These Highlights Do Not Include All The Information Needed To Use Omeprazole And Sodium Bicarbonate Capsules Safely And Effectively. See Full Prescribing Information For Omeprazole And Sodium Bicarbonate Capsules.

These Highlights Do Not Include All The Information Needed To Use Omeprazole And Sodium Bicarbonate Capsules Safely And Effectively. See Full Prescribing Information For Omeprazole And Sodium Bicarbonate Capsules.
SPL v2
SPL
SPL Set ID 4d642036-7175-4f29-9f07-dbd282231d4a
Route
ORAL
Published
Effective Date 2023-02-01
Document Type 34391-3 HUMAN PRESCRIPTION DRUG LABEL

Drug Facts

Composition & Product

Active Ingredients
Omeprazole (20 mg) Bicarbonate Ion (1100 mg)
Inactive Ingredients
Croscarmellose Sodium Sodium Stearyl Fumarate Gelatin, Unspecified Sodium Lauryl Sulfate Ferrosoferric Oxide Propylene Glycol Butyl Alcohol Titanium Dioxide Alcohol Isopropyl Alcohol Potassium Hydroxide Shellac Ammonia

Identifiers & Packaging

Pill Appearance
Imprint: SG;364 Shape: capsule Color: blue Size: 23 mm Score: 1
Marketing Status
ANDA Active Since 2018-07-27

Description

Warnings and Precautions, Fundic Gland Polyps ( 5.13 ) 06/2018

Indications and Usage

Omeprazole and sodium bicarbonate is a proton pump inhibitor (PPI) indicated for: • Short-term treatment of active duodenal ulcer ( 1.1 ) • Short-term treatment of active benign gastric ulcer ( 1.2 ) • Treatment of gastroesophageal reflux disease (GERD) ( 1.3 ) • Maintenance of healing of erosive esophagitis ( 1.4 ) The safety and effectiveness of omeprazole and sodium bicarbonate capsules in pediatric patients (<18 years of age) have not been established. ( 8.4 )

Dosage and Administration

Omeprazole and sodium bicarbonate is available as a capsule in 20 mg and 40 mg strengths of omeprazole for adult use. Directions for use for each indication are summarized in Table 1 . All recommended doses throughout the labeling are based upon omeprazole. Since both the 20 mg and 40 mg capsules contain the same amount of sodium bicarbonate (1,100 mg), two capsules of 20 mg are not equivalent to one capsule of omeprazole and sodium bicarbonate 40 mg; therefore, two 20 mg capsules of omeprazole and sodium bicarbonate should not be substituted for one capsule of omeprazole and sodium bicarbonate 40 mg. Omeprazole and sodium bicarbonate capsules should be taken on an empty stomach at least one hour before a meal. Table 1: Recommended Doses of Omeprazole and Sodium Bicarbonate by Indication for Adults 18 Years and Older Indication Recommended Dose Frequency Short-Term Treatment of Active Duodenal Ulcer 20 mg Once daily for 4 weeks Most patients heal within 4 weeks. Some patients may require an additional 4 weeks of therapy. [See Clinical Studies (14.1) .] , For additional information, [See Indications and Usage (1) ] Benign Gastric Ulcer 40 mg Once daily for 4-8 weeks , Controlled studies do not extend beyond 12 months. [See Clinical Studies (14) .] Gastroesophageal Reflux Disease (GERD)   Symptomatic GERD (with no esophageal erosions) 20 mg Once daily for up to 4 weeks   Erosive Esophagitis 20 mg Once daily for 4-8 weeks Maintenance of Healing of Erosive Esophagitis 20 mg Once daily

