Quinidine Gluconate

Quinidine Gluconate
SPL v5
SPL
SPL Set ID 4fb02ad7-6e93-4aff-9aca-5162559b99a5
Route
ORAL
Published
Effective Date 2019-03-06
Document Type 34391-3 HUMAN PRESCRIPTION DRUG LABEL

Drug Facts

Composition & Product

Active Ingredients
Quinidine (324 mg)
Inactive Ingredients
Starch, Corn Hypromellose 2208 (15000 Mpa.s) Magnesium Stearate Microcrystalline Cellulose Povidone, Unspecified Silicon Dioxide Sodium Alginate

Identifiers & Packaging

Pill Appearance
Imprint: MP;66 Shape: round Color: white Size: 11 mm Score: 1
Marketing Status
ANDA Active Since 1987-02-10

Description

Rx only

Dosage and Administration

The dose of quinidine delivered by quinidine gluconate extended-release tablets may be titrated by breaking a tablet in half. If tablets are crushed or chewed, their extended-release properties will be lost. The dosage of quinidine varies considerably depending upon the general condition and the cardiovascular state of the patient.

Contraindications

Quinidine is contraindicated in patients who are known to be allergic to it, or who have a history of immune thrombocytopenia or have developed thrombocytopenic purpura during prior therapy with quinidine or quinine (see WARNINGS ). In the absence of a functioning artificial pacemaker, quinidine is also contraindicated in any patient whose cardiac rhythm is dependent upon a junctional or idioventricular pacemaker, including patients in complete atrioventricular block. Quinidine is also contraindicated in patients who, like those with myasthenia gravis, might be adversely affected by an anticholinergic agent.

Adverse Reactions

Quinidine preparations have been used for many years, but there are only sparse data from which to estimate the incidence of various adverse reactions. The adverse reactions most frequently reported have consistently been gastrointestinal, including diarrhea, nausea, vomiting, and heartburn/esophagitis. In the reported study that was closest in character to the predominant approved use of quinidine gluconate, 86 adult outpatients with atrial fibrillation were followed for six months while they received slow-release quinidine bisulfate tablets, 600 mg (approximately 400 mg of quinidine base) twice daily. The incidences of adverse experiences reported more than once were as shown in the table below. The most serious quinidine-associated adverse reactions are described above under WARNINGS . ADVERSE EXPERIENCES REPORTED MORE THAN ONCE IN 86 PATIENTS WITH ATRIAL FIBRILLATION Incidence (%) diarrhea 21 (24%) fever 5 (6%) rash 5 (6%) arrhythmia 3 (3%) abnormal electrocardiogram 3 (3%) nausea/vomiting 3 (3%) dizziness 3 (3%) headache 3 (3%) asthenia 2 (2%) cerebral ischemia 2 (2%) Vomiting and diarrhea can occur as isolated reactions to therapeutic levels of quinidine, but they may also be the first signs of cinchonism , a syndrome that may also include tinnitus, reversible high-frequency hearing loss, deafness, vertigo, blurred vision, diplopia, photophobia, headache, confusion, and delirium. Cinchonism is most often a sign of chronic quinidine toxicity, but it may appear in sensitive patients after a single moderate dose. A few cases of hepatotoxicity , including granulomatous hepatitis, have been reported in patients receiving quinidine. All of these have appeared during the first few weeks of therapy, and most (not all) have remitted once quinidine was withdrawn.

How Supplied

Quinidine gluconate extended-release tablets, 324 mg are white to off-white, round, unscored, debossed MP 66. Bottles of 100 NDC 54738-901-01 Bottles of 500 NDC 54738-901-02 Store at 20° to 25°C (68° to 77°F). [See USP Controlled Room Temperature] DISPENSE IN TIGHT, LIGHT-RESISTANT CONTAINER.


Medication Information

Recent Major Changes

In many trials of antiarrhythmic therapy for non-life-threatening arrhythmias, active antiarrhythmic therapy has resulted in increased mortality; the risk of active therapy is probably greatest in patients with structural heart disease.

