These Highlights Do Not Include All The Information Needed To Use Fluocinonide Cream Safely And Effectively. See Full Prescribing Information For Fluocinonide Cream.

These Highlights Do Not Include All The Information Needed To Use Fluocinonide Cream Safely And Effectively. See Full Prescribing Information For Fluocinonide Cream.
SPL v102
SPL
SPL Set ID 50d06efd-9caa-4254-bf1f-eb430c5178b0
Route
TOPICAL
Published
Effective Date 2011-12-30
Document Type 34391-3 HUMAN PRESCRIPTION DRUG LABEL

Drug Facts

Composition & Product

Active Ingredients
Fluocinonide (1 mg)
Inactive Ingredients
Anhydrous Citric Acid Carbomer Homopolymer Type C (allyl Pentaerythritol Crosslinked) Diethylene Glycol Monoethyl Ether Diisopropanolamine Glyceryl Monostearate Peg-100 Stearate Propylene Glycol Water

Identifiers & Packaging

Pill Appearance
Color: white
Marketing Status
ANDA Active Since 2020-04-30

Description

Fluocinonide cream USP, 0.1% is a corticosteroid indicated for the relief of the inflammatory and pruritic manifestations of corticosteroid responsive dermatoses in patients 12 years of age or older. ( 1 ) Limitation of Use: Treatment beyond 2 consecutive weeks is not recommended and the total dosage should not exceed 60 g per week because of the potential for the drug to suppress the hypothalamic-pituitary-adrenal (HPA) axis. ( 1 ) Avoid use on the face, groin, or axillae. ( 1.2 ) Avoid use in perioral dermatitis or rosacea.

Indications and Usage

Fluocinonide cream USP, 0.1% is a corticosteroid indicated for the relief of the inflammatory and pruritic manifestations of corticosteroid responsive dermatoses in patients 12 years of age or older. ( 1 ) Limitation of Use: Treatment beyond 2 consecutive weeks is not recommended and the total dosage should not exceed 60 g per week because of the potential for the drug to suppress the hypothalamic-pituitary-adrenal (HPA) axis. ( 1 ) Avoid use on the face, groin, or axillae. ( 1.2 ) Avoid use in perioral dermatitis or rosacea.

Dosage and Administration

For topical use only. Fluocinonide cream is not for ophthalmic, oral, or intravaginal use. (2) Psoriasis: apply a thin layer once or twice daily to the affected skin areas. ( 2 ) Atopic Dermatitis: apply a thin layer once daily to the affected skin areas. ( 2 ) Corticosteroid Responsive Dermatoses, other than psoriasis or atopic dermatitis: apply a thin layer once or twice daily to the affected areas. ( 2 )

Warnings and Precautions

Fluocinonide cream has been shown to suppress the HPA axis. Systemic absorption of fluocinonide cream may produce reversible hypothalamic- pituitary-adrenal (HPA) axis suppression, Cushing's syndrome, hyperglycemia and unmask latent diabetes ( 5.1 ) Systemic absorption may require evaluation for HPA axis suppression ( 5.1 ) Modify use should HPA axis suppression develop ( 5.1 ) Potent corticosteroids, use on large areas, prolonged use or occlusive use may increase systemic absorption ( 5.3 ) Local adverse reactions with topical steroids may include atrophy, striae, irritation, acneiform eruptions, hypopigmentation and allergic contact dermatitis and may be more likely to occur with occlusive use or more potent corticosteroids ( 5.3 ) Children may be more susceptible to systemic toxicity when treated with topical corticosteroids ( 5.1 , 8.4 )

Contraindications

None ( 4 )

Adverse Reactions

The most commonly reported adverse reactions (≥1%) were headache, application site burning, nasopharyngitis, and nasal congestion. ( 6 ) To report SUSPECTED ADVERSE REACTIONS, contact Viona Pharmaceuticals Inc. at 1-888-304-5011 or FDA at 1-800-FDA-1088 or www.fda.gov/medwatch.

Storage and Handling

Fluocinonide Cream USP, 0.1% is white to off white cream, free from lumps and foreign matter with no phase separation. Filled in aluminum tube fitted with white color cap and supplied as follows: NDC: 63629-2510-1: in tube of 30 g Store at controlled room temperature: 15° to 30°C (59° to 86°F). Keep the tube tightly closed.

How Supplied

Fluocinonide Cream USP, 0.1% is white to off white cream, free from lumps and foreign matter with no phase separation. Filled in aluminum tube fitted with white color cap and supplied as follows: NDC: 63629-2510-1: in tube of 30 g Store at controlled room temperature: 15° to 30°C (59° to 86°F). Keep the tube tightly closed.


Medication Information

Warnings and Precautions

Fluocinonide cream has been shown to suppress the HPA axis. Systemic absorption of fluocinonide cream may produce reversible hypothalamic- pituitary-adrenal (HPA) axis suppression, Cushing's syndrome, hyperglycemia and unmask latent diabetes ( 5.1 ) Systemic absorption may require evaluation for HPA axis suppression ( 5.1 ) Modify use should HPA axis suppression develop ( 5.1 ) Potent corticosteroids, use on large areas, prolonged use or occlusive use may increase systemic absorption ( 5.3 ) Local adverse reactions with topical steroids may include atrophy, striae, irritation, acneiform eruptions, hypopigmentation and allergic contact dermatitis and may be more likely to occur with occlusive use or more potent corticosteroids ( 5.3 ) Children may be more susceptible to systemic toxicity when treated with topical corticosteroids ( 5.1 , 8.4 )

Indications and Usage

Fluocinonide cream USP, 0.1% is a corticosteroid indicated for the relief of the inflammatory and pruritic manifestations of corticosteroid responsive dermatoses in patients 12 years of age or older. ( 1 ) Limitation of Use: Treatment beyond 2 consecutive weeks is not recommended and the total dosage should not exceed 60 g per week because of the potential for the drug to suppress the hypothalamic-pituitary-adrenal (HPA) axis. ( 1 ) Avoid use on the face, groin, or axillae. ( 1.2 ) Avoid use in perioral dermatitis or rosacea.

