1.4%)

Borderline to High

(≥ 100 mg/dL and

<126 mg/dL to

≥126 mg/dL)

Quetiapine

572

67 (11.7%)

Placebo

279

33 (11.8%)

1. Includes quetiapine and quetiapine extended-release data.

 

In a 24-week trial (active-controlled, 115 patients treated with quetiapine) designed to evaluate glycemic status with oral glucose tolerance testing of all patients, at Week 24 the incidence of a post-glucose challenge glucose level ≥200 mg/dL was 1.7% and the incidence of a fasting  blood glucose level ≥126 mg/dL was 2.6%. The mean change in fasting glucose from baseline was 3.2 mg/dL and mean change in 2-hour glucose from baseline was -1.8 mg/dL for quetiapine.

In 2 long-term placebo-controlled randomized withdrawal clinical trials for bipolar I disorder maintenance, mean exposure of 213 days for quetiapine (646 patients) and 152 days for placebo (680 patients), the mean change in glucose from baseline was +5.0 mg/dL for quetiapine and –0.05 mg/dL for placebo. The exposure-adjusted rate of any increased blood glucose level (>126 mg/dL) for patients more than 8 hours since a meal (however, some patients may not have been precluded from calorie intake from fluids during fasting period) was 18.0 per 100 patient years for quetiapine (10.7% of patients; n=556) and 9.5 for placebo per 100 patient years (4.6% of patients; n=581).





Children and Adolescents:

 

In a placebo-controlled quetiapine monotherapy study of adolescent patients (13 to 17 years of age) with schizophrenia (6 weeks duration), the mean change in fasting glucose levels for quetiapine (n=138) compared to placebo (n=67) was – 0.75 mg/dL versus –1.70 mg/dL. In a placebo-controlled quetiapine monotherapy study of children and adolescent patients (10 to 17 years of age) with bipolar mania (3 weeks duration), the mean change in fasting glucose level for quetiapine (n=170) compared to placebo (n=81) was 3.62 mg/dL versus –1.17 mg/dL. No patient in either study with a baseline normal fasting glucose level (<100 mg/dL) or a baseline borderline fasting glucose level (>100 mg/dL and <126 mg/dL) had a blood glucose level of >126 mg/dL.

In a placebo-controlled quetiapine extended-release monotherapy study (8 weeks duration) of children and adolescent patients (10 to 17 years of age) with bipolar depression, in which efficacy was not established, the mean change in fasting glucose levels for quetiapine extended-release (n=60) compared to placebo (n=62) was 1.8 mg/dL versus 1.6 mg/dL. In this study, there were no patients in the quetiapine extended-release or placebo-treated groups with a baseline normal fasting glucose level (<100 mg/dL) that had an increase in blood glucose level >126 mg/dL. There was one patient in the quetiapine extended-release group with a baseline borderline fasting glucose level (>100 mg/dL  and <126 mg/dL) who had an increase in blood glucose level of >126 mg/dL compared to zero patients in the placebo group.



Dyslipidemia



Adults:



Table 4 shows the percentage of adult patients with changes in total cholesterol, triglycerides, LDL-cholesterol, and HDL-cholesterol from baseline by indication in clinical trials with quetiapine.



Table 4: Percentage of Adult Patients with Shifts in Total Cholesterol, Triglycerides, LDL-Cholesterol, and HDL-Cholesterol from Baseline to Clinically Significant Levels by Indication



Laboratory

Analyte


Indication


Treatment Arm


N


Patients

n (%)


Total Cholesterol

≥240 mg/dL


Schizophrenia1


Quetiapine


137


24 (18%)


Placebo


92


6 (7%)


Bipolar Depression2


Quetiapine


463


41 (9%)


Placebo


250


15 (6%)


Triglycerides

≥200 mg/dL


Schizophrenia1


Quetiapine


120


26 (22%)


Placebo


70


11 (16%)


Bipolar Depression2


Quetiapine


436


59 (14%)


Placebo


232


20 (9%)


LDL-Cholesterol

≥160 mg/dL


Schizophrenia1


Quetiapine


na3


na3


Placebo


na3


na3


Bipolar Depression2


Quetiapine


465


29 (6%)


Placebo


256


12 (5%)


HDL-Cholesterol

≤40 mg/dL


Schizophrenia1


Quetiapine


na3


na3


Placebo


na3


na3


Bipolar Depression2


Quetiapine


393


56 (14%)


Placebo


214


29 (14%)

1. 6 weeks duration

2. 8 weeks duration

3. Parameters not measured in the quetiapine registration studies for schizophrenia.





Children and Adolescents:Table 5 shows the percentage of children and adolescents with changes in total cholesterol, triglycerides, LDL-cholesterol, and HDL-cholesterol from baseline in clinical trials with quetiapine.



Table 5: Percentage of Children and Adolescents with Shifts in Total Cholesterol, Triglycerides, LDL-Cholesterol, and HDL-Cholesterol from Baseline to Clinically Significant Levels





 


Laboratory

Analyte


Indication


Treatment Arm


N


Patients

n (%)


Total Cholesterol

≥200 mg/dL


Schizophrenia1


Quetiapine


107


13 (12%)


Placebo


56


1 (2%)


Bipolar Mania2


Quetiapine


159


16 (10%)


Placebo


66


2 (3%)


Triglycerides

≥150 mg/dL


Schizophrenia1


Quetiapine


103


17 (17%)


Placebo


51


4 (8%)


Bipolar Mania2


Quetiapine


149


32 (22%)


Placebo


60


8 (13%)


LDL-Cholesterol

≥130 mg/dL


Schizophrenia1


Quetiapine


112


4 (4%)


Placebo


60


1 (2%)


Bipolar Mania2


Quetiapine


169


13 (8%)


Placebo


74


4 (5%)


HDL-Cholesterol

≤40 mg/dL


Schizophrenia1


Quetiapine


104


16 (15%)


Placebo


54


10 (19%)


Bipolar Mania2


Quetiapine


154


16 (10%)


Placebo


61


4 (7%)


1. 13 to 17 years, 6 weeks duration

2. 10 to 17 years, 3 weeks duration



In a placebo-controlled quetiapine extended-release monotherapy study (8 weeks duration) of children and adolescent patients (10 to 17 years of age) with bipolar depression, in which efficacy was not established, the percentage of children and adolescents with shifts in total cholesterol (>200 mg/dL), triglycerides (>150 mg/dL), LDL-cholesterol (> 130 mg/dL), and HDL-cholesterol (<40 mg/dL) from baseline to clinically significant levels were: total cholesterol 8% (7/83) for quetiapine extended-release vs. 6% (5/84) for placebo; triglycerides 28% (22/80) for quetiapine extended-release vs. 9% (7/82) for placebo; LDL-cholesterol 2% (2/86) for quetiapine extended-release vs. 4% (3/85) for placebo and HDL-cholesterol 20% (13/65) for quetiapine extended-release vs. 15% (11/74) for placebo.



Weight Gain

Increases in weight have been observed in clinical trials. Patients receiving quetiapine should receive regular monitoring of weight.

Adults:

In clinical trials with quetiapine the following increases in weight have been reported.



Table 6: Proportion of Patients with Weight Gain ≥7% of Body Weight (Adults)



 


Vital

Sign


Indication


Treatment Arm


N


Patients

n (%)


Weight



Gain



7% of

 Body

Weight


Schizophrenia1


Quetiapine


391


89 (23%)


Placebo


206


11 (6%)


Bipolar Mania2

(monotherapy)


Quetiapine


209


44 (21%)


Placebo


198


13 (7%)


Bipolar Mania3

(adjunct therapy)


Quetiapine


196


25 (13%)


Placebo


203


8 (4%)


Bipolar Depression4


Quetiapine


554


47 (8%)


Placebo


295


7 (2%)




1. up to 6 weeks duration

2. up to 12 weeks duration

3. up to 3 weeks duration

4. up to 8 weeks duration



Children and Adolescents:

In two clinical trials with quetiapine, one in bipolar mania and one in schizophrenia, reported increases in weight are included in Table 7.



Table 7: Proportion of Patients with Weight Gain ≥7% of Body Weight (Children and Adolescents)

Vital Sign Indication Treatment Arm N Patients

 n (%)
Weight

Gain

≥ 7% 
of

Body Weight
Schizophrenia1 Quetiapine 111 23 (21%)
Placebo 44 3 (7%)
Bipolar Mania2 Quetiapine 157 18 (12%)
Placebo 68 0 (0%)


1. 6 weeks duration

2. 3 weeks duration



The mean change in body weight in the schizophrenia trial was 2.0 kg in the quetiapine group and -0.4 kg in the placebo group and in the bipolar mania trial, it was 1.7 kg in the quetiapine group and 0.4 kg in the placebo group.

In an open-label study that enrolled patients from the above two pediatric trials, 63% of patients (241/380) completed 26 weeks of therapy with quetiapine. After 26 weeks of treatment, the mean increase in body weight was 4.4 kg. Forty-five percent of the patients gained 7% of their body weight, not adjusted for normal growth. In order to adjust for normal growth over 26 weeks, an increase of at least 0.5 standard deviation from baseline in BMI was used as a measure of a clinically significant change; 18.3% of patients on quetiapine met this criterion after 26 weeks of treatment.



In a clinical trial for quetiapine extended-release in children and adolescents (10 to 17 years of age) with bipolar depression, in which efficacy was not established, the percentage of patients with weight gain 7% of body weight at any time was 15% (14/92) for quetiapine extended-release vs. 10% (10/100) for placebo. The mean change in body weight was 1.4 kg in the quetiapine extended-release group vs. 0.6 kg in the placebo group.



When treating pediatric patients with quetiapine for any indication, weight gain should be assessed against that expected for normal growth.

2.2 Recommended Dosing

The recommended initial dose, titration, dose range and maximum quetiapine dose for each approved indication is displayed in Table 1. After initial dosing, adjustments can be made upwards or downwards, if necessary, depending upon the clinical response and tolerability of the patient [see Clinical Studies (14.1 and 14.2)].



Table 1: Recommended Dosing for Quetiapine Tablets



Indication

Initial Dose and Titration

Recommended Dose

Maximum Dose

Schizophrenia-Adults

Day 1: 25 mg twice daily.

Increase in increments of 25 mg to 50 mg divided two or three times on Days 2 and 3 to range of 300 to 400 mg by Day 4.

Further adjustments can be made in increments of 25 to 50 mg twice a day, in intervals of not less than 2 days.

150 to 750 mg/day

750 mg/day

Schizophrenia- Adolescents (13 to 17 years)

Day 1: 25 mg twice daily.

Day 2: Twice daily dosing totaling 100 mg.

Day 3: Twice daily dosing totaling 200 mg.

Day 4: Twice daily dosing totaling 300 mg.

Day 5: Twice daily dosing totaling 400 mg.

Further adjustments should be in increments no greater than 100 mg/day within the recommended dose range of 400 to 800 mg/day.

Based on response and tolerability, may be administered three times daily.

400 to 800 mg/day

800 mg/day

Schizophrenia-Maintenance

Not applicable.

