These Highlights Do Not Include All The Information Needed To Use Doxycycline Hyclate Delayed-release Tablets Safely And Effectively. See Full Prescribing Information For Doxycycline Hyclate Delayed-release Tablets.

These Highlights Do Not Include All The Information Needed To Use Doxycycline Hyclate Delayed-release Tablets Safely And Effectively. See Full Prescribing Information For Doxycycline Hyclate Delayed-release Tablets.
SPL v3
SPL
SPL Set ID 4fa26176-a730-48ed-9659-e2f64212f418
Route
ORAL
Published
Effective Date 2016-11-22
Document Type 34391-3 HUMAN PRESCRIPTION DRUG LABEL

Drug Facts

Composition & Product

Active Ingredients
Doxycycline Anhydrous (150 mg)
Inactive Ingredients
Lactose Monohydrate Cellulose, Microcrystalline Sodium Lauryl Sulfate Sodium Chloride Talc Crospovidone Magnesium Stearate Povidone Hypromellose Phthalate (31% Phthalate, 170 Cst) Hypromellose, Unspecified Triethyl Citrate Mannitol

Identifiers & Packaging

Pill Appearance
Imprint: P;0;1 Shape: capsule Color: white Size: 19 mm Score: 3
Marketing Status
ANDA Active Since 2016-11-28

Description

Dosage and Administration ( 2.1 ) 04/2016 Warnings and Precautions ( 5.1 ) 04/2016

Indications and Usage

To reduce the development of drug-resistant bacteria and maintain the effectiveness of doxycycline hyclate delayed-release tablets and other antibacterial drugs, doxycycline hyclate delayed-release tablets should be used only to treat or prevent infections that are proven or strongly suspected to be caused by susceptible bacteria. When culture and susceptibility information are available, they should be considered in selecting or modifying antibacterial therapy. In the absence of such data, local epidemiology and susceptibility patterns may contribute to the empiric selection of therapy. Doxycycline is a tetracycline-class antibacterial indicated in the following conditions or diseases:

Dosage and Administration

The usual dosage and frequency of administration of doxycycline differs from that of the other tetracyclines. Exceeding the recommended dosage may result in an increased incidence of side effects. Adults: The usual dose of oral doxycycline is 200 mg on the first day of treatment (administered 100 mg every 12 hours), followed by a maintenance dose of 100 mg daily. The maintenance dose may be administered as a single dose or as 50 mg every 12 hours. In the management of more severe infections (particularly chronic infections of the urinary tract), 100 mg every 12 hours is recommended. Pediatric patients: For all pediatric patients weighing less than 45 kg with severe or life threatening infections (e.g., anthrax, Rocky Mountain spotted fever), the recommended dosage of doxycycline is 2.2 mg per kg of body weight administered every 12 hours. Pediatric patients weighing 45 kg or more should receive the adult dose [ see Warnings and Precautions ( 5.1 ) ]. For pediatric patients with less severe disease (greater than 8 years of age and weighing less than 45 kg), the recommended dosage schedule of doxycycline is 4.4 mg per kg of body weight divided into two doses on the first day of treatment, followed by a maintenance dose of 2.2 mg per kg of body weight (given as a single daily dose or divided into twice daily doses). For pediatric patients weighing over 45 kg, the usual adult dose should be used. Administration of adequate amounts of fluid along with capsule and tablet forms of drugs in the tetracycline-class is recommended to wash down the drugs and reduce the risk of esophageal irritation and ulceration [ see Adverse Reactions ( 6.1 ) ]. If gastric irritation occurs, doxycycline may be given with food or milk [ see Clinical Pharmacology ( 12 ) ]. When used in streptococcal infections, therapy should be continued for 10 days. Uncomplicated urethral, endocervical, or rectal infection caused by Chlamydia trachomatis : 100 mg by mouth twice a day for 7 days. As an alternate dosing regimen for uncomplicated urethral or endocervical infection caused by Chlamydia trachomatis , administer 200 mg by mouth once-a-day for 7 days. Uncomplicated gonococcal infections in adults (except anorectal infections in men): 100 mg, by mouth, twice-a-day for 7 days. As an alternate single visit dose, administer 300 mg stat followed in one hour by a second 300 mg dose. Nongonococcal urethritis (NGU) caused by U. urealyticum : 100 mg by mouth twice-a-day for 7 days. Syphilis – early: Patients who are allergic to penicillin should be treated with doxycycline 100 mg by mouth twice-a-day for 2 weeks. Syphilis of more than one year’s duration: Patients who are allergic to penicillin should be treated with doxycycline 100 mg by mouth twice-a-day for 4 weeks. Acute epididymo-orchitis caused by C. trachomatis : 100 mg, by mouth, twice-a-day for at least 10 days. 

Warnings and Precautions

The use of drugs of the tetracycline-class during tooth development (last half of pregnancy, infancy and childhood to the age of 8 years) may cause permanent discoloration of the teeth (yellow-gray-brown). ( 2.2 , 5.1 ) Clostridium difficile-associated diarrhea (CDAD) has been reported: Evaluate patients if diarrhea occurs. ( 5.2 ) Photosensitivity manifested by an exaggerated sunburn reaction has been observed in some individuals taking tetracyclines. Limit sun exposure. ( 5.3 ) Overgrowth of non-susceptible organisms, including fungi, may occur. If such infections occur, discontinue use and institute appropriate therapy. ( 5.4 )

Contraindications

The drug is contraindicated in persons who have shown hypersensitivity to any of the tetracyclines. 

Adverse Reactions

Adverse reactions observed in patients receiving tetracyclines include anorexia, nausea, vomiting, diarrhea, rash, photosensitivity, urticaria, and hemolytic anemia. ( 6 ) To report SUSPECTED ADVERSE REACTIONS, contact Solco Healthcare LLC at 1-866-257-2597 or FDA at 1-800-FDA-1088 or www.fda.gov/medwatch .

Drug Interactions

Patients who are on anticoagulant therapy may require downward adjustment of their anticoagulant dosage ( 7.1 ) Avoid co-administration of tetracyclines with penicillin ( 7.2 ) Absorption of tetracyclines, including doxycycline hyclate delayed-release tablets, is impaired by antacids containing aluminum, calcium, or magnesium, bismuth subsalicylate and iron-containing preparations ( 7.3 ) Concurrent use of tetracyclines, including doxycycline hyclate delayed-release tablets, may render oral contraceptives less effective ( 7.4 ) Barbiturates, carbamazepine and phenytoin decrease the half-life of doxycycline ( 7.5 )

Storage and Handling

Doxycycline hyclate delayed-release tablets, USP, 150 mg are white, capsule shaped dual-scored tablets containing yellow pellets and debossed with “P | 0 | 1” on one face and plain on the other. Each tablet contains specially coated pellets of doxycycline hyclate equivalent to 150 mg of doxycycline. Bottles of 30 tablets: NDC 69668-515-30 Store at 20 - 25°C (68 - 77°F); excursions permitted to 15 - 30°C (59 - 86°F) [see USP Controlled Room Temperature]. Dispense in a tight, light-resistant container (USP).

How Supplied

Doxycycline hyclate delayed-release tablets, USP, 150 mg are white, capsule shaped dual-scored tablets containing yellow pellets and debossed with “P | 0 | 1” on one face and plain on the other. Each tablet contains specially coated pellets of doxycycline hyclate equivalent to 150 mg of doxycycline. Bottles of 30 tablets: NDC 69668-515-30 Store at 20 - 25°C (68 - 77°F); excursions permitted to 15 - 30°C (59 - 86°F) [see USP Controlled Room Temperature]. Dispense in a tight, light-resistant container (USP).


Medication Information

Warnings and Precautions

The use of drugs of the tetracycline-class during tooth development (last half of pregnancy, infancy and childhood to the age of 8 years) may cause permanent discoloration of the teeth (yellow-gray-brown). ( 2.2 , 5.1 ) Clostridium difficile-associated diarrhea (CDAD) has been reported: Evaluate patients if diarrhea occurs. ( 5.2 ) Photosensitivity manifested by an exaggerated sunburn reaction has been observed in some individuals taking tetracyclines. Limit sun exposure. ( 5.3 ) Overgrowth of non-susceptible organisms, including fungi, may occur. If such infections occur, discontinue use and institute appropriate therapy. ( 5.4 )

Indications and Usage

To reduce the development of drug-resistant bacteria and maintain the effectiveness of doxycycline hyclate delayed-release tablets and other antibacterial drugs, doxycycline hyclate delayed-release tablets should be used only to treat or prevent infections that are proven or strongly suspected to be caused by susceptible bacteria. When culture and susceptibility information are available, they should be considered in selecting or modifying antibacterial therapy. In the absence of such data, local epidemiology and susceptibility patterns may contribute to the empiric selection of therapy. Doxycycline is a tetracycline-class antibacterial indicated in the following conditions or diseases:

Dosage and Administration

The usual dosage and frequency of administration of doxycycline differs from that of the other tetracyclines. Exceeding the recommended dosage may result in an increased incidence of side effects. Adults: The usual dose of oral doxycycline is 200 mg on the first day of treatment (administered 100 mg every 12 hours), followed by a maintenance dose of 100 mg daily. The maintenance dose may be administered as a single dose or as 50 mg every 12 hours. In the management of more severe infections (particularly chronic infections of the urinary tract), 100 mg every 12 hours is recommended. Pediatric patients: For all pediatric patients weighing less than 45 kg with severe or life threatening infections (e.g., anthrax, Rocky Mountain spotted fever), the recommended dosage of doxycycline is 2.2 mg per kg of body weight administered every 12 hours. Pediatric patients weighing 45 kg or more should receive the adult dose [ see Warnings and Precautions ( 5.1 ) ]. For pediatric patients with less severe disease (greater than 8 years of age and weighing less than 45 kg), the recommended dosage schedule of doxycycline is 4.4 mg per kg of body weight divided into two doses on the first day of treatment, followed by a maintenance dose of 2.2 mg per kg of body weight (given as a single daily dose or divided into twice daily doses). For pediatric patients weighing over 45 kg, the usual adult dose should be used. Administration of adequate amounts of fluid along with capsule and tablet forms of drugs in the tetracycline-class is recommended to wash down the drugs and reduce the risk of esophageal irritation and ulceration [ see Adverse Reactions ( 6.1 ) ]. If gastric irritation occurs, doxycycline may be given with food or milk [ see Clinical Pharmacology ( 12 ) ]. When used in streptococcal infections, therapy should be continued for 10 days. Uncomplicated urethral, endocervical, or rectal infection caused by Chlamydia trachomatis : 100 mg by mouth twice a day for 7 days. As an alternate dosing regimen for uncomplicated urethral or endocervical infection caused by Chlamydia trachomatis , administer 200 mg by mouth once-a-day for 7 days. Uncomplicated gonococcal infections in adults (except anorectal infections in men): 100 mg, by mouth, twice-a-day for 7 days. As an alternate single visit dose, administer 300 mg stat followed in one hour by a second 300 mg dose. Nongonococcal urethritis (NGU) caused by U. urealyticum : 100 mg by mouth twice-a-day for 7 days. Syphilis – early: Patients who are allergic to penicillin should be treated with doxycycline 100 mg by mouth twice-a-day for 2 weeks. Syphilis of more than one year’s duration: Patients who are allergic to penicillin should be treated with doxycycline 100 mg by mouth twice-a-day for 4 weeks. Acute epididymo-orchitis caused by C. trachomatis : 100 mg, by mouth, twice-a-day for at least 10 days. 

Contraindications

The drug is contraindicated in persons who have shown hypersensitivity to any of the tetracyclines. 

Adverse Reactions

Adverse reactions observed in patients receiving tetracyclines include anorexia, nausea, vomiting, diarrhea, rash, photosensitivity, urticaria, and hemolytic anemia. ( 6 ) To report SUSPECTED ADVERSE REACTIONS, contact Solco Healthcare LLC at 1-866-257-2597 or FDA at 1-800-FDA-1088 or www.fda.gov/medwatch .

Drug Interactions

Patients who are on anticoagulant therapy may require downward adjustment of their anticoagulant dosage ( 7.1 ) Avoid co-administration of tetracyclines with penicillin ( 7.2 ) Absorption of tetracyclines, including doxycycline hyclate delayed-release tablets, is impaired by antacids containing aluminum, calcium, or magnesium, bismuth subsalicylate and iron-containing preparations ( 7.3 ) Concurrent use of tetracyclines, including doxycycline hyclate delayed-release tablets, may render oral contraceptives less effective ( 7.4 ) Barbiturates, carbamazepine and phenytoin decrease the half-life of doxycycline ( 7.5 )

Storage and Handling

Doxycycline hyclate delayed-release tablets, USP, 150 mg are white, capsule shaped dual-scored tablets containing yellow pellets and debossed with “P | 0 | 1” on one face and plain on the other. Each tablet contains specially coated pellets of doxycycline hyclate equivalent to 150 mg of doxycycline. Bottles of 30 tablets: NDC 69668-515-30 Store at 20 - 25°C (68 - 77°F); excursions permitted to 15 - 30°C (59 - 86°F) [see USP Controlled Room Temperature]. Dispense in a tight, light-resistant container (USP).

How Supplied

Doxycycline hyclate delayed-release tablets, USP, 150 mg are white, capsule shaped dual-scored tablets containing yellow pellets and debossed with “P | 0 | 1” on one face and plain on the other. Each tablet contains specially coated pellets of doxycycline hyclate equivalent to 150 mg of doxycycline. Bottles of 30 tablets: NDC 69668-515-30 Store at 20 - 25°C (68 - 77°F); excursions permitted to 15 - 30°C (59 - 86°F) [see USP Controlled Room Temperature]. Dispense in a tight, light-resistant container (USP).

