These Highlights Do Not Include All The Information Needed To Use Cyclophosphamide For Injection Safely And Effectively. See Full Prescribing Information For Cyclophosphamide For Injection.
520bfe39-dfd5-4a20-9a37-80078afded0d
34391-3
HUMAN PRESCRIPTION DRUG LABEL
Drug Facts
Composition & Product
Identifiers & Packaging
Description
Cyclophosphamide for injection is an alkylating drug indicated for treatment of adults and pediatric patients with: Malignant Diseases: malignant lymphomas: Hodgkin's disease, lymphocytic lymphoma, mixed-cell type lymphoma, histiocytic lymphoma, Burkitt's lymphoma; multiple myeloma, leukemias, mycosis fungoides, neuroblastoma, adenocarcinoma of ovary, retinoblastoma, breast carcinoma. ( 1.1 ) Minimal Change Nephrotic Syndrome in Pediatric Patients: biopsy proven minimal change nephrotic syndrome patients who failed to adequately respond to or are unable to tolerate adrenocorticosteroid therapy. ( 1.2 ) Limitations of Use: The safety and effectiveness for the treatment of nephrotic syndrome in adults or other renal disease has not been established. ( 1.2 )
Indications and Usage
Cyclophosphamide for injection is an alkylating drug indicated for treatment of adults and pediatric patients with: Malignant Diseases: malignant lymphomas: Hodgkin's disease, lymphocytic lymphoma, mixed-cell type lymphoma, histiocytic lymphoma, Burkitt's lymphoma; multiple myeloma, leukemias, mycosis fungoides, neuroblastoma, adenocarcinoma of ovary, retinoblastoma, breast carcinoma. ( 1.1 ) Minimal Change Nephrotic Syndrome in Pediatric Patients: biopsy proven minimal change nephrotic syndrome patients who failed to adequately respond to or are unable to tolerate adrenocorticosteroid therapy. ( 1.2 ) Limitations of Use: The safety and effectiveness for the treatment of nephrotic syndrome in adults or other renal disease has not been established. ( 1.2 )
Dosage and Administration
During or immediately after cyclophosphamide for Injection administration, administer adequate amounts of fluid to reduce the risk of urinary tract toxicity ( 2.1 ). Malignant Diseases: Adult and Pediatric Patients ( 2.2 ) Intravenous: Initial course for patients with no hematologic deficiency: 40 mg per kg to 50 mg per kg in divided doses over 2 to 5 days. Other regimens include 10 mg per kg to 15 mg per kg given every 7 to 10 days or 3 mg per kg to 5 mg per kg twice weekly. Oral: 1 mg per kg per day to 5 mg per kg per day for both initial and maintenance dosing. Minimal Change Nephrotic Syndrome in Pediatric Patients ( 2.3 ) Oral : 2 mg per kg daily for 8 to 12 weeks (maximum cumulative dose 168 mg per kg). Treatment beyond 90 days increases the probability of sterility in males. ( 8.4 )
Warnings and Precautions
Myelosuppression, Immunosuppression, Bone Marrow Failure and Infections: Severe immunosuppression may lead to serious and sometimes fatal infections. Close hematological monitoring is required. ( 5.1 ) Urinary Tract and Renal Toxicity : Hemorrhagic cystitis, pyelitis, ureteritis, and hematuria can occur. Urotoxicity can be fatal. Exclude or correct any urinary tract obstructions prior to treatment. ( 5.2 ) Cardiotoxicity: Myocarditis, myopericarditis, pericardial effusion, arrythmias and congestive heart failure, which may be fatal, have been reported. Monitor patients, especially those with risk factors for cardiotoxicity or pre-existing cardiac disease. ( 5.3 ) Pulmonary Toxicity : Pneumonitis, pulmonary fibrosis and pulmonary veno-occlusive disease leading to respiratory failure may occur. Monitor patients for signs and symptoms of pulmonary toxicity. ( 5.4 ) Secondary malignancies ( 5.5 ) Veno-occlusive Liver Disease: Fatal outcome can occur. ( 5.6 ) Embryo-Fetal Toxicity : Can cause fetal harm. Advise patients of reproductive potential of the potential risk to a fetus and to use effective contraception.( 5.7 , 8.1 , 8.3 )
Contraindications
Hypersensitivity Cyclophosphamide for injection is contraindicated in patients who have a history of severe hypersensitivity reactions to cyclophosphamide, any of its metabolites, or to other components of the product. Anaphylactic reactions including death have been reported with cyclophosphamide. Cross-sensitivity with other alkylating agents can occur. Urinary Outflow Obstruction Cyclophosphamide for injection is contraindicated in patients with urinary outflow obstruction [see Warnings and Precautions (5.2) ].
Adverse Reactions
The following adverse reactions are discussed in more detail in other sections of the labeling. Hypersensitivity [see Contraindications (4) ] Myelosuppression, Immunosuppression, Bone Marrow Failure, and Infections [see Warnings and Precautions (5.1) ] Urinary Tract and Renal Toxicity [see Warnings and Precautions (5.2) ] Cardiotoxicity [see Warnings and Precautions (5.3) ] Pulmonary Toxicity [see Warnings and Precautions (5.4) ] Secondary Malignancies [see Warnings and Precautions (5.5) ] Veno-occlusive Liver Disease [see Warnings and Precautions (5.6) ] Infertility [ see Warnings and Precautions (5.8 ) and Use in Specific Populations (8.3 , 8.4) ] Impaired Wound Healing [see Warnings and Precautions (5.9) ] Hyponatremia [see Warnings and Precautions (5.10) ]
Storage and Handling
Cyclophosphamide for Injection, USP is a sterile white powder containing cyclophosphamide, USP and is supplied in vials for single-dose use. It is available as follows: 500 mg/vial 1 Vial in Carton: NDC 70121-1238-1 1 g/vial 1 Vial in Carton: NDC 70121-1239-1 2 g/vial 1 Vial in Carton: NDC 70121-1240-1 Store vials at or below 25°C (77°F). During transport or storage of cyclophosphamide vials, temperature influences can lead to melting of the active ingredient, cyclophosphamide [see Dosage and Administration (2.4) ]. Cyclophosphamide is a hazardous product. Follow special handling and disposal procedures. 1
How Supplied
Cyclophosphamide for Injection, USP is a sterile white powder containing cyclophosphamide, USP and is supplied in vials for single-dose use. It is available as follows: 500 mg/vial 1 Vial in Carton: NDC 70121-1238-1 1 g/vial 1 Vial in Carton: NDC 70121-1239-1 2 g/vial 1 Vial in Carton: NDC 70121-1240-1 Store vials at or below 25°C (77°F). During transport or storage of cyclophosphamide vials, temperature influences can lead to melting of the active ingredient, cyclophosphamide [see Dosage and Administration (2.4) ]. Cyclophosphamide is a hazardous product. Follow special handling and disposal procedures. 1
Medication Information
Warnings and Precautions
Myelosuppression, Immunosuppression, Bone Marrow Failure and Infections: Severe immunosuppression may lead to serious and sometimes fatal infections. Close hematological monitoring is required. ( 5.1 ) Urinary Tract and Renal Toxicity : Hemorrhagic cystitis, pyelitis, ureteritis, and hematuria can occur. Urotoxicity can be fatal. Exclude or correct any urinary tract obstructions prior to treatment. ( 5.2 ) Cardiotoxicity: Myocarditis, myopericarditis, pericardial effusion, arrythmias and congestive heart failure, which may be fatal, have been reported. Monitor patients, especially those with risk factors for cardiotoxicity or pre-existing cardiac disease. ( 5.3 ) Pulmonary Toxicity : Pneumonitis, pulmonary fibrosis and pulmonary veno-occlusive disease leading to respiratory failure may occur. Monitor patients for signs and symptoms of pulmonary toxicity. ( 5.4 ) Secondary malignancies ( 5.5 ) Veno-occlusive Liver Disease: Fatal outcome can occur. ( 5.6 ) Embryo-Fetal Toxicity : Can cause fetal harm. Advise patients of reproductive potential of the potential risk to a fetus and to use effective contraception.( 5.7 , 8.1 , 8.3 )
Indications and Usage
Cyclophosphamide for injection is an alkylating drug indicated for treatment of adults and pediatric patients with: Malignant Diseases: malignant lymphomas: Hodgkin's disease, lymphocytic lymphoma, mixed-cell type lymphoma, histiocytic lymphoma, Burkitt's lymphoma; multiple myeloma, leukemias, mycosis fungoides, neuroblastoma, adenocarcinoma of ovary, retinoblastoma, breast carcinoma. ( 1.1 ) Minimal Change Nephrotic Syndrome in Pediatric Patients: biopsy proven minimal change nephrotic syndrome patients who failed to adequately respond to or are unable to tolerate adrenocorticosteroid therapy. ( 1.2 ) Limitations of Use: The safety and effectiveness for the treatment of nephrotic syndrome in adults or other renal disease has not been established. ( 1.2 )
Dosage and Administration
During or immediately after cyclophosphamide for Injection administration, administer adequate amounts of fluid to reduce the risk of urinary tract toxicity ( 2.1 ). Malignant Diseases: Adult and Pediatric Patients ( 2.2 ) Intravenous: Initial course for patients with no hematologic deficiency: 40 mg per kg to 50 mg per kg in divided doses over 2 to 5 days. Other regimens include 10 mg per kg to 15 mg per kg given every 7 to 10 days or 3 mg per kg to 5 mg per kg twice weekly. Oral: 1 mg per kg per day to 5 mg per kg per day for both initial and maintenance dosing. Minimal Change Nephrotic Syndrome in Pediatric Patients ( 2.3 ) Oral : 2 mg per kg daily for 8 to 12 weeks (maximum cumulative dose 168 mg per kg). Treatment beyond 90 days increases the probability of sterility in males. ( 8.4 )
Contraindications
Hypersensitivity Cyclophosphamide for injection is contraindicated in patients who have a history of severe hypersensitivity reactions to cyclophosphamide, any of its metabolites, or to other components of the product. Anaphylactic reactions including death have been reported with cyclophosphamide. Cross-sensitivity with other alkylating agents can occur. Urinary Outflow Obstruction Cyclophosphamide for injection is contraindicated in patients with urinary outflow obstruction [see Warnings and Precautions (5.2) ].
Adverse Reactions
The following adverse reactions are discussed in more detail in other sections of the labeling. Hypersensitivity [see Contraindications (4) ] Myelosuppression, Immunosuppression, Bone Marrow Failure, and Infections [see Warnings and Precautions (5.1) ] Urinary Tract and Renal Toxicity [see Warnings and Precautions (5.2) ] Cardiotoxicity [see Warnings and Precautions (5.3) ] Pulmonary Toxicity [see Warnings and Precautions (5.4) ] Secondary Malignancies [see Warnings and Precautions (5.5) ] Veno-occlusive Liver Disease [see Warnings and Precautions (5.6) ] Infertility [ see Warnings and Precautions (5.8 ) and Use in Specific Populations (8.3 , 8.4) ] Impaired Wound Healing [see Warnings and Precautions (5.9) ] Hyponatremia [see Warnings and Precautions (5.10) ]
Storage and Handling
Cyclophosphamide for Injection, USP is a sterile white powder containing cyclophosphamide, USP and is supplied in vials for single-dose use. It is available as follows: 500 mg/vial 1 Vial in Carton: NDC 70121-1238-1 1 g/vial 1 Vial in Carton: NDC 70121-1239-1 2 g/vial 1 Vial in Carton: NDC 70121-1240-1 Store vials at or below 25°C (77°F). During transport or storage of cyclophosphamide vials, temperature influences can lead to melting of the active ingredient, cyclophosphamide [see Dosage and Administration (2.4) ]. Cyclophosphamide is a hazardous product. Follow special handling and disposal procedures. 1
How Supplied
Cyclophosphamide for Injection, USP is a sterile white powder containing cyclophosphamide, USP and is supplied in vials for single-dose use. It is available as follows: 500 mg/vial 1 Vial in Carton: NDC 70121-1238-1 1 g/vial 1 Vial in Carton: NDC 70121-1239-1 2 g/vial 1 Vial in Carton: NDC 70121-1240-1 Store vials at or below 25°C (77°F). During transport or storage of cyclophosphamide vials, temperature influences can lead to melting of the active ingredient, cyclophosphamide [see Dosage and Administration (2.4) ]. Cyclophosphamide is a hazardous product. Follow special handling and disposal procedures. 1
Description
Cyclophosphamide for injection is an alkylating drug indicated for treatment of adults and pediatric patients with: Malignant Diseases: malignant lymphomas: Hodgkin's disease, lymphocytic lymphoma, mixed-cell type lymphoma, histiocytic lymphoma, Burkitt's lymphoma; multiple myeloma, leukemias, mycosis fungoides, neuroblastoma, adenocarcinoma of ovary, retinoblastoma, breast carcinoma. ( 1.1 ) Minimal Change Nephrotic Syndrome in Pediatric Patients: biopsy proven minimal change nephrotic syndrome patients who failed to adequately respond to or are unable to tolerate adrenocorticosteroid therapy. ( 1.2 ) Limitations of Use: The safety and effectiveness for the treatment of nephrotic syndrome in adults or other renal disease has not been established. ( 1.2 )
8.1 Pregnancy
Risk Summary
Based on its mechanism of action and published reports of effects in pregnant patients or animals, Cyclophosphamide for injection can cause fetal harm when administered to a pregnant woman [see Clinical Pharmacology (12.1) and Nonclinical Toxicology (13.1)]. Exposure to cyclophosphamide during pregnancy may cause fetal malformations, miscarriage, fetal growth retardation, and toxic effects in the newborn [see Data]. Cyclophosphamide is teratogenic and embryo-fetal toxic in mice, rats, rabbits and monkeys [see Data]. Advise pregnant women and females of reproductive potential of the potential risk to the fetus.
