Etoposide Injection Usp

Etoposide Injection Usp
SPL v7
SPL
SPL Set ID 4f850eb2-3542-43a0-90e8-bb37fa05cf15
Route
INTRAVENOUS
Published
Effective Date 2015-05-07
Document Type 34391-3 HUMAN PRESCRIPTION DRUG LABEL

Drug Facts

Composition & Product

Active Ingredients
Etoposide (0.305 mL)
Inactive Ingredients
Alcohol Benzyl Alcohol Anhydrous Citric Acid Polysorbate 80 Polyethylene Glycol 300

Identifiers & Packaging

Marketing Status
ANDA Active Since 2015-03-03

Description

Rx ONLY

Indications and Usage

Etoposide Injection USP is indicated in the management of the following neoplasms:

Dosage and Administration

Note: Plastic devices made of acrylic or ABS (a polymer composed of acrylonitrile, butadiene, and styrene) have been reported to crack and leak when used with undiluted Etoposide Injection USP.

Contraindications

Etoposide Injection USP is contraindicated in patients who have demonstrated a previous hypersensitivity to etoposide or any component of the formulation.

Adverse Reactions

The following data on adverse reactions are based on intravenous administration of etoposide Injection USP as a single agent, using several different dose schedules for treatment of a wide variety of malignancies.

How Supplied

Etoposide Injection USP, 20 mg/mL, is supplied as follows: NDC 16729-114-31                   100 mg/5 mL Sterile, Multiple Dose Vial. NDC 16729-114-32                   250 mg/12.5 mL Sterile, Multiple Dose Vial NDC 16729-114-08                   500 mg/25 mL Sterile, Multiple Dose Vial. NDC 16729-114-11,                   1 g/50 mL Sterile, Multiple Dose Vial. Store between 20° to 25°C (68° to 77°F). See USP controlled room temperature.


Medication Information

Recent Major Changes

WARNINGS

Etoposide should be administered under the supervision of a qualified physician experienced in the use of cancer chemotherapeutic agents. Severe myelosuppression with resulting infection or bleeding may occur.

Indications and Usage

Etoposide Injection USP is indicated in the management of the following neoplasms:

Dosage and Administration

Note: Plastic devices made of acrylic or ABS (a polymer composed of acrylonitrile, butadiene, and styrene) have been reported to crack and leak when used with undilutedEtoposide Injection USP.

Contraindications

Etoposide Injection USP is contraindicated in patients who have demonstrated a previous hypersensitivity to etoposide or any component of the formulation.

Adverse Reactions

The following data on adverse reactions are based on intravenous administration of etoposide Injection USP as a single agent, using several different dose schedules for treatment of a wide variety of malignancies.

How Supplied

Etoposide Injection USP, 20 mg/mL, is supplied as follows:

NDC 16729-114-31                  100 mg/5 mL Sterile, Multiple Dose Vial.

NDC 16729-114-32                  250 mg/12.5 mL Sterile, Multiple Dose Vial

NDC 16729-114-08                  500 mg/25 mL Sterile, Multiple Dose Vial.

NDC 16729-114-11,                  1 g/50 mL Sterile, Multiple Dose Vial.

Store between 20° to 25°C (68° to 77°F). See USP controlled room temperature.

Description

Etoposide (also commonly known as VP-16) is a semisynthetic derivative of podophyllotoxin used in the treatment of certain neoplastic diseases. It is 4'-demethylepipodophyllotoxin 9-[4,6-O-(R)-ethylidene-β-D-glucopyranoside]. It is very soluble in methanol and chloroform, slightly soluble in ethanol and sparingly soluble in water and ether. It is made more miscible with water by means of organic solvents. It has a molecular weight of 588.58 and a molecular formula of C 29H 32O 13.

Etoposide Injection USP is available for intravenous use as 20 mg/mL solution in 100 mg (5 mL), 250 mg (12.5 mL), 500 mg (25 mL), and 1 g (50 mL) sterile, multiple-dose vials. The pH of the clear, colorless to pale yellow liquid is 3 to 4. Each mL contains 20 mg etoposide USP, 2 mg anhydrous citric acid, 30 mg benzyl alcohol, 80 mg polysorbate 80/tween 80, 650 mg polyethylene glycol 300, and 30.5 percent (v/v) dehydrated alcohol. Vial head space contains nitrogen.

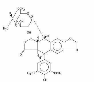
The structural formula is:

Section 42229-5

Rx ONLY

General

In all instances where the use of etoposide Injection USP is considered for chemotherapy, the physician must evaluate the need and usefulness of the drug against the risk of adverse reactions. Most such adverse reactions are reversible if detected early. If severe reactions occur, the drug should be reduced in dosage or discontinued and appropriate corrective measures should be taken according to the clinical judgement of the physician. Reinstitution of etoposide Injection USP therapy should be carried out with caution and with adequate consideration of the further need for the drug and alertness as to possible recurrence of toxicity. Patients with low serum albumin may be at an increased risk for etoposide associated toxicities.

Alopecia

Reversible alopecia, sometimes progressing to total baldness was observed in up to 66% of patients.

Warnings

Patients being treated with etoposide Injection USP must be frequently observed for myelosuppression both during and after therapy. Myelosuppression resulting in death has been reported. Dose-limiting bone marrow suppression is the most significant toxicity associated with etoposide Injection USP therapy. Therefore, the following studies should be obtained at the start of therapy and prior to each subsequent cycle of etoposide Injection USP: platelet count, hemoglobin, white blood cell count, and differential. The occurrence of a platelet count below 50,000/mm 3or an absolute neutrophil count below 500/mm 3is an indication to withhold further therapy until the blood counts have sufficiently recovered.