Warnings and Precautions

• Gastric Malignancy:  In adults, symptomatic response does not preclude the presence of gastric malignancy. Consider additional follow-up and diagnostic testing. ( 5.1 ) • Acute interstitial nephritis has been observed in patients taking PPIs. ( 5.2 ) • Buffer Content: contains sodium bicarbonate ( 5.3 ) • PPI therapy may be associated with increased risk of Clostridium difficile- associated diarrhea. ( 5.4 ) • Bone Fracture: Long-term and multiple daily dose PPI therapy may be associated with an increased risk for osteoporosis-related fractures of the hip, wrist, or spine. ( 5.5 ) • Cutaneous and Systemic Lupus Erythematosus: Mostly cutaneous; new onset or exacerbation of existing disease; discontinue omeprazole and sodium bicarbonate and refer to specialist for evaluation. ( 5.6 ) • Avoid concomitant use of omeprazole and sodium bicarbonate with clopidogrel. ( 5.7 ) • Cyanocobalamin (Vitamin B-12) Deficiency: Daily long-term use (e.g., longer than 3 years) may lead to malabsorption or a deficiency of cyanocobalamin. ( 5.8 ) • Hypomagnesemia has been reported rarely with prolonged treatment with PPIs. ( 5.9 ) • Avoid concomitant use of omeprazole and sodium bicarbonate with St. John's Wort or rifampin due to the potential reduction in omeprazole concentrations. ( 5.10 , 7.2 ) • Interactions with Diagnostic Investigations for Neuroendocrine Tumors: Increases in intragastric pH may result in hypergastrinemia and enterochromaffin-like cell hyperplasia and increased Chromogranin A levels which may interfere with diagnostic investigations for neuroendocrine tumors. ( 5.11 , 12.2 ) • Interaction with Methotrexate: Concomitant use with PPIs may elevate and/or prolong serum concentrations of methotrexate and/or its metabolite, possibly leading to toxicity. With high dose methotrexate administration, consider a temporary withdrawal of omeprazole and sodium bicarbonate. ( 5.12 , 7.8 ) • Fundic Gland Polyps: Risk increases with long-term use, especially beyond one year. Use the shortest duration of therapy. ( 5.13 )

Contraindications

Omeprazole and sodium bicarbonate is contraindicated in patients with known hypersensitivity to any components of the formulation. Hypersensitivity reactions may include anaphylaxis, anaphylactic shock, angioedema, bronchospasm, acute interstitial nephritis, and urticaria. [See Adverse Reactions (6) .]

Adverse Reactions

The following serious adverse reactions are described below and elsewhere in labeling: • Acute Interstitial Nephritis [see Warnings and Precautions (5.2) ] • Clostridium difficile -Associated Diarrhea [see Warnings and Precautions (5.4) ] • Bone Fracture [see Warnings and Precautions (5.5) ] • Cutaneous and Systemic Lupus Erythematosus [see Warnings and Precautions (5.6) ] • Cyanocobalamin (Vitamin B-12) Deficiency [see Warnings and Precautions (5.8) ] • Hypomagnesemia [see Warnings and Precautions (5.9) ] • Fundic Gland Polyps [see Warnings and Precautions (5.13) ]

Drug Interactions

• May interfere with drugs for which gastric pH can affect bioavailability (e.g., ketoconazole, ampicillin esters, iron salts, erlotinib, digoxin, and mycophenolate mofetil). ( 7.1 ) • Drugs metabolized by cytochrome P450 (e.g., diazepam, warfarin, phenytoin, cyclosporine, disulfiram, benzodiazepines): Omeprazole and sodium bicarbonate can prolong their elimination. Monitor to determine the need for possible dose adjustments when taken with omeprazole and sodium bicarbonate. ( 7.2 ) • Patients treated with proton pump inhibitors and warfarin concomitantly may need to be monitored for increases in INR and prothrombin time. ( 7.2 ) • Voriconazole: May increase plasma levels of omeprazole. ( 7.2 ) • Saquinavir: Omeprazole and sodium bicarbonate increases plasma levels of saquinavir. ( 7.3 ) • Omeprazole and sodium bicarbonate may reduce plasma levels of atazanavir and nelfinavir. ( 7.3 ) • Clopidogrel: Omeprazole and sodium bicarbonate decreases exposure to the active metabolite of clopidogrel. ( 7.5 ) • Tacrolimus: Omeprazole and sodium bicarbonate may increase serum levels of tacrolimus. ( 7.6 )


