These Highlights Do Not Include All The Information Needed To Use Bivalirudin For Injection Safely And Effectively. See Full Prescribing Information For Bivalirudin For Injection.

These Highlights Do Not Include All The Information Needed To Use Bivalirudin For Injection Safely And Effectively. See Full Prescribing Information For Bivalirudin For Injection.
SPL v4
SPL
SPL Set ID 50975be1-6d1f-497c-b989-1825a0fae1a7
Route
INTRAVENOUS
Published
Effective Date 2025-04-15
Document Type 34391-3 HUMAN PRESCRIPTION DRUG LABEL

Drug Facts

Composition & Product

Active Ingredients
Bivalirudin (250 mg)
Inactive Ingredients
Mannitol Sodium Hydroxide

Identifiers & Packaging

Marketing Status
ANDA Active Since 2017-10-30

Description

Warnings and Precautions ( 5.1 ) 04/2020

Indications and Usage

Bivalirudin for Injection is indicated for use as an anticoagulant for use in patients undergoing percutaneous coronary intervention (PCI) including patients with heparin-induced thrombocytopenia and heparin-induced thrombocytopenia and thrombosis syndrome.

Dosage and Administration

• The recommended dosage is a 0.75 mg/kg intravenous bolus dose followed immediately by a 1.75 mg/kg/h intravenous infusion for the duration of the procedure. Five minutes after the bolus dose has been administered, an activated clotting time (ACT) should be performed and an additional bolus dose of 0.3 mg/kg should be given if needed. • Extending duration of infusion post-procedure up to 4 hours should be considered in patients with ST segment elevation MI (STEMI). ( 2.1 )

Warnings and Precautions

• Bleeding events: Bivalirudin for Injection increases the risk of bleeding. ( 5.1 , 6.1 , 12.2 ) • Acute Stent Thrombosis: Increased incidence of acute stent thrombosis in STEMI patients undergoing primary PCI. ( 2.1 , 5.2 ) • Thrombotic Risk with Coronary Artery Brachytherapy: An increased risk of thrombus formation, including fatal outcomes, in gamma brachytherapy. ( 5.3 )

Contraindications

Bivalirudin for Injection is contraindicated in patients with: • Active major bleeding; • Hypersensitivity (e.g., anaphylaxis) to bivalirudin or its components [see Adverse Reactions ( 6.3 )] .

Adverse Reactions

Most common adverse reaction (>2%) was bleeding. ( 6.1 ) To report SUSPECTED ADVERSE REACTIONS, contact Fresenius Kabi USA, LLC at 1-800-551-7176 or FDA at 1-800-FDA-1088 or www.fda.gov/medwatch.

Drug Interactions

In clinical trials in patients undergoing PCI/percutaneous transluminal coronary angioplasty (PTCA), co-administration of bivalirudin with heparin, warfarin, thrombolytics, or GPIs was associated with increased risks of major bleeding events compared to patients not receiving these concomitant medications.

Storage and Handling

Bivalirudin for Injection is supplied as a sterile, lyophilized powder in single-dose, glass vials. Each vial contains 250 mg of bivalirudin equivalent to an average of 270 mg of bivalirudin trifluoroacetate*. *The range of bivalirudin trifluoroacetate is 260 to 280 mg based on a range of trifluoroacetic acid composition of 1.0 to 2.2 equivalents. Product Code Unit of Sale Strength Each PRX506210 NDC 63323-562-15 Unit of 10 250 mg per vial NDC 63323-562-41 Single-Dose Vial Store Bivalirudin for Injection dosage units at 20° to 25°C (68° to 77°F) [see USP Controlled Room Temperature]. The container closure is not made with natural rubber latex.

How Supplied

Bivalirudin for Injection is supplied as a sterile, lyophilized powder in single-dose, glass vials. Each vial contains 250 mg of bivalirudin equivalent to an average of 270 mg of bivalirudin trifluoroacetate*. *The range of bivalirudin trifluoroacetate is 260 to 280 mg based on a range of trifluoroacetic acid composition of 1.0 to 2.2 equivalents. Product Code Unit of Sale Strength Each PRX506210 NDC 63323-562-15 Unit of 10 250 mg per vial NDC 63323-562-41 Single-Dose Vial Store Bivalirudin for Injection dosage units at 20° to 25°C (68° to 77°F) [see USP Controlled Room Temperature]. The container closure is not made with natural rubber latex.


Medication Information

Warnings and Precautions

• Bleeding events: Bivalirudin for Injection increases the risk of bleeding. ( 5.1 , 6.1 , 12.2 ) • Acute Stent Thrombosis: Increased incidence of acute stent thrombosis in STEMI patients undergoing primary PCI. ( 2.1 , 5.2 ) • Thrombotic Risk with Coronary Artery Brachytherapy: An increased risk of thrombus formation, including fatal outcomes, in gamma brachytherapy. ( 5.3 )

Indications and Usage

Bivalirudin for Injection is indicated for use as an anticoagulant for use in patients undergoing percutaneous coronary intervention (PCI) including patients with heparin-induced thrombocytopenia and heparin-induced thrombocytopenia and thrombosis syndrome.