400 to 800 mg/day

800 mg/day

Bipolar Mania- Adults Monotherapy or as an adjunct to lithium or divalproex

Day 1: Twice daily dosing totaling 100 mg.

Day 2: Twice daily dosing totaling 200 mg.

Day 3: Twice daily dosing totaling 300 mg.

Day 4: Twice daily dosing totaling 400 mg.

Further dosage adjustments up to 800 mg/day by Day 6 should be in increments of no greater than 200 mg/day.

400 to 800 mg/day

800 mg/day

Bipolar Mania- Children and Adolescents (10 to 17 years), Monotherapy

Day 1: 25 mg twice daily.

Day 2: Twice daily dosing totaling 100 mg.

Day 3: Twice daily dosing totaling 200 mg.

Day 4: Twice daily dosing totaling 300 mg.

Day 5: Twice daily dosing totaling 400 mg.

Further adjustments should be in increments no greater than 100 mg/day within the recommended dose range of 400 to 600 mg/day.

Based on response and tolerability, may be administered three times daily.

400 to 600 mg/day

600 mg/day

Bipolar Depression- Adults

Administer once daily at bedtime.

Day 1: 50 mg

Day 2: 100 mg

Day 3: 200 mg

Day 4: 300 mg

300 mg/day

300 mg/day

Bipolar I Disorder Maintenance Therapy- Adults

Administer twice daily totaling 400 to 800 mg/day as adjunct to lithium or divalproex. Generally, in the maintenance phase, patients continued on the same dose on which they were stabilized.

400 to 800 mg/day

800 mg/day



Maintenance Treatment for Schizophrenia and Bipolar I Disorder

Maintenance Treatment –
Patients should be periodically reassessed to determine the need for maintenance treatment and the appropriate dose for such treatment [see Clinical Studies (14.2)].

5.6 Tardive Dyskinesia


  

A syndrome of potentially irreversible, involuntary, dyskinetic movements may develop in patients treated with antipsychotic drugs, including quetiapine. Although the prevalence of the syndrome appears to be highest among the elderly, especially elderly women, it is impossible to rely upon prevalence estimates to predict, at the inception of antipsychotic treatment, which patients are likely to develop the syndrome. Whether antipsychotic drug products differ in their potential to cause tardive dyskinesia is unknown.



The risk of developing tardive dyskinesia and the likelihood that it will become irreversible are believed to increase as the duration of treatment and the total cumulative dose of antipsychotic drugs administered to the patient increase. However, the syndrome can develop, although much less commonly, after relatively brief treatment periods at low doses or may even arise after discontinuation of treatment.

 

Tardive dyskinesia may remit, partially or completely, if antipsychotic treatment is withdrawn. Antipsychotic treatment, itself, however, may suppress (or partially suppress) the signs and symptoms of the syndrome and thereby may possibly mask the underlying process. The effect that symptomatic suppression has upon the long-term course of the syndrome is unknown. 



Given these considerations, quetiapine should be prescribed in a manner that is most likely to minimize the occurrence of tardive dyskinesia. Chronic antipsychotic treatment should generally be reserved for patients who appear to suffer from a chronic illness that (1) is known to respond to antipsychotic drugs, and (2) for whom alternative, equally effective, but potentially less harmful treatments are not available or appropriate. In patients who do require chronic treatment, the smallest dose and the shortest duration of treatment producing a satisfactory clinical response should be sought. The need for continued treatment should be reassessed periodically.



If signs and symptoms of tardive dyskinesia appear in a patient on quetiapine, drug discontinuation should be considered. However, some patients may require treatment with quetiapine despite the presence of the syndrome.

8.7 Hepatic Impairment

Since quetiapine is extensively metabolized by the liver, higher plasma levels are expected in patients with hepatic impairment. In this population, a low starting dose of 25 mg/day is recommended and the dose may be increased in increments of 25 mg/day - 50 mg/day [see Dosage and Administration (2.4) and Clinical Pharmacology (12.3)].

5.15 Hyperprolactinemia

Adults:

During clinical trials with quetiapine, the incidence of shifts in prolactin levels to a clinically significant value occurred in 3.6% (158/4416) of patients treated with quetiapine compared to 2.6% (51/1968) on placebo.



Children and Adolescents:

In acute placebo-controlled trials in children and adolescent patients with bipolar mania (3-week duration) or schizophrenia (6-week duration), the incidence of shifts in prolactin levels to a value (>20 µg/L males; > 26 µg/L females at any time) was 13.4% (18/134) for quetiapine compared to 4% (3/75) for placebo in males and 8.7% (9/104) for quetiapine compared to 0% (0/39) for placebo in females.



Like other drugs that antagonize dopamine D2 receptors, quetiapine elevates prolactin levels in some patients and the elevation may persist during chronic administration. Hyperprolactinemia, regardless of etiology, may suppress hypothalamic GnRH, resulting in reduced pituitary gonadotrophin secretion. This, in turn, may inhibit reproductive function by impairing gonadal steroidogenesis in both female and male patients. Galactorrhea, amenorrhea, gynecomastia, and impotence have been reported in patients receiving prolactin-elevating compounds. Long-standing hyperprolactinemia when associated with hypogonadism may lead to decreased bone density in both female and male subjects.





Tissue culture experiments indicate that approximately one-third of human breast cancers are prolactin dependent in vitro, a factor of potential importance if the prescription of these drugs is considered in a patient with previously detected breast cancer. As is common with compounds which increase prolactin release, mammary gland, and pancreatic islet cell neoplasia (mammary adenocarcinomas, pituitary, and pancreatic adenomas) was observed in carcinogenicity studies conducted in mice and rats. Neither clinical studies nor epidemiologic studies conducted to date have shown an association between chronic administration of this class of drugs and tumorigenesis in humans, but the available evidence is too limited to be conclusive [see Nonclinical Toxicology (13.1)].

12.1 Mechanism of Action

The mechanism of action of quetiapine in the listed indications is unclear. However, the efficacy of quetiapine in these indications could be mediated through a combination of dopamine type 2 (D2 ) and serotonin type 2 (5HT2 ) antagonism. The active metabolite, N-desalkyl quetiapine (norquetiapine), has  similar activity at D2, but greater activity at 5HT2A receptors, than the parent drug (quetiapine).

9.1 Controlled Substance

Quetiapine is not a controlled substance.

5 Warnings and Precautions (5 WARNINGS AND PRECAUTIONS)

Cerebrovascular Adverse Reactions: Increased incidence of cerebrovascular adverse reactions (e.g., stroke, transient ischemic attack) has been seen in elderly patients with dementia-related psychoses treated with atypical antipsychotic drugs (5.3)

Neuroleptic Malignant Syndrome (NMS): Manage with immediate discontinuation and close monitoring (5.4)

Metabolic Changes: Atypical antipsychotics have been associated with metabolic changes. These metabolic changes include hyperglycemia, dyslipidemia, and weight gain (5.5)

             • Hyperglycemia and Diabetes Mellitus: Monitor patients for symptoms of hyperglycemia including polydipsia, polyuria, polyphagia, and weakness. Monitor glucose regularly in patients with diabetes or at risk for diabetes

             • Dyslipidemia: Undesirable alterations have been observed in patients treated with atypical antipsychotics. Appropriate clinical monitoring is recommended, including fasting blood lipid testing at the beginning of, and periodically, during treatment

             • Weight Gain: Gain in body weight has been observed; clinical monitoring of weight is recommended

• Tardive Dyskinesia: Discontinue if clinically appropriate (5.6)

Hypotension: Use with caution in patients with known cardiovascular or cerebrovascular disease (5.7)

Increased Blood Pressure in Children and Adolescents: Monitor blood pressure at the beginning of, and periodically during treatment in children and adolescents (5.9)

Leukopenia, Neutropenia and Agranulocytosis: Monitor complete blood count frequently during the first few months of treatment in patients with a pre-existing low white cell count or a history of leukopenia/neutropenia and discontinue quetiapine at the first sign of a decline in WBC in absence of other causative factors (5.10)

Cataracts: Lens changes have been observed in patients during long-term quetiapine treatment. Lens examination is recommended when starting treatment and at 6-month intervals during chronic treatment (5.11)

Anticholinergic (antimuscarinic) Effects: Use with caution with other anticholinergic drugs and in patients with urinary retention, prostatic hypertrophy, or constipation (5.20)



2 Dosage and Administration (2 DOSAGE AND ADMINISTRATION)

• Quetiapine tablets can be taken with or without food (2.1)



Indication

Initial Dose

Recommended

Dose

Maximum

Dose

Schizophrenia-Adults (2.2)

25 mg twice

daily

150 to 750 mg/day

750 mg/day

Schizophrenia-

Adolescents (13-17 years) (2.2)

25 mg twice

daily

 

400 to  800 mg/day

800 mg/day

Bipolar Mania- Adults

Monotherapy or as an adjunct to lithium or

divalproex (2.2)

 

50 mg twice

daily

 

400 to 800

mg/day

 

800 mg/day

 

Bipolar Mania-

Children and

Adolescents (10 to 17 years), Monotherapy (2.2)

25 mg twice

daily

400 to 600 mg/day

600 mg/day

Bipolar Depression-

Adults (2.2)

50 mg once

daily at bedtime

300 mg/day

300 mg/day



Geriatric Use: Consider a lower starting dose (50 mg/day), slower titration and careful monitoring during the initial dosing period in the elderly (2.3, 8.5)

Hepatic Impairment: Lower starting dose (25 mg/day) and slower titration may be needed (2.4, 8.7, 12.3)



6.2 Postmarketing Experience


The following adverse reactions were identified during post approval of quetiapine. Because these reactions are reported voluntarily from a population of uncertain size, it is not always possible to reliably estimate their frequency or establish a causal relationship to drug exposure.



Adverse reactions reported since market introduction which were temporally related to quetiapine therapy include anaphylactic reaction, cardiomyopathy, drug reaction with eosinophilia and systemic symptoms (DRESS), hyponatremia, myocarditis, nocturnal enuresis, pancreatitis, retrograde amnesia, rhabdomyolysis, syndrome of inappropriate antidiuretic hormone secretion (SIADH), Stevens-Johnson syndrome (SJS),  toxic epidermal necrolysis (TEN), decreased platelet count, serious liver reactions (including hepatitis, liver necrosis, and hepatic failure), agranulocytosis, intestinal obstruction, ileus, colon ischemia, urinary retention, sleep apnea, acute generalized exanthematous pustulosis (AGEP), confusional state and cutaneous vasculitis.

10.2 Management of Overdosage

Establish and maintain an airway and ensure adequate oxygenation and ventilation. Cardiovascular monitoring should commence immediately and should include continuous electrocardiographic monitoring to detect possible arrhythmias.

Appropriate supportive measures are the mainstay of management. For the most up-to-date information on the management of quetiapine tablets  overdosage, contact a certified Regional Poison Control Center (1-800-222-1222).