The estimated background risk of major birth defects and miscarriage for the indicated population is unknown. In the U.S. general population, the estimated background risk of major birth defects is 2% to 4% and miscarriage is 15% to 20% of clinically recognized pregnancies.
Data
Human Data
Malformations of the skeleton, palate, limbs and eyes as well as miscarriage have been reported after exposure to cyclophosphamide in the first trimester. Fetal growth retardation and toxic effects manifesting in the newborn, including leukopenia, anemia, pancytopenia, severe bone marrow hypoplasia, and gastroenteritis have been reported after exposure to cyclophosphamide.
Animal Data
Administration of cyclophosphamide to pregnant mice, rats, rabbits and monkeys during the period of organogenesis at doses at or below the dose in patients based on body surface area resulted in various malformations, which included neural tube defects, limb and digit defects and other skeletal anomalies, cleft lip and palate, and reduced skeletal ossification.
8.2 Lactation
Risk summary
Cyclophosphamide is present in breast milk. Neutropenia, thrombocytopenia, low hemoglobin, and diarrhea have been reported in infants breast fed by women treated with cyclophosphamide. Because of the potential for serious adverse reactions in a breastfed child, advise lactating women not to breastfeed during treatment with cyclophosphamide for injection and for 1 week after the last dose.
10 Overdosage
No specific antidote for cyclophosphamide is known.
Overdosage should be managed with supportive measures, including appropriate treatment for any concurrent infection, myelosuppression, or cardiac toxicity should it occur.
Serious consequences of overdosage include manifestations of dose dependent toxicities such as myelosuppression, urotoxicity, cardiotoxicity (including cardiac failure), veno-occlusive hepatic disease, and stomatitis [see Warnings and Precautions (5.1, 5.2, 5.3 and 5.6)].
Patients who received an overdose should be closely monitored for the development of toxicities, and hematologic toxicity in particular.
Cyclophosphamide and its metabolites are dialyzable. Therefore, rapid hemodialysis is indicated when treating any suicidal or accidental overdose or intoxication [see Clinical Pharmacology (12.3)].
Cystitis prophylaxis with mesna may be helpful in preventing or limiting urotoxic effects with cyclophosphamide overdose.
15 References
1. OSHA Hazardous Drugs. OSHA. http://www.osha.gov/SLTC/hazardousdrugs/index.html.
5.8 Infertility
Male and female reproductive function and fertility may be impaired in patients being treated with cyclophosphamide for injection. Cyclophosphamide interferes with oogenesis and spermatogenesis. It may cause sterility in both sexes. Development of sterility appears to depend on the dose of cyclophosphamide, duration of therapy, and the state of gonadal function at the time of treatment. Cyclophosphamide-induced sterility may be irreversible in some patients. Advise patients on the potential risks for infertility [see Use in Specific Populations ( 8.3 , 8.4 )].
11 Description
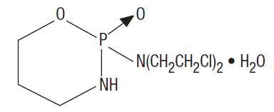
Cyclophosphamide is a synthetic antineoplastic drug chemically related to the nitrogen mustards. The chemical name for cyclophosphamide is 2-[bis(2-chloroethyl)amino]tetrahydro-2H-1,3,2-oxazaphosphorine 2-oxide monohydrate, and has the following structural formula:
Cyclophosphamide, USP is a white crystalline powder with the molecular formula C7H15Cl2N2O2P•H2O and a molecular weight of 279.1. Cyclophosphamide is soluble in water, saline, or ethanol.
Cyclophosphamide for Injection, USP is a sterile white powder available as 500 mg, 1 g, and 2 g strength vials.
- 500 mg vial contains 534.5 mg cyclophosphamide monohydrate equivalent to 500 mg cyclophosphamide, USP.
- 1 g vial contains 1069 mg cyclophosphamide monohydrate equivalent to 1 g cyclophosphamide, USP.
- 2 g vial contains 2138 mg cyclophosphamide monohydrate equivalent to 2 g cyclophosphamide, USP.
5.10 Hyponatremia
Hyponatremia associated with increased total body water, acute water intoxication, and a syndrome resembling SIADH (syndrome of inappropriate secretion of antidiuretic hormone), which may be fatal, has been reported.
8.4 Pediatric Use
The safety and effectiveness of cyclophosphamide have been established in pediatric patients and information on this use is discussed throughout the labeling.
Pre-pubescent females who receive cyclophosphamide generally develop secondary sexual characteristics normally and have regular menses. Ovarian fibrosis with apparently complete loss of germ cells after prolonged administration of cyclophosphamide in late pre-pubescence has been reported. Females who received cyclophosphamide who have retained ovarian function after completing treatment are at increased risk of developing premature menopause.
Pre-pubescent males who receive cyclophosphamide develop secondary sexual characteristics normally, but may have oligospermia or azoospermia and increased gonadotropin secretion. Some degree of testicular atrophy may occur. Cyclophosphamide-induced azoospermia is reversible in some patients, though the reversibility may not occur for several years after cessation of therapy.
8.5 Geriatric Use
There is insufficient data from clinical studies of cyclophosphamide available for patients 65 years of age and older to determine whether they respond differently than younger patients. In general, dose selection for an elderly patient should be cautious, usually starting at the low end of the dosing range, reflecting the greater frequency of decreased hepatic, renal, or cardiac functioning, and of concomitant disease or other drug therapy.
5.3 Cardiotoxicity
Myocarditis, myopericarditis, pericardial effusion including cardiac tamponade, and congestive heart failure, which may be fatal, have been reported with cyclophosphamide therapy.
Supraventricular arrhythmias (including atrial fibrillation and flutter) and ventricular arrhythmias (including severe QT prolongation associated with ventricular tachyarrhythmia) have been reported after treatment with regimens that included cyclophosphamide.
The risk of cardiotoxicity may be increased with high doses of cyclophosphamide, in patients with advanced age, and in patients with previous radiation treatment to the cardiac region and/or previous or concomitant treatment with other cardiotoxic agents.
Particular caution is necessary in patients with risk factors for cardiotoxicity and in patients with pre-existing cardiac disease.
Monitor patients with risk factors for cardiotoxicity and with pre-existing cardiac disease.
4 Contraindications
Hypersensitivity
Cyclophosphamide for injection is contraindicated in patients who have a history of severe hypersensitivity reactions to cyclophosphamide, any of its metabolites, or to other components of the product. Anaphylactic reactions including death have been reported with cyclophosphamide. Cross-sensitivity with other alkylating agents can occur.
Urinary Outflow Obstruction
Cyclophosphamide for injection is contraindicated in patients with urinary outflow obstruction [see Warnings and Precautions (5.2)].
8.6 Renal Impairment
In patients with severe renal impairment, decreased renal excretion may result in increased plasma levels of cyclophosphamide and its metabolites, which may increase toxicity [see Clinical Pharmacology (12.3)]. Monitor patients with severe renal impairment (creatinine clearance (CLcr)=10 mL/min to 24 mL/min) for signs and symptoms of toxicity.
Cyclophosphamide and its metabolites are dialyzable although there are probably quantitative differences depending upon the dialysis system. In patients requiring dialysis, consider using a consistent interval between cyclophosphamide administration and dialysis.
12.2 Pharmacodynamics
Cyclophosphamide exposure-response relationships and the time course of pharmacodynamic response have not been fully characterized.
12.3 Pharmacokinetics
Cyclophosphamide is a prodrug. Cyclophosphamide pharmacokinetics are linear over the approved recommended dose range.
Distribution
The volume of distribution of cyclophosphamide is 30 to 50 L. Cyclophosphamide is approximately 20% protein bound, with no dose dependent changes. Some metabolites are greater than 60% protein bound.
Elimination
The elimination half-life (t1/2) of cyclophosphamide ranges from 3 to 12 hours, and clearance (CL) ranges from 4 to 5.6 L/h.
When cyclophosphamide was administered at 4 g/m2 (approximately 2 times the approved recommended dosage) over a 90-minute infusion, concentration-time data demonstrate saturable elimination in parallel with first-order renal elimination.
Metabolism
Cyclophosphamide is metabolized by cytochrome P450s including CYP2A6, 2B6, 3A, 2C9, and 2C19.Cyclophosphamide is activated to form 4-hydroxycyclophosphamide, which is in equilibrium with its ring-open tautomer aldophosphamide. 4-hydroxycyclophosphamide and aldophosphamide can undergo oxidation by aldehyde dehydrogenases to form the inactive metabolites 4-ketocyclophosphamide and carboxyphosphamide, respectively. Aldophosphamide can undergo β-elimination to form active metabolites phosphoramide mustard and acrolein. This spontaneous conversion can be catalyzed by albumin and other proteins.
At high doses, the fraction of parent compound cleared by 4-hydroxylation is reduced resulting in non-linear elimination of cyclophosphamide.
Cyclophosphamide appears to induce its own metabolism. This auto-induction results in an increase in CL, increased formation of active 4-hydroxylcyclophosphamide and shortened t1/2 following multiple doses administered at 12- hour to 24-hour interval.
Excretion
Cyclophosphamide and its metabolites are eliminated by hepatic and renal pathways. Cyclophosphamide is primarily excreted as metabolites. Ten to 20% is excreted unchanged in the urine. A small percentage of cyclophosphamide may be eliminated unchanged in bile.
Specific Populations
Renal Impairment
Following one-hour intravenous infusion, cyclophosphamide AUC increased by 38% in patients with CLcr of 25 to 50 mL/min, by 77% in patients with CLcr of 10 to 24 mL/min and by 23% in the hemodialysis group (CLcr of < 10 mL/min) compared to the control group (CLcr ≥ 80 mL/min).
Cyclophosphamide is dialyzable. Dialysis clearance averaged 104 mL/min, which is similar to the metabolic clearance of 95 mL/min for cyclophosphamide. A mean of 37% of the administered dose of cyclophosphamide was removed during a 4-hour hemodialysis period. The t1/2 was 3.3 hours in patients during hemodialysis, a 49% reduction compared to t1/2 of 6.5 hours in uremic patients.
Hepatic Impairment
Cyclophosphamide CL is decreased by 40% (45 ± 8.6 L/kg) and t1/2 is prolonged by 64% (12.5 ± 1 hours) in patients with hepatic impairment with a mean bilirubin 3.5 mg/dL and mean AST 90 IU/L compared to patients with normal hepatic function (mean bilirubin 0.5 mg/dL, mean AST 10 IU/L).
6 Adverse Reactions
The following adverse reactions are discussed in more detail in other sections of the labeling.