Dosage and Administration

• The recommended dosage is a 0.75 mg/kg intravenous bolus dose followed immediately by a 1.75 mg/kg/h intravenous infusion for the duration of the procedure. Five minutes after the bolus dose has been administered, an activated clotting time (ACT) should be performed and an additional bolus dose of 0.3 mg/kg should be given if needed. • Extending duration of infusion post-procedure up to 4 hours should be considered in patients with ST segment elevation MI (STEMI). ( 2.1 )

Contraindications

Bivalirudin for Injection is contraindicated in patients with: • Active major bleeding; • Hypersensitivity (e.g., anaphylaxis) to bivalirudin or its components [see Adverse Reactions ( 6.3 )] .

Adverse Reactions

Most common adverse reaction (>2%) was bleeding. ( 6.1 ) To report SUSPECTED ADVERSE REACTIONS, contact Fresenius Kabi USA, LLC at 1-800-551-7176 or FDA at 1-800-FDA-1088 or www.fda.gov/medwatch.

Drug Interactions

In clinical trials in patients undergoing PCI/percutaneous transluminal coronary angioplasty (PTCA), co-administration of bivalirudin with heparin, warfarin, thrombolytics, or GPIs was associated with increased risks of major bleeding events compared to patients not receiving these concomitant medications.

Storage and Handling

Bivalirudin for Injection is supplied as a sterile, lyophilized powder in single-dose, glass vials. Each vial contains 250 mg of bivalirudin equivalent to an average of 270 mg of bivalirudin trifluoroacetate*. *The range of bivalirudin trifluoroacetate is 260 to 280 mg based on a range of trifluoroacetic acid composition of 1.0 to 2.2 equivalents. Product Code Unit of Sale Strength Each PRX506210 NDC 63323-562-15 Unit of 10 250 mg per vial NDC 63323-562-41 Single-Dose Vial Store Bivalirudin for Injection dosage units at 20° to 25°C (68° to 77°F) [see USP Controlled Room Temperature]. The container closure is not made with natural rubber latex.

How Supplied

Bivalirudin for Injection is supplied as a sterile, lyophilized powder in single-dose, glass vials. Each vial contains 250 mg of bivalirudin equivalent to an average of 270 mg of bivalirudin trifluoroacetate*. *The range of bivalirudin trifluoroacetate is 260 to 280 mg based on a range of trifluoroacetic acid composition of 1.0 to 2.2 equivalents. Product Code Unit of Sale Strength Each PRX506210 NDC 63323-562-15 Unit of 10 250 mg per vial NDC 63323-562-41 Single-Dose Vial Store Bivalirudin for Injection dosage units at 20° to 25°C (68° to 77°F) [see USP Controlled Room Temperature]. The container closure is not made with natural rubber latex.

Description

Warnings and Precautions ( 5.1 ) 04/2020

Section 42229-5

Bolus Dose

No reduction in the bolus dose is needed for any degree of renal impairment.

Section 43683-2

Warnings and Precautions (5.1)

04/2020

Section 51945-4

PACKAGE LABEL - PRINCIPAL DISPLAY - Bivalirudin for Injection 250 mg Single Dose Vial Label

NDC 63323-562-41         PRX506210

Bivalirudin for Injection

250 mg per vial

For intravenous use only.

For single-dose only.

Discard unused portion.

Rx only

10 Overdosage

Cases of overdose of up to 10 times the recommended bolus or continuous infusion dose of bivalirudin have been reported in clinical trials and in postmarketing reports. A number of the reported overdoses were due to failure to adjust the infusion dose of bivalirudin in persons with renal dysfunction including persons on hemodialysis [see Dosage and Administration (2.2)]. Bleeding, as well as deaths due to hemorrhage, have been observed in some reports of overdose. In cases of suspected overdosage, discontinue bivalirudin immediately and monitor the patient closely for signs of bleeding. There is no known antidote to bivalirudin. Bivalirudin is hemodialyzable [see Clinical Pharmacology (12.3)].

11 Description

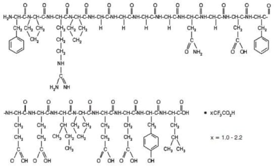
Bivalirudin for Injection contains bivalirudin which is a specific and reversible direct thrombin inhibitor. Bivalirudin is a synthetic, 20 amino acid peptide, with the chemical name of D-phenylalanyl-L-prolyl-L-arginyl-L-prolyl-glycyl-glycyl-glycyl-glycyl-L-asparagyl-glycyl-L-aspartyl-L-phenylalanyl-L-glutamyl-L-glutamyl-L-isoleucyl-L-prolyl-L-glutamyl-L-glutamyl-L-tyrosyl-L-leucine. The active pharmaceutical ingredient is in the form of bivalirudin trifluoroacetate as a white to off-white powder. The chemical name for bivalirudin trifluoroacetate is D-phenylalanyl-L-prolyl-L-arginyl-L-prolyl-glycyl-glycyl-glycyl-glycyl-L-asparagyl-glycyl-L-aspartyl-L-phenylalanyl-L-glutamyl-L-glutamyl-L-isoleucyl-L-prolyl-L-glutamyl-L-glutamyl-L-tyrosyl-L-leucine trifluoroacetate (Figure 1). The molecular weight of bivalirudin is 2,180 daltons (anhydrous free base peptide).

Figure 1. Structural formula for bivalirudin trifluoroacetate

Bivalirudin for Injection is supplied as a sterile white lyophilized cake, in single-dose vials. Each vial contains 250 mg bivalirudin, equivalent to an average of 270 mg of bivalirudin trifluoroacetate*, 125 mg mannitol, and sodium hydroxide to adjust the pH to 5 to 6 (equivalent of approximately 12.5 mg sodium). When reconstituted with Sterile Water for Injection, the product yields a clear to opalescent, colorless to slightly yellow solution, pH 5 to 6.