Physicians should be aware of the possible occurrence of an anaphylactic reaction manifested by chills, fever, tachycardia, bronchospasm, dyspnea, and hypotension. Higher rates of anaphylactic-like reactions have been reported in children who received infusions at concentrations higher than those recommended. The role that concentration of infusion (or rate of infusion) plays in the development of anaphylactic-like reactions is uncertain. (See ADVERSE REACTIONS .) Treatment is symptomatic. The infusion should be terminated immediately, followed by the administration of pressor agents, corticosteroids, antihistamines, or volume expanders at the discretion of the physician. For parenteral administration, etoposide Injection USP should be given only by slow intravenous infusion (usually over a 30- to 60-minute period), since hypotension has been reported as a possible side effect of rapid intravenous injection.

Stability

Unopened vials of Etoposide Injection USP are stable for 24 months at room temperature (25°C). Vials diluted as recommended to a concentration of 0.2 or 0.4 mg/mL are stable for 96 and 24 hours, respectively, at room temperature (25°C) under normal room fluorescent light in both glass and plastic containers.

Procedures for proper handling and disposalof anticancer drugs should be considered. Several guidelines on this subject have been published. 1–7There is no general agreement that all of the procedures recommended in the guidelines are necessary or appropriate.

Overdosage

No proven antidotes have been established for etoposide Injection USP overdosage.

References
  • Recommendations for the Safe Handling of Parenteral Antineoplastic Drugs. NIH Publication No. 83-2621. For sale by the Superintendent of Documents, US Government Printing Office, Washington, DC 20402.
  • AMA Council Report. Guidelines for Handling Parenteral Antineoplastics. JAMA1985 March 15.
  • National Study Commission on Cytotoxic Exposure - Recommendations for Handling Cytotoxic Agents. Available from Louis P. Jeffrey, Sc.D., Chairman, National Study Commission on Cytotoxic Exposure, Massachusetts College of Pharmacy and Allied Health Sciences, 179 Longwood Avenue, Boston, Massachusetts 02115.
  • Clinical Oncological Society of Australia. Guidelines and Recommendations for Safe Handling of Antineoplastic Agents. Med J Australia1:426-428, 1983.
  • Jones RB, et al. Safe handling of chemotherapeutic agents: A report from the Mount Sinai Medical Center. CA - A Cancer Journal for Clinicians(Sept/Oct):258–263, 1983.
  • American Society of Hospital Pharmacists Technical Assistance Bulletin on Handling Cytotoxic and Hazardous Drugs. Am J Hosp Pharm47:1033–1049, 1990.
  • Controlling Occupational Exposure to Hazardous Drugs. (OSHA Work-Practice Guidelines). Am J Health-Syst Pharm53:1669–1685, 1996.

Manufactured for:

Accord Healthcare, Inc.

8041 Arco Corporate Drive,

Suite 200,

Raleigh, NC 27617,

USA.

Manufactured by:

Intas Pharmaceuticals Limited,

Plot No.: 457, 458, Village – Matoda

Bavla Road, Ta. – Sanand,

Dist. – Ahmedabad – 382 210. India



Issued - November, 2023



10 7120 1 6029027

Hypotension

Transient hypotension following rapid intravenous administration has been reported in 1% to 2% of patients. It has not been associated with cardiac toxicity or electrocardiographic changes. No delayed hypotension has been noted. To prevent this rare occurrence, it is recommended that etoposide Injection USP be administered by slow intravenous infusion over a 30- to 60-minute period. If hypotension occurs, it usually responds to cessation of the infusion administration of fluids or other supportive therapy as appropriate. When restarting the infusion, a slower administration rate should be used.

Geriatric Use

Clinical studies of etoposide Injection USP did not include sufficient numbers of subjects aged 65 and over to determine whether they respond differently from younger subjects. Other reported clinical experience has not identified differences in responses between the elderly and younger patients. In general, dose selection for an elderly patient should be cautious, usually starting at the low end of the dosing range, reflecting the greater frequency of decreased hepatic, renal, or cardiac function, and of concomitant disease or other drug therapy.

Pediatric Use

Safety and effectiveness in pediatric patients have not been established.

Etoposide Injection USP contains polysorbate 80. In premature infants, a life-threatening syndrome consisting of liver and renal failure, pulmonary deterioration, thrombocytopenia, and ascites has been associated with an injectable vitamin E product containing polysorbate 80. Anaphylactic reactions have been reported in pediatric patients (see WARNINGS ).

Nursing Mothers

It is not known whether this drug is excreted in human milk. Because many drugs are excreted in human milk and because of the potential for serious adverse reactions in nursing infants from etoposide Injection USP, a decision should be made whether to discontinue nursing or to discontinue the drug, taking into account the importance of the drug to the mother.

Laboratory Tests

Periodic complete blood counts should be done during the course of etoposide Injection USP treatment. They should be performed prior to each cycle of therapy and at appropriate intervals during and after therapy. At least one determination should be done prior to each dose of etoposide Injection USP.

Other Toxicities

The following adverse reactions have been infrequently reported: abdominal pain, aftertaste, constipation, dysphagia, asthenia, fatigue, malaise, somnolence, transient cortical blindness, optic neuritis, interstitial pneumonitis/pulmonary fibrosis, fever, seizure (occasionally associated with allergic reactions), Stevens-Johnson syndrome, and toxic epidermal necrolysis, pigmentation, and a single report of radiation recall dermatitis.

Hepatic toxicity, generally in patients receiving higher doses of the drug than those recommended, has been reported with etoposide Injection USP. Metabolic acidosis has also been reported in patients receiving higher doses.

Reports of extravasation with swelling have been received postmarketing. Rarely extravasation has been associated with necrosis and venous induration.

The incidences of adverse reactions in the table that follows are derived from multiple databases from studies in 2,081 patients when etoposide was used either orally or by injection as a single agent.