Description

Dosage and Administration ( 2.1 ) 04/2016 Warnings and Precautions ( 5.1 ) 04/2016

Section 42229-5

Manufactured for:

Solco Healthcare US, LLC

Cranbury, NJ 08512, USA

Manufactured by:

Zhejiang Huahai Pharmaceutical Co., Ltd.

Xunqiao, Linhai, Zhejiang 317024, China

Revised: 10/2016

17431-01

Section 43683-2

Section 51945-4

NDC 69668-515-30 Rx Only

Doxycycline Hyclate

Delayed-Release

Tablets, USP

150 mg

Do not chew or crush tablets.

30 Tablets

5.8 Malaria

Doxycycline offers substantial but not complete suppression of the asexual blood stages of Plasmodium strains.

Doxycycline does not suppress P. falciparum’s sexual blood stage gametocytes. Subjects completing this prophylactic regimen may still transmit the infection to mosquitoes outside endemic areas. 

10 Overdosage

In case of overdosage, discontinue medication, treat symptomatically and institute supportive measures. Dialysis does not alter serum half-life and thus would not be of benefit in treating cases of overdosage.

15 References
  • Friedman JM, Polifka JE. Teratogenic Effects of Drugs. A Resource for Clinicians (TERIS). Baltimore, MD: The Johns Hopkins University Press: 2000: 149-195.
  • Cziezel AE and Rockenbauer M. Teratogenic study of doxycycline. Obstet Gynecol 1997; 89: 524-528.
  • Horne HW Jr. and Kundsin RB. The role of mycoplasma among 81 consecutive pregnancies: a prospective study. Int J Fertil 1980; 25: 315-317.
  • Hale T. Medications and Mothers Milk. 9 th edition. Amarillo, TX: Pharmasoft Publishing 2000; 225-226.
  • Clinical and Laboratory Standards Institute (CLSI). Performance Standards for Antimicrobial Susceptibility Testing; Twenty-fourth Informational Supplement, CLSI document M100-S24. Clinical Laboratory Standards Institute, 950 West Valley Road, Suite 2500, Wayne Pennsylvania 19087, USA, 2014.
  • Clinical and Laboratory Standards Institute (CLSI). Methods for Dilution Antimicrobial Susceptibility Tests for Bacteria that Grow Aerobically; Approved Standard – Ninth Edition. CLSI document M07-A9, Clinical Laboratory Standards Institute, 950 West Valley Road, Suite 2500, Wayne Pennsylvania 19087, USA, 2012.
  • Clinical and Laboratory Standards Institute (CLSI). Performance Standards for Antimicrobial Disk Diffusion Susceptibility Tests; Approved Standard – Eleventh Edition. CLSI document M02-A11, Clinical Laboratory Standards Institute, 950 West Valley Road, Suite 2500, Wayne Pennsylvania 19087, USA, 2012.
  • Clinical and Laboratory Standards Institute (CLSI). Methods for Antimicrobial Dilution and Disk Susceptibility Testing of Infrequently Isolated or Fastidious Bacteria; Approved Guideline – Second Edition CLSI document M45-A2, Clinical Laboratory Standards Institute, 950 West Valley Road, Suite 2500, Wayne Pennsylvania 19087, USA, 2010.
  • Clinical and Laboratory Standards Institute (CLSI). Methods for Antimicrobial Susceptibility Testing of Anaerobic Bacteria; Approved Standard – Eighth Edition. CLSI document M11-A8, Clinical Laboratory Standards Institute, 950 West Valley Road, Suite 2500, Wayne Pennsylvania 19087, USA, 2012.
  • Clinical and Laboratory Standards Institute (CLSI). Methods for Mycobacteria, Nocardiae, and Other Aerobic Actinomycetes; Approved Standard – Second Edition. CLSI document M24-A2, Clinical Laboratory Standards Institute, 950 West Valley Road, Suite 2500, Wayne Pennsylvania 19087, USA, 2011.
  • Clinical and Laboratory Standards Institute (CLSI). Methods for Antimicrobial Susceptibility Testing for Human Mycoplasmas; Approved Guideline. CLSI document M43-A, Clinical Laboratory Standards Institute, 950 West Valley Road, Suite 2500, Wayne Pennsylvania 19087, USA, 2011. 
7.6 Penthrane

The concurrent use of tetracycline and Penthrane ® (methoxyflurane) has been reported to result in fatal renal toxicity.

8.1 Pregnancy

Teratogenic Effects. Pregnancy Category D:

There are no adequate and well-controlled studies on the use of doxycycline in pregnant women. The vast majority of reported experience with doxycycline during human pregnancy is short-term, first trimester exposure. There are no human data available to assess the effects of long-term therapy of doxycycline in pregnant women such as that proposed for the treatment of anthrax exposure. An expert review of published data on experiences with doxycycline use during pregnancy by TERIS - the Teratogen Information System - concluded that therapeutic doses during pregnancy are unlikely to pose a substantial teratogenic risk (the quantity and quality of data were assessed as limited to fair), but the data are insufficient to state that there is no risk. 1

A case-control study (18,515 mothers of infants with congenital anomalies and 32,804 mothers of infants with no congenital anomalies) shows a weak but marginally statistically significant association with total malformations and use of doxycycline anytime during pregnancy. Sixty-three (0.19%) of the controls and 56 (0.30%) of the cases were treated with doxycycline. This association was not seen when the analysis was confined to maternal treatment during the period of organogenesis (that is, in the second and third months of gestation), with the exception of a marginal relationship with neural tube defect based on only two-exposed cases. 2

A small prospective study of 81 pregnancies describes 43 pregnant women treated for 10 days with doxycycline during early first trimester. All mothers reported their exposed infants were normal at 1 year of age. 3

Nonteratogenic effects: [ see Warnings and Precautions ( 5.1, 5.6) ].

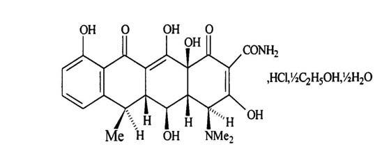
11 Description

Doxycycline hyclate delayed-release tablets, for oral administration, contain specially coated pellets of doxycycline hyclate, USP, a broad-spectrum antibacterial synthetically derived from oxytetracycline, in a delayed-release formulation for oral administration.

The structural formula for doxycycline hyclate is:

with a molecular formula of C 22H 24N 2O 8, HCl, ½ C 2H 6O, ½ H 2O and a molecular weight of 512.9. The chemical designation for doxycycline hyclate is [4S(4aR,5S,5aR,6R,12aS)]-4-(dimethylamino)-1,4,4a,5,5a,6,11,12a-octahydro-3,5,10,12,12a-pentahydroxy-6-methyl-1,11-deoxonapthtacene-2-carboxamide monohydrochloride, compound with ethyl alcohol (2:1), monohydrate. Doxycycline hyclate is a yellow crystalline powder soluble in water and in solutions of alkali hydroxides and carbonates. Doxycycline has a high degree of lipid solubility and a low affinity for calcium binding. It is highly stable in normal human serum. Doxycycline will not degrade into an epianhydro form. Inactive ingredients in the tablet formulation are: lactose monohydrate; microcrystalline cellulose; sodium lauryl sulfate; sodium chloride; talc; crospovidone; magnesium stearate; povidone; hypromellose phthalate; hypromellose; triethyl citrate; mannitol.

Meets USP Dissolution Test 3.

7.2 Penicillin

Since bacteriostatic drugs may interfere with the bactericidal action of penicillin, it is advisable to avoid giving tetracyclines in conjunction with penicillin. 

12.4 Microbiology

Mechanism of Action

Doxycycline inhibits bacterial protein synthesis by binding to the 30S ribosomal subunit. Doxycycline has bacteriostatic activity against a broad range of Gram-positive and Gram-negative bacteria. Cross-resistance between tetracyclines is common.

Doxycycline has been shown to be active against most isolates of the following microorganisms, both in vitro and in clinical infections as described in the INDICATIONS AND USAGE section of the package insert for doxycycline hyclate delayed-release tablets [ see Indications and Usage ( 1) ].

Gram-Negative Bacteria

Acinetobacter species

Bartonella bacilliformis

Brucella species

Campylobacter fetus

Enterobacter aerogenes

Escherichia coli

Francisella tularensis

Haemophilus ducreyi

Haemophilus influenzae

Klebsiella granulomatis

Klebsiella species

Neisseria gonorrhoeae

Shigella species

Vibrio cholerae

Yersinia pestis

Gram-Positive Bacteria

Bacillus anthracis

Streptococcus pneumoniae

Anerobic Bacteria

Clostridium species

Fusobacterium fusiforme

Propionibacterium acnes

Other Bacteria

Borrelia recurrentis

Chlamydophila psittaci

Chlamydia trachomatis

Mycoplasma pneumoniae

Norcardiae and other aerobic Actinomyces species

Rickettsiae

Treponema pallidum

Treponema pallidum subspecies pertenue

Ureaplasma urealyticum

Parasites

Balantidium coli

Entamoeba species

Plasmodium falciparum*

*Doxycycline has been found to be active against the asexual erythrocytic forms of Plasmodium falciparum but not against the gametocytes of P. falciparum. The precise mechanism of action of the drug is not known.

Susceptibility Test Methods

When available, the clinical microbiology laboratory should provide the results of in vitro susceptibility test results for antimicrobial drugs used in resident hospitals to the physician as periodic reports that describe the susceptibility profile of nosocomial and community-acquired pathogens. These reports should aid the physician in selecting the most effective antimicrobial.

Dilution Techniques

Quantitative methods are used to determine antimicrobial minimum inhibitory concentrations (MICs). These MICs provide estimates of the susceptibility of bacteria to antimicrobial compounds. The MICs should be determined using a standardized test method (broth and/or agar) 5, 6, 8. The MIC values should be interpreted according to the criteria provided in Table 2.

Diffusion Techniques

Quantitative methods that require measurement of zone diameters can also provide reproducible estimates of the susceptibility of bacteria to antimicrobial compounds. Zone size provides an estimate of the susceptibility of bacteria to antimicrobial compounds. The zone size should be determined using a standard test method 5, 7, 8. This procedure uses paper disks impregnated with 30 mcg doxycycline to test the susceptibility of bacteria to doxycycline. The disk diffusion interpretive criteria are provided in Table 2.

Anaerobic Techniques

For anaerobic bacteria, the susceptibility to doxycycline can be determined by a standardized test method 9. The MIC values obtained should be interpreted according to the criteria provided in Table 2.

Table 2: Susceptibility Test Interpretive Criteria for Doxycycline and Tetracycline
Bacteria a  Minimal Inhibitory Concentration

(mcg/mL)
 Zone

Diameter

(mm)
 Agar

Dilution

(mcg/mL)
a Organisms susceptible to tetracycline are also considered susceptible to doxycycline. However, some organisms that are intermediate or resistant to tetracycline may be susceptible to doxycycline.
b The current absence of resistance isolates precludes defining any results other than "Susceptible". If isolates yielding MIC results other than susceptible, they should be submitted to a reference laboratory for further testing.
c Gonococci with 30 mcg tetracycline disk zone diameters of less than 19 mm usually indicate a plasmid-mediated tetracycline resistant Neisseria gonorrhoeae isolate. Resistance in these strains should be confirmed by a dilution test (MIC greater than or equal to 16 mcg/mL).  
 S I R      S               I                R                S               I               R        

 Acinetobacter spp.

   Doxycycline

   Tetracycline

4

4

8

8

16

16

13

15

10-12

12-14

9

11

-

-

-

-

-

-

 Anaerobes

   Tetracycline

- - - - - - 4 8  16 

 Bacillus anthracis b

   Doxycycline

   Tetracycline

1

1

-

-

-

-

-

-

-

-

-

-

-

-

-

-

-

-

 Brucella species b

   Doxycycline

   Tetracycline

1

1

-

-

-

-

-

-

-

-

-

-

-

-

-

-

-

-

 Enterobacteriaceae

   Doxycycline

   Tetracycline

4

4

8

8

> 16

> 16

14

15

11-13

12-14

< 10

< 11
-

-
-

-
-

-

 Franciscella tularensis b

   Doxycycline

   Tetracycline

4

4

-

-
-

-
-

-
-

-
-

-
-

-
-

-
-

-

 Haemophilus influenzae

   Tetracycline

2 4 8 29 26-28 < 25 - - -

 Mycoplasma pneumoniae b

   Tetracycline

- - - - - < 2 - -

 Nocardiae and other aerobic  Actinomyces species ab

   Doxycycline

1 2-4 8 - - - - - -

 Neisseria gonorrhoeae c

   Tetracycline

- - - >38 31-37 30 0.25 0.5-1 2

 Streptococcus pneumoniae

   Tetracycline

   Doxycycline

0.25

1

0.5

2

1

4

> 28

> 28

25-27

25-27

24

24

-

-
-

-
-

-

 Vibrio cholerae

   Doxycycline

   Tetracycline

4

4

8

8

16

16

-

-
-

-
-

-
-

-
-

-
-

-

   Yersinia pestis

   Doxycycline

   Tetracycline

4

4

8

8

16

16

-

-
-

-
-

-
-

-
-

-
-

-

 Ureaplasma urealyticum

   Tetracycline

- - - - - - 1 - 2

A report of Susceptible (S) indicates that the antimicrobial drug is likely to inhibit growth of the pathogen if the antimicrobial drug reaches the concentrations usually achievable at the site of infection. A report of Intermediate (I) indicates that the result should be considered equivocal, and, if the bacteria is not fully susceptible to alternative, clinically feasible drugs, the test should be repeated. This category implies possible clinical applicability in body sites where the drug is physiologically concentrated or in situations where high dosage of drug can be used. This category also provides a buffer zone that prevents small uncontrolled technical factors from causing major discrepancies in interpretation. A report of Resistant (R) indicates that the antimicrobial is not likely to inhibit growth of the pathogen if the antimicrobial drug reaches the concentrations usually achievable at the infection site; other therapy should be selected.