In the case of quinidine used to prevent or defer recurrence of atrial flutter/fibrillation, the best available data come from a meta-analysis described under CLINICAL PHARMACOLOGY/Clinical Effects above. In the patients studied in the trials there analyzed, the mortality associated with the use of quinidine was more than three times as great as the mortality associated with the use of placebo.

Another meta-analysis, also described under CLINICAL PHARMACOLOGY/Clinical Effects, showed that in patients with various non-life-threatening ventricular arrhythmias, the mortality associated with the use of quinidine was consistently greater than that associated with the use of any of a variety of alternative antiarrhythmics.

Dosage and Administration

The dose of quinidine delivered by quinidine gluconate extended-release tablets may be titrated by breaking a tablet in half. If tablets are crushed or chewed, their extended-release properties will be lost.

The dosage of quinidine varies considerably depending upon the general condition and the cardiovascular state of the patient.

Contraindications

Quinidine is contraindicated in patients who are known to be allergic to it, or who have a history of immune thrombocytopenia or have developed thrombocytopenic purpura during prior therapy with quinidine or quinine (see WARNINGS ).

In the absence of a functioning artificial pacemaker, quinidine is also contraindicated in any patient whose cardiac rhythm is dependent upon a junctional or idioventricular pacemaker, including patients in complete atrioventricular block.

Quinidine is also contraindicated in patients who, like those with myasthenia gravis, might be adversely affected by an anticholinergic agent.

Adverse Reactions

Quinidine preparations have been used for many years, but there are only sparse data from which to estimate the incidence of various adverse reactions. The adverse reactions most frequently reported have consistently been gastrointestinal, including diarrhea, nausea, vomiting, and heartburn/esophagitis.

In the reported study that was closest in character to the predominant approved use of quinidine gluconate, 86 adult outpatients with atrial fibrillation were followed for six months while they received slow-release quinidine bisulfate tablets, 600 mg (approximately 400 mg of quinidine base) twice daily. The incidences of adverse experiences reported more than once were as shown in the table below. The most serious quinidine-associated adverse reactions are described above under WARNINGS .

ADVERSE EXPERIENCES REPORTED MORE THAN ONCE IN 86 PATIENTS WITH ATRIAL FIBRILLATION
Incidence (%)

diarrhea

21

(24%)

fever

5

(6%)

rash

5

(6%)

arrhythmia

3

(3%)

abnormal electrocardiogram

3

(3%)

nausea/vomiting

3

(3%)

dizziness

3

(3%)

headache

3

(3%)

asthenia

2

(2%)

cerebral ischemia

2

(2%)

Vomiting and diarrhea can occur as isolated reactions to therapeutic levels of quinidine, but they may also be the first signs of cinchonism, a syndrome that may also include tinnitus, reversible high-frequency hearing loss, deafness, vertigo, blurred vision, diplopia, photophobia, headache, confusion, and delirium. Cinchonism is most often a sign of chronic quinidine toxicity, but it may appear in sensitive patients after a single moderate dose.

A few cases of hepatotoxicity, including granulomatous hepatitis, have been reported in patients receiving quinidine. All of these have appeared during the first few weeks of therapy, and most (not all) have remitted once quinidine was withdrawn.

How Supplied

Quinidine gluconate extended-release tablets, 324 mg are white to off-white, round, unscored, debossed MP 66.

Bottles of 100 NDC 54738-901-01

Bottles of 500 NDC 54738-901-02

Store at 20° to 25°C (68° to 77°F).

[See USP Controlled Room Temperature]

DISPENSE IN TIGHT, LIGHT-RESISTANT CONTAINER.