ADVERSE DRUG EFFECT PERCENT RANGE OF REPORTED INCIDENCE
Hematologic toxicity
   Leukopenia (less than 1,000 WBC/mm 3) 3–17 
   Leukopenia (less than 4,000 WBC/mm 3) 60–91 
   Thrombocytopenia (less than 50,000 platelets/mm 3) 1–20
   Thrombocytopenia (less than 100,000 platelets/mm 3) 22–41 
   Anemia 0–33
Gastrointestinal toxicity
   Nausea and vomiting 31–43
   Abdominal pain 0–2
   Anorexia 10–13
   Diarrhea 1–13 
   Stomatitis 1–6 
   Hepatic 0–3
Alopecia 8–66
Peripheral neurotoxicity 1–2
Hypotension 1–2
Allergic reaction 1–2
Pharmacokinetics

On intravenous administration, the disposition of etoposide is best described as a biphasic process with a distribution half-life of about 1.5 hours and terminal elimination half-life ranging from 4 to 11 hours. Total body clearance values range from 33 to 48 mL/min or 16 to 36 mL/min/m 2and, like the terminal elimination half-life, are independent of dose over a range of 100 to 600 mg/m 2. Over the same dose range, the areas under the plasma concentration vs. time curves (AUC) and the maximum plasma concentration (Cmax) values increase linearly with dose. Etoposide does not accumulate in the plasma following daily administration of 100 mg/m 2for 4 or 5 days.

The mean volumes of distribution at steady state fall in the range of 18 to 29 liters or 7 to 17 L/m 2. Etoposide enters the CSF poorly. Although it is detectable in CSF and intracerebral tumors, the concentrations are lower than in extracerebral tumors and in plasma. Etoposide concentrations are higher in normal lung than in lung metastases and are similar in primary tumors and normal tissues of the myometrium. In vitro, etoposide is highly protein bound (97%) to human plasma proteins. An inverse relationship between plasma albumin levels and etoposide renal clearance is found in children. In a study determining the effect of other therapeutic agents on the in vitrobinding of carbon-14 labeled etoposide to human serum proteins, only phenylbutazone, sodium salicylate, and aspirin displaced protein-bound etoposide at concentrations achieved in vivo.

Etoposide binding ratio correlates directly with serum albumin in patients with cancer and in normal volunteers. The unbound fraction of etoposide significantly correlated with bilirubin in a population of cancer patients. Data have suggested a significant Inverse correlation between serum albumin concentration and free fraction of etoposide. (See PRECAUTIONS .)

After intravenous administration of 14C-etoposide (100 to 124 mg/m 2), mean recovery of radioactivity in the urine was 56% of the dose at 120 hours, 45% of which was excreted as etoposide: fecal recovery of radioactivity was 44% of the dose at 120 hours.

In children, approximately 55% of the dose is excreted in the urine as etoposide in 24 hours. The mean renal clearance of etoposide is 7 to 10 mL/min/m 2or about 35% of the total body clearance over a dose range of 80 to 600 mg/m 2. Etoposide, therefore, is cleared by both renal and nonrenal processes, i.e., metabolism and biliary excretion. The effect of renal disease on plasma etoposide clearance is not known.

Biliary excretion of unchanged drug and/or metabolites is an important route of etoposide elimination as fecal recovery of radioactivity is 44% of the intravenous dose. The hydroxy acid metabolite [4’-demethylepipodophyllic acid-9-(4,6-O-(R)-ethylidene-β-D-glucopyranoside)], formed by opening of the lactone ring, is found in the urine of adults and children. It is also present in human plasma, presumably as the transisomer. Glucuronide and/or sulfate conjugates of etoposide are also excreted in human urine. Only 8% or less of an intravenous dose is excreted in the urine as radiolabeled metabolites of 14C-etoposide. In addition, O-demethylation of the dimethoxyphenol ring occurs through the CYP450 3A4 isoenzyme pathway to produce the corresponding catechol.

After intravenous infusion, the Cmax and AUC values exhibit marked intra- and inter-subject variability.

There is no evidence of a first-pass effect for etoposide. For example, no correlation exists between the absolute oral bioavailability of etoposide capsules and nonrenal clearance. No evidence exists for any other differences in etoposide metabolism and excretion after administration of oral capsules as compared to intravenous infusion.

In adults, the total body clearance of etoposide is correlated with creatinine clearance, serum albumin concentration, and nonrenal clearance. Patients with impaired renal function receiving etoposide have exhibited reduced total body clearance, increased AUC and a lower volume of distribution at steady state. (See PRECAUTIONS .) Use of cisplatin therapy is associated with reduced total body clearance. In children, elevated serum SGPT levels are associated with reduced drug total body clearance. Prior use of cisplatin may also result in a decrease of etoposide total body clearance in children.

Although some minor differences in pharmacokinetic parameters between age and gender have been observed, these differences were not considered clinically significant.

Renal Impairment

In patients with impaired renal function, the following initial dose modification should be considered based on measured creatinine clearance:

Measured Creatinine Clearance >50 mL/min 15-50 mL/min
etoposide 100% of dose 75% of dose

Subsequent etoposide Injection USP dosing should be based on patient tolerance and clinical effect. Data are not available in patients with creatinine clearances <15 mL/min and further dose reduction should be considered in these patients.

Allergic Reactions

Anaphylactic-like reactions characterized by chills, fever, tachycardia, bronchospasm, dyspnea, and/or hypotension have been reported to occur in 0.7% to 2% of patients receiving intravenous etoposide Injection USP and in less than 1% of the patients treated with oral capsules. These reactions have usually responded promptly to the cessation of the infusion and administration of pressor agents, corticosteroids, antihistamines, or volume expanders as appropriate; however, the reactions can be fatal. Hypertension and/or flushing have also been reported. Blood pressure usually normalizes within a few hours after cessation of the infusion. Anaphylactic-like reactions have occurred during the initial infusion of etoposide Injection USP.

