Hydrocortisone Butyrate Ointment, 0.1%

Hydrocortisone Butyrate Ointment, 0.1%
SPL v5
SPL
SPL Set ID 51176835-598d-4da7-8a00-6bd36f52aa82
Route
TOPICAL
Published
Effective Date 2021-04-06
Document Type 34391-3 HUMAN PRESCRIPTION DRUG LABEL

Drug Facts

Composition & Product

Active Ingredients
Hydrocortisone (1 mg)
Inactive Ingredients
Citric Acid Monohydrate Glycerin Isopropyl Alcohol Povidone, Unspecified Water Trisodium Citrate Dihydrate Anhydrous Citric Acid Ceteth-20 Cetostearyl Alcohol Light Mineral Oil Propylparaben Butylparaben Anhydrous Trisodium Citrate Petrolatum Mineral Oil High Density Polyethylene

Identifiers & Packaging

Marketing Status
ANDA Active Since 2004-12-27

Description

Rx only. FOR TOPICAL USE ONLY.

Indications and Usage

Hydrocortisone Butyrate Ointment, 0.1% and Hydrocortisone Butyrate Cream USP, 0.1% are indicated for the relief of the inflammatory and pruritic manifestations of corticosteroid-responsive dermatoses. Hydrocortisone Butyrate Topical Solution, 0.1% is indicated for the relief of the inflammatory and pruritic manifestations of seborrheic dermatitis.

Dosage and Administration

Hydrocortisone Butyrate Ointment, 0.1% or Hydrocortisone Butyrate Cream USP, 0.1% should be applied to the affected area as a thin film two or three times daily depending on the severity of the condition. Occlusive dressings may be used for the management of psoriasis or recalcitrant conditions. If an infection develops, the use of occlusive dressings should be discontinued and appropriate antimicrobial therapy instituted. Hydrocortisone Butyrate Topical Solution, 0.1% should be applied to the affected area as a thin film two or three times daily depending on the severity of the condition.

Contraindications

None.

Adverse Reactions

The following local adverse reactions are reported infrequently with topical corticosteroids but may occur more frequently with the use of occlusive dressings. These reactions are listed in an approximate decreasing order of occurrence: burning, itching, irritation, dryness, folliculitis, hypertrichosis, acneiform eruptions, hypopigmentation, perioral dermatitis, allergic contact dermatitis, maceration of the skin, secondary infection, skin atrophy, striae and miliaria.


Medication Information

Indications and Usage

Hydrocortisone Butyrate Ointment, 0.1% and Hydrocortisone Butyrate Cream USP, 0.1% are indicated for the relief of the inflammatory and pruritic manifestations of corticosteroid-responsive dermatoses.

Hydrocortisone Butyrate Topical Solution, 0.1% is indicated for the relief of the inflammatory and pruritic manifestations of seborrheic dermatitis.

Dosage and Administration

Hydrocortisone Butyrate Ointment, 0.1% or Hydrocortisone Butyrate Cream USP, 0.1% should be applied to the affected area as a thin film two or three times daily depending on the severity of the condition. Occlusive dressings may be used for the management of psoriasis or recalcitrant conditions.

If an infection develops, the use of occlusive dressings should be discontinued and appropriate antimicrobial therapy instituted.

Hydrocortisone Butyrate Topical Solution, 0.1% should be applied to the affected area as a thin film two or three times daily depending on the severity of the condition.

Contraindications

None.

Adverse Reactions

The following local adverse reactions are reported infrequently with topical corticosteroids but may occur more frequently with the use of occlusive dressings. These reactions are listed in an approximate decreasing order of occurrence: burning, itching, irritation, dryness, folliculitis, hypertrichosis, acneiform eruptions, hypopigmentation, perioral dermatitis, allergic contact dermatitis, maceration of the skin, secondary infection, skin atrophy, striae and miliaria.