*The range of bivalirudin trifluoroacetate is 260 mg to 280 mg based on a range of trifluoroacetic acid composition of 1.0 to 2.2 equivalents.

8.4 Pediatric Use

The safety and effectiveness of bivalirudin in pediatric patients have not been established.

8.5 Geriatric Use

In studies of patients undergoing PCI, 44% were ≥65 years of age and 12% of patients were ≥75 years old. Elderly patients experienced more bleeding events than younger patients.

6.2 Immunogenicity

As with all peptides, there is potential for immunogenicity. The detection of antibody formation is highly dependent on the sensitivity and specificity of the assay. Additionally, the observed incidence of antibody (including neutralizing antibody) positivity in an assay may be influenced by several factors including assay methodology, sample handling, timing of sample collection, concomitant medications, and underlying disease. For these reasons, comparison of the incidence of antibodies to bivalirudin in the studies described below with the incidence of antibodies in other studies or to other products may be misleading.

In in vitro studies, bivalirudin exhibited no platelet aggregation response against sera from patients with a history of HIT/HITTS.

Among 494 subjects who received bivalirudin in clinical trials and were tested for antibodies, 2 subjects had treatment-emergent positive bivalirudin antibody tests. Neither subject demonstrated clinical evidence of allergic or anaphylactic reactions and repeat testing was not performed. Nine additional patients who had initial positive tests were negative on repeat testing.

4 Contraindications

Bivalirudin for Injection is contraindicated in patients with:

  • Active major bleeding;
  • Hypersensitivity (e.g., anaphylaxis) to bivalirudin or its components [see Adverse Reactions (6.3)].
5.1 Bleeding Events

Bivalirudin for Injection increases the risk of bleeding [see Adverse Reactions (6.1)]. An unexplained fall in blood pressure or hematocrit should lead to serious consideration of a hemorrhagic event and cessation of bivalirudin administration. Monitor patients receiving Bivalirudin for Injection for signs and symptoms of bleeding. Monitor patients with disease states associated with an increased risk of bleeding more frequently for bleeding.

6 Adverse Reactions

Most common adverse reaction (>2%) was bleeding. (6.1)

To report SUSPECTED ADVERSE REACTIONS, contact Fresenius Kabi USA, LLC at 1-800-551-7176 or FDA at 1-800-FDA-1088 or www.fda.gov/medwatch.

7 Drug Interactions

In clinical trials in patients undergoing PCI/percutaneous transluminal coronary angioplasty (PTCA), co-administration of bivalirudin with heparin, warfarin, thrombolytics, or GPIs was associated with increased risks of major bleeding events compared to patients not receiving these concomitant medications.

8.6 Renal Impairment

The disposition of bivalirudin was studied in PTCA patients with mild, moderate and severe renal impairment. The clearance of bivalirudin was reduced approximately 21% in patients with moderate and severe renal impairment and was reduced approximately 70% in dialysis-dependent patients [see Clinical Pharmacology (12.3)]. Reduce the infusion dose of bivalirudin and monitor the anticoagulant status more frequently in patients with renal impairment creatinine clearance less than 30mL/min (by Cockcroft Gault equation) [see Dosage and Administration (2.2)].

12.2 Pharmacodynamics

In healthy volunteers and patients (with ≥70% vessel occlusion undergoing routine PTCA), bivalirudin exhibited dose- and concentration-dependent anticoagulant activity as evidenced by prolongation of the ACT, aPTT, PT, and TT. Intravenous administration of bivalirudin produces an immediate anticoagulant effect. Coagulation times return to baseline approximately 1 hour following cessation of bivalirudin administration. Bivalirudin for Injection also increases INR. Therefore INR measurements made in Bivalirudin for Injection treated patients may not be useful for determining the appropriate dose of warfarin.

In 291 patients with ≥70% vessel occlusion undergoing routine PTCA, a positive correlation was observed between the dose of bivalirudin and the proportion of patients achieving ACT values of 300 sec or 350 sec. At a bivalirudin dose of 1 mg/kg IV bolus plus 2.5 mg/kg/h IV infusion for 4 hours, followed by 0.2 mg/kg/h, all patients reached maximal ACT values >300 sec.

12.3 Pharmacokinetics

Bivalirudin exhibits linear pharmacokinetics following IV administration to patients undergoing PTCA. In these patients, a mean steady state bivalirudin concentration of 12.3 ± 1.7 mcg/mL is achieved following an IV bolus of 1 mg/kg and a 4-hour 2.5 mg/kg/h IV infusion.

2.1 Recommended Dosage

Bivalirudin for Injection is for intravenous administration only.

Bivalirudin for Injection has been studied only in patients receiving concomitant aspirin.

The recommended dose of Bivalirudin for Injection is an intravenous (IV) bolus dose of 0.75 mg/kg, followed immediately by an infusion of 1.75 mg/kg/h for the duration of the procedure. Five minutes after the bolus dose has been administered, an activated clotting time (ACT) should be performed and an additional bolus of 0.3 mg/kg should be given if needed.

Extended duration of infusion following PCI at 1.75 mg/kg/h for up to 4 hours post-procedure should be considered in patients with ST segment elevation MI (STEMI).

1 Indications and Usage

Bivalirudin for Injection is indicated for use as an anticoagulant for use in patients undergoing percutaneous coronary intervention (PCI) including patients with heparin-induced thrombocytopenia and heparin-induced thrombocytopenia and thrombosis syndrome.