Quality Control

Standardized susceptibility test procedures require the use of laboratory controls to monitor and ensure the accuracy and precision of the supplies and reagents used in the assay, and the techniques of the individuals performing the test 5,6,7,8,9,10,11. Standard doxycycline and tetracycline powders should provide the following range of MIC values noted in Table 3. For the diffusion technique using the 30 mcg doxycycline disk the criteria noted in Table 3 should be achieved.

Table 3: Acceptable Quality Control Ranges for Susceptiblity Testing for Doxycycline and Tetracycline
QC Strain

Minimal  Inhibitory

Concentration

(mcg/mL)

Zone

Diameter

(mm)

Agar

Dilution

(mcg/mL)

 Enterococcus faecalis ATCC 29212

   Doxycycline

   Tetracycline

2-8

8-32

-

-

-

-

Escherichia coli ATCC 25922

   Doxycycline

   Tetracycline

0.5-2

0.5-2

18-24

18-25

-

-

Eubacteria  lentum ATCC 43055

   Doxycycline

2-16

Haemophilus influenzae ATCC 49247

   Tetracycline

4-32 14-22 -

 Neisseria gonorrhoeae ATCC 49226

   Tetracycline

- 30-42 0.25 - 1

Staphylococcus aureus ATCC 25923

   Doxycycline

   Tetracycline

-

-

23-29

24-30

-

-

 Staphylococcus aureus ATCC 29213

   Doxycycline

   Tetracycline

0.12-0.5

0.12-1

-

-

 Streptococcus pneumoniae ATCC 49619

   Doxycycline

   Tetracycline 

0.015-0.12

0.06-0.5

25-34

27-31

-

-

Bacteroides fragilis ATCC 25285

   Tetracycline

  -   - 0.125-0.5

Bacteroides thetaiotaomicron ATCC 29741

   Doxycycline

   Tetracycline

2-8

-

-

-

-

8-32

Mycoplasma pneumoniae ATCC 29342

   Tetracycline

0.06-0.5   - 0.06-0.5

Ureaplasma urealyticum ATCC 33175

   Tetracycline

-   - ≥8

8.4 Pediatric Use

Because of the effects of drugs of the tetracycline-class on tooth development and growth, use doxycycline hyclate delayed-release tablets in pediatric patients 8 years of age or less only when the potential benefits are expected to outweigh the risks in severe or life-threatening conditions (e.g., anthrax, Rocky Mountain spotted fever), particularly, when there are no alternative therapies doxycycline hyclate delayed-release tablets [ see Warnings and Precautions ( 5.1, 5.6) and Dosage and Administration ( 2.1, 2.3) ].

8.5 Geriatric Use

Clinical studies of doxycycline hyclate delayed-release tablets did not include sufficient numbers of subjects aged 65 and over to determine whether they respond differently from younger subjects. Other reported clinical experience has not identified differences in responses between the elderly and younger patients.

Doxycycline hyclate delayed-release 150 mg tablets contain 9 mg (0.392 mEq) of sodium.

Doxycycline hyclate delayed-release 200 mg tablets contain 12 mg (0.522 mEq) of sodium.

5.4 Superinfection

As with other antibacterial preparations, use of doxycycline hyclate delayed-release tablets may result in overgrowth of non-susceptible organisms, including fungi. If superinfection occurs, the antibacterial should be discontinued and appropriate therapy instituted. 

14 Clinical Studies

This was a randomized, double-blind, active-controlled, multicenter trial which enrolled 495 subjects, between 19 to 45 years of age with a confirmed diagnosis of urogenital C. trachomatis infection less than 14 days prior to enrollment, or partner(s) of a subject with a known positive test for urogenital C. trachomatis infection.

The primary purpose of this study was to evaluate the efficacy and safety of doxycycline hyclate delayed-release tablets, 200 mg once daily versus doxycycline hyclate capsules, 100 mg twice daily for seven days for the treatment of uncomplicated urogenital C. trachomatis infection. The primary efficacy objective was to demonstrate non-inferiority of the doxycycline hyclate delayed-release tablets, 200 mg once daily treatment regimen versus the doxycycline 100 mg twice daily treatment regimen for the indication using a negative nucleic acid amplification test (NAAT) at the test of cure visit (day 28) in the mITT population (subjects who were positive at baseline and took at least one day of study drug).

Table 4: Primary Efficacy Outcome - Microbiological Cure of C. trachomatis at Day 28                       
mITT Population

Doxycycline

hyclate

delayed-release

tablets, 200 mg

once daily Cure

Rate (%)

Doxycycline

hyclate capsules,

100 mg twice daily

Cure Rate (%)

Difference

(%)

N 188 190
Microbiological Cure, n (%) 163 (86.7) 171 (90.0) -3.3%
95% Confidence Interval for Cure Rate -10.3, 3.7

4 Contraindications

The drug is contraindicated in persons who have shown hypersensitivity to any of the tetracyclines. 

6 Adverse Reactions

Adverse reactions observed in patients receiving tetracyclines include anorexia, nausea, vomiting, diarrhea, rash, photosensitivity, urticaria, and hemolytic anemia. ( 6)

To report SUSPECTED ADVERSE REACTIONS, contact Solco Healthcare LLC at 1-866-257-2597 or FDA at 1-800-FDA-1088 or www.fda.gov/medwatch .

7 Drug Interactions
  • Patients who are on anticoagulant therapy may require downward adjustment of their anticoagulant dosage ( 7.1)
  • Avoid co-administration of tetracyclines with penicillin ( 7.2)
  • Absorption of tetracyclines, including doxycycline hyclate delayed-release tablets, is impaired by antacids containing aluminum, calcium, or magnesium, bismuth subsalicylate and iron-containing preparations ( 7.3)
  • Concurrent use of tetracyclines, including doxycycline hyclate delayed-release tablets, may render oral contraceptives less effective ( 7.4)
  • Barbiturates, carbamazepine and phenytoin decrease the half-life of doxycycline ( 7.5)
8.3 Nursing Mothers

Tetracyclines are excreted in human milk, however, the extent of absorption of tetracyclines including doxycycline, by the breastfed infant is not known. Short-term use by lactating women is not necessarily contraindicated. The effects of prolonged exposure to doxycycline in breast milk are unknown 4. Because of the potential for serious adverse reactions in nursing infants from doxycycline, a decision should be made whether to discontinue nursing or to discontinue the drug, taking into account the importance of the drug to the mother [ see Warnings and Precautions ( 5.1, 5.6) ].

5.3 Photosensitivity

Photosensitivity manifested by an exaggerated sunburn reaction has been observed in some individuals taking tetracyclines. Patients apt to be exposed to direct sunlight or ultraviolet light should be advised that this reaction can occur with tetracycline drugs, and treatment should be discontinued at the first evidence of skin erythema. 

12.3 Pharmacokinetics

Doxycycline is virtually completely absorbed after oral administration. Following single and multiple-dose administration of doxycycline hyclate delayed-release tablets, 200 mg to adult volunteers, average peak plasma doxycycline concentration (C max) was 4.6 mcg/mL and 6.3 mcg/mL, respectively with median t max of 3 hours; the corresponding mean plasma concentration values 24 hours after single and multiple doses were 1.5 mcg/mL and 2.3 mcg/mL, respectively. The mean C max and AUC 0-∞ of doxycycline are 24% and 13% lower, respectively, following single dose administration of doxycycline hyclate delayed-release tablets, 100 mg with a high fat meal (including milk) compared to fasted conditions. The mean C max of doxycycline is 19% lower and the AUC 0-∞ is unchanged following single dose administration of doxycycline hyclate delayed-release tablets, 150 mg with a high fat meal (including milk) compared to fasted conditions. The clinical significance of these decreases is unknown. Doxycycline bioavailability from doxycycline hyclate delayed-release tablets, 200 mg was not affected by food, but the incidence of nausea was higher in fasted subjects. The 200 mg tablets may be administered without regard to meals.

When doxycycline hyclate delayed-release tablets are sprinkled over applesauce and taken with or without water, the extent of doxycycline absorption is unchanged, but the rate of absorption is increased slightly.

Tetracyclines are concentrated in bile by the liver and excreted in the urine and feces at high concentrations and in a biologically active form. Excretion of doxycycline by the kidney is about 40%/72 hours in individuals with a creatinine clearance of about 75 mL/min. This percentage may fall as low as 1-5%/72 hours in individuals with a creatinine clearance below 10 mL/min.

Studies have shown no significant difference in the serum half-life of doxycycline (range 18 to 22 hours) in individuals with normal and severely impaired renal function. Hemodialysis does not alter the serum half-life. 

5.1 Tooth Development

The use of drugs of the tetracycline-class during tooth development (last half of pregnancy, infancy and childhood to the age of 8 years) may cause permanent discoloration of the teeth (yellow-gray-brown). This adverse reaction is more common during long-term use of the drugs but it has been observed following repeated short-term courses. Enamel hypoplasia has also been reported. Use doxycycline hyclate delayed-release tablets in pediatric patients 8 years of age or less only when the potential benefits are expected to outweigh the risks in severe or life-threatening conditions (e.g., anthrax, Rocky Mountain spotted fever), particularly when there are no alternative therapies.

1 Indications and Usage

To reduce the development of drug-resistant bacteria and maintain the effectiveness of doxycycline hyclate delayed-release tablets and other antibacterial drugs, doxycycline hyclate delayed-release tablets should be used only to treat or prevent infections that are proven or strongly suspected to be caused by susceptible bacteria. When culture and susceptibility information are available, they should be considered in selecting or modifying antibacterial therapy. In the absence of such data, local epidemiology and susceptibility patterns may contribute to the empiric selection of therapy.

Doxycycline is a tetracycline-class antibacterial indicated in the following conditions or diseases:

5.7 Antianabolic Action

The antianabolic action of the tetracyclines may cause an increase in BUN. Studies to date indicate that this does not occur with the use of doxycycline in patients with impaired renal function. 

7.1 Anticoagulant Drugs

Because tetracyclines have been shown to depress plasma prothrombin activity, patients who are on anticoagulant therapy may require downward adjustment of their anticoagulant dosage.

7.4 Oral Contraceptives

Concurrent use of tetracycline may render oral contraceptives less effective.

12.1 Mechanism of Action

Doxycycline is an antibacterial drug [ see Microbiology ( 12.4) ].

5.6 Skeletal Development

All tetracyclines form a stable calcium complex in any bone-forming tissue. A decrease in fibula growth rate has been observed in prematures given oral tetracycline in doses of 25 mg/kg every six hours. This reaction was shown to be reversible when the drug was discontinued.

Results of animal studies indicate that tetracyclines cross the placenta, are found in fetal tissues, and can have toxic effects on the developing fetus (often related to retardation of skeletal development). Evidence of embryotoxicity also has been noted in animals treated early in pregnancy. If any tetracycline is used during pregnancy or if the patient becomes pregnant while taking these drugs, the patient should be apprised of the potential hazard to the fetus. 

1.5 Ophthalmic Infections

Trachoma caused by Chlamydia trachomatis, although the infectious agent is not always eliminated as judged by immunofluorescence.

Inclusion conjunctivitis caused by Chlamydia trachomatis

1.1 Rickettsial Infections

Rocky Mountain spotted fever, typhus fever and the typhus group, Q fever, rickettsialpox, and tick fevers caused by Rickettsiae

1.9 Prophylaxis of Malaria

Doxycycline is indicated for the prophylaxis of malaria due to Plasmodium falciparum in short-term travelers (less than 4 months) to areas with chloroquine and/or pyrimethamine-sulfadoxine resistant strains [ see Dosage and Administration ( 2.2) and Patient Counseling Information ( 17) ].

5 Warnings and Precautions
  • The use of drugs of the tetracycline-class during tooth development (last half of pregnancy, infancy and childhood to the age of 8 years) may cause permanent discoloration of the teeth (yellow-gray-brown). ( 2.2, 5.1)
  • Clostridium difficile-associated diarrhea (CDAD) has been reported: Evaluate patients if diarrhea occurs. ( 5.2)
  • Photosensitivity manifested by an exaggerated sunburn reaction has been observed in some individuals taking tetracyclines. Limit sun exposure. ( 5.3)
  • Overgrowth of non-susceptible organisms, including fungi, may occur. If such infections occur, discontinue use and institute appropriate therapy. ( 5.4)
2 Dosage and Administration
  • Adults: doxycycline hyclate delayed-release tablets
    • The usual dosage is 200 mg on the first day of treatment (administered 100 mg every 12 hours) followed by a maintenance dose of 100 mg daily. ( 2.1)
    • In the management of more severe infections (particularly chronic infections of the urinary tract), 100 mg every 12 hours is recommended. ( 2.1)
  • Pediatric Patients: doxycycline hyclate delayed-release tablets
    • For all pediatric patients weighing less than 45 kg with severe or life-threatening infections (e.g., anthrax, Rocky Mountain spotted fever), the recommended dose is 2.2 mg per kg of body weight administered every 12 hours. Pediatric patients weighing 45 kg or more should receive the adult dose. ( 2.3)
    • For pediatric patients with less severe disease (greater than 8 years of age and weighing less than 45 kg), the recommended dose is 4.4 mg per kg of body weight divided into two doses on the first day of treatment, followed by a maintenance dose of 2.2 mg per kg of body weight (given as a single daily dose or divided into two doses. For pediatric patients weighing over 45 kg, the usual adult dose should be used. ( 2.1)
3 Dosage Forms and Strengths

Doxycycline hyclate delayed-release tablets, USP, 150 mg are white, capsule shaped dual-scored tablets containing yellow pellets and debossed with “P | 0 | 1” on one face and plain on the other. Each tablet contains specially coated pellets of doxycycline hyclate equivalent to 150 mg of doxycycline.