Facial/tongue swelling, coughing, diaphoresis, cyanosis, tightness in throat, laryngospasm, back pain, and/or loss of consciousness have sometimes occurred in association with the above reactions. In addition, an apparent hypersensitivity-associated apnea has been reported rarely.

Rash, urticaria, and/or pruritus have infrequently been reported at recommended doses. At investigational doses, a generalized pruritic erythematous maculopapular rash, consistent with perivasculitis, has been reported.

Hematologic Toxicity

Myelosuppression is dose-related and dose-limiting, with granulocyte nadirs occurring 7 to 14 days after drug administration and platelet nadirs occurring 9 to 16 days after drug administration. Bone marrow recovery is usually complete by day 20, and no cumulative toxicity has been reported. Fever and infection have also been reported in patients with neutropenia. Death associated with myelosuppression has been reported.

The occurrence of acute leukemia with or without a preleukemic phase has been reported rarely in patients treated with etoposide Injection USP in association with other antineoplastic agents. (See WARNINGS .)

Clinical Pharmacology

Etoposide Injection USP has been shown to cause metaphase arrest in chick fibroblasts. Its main effect, however, appears to be at the G2 portion of the cell cycle in mammalian cells. Two different dose-dependent responses are seen. At high concentrations (10 mcg/mL or more), lysis of cells entering mitosis is observed. At low concentrations (0.3 to 10 mcg/mL), cells are inhibited from entering prophase. It does not interfere with microtubular assembly. The predominant macromolecular effect of etoposide appears to be the induction of DNA strand breaks by an interaction with DNA topoisomerase II or the formation of free radicals.

Small Cell Lung Cancer

Etoposide Injection USP in combination with other approved chemotherapeutic agents as first line treatment in patients with small cell lung cancer.

Gastrointestinal Toxicity

Nausea and vomiting are the major gastrointestinal toxicities. The severity of such nausea and vomiting is generally mild to moderate with treatment discontinuation required in 1% of patients. Nausea and vomiting can usually be controlled with standard antiemetic therapy. Mild to severe mucositis/esophagitis may occur. Gastrointestinal toxicities are slightly more frequent after oral administration than after intravenous infusion.

Administration Precautions

As with other potentially toxic compounds, caution should be exercised in handling and preparing the solution of etoposide. Skin reactions associated with accidental exposure to Etoposide Injection USP may occur. The use of gloves is recommended. If etoposide solution contacts the skin or mucosa, immediately and thoroughly wash the skin with soap and water and flush the mucosa with water.

Refractory Testicular Tumors

Etoposide Injection USP in combination therapy with other approved chemotherapeutic agents in patients with refractory testicular tumors who have already received appropriate surgical, chemotherapeutic, and radiotherapeutic therapy.

Teratogenic Effects: Pregnancy Category D

Etoposide Injection USP can cause fetal harm when administered to a pregnant woman. Etoposide has been shown to be teratogenic in mice and rats.

In rats, an intravenous etoposide dose of 0.4 mg/kg/day (about 1/20th of the human dose on a mg/m 2basis) during organogenesis caused maternal toxicity, embryotoxicity, and teratogenicity (skeletal abnormalities, exencephaly, encephalocele, and anophthalmia); higher doses of 1.2 and 3.6 mg/kg/day (about 1/7th and 1/2 of human dose on a mg/m 2basis) resulted in 90 and 100% embryonic resorptions. In mice, a single 1 mg/kg (1/16th of human dose on a mg/m 2basis) dose of etoposide administered intraperitoneally on days 6, 7, or 8 of gestation caused embryotoxicity, cranial abnormalities, and major skeletal malformations. An IP dose of 1.5 mg/kg (about 1/10th of human dose on a mg/m 2basis) on day 7 of gestation caused an increase in the incidence of intrauterine death and fetal malformations and a significant decrease in the average fetal body weight.

Women of childbearing potential should be advised to avoid becoming pregnant. If this drug is used during pregnancy, or if the patient becomes pregnant while receiving this drug, the patient should be apprised of the potential hazard to the fetus.

Etoposide Injection USP should be considered a potential carcinogen in humans. The occurrence of acute leukemia with or without a preleukemic phase has been reported in rare instances in patients treated with etoposide alone or in association with other neoplastic agents. The risk of development of a preleukemic or leukemic syndrome is unclear. Carcinogenicity tests with etoposide Injection USP have not been conducted in laboratory animals.

Teratogenic Effects: Pregnancy Category D

(See WARNINGS .)

Preparation for Intravenous Administration

Etoposide Injection USP must be diluted prior to use with either 5% Dextrose Injection, or 0.9% Sodium Chloride Injection, to give a final concentration of 0.2 to 0.4 mg/mL. If solutions are prepared at concentrations above 0.4 mg/mL, precipitation may occur. Hypotension following rapid intravenous administration has been reported; hence, it is recommended that the etoposide Injection USP solution be administered over a 30- to 60-minute period. A longer duration of administration may be used if the volume of fluid to be infused is a concern.

Etoposide Injection USP should not be given by rapid intravenous injection.

Parenteral drug products should be inspected visually for particulate matter and discoloration (see DESCRIPTION ) prior to administration whenever solution and container permit.

Principal Display Panel 1 G/50 Ml Carton Label

Principal Display Panel 100 Mg/5 Ml Carton Label

Principal Display Panel 500 Mg/25 Ml Carton Label

Principal Display Panel 500 Mg/12.5 Ml Carton Label

Carcinogenesis, (see Warnings), Mutagenesis, Impairment of Fertility

Etoposide has been shown to be mutagenic in Ames assay.