12.1 Mechanism of Action

Bivalirudin directly inhibits thrombin by specifically binding both to the catalytic site and to the anion binding exosite of circulating and clot-bound thrombin. Thrombin is a serine proteinase that plays a central role in the thrombotic process, acting to cleave fibrinogen into fibrin monomers and to activate Factor XIII to Factor XIIIa, allowing fibrin to develop a covalently cross-linked framework which stabilizes the thrombus; thrombin also activates Factors V and VIII, promoting further thrombin generation, and activates platelets, stimulating aggregation and granule release. The binding of bivalirudin to thrombin is reversible as thrombin slowly cleaves the bivalirudin-Arg3-Pro4 bond, resulting in recovery of thrombin active site functions.

In in vitro studies, bivalirudin inhibited both soluble (free) and clot-bound thrombin, was not neutralized by products of the platelet release reaction, and prolonged the activated partial thromboplastin time (aPTT), thrombin time (TT), and prothrombin time (PT) of normal human plasma in a concentration-dependent manner. The clinical relevance of these findings is unknown.

5 Warnings and Precautions
  • Bleeding events: Bivalirudin for Injection increases the risk of bleeding. (5.1, 6.1, 12.2)
  • Acute Stent Thrombosis: Increased incidence of acute stent thrombosis in STEMI patients undergoing primary PCI. (2.1, 5.2)
  • Thrombotic Risk with Coronary Artery Brachytherapy: An increased risk of thrombus formation, including fatal outcomes, in gamma brachytherapy. (5.3)
2 Dosage and Administration
  • The recommended dosage is a 0.75 mg/kg intravenous bolus dose followed immediately by a 1.75 mg/kg/h intravenous infusion for the duration of the procedure. Five minutes after the bolus dose has been administered, an activated clotting time (ACT) should be performed and an additional bolus dose of 0.3 mg/kg should be given if needed.
  • Extending duration of infusion post-procedure up to 4 hours should be considered in patients with ST segment elevation MI (STEMI). (2.1)
3 Dosage Forms and Strengths

For injection: 250 mg of bivalirudin in a single-dose vial for reconstitution. Each vial contains 250 mg of bivalirudin equivalent to an average of 270 mg bivalirudin trifluoroacetate*. Following reconstitution with Sterile Water for Injection, the product is a clear to opalescent, colorless to slightly yellow solution, pH 5 to 6.

*The range of bivalirudin trifluoroacetate is 260 to 280 mg based on a range of trifluoroacetic acid composition of 1.0 to 2.2 equivalents.

6.3 Postmarketing Experience

Because postmarketing adverse reactions are reported voluntarily from a population of uncertain size, it is not always possible to reliably estimate their frequency or establish a causal relationship to drug exposure.

The following adverse reactions have been identified during post approval use of bivalirudin: fatal bleeding; hypersensitivity and allergic reactions including reports of anaphylaxis; lack of anticoagulant effect; thrombus formation during PCI with and without intracoronary brachytherapy, including reports of fatal outcomes; pulmonary hemorrhage; cardiac tamponade; and INR increased.

8 Use in Specific Populations
  • Geriatric patients: Increased bleeding risk possible. (8.5)
  • Renal impairment: Reduce infusion dose and monitor ACT. (2.2, 8.6)
6.1 Clinical Trials Experience

Because clinical trials are conducted under widely varying conditions, adverse reaction rates observed in the clinical trials of a drug cannot be directly compared to rates in the clinical trials of another drug and may not reflect the rates observed in practice.

In the BAT trials, 79 of the 2161 (3.7%) patients undergoing PCI for treatment of unstable angina and randomized to Bivalirudin for Injection experienced major bleeding events which consisted of: intracranial bleeding, retroperitoneal bleeding, and clinically overt bleeding with a decrease in hemoglobin >3 g/dL or leading to a transfusion of >2 units of blood.

2.4 Storage After Reconstitution

Do not freeze reconstituted or diluted Bivalirudin for Injection. Reconstituted material may be stored at 2 to 8ºC for up to 24 hours. Diluted Bivalirudin for Injection with a concentration of between 0.5 mg/mL and 5 mg/mL is stable at room temperature for up to 24 hours. Discard any unused portion of reconstituted solution remaining in the vial.

17 Patient Counseling Information

Advise patients to watch carefully for any signs of bleeding or bruising and to report these to their health care provider when they occur.

The brand names mentioned in this document are the trademarks of their respective owners.

PREMIERProRx® is a registered trademark of Premier Healthcare Alliance, L.P., used under license.

Manufactured by:

Fresenius Kabi  

Lake Zurich, IL 60047

www.fresenius-kabi.com/us

451563B

16 How Supplied/storage and Handling

Bivalirudin for Injection is supplied as a sterile, lyophilized powder in single-dose, glass vials. Each vial contains 250 mg of bivalirudin equivalent to an average of 270 mg of bivalirudin trifluoroacetate*.

*The range of bivalirudin trifluoroacetate is 260 to 280 mg based on a range of trifluoroacetic acid composition of 1.0 to 2.2 equivalents.

Product Code

Unit of Sale

Strength

Each

PRX506210

NDC 63323-562-15

Unit of 10

250 mg per vial

NDC 63323-562-41

Single-Dose Vial

Store Bivalirudin for Injection dosage units at 20° to 25°C (68° to 77°F) [see USP Controlled Room Temperature].