5.19 Discontinuation Syndrome

Acute withdrawal symptoms, such as insomnia, nausea, and vomiting have been described after abrupt cessation of atypical antipsychotic drugs, including quetiapine. In short-term placebo-controlled, monotherapy clinical trials with quetiapine extended-release that included a discontinuation phase which evaluated discontinuation symptoms, the aggregated incidence of patients experiencing one or more discontinuation symptoms after abrupt cessation was 12.1% (241/1993) for quetiapine extended-release and 6.7% (71/1065) for placebo. The incidence of the individual adverse reactions (i.e., insomnia, nausea, headache, diarrhea, vomiting, dizziness, and irritability) did not exceed 5.3% in any treatment group and usually resolved after 1 week post-discontinuation. Gradual withdrawal is advised.[see Use in Specific Populations (8.1)]

6.1 Clinical Study Experience

Because clinical studies are conducted under widely varying conditions, adverse reaction rates observed in the clinical studies of a drug cannot be directly compared to rates in the clinical studies of another drug and may not reflect the rates observed in practice. 

Adults:

The information below is derived from a clinical trial database for quetiapine consisting of over 4300 patients. This database includes 698 patients exposed to quetiapine for the treatment of bipolar depression, 405 patients exposed to quetiapine for the treatment of acute bipolar mania (monotherapy and adjunct therapy), 646 patients exposed to quetiapine for the maintenance treatment of bipolar I disorder as adjunct therapy, and approximately 2600 patients and/or normal subjects exposed to 1 or more doses of quetiapine for the treatment of schizophrenia.



Of these approximately 4,300 subjects, approximately 4000 (2300 in schizophrenia, 405 in acute bipolar mania, 698 in bipolar depression, and 646 for the maintenance treatment of bipolar I disorder) were patients who participated in multiple dose effectiveness trials, and their experience corresponded to approximately 2400 patient-years. The conditions and duration of treatment with quetiapine varied greatly and included (in overlapping categories) open-label and double-blind phases of studies, inpatients and outpatients, fixed-dose and dose-titration studies, and short-term or longer-term exposure. Adverse reactions were assessed by collecting adverse reactions, results of physical examinations, vital signs, weights, laboratory analyses, ECGs, and results of ophthalmologic examinations.



The stated frequencies of adverse reactions represent the proportion of individuals who experienced, at least once, an adverse reaction of the type listed.





Adverse Reactions Associated with Discontinuation of Treatment in Short-Term, Placebo-Controlled Trials



Schizophrenia: Overall, there was little difference in the incidence of discontinuation due to adverse reactions (4% for quetiapine vs. 3% for placebo) in a pool of controlled trials. However, discontinuations due to somnolence (0.8% quetiapine vs. 0% placebo) and hypotension (0.4% quetiapine vs. 0% placebo) were considered to be drug related [see Warnings and Precautions (5.7 and 5.19)].



Bipolar Disorder:



Mania: Overall, discontinuations due to adverse reactions were 5.7% for quetiapine vs. 5.1% for placebo in monotherapy and 3.6% for quetiapine vs. 5.9% for placebo in adjunct therapy.

Depression: Overall, discontinuations due to adverse reactions were 12.3% for quetiapine 300 mg vs. 19.0% for quetiapine 600 mg and 5.2% for placebo.



Commonly Observed Adverse Reactions in Short-Term, Placebo-Controlled Trials:



In the acute therapy of schizophrenia (up to 6 weeks) and bipolar mania (up to 12 weeks) trials, the most commonly observed adverse reactions associated with the use of quetiapine monotherapy (incidence of 5% or greater) and observed at a rate on quetiapine at least twice that of placebo were somnolence (18%), dizziness (11%), dry mouth (9%), constipation (8%), ALT increased (5%), weight gain (5%), and dyspepsia (5%).



Adverse Reactions Occurring at an Incidence of 2% or More Among quetiapine Treated Patients in Short-Term, Placebo-Controlled Trials:



The prescriber should be aware that the figures in the tables and tabulations cannot be used to predict the incidence of side effects in the course of usual medical practice where patient characteristics and other factors differ from those that prevailed in the clinical trials. Similarly, the cited frequencies cannot be compared with figures obtained from other clinical investigations involving different treatments, uses, and investigators. The cited figures, however, do provide the prescribing physician with some basis for estimating the relative contribution of drug and non-drug factors to the side effect incidence in the population studied.



Table 9 enumerates the incidence, rounded to the nearest percent, of adverse reactions that occurred during acute therapy of schizophrenia (up to 6 weeks) and bipolar mania (up to 12 weeks) in 2% or more of patients treated with quetiapine (doses ranging from 75 to 800 mg/day) where the incidence in patients treated with quetiapine was greater than the incidence in placebo-treated patients.





Table 9: Adverse Reaction Incidence in 3- to 12-Week Placebo-Controlled Clinical Trials for the Treatment of Schizophrenia and Bipolar Mania (Monotherapy)

Preferred Term

Quetiapine

(n=719)


PLACEBO

(n=404)
Headache

21%


14%
Agitation

20%


17%
Somnolence

18%


8%
Dizziness

11%


5%
Dry Mouth

9%


3%
Constipation

8%


3%
Pain

7%


5%
Tachycardia

6%


4%
Vomiting

6%


5%
Asthenia

5%


3%
Dyspepsia

5%


1%
Weight Gain

5%


1%
ALT Increased

5%


1%
Anxiety

4%


3%
Pharyngitis

4%


3%
Rash

4%


2%
Abdominal Pain

4%


1%
Postural Hypotension

4%


1%
Back Pain

3%


1%
AST Increased

3%


1%
Rhinitis

3%


1%
Fever

2%


1%
Gastroenteritis

2%


0%
Amblyopia

2%


1%


In the acute adjunct therapy of bipolar mania (up to 3 weeks) studies, the most commonly observed adverse reactions associated with the use of quetiapine (incidence of 5% or greater) and observed at a rate on quetiapine at least twice that of placebo were somnolence (34%), dry mouth (19%), asthenia (10%), constipation (10%), abdominal pain (7%), postural hypotension (7%), pharyngitis (6%), and weight gain (6%).

Table 10 enumerates the incidence, rounded to the nearest percent, of adverse reactions that occurred during therapy (up to 3 weeks) of acute mania in 2% or more of patients treated with quetiapine (doses ranging from 100 to 800 mg/day) used as adjunct therapy to lithium and divalproex where the incidence in patients treated with quetiapine was greater than the incidence in placebo-treated patients.



Table 10: Adverse Reaction Incidence in 3-Week Placebo-Controlled Clinical Trials for the Treatment of Bipolar Mania (Adjunct Therapy)





Preferred Term


Quetiapine

(n=196)


PLACEBO

(n=203)


Somnolence


34%


9%


Dry Mouth


19%


3%


Headache


17%


13%


Asthenia


10%


4%


Constipation


10%


5%


Dizziness


9%


6%


Tremor


8%


7%


Abdominal Pain


7%


3%


Postural Hypotension


7%


2%


Agitation


6%


4%


Weight Gain


6%


3%


Pharyngitis


6%


3%


Back Pain


5%


3%


Hypertonia


4%


3%


Rhinitis


4%


2%


Peripheral Edema


4%


2%


Twitching


4%


1%


Dyspepsia


4%


3%


Depression


3%


2%


Amblyopia


3%


2%


Speech Disorder


3%


1%


Hypotension


3%


1%


Hormone Level Altered


3%


0%


Heaviness


2%


1%


Infection


2%


1%


Fever


2%


1%


Hypertension


2%


1%


Tachycardia


2%


1%


Increased Appetite


2%


1%


Hypothyroidism


2%


1%


Incoordination


2%


1%


Thinking Abnormal


2%


0%


Anxiety


2%


0%


Ataxia


2%


0%


Sinusitis


2%


1%


Sweating


2%


1%


Urinary Tract Infection


2%


1%


In bipolar depression studies (up to 8 weeks), the most commonly observed adverse reactions associated with the use of quetiapine (incidence of 5% or greater) and observed at a rate on quetiapine at least twice that of placebo were somnolence (57%), dry mouth (44%), dizziness (18%), constipation (10%), and lethargy (5%).



Table 11 enumerates the incidence, rounded to the nearest percent, of adverse reactions that occurred during therapy (up to 8 weeks) of bipolar depression in 2% or more of patients treated with quetiapine (doses of 300 and 600 mg/day) where the incidence in patients treated with quetiapine was greater than the incidence in placebo-treated patients.

Table 11: Adverse Reaction Incidence in 8-Week Placebo-Controlled Clinical Trials for the Treatment of Bipolar Depression



Preferred Term


Quetiapine

 (n=698)


PLACEBO

(n=347)
Somnolence1



57%


15%
Dry Mouth



44%


13%
Dizziness



18%


7%
Constipation



10%


4%
Fatigue



10%


8%
Dyspepsia



7%


4%
Vomiting



5%


4%
Increased Appetite



5%


3%
Lethargy



5%


2%
Nasal Congestion



5%


3%
Orthostatic Hypotension



4%


3%
Akathisia



4%


1%
Palpitations



4%


1%
Vision Blurred



4%


2%
Weight increased



4%


1%
Arthralgia



3%


2%
Paraesthesia



3%


2%
Cough



3%


1%
Extrapyramidal Disorder



3%


1%
Irritability



3%


1%
Dysarthria



3%


0%
Hypersomnia



3%


0%
Sinus Congestion



2%


1%
Abnormal Dreams



2%


1%
Tremor



2%


1%
Gastroesophageal Reflux Disease



2%


1%
Pain in Extremity



2%


1%
Asthenia



2%


1%
Balance Disorder



2%


1%
Hypoesthesia



2%


1%
Dysphagia



2%


0%
Restless Legs Syndrome



2%


0%


1. Somnolence combines adverse reaction terms somnolence and sedation



Explorations for interactions on the basis of gender, age, and race did not reveal any clinically meaningful differences in the adverse reaction occurrence on the basis of these demographic factors.

Dose Dependency of Adverse Reactions in Short-Term, Placebo-Controlled Trials



Dose-related Adverse Reactions: Spontaneously elicited adverse reaction data from a study of schizophrenia comparing five fixed doses of quetiapine (75 mg, 150 mg, 300 mg, 600 mg, and 750 mg/day) to placebo were explored for doserelatedness of adverse reactions. Logistic regression analyses revealed a positive dose response (p<0.05) for the following adverse reactions: dyspepsia, abdominal pain, and weight gain.



Adverse Reactions in clinical trials with quetiapine and not listed elsewhere in the label:



The following adverse reactions have also been reported with quetiapine: nightmares, hypersensitivity, and elevations in serum creatine phosphokinase (not associated with NMS), galactorrhea, bradycardia (which may occur at or near initiation of treatment and be associated with hypotension and/ or syncope) decreased platelets, somnambulism (and other related events), elevations in gamma-GT levels, hypothermia, dyspnea, eosinophilia, urinary retention, intestinal obstruction and priapism.



Extrapyramidal Symptoms (EPS):



Dystonia



Class Effect: Symptoms of dystonia, prolonged abnormal contractions of muscle groups, may occur in susceptible individuals during the first few days of treatment. Dystonic symptoms include: spasm of the neck muscles, sometimes progressing to tightness of the throat, swallowing difficulty, difficulty breathing, and/or protrusion of the tongue. While these symptoms can occur at low doses, they occur more frequently and with greater severity with high potency and at higher doses of first generation antipsychotic drugs. An elevated risk of acute dystonia is observed in males and younger age groups.