Doxycycline hyclate delayed-release tablets, USP, 200 mg are white, oval scored tablets containing yellow pellets and debossed with “P0 | 02” on one face and plain on the other. Each tablet contains specially coated pellets of doxycycline hyclate equivalent to 200 mg of doxycycline.

6.2 Postmarketing Experience

The following adverse reactions have been identified during post-approval use of doxycycline. Because these reactions are reported voluntarily from a population of uncertain size, it is not always possible to reliably estimate a causal relationship to drug exposure.

Due to oral doxycycline’s virtually complete absorption, side effects to the lower bowel, particularly diarrhea, have been infrequent. The following adverse reactions have been observed in patients receiving tetracyclines:

Gastrointestinal: Anorexia, nausea, vomiting, diarrhea, glossitis, dysphagia, enterocolitis, and inflammatory lesions (with monilial overgrowth) in the anogenital region. Hepatotoxicity has been reported. These reactions have been caused by both the oral and parenteral administration of tetracyclines. Esophagitis and esophageal ulcerations have been reported in patients receiving capsule and tablet forms of drugs in the tetracycline-class. Most of these patients took medications immediately before going to bed [ see Dosage and Administration ( 2.1) ].

Skin: Maculopapular and erythematous rashes, Stevens-Johnson syndrome, toxic epidermal necrolysis, exfoliative dermatitis, and erythema multiforme have been reported. Photosensitivity is discussed above [ see Warnings and Precautions ( 5.3) ].

Renal: Rise in BUN has been reported and is apparently dose-related [ see Warnings and Precautions ( 5.7) ].

Hypersensitivity reactions: Urticaria, angioneurotic edema, anaphylaxis, anaphylactoid purpura, serum sickness, pericarditis, and exacerbation of systemic lupus erythematosus.

Blood: Hemolytic anemia, thrombocytopenia, neutropenia, and eosinophilia have been reported.

Intracranial Hypertension: Intracranial hypertension (IH, pseudotumor cerebri) has been associated with the use of tetracycline [ see Warnings and Precautions ( 5.5) ]

Thyroid Gland Changes: When given over prolonged periods, tetracyclines have been reported to produce brown-black microscopic discoloration of thyroid glands. No abnormalities of thyroid function are known to occur. 

5.5 Intracranial Hypertension

Intracranial hypertension (IH, pseudotumor cerebri) has been associated with the use of tetracycline including doxycycline hyclate delayed-release tablets. Clinical manifestations of IH include headache, blurred vision, diplopia, and vision loss; papilledema can be found on fundoscopy. Women of childbearing age who are overweight or have a history of IH are at greater risk for developing tetracycline associated IH. Avoid concomitant use of isotretinoin and doxycycline hyclate delayed-release tablets because isotretinoin is also known to cause pseudotumor cerebri.

IH typically resolves after discontinuation of treatment, the possibility for permanent visual loss exists. If visual disturbance occurs during treatment, prompt ophthalmologic evaluation is warranted. Since intracranial pressure can remain elevated for weeks after drug cessation patients should be monitored until they stabilize.

6.1 Clinical Trial Experience

The safety and efficacy of doxycycline hyclate delayed-release tablets, 200 mg as a single daily dose was evaluated in a multicenter, randomized, double-blind, active-controlled study. Doxycycline hyclate delayed-release tablets, 200 mg were given orally once-a-day for 7 days and compared to doxycycline hyclate capsules 100 mg given orally twice daily for 7 days for the treatment of men and women with uncomplicated urogenital C. trachomatis infection.

Adverse events in the Safety Population were reported by 99 (40.2%) subjects in the doxycycline hyclate delayed-release tablets, 200 mg treatment group and 132 (53.2%) subjects in the doxycycline hyclate capsules reference treatment group. Most AEs were mild in intensity. The most commonly reported adverse events in both treatment groups were nausea, vomiting, diarrhea, and bacterial vaginitis, Table 1.

Table 1: Adverse Reactions Reported in Greater than or Equal to 2% of Subjects
Doxycycline hyclate delayed-release tablets, 200 mg

N = 246
 Preferred Term n (%)
 Subjects with any AE 99 (40.2)
   Nausea 33 (13.4)
   Vomiting 20 (8.1)
   Headache 5 (2.0)
   Diarrhea 8 (3.3)
   Abdominal Pain Upper 5 (2.0)
   Vaginitis Bacterial 8 (3.3)
   Vulvovaginal Mycotic Infection 5 (2.0)

8 Use in Specific Populations
  • Tetracycline-class drugs can cause fetal harm when administered to a pregnant woman, but data for doxycycline are limited. ( 5.6, 8.1)
  • Tetracyclines are excreted in human milk; however, the extent of absorption of doxycycline in the breastfed infant is not known. Doxycycline use during nursing should be avoided if possible. ( 8.3)
Fda Approved Patient Labeling

D oxycycline hyclate delayed-release tablets, USP, 150 mg and 200 mg

Instructions for Breaking the 150 mg Doxycycline Hyclate Delayed-Release Dual-Scored Tablet

Your doctor may find it necessary to adjust your dosage of doxycycline hyclate delayed-release tabletsto obtain the proper treatment response. The tablet is marked with separation lines ( score lines) and may be broken at these score lines to provide any of the following doses.

If your doctor prescribed:

  • 150 mg treatment (take the entire table)

  • 100 mg treatment (take two thirds of the tablet or two 50 mg tablet segments)

  • 50 mg treatment (take one third of the tablet)

To break the tablet, hold the tablet between your thumbs and index fingers close to the appropriate score line. Then, with the score line facing you, apply enough pressure to snap the tablet segments apart (do not use segments that do not break along the score line).

2.2 for Prophylaxis of Malaria

For adults, the recommended dose is 100 mg daily. For children over 8 years of age, the recommended dose is 2 mg/kg given once daily up to the adult dose. Prophylaxis should begin 1 or 2 days before travel to the malarious area. Prophylaxis should be continued daily during travel in the malarious area and for 4 weeks after the traveler leaves the malarious area. 

1.3 Respiratory Tract Infections

Respiratory tract infections caused by Mycoplasma pneumoniae.

Psittacosis (ornithosis) caused by Chlamydophila psittaci.

Because many strains of the following groups of microorganisms have been shown to be resistant to doxycycline, culture and susceptibility testing are recommended.

Doxycycline is indicated for treatment of infections caused by the following microorganisms, when bacteriological testing indicates appropriate susceptibility to the drug:

Respiratory tract infections caused by Haemophilus influenzae.

Respiratory tract infections caused by Klebsiella species.

Upper respiratory infections caused by Streptococcus pneumoniae

1.4 Specific Bacterial Infections

Relapsing fever due to Borrelia recurrentis.

Plague due to Yersinia pestis.

Tularemia due to Francisella tularensis.

Cholera caused by Vibrio cholerae.

Campylobacter fetus infections caused by Campylobacter fetus.

Brucellosis due to Brucella species (in conjunction with streptomycin).

Bartonellosis due to Bartonella bacilliformis.

Because many strains of the following groups of microorganisms have been shown to be resistant to doxycycline, culture and susceptibility testing are recommended.

Doxycycline is indicated for treatment of infections caused by the following gram-negative microorganisms, when bacteriological testing indicates appropriate susceptibility to the drug:

Escherichia coli

Enterobacter aerogenes

Shigella species

Acinetobacter species

Urinary tract infections caused by Klebsiella species.

17 Patient Counseling Information

Patients taking doxycycline for malaria prophylaxis should be advised:

  • that no present-day antimalarial agent, including doxycycline, guarantees protection against malaria.
  • to avoid being bitten by mosquitoes by using personal protective measures that help avoid contact with mosquitoes, especially from dusk to dawn (for example, staying in well-screened areas, using mosquito nets, covering the body with clothing, and using an effective insect repellent).
  • that doxycycline prophylaxis:
  • should begin 1 to 2 days before travel to the malarious area,
  • should be continued daily while in the malarious area and after leaving the malarious area,
  • should be continued for 4 further weeks to avoid development of malaria after returning from an endemic area,
  • should not exceed 4 months.

All patients taking doxycycline should be advised:

  • to avoid excessive sunlight or artificial ultraviolet light while receiving doxycycline and to discontinue therapy if phototoxicity (for example, skin eruptions, etc.) occurs. Sunscreen or sunblock should be considered [ see Warnings and Precautions ( 5.3) ].
  • to drink fluids liberally along with doxycycline to reduce the risk of esophageal irritation and ulceration [ see Adverse Reactions ( 6.1) ].
  • that the absorption of tetracyclines is reduced when taken with foods, especially those that contain calcium. However, the absorption of doxycycline is not markedly influenced by simultaneous ingestion of food or milk [ see Drug Interactions ( 7.3) ].
  • that the absorption of tetracyclines is reduced when taken with antacids containing aluminum, calcium or magnesium, bismuth subsalicylate, and iron-containing preparations [ see Drug Interactions ( 7.3) ].
  • that the use of doxycycline might increase the incidence of vaginal candidiasis.

Diarrhea is a common problem caused by antibacterials which usually ends when the antibacterial is discontinued. Sometimes after starting treatment with antibacterials, patients can develop watery and bloody stools (with or without stomach cramps and fever) even as late as two or more months after having taken the last dose of antibacterial. If this occurs, patients should contact their physician as soon as possible.

Patients should be counseled that antibacterial drugs including doxycycline hyclate delayed-release tablets should only be used to treat bacterial infections. They do not treat viral infections (for example, the common cold). When doxycycline hyclate delayed-release tablets are prescribed to treat a bacterial infection, patients should be told that although it is common to feel better early in the course of therapy, the medication should be taken exactly as directed. Skipping doses or not completing the full course of therapy may (1) decrease the effectiveness of the immediate treatment and (2) increase the likelihood that bacteria will develop resistance and will not be treatable by doxycycline hyclate delayed-release tablets or other antibacterial drugs in the future.

7.3 Antacids and Iron Preparations

Absorption of tetracyclines is impaired by antacids containing aluminum, calcium, or magnesium, bismuth subsalicylate, and iron-containing preparations.

1.2 Sexually Transmitted Infections

Uncomplicated urethral, endocervical or rectal infections caused by Chlamydia trachomatis.

Nongonococcal urethritis caused by Ureaplasma urealyticum.

Lymphogranuloma venereum caused by Chlamydia trachomatis.

Granuloma inguinale caused by Klebsiella granulomatis.

Uncomplicated gonorrhea caused by Neisseria gonorrhoeae.

Chancroid caused by Haemophilus ducreyi

2.1 Usual Dosage and Administration

The usual dosage and frequency of administration of doxycycline differs from that of the other tetracyclines. Exceeding the recommended dosage may result in an increased incidence of side effects.

Adults:

  • The usual dose of oral doxycycline is 200 mg on the first day of treatment (administered 100 mg every 12 hours), followed by a maintenance dose of 100 mg daily.
  • The maintenance dose may be administered as a single dose or as 50 mg every 12 hours. In the management of more severe infections (particularly chronic infections of the urinary tract), 100 mg every 12 hours is recommended.
  • Pediatric patients:
  • For all pediatric patients weighing less than 45 kg with severe or life threatening infections (e.g., anthrax, Rocky Mountain spotted fever), the recommended dosage of doxycycline is 2.2 mg per kg of body weight administered every 12 hours. Pediatric patients weighing 45 kg or more should receive the adult dose [ see Warnings and Precautions ( 5.1) ].
  • For pediatric patients with less severe disease (greater than 8 years of age and weighing less than 45 kg), the recommended dosage schedule of doxycycline is 4.4 mg per kg of body weight divided into two doses on the first day of treatment, followed by a maintenance dose of 2.2 mg per kg of body weight (given as a single daily dose or divided into twice daily doses). For pediatric patients weighing over 45 kg, the usual adult dose should be used.

Administration of adequate amounts of fluid along with capsule and tablet forms of drugs in the tetracycline-class is recommended to wash down the drugs and reduce the risk of esophageal irritation and ulceration [ see Adverse Reactions ( 6.1) ].

If gastric irritation occurs, doxycycline may be given with food or milk [ see Clinical Pharmacology ( 12) ].

When used in streptococcal infections, therapy should be continued for 10 days.

Uncomplicated urethral, endocervical, or rectal infection caused by Chlamydia trachomatis: 100 mg by mouth twice a day for 7 days. As an alternate dosing regimen for uncomplicated urethral or endocervical infection caused by Chlamydia trachomatis, administer 200 mg by mouth once-a-day for 7 days.

Uncomplicated gonococcal infections in adults (except anorectal infections in men): 100 mg, by mouth, twice-a-day for 7 days. As an alternate single visit dose, administer 300 mg stat followed in one hour by a second 300 mg dose.

Nongonococcal urethritis (NGU) caused by U. urealyticum: 100 mg by mouth twice-a-day for 7 days.

Syphilis – early: Patients who are allergic to penicillin should be treated with doxycycline 100 mg by mouth twice-a-day for 2 weeks.

Syphilis of more than one year’s duration: Patients who are allergic to penicillin should be treated with doxycycline 100 mg by mouth twice-a-day for 4 weeks.

Acute epididymo-orchitis caused by C. trachomatis: 100 mg, by mouth, twice-a-day for at least 10 days. 

16 How Supplied/storage and Handling

Doxycycline hyclate delayed-release tablets, USP, 150 mg are white, capsule shaped dual-scored tablets containing yellow pellets and debossed with “P | 0 | 1” on one face and plain on the other. Each tablet contains specially coated pellets of doxycycline hyclate equivalent to 150 mg of doxycycline.