The container closure is not made with natural rubber latex.

2.3 Instructions for Preparation and Administration

Bivalirudin for Injection is intended for intravenous bolus injection and continuous infusion after reconstitution and dilution.

Preparation Instructions for Bolus Injection and Continuous Infusion

  • To each 250 mg vial, add 5 mL of Sterile Water for Injection, USP.
  • Gently swirl until all material is dissolved.
  • Withdraw and discard 5 mL from a 50 mL infusion bag containing 5% Dextrose in Water or 0.9% Sodium Chloride for Injection.
  • Add the contents of the reconstituted vial to the infusion bag containing 5% Dextrose in Water or 0.9% Sodium Chloride for Injection to yield a final concentration of 5 mg/mL (e.g., 1 vial in 50 mL; 2 vials in 100 mL; 5 vials in 250 mL).
  • Adjust the dose to be administered according to the patient's weight (see Table 1).
Table 1: Dosing Table

Weight

(kg)

Using 5 mg/mL

Concentration

Bolus

0.75 mg/kg

(mL)

Infusion

1.75 mg/kg/h

(mL/h)

43-47

7

16

48-52

7.5

17.5

53-57

8

19

58-62

9

21

63-67

10

23

68-72

10.5

24.5

73-77

11

26

78-82

12

28

83-87

13

30

88-92

13.5

31.5

93-97

14

33

98-102

15

35

103-107

16

37

108-112

16.5

38.5

113-117

17

40

118-122

18

42

123-127

19

44

128-132

19.5

45.5

133-137

20

47

138-142

21

49

143-147

22

51

148-152

22.5

52.5

5.3 Thrombotic Risk With Coronary Artery Brachytherapy

An increased risk of thrombus formation, including fatal outcomes, has been associated with the use of Bivalirudin for Injection in gamma brachytherapy.

If a decision is made to use Bivalirudin for Injection during brachytherapy procedures, maintain meticulous catheter technique, with frequent aspiration and flushing, paying special attention to minimizing conditions of stasis within the catheter or vessels [see Adverse Reactions (6.1)].

13.1 Carcinogenesis, Mutagenesis, Impairment of Fertility

No long-term studies in animals have been performed to evaluate the carcinogenic potential of bivalirudin. Bivalirudin displayed no genotoxic potential in the in vitro bacterial cell reverse mutation assay (Ames test), the in vitro Chinese hamster ovary cell forward gene mutation test (CHO/HGPRT), the in vitro human lymphocyte chromosomal aberration assay, the in vitro rat hepatocyte unscheduled DNA synthesis (UDS) assay, and the in vivo rat micronucleus assay. Fertility and general reproductive performance in rats were unaffected by subcutaneous doses of bivalirudin up to 150 mg/kg/day, about 1.6 times the dose on a body surface area basis (mg/m2) of a 50 kg person given the maximum recommended dose of 15 mg/kg/day.

5.2 Acute Stent Thrombosis in Patients With Stemi Undergoing Pci

Acute stent thrombosis (AST) (<4 hours) has been observed at a greater frequency in Bivalirudin for Injection treated patients (1.2%, 36/2,889) compared to heparin treated patients (0.2%, 6/2,911) with STEMI undergoing primary PCI. Among patients who experienced an AST, one fatality (0.03%) occurred in a bivalirudin treated patient and one fatality (0.03%) in a heparin treated patient. These patients have been managed by Target Vessel Revascularization (TVR). Patients should remain for at least 24 hours in a facility capable of managing ischemic complications and should be carefully monitored following primary PCI for signs and symptoms consistent with myocardial ischemia.


Structured Label Content

Section 42229-5 (42229-5)

Bolus Dose

No reduction in the bolus dose is needed for any degree of renal impairment.

Section 43683-2 (43683-2)

Warnings and Precautions (5.1)

04/2020

Section 51945-4 (51945-4)

PACKAGE LABEL - PRINCIPAL DISPLAY - Bivalirudin for Injection 250 mg Single Dose Vial Label

NDC 63323-562-41         PRX506210

Bivalirudin for Injection

250 mg per vial

For intravenous use only.

For single-dose only.

Discard unused portion.

Rx only

10 Overdosage (10 OVERDOSAGE)

Cases of overdose of up to 10 times the recommended bolus or continuous infusion dose of bivalirudin have been reported in clinical trials and in postmarketing reports. A number of the reported overdoses were due to failure to adjust the infusion dose of bivalirudin in persons with renal dysfunction including persons on hemodialysis [see Dosage and Administration (2.2)]. Bleeding, as well as deaths due to hemorrhage, have been observed in some reports of overdose. In cases of suspected overdosage, discontinue bivalirudin immediately and monitor the patient closely for signs of bleeding. There is no known antidote to bivalirudin. Bivalirudin is hemodialyzable [see Clinical Pharmacology (12.3)].