Dosage and Administration

For topical use only. Fluocinonide cream is not for ophthalmic, oral, or intravaginal use. (2) Psoriasis: apply a thin layer once or twice daily to the affected skin areas. ( 2 ) Atopic Dermatitis: apply a thin layer once daily to the affected skin areas. ( 2 ) Corticosteroid Responsive Dermatoses, other than psoriasis or atopic dermatitis: apply a thin layer once or twice daily to the affected areas. ( 2 )

Contraindications

None ( 4 )

Adverse Reactions

The most commonly reported adverse reactions (≥1%) were headache, application site burning, nasopharyngitis, and nasal congestion. ( 6 ) To report SUSPECTED ADVERSE REACTIONS, contact Viona Pharmaceuticals Inc. at 1-888-304-5011 or FDA at 1-800-FDA-1088 or www.fda.gov/medwatch.

Storage and Handling

Fluocinonide Cream USP, 0.1% is white to off white cream, free from lumps and foreign matter with no phase separation. Filled in aluminum tube fitted with white color cap and supplied as follows: NDC: 63629-2510-1: in tube of 30 g Store at controlled room temperature: 15° to 30°C (59° to 86°F). Keep the tube tightly closed.

How Supplied

Fluocinonide Cream USP, 0.1% is white to off white cream, free from lumps and foreign matter with no phase separation. Filled in aluminum tube fitted with white color cap and supplied as follows: NDC: 63629-2510-1: in tube of 30 g Store at controlled room temperature: 15° to 30°C (59° to 86°F). Keep the tube tightly closed.

Description

Fluocinonide cream USP, 0.1% is a corticosteroid indicated for the relief of the inflammatory and pruritic manifestations of corticosteroid responsive dermatoses in patients 12 years of age or older. ( 1 ) Limitation of Use: Treatment beyond 2 consecutive weeks is not recommended and the total dosage should not exceed 60 g per week because of the potential for the drug to suppress the hypothalamic-pituitary-adrenal (HPA) axis. ( 1 ) Avoid use on the face, groin, or axillae. ( 1.2 ) Avoid use in perioral dermatitis or rosacea.

Section 42229-5

For topical use only. Fluocinonide cream is not for ophthalmic, oral, or intravaginal use.

For psoriasis, apply a thin layer of fluocinonide cream once or twice daily to the affected skin areas as directed by a physician. Twice daily application for the treatment of psoriasis has been shown to be more effective in achieving treatment success during 2 weeks of treatment.

For atopic dermatitis, apply a thin layer of fluocinonide cream once daily to the affected skin areas as directed by a physician. Once daily application for the treatment of atopic dermatitis has been shown to be as effective as twice daily treatment in achieving treatment success during 2 weeks of treatment [see Clinical Studies (14)].

For corticosteroid responsive dermatoses, other than psoriasis or atopic dermatitis, apply a thin layer of fluocinonide cream once or twice daily to the affected areas as directed by a physician.

Section 51945-4

Fluocinonide 0.1% Cream, USP #30

10 Overdosage

Topically applied fluocinonide cream can be absorbed in sufficient amounts to produce systemic effects [see Warnings and Precautions (5.1)].

8.1 Pregnancy

Teratogenic Effects

Pregnancy Category C

There are no adequate and well-controlled studies in pregnant women. Therefore, fluocinonide cream should be used during pregnancy only if the potential benefit justifies the potential risk to the fetus.

Corticosteroids have been shown to be teratogenic in laboratory animals when administered systemically at relatively low dosage levels. Some corticosteroids have been shown to be teratogenic after dermal application in laboratory animals.

1.1 Indication

Fluocinonide cream USP, 0.1% is indicated for the relief of the inflammatory and pruritic manifestations of corticosteroid responsive dermatoses in patients 12 years of age or older [see Use in Specific Populations (8.4)].

11 Description

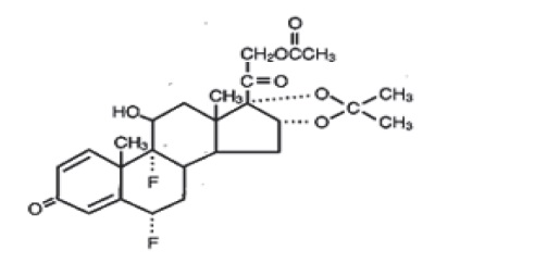
Fluocinonide cream USP, 0.1% contains fluocinonide, a synthetic corticosteroid for topical dermatologic use. The corticosteroids constitute a class of primarily synthetic steroids used topically as anti-inflammatory and antipruritic agents. Fluocinonide has the chemical name 6 alpha, 9 alpha- difluoro-11 beta, 21-dihydroxy-16 alpha, 17 alpha- isopropylidenedioxypregna-1, 4-diene-3, 20-dione 21-acetate. Its chemical formula is C26H32F2O7 and it has a molecular weight of 494.58.

It has the following chemical structure:

Fluocinonide, USP is white or almost white microcrystalline powder. It is practically insoluble in water, very slightly soluble in ether, slightly soluble in ethanol, methanol and dioxane, sparingly soluble in acetone and chloroform.

Each gram of fluocinonide cream, USP contains 1 mg micronized fluocinonide in a cream base of anhydrous citric acid, carbomer homopolymer type C, diethylene glycol monoethyl ether, diisopropanolamine, glyceryl monostearate, glyceryl stearate/PEG-100 stearate, propylene glycol and purified water.

8.4 Pediatric Use

Safety and efficacy of fluocinonide cream in pediatric patients younger than 12 years of age have not been established; therefore use in pediatric patients younger than 12 years of age is not recommended.

HPA axis suppression was studied in 4 sequential cohorts of pediatric patients with atopic dermatitis covering at least 20% of the body surface area, treated once daily or twice daily with fluocinonide cream. The first cohort of 31 patients (mean 36.3% BSA) 12 to < 18 years old; the second cohort included 31 patients (mean 39.0% BSA) 6 to < 12 years old; the third cohort included 30 patients (mean 34.6% BSA) 2 to < 6 years old; the fourth cohort included 31 patients (mean 40.0% BSA) 3 months to < 2 years old. Fluocinonide cream caused HPA-axis suppression in 1 patient in the twice daily group in Cohort 1, 2 patients in the twice daily group in Cohort 2, and 1 patient in the twice daily group in Cohort 3. Follow-up testing 14 days after treatment discontinuation, available for all 4 suppressed patients, demonstrated a normally responsive HPA axis. Signs of skin atrophy were present at baseline and severity was not determined making it difficult to assess local skin safety. Therefore, the safety of fluocinonide cream in patients younger than 12 years of age has not been demonstrated [see Warnings and Precautions (5.2)].