Medication Information

Warnings and Precautions

• Gastric Malignancy:  In adults, symptomatic response does not preclude the presence of gastric malignancy. Consider additional follow-up and diagnostic testing. ( 5.1 ) • Acute interstitial nephritis has been observed in patients taking PPIs. ( 5.2 ) • Buffer Content: contains sodium bicarbonate ( 5.3 ) • PPI therapy may be associated with increased risk of Clostridium difficile- associated diarrhea. ( 5.4 ) • Bone Fracture: Long-term and multiple daily dose PPI therapy may be associated with an increased risk for osteoporosis-related fractures of the hip, wrist, or spine. ( 5.5 ) • Cutaneous and Systemic Lupus Erythematosus: Mostly cutaneous; new onset or exacerbation of existing disease; discontinue omeprazole and sodium bicarbonate and refer to specialist for evaluation. ( 5.6 ) • Avoid concomitant use of omeprazole and sodium bicarbonate with clopidogrel. ( 5.7 ) • Cyanocobalamin (Vitamin B-12) Deficiency: Daily long-term use (e.g., longer than 3 years) may lead to malabsorption or a deficiency of cyanocobalamin. ( 5.8 ) • Hypomagnesemia has been reported rarely with prolonged treatment with PPIs. ( 5.9 ) • Avoid concomitant use of omeprazole and sodium bicarbonate with St. John's Wort or rifampin due to the potential reduction in omeprazole concentrations. ( 5.10 , 7.2 ) • Interactions with Diagnostic Investigations for Neuroendocrine Tumors: Increases in intragastric pH may result in hypergastrinemia and enterochromaffin-like cell hyperplasia and increased Chromogranin A levels which may interfere with diagnostic investigations for neuroendocrine tumors. ( 5.11 , 12.2 ) • Interaction with Methotrexate: Concomitant use with PPIs may elevate and/or prolong serum concentrations of methotrexate and/or its metabolite, possibly leading to toxicity. With high dose methotrexate administration, consider a temporary withdrawal of omeprazole and sodium bicarbonate. ( 5.12 , 7.8 ) • Fundic Gland Polyps: Risk increases with long-term use, especially beyond one year. Use the shortest duration of therapy. ( 5.13 )

Indications and Usage

Omeprazole and sodium bicarbonate is a proton pump inhibitor (PPI) indicated for: • Short-term treatment of active duodenal ulcer ( 1.1 ) • Short-term treatment of active benign gastric ulcer ( 1.2 ) • Treatment of gastroesophageal reflux disease (GERD) ( 1.3 ) • Maintenance of healing of erosive esophagitis ( 1.4 ) The safety and effectiveness of omeprazole and sodium bicarbonate capsules in pediatric patients (<18 years of age) have not been established. ( 8.4 )

Dosage and Administration

Omeprazole and sodium bicarbonate is available as a capsule in 20 mg and 40 mg strengths of omeprazole for adult use. Directions for use for each indication are summarized in Table 1 . All recommended doses throughout the labeling are based upon omeprazole. Since both the 20 mg and 40 mg capsules contain the same amount of sodium bicarbonate (1,100 mg), two capsules of 20 mg are not equivalent to one capsule of omeprazole and sodium bicarbonate 40 mg; therefore, two 20 mg capsules of omeprazole and sodium bicarbonate should not be substituted for one capsule of omeprazole and sodium bicarbonate 40 mg. Omeprazole and sodium bicarbonate capsules should be taken on an empty stomach at least one hour before a meal. Table 1: Recommended Doses of Omeprazole and Sodium Bicarbonate by Indication for Adults 18 Years and Older Indication Recommended Dose Frequency Short-Term Treatment of Active Duodenal Ulcer 20 mg Once daily for 4 weeks Most patients heal within 4 weeks. Some patients may require an additional 4 weeks of therapy. [See Clinical Studies (14.1) .] , For additional information, [See Indications and Usage (1) ] Benign Gastric Ulcer 40 mg Once daily for 4-8 weeks , Controlled studies do not extend beyond 12 months. [See Clinical Studies (14) .] Gastroesophageal Reflux Disease (GERD)   Symptomatic GERD (with no esophageal erosions) 20 mg Once daily for up to 4 weeks   Erosive Esophagitis 20 mg Once daily for 4-8 weeks Maintenance of Healing of Erosive Esophagitis 20 mg Once daily

Contraindications

Omeprazole and sodium bicarbonate is contraindicated in patients with known hypersensitivity to any components of the formulation. Hypersensitivity reactions may include anaphylaxis, anaphylactic shock, angioedema, bronchospasm, acute interstitial nephritis, and urticaria. [See Adverse Reactions (6) .]