- Hypersensitivity [see Contraindications (4)]
- Myelosuppression, Immunosuppression, Bone Marrow Failure, and Infections [see Warnings and Precautions (5.1)]
- Urinary Tract and Renal Toxicity [see Warnings and Precautions (5.2)]
- Cardiotoxicity [see Warnings and Precautions (5.3)]
- Pulmonary Toxicity [see Warnings and Precautions (5.4)]
- Secondary Malignancies [see Warnings and Precautions (5.5)]
- Veno-occlusive Liver Disease [see Warnings and Precautions (5.6)]
- Infertility [see Warnings and Precautions (5.8 ) and Use in Specific Populations (8.3,8.4)]
- Impaired Wound Healing [see Warnings and Precautions (5.9)]
- Hyponatremia [see Warnings and Precautions (5.10)]
5.4 Pulmonary Toxicity
Pneumonitis, pulmonary fibrosis, pulmonary veno-occlusive disease and other forms of pulmonary toxicity leading to respiratory failure have been reported during and following treatment with cyclophosphamide. Late onset pneumonitis (greater than 6 months after start of cyclophosphamide) appears to be associated with increased mortality. Pneumonitis may develop years after treatment with cyclophosphamide.
Monitor patients for signs and symptoms of pulmonary toxicity.
8.7 Hepatic Impairment
Patients with severe hepatic impairment have reduced conversion of cyclophosphamide to the active 4-hydroxyl metabolite, potentially reducing efficacy [see Clinical Pharmacology (12.3)]. Monitor patients with severe hepatic impairment (total bilirubin > 3 x ULN and any aspartate aminotransferase (AST)) for reduced effectiveness of cyclophosphamide.
1 Indications and Usage
Cyclophosphamide for injection is an alkylating drug indicated for treatment of adults and pediatric patients with:
- Malignant Diseases: malignant lymphomas: Hodgkin's disease, lymphocytic lymphoma, mixed-cell type lymphoma, histiocytic lymphoma, Burkitt's lymphoma; multiple myeloma, leukemias, mycosis fungoides, neuroblastoma, adenocarcinoma of ovary, retinoblastoma, breast carcinoma. (1.1)
- Minimal Change Nephrotic Syndrome in Pediatric Patients: biopsy proven minimal change nephrotic syndrome patients who failed to adequately respond to or are unable to tolerate adrenocorticosteroid therapy. (1.2)
Limitations of Use:
The safety and effectiveness for the treatment of nephrotic syndrome in adults or other renal disease has not been established. (1.2)
Principal Display Panel
NDC: 70121–1238–1
Cyclophosphamide for Injection USP, 500 mg/Vial
Rx Only
Amneal Pharmaceuticals LLC
NDC: 70121–1239–1
Cyclophosphamide for Injection USP, 1 g/Vial
Rx Only
Amneal Pharmaceuticals LLC
NDC: 70121–1240–1
Cyclophosphamide for Injection USP, 2 g/Vial
Rx Only
Amneal Pharmaceuticals LLC
1.1 Malignant Diseases
Cyclophosphamide for injection is indicated for the treatment of adult and pediatric patients with:
- malignant lymphomas (Stages III and IV of the Ann Arbor staging system), Hodgkin’s disease, lymphocytic lymphoma (nodular or diffuse), mixed-cell type lymphoma, histiocytic lymphoma, Burkitt’s lymphoma
- multiple myeloma
- leukemias: chronic lymphocytic leukemia, chronic granulocytic leukemia (it is usually ineffective in acute blastic crisis), acute myelogenous and monocytic leukemia, acute lymphoblastic (stem-cell) leukemia (cyclophosphamide for injection given during remission is effective in prolonging its duration)
- mycosis fungoides (advanced disease)
- neuroblastoma (disseminated disease)
- adenocarcinoma of the ovary
- retinoblastoma
- carcinoma of the breast
Cyclophosphamide for injection, although effective alone in susceptible malignancies, is more frequently used concurrently or sequentially with other antineoplastic drugs.
12.1 Mechanism of Action
The mechanism of action has not been fully characterized. However, cross-linking of tumor cell DNA may be involved.
The active alkylating metabolites of cyclophosphamide interfere with the growth of susceptible rapidly proliferating malignant cells.
5.7 Embryo Fetal Toxicity
Based on its mechanism of action and published reports of effects in pregnant patients or animals, Cyclophosphamide can cause fetal harm when administered to a pregnant woman [see Use in Specific Populations (8.1), Clinical Pharmacology (12.1), and Nonclinical Toxicology (13.1) ]. Exposure to cyclophosphamide during pregnancy may cause birth defects, miscarriage, fetal growth retardation, and fetotoxic effects in the newborn. Cyclophosphamide is teratogenic and embryo-fetal toxic in mice, rats, rabbits and monkeys.
Advise pregnant women and females of reproductive potential of the potential risk to a fetus [see Use in Specific Populations (8.1)]. Advise females of reproductive potential to use effective contraception during treatment with cyclophosphamide for injection and for up to 1 year after completion of therapy. Advise male patients with female partners of reproductive potential to use effective contraception during treatment with cyclophosphamide for injection and for 4 months after completion of therapy [see Use in Specific Populations (8.1, 8.3)] .
5 Warnings and Precautions
- Myelosuppression, Immunosuppression, Bone Marrow Failure and Infections: Severe immunosuppression may lead to serious and sometimes fatal infections. Close hematological monitoring is required. (5.1)
- Urinary Tract and Renal Toxicity: Hemorrhagic cystitis, pyelitis, ureteritis, and hematuria can occur. Urotoxicity can be fatal. Exclude or correct any urinary tract obstructions prior to treatment. (5.2)
- Cardiotoxicity: Myocarditis, myopericarditis, pericardial effusion, arrythmias and congestive heart failure, which may be fatal, have been reported. Monitor patients, especially those with risk factors for cardiotoxicity or pre-existing cardiac disease. (5.3)
- Pulmonary Toxicity: Pneumonitis, pulmonary fibrosis and pulmonary veno-occlusive disease leading to respiratory failure may occur. Monitor patients for signs and symptoms of pulmonary toxicity. (5.4)
- Secondary malignancies (5.5)
- Veno-occlusive Liver Disease: Fatal outcome can occur. (5.6)
- Embryo-Fetal Toxicity: Can cause fetal harm. Advise patients of reproductive potential of the potential risk to a fetus and to use effective contraception.(5.7, 8.1, 8.3)
5.5 Secondary Malignancies
Cyclophosphamide is genotoxic [see Nonclinical Toxicology (13.1)]. Secondary malignancies (urinary tract cancer, myelodysplasia, acute leukemias, lymphomas, thyroid cancer, and sarcomas) have been reported in patients treated with cyclophosphamide-containing regimens. The risk of bladder cancer may be reduced by prevention of hemorrhagic cystitis.
2 Dosage and Administration
During or immediately after cyclophosphamide for Injection administration, administer adequate amounts of fluid to reduce the risk of urinary tract toxicity (2.1).
Malignant Diseases: Adult and Pediatric Patients (2.2)
- Intravenous: Initial course for patients with no hematologic deficiency: 40 mg per kg to 50 mg per kg in divided doses over 2 to 5 days. Other regimens include 10 mg per kg to 15 mg per kg given every 7 to 10 days or 3 mg per kg to 5 mg per kg twice weekly.
- Oral: 1 mg per kg per day to 5 mg per kg per day for both initial and maintenance dosing.
Minimal Change Nephrotic Syndrome in Pediatric Patients (2.3)
- Oral : 2 mg per kg daily for 8 to 12 weeks (maximum cumulative dose 168 mg per kg).
- Treatment beyond 90 days increases the probability of sterility in males. (8.4)
3 Dosage Forms and Strengths
Cyclophosphamide for injection, USP is a sterile white powder available in single-dose vials
- 500 mg
- 1 g
- 2 g
8 Use in Specific Populations
5.9 Impairment of Wound Healing
Cyclophosphamide may interfere with normal wound healing.
5.6 Veno Occlusive Liver Disease
Veno-occlusive liver disease (VOD) including fatal outcome has been reported in patients receiving cyclophosphamide-containing regimens. A cytoreductive regimen in preparation for bone marrow transplantation that consists of cyclophosphamide in combination with whole-body irradiation, busulfan, or other agents has been identified as a major risk factor. VOD has also been reported to develop gradually in patients receiving long-term low-dose immunosuppressive doses of cyclophosphamide. Other risk factors predisposing to the development of VOD include preexisting disturbances of hepatic function, previous radiation therapy of the abdomen, and a low performance status.
17 Patient Counseling Information
Advise the patient of the following:
Myelosuppression, Immunosuppression and Infections
- Inform patients of the possibility of myelosuppression, immunosuppression, and infections (sometimes fatal). Explain the need for routine blood cell counts. Instruct patients to monitor their temperature frequently and immediately report any occurrence of fever [see Warnings and Precautions (5.1)]
Urinary Tract and Renal Toxicity
- Advise the patient to report urinary symptoms (patients should report if their urine has turned a pink or red color) and the need for increasing fluid intake and frequent voiding [see Warnings and Precautions (5.2)].
Cardiotoxicity
-
Inform patients of the possibility of cardiotoxicity (which may be fatal).
- Advise patients to contact a health care professional immediately for any of the following: new onset or worsening shortness of breath, cough, swelling of the ankles/legs, palpitations, weight gain of more than 5 pounds in 24 hours, dizziness or loss of consciousness [see Warnings and Precautions (5.3)].
Pulmonary Toxicity
- Warn patients of the possibility of developing non-infectious pneumonitis. Advise patients to report promptly any new or worsening respiratory symptoms [see Warnings and Precautions (5.4)].
Secondary Malignancies
- Inform patients that there is an increased risk of secondary malignancies with cyclophosphamide for injection [see Warnings and Precautions (5.5)].
Embryo-Fetal Toxicity
- Inform female patients of the risk to a fetus and potential loss of the pregnancy. Advise females to inform their healthcare provider of a known or suspected pregnancy [see Warnings and Precautions (5.7) and Use in Specific Populations (8.1)].
- Advise female patients of reproductive potential to use effective contraception during treatment and for up to 1 year after completion of therapy [see Warnings and Precautions (5.7) and Use in Specific Populations (8.1, 8.3)].
- Advise male patients with female partners of reproductive potential to use effective contraception during treatment and for 4 months after completion of therapy [see Warnings and Precautions (5.7) and Use in Specific Populations (8.1, 8.3)].
Lactation
- Advise lactating women not to breastfeed during treatment and for 1 week after the last dose of cyclophosphamide for injection [see Use in Specific Populations (8.2)].
Infertility
- Advise males and females of reproductive potential that cyclophosphamide for injection may impair fertility [see Warnings and Precautions (5.8) and Use in Specific Populations (8.3, 8.4)].
Common Adverse Reactions
- Explain to patients that side effects such as nausea, vomiting, stomatitis, impaired wound healing, amenorrhea, premature menopause, sterility and hair loss may be associated with cyclophosphamide administration. Other undesirable effects (including, e.g., dizziness, blurred vision, visual impairment) could affect the ability to drive or use machines [see Adverse Reactions (6.1)].
Hydration and Important Administration Instructions
- Advise the patients that during or immediately after the administration, adequate amounts of fluid are required to reduce the risk of urinary tract toxicity [see Dosage and Administration (2.1)].
Manufactured by:
Amneal Oncology Pvt. Ltd.
Telangana 509301, INDIA
Distributed by:
Amneal Pharmaceuticals LLC
Bridgewater, NJ 08807
Rev. 12-2025-04
5.2 Urinary Tract and Renal Toxicity
Hemorrhagic cystitis, pyelitis, ureteritis, and hematuria have been reported with cyclophosphamide. Medical and/or surgical supportive treatment may be required to treat protracted cases of severe hemorrhagic cystitis. Discontinue cyclophosphamide therapy in case of severe hemorrhagic cystitis. Urotoxicity (bladder ulceration, necrosis, fibrosis, contracture and secondary cancer) may require interruption of cyclophosphamide treatment or cystectomy. Urotoxicity can be fatal. Urotoxicity can occur with short-term or long-term use of cyclophosphamide.
Before starting treatment, exclude or correct any urinary tract obstructions [see Contraindications (4)]. Urinary sediment should be checked regularly for the presence of erythrocytes and other signs of urotoxicity and/or nephrotoxicity. Cyclophosphamide should be used with caution, if at all, in patients with active urinary tract infections. Aggressive hydration with forced diuresis and frequent bladder emptying can reduce the frequency and severity of bladder toxicity. Mesna has been used to prevent severe bladder toxicity.