Description

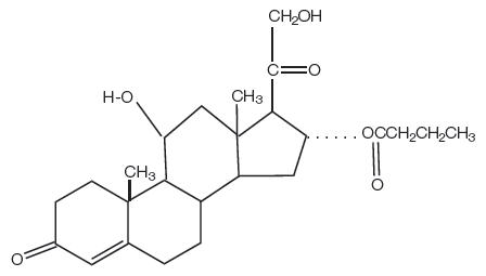
Hydrocortisone Butyrate Ointment, Cream and Topical Solution contain the topical corticosteroid, hydrocortisone butyrate, a non-fluorinated hydrocortisone ester. It has the chemical name: 11β,17,21-Trihydroxypregn-4-ene-3,20-dione 17-butyrate; the molecular formula: C25H36O6; the molecular weight: 432.54; and the CAS registry number: 13609-67-1.

Its structural formula is:

Section 42229-5

Rx only.

FOR TOPICAL USE ONLY.

General

Systemic absorption of topical corticosteroids has produced reversible hypothalamic-pituitary-adrenal (HPA) axis suppression, manifestations of Cushing's syndrome, hyperglycemia, and glucosuria in some patients. Conditions which augment systemic absorption include the application of the more potent corticosteroids, use over large surface areas, prolonged use, and the addition of occlusive dressings.

Therefore, patients receiving a large dose of a potent topical corticosteroid applied to a large surface area or under an occlusive dressing should be evaluated periodically for evidence of HPA axis suppression by using ACTH stimulation tests.

If HPA axis suppression is noted, an attempt should be made to withdraw the drug, to reduce the frequency of application, or to substitute a less potent corticosteroid.

Recovery of HPA axis function is generally prompt and complete upon discontinuation of the drug. Infrequently, signs and symptoms of corticosteroid withdrawal may occur, requiring supplemental systemic corticosteroids.

Children may absorb proportionally larger amounts of topical corticosteroids and thus be more susceptible to systemic toxicity. (See PRECAUTIONS – Pediatric Use).

If irritation develops, topical corticosteroids should be discontinued and appropriate therapy instituted. In the presence of dermatological infections, the use of an appropriate antifungal or antibacterial agent should be instituted. If a favorable response does not occur promptly, the corticosteroid should be discontinued until the infection has been adequately controlled.

Pregnancy

Corticosteroids are generally teratogenic in laboratory animals when administered systemically at relatively low dosage levels. The more potent corticosteroids have been shown to be teratogenic after dermal application in laboratory animals. There are no adequate and well-controlled studies in pregnant women on teratogenic effects from topically applied corticosteroids. Therefore, topical corticosteroids should be used during pregnancy only if the potential benefit justifies the potential risk to the fetus.

Drugs of this class should not be used extensively on pregnant patients, in large amounts, or for prolonged periods of time.

Systemic embryofetal development studies were conducted in rats and rabbits. Subcutaneous doses of 0.6, 1.8 and 5.4 mg/kg/day hydrocortisone butyrate were administered to pregnant female rats during gestation days 6 – 17. In the presence of maternal toxicity, fetal effects noted at 5.4 mg/kg/day (2× MTHD) included an increased incidence of ossification variations and unossified sternebra. No treatment-related effects on embryofetal toxicity or teratogenicity were noted at doses of 5.4 and 1.8 mg/kg/day, respectively (2× MTHD and 0.7× MTHD, respectively).

Subcutaneous doses of 0.1, 0.2 and 0.3 mg/kg/day hydrocortisone butyrate were administered to pregnant female rabbits during gestation days 7 – 20. An increased incidence of abortion was noted at 0.3 mg/kg/day (0.2× MTHD). In the absence of maternal toxicity, a dose-dependent decrease in fetal body weight was noted at doses ≥0.1 mg/kg/day (0.1× MTHD). Additional indicators of embryofetal toxicity (reduction in litter size, decreased number of viable fetuses, increased post-implantation loss) were noted at doses ≥0.2 mg/kg/day (0.2× MTHD). Additional fetal effects noted in this study included delayed ossification noted at doses ≥0.1 mg/kg/day and an increased incidence of fetal malformations (primarily skeletal malformations) noted at doses ≥0.2 mg/kg/day. A dose at which no treatment-related effects on embryofetal toxicity or teratogenicity were observed was not established in this study.