Bottles of 30 tablets: NDC 69668-515-30

Store at 20 - 25°C (68 - 77°F); excursions permitted to 15 - 30°C (59 - 86°F) [see USP Controlled Room Temperature]. Dispense in a tight, light-resistant container (USP).

7.5 Barbiturates and Anti Epileptics

Barbiturates, carbamazepine, and phenytoin decrease the half-life of doxycycline. 

7.7 Drug/laboratory Test Interactions

False elevations of urinary catecholamines may occur due to interference with the fluorescence test.

2.3 Inhalation Anthrax (post Exposure)

Adults: 100 mg, of doxycycline, by mouth, twice-a-day for 60 days.

Children: weighing less than 45 kg, 2.2 mg/kg of body weight, by mouth, twice-a-day for 60 days. Children weighing 45 kg or more should receive the adult dose.

2.4 Sprinkling the Tablet Over Applesauce

Doxycycline hyclate delayed-release tablets may also be administered by carefully breaking up the tablet and sprinkling the tablet contents (delayed-release pellets) on a spoonful of applesauce. The delayed-release pellets must not be crushed or damaged when breaking up the tablet. Any loss of pellets in the transfer would prevent using the dose. The applesauce/doxycycline hyclate delayed-release tablets mixture should be swallowed immediately without chewing and may be followed by a glass of water if desired. The applesauce should not be hot, and it should be soft enough to be swallowed without chewing. In the event that a prepared dose of applesauce/doxycycline hyclate delayed-release tablets cannot be taken immediately, the mixture should be discarded and not stored for later use.

13.2 Animal Toxicology And/or Pharmacology

Hyperpigmentation of the thyroid has been produced by members of the tetracycline-class in the following species: in rats by oxytetracycline, doxycycline, tetracycline PO 4, and methacycline; in minipigs by doxycycline, minocycline, tetracycline PO 4, and methacycline; in dogs by doxycycline and minocycline; in monkeys by minocycline.

Minocycline, tetracycline PO 4, methacycline, doxycycline, tetracycline base, oxytetracycline HCl, and tetracycline HCl, were goitrogenic in rats fed a low iodine diet. This goitrogenic effect was accompanied by high radioactive iodine uptake. Administration of minocycline also produced a large goiter with high radioiodine uptake in rats fed a relatively high iodine diet.

Treatment of various animal species with this class of drugs has also resulted in the induction of thyroid hyperplasia in the following: in rats and dogs (minocycline); in chickens (chlortetracycline); and in rats and mice (oxytetracycline). Adrenal gland hyperplasia has been observed in goats and rats treated with oxytetracycline.

Results of animal studies indicate that tetracyclines cross the placenta and are found in fetal tissues.

5.9 Development of Drug Resistant Bacteria

Prescribing doxycycline hyclate delayed-release tablets in the absence of a proven or strongly suspected bacterial infection or a prophylactic indication is unlikely to provide benefit to the patient and increases the risk of the development of drug-resistant bacteria. 

5.2 Clostridium Difficile Associated Diarrhea

Clostridium difficile associated diarrhea (CDAD) has been reported with use of nearly all antibacterial agents, including doxycycline hyclate delayed-release tablets, and may range in severity from mild diarrhea to fatal colitis. Treatment with antibacterial agents alters the normal flora of the colon leading to overgrowth of C. difficile.

C. difficile produces toxins A and B which contribute to the development of CDAD. Hypertoxin producing strains of C. difficile cause increased morbidity and mortality, as these infections can be refractory to antimicrobial therapy and may require colectomy. CDAD must be considered in all patients who present with diarrhea following antibacterial use. Careful medical history is necessary since CDAD has been reported to occur over two months after the administration of antibacterial agents.

If CDAD is suspected or confirmed, ongoing antibacterial use not directed against C. difficile may need to be discontinued. Appropriate fluid and electrolyte management, protein supplementation, antibacterial treatment of C. difficile , and surgical evaluation should be instituted as clinically indicated. 

5.10 Laboratory Monitoring for Long Term Therapy

In long-term therapy, periodic laboratory evaluation of organ systems, including hematopoietic, renal, and hepatic studies should be performed. 

13.1 Carcinogenesis, Mutagenesis, Impairment of Fertility

Long-term studies in animals to evaluate carcinogenic potential of doxycycline have not been conducted. However, there has been evidence of oncogenic activity in rats in studies with the related antibacterials, oxytetracycline (adrenal and pituitary tumors) and minocycline (thyroid tumors). Likewise, although mutagenicity studies of doxycycline have not been conducted, positive results in in vitro mammalian cell assays have been reported for related antibacterials (tetracycline, oxytetracycline).

Doxycycline administered orally at dosage levels as high as 250 mg/kg/day had no apparent effect on the fertility of female rats. Effect on male fertility has not been studied. 

1.6 Anthrax, Including Inhalational Anthrax (post Exposure)

Anthrax due  to Bacillus anthracis, including inhalational anthrax (post-exposure): to reduce the incidence or progression of disease following exposure to aerosolized Bacillus anthracis.

1.8 Adjunctive Therapy for Acute Intestinal Amebiasis and Severe Acne

In acute intestinal amebiasis, doxycycline may be a useful adjunct to amebicides.

In severe acne, doxycycline may be useful adjunctive therapy. 

1.7 Alternative Treatment for Selected Infections When Penicillin Is Contraindicated

When penicillin is contraindicated, doxycycline is an alternative drug in the treatment of the following infections:

Syphilis caused by Treponema pallidum.

Yaws caused by Treponema pallidum subspecies pertenue.

Vincent’s infection caused by Fusobacterium fusiforme.

Actinomycosis caused by Actinomyces israelii.

Infections caused by Clostridium species. 

17.1 Instructions for Breaking the 150 Mg Doxycycline Hyclate Delayed Release Dual Scored Tablet

The tablet is marked with separation lines ( score lines) and may be broken at these score lines to provide any of the following doses.

  • 150 mg treatment (the entire tablet is taken)

  • 100 mg treatment (two thirds of the tablet or two 50 mg tablet segments are taken)

  • 50 mg treatment (one third of the tablet is taken)

To break the tablet, the tablet is held between the thumbs and index fingers close to the appropriate score line. Then, with the score line facing the patient, enough pressure is applied to snap the tablet segments apart (segments that do not break along the score line should not be used).


Structured Label Content

Section 42229-5 (42229-5)

Manufactured for:

Solco Healthcare US, LLC

Cranbury, NJ 08512, USA

Manufactured by:

Zhejiang Huahai Pharmaceutical Co., Ltd.

Xunqiao, Linhai, Zhejiang 317024, China

Revised: 10/2016

17431-01

Section 43683-2 (43683-2)

Section 51945-4 (51945-4)

NDC 69668-515-30 Rx Only

Doxycycline Hyclate

Delayed-Release

Tablets, USP

150 mg

Do not chew or crush tablets.

30 Tablets

5.8 Malaria

Doxycycline offers substantial but not complete suppression of the asexual blood stages of Plasmodium strains.

Doxycycline does not suppress P. falciparum’s sexual blood stage gametocytes. Subjects completing this prophylactic regimen may still transmit the infection to mosquitoes outside endemic areas. 

10 Overdosage (10 OVERDOSAGE)

In case of overdosage, discontinue medication, treat symptomatically and institute supportive measures. Dialysis does not alter serum half-life and thus would not be of benefit in treating cases of overdosage.

15 References (15 REFERENCES)
  • Friedman JM, Polifka JE. Teratogenic Effects of Drugs. A Resource for Clinicians (TERIS). Baltimore, MD: The Johns Hopkins University Press: 2000: 149-195.
  • Cziezel AE and Rockenbauer M. Teratogenic study of doxycycline. Obstet Gynecol 1997; 89: 524-528.
  • Horne HW Jr. and Kundsin RB. The role of mycoplasma among 81 consecutive pregnancies: a prospective study. Int J Fertil 1980; 25: 315-317.
  • Hale T. Medications and Mothers Milk. 9 th edition. Amarillo, TX: Pharmasoft Publishing 2000; 225-226.
  • Clinical and Laboratory Standards Institute (CLSI). Performance Standards for Antimicrobial Susceptibility Testing; Twenty-fourth Informational Supplement, CLSI document M100-S24. Clinical Laboratory Standards Institute, 950 West Valley Road, Suite 2500, Wayne Pennsylvania 19087, USA, 2014.
  • Clinical and Laboratory Standards Institute (CLSI). Methods for Dilution Antimicrobial Susceptibility Tests for Bacteria that Grow Aerobically; Approved Standard – Ninth Edition. CLSI document M07-A9, Clinical Laboratory Standards Institute, 950 West Valley Road, Suite 2500, Wayne Pennsylvania 19087, USA, 2012.
  • Clinical and Laboratory Standards Institute (CLSI). Performance Standards for Antimicrobial Disk Diffusion Susceptibility Tests; Approved Standard – Eleventh Edition. CLSI document M02-A11, Clinical Laboratory Standards Institute, 950 West Valley Road, Suite 2500, Wayne Pennsylvania 19087, USA, 2012.
  • Clinical and Laboratory Standards Institute (CLSI). Methods for Antimicrobial Dilution and Disk Susceptibility Testing of Infrequently Isolated or Fastidious Bacteria; Approved Guideline – Second Edition CLSI document M45-A2, Clinical Laboratory Standards Institute, 950 West Valley Road, Suite 2500, Wayne Pennsylvania 19087, USA, 2010.
  • Clinical and Laboratory Standards Institute (CLSI). Methods for Antimicrobial Susceptibility Testing of Anaerobic Bacteria; Approved Standard – Eighth Edition. CLSI document M11-A8, Clinical Laboratory Standards Institute, 950 West Valley Road, Suite 2500, Wayne Pennsylvania 19087, USA, 2012.
  • Clinical and Laboratory Standards Institute (CLSI). Methods for Mycobacteria, Nocardiae, and Other Aerobic Actinomycetes; Approved Standard – Second Edition. CLSI document M24-A2, Clinical Laboratory Standards Institute, 950 West Valley Road, Suite 2500, Wayne Pennsylvania 19087, USA, 2011.
  • Clinical and Laboratory Standards Institute (CLSI). Methods for Antimicrobial Susceptibility Testing for Human Mycoplasmas; Approved Guideline. CLSI document M43-A, Clinical Laboratory Standards Institute, 950 West Valley Road, Suite 2500, Wayne Pennsylvania 19087, USA, 2011. 
7.6 Penthrane

The concurrent use of tetracycline and Penthrane ® (methoxyflurane) has been reported to result in fatal renal toxicity.

8.1 Pregnancy

Teratogenic Effects. Pregnancy Category D:

There are no adequate and well-controlled studies on the use of doxycycline in pregnant women. The vast majority of reported experience with doxycycline during human pregnancy is short-term, first trimester exposure. There are no human data available to assess the effects of long-term therapy of doxycycline in pregnant women such as that proposed for the treatment of anthrax exposure. An expert review of published data on experiences with doxycycline use during pregnancy by TERIS - the Teratogen Information System - concluded that therapeutic doses during pregnancy are unlikely to pose a substantial teratogenic risk (the quantity and quality of data were assessed as limited to fair), but the data are insufficient to state that there is no risk. 1

A case-control study (18,515 mothers of infants with congenital anomalies and 32,804 mothers of infants with no congenital anomalies) shows a weak but marginally statistically significant association with total malformations and use of doxycycline anytime during pregnancy. Sixty-three (0.19%) of the controls and 56 (0.30%) of the cases were treated with doxycycline. This association was not seen when the analysis was confined to maternal treatment during the period of organogenesis (that is, in the second and third months of gestation), with the exception of a marginal relationship with neural tube defect based on only two-exposed cases. 2

A small prospective study of 81 pregnancies describes 43 pregnant women treated for 10 days with doxycycline during early first trimester. All mothers reported their exposed infants were normal at 1 year of age. 3

Nonteratogenic effects: [ see Warnings and Precautions ( 5.1, 5.6) ].

11 Description (11 DESCRIPTION)

Doxycycline hyclate delayed-release tablets, for oral administration, contain specially coated pellets of doxycycline hyclate, USP, a broad-spectrum antibacterial synthetically derived from oxytetracycline, in a delayed-release formulation for oral administration.

The structural formula for doxycycline hyclate is:

with a molecular formula of C 22H 24N 2O 8, HCl, ½ C 2H 6O, ½ H 2O and a molecular weight of 512.9. The chemical designation for doxycycline hyclate is [4S(4aR,5S,5aR,6R,12aS)]-4-(dimethylamino)-1,4,4a,5,5a,6,11,12a-octahydro-3,5,10,12,12a-pentahydroxy-6-methyl-1,11-deoxonapthtacene-2-carboxamide monohydrochloride, compound with ethyl alcohol (2:1), monohydrate. Doxycycline hyclate is a yellow crystalline powder soluble in water and in solutions of alkali hydroxides and carbonates. Doxycycline has a high degree of lipid solubility and a low affinity for calcium binding. It is highly stable in normal human serum. Doxycycline will not degrade into an epianhydro form. Inactive ingredients in the tablet formulation are: lactose monohydrate; microcrystalline cellulose; sodium lauryl sulfate; sodium chloride; talc; crospovidone; magnesium stearate; povidone; hypromellose phthalate; hypromellose; triethyl citrate; mannitol.

Meets USP Dissolution Test 3.

7.2 Penicillin

Since bacteriostatic drugs may interfere with the bactericidal action of penicillin, it is advisable to avoid giving tetracyclines in conjunction with penicillin. 

12.4 Microbiology

Mechanism of Action

Doxycycline inhibits bacterial protein synthesis by binding to the 30S ribosomal subunit. Doxycycline has bacteriostatic activity against a broad range of Gram-positive and Gram-negative bacteria. Cross-resistance between tetracyclines is common.