16 How Supplied/storage and Handling
Cyclophosphamide for Injection, USP is a sterile white powder containing cyclophosphamide, USP and is supplied in vials for single-dose use. It is available as follows:
500 mg/vial
1 Vial in Carton: NDC 70121-1238-1
1 g/vial
1 Vial in Carton: NDC 70121-1239-1
2 g/vial
1 Vial in Carton: NDC 70121-1240-1
Store vials at or below 25°C (77°F). During transport or storage of cyclophosphamide vials, temperature influences can lead to melting of the active ingredient, cyclophosphamide [see Dosage and Administration (2.4)].
Cyclophosphamide is a hazardous product. Follow special handling and disposal procedures.1
2.1 Important Administration Instructions
During or immediately after the administration of cyclophosphamide for injection, adequate amounts of fluid should be ingested or infused to force diuresis in order to reduce the risk of urinary tract toxicity. Therefore, cyclophosphamide for injection should be administered in the morning.
2.2 Recommended Dosage for Malignant Diseases
Adults and Pediatric Patients
Intravenous Use
When used as the only oncolytic drug therapy, the recommended dosage for the initial course of cyclophosphamide for injection for patients with no hematologic deficiency is 40 mg per kg to 50 mg per kg given intravenously in divided doses over a period of 2 to 5 days. Other intravenous regimens include 10 mg per kg to 15 mg per kg given every 7 to 10 days or 3 mg per kg to 5 mg per kg twice weekly.
Oral Use
The recommended dosage for oral cyclophosphamide is 1 mg per kg per day to 5 mg per kg per day for both initial and maintenance dosing.
Adjust the dosage of cyclophosphamide for injection based on the specific regimen administered, response to treatment, myelosuppression or other adverse reactions, and patient risk factors [see Warnings and Precautions (5)].
2.4 Preparation, Handling, and Administration
Cyclophosphamide for is a hazardous drug. Follow applicable special handling and disposal procedures.1 Caution should be exercised when handling and preparing cyclophosphamide for injection. To minimize the risk of dermal exposure, always wear gloves when handling vials containing cyclophosphamide for injection.
Cyclophosphamide for Injection
Intravenous Administration
Parenteral drug products should be inspected visually for particulate matter and discoloration prior to administration, whenever solution and container permit. Do not use cyclophosphamide for injection vials if there are signs of melting. Melted cyclophosphamide for injection is a clear or yellowish viscous liquid usually found as a connected phase or in droplets in the affected vials.
Cyclophosphamide for injection does not contain any antimicrobial preservative and thus care must be taken to assure the sterility of prepared solutions. Use aseptic technique.
For Direct Intravenous Injection
Reconstitute Cyclophosphamide for Injection with 0.9% Sodium Chloride Injection, USP only, using the volumes listed below in Table 1. Shake the vial vigorously to dissolve the drug completely. Do not use Sterile Water for Injection, USP because it results in a hypotonic solution and should not be injected directly. Discard unused solution.
Table 1: Reconstitution for Direct Intravenous Injection
|
Strength |
Volume of 0.9% Sodium Chloride |
Cyclophosphamide for Injection Concentration |
|
500 mg |
25 mL |
20 mg per mL |
|
1 g |
50 mL |
|
|
2 g |
100 mL |
For Intravenous Infusion
Reconstitution of Cyclophosphamide for Injection:
Reconstitute Cyclophosphamide for Injection using 0.9% Sodium Chloride Injection, USP or Sterile Water for Injection, USP with the volume of diluent listed below in Table 2. Add the diluent to the vial and shake the vial vigorously to dissolve the drug completely. Discard unused solution.
Table 2: Reconstitution in preparation for Intravenous Infusion
|
Strength |
Volume of Diluent |
Cyclophosphamide for Injection Concentration |
|
500 mg |
25 mL |
20 mg per mL |
|
1 g |
50 mL |
|
|
2 g |
100 mL |
Dilution of Reconstituted Cyclophosphamide for Injection:
Further dilute the reconstituted cyclophosphamide for injection solution to a minimum concentration of 2 mg per mL with any of the following diluents:
- 0.45% Sodium Chloride Injection, USP
- 5% Dextrose Injection, USP
- 5% Dextrose and 0.9% Sodium Chloride Injection, USP
To reduce the likelihood of adverse reactions that appear to be administration rate-dependent (e.g., facial swelling, headache, nasal congestion, scalp burning), cyclophosphamide for injection should be injected or infused very slowly. Duration of the infusion also should be appropriate for the volume and type of carrier fluid to be infused.
Storage of Reconstituted and Diluted Cyclophosphamide for Injection Solution
If not used immediately, for microbiological integrity, cyclophosphamide for injection solutions should be stored as described in Table 3:
Table 3: Storage of Cyclophosphamide for Injection Solutions
|
Diluent |
Storage |
|
|
Room Temperature |
Refrigerated |
|
|
Reconstituted Solution (Without Further Dilution) |
||
|
0.9% Sodium Chloride Injection, USP |
up to 24 hours |
Up to 6 days |
|
Sterile Water for Injection, USP |
Do not store; use immediately |
|
|
Diluted Solutions* |
||
|
0.45% Sodium Chloride Injection, USP |
up to 24 hours |
up to 6 days |
|
5% Dextrose Injection, USP |
up to 24 hours |
up to 36 hours |
|
5% Dextrose and 0.9% Sodium Chloride Injection, USP |
up to 24 hours |
up to 36 hours |
|
* Storage time is the total time cyclophosphamide for injection is in solution including the time it is reconstituted in 0.9% Sterile Sodium Chloride Injection, USP or Sterile Water for Injection, USP. |
Reconstituted Solution for Oral Administration
Liquid preparations of cyclophosphamide for oral administration may be prepared by dissolving cyclophosphamide for injection in Aromatic Elixir, National Formulary (NF).
Store preparations under refrigeration in glass containers and use within 14 days. See the prescribing information for cyclophosphamide for oral use for additional dosage information.
7.3 Effect of Cyclophosphamide On Other Drugs
Metronidazole
Acute encephalopathy has been reported in a patient receiving cyclophosphamide and metronidazole. Monitor for neurologic toxicities in patients receiving metronidazole.
Tamoxifen
Concomitant use of tamoxifen and a cyclophosphamide-containing chemotherapy regimen may increase the risk of thromboembolic complications. Monitor for signs and symptoms of thromboembolic events in patients receiving tamoxifen.
Coumarins
Both increased and decreased warfarin effect have been reported in patients receiving warfarin and cyclophosphamide. Monitor anticoagulant activity closely in patients receiving warfarin or other coumarins.
Cyclosporine
Concomitant administration of cyclophosphamide may decrease serum concentrations of cyclosporine. This interaction may result in an increased incidence of graft-versus-host disease. Monitor for signs and symptoms of graft-versus-host disease in patients receiving cyclosporine.
Depolarizing muscle relaxants
If a patient has been treated with cyclophosphamide within 10 days of general anesthesia, alert the anesthesiologist.
Cyclophosphamide causes a marked and persistent inhibition of cholinesterase activity. Prolonged apnea may occur with concurrent depolarizing muscle relaxants (e.g., succinylcholine).
8.3 Females and Males of Reproductive Potential
Cyclophosphamide for injection can cause fetal harm when administered to a pregnant woman [see Use in Specific Populations (8.1)].
Pregnancy Testing
Verify the pregnancy status of females of reproductive potential prior to the initiation of cyclophosphamide for injection.
Contraception
Females
Advise females of reproductive potential to use effective contraception during treatment with Cyclophosphamide for injection and for up to 1 year after completion of therapy.
Males
Based on findings in genetic toxicity and animal reproduction studies, advise male patients with female partners of reproductive potential to use effective contraception during treatment with Cyclophosphamide for injection and for 4 months after completion of therapy [see Nonclinical Toxicology (13.1)].
Infertility
Females
Amenorrhea, transient or permanent, associated with decreased estrogen and increased gonadotropin secretion develops in a proportion of women treated with cyclophosphamide. Affected patients generally resume regular menses within a few months after cessation of therapy. The risk of premature menopause with cyclophosphamide increases with age. Oligomenorrhea has also been reported in association with cyclophosphamide treatment.
Animal data suggest an increased risk of failed pregnancy and malformations may persist after discontinuation of cyclophosphamide as long as oocytes/follicles exist that were exposed to cyclophosphamide during any of their maturation phases. The exact duration of follicular development in humans is not known, but may be longer than 12 months [see Nonclinical Toxicology (13.1)].
Males
Men treated with cyclophosphamide may develop oligospermia or azoospermia which are normally associated with increased gonadotropin but normal testosterone secretion.
6.1 Clinical Trials and Post Marketing Experience
The following adverse reactions associated with the use of cyclophosphamide were identified in clinical studies or post-marketing reports. Because some of these reactions were reported voluntarily from a population of uncertain size, it is not always possible to reliably estimate their frequency or establish a causal relationship to drug exposure.
The most common adverse reactions were neutropenia, febrile neutropenia, fever, alopecia, nausea, vomiting, and diarrhea.
Cardiac: cardiac arrest, ventricular fibrillation, ventricular tachycardia, cardiogenic shock, pericardial effusion (progressing to cardiac tamponade), myocardial hemorrhage, myocardial infarction, cardiac failure (including fatal outcomes), cardiomyopathy, myocarditis, pericarditis, carditis, atrial fibrillation, supraventricular arrhythmia, ventricular arrhythmia, bradycardia, tachycardia, palpitations, QT prolongation.
Congenital, Familial and Genetic: intra-uterine death, fetal malformation, fetal growth retardation, fetal toxicity (including myelosuppression, gastroenteritis).
Ear and Labyrinth: deafness, hearing impaired, tinnitus.
Endocrine: water intoxication.
Eye: visual impairment, conjunctivitis, lacrimation.
Gastrointestinal: gastrointestinal hemorrhage, acute pancreatitis, colitis, enteritis, cecitis, stomatitis, constipation, parotid gland inflammation, nausea, vomiting, diarrhea.
General Disorders and Administrative Site Conditions: multiorgan failure, general physical deterioration, influenza-like illness, injection/infusion site reactions (thrombosis, necrosis, phlebitis, inflammation, pain, swelling, erythema), pyrexia, edema, chest pain, mucosal inflammation, asthenia, pain, chills, fatigue, malaise, headache, headache, febrile neutropenia.
Hematologic: myelosuppression, bone marrow failure, disseminated intravascular coagulation and hemolytic uremic syndrome (with thrombotic microangiopathy).
Hepatic: veno-occlusive liver disease, cholestatic hepatitis, cytolytic hepatitis, hepatitis, cholestasis; hepatotoxicity with hepatic failure, hepatic encephalopathy, ascites, hepatomegaly, blood bilirubin increased, hepatic function abnormal, hepatic enzymes increased.
Immune: immunosuppression, anaphylactic shock and hypersensitivity reaction.
Infections: The following manifestations have been associated with myelosuppression and immunosuppression caused by cyclophosphamide: increased risk for and severity of pneumonias (including fatal outcomes), other bacterial, fungal, viral, protozoal and, parasitic infections; reactivation of latent infections, (including viral hepatitis, tuberculosis), pneumocystis jiroveci, herpes zoster, strongyloides, sepsis and septic shock.
Investigations: blood lactate dehydrogenase increased, C-reactive protein increased.
Metabolism and Nutrition: hyponatremia, fluid retention, blood glucose increased, blood glucose decreased.
Musculoskeletal and Connective Tissue: rhabdomyolysis, scleroderma, muscle spasms, myalgia, arthralgia.
Neoplasms: acute leukemia, myelodysplastic syndrome, lymphoma, sarcomas, renal cell carcinoma, renal pelvis cancer, bladder cancer, ureteric cancer, thyroid cancer.
Nervous System: encephalopathy, convulsion, dizziness, neurotoxicity has been reported and manifested as reversible posterior leukoencephalopathy syndrome, myelopathy, peripheral neuropathy, polyneuropathy, neuralgia, dysesthesia, hypoesthesia, paresthesia, tremor, dysgeusia, hypogeusia, parosmia.