Four methods were used to measure EPS: (1) Simpson-Angus total score (mean change from baseline) which evaluates Parkinsonism and akathisia, (2) Barnes Akathisia Rating Scale (BARS) Global Assessment Score, (3) incidence of spontaneous complaints of EPS (akathisia, akinesia, cogwheel rigidity, extrapyramidal syndrome, hypertonia, hypokinesia, neck rigidity, and tremor), and (4) use of anticholinergic medications to treat EPS.



Adults: Data from one 6-week clinical trial of schizophrenia comparing five fixed doses of quetiapine (75, 150, 300, 600, 750 mg/day) provided evidence for the lack of extrapyramidal symptoms (EPS) and dose-relatedness for EPS associated with quetiapine treatment. Three methods were used to measure EPS: (1) Simpson- Angus total score (mean change from baseline) which evaluates Parkinsonism and akathisia, (2) incidence of spontaneous complaints of EPS (akathisia, akinesia, cogwheel rigidity, extrapyramidal syndrome, hypertonia, hypokinesia, neck rigidity, and tremor), and (3) use of anticholinergic medications to EPS.





In Table 12, dystonic event included nuchal rigidity, hypertonia, dystonia, muscle rigidity, oculogyration; parkinsonism included cogwheel rigidity, tremor, drooling, hypokinesia; akathisia included akathisia, psychomotor agitation; dyskinetic event included tardive dyskinesia, dyskinesia, choreoathetosis; and other extrapyramidal event included restlessness, extrapyramidal disorder, movement disorder.



Table 12: Adverse Reactions Associated with EPS in a Short-Term, Placebo-Controlled Multiple Fixed-Dose Phase III Schizophrenia Trial (6 weeks duration)



Preferred Term


Quetiapine

75 mg/day

(N=53)


Quetiapine

150 mg/day

(N=48)


Quetiapine

300 mg/day

(N=52)


Quetiapine

600 mg/day

(N=51)


Quetiapine

750 mg/day

(N=54)


 

Placebo

(N=51)


 


n


%


n


%


n


%


n


%


n


%


n


%


Dystonic event


2


3.8


2


4.2


0


0.0


2


3.9


3


5.6


4


7.8


Parkinsonism


2


3.8


0


0.0


1


1.9


1


2.0


1


1.9


4


7.8


Akathisia


1


1.9


1


2.1


0


0.0


0


0.0


1


1.9


4


7.8


Dyskinetic event


2


3.8


0


0.0


0


0.0


1


2.0


0


0.0


0


0.0


Other extrapyramidal event


2


3.8


0


0.0


3


5.8


3


5.9


1


1.9


4


7.8

  

Parkinsonism incidence rates as measured by the Simpson-Angus total score for placebo and the five fixed doses (75, 150, 300, 600, 750 mg/day) were: -0.6; -1.0, -1.2; -1.6; -1.8, and -1.8. The rate of anticholinergic medication use to treat EPS for placebo and the five fixed doses was: 14%; 11%; 10%; 8%; 12%, and 11%.



In six additional placebo-controlled clinical trials (3 in acute mania and 3 in schizophrenia) using variable doses of quetiapine, there were no differences between the quetiapine and placebo treatment groups in the incidence of EPS, as assessed by Simpson-Angus total scores, spontaneous complaints of EPS and the use of concomitant anticholinergic medications to treat EPS.



In two placebo-controlled clinical trials for the treatment of bipolar depression using 300 mg and 600 mg of quetiapine, the incidence of adverse reactions potentially related to EPS was 12% in both dose groups and 6% in the placebo group. In these studies, the incidence of the individual adverse reactions (akathisia, extrapyramidal disorder, tremor, dyskinesia, dystonia, restlessness, muscle contractions involuntary, psychomotor hyperactivity, and muscle rigidity) were generally low and did not exceed 4% in any treatment group.



The 3 treatment groups were similar in mean change in SAS total score and BARS Global Assessment score at the end of treatment. The use of concomitant anticholinergic medications was infrequent and similar across the three treatment groups.

Children and Adolescents



The information below is derived from a clinical trial database for quetiapine consisting of over 1000 pediatric patients. This database includes 677 patients exposed to quetiapine for the treatment of schizophrenia and 393 children and adolescents (10 to 17 years old) exposed to quetiapine for the treatment of acute bipolar mania.



Adverse Reactions Associated with Discontinuation of Treatment in Short-Term, Placebo-Controlled Trials

Schizophrenia: The incidence of discontinuation due to adverse reactions for quetiapine-treated and placebo-treated patients was 8.2% and 2.7%, respectively. The adverse event leading to discontinuation in 1% or more of patients on quetiapine and at a greater incidence than placebo was somnolence (2.7% and 0% for placebo).

Bipolar I Mania: The incidence of discontinuation due to adverse reactions for quetiapine-treated and placebo-treated patients was 11.4% and 4.4%, respectively. The adverse reactions leading to discontinuation in 2% or more of patients on quetiapine and at a greater incidence than placebo were somnolence (4.1% vs. 1.1%) and fatigue (2.1% vs. 0).



Commonly Observed Adverse Reactions in Short-Term, Placebo-Controlled Trials



In therapy for schizophrenia (up to 6 weeks), the most commonly observed adverse reactions associated with the use of quetiapine in adolescents (incidence of 5% or greater and quetiapine incidence at least twice that for placebo) were somnolence (34%), dizziness (12%), dry mouth (7%), tachycardia ( 7%).



In bipolar mania therapy (up to 3 weeks) the most commonly observed adverse reactions associated with  the use of quetiapine in children and adolescents (incidence of 5% or greater and quetiapine incidence at least twice that for placebo) were somnolence (53%), dizziness (18%), fatigue (11%), increased appetite(9%), nausea (8%), vomiting (8%), tachycardia (7%), dry mouth (7%), and weight increased (6%).



In an acute (8-week) quetiapine extended-release trial in children and adolescents (10 to 17 years of age) with bipolar depression, in which efficacy was not established, the most commonly observed adverse reactions associated with the use of quetiapine extended-release (incidence of 5% or greater and at least twice that for placebo) were dizziness 7%, diarrhea 5%, fatigue 5%, and nausea 5%.



Adverse Reactions Occurring at an Incidence of ≥ 2% among Quetiapine Treated Patients in Short-Term, Placebo-Controlled Trials

Schizophrenia (Adolescents, 13 to 17 years old)



The following findings were based on a 6-week placebo-controlled trial in which quetiapine was administered in either doses of 400 or 800 mg/day.

Table 13 enumerates the incidence, rounded to the nearest percent, of adverse reactions that occurred during therapy (up to 6 weeks) of schizophrenia in 2% or more of patients treated with quetiapine (doses of 400 or 800 mg/day) where the incidence in patients treated with quetiapine was at least twice the incidence in placebo-treated patients.

Adverse reactions that were potentially dose-related with higher frequency in the 800 mg group compared to the 400 mg group included dizziness (8% vs. 15%), dry mouth (4% vs. 10%), and tachycardia (6% vs. 11%).



Table 13: Adverse Reaction Incidence in a 6-Week Placebo-Controlled Clinical Trial for the Treatment of Schizophrenia in Adolescent Patients



Preferred Term


Quetiapine

400 mg

(n=73)


Quetiapine

800 mg

(n=74)


Placebo

(n=75)


Somnolence1


33%


35%


11%


Dizziness


8%


15%


5%


Dry Mouth


4%


10%


1%


Tachycardia2


6%


11%


0%


Irritability


3%


5%


0%


Arthralgia


1%


3%


0%


Asthenia


1%


3%


1%


Back Pain


1%


3%


0%


Dyspnea


0%


3%


0%


Abdominal Pain


3%


1%


0%


Anorexia


3%


1%


0%


Tooth Abscess


3%


1%


0%


Dyskinesia


3%


0%


0%


Epistaxis


3%


0%


1%


Muscle Rigidity


3%


0%


0%

1. Somnolence combines adverse reaction terms somnolence and sedation.

2. Tachycardia combines adverse reaction terms tachycardia and sinus tachycardia.



Bipolar I Mania (Children and Adolescents 10 to 17 years old)



The following findings were based on a 3-week placebo-controlled trial in which quetiapine was administered in either doses of 400 or 600 mg/day.



Commonly Observed Adverse Reactions

In bipolar mania therapy (up to 3 weeks) the most commonly observed adverse reactions associated with the use of quetiapine in children and adolescents (incidence of 5% or greater and quetiapine incidence at least twice that for placebo) were somnolence (53%), dizziness (18%), fatigue (11%), increased appetite (9%), nausea (8%), vomiting (8%), tachycardia (7%), dry mouth (7%), and weight increased (6%).



Table 14 enumerates the incidence, rounded to the nearest percent, of adverse reactions that occurred during therapy (up to 3 weeks) of bipolar mania in 2% or more of patients treated with quetiapine (doses of 400 or 600 mg/day) where the incidence in patients treated with quetiapine was greater than the incidence in placebo-treated patients.

Adverse reactions that were potentially dose-related with higher frequency in the 600 mg group compared to the 400 mg group included somnolence (50% vs. 57%), nausea (6% vs. 10%), and tachycardia (6% vs. 9%).

Table 14: Adverse Reactions in a 3-Week Placebo-Controlled Clinical Trial for the Treatment of Bipolar Mania in Children and Adolescent Patients



Preferred Term


Quetiapine

400 mg

(n=95)


Quetiapine

600 mg

(n=98)


Placebo

(n=90)


Somnolence1


50%


57%


14%


Dizziness


19%


17%


2%


Nausea


6%


10%


4%


Fatigue


14%


9%


4%


Increased Appetite


10%


9%


1%


Tachycardia2


6%


9%


1%


Dry Mouth


7%


7%


0%


Vomiting


8%


7%


3%


Nasal Congestion


3%


6%


2%


Weight Increased


6%


6%


0%


Irritability


3%


5%


1%


Pyrexia


1%


4%


1%


Aggression


1%


3%


0%


Musculoskeletal Stiffness


1%


3%


1%


Accidental Overdose


0%


2%


0%


Acne


3%


2%


0%


Arthralgia


4%


2%


1%


Lethargy


2%


2%


0%


Pallor


1%


2%


0%


Stomach Discomfort


4%


2%


1%


Syncope


2%


2%


0%


Vision Blurred


3%


2%


0%


Constipation


4%


2%


0%


Ear Pain


2%


0%


0%


Paresthesia


2%


0%


0%


Sinus Congestion


3%


0%


0%


Thirst


2%


0%


0%

1. Somnolence combines adverse reactions terms somnolence and sedation.

2. Tachycardia combines adverse reaction terms tachycardia and sinus tachycardia.



Extrapyramidal Symptoms:



In a short-term placebo-controlled monotherapy trial in adolescent patients with schizophrenia (6-week duration), the aggregated incidence of extrapyramidal symptoms was 12.9% (19/147) for quetiapine and 5.3% (4/75) for placebo, though the incidence of the individual adverse reactions (akathisia, tremor, extrapyramidal disorder, hypokinesia, restlessness, psychomotor hyperactivity, muscle rigidity, dyskinesia) did not exceed 4.1% in any treatment group. In a short-term placebo-controlled monotherapy trial in children and adolescent patients with bipolar mania (3-week duration), the aggregated incidence of extrapyramidal symptoms was 3.6% (7/193) or quetiapine and 1.1% (1/90) for placebo.