Adverse Reactions

The following serious adverse reactions are described below and elsewhere in labeling: • Acute Interstitial Nephritis [see Warnings and Precautions (5.2) ] • Clostridium difficile -Associated Diarrhea [see Warnings and Precautions (5.4) ] • Bone Fracture [see Warnings and Precautions (5.5) ] • Cutaneous and Systemic Lupus Erythematosus [see Warnings and Precautions (5.6) ] • Cyanocobalamin (Vitamin B-12) Deficiency [see Warnings and Precautions (5.8) ] • Hypomagnesemia [see Warnings and Precautions (5.9) ] • Fundic Gland Polyps [see Warnings and Precautions (5.13) ]

Drug Interactions

• May interfere with drugs for which gastric pH can affect bioavailability (e.g., ketoconazole, ampicillin esters, iron salts, erlotinib, digoxin, and mycophenolate mofetil). ( 7.1 ) • Drugs metabolized by cytochrome P450 (e.g., diazepam, warfarin, phenytoin, cyclosporine, disulfiram, benzodiazepines): Omeprazole and sodium bicarbonate can prolong their elimination. Monitor to determine the need for possible dose adjustments when taken with omeprazole and sodium bicarbonate. ( 7.2 ) • Patients treated with proton pump inhibitors and warfarin concomitantly may need to be monitored for increases in INR and prothrombin time. ( 7.2 ) • Voriconazole: May increase plasma levels of omeprazole. ( 7.2 ) • Saquinavir: Omeprazole and sodium bicarbonate increases plasma levels of saquinavir. ( 7.3 ) • Omeprazole and sodium bicarbonate may reduce plasma levels of atazanavir and nelfinavir. ( 7.3 ) • Clopidogrel: Omeprazole and sodium bicarbonate decreases exposure to the active metabolite of clopidogrel. ( 7.5 ) • Tacrolimus: Omeprazole and sodium bicarbonate may increase serum levels of tacrolimus. ( 7.6 )

Description

Warnings and Precautions, Fundic Gland Polyps ( 5.13 ) 06/2018

Section 34077-8

Pregnancy Category C

Section 42229-5

Symptomatic GERD

Omeprazole and sodium bicarbonate is indicated for the treatment of heartburn and other symptoms associated with GERD for up to 4 weeks. [See Clinical Studies (14.3).]

Section 43683-2

Warnings and Precautions, Fundic Gland Polyps (5.13)

06/2018

Section 44425-7

Storage

Store at 25°C (77°F); excursions permitted to 15°C to 30°C (59°F to 86°F) [see USP Controlled Room Temperature].

Keep container tightly closed. Protect from light and moisture.

10 Overdosage

Reports have been received of overdosage with omeprazole in humans. Doses ranged up to 2400 mg (120 times the usual recommended clinical dose). Manifestations were variable, but included confusion, drowsiness, blurred vision, tachycardia, nausea, vomiting, diaphoresis, flushing, headache, dry mouth, and other adverse reactions similar to those seen in normal clinical experience [See Adverse Reactions (6)]. Symptoms were transient, and no serious clinical outcome has been reported when omeprazole was taken alone. No specific antidote for omeprazole overdosage is known. Omeprazole is extensively protein bound and is, therefore, not readily dialyzable. In the event of overdosage, treatment should be symptomatic and supportive.

As with the management of any overdose, the possibility of multiple drug ingestion should be considered. For current information on treatment of any drug overdose, a certified Regional Poison Control Center should be contacted. Telephone numbers are listed in the Physicians' Desk Reference (PDR) or local telephone book.

Single oral doses of omeprazole at 1350, 1339, and 1200 mg/kg were lethal to mice, rats, and dogs, respectively. Animals given these doses showed sedation, ptosis, tremors, convulsions, and decreased activity, body temperature, and respiratory rate and increased depth of respiration.

In addition, a sodium bicarbonate overdose may cause hypocalcemia, hypokalemia, hypernatremia, and seizures.

15 References
  • 1.
    Friedman JM and Polifka JE. Omeprazole. In: Teratogenic Effects of Drugs: A Resource for Clinicians (TERIS). 2nd ed. Baltimore, MD: The Johns Hopkins University Press 2000; p. 516.
  • 2.
    Källén BA. Use of omeprazole during pregnancy – no hazard demonstrated in 955 infants exposed during pregnancy. Eur J Obstet Gynecol Reprod Biol 2001 May;96(1):63-8.
  • 3.
    Ruigómez A, García Rodríquez LA, Cattaruzzi C, et al. Use of cimetidine, omeprazole, and ranitidine in pregnant women and pregnancy outcomes. Am J Epidemiol. 1999 Sep 1;150:476-81.
  • 4.
    Lalkin A, Loebstein R, Addis A, et al. The safety of omeprazole during pregnancy: a multicenter prospective controlled study. Am J Obstet Gynecol. 1998 Sep 1:179 (3 Pt 1):727-30.
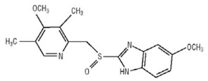
11 Description