HPA axis suppression has not been evaluated in patients with psoriasis who are less than 18 years of age.

Because of a higher ratio of skin surface area to body mass, pediatric patients are at a greater risk than adults of HPA-axis suppression and Cushing's syndrome when they are treated with topical corticosteroids. They are therefore also at greater risk of adrenal insufficiency during or after withdrawal of treatment. Adverse effects including striae have been reported with inappropriate use of topical corticosteroids in infants and children.

HPA-axis suppression, Cushing's syndrome, linear growth retardation, delayed weight gain, and intracranial hypertension have been reported in children receiving topical corticosteroids. Manifestations of adrenal suppression in children include low plasma cortisol levels and absence of response to cosyntropin (ACTH1-24) stimulation. Manifestations of intracranial hypertension include bulging fontanelles, headaches, and bilateral papilledema.

8.5 Geriatric Use

Clinical studies of fluocinonide cream did not include sufficient numbers of subjects aged 65 and over to determine whether they respond differently from younger subjects.

14 Clinical Studies

Two adequate and well-controlled efficacy and safety studies of fluocinonide cream have been completed, one in adult subjects with plaque-type psoriasis (Table 2), and one in adult subjects with atopic dermatitis (Table 3). In each of these studies, subjects with between 2% and 10% body surface area involvement at baseline treated all affected areas either once daily or twice daily with fluocinonide cream for 14 consecutive days. The primary measure of efficacy was the proportion of subjects whose condition was cleared or almost cleared at the end of treatment. The results of these studies are presented in the tables below as percent and number of patients achieving treatment success at Week 2.

Table 2Plaque-type Psoriasis in Adults

*Cleared or almost cleared



Fluocinonide  Creamonce  daily

( n = 107 )

Vehicleonce  daily

( n = 54 )

Fluocinonide   Creamtwice  daily

( n = 107 )

Vehicletwice  daily

( n = 55 )

Subjects cleared

0 (0)

0 (0)

6 (6%)

0 (0)

Subjects achieving treatment success*

19 (18%)

4 (7%)

33 (31%)

3 (5%)

Table 3Atopic Dermatitis in Adults

*Cleared or almost cleared



Fluocinonide   Creamonce  daily 

( n = 109 )

Vehicleonce  daily 

( n = 50 )

Fluocinonide   Creamtwice  daily

( n = 102 )

Vehicletwice  daily 

( n = 52 )

Subjects cleared

11 (10%)

0 (0)

17 (17%)

0 (0)

Subjects achieving treatment success*

64 (59%)

6 (12%)

58 (57%)

10 (19%)

No efficacy studies have been conducted to compare fluocinonide cream, 0.1% with any other topical corticosteroid product, including fluocinonide cream 0.05%.

4 Contraindications

None (4)

6 Adverse Reactions

The most commonly reported adverse reactions (≥1%) were headache, application site burning, nasopharyngitis, and nasal congestion. (6)

To report SUSPECTED ADVERSE REACTIONS, contact Viona Pharmaceuticals Inc. at 1-888-304-5011 or FDA at 1-800-FDA-1088 or www.fda.gov/medwatch.

8.3 Nursing Mothers

Systemically administered corticosteroids appear in human milk and could suppress growth, interfere with endogenous corticosteroid production, or cause other untoward effects.  It is not known whether topical administration of corticosteroids could result in sufficient systemic absorption to produce detectable quantities in breast milk.  Nevertheless, a decision should be made whether to discontinue nursing or to discontinue the drug, taking into account the importance of the drug to the mother.

1.2 Limitation of Use

Treatment beyond 2 consecutive weeks is not recommended and the total dosage should not exceed 60 g per week because the safety of fluocinonide cream for longer than 2 weeks has not been established and because of the potential for the drug to suppress the hypothalamic-pituitary-adrenal (HPA) axis. Therapy should be discontinued when control of the disease is achieved. If no improvement is seen within 2 weeks, reassessment of the diagnosis may be necessary. Do not use more than half of the 120 g tube per week.

Fluocinonide cream should not be used in the treatment of rosacea or perioral dermatitis, and should not be used on the face, groin, or axillae.

12.2 Pharmacodynamics

Vasoconstrictor studies performed with fluocinonide cream in healthy subjects indicate that it is in the super-high range of potency as compared with other topical corticosteroids; however, similar blanching scores do not necessarily imply therapeutic equivalence.

Application of fluocinonide cream twice daily for 14 days in 18 adult subjects with plaque-type psoriasis (10 to 50% BSA, mean 19.6% BSA) and 31 adult subjects (17 treated once daily; 14 treated twice daily) with atopic dermatitis (2 o 10% BSA, mean 5% BSA) showed demonstrable HPA-axis suppression in 2 subjects with psoriasis (with 12% and 25% BSA) and 1 subject with atopic dermatitis (treated once daily, 4% BSA) where the criterion for HPA-axis suppression is a serum cortisol level of less than or equal to 18 micrograms per deciliter 30 minutes after stimulation with cosyntropin (ACTH1-24) [see Warnings and Precautions (5.1)].

HPA-axis suppression following application of fluocinonide cream, 0.1% (once or twice daily) was also evaluated in 123 pediatric patients from 3 months to < 18 years of age with atopic dermatitis (mean BSA range 34.6 % to 40.0 %). HPA-axis suppression was observed in 4 patients in the twice daily groups. Follow-up testing 14 days after treatment discontinuation demonstrated a normally responsive HPA axis in all 4 suppressed patients [see Warnings and Precautions (5.1) and Use in Specific populations (8.4)].

12.3 Pharmacokinetics

The extent of percutaneous absorption of topical corticosteroids is determined by many factors including the vehicle and the integrity of the epidermal barrier. Topical corticosteroids can be absorbed from normal intact skin. Inflammation and/or other disease processes in the skin may increase percutaneous absorption.