Table 15 presents a listing of patients with adverse reactions potentially associated with extrapyramidal symptoms in the short-term placebo-controlled monotherapy trial in adolescent patients with schizophrenia (6-week duration).



In Tables 15 – 16, dystonic event included nuchal rigidity, hypertonia, and muscle rigidity; parkinsonism included cogwheel rigidity and tremor; akathisia included akathisia only; dyskinetic event included tardive dyskinesia, dyskinesia, and choreoathetosis; and other extrapyramidal event included restlessness and extrapyramidal disorder.



Table 15: Adverse Reactions Associated with Extrapyramidal Symptoms in the Placebo-Controlled Trial in Adolescent Patients with Schizophrenia (6-week duration)



 
Preferred Term

Quetiapine

400 mg/day

(N=73)


Quetiapine

800 mg/day

(N=74)


All

Quetiapine

 (N=147)


Placebo

(N=75)


n


%


n


%


n


%


n


%
Dystonic event

2


2.7


0


0.0


2


1.4


0


0.0
Parkinsonism

4


5.5


4


5.4


8


5.4


2


2.7
Akathisia

3


4.1


4


5.4


7


4.8


3


4.0
Dyskinetic event

2


2.7


0


0.0


2


1.4


0


0.0
Other Extrapyramidal Event

2


2.7


2


2.7


4


2.7


0


0.0


Table 16 presents a listing of patients with adverse reactions associated with extrapyramidal symptoms in a short-term placebo-controlled monotherapy trial in children and adolescent patients with bipolar mania (3-week duration).



Table 16: Adverse Reactions Associated with Extrapyramidal Symptoms in a Placebo-Controlled Trial in Children and Adolescent Patients with Bipolar I Mania (3-week duration)

Preferred Term1 Quetiapine

400 mg/day

(N=95)
Quetiapine

600 mg/day

(N=98)
All

Quetiapine

(N=193)
Placebo

(N=90)


n


%


n


%


n


%


n


%


Parkinsonism


2


2.1


1


1.0


3


1.6


1


1.1


Akathisia


1


1.0


1


1.0


2


1.0


0


0.0


Other Extrapyramidal Event


1


1.1


1


1.0


2


1.0


0


0.0

1. There were no adverse reactions with the preferred term of dystonic or dyskinetic events.

  









Laboratory, ECG, and vital sign changes observed in clinical studies



Laboratory Changes:



Neutrophil Counts



Adults: In placebo-controlled monotherapy clinical trials involving 3368 patients on quetiapine and 1515 on placebo, the incidence of at least one occurrence of neutrophil count <1.0 x 109/L among patients with a normal baseline neutrophil count and at least one available follow up laboratory measurement was 0.3% (10/2967) in patients treated with quetiapine, compared to 0.1% (2/1349) in patients treated with placebo [see Warnings and Precautions (5.10)].



Transaminase Elevations

Adults: Asymptomatic, transient, and reversible elevations in serum transaminases (primarily ALT) have been reported. In schizophrenia trials in adults, the proportions of patients with transaminase elevations of > 3 times the upper limits of the normal reference range in a pool of 3- to 6-week placebo-controlled trials were approximately 6% (29/483) for quetiapine compared to 1% (3/194) for placebo. In acute bipolar mania trials in adults, the proportions of patients with transaminase elevations of > 3 times the upper limits of the normal reference range in a pool of 3- to 12-week placebo-controlled trials were approximately 1% for both quetiapine (3/560) and placebo (3/294). These hepatic enzyme elevations usually occurred within the first 3 weeks of drug treatment and promptly returned to pre-study levels with ongoing treatment with quetiapine. In bipolar depression trials, the proportions of patients with transaminase elevations of > 3 times the upper limits of the normal reference range in two 8-week placebo-controlled trials was 1% (5/698) for quetiapine and 2% (6/347) for placebo.



Decreased Hemoglobin

Adults: In short-term placebo-controlled trials, decreases in hemoglobin to <13 g/dL males, <12 g/dL females on at least one occasion occurred in 8.3% (594/7155) of quetiapine-treated patients compared to 6.2% (219/3536) of patients treated with placebo. In a database of controlled and uncontrolled clinical trials, decreases in hemoglobin to <13 g/dL males, <12 g/dL females on at least one occasion occurred in 11% (2277/20729) of quetiapine-treated patients.



Interference with Urine Drug Screens



There have been literature reports suggesting false positive results in urine enzyme immunoassays for methadone and tricyclic antidepressants in patients who have taken quetiapine. Caution should be exercised in the interpretation of positive urine drug screen results for these drugs, and confirmation by alternative analytical technique (e.g., chromatographic methods) should be considered.



ECG Changes

Adults: Between-group comparisons for pooled placebo-controlled trials revealed no statistically significant quetiapine /placebo differences in the proportions of patients experiencing potentially important changes in ECG parameters, including QT, QTc, and PR intervals. However, the proportions of patients meeting the criteria for tachycardia were compared in four 3- to 6-week placebo-controlled clinical trials for the treatment of schizophrenia revealing a 1% (4/399) incidence for quetiapine compared to 0.6% (1/156) incidence for placebo. In acute (monotherapy) bipolar mania trials the proportions of patients meeting the criteria for tachycardia was 0.5% (1/192) for quetiapine compared to 0% (0/178) incidence for placebo. In acute bipolar mania (adjunct) trials the proportions of patients meeting the same criteria was 0.6% (1/166) for quetiapine compared to 0% (0/171) incidence for placebo. In bipolar depression trials, no patients had heart rate increases to > 120 beats per minute. Quetiapine use was associated with a mean increase in heart rate, assessed by ECG, of 7 beats per minute compared to a mean increase of 1 beat per minute among placebo patients. This slight tendency to tachycardia in adults may be related to quetiapine potential for inducing orthostatic changes [see Warnings and Precautions (5.7)].



Children and Adolescents: In the acute (6-week) schizophrenia trial in adolescents, increases in heart rate (> 110 bpm) occurred in 5.2% (3/73) of patients receiving quetiapine 400 mg and 8.5% (5/74) of patients receiving quetiapine 800 mg compared to 0% (0/75) of patients receiving placebo. Mean increases in heart rate were 3.8 bpm and 11.2 bpm for quetiapine 400 mg and 800 mg groups, respectively, compared to a decrease of 3.3 bpm in the placebo group [see Warnings and Precautions (5.7)].



In the acute (3-week) bipolar mania trial in children and adolescents, increases in heart rate (> 110 bpm) occurred in 1.1% (1/89) of patients receiving quetiapine 400 mg and 4.7% (4/85) of patients receiving quetiapine 600 mg compared to 0% (0/98) of patients receiving placebo. Mean increases in heart rate were 12.8 bpm and 13.4 bpm for quetiapine 400 mg and 600 mg groups, respectively, compared to a decrease of 1.7 bpm in the placebo group [see Warnings and Precautions (5.7)].



In an acute (8-week) quetiapine extended-release trial in children and adolescents (10 to 17 years of age) with bipolar depression, in which efficacy was not established, increases in heart rate (> 110 bpm 10 to 12 years and 13 to 17 years) occurred in 0% of patients receiving quetiapine extended-release and 1.2% of patients receiving placebo. Mean increases in heart rate were 3.4 bpm for quetiapine extended-release, compared to 0.3 bpm in the placebo group [see Warnings and Precautions (5.7)].

8 Use in Specific Populations (8 USE IN SPECIFIC POPULATIONS)

• Pregnancy: May cause extrapyramidal and/or withdrawal symptoms in neonates with third trimester exposure. (8.1)





3 Dosage Forms and strengths (3 DOSAGE FORMS AND STRENGTHS)


  • Quetiapine tablets, USP 25 mg are peach colored, round, film-coated tablets debossed with "F 71" on one side and plain on the other side.
  • Quetiapine tablets, USP 50 mg are white colored, round, film-coated tablets, debossed with "F 72" on one side and plain on the other side.
  • Quetiapine tablets, USP 100 mg are yellow colored, round, film-coated tablets debossed with "F 73" on one side and plain on the other side.
  • Quetiapine tablets, USP 200 mg are white colored, round, film-coated tablets debossed with "F 75" on one side and plain on the other side.
  • Quetiapine tablets, USP 300 mg are white colored, capsule shaped, film-coated tablets debossed with "F 76" on one side and plain on the other side.
  • Quetiapine tablets, USP 400 mg are yellow colored, capsule shaped, film-coated tablets debossed with "F 77" on one side and plain on the other side.
5.17 Body Temperature Regulation

Although not reported with quetiapine, disruption of the body's ability to reduce core body temperature has been attributed to antipsychotic agents. Appropriate care is advised when prescribing quetiapine for patients who will be experiencing conditions which may contribute to an elevation in core body temperature, e.g., exercising strenuously, exposure to extreme heat, receiving concomitant medication with anticholinergic activity, or being subject to dehydration.

17 Patient Counseling Information (17 PATIENT COUNSELING INFORMATION)

Advise the patient to read the FDA-approved patient labeling (Medication Guide).



Patients should be advised of the following issues and asked to alert their prescriber if these occur while taking quetiapine tablets.



Increased Mortality in Elderly Patients with Dementia-Related Psychosis



Patients and caregivers should be advised that elderly patients with dementia-related psychosis treated with atypical antipsychotic drugs are at increased risk of death compared with placebo. Quetiapine is not approved for elderly patients with dementia-related psychosis [see Warnings and Precautions (5.1)].



Suicidal Thoughts and Behaviors

Patients, their families, and their caregivers should be encouraged to be alert to the emergence of anxiety, agitation, panic attacks, insomnia, irritability, hostility, aggressiveness, impulsivity, akathisia (psychomotor restlessness), hypomania, mania, other unusual changes in behavior, worsening of depression, and suicidal ideation, especially early during antidepressant treatment and when the dose is adjusted up or down. Families and caregivers of patients should be advised to look for the emergence of such symptoms on a day-to-day basis, since changes may be abrupt. Such symptoms should be reported to the patient's prescriber or health professional, especially if they are severe, abrupt in onset, or were not part of the patient's presenting symptoms. Symptoms such as these may be associated with an increased risk for suicidal thinking and behavior and indicate a need for very close monitoring and possibly changes in the medication [see Warnings and Precautions (5.2)].



Neuroleptic Malignant Syndrome (NMS)

Patients should be advised to report to their physician any signs or symptoms that may be related to NMS. These may include muscle stiffness and high fever [see Warnings and Precautions (5.4)].



Hyperglycemia and Diabetes Mellitus

Patients should be aware of the symptoms of hyperglycemia (high blood sugar) and diabetes mellitus. Patients who are diagnosed with diabetes, those with risk factors for diabetes, or those that develop these symptoms during treatment should have their blood glucose monitored at the beginning of and periodically during treatment [see Warnings and Precautions (5.5)].