11 Description (11 DESCRIPTION)

Bivalirudin for Injection contains bivalirudin which is a specific and reversible direct thrombin inhibitor. Bivalirudin is a synthetic, 20 amino acid peptide, with the chemical name of D-phenylalanyl-L-prolyl-L-arginyl-L-prolyl-glycyl-glycyl-glycyl-glycyl-L-asparagyl-glycyl-L-aspartyl-L-phenylalanyl-L-glutamyl-L-glutamyl-L-isoleucyl-L-prolyl-L-glutamyl-L-glutamyl-L-tyrosyl-L-leucine. The active pharmaceutical ingredient is in the form of bivalirudin trifluoroacetate as a white to off-white powder. The chemical name for bivalirudin trifluoroacetate is D-phenylalanyl-L-prolyl-L-arginyl-L-prolyl-glycyl-glycyl-glycyl-glycyl-L-asparagyl-glycyl-L-aspartyl-L-phenylalanyl-L-glutamyl-L-glutamyl-L-isoleucyl-L-prolyl-L-glutamyl-L-glutamyl-L-tyrosyl-L-leucine trifluoroacetate (Figure 1). The molecular weight of bivalirudin is 2,180 daltons (anhydrous free base peptide).

Figure 1. Structural formula for bivalirudin trifluoroacetate

Bivalirudin for Injection is supplied as a sterile white lyophilized cake, in single-dose vials. Each vial contains 250 mg bivalirudin, equivalent to an average of 270 mg of bivalirudin trifluoroacetate*, 125 mg mannitol, and sodium hydroxide to adjust the pH to 5 to 6 (equivalent of approximately 12.5 mg sodium). When reconstituted with Sterile Water for Injection, the product yields a clear to opalescent, colorless to slightly yellow solution, pH 5 to 6.

*The range of bivalirudin trifluoroacetate is 260 mg to 280 mg based on a range of trifluoroacetic acid composition of 1.0 to 2.2 equivalents.

8.4 Pediatric Use

The safety and effectiveness of bivalirudin in pediatric patients have not been established.

8.5 Geriatric Use

In studies of patients undergoing PCI, 44% were ≥65 years of age and 12% of patients were ≥75 years old. Elderly patients experienced more bleeding events than younger patients.

6.2 Immunogenicity

As with all peptides, there is potential for immunogenicity. The detection of antibody formation is highly dependent on the sensitivity and specificity of the assay. Additionally, the observed incidence of antibody (including neutralizing antibody) positivity in an assay may be influenced by several factors including assay methodology, sample handling, timing of sample collection, concomitant medications, and underlying disease. For these reasons, comparison of the incidence of antibodies to bivalirudin in the studies described below with the incidence of antibodies in other studies or to other products may be misleading.

In in vitro studies, bivalirudin exhibited no platelet aggregation response against sera from patients with a history of HIT/HITTS.

Among 494 subjects who received bivalirudin in clinical trials and were tested for antibodies, 2 subjects had treatment-emergent positive bivalirudin antibody tests. Neither subject demonstrated clinical evidence of allergic or anaphylactic reactions and repeat testing was not performed. Nine additional patients who had initial positive tests were negative on repeat testing.

4 Contraindications (4 CONTRAINDICATIONS)

Bivalirudin for Injection is contraindicated in patients with:

  • Active major bleeding;
  • Hypersensitivity (e.g., anaphylaxis) to bivalirudin or its components [see Adverse Reactions (6.3)].
5.1 Bleeding Events

Bivalirudin for Injection increases the risk of bleeding [see Adverse Reactions (6.1)]. An unexplained fall in blood pressure or hematocrit should lead to serious consideration of a hemorrhagic event and cessation of bivalirudin administration. Monitor patients receiving Bivalirudin for Injection for signs and symptoms of bleeding. Monitor patients with disease states associated with an increased risk of bleeding more frequently for bleeding.

6 Adverse Reactions (6 ADVERSE REACTIONS)

Most common adverse reaction (>2%) was bleeding. (6.1)

To report SUSPECTED ADVERSE REACTIONS, contact Fresenius Kabi USA, LLC at 1-800-551-7176 or FDA at 1-800-FDA-1088 or www.fda.gov/medwatch.

7 Drug Interactions (7 DRUG INTERACTIONS)

In clinical trials in patients undergoing PCI/percutaneous transluminal coronary angioplasty (PTCA), co-administration of bivalirudin with heparin, warfarin, thrombolytics, or GPIs was associated with increased risks of major bleeding events compared to patients not receiving these concomitant medications.

8.6 Renal Impairment

The disposition of bivalirudin was studied in PTCA patients with mild, moderate and severe renal impairment. The clearance of bivalirudin was reduced approximately 21% in patients with moderate and severe renal impairment and was reduced approximately 70% in dialysis-dependent patients [see Clinical Pharmacology (12.3)]. Reduce the infusion dose of bivalirudin and monitor the anticoagulant status more frequently in patients with renal impairment creatinine clearance less than 30mL/min (by Cockcroft Gault equation) [see Dosage and Administration (2.2)].

12.2 Pharmacodynamics

In healthy volunteers and patients (with ≥70% vessel occlusion undergoing routine PTCA), bivalirudin exhibited dose- and concentration-dependent anticoagulant activity as evidenced by prolongation of the ACT, aPTT, PT, and TT. Intravenous administration of bivalirudin produces an immediate anticoagulant effect. Coagulation times return to baseline approximately 1 hour following cessation of bivalirudin administration. Bivalirudin for Injection also increases INR. Therefore INR measurements made in Bivalirudin for Injection treated patients may not be useful for determining the appropriate dose of warfarin.

In 291 patients with ≥70% vessel occlusion undergoing routine PTCA, a positive correlation was observed between the dose of bivalirudin and the proportion of patients achieving ACT values of 300 sec or 350 sec. At a bivalirudin dose of 1 mg/kg IV bolus plus 2.5 mg/kg/h IV infusion for 4 hours, followed by 0.2 mg/kg/h, all patients reached maximal ACT values >300 sec.