Doxycycline has been shown to be active against most isolates of the following microorganisms, both in vitro and in clinical infections as described in the INDICATIONS AND USAGE section of the package insert for doxycycline hyclate delayed-release tablets [ see Indications and Usage ( 1) ].

Gram-Negative Bacteria

Acinetobacter species

Bartonella bacilliformis

Brucella species

Campylobacter fetus

Enterobacter aerogenes

Escherichia coli

Francisella tularensis

Haemophilus ducreyi

Haemophilus influenzae

Klebsiella granulomatis

Klebsiella species

Neisseria gonorrhoeae

Shigella species

Vibrio cholerae

Yersinia pestis

Gram-Positive Bacteria

Bacillus anthracis

Streptococcus pneumoniae

Anerobic Bacteria

Clostridium species

Fusobacterium fusiforme

Propionibacterium acnes

Other Bacteria

Borrelia recurrentis

Chlamydophila psittaci

Chlamydia trachomatis

Mycoplasma pneumoniae

Norcardiae and other aerobic Actinomyces species

Rickettsiae

Treponema pallidum

Treponema pallidum subspecies pertenue

Ureaplasma urealyticum

Parasites

Balantidium coli

Entamoeba species

Plasmodium falciparum*

*Doxycycline has been found to be active against the asexual erythrocytic forms of Plasmodium falciparum but not against the gametocytes of P. falciparum. The precise mechanism of action of the drug is not known.

Susceptibility Test Methods

When available, the clinical microbiology laboratory should provide the results of in vitro susceptibility test results for antimicrobial drugs used in resident hospitals to the physician as periodic reports that describe the susceptibility profile of nosocomial and community-acquired pathogens. These reports should aid the physician in selecting the most effective antimicrobial.

Dilution Techniques

Quantitative methods are used to determine antimicrobial minimum inhibitory concentrations (MICs). These MICs provide estimates of the susceptibility of bacteria to antimicrobial compounds. The MICs should be determined using a standardized test method (broth and/or agar) 5, 6, 8. The MIC values should be interpreted according to the criteria provided in Table 2.

Diffusion Techniques

Quantitative methods that require measurement of zone diameters can also provide reproducible estimates of the susceptibility of bacteria to antimicrobial compounds. Zone size provides an estimate of the susceptibility of bacteria to antimicrobial compounds. The zone size should be determined using a standard test method 5, 7, 8. This procedure uses paper disks impregnated with 30 mcg doxycycline to test the susceptibility of bacteria to doxycycline. The disk diffusion interpretive criteria are provided in Table 2.

Anaerobic Techniques

For anaerobic bacteria, the susceptibility to doxycycline can be determined by a standardized test method 9. The MIC values obtained should be interpreted according to the criteria provided in Table 2.

Table 2: Susceptibility Test Interpretive Criteria for Doxycycline and Tetracycline
Bacteria a  Minimal Inhibitory Concentration

(mcg/mL)
 Zone

Diameter

(mm)
 Agar

Dilution

(mcg/mL)
a Organisms susceptible to tetracycline are also considered susceptible to doxycycline. However, some organisms that are intermediate or resistant to tetracycline may be susceptible to doxycycline.
b The current absence of resistance isolates precludes defining any results other than "Susceptible". If isolates yielding MIC results other than susceptible, they should be submitted to a reference laboratory for further testing.
c Gonococci with 30 mcg tetracycline disk zone diameters of less than 19 mm usually indicate a plasmid-mediated tetracycline resistant Neisseria gonorrhoeae isolate. Resistance in these strains should be confirmed by a dilution test (MIC greater than or equal to 16 mcg/mL).  
 S I R      S               I                R                S               I               R        

 Acinetobacter spp.

   Doxycycline

   Tetracycline

4

4

8

8

16

16

13

15

10-12

12-14

9

11

-

-

-

-

-

-

 Anaerobes

   Tetracycline

- - - - - - 4 8  16 

 Bacillus anthracis b

   Doxycycline

   Tetracycline

1

1

-

-

-

-

-

-

-

-

-

-

-

-

-

-

-

-

 Brucella species b

   Doxycycline

   Tetracycline

1

1

-

-

-

-

-

-

-

-

-

-

-

-

-

-

-

-

 Enterobacteriaceae

   Doxycycline

   Tetracycline

4

4

8

8

> 16

> 16

14

15

11-13

12-14

< 10

< 11
-

-
-

-
-

-

 Franciscella tularensis b

   Doxycycline

   Tetracycline

4

4

-

-
-

-
-

-
-

-
-

-
-

-
-

-
-

-

 Haemophilus influenzae

   Tetracycline

2 4 8 29 26-28 < 25 - - -

 Mycoplasma pneumoniae b

   Tetracycline

- - - - - < 2 - -

 Nocardiae and other aerobic  Actinomyces species ab

   Doxycycline

1 2-4 8 - - - - - -

 Neisseria gonorrhoeae c

   Tetracycline

- - - >38 31-37 30 0.25 0.5-1 2

 Streptococcus pneumoniae

   Tetracycline

   Doxycycline

0.25

1

0.5

2

1

4

> 28

> 28

25-27

25-27

24

24

-

-
-

-
-

-

 Vibrio cholerae

   Doxycycline

   Tetracycline

4

4

8

8

16

16

-

-
-

-
-

-
-

-
-

-
-

-

   Yersinia pestis

   Doxycycline

   Tetracycline

4

4

8

8

16

16

-

-
-

-
-

-
-

-
-

-
-

-

 Ureaplasma urealyticum

   Tetracycline

- - - - - - 1 - 2

A report of Susceptible (S) indicates that the antimicrobial drug is likely to inhibit growth of the pathogen if the antimicrobial drug reaches the concentrations usually achievable at the site of infection. A report of Intermediate (I) indicates that the result should be considered equivocal, and, if the bacteria is not fully susceptible to alternative, clinically feasible drugs, the test should be repeated. This category implies possible clinical applicability in body sites where the drug is physiologically concentrated or in situations where high dosage of drug can be used. This category also provides a buffer zone that prevents small uncontrolled technical factors from causing major discrepancies in interpretation. A report of Resistant (R) indicates that the antimicrobial is not likely to inhibit growth of the pathogen if the antimicrobial drug reaches the concentrations usually achievable at the infection site; other therapy should be selected.

Quality Control

Standardized susceptibility test procedures require the use of laboratory controls to monitor and ensure the accuracy and precision of the supplies and reagents used in the assay, and the techniques of the individuals performing the test 5,6,7,8,9,10,11. Standard doxycycline and tetracycline powders should provide the following range of MIC values noted in Table 3. For the diffusion technique using the 30 mcg doxycycline disk the criteria noted in Table 3 should be achieved.

Table 3: Acceptable Quality Control Ranges for Susceptiblity Testing for Doxycycline and Tetracycline
QC Strain

Minimal  Inhibitory

Concentration

(mcg/mL)

Zone

Diameter

(mm)

Agar

Dilution

(mcg/mL)

 Enterococcus faecalis ATCC 29212

   Doxycycline

   Tetracycline

2-8

8-32

-

-

-

-

Escherichia coli ATCC 25922

   Doxycycline

   Tetracycline

0.5-2

0.5-2

18-24

18-25

-

-

Eubacteria  lentum ATCC 43055

   Doxycycline

2-16

Haemophilus influenzae ATCC 49247

   Tetracycline

4-32 14-22 -

 Neisseria gonorrhoeae ATCC 49226

   Tetracycline

- 30-42 0.25 - 1

Staphylococcus aureus ATCC 25923

   Doxycycline

   Tetracycline

-

-

23-29

24-30

-

-

 Staphylococcus aureus ATCC 29213

   Doxycycline

   Tetracycline

0.12-0.5

0.12-1

-

-

 Streptococcus pneumoniae ATCC 49619

   Doxycycline

   Tetracycline 

0.015-0.12

0.06-0.5

25-34

27-31

-

-

Bacteroides fragilis ATCC 25285

   Tetracycline

  -   - 0.125-0.5

Bacteroides thetaiotaomicron ATCC 29741

   Doxycycline

   Tetracycline

2-8

-

-

-

-

8-32

Mycoplasma pneumoniae ATCC 29342

   Tetracycline

0.06-0.5   - 0.06-0.5

Ureaplasma urealyticum ATCC 33175

   Tetracycline

-   - ≥8

8.4 Pediatric Use

Because of the effects of drugs of the tetracycline-class on tooth development and growth, use doxycycline hyclate delayed-release tablets in pediatric patients 8 years of age or less only when the potential benefits are expected to outweigh the risks in severe or life-threatening conditions (e.g., anthrax, Rocky Mountain spotted fever), particularly, when there are no alternative therapies doxycycline hyclate delayed-release tablets [ see Warnings and Precautions ( 5.1, 5.6) and Dosage and Administration ( 2.1, 2.3) ].

8.5 Geriatric Use

Clinical studies of doxycycline hyclate delayed-release tablets did not include sufficient numbers of subjects aged 65 and over to determine whether they respond differently from younger subjects. Other reported clinical experience has not identified differences in responses between the elderly and younger patients.

Doxycycline hyclate delayed-release 150 mg tablets contain 9 mg (0.392 mEq) of sodium.

Doxycycline hyclate delayed-release 200 mg tablets contain 12 mg (0.522 mEq) of sodium.

5.4 Superinfection

As with other antibacterial preparations, use of doxycycline hyclate delayed-release tablets may result in overgrowth of non-susceptible organisms, including fungi. If superinfection occurs, the antibacterial should be discontinued and appropriate therapy instituted. 

14 Clinical Studies (14 CLINICAL STUDIES)

This was a randomized, double-blind, active-controlled, multicenter trial which enrolled 495 subjects, between 19 to 45 years of age with a confirmed diagnosis of urogenital C. trachomatis infection less than 14 days prior to enrollment, or partner(s) of a subject with a known positive test for urogenital C. trachomatis infection.

The primary purpose of this study was to evaluate the efficacy and safety of doxycycline hyclate delayed-release tablets, 200 mg once daily versus doxycycline hyclate capsules, 100 mg twice daily for seven days for the treatment of uncomplicated urogenital C. trachomatis infection. The primary efficacy objective was to demonstrate non-inferiority of the doxycycline hyclate delayed-release tablets, 200 mg once daily treatment regimen versus the doxycycline 100 mg twice daily treatment regimen for the indication using a negative nucleic acid amplification test (NAAT) at the test of cure visit (day 28) in the mITT population (subjects who were positive at baseline and took at least one day of study drug).

Table 4: Primary Efficacy Outcome - Microbiological Cure of C. trachomatis at Day 28                       
mITT Population

Doxycycline

hyclate

delayed-release

tablets, 200 mg

once daily Cure

Rate (%)

Doxycycline

hyclate capsules,

100 mg twice daily

Cure Rate (%)

Difference

(%)

N 188 190
Microbiological Cure, n (%) 163 (86.7) 171 (90.0) -3.3%
95% Confidence Interval for Cure Rate -10.3, 3.7

4 Contraindications (4 CONTRAINDICATIONS)

The drug is contraindicated in persons who have shown hypersensitivity to any of the tetracyclines. 

6 Adverse Reactions (6 ADVERSE REACTIONS)

Adverse reactions observed in patients receiving tetracyclines include anorexia, nausea, vomiting, diarrhea, rash, photosensitivity, urticaria, and hemolytic anemia. ( 6)

To report SUSPECTED ADVERSE REACTIONS, contact Solco Healthcare LLC at 1-866-257-2597 or FDA at 1-800-FDA-1088 or www.fda.gov/medwatch .

7 Drug Interactions (7 DRUG INTERACTIONS)
  • Patients who are on anticoagulant therapy may require downward adjustment of their anticoagulant dosage ( 7.1)
  • Avoid co-administration of tetracyclines with penicillin ( 7.2)
  • Absorption of tetracyclines, including doxycycline hyclate delayed-release tablets, is impaired by antacids containing aluminum, calcium, or magnesium, bismuth subsalicylate and iron-containing preparations ( 7.3)
  • Concurrent use of tetracyclines, including doxycycline hyclate delayed-release tablets, may render oral contraceptives less effective ( 7.4)
  • Barbiturates, carbamazepine and phenytoin decrease the half-life of doxycycline ( 7.5)
8.3 Nursing Mothers

Tetracyclines are excreted in human milk, however, the extent of absorption of tetracyclines including doxycycline, by the breastfed infant is not known. Short-term use by lactating women is not necessarily contraindicated. The effects of prolonged exposure to doxycycline in breast milk are unknown 4. Because of the potential for serious adverse reactions in nursing infants from doxycycline, a decision should be made whether to discontinue nursing or to discontinue the drug, taking into account the importance of the drug to the mother [ see Warnings and Precautions ( 5.1, 5.6) ].

5.3 Photosensitivity

Photosensitivity manifested by an exaggerated sunburn reaction has been observed in some individuals taking tetracyclines. Patients apt to be exposed to direct sunlight or ultraviolet light should be advised that this reaction can occur with tetracycline drugs, and treatment should be discontinued at the first evidence of skin erythema. 

12.3 Pharmacokinetics

Doxycycline is virtually completely absorbed after oral administration. Following single and multiple-dose administration of doxycycline hyclate delayed-release tablets, 200 mg to adult volunteers, average peak plasma doxycycline concentration (C max) was 4.6 mcg/mL and 6.3 mcg/mL, respectively with median t max of 3 hours; the corresponding mean plasma concentration values 24 hours after single and multiple doses were 1.5 mcg/mL and 2.3 mcg/mL, respectively. The mean C max and AUC 0-∞ of doxycycline are 24% and 13% lower, respectively, following single dose administration of doxycycline hyclate delayed-release tablets, 100 mg with a high fat meal (including milk) compared to fasted conditions. The mean C max of doxycycline is 19% lower and the AUC 0-∞ is unchanged following single dose administration of doxycycline hyclate delayed-release tablets, 150 mg with a high fat meal (including milk) compared to fasted conditions. The clinical significance of these decreases is unknown. Doxycycline bioavailability from doxycycline hyclate delayed-release tablets, 200 mg was not affected by food, but the incidence of nausea was higher in fasted subjects. The 200 mg tablets may be administered without regard to meals.