1 Indications and Usage

Fluocinonide cream USP, 0.1% is a corticosteroid indicated for the relief of the inflammatory and pruritic manifestations of corticosteroid responsive dermatoses in patients 12 years of age or older. (1)

Limitation of Use:

  • Treatment beyond 2 consecutive weeks is not recommended and the total dosage should not exceed 60 g per week because of the potential for the drug to suppress the hypothalamic-pituitary-adrenal (HPA) axis. (1)
  • Avoid use on the face, groin, or axillae. (1.2)
  • Avoid use in perioral dermatitis or rosacea.
12.1 Mechanism of Action

Corticosteroids play a role in cellular signaling, immune function, inflammation, and protein regulation; however, the precise mechanism of action of fluocinonide cream in corticosteroid responsive dermatoses is unknown.

5 Warnings and Precautions
  • Fluocinonide cream has been shown to suppress the HPA axis. Systemic absorption of fluocinonide cream may produce reversible hypothalamic- pituitary-adrenal (HPA) axis suppression, Cushing's syndrome, hyperglycemia and unmask latent diabetes (5.1)
  • Systemic absorption may require evaluation for HPA axis suppression (5.1)
  • Modify use should HPA axis suppression develop (5.1)
  • Potent corticosteroids, use on large areas, prolonged use or occlusive use may increase systemic absorption (5.3)
  • Local adverse reactions with topical steroids may include atrophy, striae, irritation, acneiform eruptions, hypopigmentation and allergic contact dermatitis and may be more likely to occur with occlusive use or more potent corticosteroids (5.3)
  • Children may be more susceptible to systemic toxicity when treated with topical corticosteroids (5.1,8.4)
2 Dosage and Administration

For topical use only. Fluocinonide cream is not for ophthalmic, oral, or intravaginal use. (2)

Psoriasis: apply a thin layer once or twice daily to the affected skin areas. (2) Atopic Dermatitis: apply a thin layer once daily to the affected skin areas. (2) Corticosteroid Responsive Dermatoses, other than psoriasis or atopic dermatitis: apply a thin layer once or twice daily to the affected areas. (2)

3 Dosage Forms and Strengths

Cream, 0.1% (3)

6.2 Postmarketing Experience

The following adverse reactions have been identified during post approval use of fluocinonide cream:

Administration Site Conditions: discoloration, erythema, irritation, pruritus, swelling, pain and condition aggravated.

Immune System Disorders: hypersensitivity.

Nervous System Disorders: headache and dizziness.

Skin and Subcutaneous Tissue Disorders: acne, dry skin, rash, skin exfoliation and skin tightness.

Because these reactions are reported voluntarily from a population of uncertain size, it is not always possible to reliably estimate their frequency or establish a causal relationship to drug exposure.

5.1 Effect On Endocrine System

Systemic absorption of topical corticosteroids, including fluocinonide cream, can produce reversible hypothalamic-pituitary-adrenal (HPA) axis suppression with the potential for clinical glucocorticosteroid insufficiency. This may occur during treatment or upon withdrawal of the topical corticosteroid. In addition, the use of fluocinonide cream for longer than 2 weeks may suppress the immune system [see Nonclinical Toxicology (13.1)].

HPA axis suppression has been observed with fluocinonide cream, 0.1% applied once or twice daily in 2 out of 18 adult patients with plaque-type psoriasis, 1 out of 31 adult patients with atopic dermatitis and 4 out of 123 pediatric patients with atopic dermatitis [see Use in Specific Population (8.4) and Clinical Pharmacology (12.2)].

Because of the potential for systemic absorption, use of topical corticosteroids, including fluocinonide cream, may require that patients be periodically evaluated for HPA axis suppression. Factors that predispose a patient using a topical corticosteroid to HPA axis suppression include the use of more potent steroids, use over large surface areas, use over prolonged periods, use under occlusion, use on an altered skin barrier, and use in patients with liver failure.

An ACTH stimulation test may be helpful in evaluating patients for HPA axis suppression. If HPA axis suppression is documented, an attempt should be made to gradually withdraw the drug, to reduce the frequency of application, or to substitute a less potent steroid. Manifestations of adrenal insufficiency may require supplemental systemic corticosteroids. Recovery of HPA axis function is generally prompt and complete upon discontinuation of topical corticosteroids.

Cushing's syndrome, hyperglycemia, and unmasking of latent diabetes mellitus can also result from systemic absorption of topical corticosteroids.

Use of more than one corticosteroid-containing product at the same time may increase the total systemic absorption of topical corticosteroids.

Studies conducted in pediatric patients demonstrated reversible HPA axis suppression after use of fluocinonide cream. Pediatric patients may be more susceptible than adults to systemic toxicity from equivalent doses of fluocinonide cream due to their larger skin surface-to-body-mass ratios [See Use in Specific Populations (8.4)].

6.1 Clinical Trials Experience

Because clinical studies are conducted under widely varying conditions, adverse reaction rates observed in the clinical studies of a drug cannot be directly compared to rates in the clinical studies of another drug and may not reflect the rates observed in practice.

In clinical trials, a total of 443 adult subjects with atopic dermatitis or plaque-type psoriasis were treated once daily or twice daily with fluocinonide cream for 2 weeks. The most commonly observed adverse reactions in these clinical trials were as follows:

Table 1Most Commonly Observed Adverse Reactions (≥1%) in Adult Clinical Trials
Adverse

Reaction

Fluocinonide   Cream

once  daily 

( n = 216 )

Fluocinonide   Cream

twice  daily 

( n = 227 )

Vehicle  Cream

once  or  twice  daily

( n = 211 )

Headache

8 (3.7%)

9 (4.0%)

6 (2.8%)

Application Site Burning

5 (2.3%)

4 (1.8%)

14 (6.6%)

Nasopharyngitis

2 (0.9%)

3 (1.3%)

3 (1.4%)

Nasal Congestion

3 (1.4%)

1 (0.4%)

0

Safety in patients 12 to 17 years of age was similar to that observed in adults.

5.3 Concomitant Skin Infections

If concomitant skin infections are present or develop, an appropriate antifungal or antibacterial agent should be used.  If a favorable response does not occur promptly, use of fluocinonide cream should be discontinued until the infection has been adequately controlled.

5.4 Allergic Contact Dermatitis

If irritation develops, fluocinonide cream should be discontinued and appropriate therapy instituted. Allergic contact dermatitis with corticosteroids is usually diagnosed by observing failure to heal rather than noting a clinical exacerbation as with most topical products not containing corticosteroids.