Omeprazole and sodium bicarbonate is a combination of omeprazole, a proton-pump inhibitor, and sodium bicarbonate, an antacid. Omeprazole is a substituted benzimidazole, 5-methoxy-2-[[(4-methoxy-3,5dimethyl-2-pyridinyl)methyl]sulfinyl]-1H-benzimidazole, a racemic mixture of two enantiomers that inhibits gastric acid secretion. Its empirical formula is C17H19N3O3S, with a molecular weight of 345.42. The structural formula is:

Omeprazole, USP is a white or almost white powder which melts with decomposition at about 155°C. Soluble in dichloromethane, practically insoluble in water. The stability of omeprazole is a function of pH; it is rapidly degraded in acid media, but has acceptable stability under alkaline conditions.

Omeprazole and sodium bicarbonate is supplied as immediate-release capsules. Each capsule contains either 40 mg or 20 mg of omeprazole and 1100 mg of sodium bicarbonate with the following excipients: croscarmellose sodium and sodium stearyl fumarate. The capsules consist of gelatin and titanium dioxide. In addition the 20 mg/1100 mg capsule shell contains sodium lauryl sulfate and the 40 mg/1100 mg capsule shell contains FD&C Blue 1. The capsules are printed with edible ink containing black iron oxide, butyl alcohol, dehydrated alcohol, isopropyl alcohol, propylene glycol, potassium hydroxide, shellac and strong ammonia solution.

7.6 Tacrolimus

Concomitant administration of omeprazole and tacrolimus may increase the serum levels of tacrolimus.

7.5 Clopidogrel

Omeprazole is an inhibitor of CYP2C19 enzyme. Clopidogrel is metabolized to its active metabolite in part by CYP2C19. Concomitant use of omeprazole 80 mg results in reduced plasma concentrations of the active metabolite of clopidogrel and a reduction in platelet inhibition. Avoid concomitant administration of omeprazole and sodium bicarbonate with clopidogrel. When using omeprazole and sodium bicarbonate, consider use of alternative anti-platelet therapy. [See Clinical Pharmacology (12.3.)]

7.8 Methotrexate

Case reports, published population pharmacokinetic studies, and retrospective analyses suggest that concomitant administration of PPIs and methotrexate (primarily at high dose; see methotrexate prescribing information) may elevate and prolong serum levels of methotrexate and/or its metabolite hydroxymethotrexate. However, no formal drug interaction studies of methotrexate with PPIs have been conducted. [See Warnings and Precautions (5.12).]

Medication Guide

Omeprazole and Sodium Bicarbonate Capsules

oh-ME-pray-zol/SO-dee-um by-KAR-boe-nate

Read this Medication Guide before you start taking omeprazole and sodium bicarbonate capsules and each time you get a refill. There may be new information. This information does not take the place of talking to your doctor about your medical condition or treatment.

What is the most important information I should know about Omeprazole and Sodium Bicarbonate Capsules?

Omeprazole and sodium bicarbonate capsules may help with your acid-related symptoms, but you could still have serious stomach problems. Talk with your doctor.

Omeprazole and sodium bicarbonate capsules can cause serious side effects, including:

  • A type of kidney problem (acute interstitial nephritis). Some people who take proton pump inhibitor (PPI) medicines, including omeprazole and sodium bicarbonate capsules, may develop a kidney problem called acute interstitial nephritis that can happen at any time during treatment with omeprazole and sodium bicarbonate capsules. Call your doctor if you have a decrease in the amount that you urinate or if you have blood in your urine.
  • Omeprazole and sodium bicarbonate capsules contains sodium bicarbonate. Tell your doctor if you are on a sodium restricted diet or if you have Bartter's Syndrome (a rare kidney disorder).

    Tell your doctor right away if you have confusion, shaking hands, dizziness, muscle twitching, nausea, vomiting, and numbness or tingling in the face, arms, or legs.
  • Diarrhea. Omeprazole and sodium bicarbonate capsules may increase your risk of getting severe diarrhea. This diarrhea may be caused by an infection (Clostridium difficile) in your intestines.

    Call your doctor right away if you have watery stool, stomach pain, and fever that does not go away.
  • Bone fractures. People who take multiple daily doses of PPI medicines for a long period of time (a year or longer) may have an increased risk of fractures of the hip, wrist or spine. You should take omeprazole and sodium bicarbonate capsules exactly as prescribed, at the lowest dose possible for your treatment and for the shortest time needed. Talk to your doctor about your risk of bone fracture if you take omeprazole and sodium bicarbonate capsules.
  • Certain types of lupus erythematosus. Lupus erythematosus is an autoimmune disorder (the body's immune cells attack other cells or organs in the body). Some people who take PPI medicines, including omeprazole and sodium bicarbonate capsules, may develop certain types of lupus erythematosus or have worsening of the lupus they already have. Call your doctor right away if you have new or worsening joint paint or a rash on your cheeks or arms that gets worse in the sun.