When doxycycline hyclate delayed-release tablets are sprinkled over applesauce and taken with or without water, the extent of doxycycline absorption is unchanged, but the rate of absorption is increased slightly.

Tetracyclines are concentrated in bile by the liver and excreted in the urine and feces at high concentrations and in a biologically active form. Excretion of doxycycline by the kidney is about 40%/72 hours in individuals with a creatinine clearance of about 75 mL/min. This percentage may fall as low as 1-5%/72 hours in individuals with a creatinine clearance below 10 mL/min.

Studies have shown no significant difference in the serum half-life of doxycycline (range 18 to 22 hours) in individuals with normal and severely impaired renal function. Hemodialysis does not alter the serum half-life. 

5.1 Tooth Development

The use of drugs of the tetracycline-class during tooth development (last half of pregnancy, infancy and childhood to the age of 8 years) may cause permanent discoloration of the teeth (yellow-gray-brown). This adverse reaction is more common during long-term use of the drugs but it has been observed following repeated short-term courses. Enamel hypoplasia has also been reported. Use doxycycline hyclate delayed-release tablets in pediatric patients 8 years of age or less only when the potential benefits are expected to outweigh the risks in severe or life-threatening conditions (e.g., anthrax, Rocky Mountain spotted fever), particularly when there are no alternative therapies.

1 Indications and Usage (1 INDICATIONS AND USAGE)

To reduce the development of drug-resistant bacteria and maintain the effectiveness of doxycycline hyclate delayed-release tablets and other antibacterial drugs, doxycycline hyclate delayed-release tablets should be used only to treat or prevent infections that are proven or strongly suspected to be caused by susceptible bacteria. When culture and susceptibility information are available, they should be considered in selecting or modifying antibacterial therapy. In the absence of such data, local epidemiology and susceptibility patterns may contribute to the empiric selection of therapy.

Doxycycline is a tetracycline-class antibacterial indicated in the following conditions or diseases:

5.7 Antianabolic Action

The antianabolic action of the tetracyclines may cause an increase in BUN. Studies to date indicate that this does not occur with the use of doxycycline in patients with impaired renal function. 

7.1 Anticoagulant Drugs

Because tetracyclines have been shown to depress plasma prothrombin activity, patients who are on anticoagulant therapy may require downward adjustment of their anticoagulant dosage.

7.4 Oral Contraceptives

Concurrent use of tetracycline may render oral contraceptives less effective.

12.1 Mechanism of Action

Doxycycline is an antibacterial drug [ see Microbiology ( 12.4) ].

5.6 Skeletal Development

All tetracyclines form a stable calcium complex in any bone-forming tissue. A decrease in fibula growth rate has been observed in prematures given oral tetracycline in doses of 25 mg/kg every six hours. This reaction was shown to be reversible when the drug was discontinued.

Results of animal studies indicate that tetracyclines cross the placenta, are found in fetal tissues, and can have toxic effects on the developing fetus (often related to retardation of skeletal development). Evidence of embryotoxicity also has been noted in animals treated early in pregnancy. If any tetracycline is used during pregnancy or if the patient becomes pregnant while taking these drugs, the patient should be apprised of the potential hazard to the fetus. 

1.5 Ophthalmic Infections (1.5 Ophthalmic infections)

Trachoma caused by Chlamydia trachomatis, although the infectious agent is not always eliminated as judged by immunofluorescence.

Inclusion conjunctivitis caused by Chlamydia trachomatis

1.1 Rickettsial Infections (1.1 Rickettsial infections)

Rocky Mountain spotted fever, typhus fever and the typhus group, Q fever, rickettsialpox, and tick fevers caused by Rickettsiae

1.9 Prophylaxis of Malaria (1.9 Prophylaxis of malaria)

Doxycycline is indicated for the prophylaxis of malaria due to Plasmodium falciparum in short-term travelers (less than 4 months) to areas with chloroquine and/or pyrimethamine-sulfadoxine resistant strains [ see Dosage and Administration ( 2.2) and Patient Counseling Information ( 17) ].

5 Warnings and Precautions (5 WARNINGS AND PRECAUTIONS)
  • The use of drugs of the tetracycline-class during tooth development (last half of pregnancy, infancy and childhood to the age of 8 years) may cause permanent discoloration of the teeth (yellow-gray-brown). ( 2.2, 5.1)
  • Clostridium difficile-associated diarrhea (CDAD) has been reported: Evaluate patients if diarrhea occurs. ( 5.2)
  • Photosensitivity manifested by an exaggerated sunburn reaction has been observed in some individuals taking tetracyclines. Limit sun exposure. ( 5.3)
  • Overgrowth of non-susceptible organisms, including fungi, may occur. If such infections occur, discontinue use and institute appropriate therapy. ( 5.4)
2 Dosage and Administration (2 DOSAGE AND ADMINISTRATION)
  • Adults: doxycycline hyclate delayed-release tablets
    • The usual dosage is 200 mg on the first day of treatment (administered 100 mg every 12 hours) followed by a maintenance dose of 100 mg daily. ( 2.1)
    • In the management of more severe infections (particularly chronic infections of the urinary tract), 100 mg every 12 hours is recommended. ( 2.1)
  • Pediatric Patients: doxycycline hyclate delayed-release tablets
    • For all pediatric patients weighing less than 45 kg with severe or life-threatening infections (e.g., anthrax, Rocky Mountain spotted fever), the recommended dose is 2.2 mg per kg of body weight administered every 12 hours. Pediatric patients weighing 45 kg or more should receive the adult dose. ( 2.3)
    • For pediatric patients with less severe disease (greater than 8 years of age and weighing less than 45 kg), the recommended dose is 4.4 mg per kg of body weight divided into two doses on the first day of treatment, followed by a maintenance dose of 2.2 mg per kg of body weight (given as a single daily dose or divided into two doses. For pediatric patients weighing over 45 kg, the usual adult dose should be used. ( 2.1)
3 Dosage Forms and Strengths (3 DOSAGE FORMS AND STRENGTHS)

Doxycycline hyclate delayed-release tablets, USP, 150 mg are white, capsule shaped dual-scored tablets containing yellow pellets and debossed with “P | 0 | 1” on one face and plain on the other. Each tablet contains specially coated pellets of doxycycline hyclate equivalent to 150 mg of doxycycline.

Doxycycline hyclate delayed-release tablets, USP, 200 mg are white, oval scored tablets containing yellow pellets and debossed with “P0 | 02” on one face and plain on the other. Each tablet contains specially coated pellets of doxycycline hyclate equivalent to 200 mg of doxycycline.

6.2 Postmarketing Experience

The following adverse reactions have been identified during post-approval use of doxycycline. Because these reactions are reported voluntarily from a population of uncertain size, it is not always possible to reliably estimate a causal relationship to drug exposure.

Due to oral doxycycline’s virtually complete absorption, side effects to the lower bowel, particularly diarrhea, have been infrequent. The following adverse reactions have been observed in patients receiving tetracyclines:

Gastrointestinal: Anorexia, nausea, vomiting, diarrhea, glossitis, dysphagia, enterocolitis, and inflammatory lesions (with monilial overgrowth) in the anogenital region. Hepatotoxicity has been reported. These reactions have been caused by both the oral and parenteral administration of tetracyclines. Esophagitis and esophageal ulcerations have been reported in patients receiving capsule and tablet forms of drugs in the tetracycline-class. Most of these patients took medications immediately before going to bed [ see Dosage and Administration ( 2.1) ].

Skin: Maculopapular and erythematous rashes, Stevens-Johnson syndrome, toxic epidermal necrolysis, exfoliative dermatitis, and erythema multiforme have been reported. Photosensitivity is discussed above [ see Warnings and Precautions ( 5.3) ].

Renal: Rise in BUN has been reported and is apparently dose-related [ see Warnings and Precautions ( 5.7) ].

Hypersensitivity reactions: Urticaria, angioneurotic edema, anaphylaxis, anaphylactoid purpura, serum sickness, pericarditis, and exacerbation of systemic lupus erythematosus.

Blood: Hemolytic anemia, thrombocytopenia, neutropenia, and eosinophilia have been reported.

Intracranial Hypertension: Intracranial hypertension (IH, pseudotumor cerebri) has been associated with the use of tetracycline [ see Warnings and Precautions ( 5.5) ]

Thyroid Gland Changes: When given over prolonged periods, tetracyclines have been reported to produce brown-black microscopic discoloration of thyroid glands. No abnormalities of thyroid function are known to occur. 

5.5 Intracranial Hypertension

Intracranial hypertension (IH, pseudotumor cerebri) has been associated with the use of tetracycline including doxycycline hyclate delayed-release tablets. Clinical manifestations of IH include headache, blurred vision, diplopia, and vision loss; papilledema can be found on fundoscopy. Women of childbearing age who are overweight or have a history of IH are at greater risk for developing tetracycline associated IH. Avoid concomitant use of isotretinoin and doxycycline hyclate delayed-release tablets because isotretinoin is also known to cause pseudotumor cerebri.

IH typically resolves after discontinuation of treatment, the possibility for permanent visual loss exists. If visual disturbance occurs during treatment, prompt ophthalmologic evaluation is warranted. Since intracranial pressure can remain elevated for weeks after drug cessation patients should be monitored until they stabilize.

6.1 Clinical Trial Experience

The safety and efficacy of doxycycline hyclate delayed-release tablets, 200 mg as a single daily dose was evaluated in a multicenter, randomized, double-blind, active-controlled study. Doxycycline hyclate delayed-release tablets, 200 mg were given orally once-a-day for 7 days and compared to doxycycline hyclate capsules 100 mg given orally twice daily for 7 days for the treatment of men and women with uncomplicated urogenital C. trachomatis infection.

Adverse events in the Safety Population were reported by 99 (40.2%) subjects in the doxycycline hyclate delayed-release tablets, 200 mg treatment group and 132 (53.2%) subjects in the doxycycline hyclate capsules reference treatment group. Most AEs were mild in intensity. The most commonly reported adverse events in both treatment groups were nausea, vomiting, diarrhea, and bacterial vaginitis, Table 1.

Table 1: Adverse Reactions Reported in Greater than or Equal to 2% of Subjects
Doxycycline hyclate delayed-release tablets, 200 mg

N = 246
 Preferred Term n (%)
 Subjects with any AE 99 (40.2)
   Nausea 33 (13.4)
   Vomiting 20 (8.1)
   Headache 5 (2.0)
   Diarrhea 8 (3.3)
   Abdominal Pain Upper 5 (2.0)
   Vaginitis Bacterial 8 (3.3)
   Vulvovaginal Mycotic Infection 5 (2.0)

8 Use in Specific Populations (8 USE IN SPECIFIC POPULATIONS)
  • Tetracycline-class drugs can cause fetal harm when administered to a pregnant woman, but data for doxycycline are limited. ( 5.6, 8.1)
  • Tetracyclines are excreted in human milk; however, the extent of absorption of doxycycline in the breastfed infant is not known. Doxycycline use during nursing should be avoided if possible. ( 8.3)
Fda Approved Patient Labeling (FDA-Approved Patient Labeling)

D oxycycline hyclate delayed-release tablets, USP, 150 mg and 200 mg

Instructions for Breaking the 150 mg Doxycycline Hyclate Delayed-Release Dual-Scored Tablet

Your doctor may find it necessary to adjust your dosage of doxycycline hyclate delayed-release tabletsto obtain the proper treatment response. The tablet is marked with separation lines ( score lines) and may be broken at these score lines to provide any of the following doses.

If your doctor prescribed:

  • 150 mg treatment (take the entire table)

  • 100 mg treatment (take two thirds of the tablet or two 50 mg tablet segments)

  • 50 mg treatment (take one third of the tablet)

To break the tablet, hold the tablet between your thumbs and index fingers close to the appropriate score line. Then, with the score line facing you, apply enough pressure to snap the tablet segments apart (do not use segments that do not break along the score line).

2.2 for Prophylaxis of Malaria (2.2 For prophylaxis of malaria)

For adults, the recommended dose is 100 mg daily. For children over 8 years of age, the recommended dose is 2 mg/kg given once daily up to the adult dose. Prophylaxis should begin 1 or 2 days before travel to the malarious area. Prophylaxis should be continued daily during travel in the malarious area and for 4 weeks after the traveler leaves the malarious area. 

1.3 Respiratory Tract Infections (1.3 Respiratory tract infections)

Respiratory tract infections caused by Mycoplasma pneumoniae.

Psittacosis (ornithosis) caused by Chlamydophila psittaci.

Because many strains of the following groups of microorganisms have been shown to be resistant to doxycycline, culture and susceptibility testing are recommended.

Doxycycline is indicated for treatment of infections caused by the following microorganisms, when bacteriological testing indicates appropriate susceptibility to the drug:

Respiratory tract infections caused by Haemophilus influenzae.

Respiratory tract infections caused by Klebsiella species.

Upper respiratory infections caused by Streptococcus pneumoniae

1.4 Specific Bacterial Infections (1.4 Specific bacterial infections)

Relapsing fever due to Borrelia recurrentis.

Plague due to Yersinia pestis.

Tularemia due to Francisella tularensis.

Cholera caused by Vibrio cholerae.

Campylobacter fetus infections caused by Campylobacter fetus.

Brucellosis due to Brucella species (in conjunction with streptomycin).

Bartonellosis due to Bartonella bacilliformis.

Because many strains of the following groups of microorganisms have been shown to be resistant to doxycycline, culture and susceptibility testing are recommended.