Additional systemic embryofetal development studies were conducted in rats and mice. Subcutaneous doses of 0.1 and 9 mg/kg/day hydrocortisone butyrate were administered to pregnant female rats during gestation days 9 – 15. In the presence of maternal toxicity, an increase in fetal deaths and fetal resorptions and an increase in the number of ossifications in caudal vertebrae were noted at a dose of 9 mg/kg/day (3× MTHD). No treatment-related effects on embryofetal toxicity or teratogenicity were noted at 0.1 mg/kg/day (0.1× MTHD).

Subcutaneous doses of 0.2 and 1 mg/kg/day hydrocortisone butyrate were administered to pregnant female mice during gestation days 7 – 13. In the absence of maternal toxicity, an increased number of cervical ribs and one fetus with clubbed legs were noted at a dose of 1 mg/kg/day (0.2× MTHD). No treatment-related effects on embryofetal toxicity or teratogenicity were noted at doses of 1 and 0.2 mg/kg/day, respectively (0.2× MTHD and 0.1× MTHD, respectively).

No topical embryofetal development studies were conducted with hydrocortisone butyrate cream and hydrocortisone butyrate topical solution. However, topical embryofetal development studies were conducted in rats and rabbits with a hydrocortisone butyrate ointment formulation. Topical doses of 1% and 10% hydrocortisone butyrate ointment were administered to pregnant female rats during gestation days 6 – 15 or pregnant female rabbits during gestation days 6 – 18. A dose-dependent increase in fetal resorptions was noted in rabbits (0.2 – 2× MTHD) and fetal resorptions were noted in rats at the 10% hydrocortisone butyrate ointment dose (80× MTHD).

No treatment-related effects on embryofetal toxicity were noted at the 1% hydrocortisone butyrate ointment dose in rats (8× MTHD). A dose at which no treatment-related effects on embryofetal toxicity were observed in rabbits after topical administration of hydrocortisone butyrate ointment was not established in this study.

No treatment-related effects on teratogenicity were noted at a dose of 10% hydrocortisone butyrate ointment in rats or rabbits (80× MTHD and 2× MTHD, respectively).

A peri- and post-natal development study was conducted in rats. Subcutaneous doses of 0.6, 1.8 and 5.4 mg/kg/day hydrocortisone butyrate were administered to pregnant female rats from gestation day 6 – lactation day 20. In the presence of maternal toxicity, a dose-dependent decrease in fetal weight was noted at doses ≥1.8 mg/kg/day (0.7× MTHD). No treatment-related effects on fetal toxicity were noted at 0.6 mg/kg/day (0.2× MTHD). A delay in sexual maturation was noted at 5.4 mg/kg/day (2× MTHD). No treatment-related effects on sexual maturation were noted at 1.8 mg/kg/day. No treatment-related effects on behavioral development or subsequent reproductive performance were noted at 5.4 mg/kg/day.

Pediatric Use

Pediatric patients may demonstrate greater susceptibility to topical corticosteroid-induced HPA axis suppression and Cushing's syndrome than mature patients because of a larger skin surface area to body weight ratio.

Hypothalamic-pituitary-adrenal (HPA) axis suppression, Cushing's syndrome, linear growth retardation, delayed weight gain, and intracranial hypertension have been reported in children receiving topical corticosteroids.

Manifestations of adrenal suppression in children include low plasma cortisol levels and absence of response to ACTH stimulation. Manifestations of intracranial hypertension include bulging fontanelles, headaches, and bilateral papilledema.

Administration of topical corticosteroids to children should be limited to the least amount compatible with an effective therapeutic regimen. Chronic corticosteroid therapy may interfere with the growth and development of children.

Nursing Mothers

It is not known whether topical administration of corticosteroids could result in sufficient systemic absorption to produce detectable quantities in breast milk. Systemically administered corticosteroids are secreted into breast milk, in quantities not likely to have a deleterious effect on the infant. Nevertheless, caution should be exercised when topical corticosteroids are administered to a nursing woman.