Treatment of Swiss-Albino mice with 1.5 mg/kg IP of etoposide Injection USP on day 7 of gestation increased the incidence of intrauterine death and fetal malformations, as well as significantly decreased the average fetal body weight. Maternal weight gain was not affected.

Irreversible testicular atrophy was present in rats treated with etoposide intravenously for 30 days at 0.5 mg/kg/day (about 1/16th of the human dose on a mg/m 2basis).


Structured Label Content

Recent Major Changes (34066-1)

WARNINGS

Etoposide should be administered under the supervision of a qualified physician experienced in the use of cancer chemotherapeutic agents. Severe myelosuppression with resulting infection or bleeding may occur.

Section 42229-5 (42229-5)

Rx ONLY

General

In all instances where the use of etoposide Injection USP is considered for chemotherapy, the physician must evaluate the need and usefulness of the drug against the risk of adverse reactions. Most such adverse reactions are reversible if detected early. If severe reactions occur, the drug should be reduced in dosage or discontinued and appropriate corrective measures should be taken according to the clinical judgement of the physician. Reinstitution of etoposide Injection USP therapy should be carried out with caution and with adequate consideration of the further need for the drug and alertness as to possible recurrence of toxicity. Patients with low serum albumin may be at an increased risk for etoposide associated toxicities.

Alopecia

Reversible alopecia, sometimes progressing to total baldness was observed in up to 66% of patients.

Warnings (WARNINGS)

Patients being treated with etoposide Injection USP must be frequently observed for myelosuppression both during and after therapy. Myelosuppression resulting in death has been reported. Dose-limiting bone marrow suppression is the most significant toxicity associated with etoposide Injection USP therapy. Therefore, the following studies should be obtained at the start of therapy and prior to each subsequent cycle of etoposide Injection USP: platelet count, hemoglobin, white blood cell count, and differential. The occurrence of a platelet count below 50,000/mm 3or an absolute neutrophil count below 500/mm 3is an indication to withhold further therapy until the blood counts have sufficiently recovered.

Physicians should be aware of the possible occurrence of an anaphylactic reaction manifested by chills, fever, tachycardia, bronchospasm, dyspnea, and hypotension. Higher rates of anaphylactic-like reactions have been reported in children who received infusions at concentrations higher than those recommended. The role that concentration of infusion (or rate of infusion) plays in the development of anaphylactic-like reactions is uncertain. (See ADVERSE REACTIONS .) Treatment is symptomatic. The infusion should be terminated immediately, followed by the administration of pressor agents, corticosteroids, antihistamines, or volume expanders at the discretion of the physician. For parenteral administration, etoposide Injection USP should be given only by slow intravenous infusion (usually over a 30- to 60-minute period), since hypotension has been reported as a possible side effect of rapid intravenous injection.

Stability

Unopened vials of Etoposide Injection USP are stable for 24 months at room temperature (25°C). Vials diluted as recommended to a concentration of 0.2 or 0.4 mg/mL are stable for 96 and 24 hours, respectively, at room temperature (25°C) under normal room fluorescent light in both glass and plastic containers.

Procedures for proper handling and disposalof anticancer drugs should be considered. Several guidelines on this subject have been published. 1–7There is no general agreement that all of the procedures recommended in the guidelines are necessary or appropriate.

Overdosage (OVERDOSAGE)

No proven antidotes have been established for etoposide Injection USP overdosage.

References (REFERENCES)
  • Recommendations for the Safe Handling of Parenteral Antineoplastic Drugs. NIH Publication No. 83-2621. For sale by the Superintendent of Documents, US Government Printing Office, Washington, DC 20402.
  • AMA Council Report. Guidelines for Handling Parenteral Antineoplastics. JAMA1985 March 15.
  • National Study Commission on Cytotoxic Exposure - Recommendations for Handling Cytotoxic Agents. Available from Louis P. Jeffrey, Sc.D., Chairman, National Study Commission on Cytotoxic Exposure, Massachusetts College of Pharmacy and Allied Health Sciences, 179 Longwood Avenue, Boston, Massachusetts 02115.
  • Clinical Oncological Society of Australia. Guidelines and Recommendations for Safe Handling of Antineoplastic Agents. Med J Australia1:426-428, 1983.
  • Jones RB, et al. Safe handling of chemotherapeutic agents: A report from the Mount Sinai Medical Center. CA - A Cancer Journal for Clinicians(Sept/Oct):258–263, 1983.
  • American Society of Hospital Pharmacists Technical Assistance Bulletin on Handling Cytotoxic and Hazardous Drugs. Am J Hosp Pharm47:1033–1049, 1990.
  • Controlling Occupational Exposure to Hazardous Drugs. (OSHA Work-Practice Guidelines). Am J Health-Syst Pharm53:1669–1685, 1996.

Manufactured for:

Accord Healthcare, Inc.

8041 Arco Corporate Drive,

Suite 200,

Raleigh, NC 27617,

USA.

Manufactured by:

Intas Pharmaceuticals Limited,

Plot No.: 457, 458, Village – Matoda

Bavla Road, Ta. – Sanand,

Dist. – Ahmedabad – 382 210. India



Issued - November, 2023



10 7120 1 6029027

Description (DESCRIPTION)

Etoposide (also commonly known as VP-16) is a semisynthetic derivative of podophyllotoxin used in the treatment of certain neoplastic diseases. It is 4'-demethylepipodophyllotoxin 9-[4,6-O-(R)-ethylidene-β-D-glucopyranoside]. It is very soluble in methanol and chloroform, slightly soluble in ethanol and sparingly soluble in water and ether. It is made more miscible with water by means of organic solvents. It has a molecular weight of 588.58 and a molecular formula of C 29H 32O 13.