Description

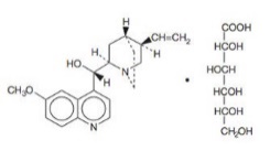
Quinidine is an antimalarial schizonticide and an antiarrhythmic agent with Class Ia activity; it is the d-isomer of quinine, and its molecular weight is 324.43. Quinidine gluconate is the gluconate salt of quinidine; its chemical name is cinchonan-9-ol, 6'-methoxy-, (9S)-, mono-D-gluconate; its structural formula is:

Its empirical formula is C20H24N2O2 • C6H12O7, and its molecular weight is 520.58, of which 62.3% is quinidine base.

Each quinidine gluconate extended-release tablet contains 324 mg of quinidine gluconate (202 mg of quinidine base) in a matrix to provide extended-release; the inactive ingredients include corn starch, hydroxypropyl methylcellulose, magnesium stearate, microcrystalline cellulose, povidone, silicon dioxide, and sodium alginate.

This product complies with USP Drug Release Test 5.

Section 34077-8

Pregnancy Category C. Animal reproductive studies have not been conducted with quinidine. There are no adequate and well-controlled studies in pregnant women. Quinidine should be given to a pregnant woman only if clearly needed.

In one neonate whose mother had received quinidine throughout her pregnancy, the serum level of quinidine was equal to that of the mother, with no apparent ill effect. The level of quinidine in amniotic fluid was about three times higher than that found in serum.

Section 34079-4

Labor and Delivery

Quinine is said to be oxytocic in humans, but there are no adequate data as to quinidine's effects (if any) on human labor and delivery.

Section 34080-2

Nursing mothers

Quinidine is present in human milk at levels slightly lower than those in maternal serum; a human infant ingesting such milk should (scaling directly by weight) be expected to develop serum quinidine levels at least an order of magnitude lower than those of the mother. On the other hand, the pharmacokinetics and pharmacodynamics of quinidine in human infants have not been adequately studied, and neonates' reduced protein binding of quinidine may increase their risk of toxicity at low total serum levels. Administration of quinidine should (if possible) be avoided in lactating women who continue to nurse.

Section 34081-0

Pediatric use

In antimalarial trials, quinidine was as safe and effective in pediatric patients as in adults. Notwithstanding the known pharmacokinetic differences between children and adults (see Pharmacokinetics and Metabolism ), children in these trials received the same doses (on a mg/kg basis) as adults.

Safety and effectiveness of antiarrhythmic use in children have not been established.

Section 34082-8

Geriatric use

Safety and efficacy of quinidine in elderly patients have not been systematically studied.

Section 34083-6

Carcinogenesis, mutagenesis, impairment of fertility

Animal studies to evaluate quinidine's carcinogenic or mutagenic potential have not been performed. Similarly, there are no animal data as to quinidine's potential to impair fertility.

Section 42228-7

Pregnancy

Section 42229-5

Rx only

Section 43682-4

Pharmacokinetics and Metabolism

The absolute bioavailability of quinidine from quinidine gluconate is 70 to 80%. Relative to a solution of quinidine sulfate, the bioavailability of quinidine from quinidine gluconate is reported to be 1.03. The less-than-complete bioavailability is thought to be due to first-pass elimination by the liver. Peak serum levels generally appear 3 to 5 hours after dosing; when the drug is taken with food, absorption is increased in both rate (27%) and extent (17%). The rate and extent of absorption of quinidine from quinidine gluconate are not significantly affected by the coadministration of an aluminum-hydroxide antacid. The rate of absorption of quinidine following the ingestion of grapefruit juice may be decreased.

The volume of distribution of quinidine is 2 to 3 L/kg in healthy young adults, but this may be reduced to as little as 0.5 L/kg in patients with congestive heart failure, or increased to 3 to 5 L/kg in patients with cirrhosis of the liver. At concentrations of 2 to 5 mg/L (6.5 to 16.2 µmol/L), the fraction of quinidine bound to plasma proteins (mainly to α1-acid glycoprotein and to albumin) is 80 to 88% in adults and older children, but it is lower in pregnant women, and in infants and neonates it may be as low as 50 to 70%. Because α1-acid glycoprotein levels are increased in response to stress, serum levels of total quinidine may be greatly increased in settings such as acute myocardial infarction, even though the serum content of unbound (active) drug may remain normal. Protein binding is also increased in chronic renal failure, but binding abruptly descends toward or below normal when heparin is administered for hemodialysis.