Pharmacokinetics

The extent of percutaneous absorption of topical corticosteroids is determined by many factors including the vehicle, the integrity of the epidermal barrier, and the use of occlusive dressings.

Topical corticosteroids can be absorbed from normal intact skin. Inflammation and/or other disease processes in the skin increase percutaneous absorption. Occlusive dressings substantially increase the percutaneous absorption of topical corticosteroids.

Once absorbed through the skin, topical corticosteroids are handled through pharmacokinetic pathways similar to systemically administered corticosteroids. Corticosteroids are bound to plasma proteins in varying degrees. Corticosteroids are metabolized primarily in the liver and are then excreted by the kidneys. Some of the topical corticosteroids and their metabolites are also excreted into the bile.

Clinical Pharmacology

Topical corticosteroids share anti-inflammatory, anti-pruritic and vasoconstrictive actions. The mechanism of anti-inflammatory activity of the topical corticosteroids is unclear. Various laboratory methods, including vasoconstrictor assays, are used to compare and predict potencies and/or clinical efficacies of the topical corticosteroids. There is some evidence to suggest that a recognizable correlation exists between vasoconstrictor potency and therapeutic efficacy in man.

Information for Patients

Patients using topical corticosteroids should receive the following information and instructions:

  • This medication is to be used as directed by the physician. It is for external use only. Avoid contact with the eyes.
  • Patients should be advised not to use this medication for any disorder other than that for which it was prescribed.
  • The treated skin area should not be bandaged or otherwise covered or wrapped as to be occlusive unless directed by the physician.
  • Patients should report any signs of local adverse reactions especially under occlusive dressing.
  • Parents of pediatric patients should be advised not to use tight-fitting diapers or plastic pants on a child being treated in the diaper area, as these garments may constitute occlusive dressings.
Hydrocortisone Butyrate Ointment, 0.1%

Each gram of hydrocortisone butyrate ointment contains 1 mg of hydrocortisone butyrate in a base consisting of mineral oil and polyethylene.

Hydrocortisone Butyrate Cream Usp, 0.1%

Each gram of hydrocortisone butyrate cream contains 1 mg of hydrocortisone butyrate in a hydrophilic base consisting of anhydrous citric acid, cetomacrogol 1000, cetostearyl alcohol, light mineral oil, propylparaben and butylparaben (preservatives), purified water, sodium citrate anhydrous and white petrolatum.

Principal Display Panel 20 Ml Bottle Carton

20 mL

NDC 51672-4061-2

Hydrocortisone

Butyrate

Topical Solution

0.1%

NOT FOR

OPHTHALMIC USE.

FOR TOPICAL

USE ONLY.

Rx only

TARO

Hydrocortisone Butyrate Topical Solution, 0.1%

Each mL of hydrocortisone butyrate topical solution contains 1 mg of hydrocortisone butyrate in a vehicle consisting of citric acid monohydrate, glycerin, isopropyl alcohol (50% v/v), povidone, purified water and sodium citrate.

Principal Display Panel 15 G Tube Carton Cream

NDC 51672-4074-1

15 g

Hydrocortisone Butyrate

Cream USP, 0.1%

FOR TOPICAL USE ONLY.

NOT FOR OPHTHALMIC USE.

Rx only

Keep this and all medications out of the reach of children.

TARO

Principal Display Panel 15 G Tube Carton Ointment

NDC 51672-4083-1

15 g

Hydrocortisone Butyrate

Ointment 0.1%

FOR TOPICAL USE ONLY.

NOT FOR OPHTHALMIC USE.

Rx only

Keep this and all medications out of the reach of children.

TARO

Carcinogenesis, Mutagenesis, and Impairment of Fertility

Note: The animal multiples of human exposure calculations in this label were based on body surface area comparisons for an adult (i.e., mg/m2/day dose comparisons) assuming 100% human percutaneous absorption of a maximum topical human dose (MTHD) for hydrocortisone butyrate cream, ointment and topical solution (25 g).