Pregnancy: premature labor.
Psychiatric: confusional state.
Renal and Urinary: renal failure, renal tubular disorder, renal impairment, nephropathy toxic, hemorrhagic cystitis, bladder necrosis, cystitis ulcerative, bladder contracture, hematuria, nephrogenic diabetes insipidus, atypical urinary bladder epithelial cells.
Reproductive System: infertility, ovarian failure, ovarian disorder, amenorrhea, oligomenorrhea, testicular atrophy, azoospermia, oligospermia.
Respiratory: pulmonary veno-occlusive disease, acute respiratory distress syndrome, interstitial lung disease as manifested by respiratory failure (including fatal outcomes), obliterative bronchiolitis, organizing pneumonia, alveolitis allergic, pneumonitis, pulmonary hemorrhage; respiratory distress, pulmonary hypertension, pulmonary edema, pleural effusion, bronchospasm, dyspnea, hypoxia, cough, nasal congestion, nasal discomfort, oropharyngeal pain, rhinorrhea.
Skin and Subcutaneous Tissue: toxic epidermal necrolysis, Stevens-Johnson syndrome, erythema multiforme, palmar-plantar erythrodysesthesia syndrome, radiation recall dermatitis, toxic skin eruption, urticaria, dermatitis, blister, pruritus, erythema, nail disorder, facial swelling, hyperhidrosis, alopecia.
Tumor lysis syndrome: like other cytotoxic drugs, cyclophosphamide may induce tumor-lysis syndrome and
hyperuricemia in patients with rapidly growing tumors.
Vascular: pulmonary embolism, venous thrombosis, vasculitis, peripheral ischemia, hypertension, hypotension, flushing, hot flush.
7.2 Drugs That Potentiate Cyclophosphamide Toxicities
Radiation therapy or drugs with similar toxicities to cyclophosphamide for injection can potentiate toxicities for cyclophosphamide. Monitor for increased toxicities in patients receiving radiation therapy or drugs known to cause:
- Myelosuppression and/or immunosuppression [see Warnings and Precautions (5.1)]
- Nephrotoxicity including hemorrhagic cystitis [see Warnings and Precautions (5.2)]
- Cardiotoxicity [see Warnings and Precautions (5.3)]
- Pulmonary toxicity [see Warnings and Precautions (5.4)]
- Secondary malignancies [see Warnings and Precautions (5.5)]
- Hepatotoxicity including liver necrosis and VOD [see Warnings and Precautions(5.6)]
7.1 Effect of Other Drugs On Cyclophosphamide Exposure
Protease Inhibitors
Concomitant use of protease inhibitors may increase the concentration of cytotoxic metabolites and may enhance the toxicities of cyclophosphamide, including higher incidence of infections, neutropenia, and mucositis. Monitor for increased toxicities in patients receiving protease inhibitors.
13.1 Carcinogenesis, Mutagenesis, Impairment of Fertility
Cyclophosphamide administered by different routes, including intravenous, subcutaneous or intraperitoneal injection, or in drinking water, caused tumors in both mice and rats. In addition to leukemia and lymphoma, benign and malignant tumors were found at various tissue sites, including urinary bladder, mammary gland, lung, liver, and injection site [see Warnings and Precautions (5.5)].
Cyclophosphamide was mutagenic and clastogenic in multiple in vitro and in vivo genetic toxicology studies.
Cyclophosphamide is genotoxic in male and female germ cells. Animal data indicate that exposure of oocytes to cyclophosphamide during follicular development may result in a decreased rate of implantations and viable pregnancies, and in an increased risk of malformations. Male mice and rats treated with cyclophosphamide show alterations in male reproductive organs (e.g., decreased weights, atrophy, changes in spermatogenesis), and decreases in reproductive potential (e.g., decreased implantations and increased post-implantation loss) and increases in fetal malformations when mated with untreated females [see Use in Specific Populations (8.3) ].
1.2 Minimal Change Nephrotic Syndrome in Pediatric Patients
Cyclophosphamide for injection is indicated for the treatment of biopsy proven minimal change nephrotic syndrome in pediatric patients who failed to adequately respond to or are unable to tolerate adrenocorticosteroid therapy.
Limitations of Use:
The safety and effectiveness of cyclophosphamide for injection for the treatment of nephrotic syndrome in adults or other renal disease has not been established.
5.1 Myelosuppression, Immunosuppression, Bone Marrow Failure and Infections
Cyclophosphamide can cause myelosuppression (leukopenia, neutropenia, thrombocytopenia and anemia), bone marrow failure, and severe immunosuppression which may lead to serious and sometimes fatal infections, including sepsis and septic shock. Latent infections can be reactivated [see Adverse Reactions (6.1)].
Antimicrobial prophylaxis may be indicated in certain cases of neutropenia at the discretion of the managing physician. In case of neutropenic fever, antibiotic therapy is indicated. Antimycotics and/or antivirals may also be indicated.
Monitoring of complete blood counts is essential during cyclophosphamide treatment so that the dose can be adjusted, if needed. Cyclophosphamide should not be administered to patients with neutrophils ≤ 1,500/mm3 and platelets < 50,000/mm3. Cyclophosphamide treatment may not be indicated, or should be interrupted, or the dose reduced, in patients who have or who develop a serious infection. G-CSF may be administered to reduce the risks of neutropenia complications associated with cyclophosphamide use. Primary and secondary prophylaxis with G-CSF should be considered in all patients considered to be at increased risk for neutropenia complications. The nadirs of the reduction in leukocyte count and thrombocyte count are usually reached in weeks 1 and 2 of treatment. Peripheral blood cell counts are expected to normalize after approximately 20 days. Bone marrow failure has been reported. Severe myelosuppression may be expected particularly in patients pretreated with and/or receiving concomitant chemotherapy and/or radiation therapy.
2.3 Recommended Dosage for Minimal Change Nephrotic Syndrome in Pediatric Patients
The recommended dosage is 2 mg per kg orally once daily for 8 to 12 weeks (maximum cumulative dose 168 mg per kg) is recommended. Treatment beyond 90 days increases the probability of sterility in males [see Use in Specific Populations (8.4)].
Structured Label Content
8.1 Pregnancy
Risk Summary
Based on its mechanism of action and published reports of effects in pregnant patients or animals, Cyclophosphamide for injection can cause fetal harm when administered to a pregnant woman [see Clinical Pharmacology (12.1) and Nonclinical Toxicology (13.1)]. Exposure to cyclophosphamide during pregnancy may cause fetal malformations, miscarriage, fetal growth retardation, and toxic effects in the newborn [see Data]. Cyclophosphamide is teratogenic and embryo-fetal toxic in mice, rats, rabbits and monkeys [see Data]. Advise pregnant women and females of reproductive potential of the potential risk to the fetus.
The estimated background risk of major birth defects and miscarriage for the indicated population is unknown. In the U.S. general population, the estimated background risk of major birth defects is 2% to 4% and miscarriage is 15% to 20% of clinically recognized pregnancies.
Data
Human Data
Malformations of the skeleton, palate, limbs and eyes as well as miscarriage have been reported after exposure to cyclophosphamide in the first trimester. Fetal growth retardation and toxic effects manifesting in the newborn, including leukopenia, anemia, pancytopenia, severe bone marrow hypoplasia, and gastroenteritis have been reported after exposure to cyclophosphamide.
Animal Data
Administration of cyclophosphamide to pregnant mice, rats, rabbits and monkeys during the period of organogenesis at doses at or below the dose in patients based on body surface area resulted in various malformations, which included neural tube defects, limb and digit defects and other skeletal anomalies, cleft lip and palate, and reduced skeletal ossification.
8.2 Lactation
Risk summary
Cyclophosphamide is present in breast milk. Neutropenia, thrombocytopenia, low hemoglobin, and diarrhea have been reported in infants breast fed by women treated with cyclophosphamide. Because of the potential for serious adverse reactions in a breastfed child, advise lactating women not to breastfeed during treatment with cyclophosphamide for injection and for 1 week after the last dose.
10 Overdosage (10 OVERDOSAGE)
No specific antidote for cyclophosphamide is known.
Overdosage should be managed with supportive measures, including appropriate treatment for any concurrent infection, myelosuppression, or cardiac toxicity should it occur.
Serious consequences of overdosage include manifestations of dose dependent toxicities such as myelosuppression, urotoxicity, cardiotoxicity (including cardiac failure), veno-occlusive hepatic disease, and stomatitis [see Warnings and Precautions (5.1, 5.2, 5.3 and 5.6)].
Patients who received an overdose should be closely monitored for the development of toxicities, and hematologic toxicity in particular.
Cyclophosphamide and its metabolites are dialyzable. Therefore, rapid hemodialysis is indicated when treating any suicidal or accidental overdose or intoxication [see Clinical Pharmacology (12.3)].
Cystitis prophylaxis with mesna may be helpful in preventing or limiting urotoxic effects with cyclophosphamide overdose.
15 References (15 REFERENCES)
1. OSHA Hazardous Drugs. OSHA. http://www.osha.gov/SLTC/hazardousdrugs/index.html.
5.8 Infertility
Male and female reproductive function and fertility may be impaired in patients being treated with cyclophosphamide for injection. Cyclophosphamide interferes with oogenesis and spermatogenesis. It may cause sterility in both sexes. Development of sterility appears to depend on the dose of cyclophosphamide, duration of therapy, and the state of gonadal function at the time of treatment. Cyclophosphamide-induced sterility may be irreversible in some patients. Advise patients on the potential risks for infertility [see Use in Specific Populations ( 8.3 , 8.4 )].
11 Description (11 DESCRIPTION)
Cyclophosphamide is a synthetic antineoplastic drug chemically related to the nitrogen mustards. The chemical name for cyclophosphamide is 2-[bis(2-chloroethyl)amino]tetrahydro-2H-1,3,2-oxazaphosphorine 2-oxide monohydrate, and has the following structural formula:
Cyclophosphamide, USP is a white crystalline powder with the molecular formula C7H15Cl2N2O2P•H2O and a molecular weight of 279.1. Cyclophosphamide is soluble in water, saline, or ethanol.
Cyclophosphamide for Injection, USP is a sterile white powder available as 500 mg, 1 g, and 2 g strength vials.
- 500 mg vial contains 534.5 mg cyclophosphamide monohydrate equivalent to 500 mg cyclophosphamide, USP.
- 1 g vial contains 1069 mg cyclophosphamide monohydrate equivalent to 1 g cyclophosphamide, USP.
- 2 g vial contains 2138 mg cyclophosphamide monohydrate equivalent to 2 g cyclophosphamide, USP.
5.10 Hyponatremia
Hyponatremia associated with increased total body water, acute water intoxication, and a syndrome resembling SIADH (syndrome of inappropriate secretion of antidiuretic hormone), which may be fatal, has been reported.
8.4 Pediatric Use
The safety and effectiveness of cyclophosphamide have been established in pediatric patients and information on this use is discussed throughout the labeling.
Pre-pubescent females who receive cyclophosphamide generally develop secondary sexual characteristics normally and have regular menses. Ovarian fibrosis with apparently complete loss of germ cells after prolonged administration of cyclophosphamide in late pre-pubescence has been reported. Females who received cyclophosphamide who have retained ovarian function after completing treatment are at increased risk of developing premature menopause.
Pre-pubescent males who receive cyclophosphamide develop secondary sexual characteristics normally, but may have oligospermia or azoospermia and increased gonadotropin secretion. Some degree of testicular atrophy may occur. Cyclophosphamide-induced azoospermia is reversible in some patients, though the reversibility may not occur for several years after cessation of therapy.
8.5 Geriatric Use
There is insufficient data from clinical studies of cyclophosphamide available for patients 65 years of age and older to determine whether they respond differently than younger patients. In general, dose selection for an elderly patient should be cautious, usually starting at the low end of the dosing range, reflecting the greater frequency of decreased hepatic, renal, or cardiac functioning, and of concomitant disease or other drug therapy.
5.3 Cardiotoxicity
Myocarditis, myopericarditis, pericardial effusion including cardiac tamponade, and congestive heart failure, which may be fatal, have been reported with cyclophosphamide therapy.