Such an observation should be corroborated with appropriate diagnostic patch testing.

17 Patient Counseling Information

[See FDA-approved patient labeling (Patient Information)]

Patients using fluocinonide cream should receive the following information and instructions. This information is intended to aid in the safe and effective use of this medication. It is not a disclosure of all possible adverse or unintended effects:

  • Fluocinonide cream is to be used as directed by the physician. It is for external use only. Avoid contact with the eyes. It should not be used on the face, groin, and underarms.
  • Fluocinonide cream should not be used for any disorder other than that for which it was prescribed.
  • The treated skin area should not be bandaged or otherwise covered or wrapped, so as to be occlusive unless directed by the physician.
  • Patients should report to their physician any signs of local adverse reactions.
  • Other corticosteroid-containing products should not be used with fluocinonide cream without first talking to the physician.
  • As with other corticosteroids, therapy should be discontinued when control is achieved. If no improvement is seen in 2 weeks, the patient should be instructed to contact a physician. The safety of the use of fluocinonide cream for longer than 2 weeks has not been established.
  • Patients should be informed to not use more than 60 g per week of fluocinonide cream. Do not use more than half of the 120 g tube per week.
  • Patients should inform their physicians that they are using fluocinonide cream if surgery is contemplated.
  • Patients should wash their hands after applying medication.
16 How Supplied/storage and Handling

Fluocinonide Cream USP, 0.1% is white to off white cream, free from lumps and foreign matter with no phase separation. Filled in aluminum tube fitted with white color cap and supplied as follows:

NDC: 63629-2510-1: in tube of 30 g

Store at controlled room temperature: 15° to 30°C (59° to 86°F). Keep the tube tightly closed.

5.2 Local Adverse Reactions With Topical Corticosteroids

Local adverse reactions may be more likely to occur with occlusive use, prolonged use or use of higher potency corticosteroids. Reactions may include atrophy, striae, telangiectasis, burning, itching, irritation, dryness, folliculitis, acneiform eruptions, hypopigmentation, perioral dermatitis, allergic contact dermatitis, secondary infection, and miliaria. Some local adverse reactions may be irreversible.

13.1 Carcinogenesis, Mutagenesis, Impairment of Fertility

Long-term animal studies have not been performed to evaluate the carcinogenic potential of fluocinonide cream because of severe immunosuppression induced in a 13-week dermal rat study. The effects of fluocinonide on fertility have not been evaluated.

Fluocinonide revealed no evidence of mutagenic or clastogenic potential based on the results of two in vitro genotoxicity tests (Ames test and chromosomal aberration assay using human lymphocytes). However, fluocinonide was positive for clastogenic potential when tested in the in vivo mouse micronucleus assay.

Topical (dermal) application of 0.0003%-0.03% fluocinonide cream to rats once daily for 13 weeks resulted in a toxicity profile generally associated with long term exposure to corticosteroids including decreased skin thickness, adrenal atrophy, and severe immunosuppression. A NOAEL could not be determined in this study. In addition, topical (dermal) application of 0.1% fluocinonide cream plus UVR exposure to hairless mice for 13 weeks and 150-900 mg/kg/day of 0.1% fluocinonide cream to minipigs (a model which more closely approximates human skin) for 13 weeks produced glucocorticoid-related suppression of the HPA axis, with some signs of immunosuppression noted in the dermal minipig study. Although the clinical relevance of the findings in animals to humans is not clear, sustained glucocorticoid-related immune suppression may increase the risk of infection and possibly the risk for carcinogenesis.

Topical doses of 0% (fluocinonide cream vehicle), 0.0001%, 0.005% and 0.001% fluocinonide cream were evaluated in a 52 week dermal photo- carcinogenicity study (40 weeks of treatment followed by 12 weeks of observation) conducted in hairless albino mice with concurrent exposure to low level ultraviolet radiation. Topical treatment with increasing concentrations of fluocinonide cream did not have an adverse effect in this study. The results of this study suggest that topical treatment with fluocinonide cream would not enhance photo-carcinogenesis.


Structured Label Content

Section 42229-5 (42229-5)

For topical use only. Fluocinonide cream is not for ophthalmic, oral, or intravaginal use.

For psoriasis, apply a thin layer of fluocinonide cream once or twice daily to the affected skin areas as directed by a physician. Twice daily application for the treatment of psoriasis has been shown to be more effective in achieving treatment success during 2 weeks of treatment.

For atopic dermatitis, apply a thin layer of fluocinonide cream once daily to the affected skin areas as directed by a physician. Once daily application for the treatment of atopic dermatitis has been shown to be as effective as twice daily treatment in achieving treatment success during 2 weeks of treatment [see Clinical Studies (14)].

For corticosteroid responsive dermatoses, other than psoriasis or atopic dermatitis, apply a thin layer of fluocinonide cream once or twice daily to the affected areas as directed by a physician.

Section 51945-4 (51945-4)

Fluocinonide 0.1% Cream, USP #30

10 Overdosage (10 OVERDOSAGE)

Topically applied fluocinonide cream can be absorbed in sufficient amounts to produce systemic effects [see Warnings and Precautions (5.1)].

8.1 Pregnancy

Teratogenic Effects

Pregnancy Category C

There are no adequate and well-controlled studies in pregnant women. Therefore, fluocinonide cream should be used during pregnancy only if the potential benefit justifies the potential risk to the fetus.

Corticosteroids have been shown to be teratogenic in laboratory animals when administered systemically at relatively low dosage levels. Some corticosteroids have been shown to be teratogenic after dermal application in laboratory animals.

1.1 Indication

Fluocinonide cream USP, 0.1% is indicated for the relief of the inflammatory and pruritic manifestations of corticosteroid responsive dermatoses in patients 12 years of age or older [see Use in Specific Populations (8.4)].

11 Description (11 DESCRIPTION)

Fluocinonide cream USP, 0.1% contains fluocinonide, a synthetic corticosteroid for topical dermatologic use. The corticosteroids constitute a class of primarily synthetic steroids used topically as anti-inflammatory and antipruritic agents. Fluocinonide has the chemical name 6 alpha, 9 alpha- difluoro-11 beta, 21-dihydroxy-16 alpha, 17 alpha- isopropylidenedioxypregna-1, 4-diene-3, 20-dione 21-acetate. Its chemical formula is C26H32F2O7 and it has a molecular weight of 494.58.