In a 2-year dermal rat carcinogenicity study with hydrocortisone butyrate lotion, hydrocortisone butyrate was administered to Sprague-Dawley rats at topical doses of 0.05, 0.15, and 0.3 mg/kg/day in males and 0.1, 0.25, and 0.5 mg/kg/day in females (0.1% lotion). No drug-related tumors were noted in this study up to the highest doses evaluated in this study of 0.3 mg/kg/day in males (0.1× MTHD) and 0.5 mg/kg/day in females (0.2× MTHD).

Hydrocortisone butyrate revealed no evidence of mutagenic or clastogenic potential based on the results of two in vitro genotoxicity tests (Ames test and L5178Y/TK+/- mouse lymphoma assay) and one in vivo genotoxicity test (mouse micronucleus assay).

No evidence of impairment of fertility or effect on mating performance was observed in a fertility and general reproductive performance study conducted in male and female rats at subcutaneous doses up to and including 1.8 mg/kg/day (0.7× MTHD). Mild effects on maternal animals, such as reduced food consumption and a subsequent reduction in body weight gain, were seen at doses ≥0.6 mg/kg/day (0.2× MTHD).


Structured Label Content

Section 42229-5 (42229-5)

Rx only.

FOR TOPICAL USE ONLY.

General

Systemic absorption of topical corticosteroids has produced reversible hypothalamic-pituitary-adrenal (HPA) axis suppression, manifestations of Cushing's syndrome, hyperglycemia, and glucosuria in some patients. Conditions which augment systemic absorption include the application of the more potent corticosteroids, use over large surface areas, prolonged use, and the addition of occlusive dressings.

Therefore, patients receiving a large dose of a potent topical corticosteroid applied to a large surface area or under an occlusive dressing should be evaluated periodically for evidence of HPA axis suppression by using ACTH stimulation tests.

If HPA axis suppression is noted, an attempt should be made to withdraw the drug, to reduce the frequency of application, or to substitute a less potent corticosteroid.

Recovery of HPA axis function is generally prompt and complete upon discontinuation of the drug. Infrequently, signs and symptoms of corticosteroid withdrawal may occur, requiring supplemental systemic corticosteroids.

Children may absorb proportionally larger amounts of topical corticosteroids and thus be more susceptible to systemic toxicity. (See PRECAUTIONS – Pediatric Use).

If irritation develops, topical corticosteroids should be discontinued and appropriate therapy instituted. In the presence of dermatological infections, the use of an appropriate antifungal or antibacterial agent should be instituted. If a favorable response does not occur promptly, the corticosteroid should be discontinued until the infection has been adequately controlled.

Pregnancy

Corticosteroids are generally teratogenic in laboratory animals when administered systemically at relatively low dosage levels. The more potent corticosteroids have been shown to be teratogenic after dermal application in laboratory animals. There are no adequate and well-controlled studies in pregnant women on teratogenic effects from topically applied corticosteroids. Therefore, topical corticosteroids should be used during pregnancy only if the potential benefit justifies the potential risk to the fetus.

Drugs of this class should not be used extensively on pregnant patients, in large amounts, or for prolonged periods of time.

Systemic embryofetal development studies were conducted in rats and rabbits. Subcutaneous doses of 0.6, 1.8 and 5.4 mg/kg/day hydrocortisone butyrate were administered to pregnant female rats during gestation days 6 – 17. In the presence of maternal toxicity, fetal effects noted at 5.4 mg/kg/day (2× MTHD) included an increased incidence of ossification variations and unossified sternebra. No treatment-related effects on embryofetal toxicity or teratogenicity were noted at doses of 5.4 and 1.8 mg/kg/day, respectively (2× MTHD and 0.7× MTHD, respectively).