Hyperlipidemia

Patients should be advised that elevations in total cholesterol, LDL-cholesterol and triglycerides and decreases in HDL-cholesterol may occur. Patients should have their lipid profile monitored at the beginning of and periodically during treatment [see Warnings and Precautions (5.5)].



Weight Gain

Patients should be advised that they may experience weight gain. Patients should have their weight monitored regularly [see Warnings and Precautions (5.5)].



Orthostatic Hypotension

Patients should be advised of the risk of orthostatic hypotension (symptoms include feeling dizzy or lightheaded upon standing, which may lead to falls), especially during the period of initial dose titration, and also at times of re-initiating treatment or increases in dose [see Warnings and Precautions (5.7)].





Increased Blood Pressure in Children and Adolescents

Children and adolescent patients should have their blood pressure measured at the beginning of, and periodically during, treatment [see Warnings and Precautions (5.9)].



Leukopenia/Neutropenia

Patients with a pre-existing low WBC or a history of drug induced leukopenia/neutropenia should be advised that they should have their CBC monitored while taking quetiapine tablets. Patients should be advised to talk to their doctor as soon as possible if they have a fever, flu-like symptoms, sore throat, or any other infection as this could be a result of a very low WBC, which may require quetiapine tablets to be stopped and/or treatment to be given [see Warnings and Precautions (5.10)].



Interference with Cognitive and Motor Performance

Patients should be advised of the risk of somnolence or sedation (which may lead to falls), especially during the period of initial dose titration. Patients should be cautioned about performing any activity requiring mental alertness, such as operating a motor vehicle (including automobiles) or operating machinery, until they are reasonably certain quetiapine therapy does not affect them adversely [see Warnings and Precautions (5.16)].



Heat Exposure and Dehydration

Patients should be advised regarding appropriate care in avoiding overheating and dehydration [see Warnings and Precautions (5.17)].



Concomitant Medication

As with other medications, patients should be advised to notify their physicians if they are taking, or plan to take, any prescription or over-the-counter drugs [see Drug Interactions (7.1)].



Pregnancy

Advise pregnant women to notify their healthcare provider if they become pregnant or intend to become pregnant during treatment with quetiapine. Advise patients that quetiapine may cause extrapyramidal and/or withdrawal symptoms (agitation, hypertonia, hypotonia, tremor, somnolence, respiratory distress, and feeding disorder) in a neonate. Advise patients that there is a pregnancy registry that monitors pregnancy outcomes in women exposed to quetiapine during pregnancy [see Use in Specific Populations (8.1)].



Infertility

Advise females of reproductive potential that quetiapine may impair fertility due to an increase in serum prolactin levels. The effects on fertility are reversible [see Use in Specific Populations (8.3)].



Need for Comprehensive Treatment Program

Quetiapine tablets is indicated as an integral part of a total treatment program for adolescents with schizophrenia and pediatric bipolar disorder that may include other measures (psychological, educational, and social). Effectiveness and safety of quetiapine tablets have not been established in pediatric patients less than 13 years of age for schizophrenia or less than 10 years of age for bipolar mania. Appropriate educational placement is essential and psychosocial intervention is often helpful. The decision to prescribe atypical antipsychotic medication will depend upon the physician’s assessment of the chronicity and severity of the patient’s symptoms [see Indications and Usage (1.3)].



Trademarks are the property of their respective owners



Manufactured for :

Macleods Pharma USA, Inc.

Princeton, NJ 08540



Manufactured by :

Macleods Pharmaceuticals Ltd.

Daman (U.T.), INDIA



Medication Guide available at: www.macleodspharma.com/usa



Revised: March 2023

2.8 Switching From Antipsychotics (2.8 Switching from Antipsychotics)


There are no systematically collected data to specifically address switching patients with schizophrenia from antipsychotics to quetiapine, or concerning concomitant administration with antipsychotics. While immediate discontinuation of the previous antipsychotic treatment may be acceptable for some patients with schizophrenia, more gradual discontinuation may be most appropriate for others. In all cases, the period of overlapping antipsychotic administration should be minimized. When switching patients with schizophrenia from depot antipsychotics, if medically appropriate, initiate quetiapine therapy in place of the next scheduled injection. The need for continuing existing EPS medication should be re-evaluated periodically.



16 How Supplied/storage and Handling (16 HOW SUPPLIED/STORAGE AND HANDLING)

Quetiapine tablets, USP are available as follows:

25 mg: Peach colored, round, film coated tablets debossed with "F 71" on one side and plain on the other

side.

Bottles of 100's NDC 33342-099-11

Bottles of 1000's NDC 33342-099-44

Unit dose blister pack of 100's NDC 33342-099-12

50 mg: White colored, round, film coated tablets, debossed with "F 72" on one side and plain on the other side.

Bottles of 100's NDC 33342-100-11

Bottles of 1000's NDC 33342-100-44

Unit dose blister pack of 100's NDC 33342-100-12

100 mg: Yellow colored, round, film coated tablets debossed with "F 73" on one side and plain on the other side.

Bottles of 100's NDC 33342-101-11

Bottles of 1000's NDC 33342-101-44

Unit dose blister pack of 100's NDC 33342-101-12

200 mg: White colored, round, film coated tablets debossed with "F 75" on one side and plain on the other side.

Bottles of 100's NDC 33342-103-11

Bottles of 500's NDC 33342-103-15

Bottles of 1000's NDC 33342-103-44

Unit dose blister pack of 100's NDC 33342-103-12

300 mg: White colored, capsule shaped, film coated tablets debossed with "F 76" on one side and plain on the other side.

Bottles of 60's NDC 33342-104-09

Bottles of 500's NDC 33342-104-15

Bottles of 1000's NDC 33342-104-44

Unit dose blister pack of 90's NDC 33342-104-39

400 mg: Yellow colored, capsule shaped, film coated tablets debossed with "F 77" on one side and plain on

the other side.

Bottles of 100's NDC 33342-105-11

Bottles of 500's NDC 33342-105-15

Unit dose blister pack of 90's NDC 33342-105-39



 

Store at 20° to 25°C (68° to 77°F); excursions permitted to 15° to 30°C (59° to 86°F) [See USP Controlled Room Temperature].





Package Label.principal Display Panel (PACKAGE LABEL.PRINCIPAL DISPLAY PANEL)

Rx Only

NDC 33342-099-11

Quetiapine tablets, USP

25 mg

100 tablets

  

Rx Only

NDC 33342-099-44

Quetiapine tablets, USP

25 mg

1000 tablets

 

Rx Only

NDC 33342-100-11

Quetiapine tablets, USP

50 mg

100 tablets

 



Rx Only

NDC 33342-100-44

Quetiapine tablets, USP

50 mg

1000 tablets

 

Rx Only

NDC 33342-101-11

Quetiapine tablets, USP

100 mg

100 tablets

 



Rx Only

NDC 33342-101-44

Quetiapine tablets, USP

100 mg

1000 tablets



Rx Only

NDC 33342-103-11

Quetiapine tablets, USP

200 mg

100 tablets



Rx Only

NDC 33342-103-15

Quetiapine tablets, USP

200 mg

500 tablets



Rx Only

NDC 33342-103-44

Quetiapine tablets, USP

200 mg

1000 tablets



Rx Only

NDC 33342-104-09

Quetiapine tablets, USP

300 mg

60 tablets



Rx Only

NDC 33342-104-15

Quetiapine tablets, USP

300 mg

500 tablets

 

Rx Only

NDC 33342-104-44

Quetiapine tablets, USP

300 mg

1000 tablets

 

Rx Only

NDC 33342-105-11

Quetiapine tablets, USP

400 mg

100 tablets



Rx Only

NDC 33342-105-15

Quetiapine tablets, USP

400 mg

500 tablets

7.1 Effect of Other Drugs On Quetiapine (7.1 Effect of Other Drugs on Quetiapine)

The risks of using quetiapine in combination with other drugs have not been extensively evaluated in systematic studies. Given the primary CNS effects of quetiapine, caution should be used when it is taken in combination with other centrally acting drugs. Quetiapine potentiated the cognitive and motor effects of alcohol in a clinical trial in subjects with selected psychotic disorders, and alcoholic beverages should be limited while taking quetiapine.



Quetiapine exposure is increased by the prototype CYP3A4 inhibitors (e.g., ketoconazole, itraconazole, indinavir, ritonavir, nefazodone, etc.) and decreased by the prototype CYP3A4 inducers (e.g., phenytoin, carbamazepine, rifampin, avasimibe, St. John’s wort etc.). Dose adjustment of quetiapine will be necessary if it is co-administered with potent CYP3A4 inducers or inhibitors.



CYP3A4 inhibitors:

Coadministration of ketoconazole, a potent inhibitor of cytochrome CYP3A4, resulted in significant increase in quetiapine exposure. The dose of quetiapine should be reduced to one sixth of the original dose if co-administered with a strong CYP3A4 inhibitor [see Dosage and Administration (2.5) and Clinical Pharmacology (12.3)].



CYP3A4 inducers:

Coadministration of quetiapine and phenytoin, a CYP3A4 inducer increased the mean oral clearance of quetiapine by 5-fold. Increased doses of quetiapine up to 5fold may be required to maintain control of symptoms of schizophrenia in patients receiving quetiapine and phenytoin, or other known potent CYP3A4 inducers [see Dosage and Administration (2.6) and Clinical Pharmacology (12.3)]. When the CYP3A4 inducer is discontinued, the dose of quetiapine should be reduced to the original level within 7 to 14 days [see Dosage and Administration (2.6)].



Anticholinergic Drugs:

Concomitant treatment with quetiapine and other drugs with anticholinergic activity can increase the risk for severe gastrointestinal adverse reactions related to hypomotility. Quetiapine should be used with caution in patients receiving medications having anticholinergic (antimuscarinic) effects [see Warnings and Precautions (5.20)].



The potential effects of several concomitant medications on quetiapine pharmacokinetics were studied [see Clinical Pharmacology ( 12.3 )].

7.2 Effect of Quetiapine On Other Drugs (7.2 Effect of Quetiapine on Other Drugs)

Because of its potential for inducing hypotension, quetiapine may enhance the effects of certain antihypertensive agents.



Quetiapine may antagonize the effects of levodopa and dopamine agonists.



There are no clinically relevant pharmacokinetic interactions of quetiapine on other drugs based on the CYP pathway. Quetiapine and its metabolites are non-inhibitors of major metabolizing CYP’s (1A2, 2C9, 2C19, 2D6, and 3A4).

13.2 Animal Pharmacology & Or Toxicology (13.2 Animal Pharmacology & OR Toxicology)

Quetiapine caused a dose-related increase in pigment deposition in thyroid gland in rat toxicity studies which were 4 weeks in duration or longer and in a mouse 2-year carcinogenicity study. Doses were 10, 25, 50, 75, 150 and 250 mg/kg in rat studies which are approximately 0.1, 0.3, 0.6, 1, 2 and 3-times the MRHD of 800 mg/day based on mg/m2 body surface area, respectively. Doses in the mouse carcinogenicity study were 20, 75, 250 and 750 mg/kg which are approximately 0.1, 0.5, 1.5, and 4.5 times the MRHD of 800 mg/day based on mg/m2 body surface area. Pigment deposition was shown to be irreversible in rats. The identity of the pigment could not be determined, but was found to be co-localized with quetiapine in thyroid gland follicular epithelial cells. The functional effects and the relevance of this finding to human risk are unknown.