Supraventricular arrhythmias (including atrial fibrillation and flutter) and ventricular arrhythmias (including severe QT prolongation associated with ventricular tachyarrhythmia) have been reported after treatment with regimens that included cyclophosphamide.
The risk of cardiotoxicity may be increased with high doses of cyclophosphamide, in patients with advanced age, and in patients with previous radiation treatment to the cardiac region and/or previous or concomitant treatment with other cardiotoxic agents.
Particular caution is necessary in patients with risk factors for cardiotoxicity and in patients with pre-existing cardiac disease.
Monitor patients with risk factors for cardiotoxicity and with pre-existing cardiac disease.
4 Contraindications (4 CONTRAINDICATIONS)
Hypersensitivity
Cyclophosphamide for injection is contraindicated in patients who have a history of severe hypersensitivity reactions to cyclophosphamide, any of its metabolites, or to other components of the product. Anaphylactic reactions including death have been reported with cyclophosphamide. Cross-sensitivity with other alkylating agents can occur.
Urinary Outflow Obstruction
Cyclophosphamide for injection is contraindicated in patients with urinary outflow obstruction [see Warnings and Precautions (5.2)].
8.6 Renal Impairment
In patients with severe renal impairment, decreased renal excretion may result in increased plasma levels of cyclophosphamide and its metabolites, which may increase toxicity [see Clinical Pharmacology (12.3)]. Monitor patients with severe renal impairment (creatinine clearance (CLcr)=10 mL/min to 24 mL/min) for signs and symptoms of toxicity.
Cyclophosphamide and its metabolites are dialyzable although there are probably quantitative differences depending upon the dialysis system. In patients requiring dialysis, consider using a consistent interval between cyclophosphamide administration and dialysis.
12.2 Pharmacodynamics
Cyclophosphamide exposure-response relationships and the time course of pharmacodynamic response have not been fully characterized.
12.3 Pharmacokinetics
Cyclophosphamide is a prodrug. Cyclophosphamide pharmacokinetics are linear over the approved recommended dose range.
Distribution
The volume of distribution of cyclophosphamide is 30 to 50 L. Cyclophosphamide is approximately 20% protein bound, with no dose dependent changes. Some metabolites are greater than 60% protein bound.
Elimination
The elimination half-life (t1/2) of cyclophosphamide ranges from 3 to 12 hours, and clearance (CL) ranges from 4 to 5.6 L/h.
When cyclophosphamide was administered at 4 g/m2 (approximately 2 times the approved recommended dosage) over a 90-minute infusion, concentration-time data demonstrate saturable elimination in parallel with first-order renal elimination.
Metabolism
Cyclophosphamide is metabolized by cytochrome P450s including CYP2A6, 2B6, 3A, 2C9, and 2C19.Cyclophosphamide is activated to form 4-hydroxycyclophosphamide, which is in equilibrium with its ring-open tautomer aldophosphamide. 4-hydroxycyclophosphamide and aldophosphamide can undergo oxidation by aldehyde dehydrogenases to form the inactive metabolites 4-ketocyclophosphamide and carboxyphosphamide, respectively. Aldophosphamide can undergo β-elimination to form active metabolites phosphoramide mustard and acrolein. This spontaneous conversion can be catalyzed by albumin and other proteins.
At high doses, the fraction of parent compound cleared by 4-hydroxylation is reduced resulting in non-linear elimination of cyclophosphamide.
Cyclophosphamide appears to induce its own metabolism. This auto-induction results in an increase in CL, increased formation of active 4-hydroxylcyclophosphamide and shortened t1/2 following multiple doses administered at 12- hour to 24-hour interval.
Excretion
Cyclophosphamide and its metabolites are eliminated by hepatic and renal pathways. Cyclophosphamide is primarily excreted as metabolites. Ten to 20% is excreted unchanged in the urine. A small percentage of cyclophosphamide may be eliminated unchanged in bile.
Specific Populations
Renal Impairment
Following one-hour intravenous infusion, cyclophosphamide AUC increased by 38% in patients with CLcr of 25 to 50 mL/min, by 77% in patients with CLcr of 10 to 24 mL/min and by 23% in the hemodialysis group (CLcr of < 10 mL/min) compared to the control group (CLcr ≥ 80 mL/min).
Cyclophosphamide is dialyzable. Dialysis clearance averaged 104 mL/min, which is similar to the metabolic clearance of 95 mL/min for cyclophosphamide. A mean of 37% of the administered dose of cyclophosphamide was removed during a 4-hour hemodialysis period. The t1/2 was 3.3 hours in patients during hemodialysis, a 49% reduction compared to t1/2 of 6.5 hours in uremic patients.
Hepatic Impairment
Cyclophosphamide CL is decreased by 40% (45 ± 8.6 L/kg) and t1/2 is prolonged by 64% (12.5 ± 1 hours) in patients with hepatic impairment with a mean bilirubin 3.5 mg/dL and mean AST 90 IU/L compared to patients with normal hepatic function (mean bilirubin 0.5 mg/dL, mean AST 10 IU/L).
6 Adverse Reactions (6 ADVERSE REACTIONS)
The following adverse reactions are discussed in more detail in other sections of the labeling.
- Hypersensitivity [see Contraindications (4)]
- Myelosuppression, Immunosuppression, Bone Marrow Failure, and Infections [see Warnings and Precautions (5.1)]
- Urinary Tract and Renal Toxicity [see Warnings and Precautions (5.2)]
- Cardiotoxicity [see Warnings and Precautions (5.3)]
- Pulmonary Toxicity [see Warnings and Precautions (5.4)]
- Secondary Malignancies [see Warnings and Precautions (5.5)]
- Veno-occlusive Liver Disease [see Warnings and Precautions (5.6)]
- Infertility [see Warnings and Precautions (5.8 ) and Use in Specific Populations (8.3,8.4)]
- Impaired Wound Healing [see Warnings and Precautions (5.9)]
- Hyponatremia [see Warnings and Precautions (5.10)]
5.4 Pulmonary Toxicity
Pneumonitis, pulmonary fibrosis, pulmonary veno-occlusive disease and other forms of pulmonary toxicity leading to respiratory failure have been reported during and following treatment with cyclophosphamide. Late onset pneumonitis (greater than 6 months after start of cyclophosphamide) appears to be associated with increased mortality. Pneumonitis may develop years after treatment with cyclophosphamide.
Monitor patients for signs and symptoms of pulmonary toxicity.
8.7 Hepatic Impairment
Patients with severe hepatic impairment have reduced conversion of cyclophosphamide to the active 4-hydroxyl metabolite, potentially reducing efficacy [see Clinical Pharmacology (12.3)]. Monitor patients with severe hepatic impairment (total bilirubin > 3 x ULN and any aspartate aminotransferase (AST)) for reduced effectiveness of cyclophosphamide.
1 Indications and Usage (1 INDICATIONS AND USAGE)
Cyclophosphamide for injection is an alkylating drug indicated for treatment of adults and pediatric patients with:
- Malignant Diseases: malignant lymphomas: Hodgkin's disease, lymphocytic lymphoma, mixed-cell type lymphoma, histiocytic lymphoma, Burkitt's lymphoma; multiple myeloma, leukemias, mycosis fungoides, neuroblastoma, adenocarcinoma of ovary, retinoblastoma, breast carcinoma. (1.1)
- Minimal Change Nephrotic Syndrome in Pediatric Patients: biopsy proven minimal change nephrotic syndrome patients who failed to adequately respond to or are unable to tolerate adrenocorticosteroid therapy. (1.2)
Limitations of Use:
The safety and effectiveness for the treatment of nephrotic syndrome in adults or other renal disease has not been established. (1.2)
Principal Display Panel (PRINCIPAL DISPLAY PANEL)
NDC: 70121–1238–1
Cyclophosphamide for Injection USP, 500 mg/Vial
Rx Only
Amneal Pharmaceuticals LLC
NDC: 70121–1239–1
Cyclophosphamide for Injection USP, 1 g/Vial
Rx Only
Amneal Pharmaceuticals LLC
NDC: 70121–1240–1
Cyclophosphamide for Injection USP, 2 g/Vial
Rx Only
Amneal Pharmaceuticals LLC
1.1 Malignant Diseases
Cyclophosphamide for injection is indicated for the treatment of adult and pediatric patients with:
- malignant lymphomas (Stages III and IV of the Ann Arbor staging system), Hodgkin’s disease, lymphocytic lymphoma (nodular or diffuse), mixed-cell type lymphoma, histiocytic lymphoma, Burkitt’s lymphoma
- multiple myeloma
- leukemias: chronic lymphocytic leukemia, chronic granulocytic leukemia (it is usually ineffective in acute blastic crisis), acute myelogenous and monocytic leukemia, acute lymphoblastic (stem-cell) leukemia (cyclophosphamide for injection given during remission is effective in prolonging its duration)
- mycosis fungoides (advanced disease)
- neuroblastoma (disseminated disease)
- adenocarcinoma of the ovary
- retinoblastoma
- carcinoma of the breast
Cyclophosphamide for injection, although effective alone in susceptible malignancies, is more frequently used concurrently or sequentially with other antineoplastic drugs.
12.1 Mechanism of Action
The mechanism of action has not been fully characterized. However, cross-linking of tumor cell DNA may be involved.
The active alkylating metabolites of cyclophosphamide interfere with the growth of susceptible rapidly proliferating malignant cells.
5.7 Embryo Fetal Toxicity (5.7 Embryo-Fetal Toxicity)
Based on its mechanism of action and published reports of effects in pregnant patients or animals, Cyclophosphamide can cause fetal harm when administered to a pregnant woman [see Use in Specific Populations (8.1), Clinical Pharmacology (12.1), and Nonclinical Toxicology (13.1) ]. Exposure to cyclophosphamide during pregnancy may cause birth defects, miscarriage, fetal growth retardation, and fetotoxic effects in the newborn. Cyclophosphamide is teratogenic and embryo-fetal toxic in mice, rats, rabbits and monkeys.
Advise pregnant women and females of reproductive potential of the potential risk to a fetus [see Use in Specific Populations (8.1)]. Advise females of reproductive potential to use effective contraception during treatment with cyclophosphamide for injection and for up to 1 year after completion of therapy. Advise male patients with female partners of reproductive potential to use effective contraception during treatment with cyclophosphamide for injection and for 4 months after completion of therapy [see Use in Specific Populations (8.1, 8.3)] .
5 Warnings and Precautions (5 WARNINGS AND PRECAUTIONS)
- Myelosuppression, Immunosuppression, Bone Marrow Failure and Infections: Severe immunosuppression may lead to serious and sometimes fatal infections. Close hematological monitoring is required. (5.1)
- Urinary Tract and Renal Toxicity: Hemorrhagic cystitis, pyelitis, ureteritis, and hematuria can occur. Urotoxicity can be fatal. Exclude or correct any urinary tract obstructions prior to treatment. (5.2)
- Cardiotoxicity: Myocarditis, myopericarditis, pericardial effusion, arrythmias and congestive heart failure, which may be fatal, have been reported. Monitor patients, especially those with risk factors for cardiotoxicity or pre-existing cardiac disease. (5.3)
- Pulmonary Toxicity: Pneumonitis, pulmonary fibrosis and pulmonary veno-occlusive disease leading to respiratory failure may occur. Monitor patients for signs and symptoms of pulmonary toxicity. (5.4)
- Secondary malignancies (5.5)
- Veno-occlusive Liver Disease: Fatal outcome can occur. (5.6)
- Embryo-Fetal Toxicity: Can cause fetal harm. Advise patients of reproductive potential of the potential risk to a fetus and to use effective contraception.(5.7, 8.1, 8.3)
5.5 Secondary Malignancies
Cyclophosphamide is genotoxic [see Nonclinical Toxicology (13.1)]. Secondary malignancies (urinary tract cancer, myelodysplasia, acute leukemias, lymphomas, thyroid cancer, and sarcomas) have been reported in patients treated with cyclophosphamide-containing regimens. The risk of bladder cancer may be reduced by prevention of hemorrhagic cystitis.
2 Dosage and Administration (2 DOSAGE AND ADMINISTRATION)
During or immediately after cyclophosphamide for Injection administration, administer adequate amounts of fluid to reduce the risk of urinary tract toxicity (2.1).