Subcutaneous doses of 0.1, 0.2 and 0.3 mg/kg/day hydrocortisone butyrate were administered to pregnant female rabbits during gestation days 7 – 20. An increased incidence of abortion was noted at 0.3 mg/kg/day (0.2× MTHD). In the absence of maternal toxicity, a dose-dependent decrease in fetal body weight was noted at doses ≥0.1 mg/kg/day (0.1× MTHD). Additional indicators of embryofetal toxicity (reduction in litter size, decreased number of viable fetuses, increased post-implantation loss) were noted at doses ≥0.2 mg/kg/day (0.2× MTHD). Additional fetal effects noted in this study included delayed ossification noted at doses ≥0.1 mg/kg/day and an increased incidence of fetal malformations (primarily skeletal malformations) noted at doses ≥0.2 mg/kg/day. A dose at which no treatment-related effects on embryofetal toxicity or teratogenicity were observed was not established in this study.

Additional systemic embryofetal development studies were conducted in rats and mice. Subcutaneous doses of 0.1 and 9 mg/kg/day hydrocortisone butyrate were administered to pregnant female rats during gestation days 9 – 15. In the presence of maternal toxicity, an increase in fetal deaths and fetal resorptions and an increase in the number of ossifications in caudal vertebrae were noted at a dose of 9 mg/kg/day (3× MTHD). No treatment-related effects on embryofetal toxicity or teratogenicity were noted at 0.1 mg/kg/day (0.1× MTHD).

Subcutaneous doses of 0.2 and 1 mg/kg/day hydrocortisone butyrate were administered to pregnant female mice during gestation days 7 – 13. In the absence of maternal toxicity, an increased number of cervical ribs and one fetus with clubbed legs were noted at a dose of 1 mg/kg/day (0.2× MTHD). No treatment-related effects on embryofetal toxicity or teratogenicity were noted at doses of 1 and 0.2 mg/kg/day, respectively (0.2× MTHD and 0.1× MTHD, respectively).

No topical embryofetal development studies were conducted with hydrocortisone butyrate cream and hydrocortisone butyrate topical solution. However, topical embryofetal development studies were conducted in rats and rabbits with a hydrocortisone butyrate ointment formulation. Topical doses of 1% and 10% hydrocortisone butyrate ointment were administered to pregnant female rats during gestation days 6 – 15 or pregnant female rabbits during gestation days 6 – 18. A dose-dependent increase in fetal resorptions was noted in rabbits (0.2 – 2× MTHD) and fetal resorptions were noted in rats at the 10% hydrocortisone butyrate ointment dose (80× MTHD).

No treatment-related effects on embryofetal toxicity were noted at the 1% hydrocortisone butyrate ointment dose in rats (8× MTHD). A dose at which no treatment-related effects on embryofetal toxicity were observed in rabbits after topical administration of hydrocortisone butyrate ointment was not established in this study.

No treatment-related effects on teratogenicity were noted at a dose of 10% hydrocortisone butyrate ointment in rats or rabbits (80× MTHD and 2× MTHD, respectively).

A peri- and post-natal development study was conducted in rats. Subcutaneous doses of 0.6, 1.8 and 5.4 mg/kg/day hydrocortisone butyrate were administered to pregnant female rats from gestation day 6 – lactation day 20. In the presence of maternal toxicity, a dose-dependent decrease in fetal weight was noted at doses ≥1.8 mg/kg/day (0.7× MTHD). No treatment-related effects on fetal toxicity were noted at 0.6 mg/kg/day (0.2× MTHD). A delay in sexual maturation was noted at 5.4 mg/kg/day (2× MTHD). No treatment-related effects on sexual maturation were noted at 1.8 mg/kg/day. No treatment-related effects on behavioral development or subsequent reproductive performance were noted at 5.4 mg/kg/day.

Description (DESCRIPTION)

Hydrocortisone Butyrate Ointment, Cream and Topical Solution contain the topical corticosteroid, hydrocortisone butyrate, a non-fluorinated hydrocortisone ester. It has the chemical name: 11β,17,21-Trihydroxypregn-4-ene-3,20-dione 17-butyrate; the molecular formula: C25H36O6; the molecular weight: 432.54; and the CAS registry number: 13609-67-1.

Its structural formula is:

Pediatric Use

Pediatric patients may demonstrate greater susceptibility to topical corticosteroid-induced HPA axis suppression and Cushing's syndrome than mature patients because of a larger skin surface area to body weight ratio.