12.3 Pharmacokinetics

Bivalirudin exhibits linear pharmacokinetics following IV administration to patients undergoing PTCA. In these patients, a mean steady state bivalirudin concentration of 12.3 ± 1.7 mcg/mL is achieved following an IV bolus of 1 mg/kg and a 4-hour 2.5 mg/kg/h IV infusion.

2.1 Recommended Dosage

Bivalirudin for Injection is for intravenous administration only.

Bivalirudin for Injection has been studied only in patients receiving concomitant aspirin.

The recommended dose of Bivalirudin for Injection is an intravenous (IV) bolus dose of 0.75 mg/kg, followed immediately by an infusion of 1.75 mg/kg/h for the duration of the procedure. Five minutes after the bolus dose has been administered, an activated clotting time (ACT) should be performed and an additional bolus of 0.3 mg/kg should be given if needed.

Extended duration of infusion following PCI at 1.75 mg/kg/h for up to 4 hours post-procedure should be considered in patients with ST segment elevation MI (STEMI).

1 Indications and Usage (1 INDICATIONS AND USAGE)

Bivalirudin for Injection is indicated for use as an anticoagulant for use in patients undergoing percutaneous coronary intervention (PCI) including patients with heparin-induced thrombocytopenia and heparin-induced thrombocytopenia and thrombosis syndrome.

12.1 Mechanism of Action

Bivalirudin directly inhibits thrombin by specifically binding both to the catalytic site and to the anion binding exosite of circulating and clot-bound thrombin. Thrombin is a serine proteinase that plays a central role in the thrombotic process, acting to cleave fibrinogen into fibrin monomers and to activate Factor XIII to Factor XIIIa, allowing fibrin to develop a covalently cross-linked framework which stabilizes the thrombus; thrombin also activates Factors V and VIII, promoting further thrombin generation, and activates platelets, stimulating aggregation and granule release. The binding of bivalirudin to thrombin is reversible as thrombin slowly cleaves the bivalirudin-Arg3-Pro4 bond, resulting in recovery of thrombin active site functions.

In in vitro studies, bivalirudin inhibited both soluble (free) and clot-bound thrombin, was not neutralized by products of the platelet release reaction, and prolonged the activated partial thromboplastin time (aPTT), thrombin time (TT), and prothrombin time (PT) of normal human plasma in a concentration-dependent manner. The clinical relevance of these findings is unknown.

5 Warnings and Precautions (5 WARNINGS AND PRECAUTIONS)
  • Bleeding events: Bivalirudin for Injection increases the risk of bleeding. (5.1, 6.1, 12.2)
  • Acute Stent Thrombosis: Increased incidence of acute stent thrombosis in STEMI patients undergoing primary PCI. (2.1, 5.2)
  • Thrombotic Risk with Coronary Artery Brachytherapy: An increased risk of thrombus formation, including fatal outcomes, in gamma brachytherapy. (5.3)
2 Dosage and Administration (2 DOSAGE AND ADMINISTRATION)
  • The recommended dosage is a 0.75 mg/kg intravenous bolus dose followed immediately by a 1.75 mg/kg/h intravenous infusion for the duration of the procedure. Five minutes after the bolus dose has been administered, an activated clotting time (ACT) should be performed and an additional bolus dose of 0.3 mg/kg should be given if needed.
  • Extending duration of infusion post-procedure up to 4 hours should be considered in patients with ST segment elevation MI (STEMI). (2.1)
3 Dosage Forms and Strengths (3 DOSAGE FORMS AND STRENGTHS)

For injection: 250 mg of bivalirudin in a single-dose vial for reconstitution. Each vial contains 250 mg of bivalirudin equivalent to an average of 270 mg bivalirudin trifluoroacetate*. Following reconstitution with Sterile Water for Injection, the product is a clear to opalescent, colorless to slightly yellow solution, pH 5 to 6.

*The range of bivalirudin trifluoroacetate is 260 to 280 mg based on a range of trifluoroacetic acid composition of 1.0 to 2.2 equivalents.

6.3 Postmarketing Experience

Because postmarketing adverse reactions are reported voluntarily from a population of uncertain size, it is not always possible to reliably estimate their frequency or establish a causal relationship to drug exposure.

The following adverse reactions have been identified during post approval use of bivalirudin: fatal bleeding; hypersensitivity and allergic reactions including reports of anaphylaxis; lack of anticoagulant effect; thrombus formation during PCI with and without intracoronary brachytherapy, including reports of fatal outcomes; pulmonary hemorrhage; cardiac tamponade; and INR increased.

8 Use in Specific Populations (8 USE IN SPECIFIC POPULATIONS)
  • Geriatric patients: Increased bleeding risk possible. (8.5)
  • Renal impairment: Reduce infusion dose and monitor ACT. (2.2, 8.6)
6.1 Clinical Trials Experience

Because clinical trials are conducted under widely varying conditions, adverse reaction rates observed in the clinical trials of a drug cannot be directly compared to rates in the clinical trials of another drug and may not reflect the rates observed in practice.

In the BAT trials, 79 of the 2161 (3.7%) patients undergoing PCI for treatment of unstable angina and randomized to Bivalirudin for Injection experienced major bleeding events which consisted of: intracranial bleeding, retroperitoneal bleeding, and clinically overt bleeding with a decrease in hemoglobin >3 g/dL or leading to a transfusion of >2 units of blood.