Malignant Diseases: Adult and Pediatric Patients (2.2)
- Intravenous: Initial course for patients with no hematologic deficiency: 40 mg per kg to 50 mg per kg in divided doses over 2 to 5 days. Other regimens include 10 mg per kg to 15 mg per kg given every 7 to 10 days or 3 mg per kg to 5 mg per kg twice weekly.
- Oral: 1 mg per kg per day to 5 mg per kg per day for both initial and maintenance dosing.
Minimal Change Nephrotic Syndrome in Pediatric Patients (2.3)
- Oral : 2 mg per kg daily for 8 to 12 weeks (maximum cumulative dose 168 mg per kg).
- Treatment beyond 90 days increases the probability of sterility in males. (8.4)
3 Dosage Forms and Strengths (3 DOSAGE FORMS AND STRENGTHS)
Cyclophosphamide for injection, USP is a sterile white powder available in single-dose vials
- 500 mg
- 1 g
- 2 g
8 Use in Specific Populations (8 USE IN SPECIFIC POPULATIONS)
5.9 Impairment of Wound Healing
Cyclophosphamide may interfere with normal wound healing.
5.6 Veno Occlusive Liver Disease (5.6 Veno-occlusive Liver Disease)
Veno-occlusive liver disease (VOD) including fatal outcome has been reported in patients receiving cyclophosphamide-containing regimens. A cytoreductive regimen in preparation for bone marrow transplantation that consists of cyclophosphamide in combination with whole-body irradiation, busulfan, or other agents has been identified as a major risk factor. VOD has also been reported to develop gradually in patients receiving long-term low-dose immunosuppressive doses of cyclophosphamide. Other risk factors predisposing to the development of VOD include preexisting disturbances of hepatic function, previous radiation therapy of the abdomen, and a low performance status.
17 Patient Counseling Information (17 PATIENT COUNSELING INFORMATION)
Advise the patient of the following:
Myelosuppression, Immunosuppression and Infections
- Inform patients of the possibility of myelosuppression, immunosuppression, and infections (sometimes fatal). Explain the need for routine blood cell counts. Instruct patients to monitor their temperature frequently and immediately report any occurrence of fever [see Warnings and Precautions (5.1)]
Urinary Tract and Renal Toxicity
- Advise the patient to report urinary symptoms (patients should report if their urine has turned a pink or red color) and the need for increasing fluid intake and frequent voiding [see Warnings and Precautions (5.2)].
Cardiotoxicity
-
Inform patients of the possibility of cardiotoxicity (which may be fatal).
- Advise patients to contact a health care professional immediately for any of the following: new onset or worsening shortness of breath, cough, swelling of the ankles/legs, palpitations, weight gain of more than 5 pounds in 24 hours, dizziness or loss of consciousness [see Warnings and Precautions (5.3)].
Pulmonary Toxicity
- Warn patients of the possibility of developing non-infectious pneumonitis. Advise patients to report promptly any new or worsening respiratory symptoms [see Warnings and Precautions (5.4)].
Secondary Malignancies
- Inform patients that there is an increased risk of secondary malignancies with cyclophosphamide for injection [see Warnings and Precautions (5.5)].
Embryo-Fetal Toxicity
- Inform female patients of the risk to a fetus and potential loss of the pregnancy. Advise females to inform their healthcare provider of a known or suspected pregnancy [see Warnings and Precautions (5.7) and Use in Specific Populations (8.1)].
- Advise female patients of reproductive potential to use effective contraception during treatment and for up to 1 year after completion of therapy [see Warnings and Precautions (5.7) and Use in Specific Populations (8.1, 8.3)].
- Advise male patients with female partners of reproductive potential to use effective contraception during treatment and for 4 months after completion of therapy [see Warnings and Precautions (5.7) and Use in Specific Populations (8.1, 8.3)].
Lactation
- Advise lactating women not to breastfeed during treatment and for 1 week after the last dose of cyclophosphamide for injection [see Use in Specific Populations (8.2)].
Infertility
- Advise males and females of reproductive potential that cyclophosphamide for injection may impair fertility [see Warnings and Precautions (5.8) and Use in Specific Populations (8.3, 8.4)].
Common Adverse Reactions
- Explain to patients that side effects such as nausea, vomiting, stomatitis, impaired wound healing, amenorrhea, premature menopause, sterility and hair loss may be associated with cyclophosphamide administration. Other undesirable effects (including, e.g., dizziness, blurred vision, visual impairment) could affect the ability to drive or use machines [see Adverse Reactions (6.1)].
Hydration and Important Administration Instructions
- Advise the patients that during or immediately after the administration, adequate amounts of fluid are required to reduce the risk of urinary tract toxicity [see Dosage and Administration (2.1)].
Manufactured by:
Amneal Oncology Pvt. Ltd.
Telangana 509301, INDIA
Distributed by:
Amneal Pharmaceuticals LLC
Bridgewater, NJ 08807
Rev. 12-2025-04
5.2 Urinary Tract and Renal Toxicity
Hemorrhagic cystitis, pyelitis, ureteritis, and hematuria have been reported with cyclophosphamide. Medical and/or surgical supportive treatment may be required to treat protracted cases of severe hemorrhagic cystitis. Discontinue cyclophosphamide therapy in case of severe hemorrhagic cystitis. Urotoxicity (bladder ulceration, necrosis, fibrosis, contracture and secondary cancer) may require interruption of cyclophosphamide treatment or cystectomy. Urotoxicity can be fatal. Urotoxicity can occur with short-term or long-term use of cyclophosphamide.
Before starting treatment, exclude or correct any urinary tract obstructions [see Contraindications (4)]. Urinary sediment should be checked regularly for the presence of erythrocytes and other signs of urotoxicity and/or nephrotoxicity. Cyclophosphamide should be used with caution, if at all, in patients with active urinary tract infections. Aggressive hydration with forced diuresis and frequent bladder emptying can reduce the frequency and severity of bladder toxicity. Mesna has been used to prevent severe bladder toxicity.
16 How Supplied/storage and Handling (16 HOW SUPPLIED/STORAGE AND HANDLING)
Cyclophosphamide for Injection, USP is a sterile white powder containing cyclophosphamide, USP and is supplied in vials for single-dose use. It is available as follows:
500 mg/vial
1 Vial in Carton: NDC 70121-1238-1
1 g/vial
1 Vial in Carton: NDC 70121-1239-1
2 g/vial
1 Vial in Carton: NDC 70121-1240-1
Store vials at or below 25°C (77°F). During transport or storage of cyclophosphamide vials, temperature influences can lead to melting of the active ingredient, cyclophosphamide [see Dosage and Administration (2.4)].
Cyclophosphamide is a hazardous product. Follow special handling and disposal procedures.1
2.1 Important Administration Instructions
During or immediately after the administration of cyclophosphamide for injection, adequate amounts of fluid should be ingested or infused to force diuresis in order to reduce the risk of urinary tract toxicity. Therefore, cyclophosphamide for injection should be administered in the morning.
2.2 Recommended Dosage for Malignant Diseases
Adults and Pediatric Patients
Intravenous Use
When used as the only oncolytic drug therapy, the recommended dosage for the initial course of cyclophosphamide for injection for patients with no hematologic deficiency is 40 mg per kg to 50 mg per kg given intravenously in divided doses over a period of 2 to 5 days. Other intravenous regimens include 10 mg per kg to 15 mg per kg given every 7 to 10 days or 3 mg per kg to 5 mg per kg twice weekly.
Oral Use
The recommended dosage for oral cyclophosphamide is 1 mg per kg per day to 5 mg per kg per day for both initial and maintenance dosing.
Adjust the dosage of cyclophosphamide for injection based on the specific regimen administered, response to treatment, myelosuppression or other adverse reactions, and patient risk factors [see Warnings and Precautions (5)].
2.4 Preparation, Handling, and Administration
Cyclophosphamide for is a hazardous drug. Follow applicable special handling and disposal procedures.1 Caution should be exercised when handling and preparing cyclophosphamide for injection. To minimize the risk of dermal exposure, always wear gloves when handling vials containing cyclophosphamide for injection.
Cyclophosphamide for Injection
Intravenous Administration
Parenteral drug products should be inspected visually for particulate matter and discoloration prior to administration, whenever solution and container permit. Do not use cyclophosphamide for injection vials if there are signs of melting. Melted cyclophosphamide for injection is a clear or yellowish viscous liquid usually found as a connected phase or in droplets in the affected vials.
Cyclophosphamide for injection does not contain any antimicrobial preservative and thus care must be taken to assure the sterility of prepared solutions. Use aseptic technique.
For Direct Intravenous Injection
Reconstitute Cyclophosphamide for Injection with 0.9% Sodium Chloride Injection, USP only, using the volumes listed below in Table 1. Shake the vial vigorously to dissolve the drug completely. Do not use Sterile Water for Injection, USP because it results in a hypotonic solution and should not be injected directly. Discard unused solution.
Table 1: Reconstitution for Direct Intravenous Injection
|
Strength |
Volume of 0.9% Sodium Chloride |
Cyclophosphamide for Injection Concentration |
|
500 mg |
25 mL |
20 mg per mL |
|
1 g |
50 mL |
|
|
2 g |
100 mL |
For Intravenous Infusion
Reconstitution of Cyclophosphamide for Injection:
Reconstitute Cyclophosphamide for Injection using 0.9% Sodium Chloride Injection, USP or Sterile Water for Injection, USP with the volume of diluent listed below in Table 2. Add the diluent to the vial and shake the vial vigorously to dissolve the drug completely. Discard unused solution.
Table 2: Reconstitution in preparation for Intravenous Infusion
|
Strength |
Volume of Diluent |
Cyclophosphamide for Injection Concentration |
|
500 mg |
25 mL |
20 mg per mL |
|
1 g |
50 mL |
|
|
2 g |
100 mL |
Dilution of Reconstituted Cyclophosphamide for Injection:
Further dilute the reconstituted cyclophosphamide for injection solution to a minimum concentration of 2 mg per mL with any of the following diluents:
- 0.45% Sodium Chloride Injection, USP
- 5% Dextrose Injection, USP
- 5% Dextrose and 0.9% Sodium Chloride Injection, USP
To reduce the likelihood of adverse reactions that appear to be administration rate-dependent (e.g., facial swelling, headache, nasal congestion, scalp burning), cyclophosphamide for injection should be injected or infused very slowly. Duration of the infusion also should be appropriate for the volume and type of carrier fluid to be infused.
Storage of Reconstituted and Diluted Cyclophosphamide for Injection Solution
If not used immediately, for microbiological integrity, cyclophosphamide for injection solutions should be stored as described in Table 3:
Table 3: Storage of Cyclophosphamide for Injection Solutions
|
Diluent |
Storage |
|
|
Room Temperature |
Refrigerated |
|
|
Reconstituted Solution (Without Further Dilution) |
||
|
0.9% Sodium Chloride Injection, USP |
up to 24 hours |
Up to 6 days |
|
Sterile Water for Injection, USP |
Do not store; use immediately |
|
|
Diluted Solutions* |
||
|
0.45% Sodium Chloride Injection, USP |
up to 24 hours |
up to 6 days |
|
5% Dextrose Injection, USP |
up to 24 hours |
up to 36 hours |
|
5% Dextrose and 0.9% Sodium Chloride Injection, USP |
up to 24 hours |
up to 36 hours |
|
* Storage time is the total time cyclophosphamide for injection is in solution including the time it is reconstituted in 0.9% Sterile Sodium Chloride Injection, USP or Sterile Water for Injection, USP. |
Reconstituted Solution for Oral Administration
Liquid preparations of cyclophosphamide for oral administration may be prepared by dissolving cyclophosphamide for injection in Aromatic Elixir, National Formulary (NF).
Store preparations under refrigeration in glass containers and use within 14 days. See the prescribing information for cyclophosphamide for oral use for additional dosage information.
7.3 Effect of Cyclophosphamide On Other Drugs (7.3 Effect of Cyclophosphamide on Other Drugs)
Metronidazole
Acute encephalopathy has been reported in a patient receiving cyclophosphamide and metronidazole. Monitor for neurologic toxicities in patients receiving metronidazole.
Tamoxifen
Concomitant use of tamoxifen and a cyclophosphamide-containing chemotherapy regimen may increase the risk of thromboembolic complications. Monitor for signs and symptoms of thromboembolic events in patients receiving tamoxifen.