In dogs receiving quetiapine for 6 or 12 months, but not for 1-month, focal triangular cataracts occurred at the junction of posterior sutures in the outer cortex of the lens at a dose of 100 mg/kg, or 4 times the MRHD of 800 mg/day based on mg/m2 body surface area. This finding may be due to inhibition of cholesterol biosynthesis by quetiapine. Quetiapine caused a dose-related reduction in plasma cholesterol levels in repeat-dose dog and monkey studies; however, there was no correlation between plasma cholesterol and the presence of cataracts in individual dogs. The appearance of delta-8-cholestanol in plasma is consistent with inhibition of a late stage in cholesterol biosynthesis in these species. There also was a 25% reduction in cholesterol content of the outer cortex of the lens observed in a special study in quetiapine treated female dogs. Drug-related cataracts have not been seen in any other species; however, in a 1-year study in monkeys, a striated appearance of the anterior lens surface was detected in 2/7 females at a dose of 225 mg/kg or 5.5 times the MRHD of 800 mg/day based on mg/m2 body surface area.

5.4 Neuroleptic Malignant Syndrome (nms) (5.4 Neuroleptic Malignant Syndrome (NMS))

A potentially fatal symptom complex sometimes referred to as Neuroleptic Malignant Syndrome (NMS) has been reported in association with administration of antipsychotic drugs, including quetiapine. Rare cases of NMS have been reported with quetiapine. Clinical manifestations of NMS are hyperpyrexia, muscle rigidity, altered mental status, and evidence of autonomic instability (irregular pulse or blood pressure, tachycardia, diaphoresis, and cardiac dysrhythmia). Additional signs may include elevated creatinine phosphokinase, myoglobinuria (rhabdomyolysis) and acute renal failure.



The diagnostic evaluation of patients with this syndrome is complicated. In arriving at a diagnosis, it is important to exclude cases where the clinical presentation includes both serious medical illness (e.g., pneumonia, systemic infection, etc.) and untreated or inadequately treated extrapyramidal signs and symptoms (EPS). Other important considerations in the differential diagnosis include central anticholinergic toxicity, heat stroke, drug fever, and primary central nervous system (CNS) pathology.



The management of NMS should include: 1) immediate discontinuation of antipsychotic drugs and other drugs not essential to concurrent therapy; 2) intensive symptomatic treatment and medical monitoring; and 3) treatment of any concomitant serious medical problems for which specific treatments are available. There is no general agreement about specific pharmacological treatment regimens for NMS.



If a patient requires antipsychotic drug treatment after recovery from NMS, the potential reintroduction of drug therapy should be carefully considered. The patient should be carefully monitored since recurrences of NMS have been reported.



2.1 Important Administration Instructions

Quetiapine tablets can be taken with or without food.

2.3 Dose Modifications in Elderly Patients


Consideration should be given to a slower rate of dose titration and a lower target dose in the elderly and in patients who are debilitated or who have a predisposition to hypotensive reactions [see Clinical Pharmacology (12.3)]. When indicated, dose escalation should be performed with caution in these patients.



Elderly patients should be started on quetiapine 50 mg/day and the dose can be increased in increments of 50 mg/day depending on the clinical response and tolerability of the individual patient.

5.20 Anticholinergic (antimuscarinic) Effects

Norquetiapine, an active metabolite of quetiapine, has moderate to strong affinity for several muscarinic receptor subtypes. This contributes to anticholinergic adverse reactions when quetiapine is used at therapeutic doses, taken concomitantly with other anticholinergic medications, or taken in overdose. Quetiapine should be used with caution in patients receiving medications having anticholinergic (antimuscarinic) effects [see Drug Interactions (7.1), Overdosage (10.1), and Clinical Pharmacology (12.1)].



Constipation was a commonly reported adverse event in patients treated with quetiapine and represents a risk factor for intestinal obstruction. Intestinal obstruction has been reported with quetiapine, including fatal reports in patients who were receiving multiple concomitant medications that decrease intestinal motility.



Quetiapine should be used with caution in patients with a current diagnosis or prior history of urinary retention, clinically significant prostatic hypertrophy, or constipation.

8.3 Females and Males of Reproductive Potential

Infertility

Females

Based on the pharmacologic action of quetiapine (D2 antagonism), treatment with quetiapine may result in an increase in serum prolactin levels, which may lead to a reversible reduction in fertility in females of reproductive potential [see Warnings and Precautions (5.15)].



5.10 Leukopenia, Neutropenia, and Agranulocytosis

In clinical trial and postmarketing experience, events of leukopenia/neutropenia have been reported temporally related to atypical antipsychotic agents, including quetiapine. Agranulocytosis has been reported.



Agranulocytosis (defined as absolute neutrophil count <500/mm3) has been reported with quetiapine, including fatal cases and cases in patients without pre-existing risk factors. Neutropenia should be considered in patients presenting with infection, particularly in the absence of obvious predisposing factor(s), or in patients with unexplained fever, and should be managed as clinically appropriate.



Possible risk factors for leukopenia/neutropenia include pre-existing low white cell count (WBC) and history of drug induced leukopenia/neutropenia. Patients with a pre-existing low WBC or a history of drug induced leukopenia/neutropenia should have their complete blood count (CBC) monitored frequently during the first few months of therapy and should discontinue quetiapine at the first sign of a decline in WBC in absence of other causative factors.



Patients with neutropenia should be carefully monitored for fever or other symptoms or signs of infection and treated promptly if such symptoms or signs occur. Patients with severe neutropenia (absolute neutrophil count <1000/mm3) should discontinue quetiapine and have their WBC followed until recovery.

5.16 Potential for Cognitive and Motor Impairment


Somnolence was a commonly reported adverse event reported in patients treated with quetiapine especially during the 3-5 day period of initial dose-titration. In schizophrenia trials, somnolence was reported in 18% (89/510) of patients on quetiapine compared to 11% (22/206) of placebo patients. In acute bipolar mania trials using quetiapine as monotherapy, somnolence was reported in 16% (34/209) of patients on quetiapine compared to 4% of placebo patients. In acute bipolar mania trials using quetiapine as adjunct therapy, somnolence was reported in 34% (66/196) of patients on quetiapine compared to 9% (19/203) of placebo patients. In bipolar depression trials, somnolence was reported in 57% (398/698) of patients on quetiapine compared to 15% (51/347) of placebo patients. Since quetiapine has the potential to impair judgment, thinking, or motor skills, patients should be cautioned about performing activities requiring mental alertness, such as operating a motor vehicle (including automobiles) or operating hazardous machinery until they are reasonably certain that quetiapine therapy does not affect them adversely. Somnolence may lead to falls.

2.6 Dose Modifications When Used With Cyp3a4 Inducers (2.6 Dose Modifications when used with CYP3A4 Inducers)


Quetiapine dose should be increased up to 5-fold of the original dose when used in combination with a chronic treatment (e.g., greater than 7 to 14 days) of a potent CYP3A4 inducer (e.g., phenytoin, carbamazepine, rifampin, avasimibe, St. John’s wort etc.). The dose should be titrated based on the clinical response and tolerability of the individual patient. When the CYP3A4 inducer is discontinued, the dose of quetiapine should be reduced to the original level within 7 to14 days [see Clinical Pharmacology (12.3) and Drug Interactions (7.1)].

13.1 Carcinogenesis,mutagenesis,impairment of Fertility (13.1 Carcinogenesis,Mutagenesis,Impairment of Fertility)

Carcinogenesis

Carcinogenicity studies were conducted in C57BL mice and Wistar rats. Quetiapine was administered in the diet to mice at doses of 20, 75, 250, and 750 mg/kg and to rats by gavage at doses of 25, 75, and 250 mg/kg for two years. These doses are equivalent to 0.1, 0.5, 1.5, and 4.5 times the MRHD of 800 mg/day based on mg/m2 body surface area (mice) or 0.3, 1, and 3 times the MRHD based on mg/m2 body surface area (rats). There were statistically significant increases in thyroid gland follicular adenomas in male mice at doses 1.5 and 4.5 times the MRHD based on mg/m2 body surface area and in male rats at a dose of 3 times the MRHD on mg/m2 body surface area. Mammary gland adenocarcinomas were statistically significantly increased in female rats at all doses tested (0.3, 1, and 3 times the MRHD based on mg/m2 body surface area).

Thyroid follicular cell adenomas may have resulted from chronic stimulation of the thyroid gland by thyroid stimulating hormone (TSH) resulting from enhanced metabolism and clearance of thyroxine by rodent liver. Changes in TSH, thyroxine, and thyroxine clearance consistent with this mechanism were observed in subchronic toxicity studies in rat and mouse and in a 1-year toxicity study in rat; however, the results of these studies were not definitive. The relevance of the increases in thyroid follicular cell adenomas to human risk, through whatever mechanism, is unknown.

Antipsychotic drugs have been shown to chronically elevate prolactin levels in rodents. Serum measurements in a 1-year toxicity study showed that quetiapine increased median serum prolactin levels a maximum of 32-and 13-fold in male and female rats, respectively. Increases in mammary neoplasms have been found in rodents after chronic administration of other antipsychotic drugs and are considered to be prolactin-mediated. The relevance of this increased incidence of prolactin-mediated mammary gland tumors in rats to human risk is unknown [see Warnings and Precautions (5.15)].

Mutagenesis

Quetiapine was not mutagenic or clastogenic in standard genotoxicity tests. The mutagenic potential of quetiapine was tested in the in vitro Ames bacterial gene mutation assay and in the in vitro mammalian gene mutation assay in Chinese Hamster Ovary cells. The clastogenic potential of quetiapine was tested in the in vitro chromosomal aberration assay in cultured human lymphocytes and in the in vivo bone marrow micronucleus assay in rats up to 500 mg/kg, which is 6 times the MRHD based on mg/m2 body surface area.

Impairment of Fertility

Quetiapine decreased mating and fertility in male Sprague-Dawley rats at oral doses of 50 and 150 mg/kg or approximately 1 and 3 times the MRHD of 800 mg/day based on mg/m2 body surface area. Drug-related effects included increases in interval to mate and in the number of matings required for successful impregnation. These effects continued to be observed at 3 times the MRHD even after a two-week period without treatment. The no-effect dose for impaired mating and fertility in male rats was 25 mg/kg, or 0.3 times the MRHD based on mg/m2 body surface area. Quetiapine adversely affected mating and fertility in female Sprague-Dawley rats at an oral dose approximately 1 times the MRHD of 800 mg/day based on mg/m2 body surface area. Drug-related effects included decreases in matings and in matings resulting in pregnancy, and an increase in the interval to mate. An increase in irregular estrus cycles was observed at doses of 10 and 50 mg/kg, or approximately 0.1 and 1 times the MRHD of 800 mg/day based on mg/m2 body surface area. The no-effect dose in female rats was 1 mg/kg, or 0.01 times the MRHD of 800 mg/day based on mg/m2 body surface area.