Etoposide Injection USP is available for intravenous use as 20 mg/mL solution in 100 mg (5 mL), 250 mg (12.5 mL), 500 mg (25 mL), and 1 g (50 mL) sterile, multiple-dose vials. The pH of the clear, colorless to pale yellow liquid is 3 to 4. Each mL contains 20 mg etoposide USP, 2 mg anhydrous citric acid, 30 mg benzyl alcohol, 80 mg polysorbate 80/tween 80, 650 mg polyethylene glycol 300, and 30.5 percent (v/v) dehydrated alcohol. Vial head space contains nitrogen.

The structural formula is:

Hypotension

Transient hypotension following rapid intravenous administration has been reported in 1% to 2% of patients. It has not been associated with cardiac toxicity or electrocardiographic changes. No delayed hypotension has been noted. To prevent this rare occurrence, it is recommended that etoposide Injection USP be administered by slow intravenous infusion over a 30- to 60-minute period. If hypotension occurs, it usually responds to cessation of the infusion administration of fluids or other supportive therapy as appropriate. When restarting the infusion, a slower administration rate should be used.

How Supplied (HOW SUPPLIED)

Etoposide Injection USP, 20 mg/mL, is supplied as follows:

NDC 16729-114-31                  100 mg/5 mL Sterile, Multiple Dose Vial.

NDC 16729-114-32                  250 mg/12.5 mL Sterile, Multiple Dose Vial

NDC 16729-114-08                  500 mg/25 mL Sterile, Multiple Dose Vial.

NDC 16729-114-11,                  1 g/50 mL Sterile, Multiple Dose Vial.

Store between 20° to 25°C (68° to 77°F). See USP controlled room temperature.

Geriatric Use

Clinical studies of etoposide Injection USP did not include sufficient numbers of subjects aged 65 and over to determine whether they respond differently from younger subjects. Other reported clinical experience has not identified differences in responses between the elderly and younger patients. In general, dose selection for an elderly patient should be cautious, usually starting at the low end of the dosing range, reflecting the greater frequency of decreased hepatic, renal, or cardiac function, and of concomitant disease or other drug therapy.

Pediatric Use

Safety and effectiveness in pediatric patients have not been established.

Etoposide Injection USP contains polysorbate 80. In premature infants, a life-threatening syndrome consisting of liver and renal failure, pulmonary deterioration, thrombocytopenia, and ascites has been associated with an injectable vitamin E product containing polysorbate 80. Anaphylactic reactions have been reported in pediatric patients (see WARNINGS ).

Nursing Mothers

It is not known whether this drug is excreted in human milk. Because many drugs are excreted in human milk and because of the potential for serious adverse reactions in nursing infants from etoposide Injection USP, a decision should be made whether to discontinue nursing or to discontinue the drug, taking into account the importance of the drug to the mother.

Laboratory Tests

Periodic complete blood counts should be done during the course of etoposide Injection USP treatment. They should be performed prior to each cycle of therapy and at appropriate intervals during and after therapy. At least one determination should be done prior to each dose of etoposide Injection USP.

Other Toxicities

The following adverse reactions have been infrequently reported: abdominal pain, aftertaste, constipation, dysphagia, asthenia, fatigue, malaise, somnolence, transient cortical blindness, optic neuritis, interstitial pneumonitis/pulmonary fibrosis, fever, seizure (occasionally associated with allergic reactions), Stevens-Johnson syndrome, and toxic epidermal necrolysis, pigmentation, and a single report of radiation recall dermatitis.

Hepatic toxicity, generally in patients receiving higher doses of the drug than those recommended, has been reported with etoposide Injection USP. Metabolic acidosis has also been reported in patients receiving higher doses.

Reports of extravasation with swelling have been received postmarketing. Rarely extravasation has been associated with necrosis and venous induration.

The incidences of adverse reactions in the table that follows are derived from multiple databases from studies in 2,081 patients when etoposide was used either orally or by injection as a single agent.

ADVERSE DRUG EFFECT PERCENT RANGE OF REPORTED INCIDENCE
Hematologic toxicity
   Leukopenia (less than 1,000 WBC/mm 3) 3–17 
   Leukopenia (less than 4,000 WBC/mm 3) 60–91 
   Thrombocytopenia (less than 50,000 platelets/mm 3) 1–20
   Thrombocytopenia (less than 100,000 platelets/mm 3) 22–41 
   Anemia 0–33
Gastrointestinal toxicity
   Nausea and vomiting 31–43
   Abdominal pain 0–2
   Anorexia 10–13
   Diarrhea 1–13 
   Stomatitis 1–6 
   Hepatic 0–3
Alopecia 8–66
Peripheral neurotoxicity 1–2
Hypotension 1–2
Allergic reaction 1–2
Pharmacokinetics

On intravenous administration, the disposition of etoposide is best described as a biphasic process with a distribution half-life of about 1.5 hours and terminal elimination half-life ranging from 4 to 11 hours. Total body clearance values range from 33 to 48 mL/min or 16 to 36 mL/min/m 2and, like the terminal elimination half-life, are independent of dose over a range of 100 to 600 mg/m 2. Over the same dose range, the areas under the plasma concentration vs. time curves (AUC) and the maximum plasma concentration (Cmax) values increase linearly with dose. Etoposide does not accumulate in the plasma following daily administration of 100 mg/m 2for 4 or 5 days.

The mean volumes of distribution at steady state fall in the range of 18 to 29 liters or 7 to 17 L/m 2. Etoposide enters the CSF poorly. Although it is detectable in CSF and intracerebral tumors, the concentrations are lower than in extracerebral tumors and in plasma. Etoposide concentrations are higher in normal lung than in lung metastases and are similar in primary tumors and normal tissues of the myometrium. In vitro, etoposide is highly protein bound (97%) to human plasma proteins. An inverse relationship between plasma albumin levels and etoposide renal clearance is found in children. In a study determining the effect of other therapeutic agents on the in vitrobinding of carbon-14 labeled etoposide to human serum proteins, only phenylbutazone, sodium salicylate, and aspirin displaced protein-bound etoposide at concentrations achieved in vivo.