Quinidine clearance typically proceeds at 3 to 5 mL/min/kg in adults, but clearance in children may be twice or three times as rapid. The elimination half-life is 6 to 8 hours in adults and 3 to 4 hours in children. Quinidine clearance is unaffected by hepatic cirrhosis, so the increased volume of distribution seen in cirrhosis leads to a proportionate increase in the elimination half-life.

Most quinidine is eliminated hepatically via the action of cytochrome P450IIIA4; there are several different hydroxylated metabolites, and some of these have antiarrhythmic activity.

The most important of quinidine's metabolites is 3-hydroxy-quinidine (3HQ), serum levels of which can approach those of quinidine in patients receiving conventional doses of quinidine gluconate. The volume of distribution of 3HQ appears to be larger than that of quinidine, and the elimination half-life of 3HQ is about 12 hours.

As measured by antiarrhythmic effects on animals, by QTc prolongation in human volunteers, or by various in vitro techniques, 3HQ has at least half the antiarrhythmic activity of the parent compound, so it may be responsible for a substantial fraction of the effect of quinidine gluconate in chronic use.

When the urine pH is less than 7, about 20% of administered quinidine appears unchanged in the urine, but this fraction drops to as little as 5% when the urine is more alkaline. Renal clearance involves both glomerular filtration and active tubular secretion, moderated by (pH-dependent) tubular reabsorption. The net renal clearance is about 1 mL/min/kg in healthy adults. When renal function is taken into account, quinidine clearance is apparently independent of patient age.

Assays of serum quinidine levels are widely available, but the results of modern assays may not be consistent with results cited in the older medical literature. The serum levels of quinidine cited in this package insert are those derived from specific assays, using either benzene extraction or (preferably) reverse-phase high-pressure liquid chromatography. In matched samples, older assays might unpredictably have given results that were as much as two or three times higher. A typical "therapeutic" concentration range is 2 to 6 mg/L (6.2 to 18.5 µmol/L).

Overdosage

Overdoses with various oral formulations of quinidine have been well described. Death has been described after a 5-gram ingestion by a toddler, while an adolescent was reported to survive after ingesting 8 grams of quinidine.

The most important ill effects of acute quinidine overdoses are ventricular arrhythmias and hypotension. Other signs and symptoms of overdose may include vomiting, diarrhea, tinnitus, high-frequency hearing loss, vertigo, blurred vision, diplopia, photophobia, headache, confusion and delirium.

References:
  • 1.
    Aster RH, Curtis BR, McFarland JG, Bougie DW. Drug-induced immune thrombocytopenia: pathogenesis, diagnosis, and management. J Thromb Haemost 2009; 7: 911–8.
  • 2.
    Kaufman DW, Kelly JP, Johannes CB, Sandler A, Harmon D, Stolley PD, Shapiro S. Acute thrombocytopenic purpura in relation to the use of drugs. Blood 1993; 82: 2714–18.
Mechanisms of Action

In patients with malaria, quinidine acts primarily as an intra-erythrocytic schizonticide, with little effect upon sporozites or upon pre-erythrocytic parasites. Quinidine is gametocidal to Plasmodium vivax and P. malariae, but not to P. falciparum.

In cardiac muscle and in Purkinje fibers, quinidine depresses the rapid inward depolarizing sodium current, thereby slowing phase-0 depolarization and reducing the amplitude of the action potential without affecting the resting potential. In normal Purkinje fibers, it reduces the slope of phase-4 depolarization, shifting the threshold voltage upward toward zero. The result is slowed conduction and reduced automaticity in all parts of the heart, with increase of the effective refractory period relative to the duration of the action potential in the atria, ventricles, and Purkinje tissues. Quinidine also raises the fibrillation thresholds of the atria and ventricles, and it raises the ventricular defibrillation threshold as well. Quinidine's actions fall into Class Ia in the Vaughn-Williams classification.