Doxycycline is indicated for treatment of infections caused by the following gram-negative microorganisms, when bacteriological testing indicates appropriate susceptibility to the drug:

Escherichia coli

Enterobacter aerogenes

Shigella species

Acinetobacter species

Urinary tract infections caused by Klebsiella species.

17 Patient Counseling Information (17 PATIENT COUNSELING INFORMATION)

Patients taking doxycycline for malaria prophylaxis should be advised:

  • that no present-day antimalarial agent, including doxycycline, guarantees protection against malaria.
  • to avoid being bitten by mosquitoes by using personal protective measures that help avoid contact with mosquitoes, especially from dusk to dawn (for example, staying in well-screened areas, using mosquito nets, covering the body with clothing, and using an effective insect repellent).
  • that doxycycline prophylaxis:
  • should begin 1 to 2 days before travel to the malarious area,
  • should be continued daily while in the malarious area and after leaving the malarious area,
  • should be continued for 4 further weeks to avoid development of malaria after returning from an endemic area,
  • should not exceed 4 months.

All patients taking doxycycline should be advised:

  • to avoid excessive sunlight or artificial ultraviolet light while receiving doxycycline and to discontinue therapy if phototoxicity (for example, skin eruptions, etc.) occurs. Sunscreen or sunblock should be considered [ see Warnings and Precautions ( 5.3) ].
  • to drink fluids liberally along with doxycycline to reduce the risk of esophageal irritation and ulceration [ see Adverse Reactions ( 6.1) ].
  • that the absorption of tetracyclines is reduced when taken with foods, especially those that contain calcium. However, the absorption of doxycycline is not markedly influenced by simultaneous ingestion of food or milk [ see Drug Interactions ( 7.3) ].
  • that the absorption of tetracyclines is reduced when taken with antacids containing aluminum, calcium or magnesium, bismuth subsalicylate, and iron-containing preparations [ see Drug Interactions ( 7.3) ].
  • that the use of doxycycline might increase the incidence of vaginal candidiasis.

Diarrhea is a common problem caused by antibacterials which usually ends when the antibacterial is discontinued. Sometimes after starting treatment with antibacterials, patients can develop watery and bloody stools (with or without stomach cramps and fever) even as late as two or more months after having taken the last dose of antibacterial. If this occurs, patients should contact their physician as soon as possible.

Patients should be counseled that antibacterial drugs including doxycycline hyclate delayed-release tablets should only be used to treat bacterial infections. They do not treat viral infections (for example, the common cold). When doxycycline hyclate delayed-release tablets are prescribed to treat a bacterial infection, patients should be told that although it is common to feel better early in the course of therapy, the medication should be taken exactly as directed. Skipping doses or not completing the full course of therapy may (1) decrease the effectiveness of the immediate treatment and (2) increase the likelihood that bacteria will develop resistance and will not be treatable by doxycycline hyclate delayed-release tablets or other antibacterial drugs in the future.

7.3 Antacids and Iron Preparations

Absorption of tetracyclines is impaired by antacids containing aluminum, calcium, or magnesium, bismuth subsalicylate, and iron-containing preparations.

1.2 Sexually Transmitted Infections (1.2 Sexually transmitted infections)

Uncomplicated urethral, endocervical or rectal infections caused by Chlamydia trachomatis.

Nongonococcal urethritis caused by Ureaplasma urealyticum.

Lymphogranuloma venereum caused by Chlamydia trachomatis.

Granuloma inguinale caused by Klebsiella granulomatis.

Uncomplicated gonorrhea caused by Neisseria gonorrhoeae.

Chancroid caused by Haemophilus ducreyi

2.1 Usual Dosage and Administration

The usual dosage and frequency of administration of doxycycline differs from that of the other tetracyclines. Exceeding the recommended dosage may result in an increased incidence of side effects.

Adults:

  • The usual dose of oral doxycycline is 200 mg on the first day of treatment (administered 100 mg every 12 hours), followed by a maintenance dose of 100 mg daily.
  • The maintenance dose may be administered as a single dose or as 50 mg every 12 hours. In the management of more severe infections (particularly chronic infections of the urinary tract), 100 mg every 12 hours is recommended.
  • Pediatric patients:
  • For all pediatric patients weighing less than 45 kg with severe or life threatening infections (e.g., anthrax, Rocky Mountain spotted fever), the recommended dosage of doxycycline is 2.2 mg per kg of body weight administered every 12 hours. Pediatric patients weighing 45 kg or more should receive the adult dose [ see Warnings and Precautions ( 5.1) ].
  • For pediatric patients with less severe disease (greater than 8 years of age and weighing less than 45 kg), the recommended dosage schedule of doxycycline is 4.4 mg per kg of body weight divided into two doses on the first day of treatment, followed by a maintenance dose of 2.2 mg per kg of body weight (given as a single daily dose or divided into twice daily doses). For pediatric patients weighing over 45 kg, the usual adult dose should be used.

Administration of adequate amounts of fluid along with capsule and tablet forms of drugs in the tetracycline-class is recommended to wash down the drugs and reduce the risk of esophageal irritation and ulceration [ see Adverse Reactions ( 6.1) ].

If gastric irritation occurs, doxycycline may be given with food or milk [ see Clinical Pharmacology ( 12) ].

When used in streptococcal infections, therapy should be continued for 10 days.

Uncomplicated urethral, endocervical, or rectal infection caused by Chlamydia trachomatis: 100 mg by mouth twice a day for 7 days. As an alternate dosing regimen for uncomplicated urethral or endocervical infection caused by Chlamydia trachomatis, administer 200 mg by mouth once-a-day for 7 days.

Uncomplicated gonococcal infections in adults (except anorectal infections in men): 100 mg, by mouth, twice-a-day for 7 days. As an alternate single visit dose, administer 300 mg stat followed in one hour by a second 300 mg dose.

Nongonococcal urethritis (NGU) caused by U. urealyticum: 100 mg by mouth twice-a-day for 7 days.

Syphilis – early: Patients who are allergic to penicillin should be treated with doxycycline 100 mg by mouth twice-a-day for 2 weeks.

Syphilis of more than one year’s duration: Patients who are allergic to penicillin should be treated with doxycycline 100 mg by mouth twice-a-day for 4 weeks.

Acute epididymo-orchitis caused by C. trachomatis: 100 mg, by mouth, twice-a-day for at least 10 days. 

16 How Supplied/storage and Handling (16 HOW SUPPLIED/STORAGE AND HANDLING)

Doxycycline hyclate delayed-release tablets, USP, 150 mg are white, capsule shaped dual-scored tablets containing yellow pellets and debossed with “P | 0 | 1” on one face and plain on the other. Each tablet contains specially coated pellets of doxycycline hyclate equivalent to 150 mg of doxycycline.

Bottles of 30 tablets: NDC 69668-515-30

Store at 20 - 25°C (68 - 77°F); excursions permitted to 15 - 30°C (59 - 86°F) [see USP Controlled Room Temperature]. Dispense in a tight, light-resistant container (USP).

7.5 Barbiturates and Anti Epileptics (7.5 Barbiturates and Anti-epileptics)

Barbiturates, carbamazepine, and phenytoin decrease the half-life of doxycycline. 

7.7 Drug/laboratory Test Interactions (7.7 Drug/Laboratory Test Interactions)

False elevations of urinary catecholamines may occur due to interference with the fluorescence test.

2.3 Inhalation Anthrax (post Exposure) (2.3 Inhalation anthrax (post exposure))

Adults: 100 mg, of doxycycline, by mouth, twice-a-day for 60 days.

Children: weighing less than 45 kg, 2.2 mg/kg of body weight, by mouth, twice-a-day for 60 days. Children weighing 45 kg or more should receive the adult dose.

2.4 Sprinkling the Tablet Over Applesauce (2.4 Sprinkling the tablet over applesauce)

Doxycycline hyclate delayed-release tablets may also be administered by carefully breaking up the tablet and sprinkling the tablet contents (delayed-release pellets) on a spoonful of applesauce. The delayed-release pellets must not be crushed or damaged when breaking up the tablet. Any loss of pellets in the transfer would prevent using the dose. The applesauce/doxycycline hyclate delayed-release tablets mixture should be swallowed immediately without chewing and may be followed by a glass of water if desired. The applesauce should not be hot, and it should be soft enough to be swallowed without chewing. In the event that a prepared dose of applesauce/doxycycline hyclate delayed-release tablets cannot be taken immediately, the mixture should be discarded and not stored for later use.

13.2 Animal Toxicology And/or Pharmacology (13.2 Animal Toxicology and/or Pharmacology)

Hyperpigmentation of the thyroid has been produced by members of the tetracycline-class in the following species: in rats by oxytetracycline, doxycycline, tetracycline PO 4, and methacycline; in minipigs by doxycycline, minocycline, tetracycline PO 4, and methacycline; in dogs by doxycycline and minocycline; in monkeys by minocycline.

Minocycline, tetracycline PO 4, methacycline, doxycycline, tetracycline base, oxytetracycline HCl, and tetracycline HCl, were goitrogenic in rats fed a low iodine diet. This goitrogenic effect was accompanied by high radioactive iodine uptake. Administration of minocycline also produced a large goiter with high radioiodine uptake in rats fed a relatively high iodine diet.

Treatment of various animal species with this class of drugs has also resulted in the induction of thyroid hyperplasia in the following: in rats and dogs (minocycline); in chickens (chlortetracycline); and in rats and mice (oxytetracycline). Adrenal gland hyperplasia has been observed in goats and rats treated with oxytetracycline.

Results of animal studies indicate that tetracyclines cross the placenta and are found in fetal tissues.

5.9 Development of Drug Resistant Bacteria (5.9 Development of Drug-Resistant Bacteria)

Prescribing doxycycline hyclate delayed-release tablets in the absence of a proven or strongly suspected bacterial infection or a prophylactic indication is unlikely to provide benefit to the patient and increases the risk of the development of drug-resistant bacteria. 

5.2 Clostridium Difficile Associated Diarrhea (5.2 Clostridium difficile associated diarrhea)

Clostridium difficile associated diarrhea (CDAD) has been reported with use of nearly all antibacterial agents, including doxycycline hyclate delayed-release tablets, and may range in severity from mild diarrhea to fatal colitis. Treatment with antibacterial agents alters the normal flora of the colon leading to overgrowth of C. difficile.

C. difficile produces toxins A and B which contribute to the development of CDAD. Hypertoxin producing strains of C. difficile cause increased morbidity and mortality, as these infections can be refractory to antimicrobial therapy and may require colectomy. CDAD must be considered in all patients who present with diarrhea following antibacterial use. Careful medical history is necessary since CDAD has been reported to occur over two months after the administration of antibacterial agents.

If CDAD is suspected or confirmed, ongoing antibacterial use not directed against C. difficile may need to be discontinued. Appropriate fluid and electrolyte management, protein supplementation, antibacterial treatment of C. difficile , and surgical evaluation should be instituted as clinically indicated. 

5.10 Laboratory Monitoring for Long Term Therapy (5.10 Laboratory Monitoring for Long-Term Therapy)

In long-term therapy, periodic laboratory evaluation of organ systems, including hematopoietic, renal, and hepatic studies should be performed. 

13.1 Carcinogenesis, Mutagenesis, Impairment of Fertility

Long-term studies in animals to evaluate carcinogenic potential of doxycycline have not been conducted. However, there has been evidence of oncogenic activity in rats in studies with the related antibacterials, oxytetracycline (adrenal and pituitary tumors) and minocycline (thyroid tumors). Likewise, although mutagenicity studies of doxycycline have not been conducted, positive results in in vitro mammalian cell assays have been reported for related antibacterials (tetracycline, oxytetracycline).

Doxycycline administered orally at dosage levels as high as 250 mg/kg/day had no apparent effect on the fertility of female rats. Effect on male fertility has not been studied. 

1.6 Anthrax, Including Inhalational Anthrax (post Exposure) (1.6 Anthrax, including inhalational anthrax (post-exposure))

Anthrax due  to Bacillus anthracis, including inhalational anthrax (post-exposure): to reduce the incidence or progression of disease following exposure to aerosolized Bacillus anthracis.

1.8 Adjunctive Therapy for Acute Intestinal Amebiasis and Severe Acne (1.8 Adjunctive therapy for acute intestinal amebiasis and severe acne)

In acute intestinal amebiasis, doxycycline may be a useful adjunct to amebicides.

In severe acne, doxycycline may be useful adjunctive therapy. 

1.7 Alternative Treatment for Selected Infections When Penicillin Is Contraindicated (1.7 Alternative treatment for selected infections when penicillin is contraindicated)

When penicillin is contraindicated, doxycycline is an alternative drug in the treatment of the following infections:

Syphilis caused by Treponema pallidum.

Yaws caused by Treponema pallidum subspecies pertenue.

Vincent’s infection caused by Fusobacterium fusiforme.

Actinomycosis caused by Actinomyces israelii.

Infections caused by Clostridium species. 

17.1 Instructions for Breaking the 150 Mg Doxycycline Hyclate Delayed Release Dual Scored Tablet (17.1 Instructions for Breaking the 150 mg Doxycycline Hyclate Delayed-Release Dual-Scored Tablet)

The tablet is marked with separation lines ( score lines) and may be broken at these score lines to provide any of the following doses.

  • 150 mg treatment (the entire tablet is taken)

  • 100 mg treatment (two thirds of the tablet or two 50 mg tablet segments are taken)

  • 50 mg treatment (one third of the tablet is taken)

To break the tablet, the tablet is held between the thumbs and index fingers close to the appropriate score line. Then, with the score line facing the patient, enough pressure is applied to snap the tablet segments apart (segments that do not break along the score line should not be used).


Advanced Ingredient Data


Raw Label Data

All Sections (JSON)