2.4 Storage After Reconstitution (2.4 Storage after Reconstitution)

Do not freeze reconstituted or diluted Bivalirudin for Injection. Reconstituted material may be stored at 2 to 8ºC for up to 24 hours. Diluted Bivalirudin for Injection with a concentration of between 0.5 mg/mL and 5 mg/mL is stable at room temperature for up to 24 hours. Discard any unused portion of reconstituted solution remaining in the vial.

17 Patient Counseling Information (17 PATIENT COUNSELING INFORMATION)

Advise patients to watch carefully for any signs of bleeding or bruising and to report these to their health care provider when they occur.

The brand names mentioned in this document are the trademarks of their respective owners.

PREMIERProRx® is a registered trademark of Premier Healthcare Alliance, L.P., used under license.

Manufactured by:

Fresenius Kabi  

Lake Zurich, IL 60047

www.fresenius-kabi.com/us

451563B

16 How Supplied/storage and Handling (16 HOW SUPPLIED/STORAGE AND HANDLING)

Bivalirudin for Injection is supplied as a sterile, lyophilized powder in single-dose, glass vials. Each vial contains 250 mg of bivalirudin equivalent to an average of 270 mg of bivalirudin trifluoroacetate*.

*The range of bivalirudin trifluoroacetate is 260 to 280 mg based on a range of trifluoroacetic acid composition of 1.0 to 2.2 equivalents.

Product Code

Unit of Sale

Strength

Each

PRX506210

NDC 63323-562-15

Unit of 10

250 mg per vial

NDC 63323-562-41

Single-Dose Vial

Store Bivalirudin for Injection dosage units at 20° to 25°C (68° to 77°F) [see USP Controlled Room Temperature].

The container closure is not made with natural rubber latex.

2.3 Instructions for Preparation and Administration

Bivalirudin for Injection is intended for intravenous bolus injection and continuous infusion after reconstitution and dilution.

Preparation Instructions for Bolus Injection and Continuous Infusion

  • To each 250 mg vial, add 5 mL of Sterile Water for Injection, USP.
  • Gently swirl until all material is dissolved.
  • Withdraw and discard 5 mL from a 50 mL infusion bag containing 5% Dextrose in Water or 0.9% Sodium Chloride for Injection.
  • Add the contents of the reconstituted vial to the infusion bag containing 5% Dextrose in Water or 0.9% Sodium Chloride for Injection to yield a final concentration of 5 mg/mL (e.g., 1 vial in 50 mL; 2 vials in 100 mL; 5 vials in 250 mL).
  • Adjust the dose to be administered according to the patient's weight (see Table 1).
Table 1: Dosing Table

Weight

(kg)

Using 5 mg/mL

Concentration

Bolus

0.75 mg/kg

(mL)

Infusion

1.75 mg/kg/h

(mL/h)

43-47

7

16

48-52

7.5

17.5

53-57

8

19

58-62

9

21

63-67

10

23

68-72

10.5

24.5

73-77

11

26

78-82

12

28

83-87

13

30

88-92

13.5

31.5

93-97

14

33

98-102

15

35

103-107

16

37

108-112

16.5

38.5

113-117

17

40

118-122

18

42

123-127

19

44

128-132

19.5

45.5

133-137

20

47

138-142

21

49

143-147

22

51

148-152

22.5

52.5

5.3 Thrombotic Risk With Coronary Artery Brachytherapy (5.3 Thrombotic Risk with Coronary Artery Brachytherapy)

An increased risk of thrombus formation, including fatal outcomes, has been associated with the use of Bivalirudin for Injection in gamma brachytherapy.

If a decision is made to use Bivalirudin for Injection during brachytherapy procedures, maintain meticulous catheter technique, with frequent aspiration and flushing, paying special attention to minimizing conditions of stasis within the catheter or vessels [see Adverse Reactions (6.1)].

13.1 Carcinogenesis, Mutagenesis, Impairment of Fertility

No long-term studies in animals have been performed to evaluate the carcinogenic potential of bivalirudin. Bivalirudin displayed no genotoxic potential in the in vitro bacterial cell reverse mutation assay (Ames test), the in vitro Chinese hamster ovary cell forward gene mutation test (CHO/HGPRT), the in vitro human lymphocyte chromosomal aberration assay, the in vitro rat hepatocyte unscheduled DNA synthesis (UDS) assay, and the in vivo rat micronucleus assay. Fertility and general reproductive performance in rats were unaffected by subcutaneous doses of bivalirudin up to 150 mg/kg/day, about 1.6 times the dose on a body surface area basis (mg/m2) of a 50 kg person given the maximum recommended dose of 15 mg/kg/day.

5.2 Acute Stent Thrombosis in Patients With Stemi Undergoing Pci (5.2 Acute Stent Thrombosis in Patients with STEMI Undergoing PCI)

Acute stent thrombosis (AST) (<4 hours) has been observed at a greater frequency in Bivalirudin for Injection treated patients (1.2%, 36/2,889) compared to heparin treated patients (0.2%, 6/2,911) with STEMI undergoing primary PCI. Among patients who experienced an AST, one fatality (0.03%) occurred in a bivalirudin treated patient and one fatality (0.03%) in a heparin treated patient. These patients have been managed by Target Vessel Revascularization (TVR). Patients should remain for at least 24 hours in a facility capable of managing ischemic complications and should be carefully monitored following primary PCI for signs and symptoms consistent with myocardial ischemia.


Advanced Ingredient Data


Raw Label Data

All Sections (JSON)