By slowing conduction and prolonging the effective refractory period, quinidine can interrupt or prevent reentrant arrhythmias and arrhythmias due to increased automaticity, including atrial flutter, atrial fibrillation, and paroxysmal supraventricular tachycardia.

In patients with sick sinus syndrome, quinidine can cause marked sinus node depression and bradycardia. In most patients, however, use of quinidine is associated with an increase in the sinus rate.

Like other antiarrhythmic drugs with Class Ia activity, quinidine prolongs the QT interval in a dose-related fashion. This may lead to increased ventricular automaticity and polymorphic ventricular tachycardias, including torsades de pointes (see WARNINGS ).

In addition, quinidine has anticholinergic activity, it has negative inotropic activity, and it acts peripherally as an α-adrenergic antagonist (that is, as a vasodilator).

Information for Patients

Before prescribing quinidine gluconate as prophylaxis against recurrence of atrial fibrillation, the physician should inform the patient of the risks and benefits to be expected (see CLINICAL PHARMACOLOGY ). Discussion should include the facts:

  • that the goal of therapy will be a reduction (probably not to zero) in the frequency of episodes of atrial fibrillation; and
  • that reduced frequency of fibrillatory episodes may be expected, if achieved, to bring symptomatic benefit; but
  • that no data are available to show that reduced frequency of fibrillatory episodes will reduce the risks of irreversible harm through stroke or death; and in fact
  • that such data as are available suggest that treatment with quinidine gluconate is likely to increase the patient's risk of death.
Principal Display Panel 324 Mg Bottle Label

Structured Label Content

Recent Major Changes (34066-1)

In many trials of antiarrhythmic therapy for non-life-threatening arrhythmias, active antiarrhythmic therapy has resulted in increased mortality; the risk of active therapy is probably greatest in patients with structural heart disease.

In the case of quinidine used to prevent or defer recurrence of atrial flutter/fibrillation, the best available data come from a meta-analysis described under CLINICAL PHARMACOLOGY/Clinical Effects above. In the patients studied in the trials there analyzed, the mortality associated with the use of quinidine was more than three times as great as the mortality associated with the use of placebo.

Another meta-analysis, also described under CLINICAL PHARMACOLOGY/Clinical Effects, showed that in patients with various non-life-threatening ventricular arrhythmias, the mortality associated with the use of quinidine was consistently greater than that associated with the use of any of a variety of alternative antiarrhythmics.

Section 34077-8 (34077-8)

Pregnancy Category C. Animal reproductive studies have not been conducted with quinidine. There are no adequate and well-controlled studies in pregnant women. Quinidine should be given to a pregnant woman only if clearly needed.

In one neonate whose mother had received quinidine throughout her pregnancy, the serum level of quinidine was equal to that of the mother, with no apparent ill effect. The level of quinidine in amniotic fluid was about three times higher than that found in serum.

Section 34079-4 (34079-4)

Labor and Delivery

Quinine is said to be oxytocic in humans, but there are no adequate data as to quinidine's effects (if any) on human labor and delivery.

Section 34080-2 (34080-2)

Nursing mothers

Quinidine is present in human milk at levels slightly lower than those in maternal serum; a human infant ingesting such milk should (scaling directly by weight) be expected to develop serum quinidine levels at least an order of magnitude lower than those of the mother. On the other hand, the pharmacokinetics and pharmacodynamics of quinidine in human infants have not been adequately studied, and neonates' reduced protein binding of quinidine may increase their risk of toxicity at low total serum levels. Administration of quinidine should (if possible) be avoided in lactating women who continue to nurse.

Section 34081-0 (34081-0)

Pediatric use

In antimalarial trials, quinidine was as safe and effective in pediatric patients as in adults. Notwithstanding the known pharmacokinetic differences between children and adults (see Pharmacokinetics and Metabolism ), children in these trials received the same doses (on a mg/kg basis) as adults.