Coumarins
Both increased and decreased warfarin effect have been reported in patients receiving warfarin and cyclophosphamide. Monitor anticoagulant activity closely in patients receiving warfarin or other coumarins.
Cyclosporine
Concomitant administration of cyclophosphamide may decrease serum concentrations of cyclosporine. This interaction may result in an increased incidence of graft-versus-host disease. Monitor for signs and symptoms of graft-versus-host disease in patients receiving cyclosporine.
Depolarizing muscle relaxants
If a patient has been treated with cyclophosphamide within 10 days of general anesthesia, alert the anesthesiologist.
Cyclophosphamide causes a marked and persistent inhibition of cholinesterase activity. Prolonged apnea may occur with concurrent depolarizing muscle relaxants (e.g., succinylcholine).
8.3 Females and Males of Reproductive Potential
Cyclophosphamide for injection can cause fetal harm when administered to a pregnant woman [see Use in Specific Populations (8.1)].
Pregnancy Testing
Verify the pregnancy status of females of reproductive potential prior to the initiation of cyclophosphamide for injection.
Contraception
Females
Advise females of reproductive potential to use effective contraception during treatment with Cyclophosphamide for injection and for up to 1 year after completion of therapy.
Males
Based on findings in genetic toxicity and animal reproduction studies, advise male patients with female partners of reproductive potential to use effective contraception during treatment with Cyclophosphamide for injection and for 4 months after completion of therapy [see Nonclinical Toxicology (13.1)].
Infertility
Females
Amenorrhea, transient or permanent, associated with decreased estrogen and increased gonadotropin secretion develops in a proportion of women treated with cyclophosphamide. Affected patients generally resume regular menses within a few months after cessation of therapy. The risk of premature menopause with cyclophosphamide increases with age. Oligomenorrhea has also been reported in association with cyclophosphamide treatment.
Animal data suggest an increased risk of failed pregnancy and malformations may persist after discontinuation of cyclophosphamide as long as oocytes/follicles exist that were exposed to cyclophosphamide during any of their maturation phases. The exact duration of follicular development in humans is not known, but may be longer than 12 months [see Nonclinical Toxicology (13.1)].
Males
Men treated with cyclophosphamide may develop oligospermia or azoospermia which are normally associated with increased gonadotropin but normal testosterone secretion.
6.1 Clinical Trials and Post Marketing Experience (6.1 Clinical Trials and Post-marketing Experience)
The following adverse reactions associated with the use of cyclophosphamide were identified in clinical studies or post-marketing reports. Because some of these reactions were reported voluntarily from a population of uncertain size, it is not always possible to reliably estimate their frequency or establish a causal relationship to drug exposure.
The most common adverse reactions were neutropenia, febrile neutropenia, fever, alopecia, nausea, vomiting, and diarrhea.
Cardiac: cardiac arrest, ventricular fibrillation, ventricular tachycardia, cardiogenic shock, pericardial effusion (progressing to cardiac tamponade), myocardial hemorrhage, myocardial infarction, cardiac failure (including fatal outcomes), cardiomyopathy, myocarditis, pericarditis, carditis, atrial fibrillation, supraventricular arrhythmia, ventricular arrhythmia, bradycardia, tachycardia, palpitations, QT prolongation.
Congenital, Familial and Genetic: intra-uterine death, fetal malformation, fetal growth retardation, fetal toxicity (including myelosuppression, gastroenteritis).
Ear and Labyrinth: deafness, hearing impaired, tinnitus.
Endocrine: water intoxication.
Eye: visual impairment, conjunctivitis, lacrimation.
Gastrointestinal: gastrointestinal hemorrhage, acute pancreatitis, colitis, enteritis, cecitis, stomatitis, constipation, parotid gland inflammation, nausea, vomiting, diarrhea.
General Disorders and Administrative Site Conditions: multiorgan failure, general physical deterioration, influenza-like illness, injection/infusion site reactions (thrombosis, necrosis, phlebitis, inflammation, pain, swelling, erythema), pyrexia, edema, chest pain, mucosal inflammation, asthenia, pain, chills, fatigue, malaise, headache, headache, febrile neutropenia.
Hematologic: myelosuppression, bone marrow failure, disseminated intravascular coagulation and hemolytic uremic syndrome (with thrombotic microangiopathy).
Hepatic: veno-occlusive liver disease, cholestatic hepatitis, cytolytic hepatitis, hepatitis, cholestasis; hepatotoxicity with hepatic failure, hepatic encephalopathy, ascites, hepatomegaly, blood bilirubin increased, hepatic function abnormal, hepatic enzymes increased.
Immune: immunosuppression, anaphylactic shock and hypersensitivity reaction.
Infections: The following manifestations have been associated with myelosuppression and immunosuppression caused by cyclophosphamide: increased risk for and severity of pneumonias (including fatal outcomes), other bacterial, fungal, viral, protozoal and, parasitic infections; reactivation of latent infections, (including viral hepatitis, tuberculosis), pneumocystis jiroveci, herpes zoster, strongyloides, sepsis and septic shock.
Investigations: blood lactate dehydrogenase increased, C-reactive protein increased.
Metabolism and Nutrition: hyponatremia, fluid retention, blood glucose increased, blood glucose decreased.
Musculoskeletal and Connective Tissue: rhabdomyolysis, scleroderma, muscle spasms, myalgia, arthralgia.
Neoplasms: acute leukemia, myelodysplastic syndrome, lymphoma, sarcomas, renal cell carcinoma, renal pelvis cancer, bladder cancer, ureteric cancer, thyroid cancer.
Nervous System: encephalopathy, convulsion, dizziness, neurotoxicity has been reported and manifested as reversible posterior leukoencephalopathy syndrome, myelopathy, peripheral neuropathy, polyneuropathy, neuralgia, dysesthesia, hypoesthesia, paresthesia, tremor, dysgeusia, hypogeusia, parosmia.
Pregnancy: premature labor.
Psychiatric: confusional state.
Renal and Urinary: renal failure, renal tubular disorder, renal impairment, nephropathy toxic, hemorrhagic cystitis, bladder necrosis, cystitis ulcerative, bladder contracture, hematuria, nephrogenic diabetes insipidus, atypical urinary bladder epithelial cells.
Reproductive System: infertility, ovarian failure, ovarian disorder, amenorrhea, oligomenorrhea, testicular atrophy, azoospermia, oligospermia.
Respiratory: pulmonary veno-occlusive disease, acute respiratory distress syndrome, interstitial lung disease as manifested by respiratory failure (including fatal outcomes), obliterative bronchiolitis, organizing pneumonia, alveolitis allergic, pneumonitis, pulmonary hemorrhage; respiratory distress, pulmonary hypertension, pulmonary edema, pleural effusion, bronchospasm, dyspnea, hypoxia, cough, nasal congestion, nasal discomfort, oropharyngeal pain, rhinorrhea.
Skin and Subcutaneous Tissue: toxic epidermal necrolysis, Stevens-Johnson syndrome, erythema multiforme, palmar-plantar erythrodysesthesia syndrome, radiation recall dermatitis, toxic skin eruption, urticaria, dermatitis, blister, pruritus, erythema, nail disorder, facial swelling, hyperhidrosis, alopecia.
Tumor lysis syndrome: like other cytotoxic drugs, cyclophosphamide may induce tumor-lysis syndrome and
hyperuricemia in patients with rapidly growing tumors.
Vascular: pulmonary embolism, venous thrombosis, vasculitis, peripheral ischemia, hypertension, hypotension, flushing, hot flush.
7.2 Drugs That Potentiate Cyclophosphamide Toxicities
Radiation therapy or drugs with similar toxicities to cyclophosphamide for injection can potentiate toxicities for cyclophosphamide. Monitor for increased toxicities in patients receiving radiation therapy or drugs known to cause:
- Myelosuppression and/or immunosuppression [see Warnings and Precautions (5.1)]
- Nephrotoxicity including hemorrhagic cystitis [see Warnings and Precautions (5.2)]
- Cardiotoxicity [see Warnings and Precautions (5.3)]
- Pulmonary toxicity [see Warnings and Precautions (5.4)]
- Secondary malignancies [see Warnings and Precautions (5.5)]
- Hepatotoxicity including liver necrosis and VOD [see Warnings and Precautions(5.6)]
7.1 Effect of Other Drugs On Cyclophosphamide Exposure (7.1 Effect of Other Drugs on Cyclophosphamide Exposure)
Protease Inhibitors
Concomitant use of protease inhibitors may increase the concentration of cytotoxic metabolites and may enhance the toxicities of cyclophosphamide, including higher incidence of infections, neutropenia, and mucositis. Monitor for increased toxicities in patients receiving protease inhibitors.
13.1 Carcinogenesis, Mutagenesis, Impairment of Fertility
Cyclophosphamide administered by different routes, including intravenous, subcutaneous or intraperitoneal injection, or in drinking water, caused tumors in both mice and rats. In addition to leukemia and lymphoma, benign and malignant tumors were found at various tissue sites, including urinary bladder, mammary gland, lung, liver, and injection site [see Warnings and Precautions (5.5)].
Cyclophosphamide was mutagenic and clastogenic in multiple in vitro and in vivo genetic toxicology studies.
Cyclophosphamide is genotoxic in male and female germ cells. Animal data indicate that exposure of oocytes to cyclophosphamide during follicular development may result in a decreased rate of implantations and viable pregnancies, and in an increased risk of malformations. Male mice and rats treated with cyclophosphamide show alterations in male reproductive organs (e.g., decreased weights, atrophy, changes in spermatogenesis), and decreases in reproductive potential (e.g., decreased implantations and increased post-implantation loss) and increases in fetal malformations when mated with untreated females [see Use in Specific Populations (8.3) ].
1.2 Minimal Change Nephrotic Syndrome in Pediatric Patients
Cyclophosphamide for injection is indicated for the treatment of biopsy proven minimal change nephrotic syndrome in pediatric patients who failed to adequately respond to or are unable to tolerate adrenocorticosteroid therapy.
Limitations of Use:
The safety and effectiveness of cyclophosphamide for injection for the treatment of nephrotic syndrome in adults or other renal disease has not been established.
5.1 Myelosuppression, Immunosuppression, Bone Marrow Failure and Infections
Cyclophosphamide can cause myelosuppression (leukopenia, neutropenia, thrombocytopenia and anemia), bone marrow failure, and severe immunosuppression which may lead to serious and sometimes fatal infections, including sepsis and septic shock. Latent infections can be reactivated [see Adverse Reactions (6.1)].
Antimicrobial prophylaxis may be indicated in certain cases of neutropenia at the discretion of the managing physician. In case of neutropenic fever, antibiotic therapy is indicated. Antimycotics and/or antivirals may also be indicated.
Monitoring of complete blood counts is essential during cyclophosphamide treatment so that the dose can be adjusted, if needed. Cyclophosphamide should not be administered to patients with neutrophils ≤ 1,500/mm3 and platelets < 50,000/mm3. Cyclophosphamide treatment may not be indicated, or should be interrupted, or the dose reduced, in patients who have or who develop a serious infection. G-CSF may be administered to reduce the risks of neutropenia complications associated with cyclophosphamide use. Primary and secondary prophylaxis with G-CSF should be considered in all patients considered to be at increased risk for neutropenia complications. The nadirs of the reduction in leukocyte count and thrombocyte count are usually reached in weeks 1 and 2 of treatment. Peripheral blood cell counts are expected to normalize after approximately 20 days. Bone marrow failure has been reported. Severe myelosuppression may be expected particularly in patients pretreated with and/or receiving concomitant chemotherapy and/or radiation therapy.
2.3 Recommended Dosage for Minimal Change Nephrotic Syndrome in Pediatric Patients
The recommended dosage is 2 mg per kg orally once daily for 8 to 12 weeks (maximum cumulative dose 168 mg per kg) is recommended. Treatment beyond 90 days increases the probability of sterility in males [see Use in Specific Populations (8.4)].
Advanced Ingredient Data
Raw Label Data
All Sections (JSON)
Additional Information
Back to search View SPL set listing Open on DailyMed ↗
Source: dailymed · Ingested: 2026-02-15T11:52:34.669888 · Updated: 2026-03-14T22:44:06.575433