Etoposide binding ratio correlates directly with serum albumin in patients with cancer and in normal volunteers. The unbound fraction of etoposide significantly correlated with bilirubin in a population of cancer patients. Data have suggested a significant Inverse correlation between serum albumin concentration and free fraction of etoposide. (See PRECAUTIONS .)

After intravenous administration of 14C-etoposide (100 to 124 mg/m 2), mean recovery of radioactivity in the urine was 56% of the dose at 120 hours, 45% of which was excreted as etoposide: fecal recovery of radioactivity was 44% of the dose at 120 hours.

In children, approximately 55% of the dose is excreted in the urine as etoposide in 24 hours. The mean renal clearance of etoposide is 7 to 10 mL/min/m 2or about 35% of the total body clearance over a dose range of 80 to 600 mg/m 2. Etoposide, therefore, is cleared by both renal and nonrenal processes, i.e., metabolism and biliary excretion. The effect of renal disease on plasma etoposide clearance is not known.

Biliary excretion of unchanged drug and/or metabolites is an important route of etoposide elimination as fecal recovery of radioactivity is 44% of the intravenous dose. The hydroxy acid metabolite [4’-demethylepipodophyllic acid-9-(4,6-O-(R)-ethylidene-β-D-glucopyranoside)], formed by opening of the lactone ring, is found in the urine of adults and children. It is also present in human plasma, presumably as the transisomer. Glucuronide and/or sulfate conjugates of etoposide are also excreted in human urine. Only 8% or less of an intravenous dose is excreted in the urine as radiolabeled metabolites of 14C-etoposide. In addition, O-demethylation of the dimethoxyphenol ring occurs through the CYP450 3A4 isoenzyme pathway to produce the corresponding catechol.

After intravenous infusion, the Cmax and AUC values exhibit marked intra- and inter-subject variability.

There is no evidence of a first-pass effect for etoposide. For example, no correlation exists between the absolute oral bioavailability of etoposide capsules and nonrenal clearance. No evidence exists for any other differences in etoposide metabolism and excretion after administration of oral capsules as compared to intravenous infusion.

In adults, the total body clearance of etoposide is correlated with creatinine clearance, serum albumin concentration, and nonrenal clearance. Patients with impaired renal function receiving etoposide have exhibited reduced total body clearance, increased AUC and a lower volume of distribution at steady state. (See PRECAUTIONS .) Use of cisplatin therapy is associated with reduced total body clearance. In children, elevated serum SGPT levels are associated with reduced drug total body clearance. Prior use of cisplatin may also result in a decrease of etoposide total body clearance in children.

Although some minor differences in pharmacokinetic parameters between age and gender have been observed, these differences were not considered clinically significant.

Renal Impairment

In patients with impaired renal function, the following initial dose modification should be considered based on measured creatinine clearance:

Measured Creatinine Clearance >50 mL/min 15-50 mL/min
etoposide 100% of dose 75% of dose

Subsequent etoposide Injection USP dosing should be based on patient tolerance and clinical effect. Data are not available in patients with creatinine clearances <15 mL/min and further dose reduction should be considered in these patients.

Adverse Reactions (ADVERSE REACTIONS)

The following data on adverse reactions are based on intravenous administration of etoposide Injection USP as a single agent, using several different dose schedules for treatment of a wide variety of malignancies.

Contraindications (CONTRAINDICATIONS)

Etoposide Injection USP is contraindicated in patients who have demonstrated a previous hypersensitivity to etoposide or any component of the formulation.

Allergic Reactions

Anaphylactic-like reactions characterized by chills, fever, tachycardia, bronchospasm, dyspnea, and/or hypotension have been reported to occur in 0.7% to 2% of patients receiving intravenous etoposide Injection USP and in less than 1% of the patients treated with oral capsules. These reactions have usually responded promptly to the cessation of the infusion and administration of pressor agents, corticosteroids, antihistamines, or volume expanders as appropriate; however, the reactions can be fatal. Hypertension and/or flushing have also been reported. Blood pressure usually normalizes within a few hours after cessation of the infusion. Anaphylactic-like reactions have occurred during the initial infusion of etoposide Injection USP.

Facial/tongue swelling, coughing, diaphoresis, cyanosis, tightness in throat, laryngospasm, back pain, and/or loss of consciousness have sometimes occurred in association with the above reactions. In addition, an apparent hypersensitivity-associated apnea has been reported rarely.

Rash, urticaria, and/or pruritus have infrequently been reported at recommended doses. At investigational doses, a generalized pruritic erythematous maculopapular rash, consistent with perivasculitis, has been reported.

Hematologic Toxicity

Myelosuppression is dose-related and dose-limiting, with granulocyte nadirs occurring 7 to 14 days after drug administration and platelet nadirs occurring 9 to 16 days after drug administration. Bone marrow recovery is usually complete by day 20, and no cumulative toxicity has been reported. Fever and infection have also been reported in patients with neutropenia. Death associated with myelosuppression has been reported.

The occurrence of acute leukemia with or without a preleukemic phase has been reported rarely in patients treated with etoposide Injection USP in association with other antineoplastic agents. (See WARNINGS .)