Safety and effectiveness of antiarrhythmic use in children have not been established.

Section 34082-8 (34082-8)

Geriatric use

Safety and efficacy of quinidine in elderly patients have not been systematically studied.

Section 34083-6 (34083-6)

Carcinogenesis, mutagenesis, impairment of fertility

Animal studies to evaluate quinidine's carcinogenic or mutagenic potential have not been performed. Similarly, there are no animal data as to quinidine's potential to impair fertility.

Section 42228-7 (42228-7)

Pregnancy

Section 42229-5 (42229-5)

Rx only

Section 43682-4 (43682-4)

Pharmacokinetics and Metabolism

The absolute bioavailability of quinidine from quinidine gluconate is 70 to 80%. Relative to a solution of quinidine sulfate, the bioavailability of quinidine from quinidine gluconate is reported to be 1.03. The less-than-complete bioavailability is thought to be due to first-pass elimination by the liver. Peak serum levels generally appear 3 to 5 hours after dosing; when the drug is taken with food, absorption is increased in both rate (27%) and extent (17%). The rate and extent of absorption of quinidine from quinidine gluconate are not significantly affected by the coadministration of an aluminum-hydroxide antacid. The rate of absorption of quinidine following the ingestion of grapefruit juice may be decreased.

The volume of distribution of quinidine is 2 to 3 L/kg in healthy young adults, but this may be reduced to as little as 0.5 L/kg in patients with congestive heart failure, or increased to 3 to 5 L/kg in patients with cirrhosis of the liver. At concentrations of 2 to 5 mg/L (6.5 to 16.2 µmol/L), the fraction of quinidine bound to plasma proteins (mainly to α1-acid glycoprotein and to albumin) is 80 to 88% in adults and older children, but it is lower in pregnant women, and in infants and neonates it may be as low as 50 to 70%. Because α1-acid glycoprotein levels are increased in response to stress, serum levels of total quinidine may be greatly increased in settings such as acute myocardial infarction, even though the serum content of unbound (active) drug may remain normal. Protein binding is also increased in chronic renal failure, but binding abruptly descends toward or below normal when heparin is administered for hemodialysis.

Quinidine clearance typically proceeds at 3 to 5 mL/min/kg in adults, but clearance in children may be twice or three times as rapid. The elimination half-life is 6 to 8 hours in adults and 3 to 4 hours in children. Quinidine clearance is unaffected by hepatic cirrhosis, so the increased volume of distribution seen in cirrhosis leads to a proportionate increase in the elimination half-life.

Most quinidine is eliminated hepatically via the action of cytochrome P450IIIA4; there are several different hydroxylated metabolites, and some of these have antiarrhythmic activity.

The most important of quinidine's metabolites is 3-hydroxy-quinidine (3HQ), serum levels of which can approach those of quinidine in patients receiving conventional doses of quinidine gluconate. The volume of distribution of 3HQ appears to be larger than that of quinidine, and the elimination half-life of 3HQ is about 12 hours.

As measured by antiarrhythmic effects on animals, by QTc prolongation in human volunteers, or by various in vitro techniques, 3HQ has at least half the antiarrhythmic activity of the parent compound, so it may be responsible for a substantial fraction of the effect of quinidine gluconate in chronic use.

When the urine pH is less than 7, about 20% of administered quinidine appears unchanged in the urine, but this fraction drops to as little as 5% when the urine is more alkaline. Renal clearance involves both glomerular filtration and active tubular secretion, moderated by (pH-dependent) tubular reabsorption. The net renal clearance is about 1 mL/min/kg in healthy adults. When renal function is taken into account, quinidine clearance is apparently independent of patient age.

Assays of serum quinidine levels are widely available, but the results of modern assays may not be consistent with results cited in the older medical literature. The serum levels of quinidine cited in this package insert are those derived from specific assays, using either benzene extraction or (preferably) reverse-phase high-pressure liquid chromatography. In matched samples, older assays might unpredictably have given results that were as much as two or three times higher. A typical "therapeutic" concentration range is 2 to 6 mg/L (6.2 to 18.5 µmol/L).