2.4 Dose Modifications in Hepatically Impaired Patients

Patients with hepatic impairment should be started on 25 mg/day. The dose should be increased daily in increments of 25 mg/day - 50 mg/day to an effective dose, depending on the clinical response and tolerability of the patient.

2.5 Dose Modifications When Used With Cyp3a4 Inhibitors (2.5 Dose Modifications when used with CYP3A4 Inhibitors)


Quetiapine dose should be reduced to one sixth of original dose when co-medicated with a potent CYP3A4 inhibitor (e.g., ketoconazole, itraconazole, indinavir, ritonavir, nefazodone, etc.). When the CYP3A4 inhibitor is discontinued, the dose of quetiapine should be increased by 6-fold [see Clinical Pharmacology ( 12.3 ) and Drug Interactions ( 7.1 )].

5.9 Increases in Blood Pressure (children and Adolescents) (5.9 Increases in Blood Pressure (Children and Adolescents))

In placebo-controlled trials in children and adolescents with schizophrenia (6-week duration) or bipolar mania (3-week duration), the incidence of increases at any time in systolic blood pressure (>20 mmHg) was 15.2% (51/335) for quetiapine and 5.5% (9/163) for placebo; the incidence of increases at any time in diastolic blood pressure (>10 mmHg) was 40.6% (136/335) for quetiapine and 24.5% (40/163) for placebo. In the 26-week open-label clinical trial, one child with a reported history of hypertension experienced a hypertensive crisis. Blood pressure in children and adolescents should be measured at the beginning of, and periodically during treatment.



In a placebo-controlled quetiapine extended-release clinical trial (8 weeks duration) in children and adolescents (10 to 17 years of age) with bipolar depression, in which efficacy was not established, the incidence of increases at any time in systolic blood pressure (>20 mmHg) was 6.5% (6/92) for quetiapine extended-release and 6.0% (6/100) for placebo; the incidence of increases at any time in diastolic blood pressure (>10 mmHg) was 46.7% (43/92) for quetiapine extended-release and 36.0% (36/100) for placebo.

2.7 Re Initiation of Treatment in Patients Previously Discontinued (2.7 Re-initiation of Treatment in Patients Previously Discontinued)

Although there are no data to specifically address re-initiation of treatment, it is recommended that when restarting therapy of patients who have been off quetiapine for more than one-week, the initial dosing schedule should be followed. When restarting patients who have been off quetiapine for less than one-week, gradual dose escalation may not be required and the maintenance dose may be re-initiated.

5.2 Suicidal Thoughts and Behaviors in Adolescents and Young Adults


Patients with major depressive disorder (MDD), both adult and pediatric, may experience worsening of their depression and/or the emergence of suicidal ideation and behavior (suicidality) or unusual changes in behavior, whether or not they are taking antidepressant medications, and this risk may persist until significant remission occurs. Suicide is a known risk of depression and certain other psychiatric disorders, and these disorders themselves are the strongest predictors of suicide. There has been a long-standing concern, however, that antidepressants may have a role in inducing worsening of depression and the emergence of suicidality in certain patients during the early phases of treatment. Pooled analyses of short-term placebo-controlled trials of antidepressant drugs (SSRIs and others) showed that these drugs increase the risk of suicidal thinking and behavior (suicidality) in children, adolescents, and young adults (ages 18 to 24) with major depressive disorder (MDD) and other psychiatric disorders. Short-term studies did not show an increase in the risk of suicidality with antidepressants compared to placebo in adults beyond age 24; there was a reduction with antidepressants compared to placebo in adults aged 65 and older.



The pooled analyses of placebo-controlled trials in children and adolescents with MDD, obsessive-compulsive disorder (OCD), or other psychiatric disorders included a total of 24 short-term trials of 9 antidepressant drugs in over 4400 patients. The pooled analyses of placebo-controlled trials in adults with MDD or other psychiatric disorders included a total of 295 short-term trials (median duration of 2 months) of 11 antidepressant drugs in over 77,000 patients. There was considerable variation in risk of suicidality among drugs, but a tendency toward an increase in the younger patients for almost all drugs studied. There were differences in absolute risk of suicidality across the different indications, with the highest incidence in MDD. The risk differences (drug vs. placebo), however, were relatively stable within age strata and across indications. These risk differences (drug-placebo difference in the number of cases of suicidality per 1000 patients treated) are provided in Table 2.



Table 2: Drug-Placebo Difference in Number of Cases of Suicidality per 1000 Patients Treated

 

Age Range

Drug-Placebo Difference in Number of Cases of Suicidality per 1000 Patients Treated

 

Increases Compared to Placebo

<18

14 additional cases

18 to 24

5 additional cases

 

Decreases Compared to Placebo

25 to 64

1 fewer case

≥65

6 fewer cases





No suicides occurred in any of the pediatric trials. There were suicides in the adult trials, but the number was not sufficient to reach any conclusion about drug effect on suicide.  

It is unknown whether the suicidality risk extends to longer-term use, i.e., beyond several months. However, there is substantial evidence from placebo-controlled maintenance trials in adults with depression that the use of antidepressants can delay the recurrence of depression.



All patients being treated with antidepressants for any indication should be monitored appropriately and observed closely for clinical worsening, suicidality, and unusual changes in behavior, especially during the initial few months of a course of drug therapy, or at times of dose changes, either increases or decreases.

The following symptoms, anxiety, agitation, panic attacks, insomnia, irritability, hostility, aggressiveness, impulsivity, akathisia (psychomotor restlessness), hypomania, and mania, have been reported in adult and pediatric patients being treated with antidepressants for major depressive disorder as well as for other indications, both psychiatric and nonpsychiatric. Although a causal link between the emergence of such symptoms and either the worsening of depression and/or the emergence of suicidal impulses has not been established, there is concern that such symptoms may represent precursors to emerging suicidality.



Consideration should be given to changing the therapeutic regimen, including possibly discontinuing the medication, in patients whose depression is persistently worse, or who are experiencing emergent suicidality or symptoms that might be precursors to worsening depression or suicidality, especially if these symptoms are severe, abrupt in onset, or were not part of the patient's presenting symptoms.



Families and caregivers of patients being treated with antidepressants for major depressive disorder or other indications, both psychiatric and non-psychiatric, should be alerted about the need to monitor patients for the emergence of agitation, irritability, unusual changes in behavior, and the other symptoms described above, as well as the emergence of suicidality, and to report such symptoms immediately to healthcare providers. Such monitoring should include daily observation by families and caregivers. Prescriptions for quetiapine tablets should be written for the smallest quantity of tablets consistent with good patient management, in order to reduce the risk of overdose.



Screening Patients for Bipolar Disorder: A major depressive episode may be the initial presentation of bipolar disorder. It is generally believed (though not established in controlled trials) that treating such an episode with an antidepressant alone may increase the likelihood of precipitation of a mixed/manic episode in patients at risk for bipolar disorder. Whether any of the symptoms described above represent such a conversion is unknown. However, prior to initiating treatment with an antidepressant, including quetiapine, patients with depressive symptoms should be adequately screened to determine if they are at risk for bipolar disorder; such screening should include a detailed psychiatric history, including a family history of suicide, bipolar disorder, and depression.

5.1 Increased Mortality in Elderly Patients With Dementia Related Psychosis (5.1 Increased Mortality in Elderly Patients with Dementia-Related Psychosis)


Elderly patients with dementia-related psychosis treated with antipsychotic drugs are at an increased risk of death. Analysis of 17 placebo-controlled trials (modal duration of 10 weeks), largely in patients taking atypical antipsychotic drugs, revealed a risk of death in drug-treated patients of between 1.6 to 1.7 times the risk of death in placebo-treated patients. Over the course of a typical 10-week controlled trial, the rate of death in drug-treated patients was about 4.5%, compared to a rate of about 2.6% in the placebo group. Although the causes of death were varied, most of the deaths appeared to be either cardiovascular (e.g., heart failure, sudden death) or infectious (e.g., pneumonia) in nature.

Observational studies suggest that, similar to atypical antipsychotic drugs, treatment with conventional antipsychotic drugs may increase mortality. The extent to which the findings of increased mortality in observational studies may be attributed to the antipsychotic drug as opposed to some characteristic(s) of the patients is not clear. Quetiapine is not approved for the treatment of patients with dementia-related psychosis [see Boxed Warning ].

1.3 Special Considerations in Treating Pediatric Schizophrenia and Bipolar I Disorder




Pediatric schizophrenia and bipolar I disorder are serious mental disorders, however, diagnosis can be challenging. For pediatric schizophrenia, symptom profiles can be variable, and for bipolar I disorder, patients may have variable patterns of periodicity of manic or mixed symptoms. It is recommended that medication therapy for pediatric schizophrenia and bipolar I disorder be initiated only after a thorough diagnostic evaluation has been performed and careful consideration given to the risks associated with medication treatment. Medication treatment for both pediatric schizophrenia and bipolar I disorder is indicated as part of a total treatment program that often includes psychological, educational and social interventions.



5.3 Cerebrovascular Adverse Reactions, Including Stroke, in Elderly Patients With Dementia Related Psychosis (5.3 Cerebrovascular Adverse Reactions, Including Stroke, in Elderly Patients with Dementia-Related Psychosis)

In placebo-controlled trials with risperidone, aripiprazole, and olanzapine in elderly subjects with dementia, there was a higher incidence of cerebrovascular adverse reactions (cerebrovascular accidents and transient ischemic attacks) including fatalities compared to placebo-treated subjects. Quetiapine is not approved for the treatment of patients with dementia-related psychosis [see also Boxed Warningand Warnings and Precautions (5.1)].

Warning: Increased Mortality in Elderly Patients With Dementia Related Psychosis; and Suicidal Thoughts and Behaviors (WARNING: INCREASED MORTALITY IN ELDERLY PATIENTS WITH DEMENTIA-RELATED PSYCHOSIS; and SUICIDAL THOUGHTS AND BEHAVIORS)




Increased Mortality in Elderly Patients with Dementia-Related Psychosis

Elderly patients with dementia-related psychosis treated with antipsychotic drugs are at an increased risk of death [see Warnings and Precautions (5.1)].  Quetiapine is not approved for the treatment of patients with dementia-related psychosis [see Warnings and Precautions (5.1)].




Suicidal Thoughts and Behaviors

Antidepressants increased the risk of suicidal thoughts and behavior in children, adolescents, and young adults in short-term studies. These studies did not show an increase in the risk of suicidal thoughts and behavior with antidepressant use in patients over age 24; there was a reduction in risk with antidepressant use in patients aged 65 and older [see Warnings and Precautions (5.2)].

In patients of all ages who are started on antidepressant therapy, monitor closely for worsening, and for emergence of suicidal thoughts and behaviors. Advise families and caregivers of the need for close observation and communication with the prescriber [see Warnings and Precautions (5.2)].


Quetiapine tablets are not approved for use in pediatric patients under ten years of age [see Use in Specific Populations (8.4)].




Advanced Ingredient Data


Raw Label Data

All Sections (JSON)