Clinical Pharmacology (CLINICAL PHARMACOLOGY)

Etoposide Injection USP has been shown to cause metaphase arrest in chick fibroblasts. Its main effect, however, appears to be at the G2 portion of the cell cycle in mammalian cells. Two different dose-dependent responses are seen. At high concentrations (10 mcg/mL or more), lysis of cells entering mitosis is observed. At low concentrations (0.3 to 10 mcg/mL), cells are inhibited from entering prophase. It does not interfere with microtubular assembly. The predominant macromolecular effect of etoposide appears to be the induction of DNA strand breaks by an interaction with DNA topoisomerase II or the formation of free radicals.

Indications and Usage (INDICATIONS AND USAGE)

Etoposide Injection USP is indicated in the management of the following neoplasms:

Small Cell Lung Cancer

Etoposide Injection USP in combination with other approved chemotherapeutic agents as first line treatment in patients with small cell lung cancer.

Dosage and Administration (DOSAGE AND ADMINISTRATION)

Note: Plastic devices made of acrylic or ABS (a polymer composed of acrylonitrile, butadiene, and styrene) have been reported to crack and leak when used with undilutedEtoposide Injection USP.

Gastrointestinal Toxicity

Nausea and vomiting are the major gastrointestinal toxicities. The severity of such nausea and vomiting is generally mild to moderate with treatment discontinuation required in 1% of patients. Nausea and vomiting can usually be controlled with standard antiemetic therapy. Mild to severe mucositis/esophagitis may occur. Gastrointestinal toxicities are slightly more frequent after oral administration than after intravenous infusion.

Administration Precautions

As with other potentially toxic compounds, caution should be exercised in handling and preparing the solution of etoposide. Skin reactions associated with accidental exposure to Etoposide Injection USP may occur. The use of gloves is recommended. If etoposide solution contacts the skin or mucosa, immediately and thoroughly wash the skin with soap and water and flush the mucosa with water.

Refractory Testicular Tumors

Etoposide Injection USP in combination therapy with other approved chemotherapeutic agents in patients with refractory testicular tumors who have already received appropriate surgical, chemotherapeutic, and radiotherapeutic therapy.

Teratogenic Effects: Pregnancy Category D

Etoposide Injection USP can cause fetal harm when administered to a pregnant woman. Etoposide has been shown to be teratogenic in mice and rats.

In rats, an intravenous etoposide dose of 0.4 mg/kg/day (about 1/20th of the human dose on a mg/m 2basis) during organogenesis caused maternal toxicity, embryotoxicity, and teratogenicity (skeletal abnormalities, exencephaly, encephalocele, and anophthalmia); higher doses of 1.2 and 3.6 mg/kg/day (about 1/7th and 1/2 of human dose on a mg/m 2basis) resulted in 90 and 100% embryonic resorptions. In mice, a single 1 mg/kg (1/16th of human dose on a mg/m 2basis) dose of etoposide administered intraperitoneally on days 6, 7, or 8 of gestation caused embryotoxicity, cranial abnormalities, and major skeletal malformations. An IP dose of 1.5 mg/kg (about 1/10th of human dose on a mg/m 2basis) on day 7 of gestation caused an increase in the incidence of intrauterine death and fetal malformations and a significant decrease in the average fetal body weight.

Women of childbearing potential should be advised to avoid becoming pregnant. If this drug is used during pregnancy, or if the patient becomes pregnant while receiving this drug, the patient should be apprised of the potential hazard to the fetus.

Etoposide Injection USP should be considered a potential carcinogen in humans. The occurrence of acute leukemia with or without a preleukemic phase has been reported in rare instances in patients treated with etoposide alone or in association with other neoplastic agents. The risk of development of a preleukemic or leukemic syndrome is unclear. Carcinogenicity tests with etoposide Injection USP have not been conducted in laboratory animals.

Teratogenic Effects: Pregnancy Category D (Teratogenic effects: Pregnancy Category D)

(See WARNINGS .)

Preparation for Intravenous Administration

Etoposide Injection USP must be diluted prior to use with either 5% Dextrose Injection, or 0.9% Sodium Chloride Injection, to give a final concentration of 0.2 to 0.4 mg/mL. If solutions are prepared at concentrations above 0.4 mg/mL, precipitation may occur. Hypotension following rapid intravenous administration has been reported; hence, it is recommended that the etoposide Injection USP solution be administered over a 30- to 60-minute period. A longer duration of administration may be used if the volume of fluid to be infused is a concern.

Etoposide Injection USP should not be given by rapid intravenous injection.

Parenteral drug products should be inspected visually for particulate matter and discoloration (see DESCRIPTION ) prior to administration whenever solution and container permit.

Principal Display Panel 1 G/50 Ml Carton Label (PRINCIPAL DISPLAY PANEL-1 g/50 mL Carton Label)

Principal Display Panel 100 Mg/5 Ml Carton Label (PRINCIPAL DISPLAY PANEL-100 mg/5 mL Carton Label)

Principal Display Panel 500 Mg/25 Ml Carton Label (PRINCIPAL DISPLAY PANEL-500 mg/25 mL Carton Label)

Principal Display Panel 500 Mg/12.5 Ml Carton Label (PRINCIPAL DISPLAY PANEL-500 mg/12.5 mL Carton Label)

Carcinogenesis, (see Warnings), Mutagenesis, Impairment of Fertility (Carcinogenesis, (see WARNINGS), Mutagenesis, Impairment of Fertility)

Etoposide has been shown to be mutagenic in Ames assay.

Treatment of Swiss-Albino mice with 1.5 mg/kg IP of etoposide Injection USP on day 7 of gestation increased the incidence of intrauterine death and fetal malformations, as well as significantly decreased the average fetal body weight. Maternal weight gain was not affected.

Irreversible testicular atrophy was present in rats treated with etoposide intravenously for 30 days at 0.5 mg/kg/day (about 1/16th of the human dose on a mg/m 2basis).


Advanced Ingredient Data


Raw Label Data

All Sections (JSON)