Overdosage (OVERDOSAGE)

Overdoses with various oral formulations of quinidine have been well described. Death has been described after a 5-gram ingestion by a toddler, while an adolescent was reported to survive after ingesting 8 grams of quinidine.

The most important ill effects of acute quinidine overdoses are ventricular arrhythmias and hypotension. Other signs and symptoms of overdose may include vomiting, diarrhea, tinnitus, high-frequency hearing loss, vertigo, blurred vision, diplopia, photophobia, headache, confusion and delirium.

Description (DESCRIPTION)

Quinidine is an antimalarial schizonticide and an antiarrhythmic agent with Class Ia activity; it is the d-isomer of quinine, and its molecular weight is 324.43. Quinidine gluconate is the gluconate salt of quinidine; its chemical name is cinchonan-9-ol, 6'-methoxy-, (9S)-, mono-D-gluconate; its structural formula is:

Its empirical formula is C20H24N2O2 • C6H12O7, and its molecular weight is 520.58, of which 62.3% is quinidine base.

Each quinidine gluconate extended-release tablet contains 324 mg of quinidine gluconate (202 mg of quinidine base) in a matrix to provide extended-release; the inactive ingredients include corn starch, hydroxypropyl methylcellulose, magnesium stearate, microcrystalline cellulose, povidone, silicon dioxide, and sodium alginate.

This product complies with USP Drug Release Test 5.

References:
  • 1.
    Aster RH, Curtis BR, McFarland JG, Bougie DW. Drug-induced immune thrombocytopenia: pathogenesis, diagnosis, and management. J Thromb Haemost 2009; 7: 911–8.
  • 2.
    Kaufman DW, Kelly JP, Johannes CB, Sandler A, Harmon D, Stolley PD, Shapiro S. Acute thrombocytopenic purpura in relation to the use of drugs. Blood 1993; 82: 2714–18.
How Supplied (HOW SUPPLIED)

Quinidine gluconate extended-release tablets, 324 mg are white to off-white, round, unscored, debossed MP 66.

Bottles of 100 NDC 54738-901-01

Bottles of 500 NDC 54738-901-02

Store at 20° to 25°C (68° to 77°F).

[See USP Controlled Room Temperature]

DISPENSE IN TIGHT, LIGHT-RESISTANT CONTAINER.

Adverse Reactions (ADVERSE REACTIONS)

Quinidine preparations have been used for many years, but there are only sparse data from which to estimate the incidence of various adverse reactions. The adverse reactions most frequently reported have consistently been gastrointestinal, including diarrhea, nausea, vomiting, and heartburn/esophagitis.

In the reported study that was closest in character to the predominant approved use of quinidine gluconate, 86 adult outpatients with atrial fibrillation were followed for six months while they received slow-release quinidine bisulfate tablets, 600 mg (approximately 400 mg of quinidine base) twice daily. The incidences of adverse experiences reported more than once were as shown in the table below. The most serious quinidine-associated adverse reactions are described above under WARNINGS .

ADVERSE EXPERIENCES REPORTED MORE THAN ONCE IN 86 PATIENTS WITH ATRIAL FIBRILLATION
Incidence (%)

diarrhea

21

(24%)

fever

5

(6%)

rash

5

(6%)

arrhythmia

3

(3%)

abnormal electrocardiogram

3

(3%)

nausea/vomiting

3

(3%)

dizziness

3

(3%)

headache

3

(3%)

asthenia

2

(2%)

cerebral ischemia

2

(2%)

Vomiting and diarrhea can occur as isolated reactions to therapeutic levels of quinidine, but they may also be the first signs of cinchonism, a syndrome that may also include tinnitus, reversible high-frequency hearing loss, deafness, vertigo, blurred vision, diplopia, photophobia, headache, confusion, and delirium. Cinchonism is most often a sign of chronic quinidine toxicity, but it may appear in sensitive patients after a single moderate dose.