It has the following chemical structure:

Fluocinonide, USP is white or almost white microcrystalline powder. It is practically insoluble in water, very slightly soluble in ether, slightly soluble in ethanol, methanol and dioxane, sparingly soluble in acetone and chloroform.

Each gram of fluocinonide cream, USP contains 1 mg micronized fluocinonide in a cream base of anhydrous citric acid, carbomer homopolymer type C, diethylene glycol monoethyl ether, diisopropanolamine, glyceryl monostearate, glyceryl stearate/PEG-100 stearate, propylene glycol and purified water.

8.4 Pediatric Use

Safety and efficacy of fluocinonide cream in pediatric patients younger than 12 years of age have not been established; therefore use in pediatric patients younger than 12 years of age is not recommended.

HPA axis suppression was studied in 4 sequential cohorts of pediatric patients with atopic dermatitis covering at least 20% of the body surface area, treated once daily or twice daily with fluocinonide cream. The first cohort of 31 patients (mean 36.3% BSA) 12 to < 18 years old; the second cohort included 31 patients (mean 39.0% BSA) 6 to < 12 years old; the third cohort included 30 patients (mean 34.6% BSA) 2 to < 6 years old; the fourth cohort included 31 patients (mean 40.0% BSA) 3 months to < 2 years old. Fluocinonide cream caused HPA-axis suppression in 1 patient in the twice daily group in Cohort 1, 2 patients in the twice daily group in Cohort 2, and 1 patient in the twice daily group in Cohort 3. Follow-up testing 14 days after treatment discontinuation, available for all 4 suppressed patients, demonstrated a normally responsive HPA axis. Signs of skin atrophy were present at baseline and severity was not determined making it difficult to assess local skin safety. Therefore, the safety of fluocinonide cream in patients younger than 12 years of age has not been demonstrated [see Warnings and Precautions (5.2)].

HPA axis suppression has not been evaluated in patients with psoriasis who are less than 18 years of age.

Because of a higher ratio of skin surface area to body mass, pediatric patients are at a greater risk than adults of HPA-axis suppression and Cushing's syndrome when they are treated with topical corticosteroids. They are therefore also at greater risk of adrenal insufficiency during or after withdrawal of treatment. Adverse effects including striae have been reported with inappropriate use of topical corticosteroids in infants and children.

HPA-axis suppression, Cushing's syndrome, linear growth retardation, delayed weight gain, and intracranial hypertension have been reported in children receiving topical corticosteroids. Manifestations of adrenal suppression in children include low plasma cortisol levels and absence of response to cosyntropin (ACTH1-24) stimulation. Manifestations of intracranial hypertension include bulging fontanelles, headaches, and bilateral papilledema.

8.5 Geriatric Use

Clinical studies of fluocinonide cream did not include sufficient numbers of subjects aged 65 and over to determine whether they respond differently from younger subjects.

14 Clinical Studies (14 CLINICAL STUDIES)

Two adequate and well-controlled efficacy and safety studies of fluocinonide cream have been completed, one in adult subjects with plaque-type psoriasis (Table 2), and one in adult subjects with atopic dermatitis (Table 3). In each of these studies, subjects with between 2% and 10% body surface area involvement at baseline treated all affected areas either once daily or twice daily with fluocinonide cream for 14 consecutive days. The primary measure of efficacy was the proportion of subjects whose condition was cleared or almost cleared at the end of treatment. The results of these studies are presented in the tables below as percent and number of patients achieving treatment success at Week 2.

Table 2Plaque-type Psoriasis in Adults

*Cleared or almost cleared



Fluocinonide  Creamonce  daily

( n = 107 )

Vehicleonce  daily

( n = 54 )

Fluocinonide   Creamtwice  daily

( n = 107 )

Vehicletwice  daily

( n = 55 )

Subjects cleared

0 (0)

0 (0)

6 (6%)

0 (0)

Subjects achieving treatment success*

19 (18%)

4 (7%)

33 (31%)

3 (5%)

Table 3Atopic Dermatitis in Adults

*Cleared or almost cleared



Fluocinonide   Creamonce  daily 

( n = 109 )

Vehicleonce  daily 

( n = 50 )

Fluocinonide   Creamtwice  daily

( n = 102 )

Vehicletwice  daily 

( n = 52 )

Subjects cleared

11 (10%)

0 (0)

17 (17%)

0 (0)

Subjects achieving treatment success*

64 (59%)

6 (12%)

58 (57%)

10 (19%)

No efficacy studies have been conducted to compare fluocinonide cream, 0.1% with any other topical corticosteroid product, including fluocinonide cream 0.05%.

4 Contraindications (4 CONTRAINDICATIONS)

None (4)

6 Adverse Reactions (6 ADVERSE REACTIONS)

The most commonly reported adverse reactions (≥1%) were headache, application site burning, nasopharyngitis, and nasal congestion. (6)

To report SUSPECTED ADVERSE REACTIONS, contact Viona Pharmaceuticals Inc. at 1-888-304-5011 or FDA at 1-800-FDA-1088 or www.fda.gov/medwatch.

8.3 Nursing Mothers

Systemically administered corticosteroids appear in human milk and could suppress growth, interfere with endogenous corticosteroid production, or cause other untoward effects.  It is not known whether topical administration of corticosteroids could result in sufficient systemic absorption to produce detectable quantities in breast milk.  Nevertheless, a decision should be made whether to discontinue nursing or to discontinue the drug, taking into account the importance of the drug to the mother.

1.2 Limitation of Use

Treatment beyond 2 consecutive weeks is not recommended and the total dosage should not exceed 60 g per week because the safety of fluocinonide cream for longer than 2 weeks has not been established and because of the potential for the drug to suppress the hypothalamic-pituitary-adrenal (HPA) axis. Therapy should be discontinued when control of the disease is achieved. If no improvement is seen within 2 weeks, reassessment of the diagnosis may be necessary. Do not use more than half of the 120 g tube per week.

Fluocinonide cream should not be used in the treatment of rosacea or perioral dermatitis, and should not be used on the face, groin, or axillae.

12.2 Pharmacodynamics

Vasoconstrictor studies performed with fluocinonide cream in healthy subjects indicate that it is in the super-high range of potency as compared with other topical corticosteroids; however, similar blanching scores do not necessarily imply therapeutic equivalence.