Hypothalamic-pituitary-adrenal (HPA) axis suppression, Cushing's syndrome, linear growth retardation, delayed weight gain, and intracranial hypertension have been reported in children receiving topical corticosteroids.

Manifestations of adrenal suppression in children include low plasma cortisol levels and absence of response to ACTH stimulation. Manifestations of intracranial hypertension include bulging fontanelles, headaches, and bilateral papilledema.

Administration of topical corticosteroids to children should be limited to the least amount compatible with an effective therapeutic regimen. Chronic corticosteroid therapy may interfere with the growth and development of children.

Nursing Mothers

It is not known whether topical administration of corticosteroids could result in sufficient systemic absorption to produce detectable quantities in breast milk. Systemically administered corticosteroids are secreted into breast milk, in quantities not likely to have a deleterious effect on the infant. Nevertheless, caution should be exercised when topical corticosteroids are administered to a nursing woman.

Pharmacokinetics

The extent of percutaneous absorption of topical corticosteroids is determined by many factors including the vehicle, the integrity of the epidermal barrier, and the use of occlusive dressings.

Topical corticosteroids can be absorbed from normal intact skin. Inflammation and/or other disease processes in the skin increase percutaneous absorption. Occlusive dressings substantially increase the percutaneous absorption of topical corticosteroids.

Once absorbed through the skin, topical corticosteroids are handled through pharmacokinetic pathways similar to systemically administered corticosteroids. Corticosteroids are bound to plasma proteins in varying degrees. Corticosteroids are metabolized primarily in the liver and are then excreted by the kidneys. Some of the topical corticosteroids and their metabolites are also excreted into the bile.

Adverse Reactions (ADVERSE REACTIONS)

The following local adverse reactions are reported infrequently with topical corticosteroids but may occur more frequently with the use of occlusive dressings. These reactions are listed in an approximate decreasing order of occurrence: burning, itching, irritation, dryness, folliculitis, hypertrichosis, acneiform eruptions, hypopigmentation, perioral dermatitis, allergic contact dermatitis, maceration of the skin, secondary infection, skin atrophy, striae and miliaria.

Contraindications (CONTRAINDICATIONS)

None.

Clinical Pharmacology (CLINICAL PHARMACOLOGY)

Topical corticosteroids share anti-inflammatory, anti-pruritic and vasoconstrictive actions. The mechanism of anti-inflammatory activity of the topical corticosteroids is unclear. Various laboratory methods, including vasoconstrictor assays, are used to compare and predict potencies and/or clinical efficacies of the topical corticosteroids. There is some evidence to suggest that a recognizable correlation exists between vasoconstrictor potency and therapeutic efficacy in man.

Indications and Usage (INDICATIONS AND USAGE)

Hydrocortisone Butyrate Ointment, 0.1% and Hydrocortisone Butyrate Cream USP, 0.1% are indicated for the relief of the inflammatory and pruritic manifestations of corticosteroid-responsive dermatoses.

Hydrocortisone Butyrate Topical Solution, 0.1% is indicated for the relief of the inflammatory and pruritic manifestations of seborrheic dermatitis.

Information for Patients

Patients using topical corticosteroids should receive the following information and instructions:

  • This medication is to be used as directed by the physician. It is for external use only. Avoid contact with the eyes.
  • Patients should be advised not to use this medication for any disorder other than that for which it was prescribed.
  • The treated skin area should not be bandaged or otherwise covered or wrapped as to be occlusive unless directed by the physician.
  • Patients should report any signs of local adverse reactions especially under occlusive dressing.
  • Parents of pediatric patients should be advised not to use tight-fitting diapers or plastic pants on a child being treated in the diaper area, as these garments may constitute occlusive dressings.
Dosage and Administration (DOSAGE AND ADMINISTRATION)

Hydrocortisone Butyrate Ointment, 0.1% or Hydrocortisone Butyrate Cream USP, 0.1% should be applied to the affected area as a thin film two or three times daily depending on the severity of the condition. Occlusive dressings may be used for the management of psoriasis or recalcitrant conditions.