A few cases of hepatotoxicity, including granulomatous hepatitis, have been reported in patients receiving quinidine. All of these have appeared during the first few weeks of therapy, and most (not all) have remitted once quinidine was withdrawn.

Contraindications (CONTRAINDICATIONS)

Quinidine is contraindicated in patients who are known to be allergic to it, or who have a history of immune thrombocytopenia or have developed thrombocytopenic purpura during prior therapy with quinidine or quinine (see WARNINGS ).

In the absence of a functioning artificial pacemaker, quinidine is also contraindicated in any patient whose cardiac rhythm is dependent upon a junctional or idioventricular pacemaker, including patients in complete atrioventricular block.

Quinidine is also contraindicated in patients who, like those with myasthenia gravis, might be adversely affected by an anticholinergic agent.

Mechanisms of Action (Mechanisms of action)

In patients with malaria, quinidine acts primarily as an intra-erythrocytic schizonticide, with little effect upon sporozites or upon pre-erythrocytic parasites. Quinidine is gametocidal to Plasmodium vivax and P. malariae, but not to P. falciparum.

In cardiac muscle and in Purkinje fibers, quinidine depresses the rapid inward depolarizing sodium current, thereby slowing phase-0 depolarization and reducing the amplitude of the action potential without affecting the resting potential. In normal Purkinje fibers, it reduces the slope of phase-4 depolarization, shifting the threshold voltage upward toward zero. The result is slowed conduction and reduced automaticity in all parts of the heart, with increase of the effective refractory period relative to the duration of the action potential in the atria, ventricles, and Purkinje tissues. Quinidine also raises the fibrillation thresholds of the atria and ventricles, and it raises the ventricular defibrillation threshold as well. Quinidine's actions fall into Class Ia in the Vaughn-Williams classification.

By slowing conduction and prolonging the effective refractory period, quinidine can interrupt or prevent reentrant arrhythmias and arrhythmias due to increased automaticity, including atrial flutter, atrial fibrillation, and paroxysmal supraventricular tachycardia.

In patients with sick sinus syndrome, quinidine can cause marked sinus node depression and bradycardia. In most patients, however, use of quinidine is associated with an increase in the sinus rate.

Like other antiarrhythmic drugs with Class Ia activity, quinidine prolongs the QT interval in a dose-related fashion. This may lead to increased ventricular automaticity and polymorphic ventricular tachycardias, including torsades de pointes (see WARNINGS ).

In addition, quinidine has anticholinergic activity, it has negative inotropic activity, and it acts peripherally as an α-adrenergic antagonist (that is, as a vasodilator).

Information for Patients (INFORMATION FOR PATIENTS)

Before prescribing quinidine gluconate as prophylaxis against recurrence of atrial fibrillation, the physician should inform the patient of the risks and benefits to be expected (see CLINICAL PHARMACOLOGY ). Discussion should include the facts:

  • that the goal of therapy will be a reduction (probably not to zero) in the frequency of episodes of atrial fibrillation; and
  • that reduced frequency of fibrillatory episodes may be expected, if achieved, to bring symptomatic benefit; but
  • that no data are available to show that reduced frequency of fibrillatory episodes will reduce the risks of irreversible harm through stroke or death; and in fact
  • that such data as are available suggest that treatment with quinidine gluconate is likely to increase the patient's risk of death.
Dosage and Administration (DOSAGE AND ADMINISTRATION)

The dose of quinidine delivered by quinidine gluconate extended-release tablets may be titrated by breaking a tablet in half. If tablets are crushed or chewed, their extended-release properties will be lost.

The dosage of quinidine varies considerably depending upon the general condition and the cardiovascular state of the patient.

Principal Display Panel 324 Mg Bottle Label (PRINCIPAL DISPLAY PANEL - 324 mg Bottle Label)

Advanced Ingredient Data


Raw Label Data

All Sections (JSON)