Application of fluocinonide cream twice daily for 14 days in 18 adult subjects with plaque-type psoriasis (10 to 50% BSA, mean 19.6% BSA) and 31 adult subjects (17 treated once daily; 14 treated twice daily) with atopic dermatitis (2 o 10% BSA, mean 5% BSA) showed demonstrable HPA-axis suppression in 2 subjects with psoriasis (with 12% and 25% BSA) and 1 subject with atopic dermatitis (treated once daily, 4% BSA) where the criterion for HPA-axis suppression is a serum cortisol level of less than or equal to 18 micrograms per deciliter 30 minutes after stimulation with cosyntropin (ACTH1-24) [see Warnings and Precautions (5.1)].

HPA-axis suppression following application of fluocinonide cream, 0.1% (once or twice daily) was also evaluated in 123 pediatric patients from 3 months to < 18 years of age with atopic dermatitis (mean BSA range 34.6 % to 40.0 %). HPA-axis suppression was observed in 4 patients in the twice daily groups. Follow-up testing 14 days after treatment discontinuation demonstrated a normally responsive HPA axis in all 4 suppressed patients [see Warnings and Precautions (5.1) and Use in Specific populations (8.4)].

12.3 Pharmacokinetics

The extent of percutaneous absorption of topical corticosteroids is determined by many factors including the vehicle and the integrity of the epidermal barrier. Topical corticosteroids can be absorbed from normal intact skin. Inflammation and/or other disease processes in the skin may increase percutaneous absorption.

1 Indications and Usage (1 INDICATIONS AND USAGE)

Fluocinonide cream USP, 0.1% is a corticosteroid indicated for the relief of the inflammatory and pruritic manifestations of corticosteroid responsive dermatoses in patients 12 years of age or older. (1)

Limitation of Use:

  • Treatment beyond 2 consecutive weeks is not recommended and the total dosage should not exceed 60 g per week because of the potential for the drug to suppress the hypothalamic-pituitary-adrenal (HPA) axis. (1)
  • Avoid use on the face, groin, or axillae. (1.2)
  • Avoid use in perioral dermatitis or rosacea.
12.1 Mechanism of Action

Corticosteroids play a role in cellular signaling, immune function, inflammation, and protein regulation; however, the precise mechanism of action of fluocinonide cream in corticosteroid responsive dermatoses is unknown.

5 Warnings and Precautions (5 WARNINGS AND PRECAUTIONS)
  • Fluocinonide cream has been shown to suppress the HPA axis. Systemic absorption of fluocinonide cream may produce reversible hypothalamic- pituitary-adrenal (HPA) axis suppression, Cushing's syndrome, hyperglycemia and unmask latent diabetes (5.1)
  • Systemic absorption may require evaluation for HPA axis suppression (5.1)
  • Modify use should HPA axis suppression develop (5.1)
  • Potent corticosteroids, use on large areas, prolonged use or occlusive use may increase systemic absorption (5.3)
  • Local adverse reactions with topical steroids may include atrophy, striae, irritation, acneiform eruptions, hypopigmentation and allergic contact dermatitis and may be more likely to occur with occlusive use or more potent corticosteroids (5.3)
  • Children may be more susceptible to systemic toxicity when treated with topical corticosteroids (5.1,8.4)
2 Dosage and Administration (2 DOSAGE AND ADMINISTRATION)

For topical use only. Fluocinonide cream is not for ophthalmic, oral, or intravaginal use. (2)

Psoriasis: apply a thin layer once or twice daily to the affected skin areas. (2) Atopic Dermatitis: apply a thin layer once daily to the affected skin areas. (2) Corticosteroid Responsive Dermatoses, other than psoriasis or atopic dermatitis: apply a thin layer once or twice daily to the affected areas. (2)

3 Dosage Forms and Strengths (3 DOSAGE FORMS AND STRENGTHS)

Cream, 0.1% (3)

6.2 Postmarketing Experience

The following adverse reactions have been identified during post approval use of fluocinonide cream:

Administration Site Conditions: discoloration, erythema, irritation, pruritus, swelling, pain and condition aggravated.

Immune System Disorders: hypersensitivity.

Nervous System Disorders: headache and dizziness.

Skin and Subcutaneous Tissue Disorders: acne, dry skin, rash, skin exfoliation and skin tightness.

Because these reactions are reported voluntarily from a population of uncertain size, it is not always possible to reliably estimate their frequency or establish a causal relationship to drug exposure.

5.1 Effect On Endocrine System (5.1 Effect on Endocrine System)

Systemic absorption of topical corticosteroids, including fluocinonide cream, can produce reversible hypothalamic-pituitary-adrenal (HPA) axis suppression with the potential for clinical glucocorticosteroid insufficiency. This may occur during treatment or upon withdrawal of the topical corticosteroid. In addition, the use of fluocinonide cream for longer than 2 weeks may suppress the immune system [see Nonclinical Toxicology (13.1)].

HPA axis suppression has been observed with fluocinonide cream, 0.1% applied once or twice daily in 2 out of 18 adult patients with plaque-type psoriasis, 1 out of 31 adult patients with atopic dermatitis and 4 out of 123 pediatric patients with atopic dermatitis [see Use in Specific Population (8.4) and Clinical Pharmacology (12.2)].

Because of the potential for systemic absorption, use of topical corticosteroids, including fluocinonide cream, may require that patients be periodically evaluated for HPA axis suppression. Factors that predispose a patient using a topical corticosteroid to HPA axis suppression include the use of more potent steroids, use over large surface areas, use over prolonged periods, use under occlusion, use on an altered skin barrier, and use in patients with liver failure.

An ACTH stimulation test may be helpful in evaluating patients for HPA axis suppression. If HPA axis suppression is documented, an attempt should be made to gradually withdraw the drug, to reduce the frequency of application, or to substitute a less potent steroid. Manifestations of adrenal insufficiency may require supplemental systemic corticosteroids. Recovery of HPA axis function is generally prompt and complete upon discontinuation of topical corticosteroids.

Cushing's syndrome, hyperglycemia, and unmasking of latent diabetes mellitus can also result from systemic absorption of topical corticosteroids.

Use of more than one corticosteroid-containing product at the same time may increase the total systemic absorption of topical corticosteroids.