If an infection develops, the use of occlusive dressings should be discontinued and appropriate antimicrobial therapy instituted.

Hydrocortisone Butyrate Topical Solution, 0.1% should be applied to the affected area as a thin film two or three times daily depending on the severity of the condition.

Hydrocortisone Butyrate Ointment, 0.1%

Each gram of hydrocortisone butyrate ointment contains 1 mg of hydrocortisone butyrate in a base consisting of mineral oil and polyethylene.

Hydrocortisone Butyrate Cream Usp, 0.1% (Hydrocortisone Butyrate Cream USP, 0.1%)

Each gram of hydrocortisone butyrate cream contains 1 mg of hydrocortisone butyrate in a hydrophilic base consisting of anhydrous citric acid, cetomacrogol 1000, cetostearyl alcohol, light mineral oil, propylparaben and butylparaben (preservatives), purified water, sodium citrate anhydrous and white petrolatum.

Principal Display Panel 20 Ml Bottle Carton (PRINCIPAL DISPLAY PANEL - 20 mL Bottle Carton)

20 mL

NDC 51672-4061-2

Hydrocortisone

Butyrate

Topical Solution

0.1%

NOT FOR

OPHTHALMIC USE.

FOR TOPICAL

USE ONLY.

Rx only

TARO

Hydrocortisone Butyrate Topical Solution, 0.1%

Each mL of hydrocortisone butyrate topical solution contains 1 mg of hydrocortisone butyrate in a vehicle consisting of citric acid monohydrate, glycerin, isopropyl alcohol (50% v/v), povidone, purified water and sodium citrate.

Principal Display Panel 15 G Tube Carton Cream (PRINCIPAL DISPLAY PANEL - 15 g Tube Carton - Cream)

NDC 51672-4074-1

15 g

Hydrocortisone Butyrate

Cream USP, 0.1%

FOR TOPICAL USE ONLY.

NOT FOR OPHTHALMIC USE.

Rx only

Keep this and all medications out of the reach of children.

TARO

Principal Display Panel 15 G Tube Carton Ointment (PRINCIPAL DISPLAY PANEL - 15 g Tube Carton - Ointment)

NDC 51672-4083-1

15 g

Hydrocortisone Butyrate

Ointment 0.1%

FOR TOPICAL USE ONLY.

NOT FOR OPHTHALMIC USE.

Rx only

Keep this and all medications out of the reach of children.

TARO

Carcinogenesis, Mutagenesis, and Impairment of Fertility

Note: The animal multiples of human exposure calculations in this label were based on body surface area comparisons for an adult (i.e., mg/m2/day dose comparisons) assuming 100% human percutaneous absorption of a maximum topical human dose (MTHD) for hydrocortisone butyrate cream, ointment and topical solution (25 g).

In a 2-year dermal rat carcinogenicity study with hydrocortisone butyrate lotion, hydrocortisone butyrate was administered to Sprague-Dawley rats at topical doses of 0.05, 0.15, and 0.3 mg/kg/day in males and 0.1, 0.25, and 0.5 mg/kg/day in females (0.1% lotion). No drug-related tumors were noted in this study up to the highest doses evaluated in this study of 0.3 mg/kg/day in males (0.1× MTHD) and 0.5 mg/kg/day in females (0.2× MTHD).

Hydrocortisone butyrate revealed no evidence of mutagenic or clastogenic potential based on the results of two in vitro genotoxicity tests (Ames test and L5178Y/TK+/- mouse lymphoma assay) and one in vivo genotoxicity test (mouse micronucleus assay).

No evidence of impairment of fertility or effect on mating performance was observed in a fertility and general reproductive performance study conducted in male and female rats at subcutaneous doses up to and including 1.8 mg/kg/day (0.7× MTHD). Mild effects on maternal animals, such as reduced food consumption and a subsequent reduction in body weight gain, were seen at doses ≥0.6 mg/kg/day (0.2× MTHD).


Advanced Ingredient Data


Raw Label Data

All Sections (JSON)