Studies conducted in pediatric patients demonstrated reversible HPA axis suppression after use of fluocinonide cream. Pediatric patients may be more susceptible than adults to systemic toxicity from equivalent doses of fluocinonide cream due to their larger skin surface-to-body-mass ratios [See Use in Specific Populations (8.4)].

6.1 Clinical Trials Experience

Because clinical studies are conducted under widely varying conditions, adverse reaction rates observed in the clinical studies of a drug cannot be directly compared to rates in the clinical studies of another drug and may not reflect the rates observed in practice.

In clinical trials, a total of 443 adult subjects with atopic dermatitis or plaque-type psoriasis were treated once daily or twice daily with fluocinonide cream for 2 weeks. The most commonly observed adverse reactions in these clinical trials were as follows:

Table 1Most Commonly Observed Adverse Reactions (≥1%) in Adult Clinical Trials
Adverse

Reaction

Fluocinonide   Cream

once  daily 

( n = 216 )

Fluocinonide   Cream

twice  daily 

( n = 227 )

Vehicle  Cream

once  or  twice  daily

( n = 211 )

Headache

8 (3.7%)

9 (4.0%)

6 (2.8%)

Application Site Burning

5 (2.3%)

4 (1.8%)

14 (6.6%)

Nasopharyngitis

2 (0.9%)

3 (1.3%)

3 (1.4%)

Nasal Congestion

3 (1.4%)

1 (0.4%)

0

Safety in patients 12 to 17 years of age was similar to that observed in adults.

5.3 Concomitant Skin Infections

If concomitant skin infections are present or develop, an appropriate antifungal or antibacterial agent should be used.  If a favorable response does not occur promptly, use of fluocinonide cream should be discontinued until the infection has been adequately controlled.

5.4 Allergic Contact Dermatitis

If irritation develops, fluocinonide cream should be discontinued and appropriate therapy instituted. Allergic contact dermatitis with corticosteroids is usually diagnosed by observing failure to heal rather than noting a clinical exacerbation as with most topical products not containing corticosteroids.

Such an observation should be corroborated with appropriate diagnostic patch testing.

17 Patient Counseling Information (17 PATIENT COUNSELING INFORMATION)

[See FDA-approved patient labeling (Patient Information)]

Patients using fluocinonide cream should receive the following information and instructions. This information is intended to aid in the safe and effective use of this medication. It is not a disclosure of all possible adverse or unintended effects:

  • Fluocinonide cream is to be used as directed by the physician. It is for external use only. Avoid contact with the eyes. It should not be used on the face, groin, and underarms.
  • Fluocinonide cream should not be used for any disorder other than that for which it was prescribed.
  • The treated skin area should not be bandaged or otherwise covered or wrapped, so as to be occlusive unless directed by the physician.
  • Patients should report to their physician any signs of local adverse reactions.
  • Other corticosteroid-containing products should not be used with fluocinonide cream without first talking to the physician.
  • As with other corticosteroids, therapy should be discontinued when control is achieved. If no improvement is seen in 2 weeks, the patient should be instructed to contact a physician. The safety of the use of fluocinonide cream for longer than 2 weeks has not been established.
  • Patients should be informed to not use more than 60 g per week of fluocinonide cream. Do not use more than half of the 120 g tube per week.
  • Patients should inform their physicians that they are using fluocinonide cream if surgery is contemplated.
  • Patients should wash their hands after applying medication.
16 How Supplied/storage and Handling (16 HOW SUPPLIED/STORAGE AND HANDLING)

Fluocinonide Cream USP, 0.1% is white to off white cream, free from lumps and foreign matter with no phase separation. Filled in aluminum tube fitted with white color cap and supplied as follows:

NDC: 63629-2510-1: in tube of 30 g

Store at controlled room temperature: 15° to 30°C (59° to 86°F). Keep the tube tightly closed.

5.2 Local Adverse Reactions With Topical Corticosteroids (5.2 Local Adverse Reactions with Topical Corticosteroids)

Local adverse reactions may be more likely to occur with occlusive use, prolonged use or use of higher potency corticosteroids. Reactions may include atrophy, striae, telangiectasis, burning, itching, irritation, dryness, folliculitis, acneiform eruptions, hypopigmentation, perioral dermatitis, allergic contact dermatitis, secondary infection, and miliaria. Some local adverse reactions may be irreversible.

13.1 Carcinogenesis, Mutagenesis, Impairment of Fertility

Long-term animal studies have not been performed to evaluate the carcinogenic potential of fluocinonide cream because of severe immunosuppression induced in a 13-week dermal rat study. The effects of fluocinonide on fertility have not been evaluated.

Fluocinonide revealed no evidence of mutagenic or clastogenic potential based on the results of two in vitro genotoxicity tests (Ames test and chromosomal aberration assay using human lymphocytes). However, fluocinonide was positive for clastogenic potential when tested in the in vivo mouse micronucleus assay.

Topical (dermal) application of 0.0003%-0.03% fluocinonide cream to rats once daily for 13 weeks resulted in a toxicity profile generally associated with long term exposure to corticosteroids including decreased skin thickness, adrenal atrophy, and severe immunosuppression. A NOAEL could not be determined in this study. In addition, topical (dermal) application of 0.1% fluocinonide cream plus UVR exposure to hairless mice for 13 weeks and 150-900 mg/kg/day of 0.1% fluocinonide cream to minipigs (a model which more closely approximates human skin) for 13 weeks produced glucocorticoid-related suppression of the HPA axis, with some signs of immunosuppression noted in the dermal minipig study. Although the clinical relevance of the findings in animals to humans is not clear, sustained glucocorticoid-related immune suppression may increase the risk of infection and possibly the risk for carcinogenesis.

Topical doses of 0% (fluocinonide cream vehicle), 0.0001%, 0.005% and 0.001% fluocinonide cream were evaluated in a 52 week dermal photo- carcinogenicity study (40 weeks of treatment followed by 12 weeks of observation) conducted in hairless albino mice with concurrent exposure to low level ultraviolet radiation. Topical treatment with increasing concentrations of fluocinonide cream did not have an adverse effect in this study. The results of this study suggest that topical treatment with fluocinonide cream would not enhance photo-carcinogenesis.


Advanced Ingredient Data


Raw Label Data

All Sections (JSON)