Omeprazole and sodium bicarbonate capsules can have other serious side effects. See " Error! Hyperlink reference not valid."

What is Omeprazole and Sodium Bicarbonate Capsules?

Omeprazole and sodium bicarbonate capsules is a prescription medicine called a proton pump inhibitor (PPI). Omeprazole and sodium bicarbonate capsules reduces the amount of acid in your stomach.

Omeprazole and sodium bicarbonate capsules are used in adults:

  • for 4 weeks to heal ulcers in the first part of the small bowel (duodenal ulcers). Your doctor may prescribe another 4 weeks of omeprazole and sodium bicarbonate capsules.
  • for up to 8 weeks for healing stomach ulcers.
  • for up to 4 weeks to treat heartburn and other symptoms that happen with gastroesophageal reflux disease (GERD).

    GERD happens when acid from the stomach backs up into the tube (esophagus) that connects your mouth to your stomach. This may cause a burning feeling in your chest or throat, sour taste, or burping.
  • for up to 8 weeks to heal acid-related damage to the lining of the esophagus (called erosive esophagitis or EE).
  • to maintain healing of the esophagus. It is not known if omeprazole and sodium bicarbonate capsules is safe and effective if used longer than 12 months (1 year).

It is not known if omeprazole and sodium bicarbonate is safe and effective in children less than 18 years of age.

Who should not take Omeprazole and Sodium Bicarbonate Capsules?

Do not take omeprazole and sodium bicarbonate capsules if you:

  • are allergic to omeprazole or any of the ingredients in omeprazole and sodium bicarbonate capsules. See the end of this Medication Guide for a complete list of ingredients in omeprazole and sodium bicarbonate capsules.
  • are allergic to any other proton pump inhibitor (PPI) medicine.

What should I tell my doctor before I take Omeprazole and Sodium Bicarbonate Capsules?

Before you take omeprazole and sodium bicarbonate capsules, tell your doctor if you:

  • have been told that you have low magnesium, calcium, or potassium levels in your blood
  • have liver problems
  • have heart failure
  • have Bartter's syndrome (a rare kidney disorder)
  • have any allergies
  • have any other medical conditions
  • are pregnant or plan to become pregnant. It is not known if omeprazole and sodium bicarbonate can harm your unborn baby.
  • are breastfeeding or plan to breastfeed. Omeprazole and sodium bicarbonate can pass into your breast milk and may harm your baby. You and your doctor should decide if you will take omeprazole and sodium bicarbonate capsules or breastfeed. You should not do both. Talk with your doctor about the best way to feed your baby if you take omeprazole and sodium bicarbonate capsules.

Tell your doctor about all the medicines you take, including prescription and non-prescription drugs, anti-cancer drugs, vitamins and herbal supplements. Omeprazole and sodium bicarbonate capsules may affect how other medicines work, and other medicines may affect how omeprazole and sodium bicarbonate capsules works.

Especially tell your doctor if you take:

  • mycophenolate mofetil (Cellcept)
  • diazepam (Valium)
  • warfarin (Coumadin, Jantoven)
  • phenytoin (Dilantin)
  • cyclosporine (Gengraf, Neoral, Sandimmune)
  • disulfiram (Antabuse)
  • a benzodiazepine medicine
  • ketoconazole (Nizoral)
  • an antibiotic that contains ampicillin
  • products that contain iron
  • digoxin (Lanoxin)
  • voriconazole (Vfend)
  • atazanavir (Reyataz)
  • nelfinavir (Viracept)
  • tacrolimus (Prograf)
  • saquinavir (Fortovase)
  • clarithromycin (Biaxin, Biaxin XL)
  • clopidogrel (Plavix)
  • St. John's Wort (Hypericum perforatum)
  • rifampin (Rifater, Rifamate, Rimactane, Rifadin)
  • methotrexate

Ask your doctor or pharmacist for a list of these medicines, if you are not sure.

Know the medicines that you take. Keep a list of them to show your doctor and pharmacist when you get a new medicine.

How should I take Omeprazole and Sodium Bicarbonate Capsules?

  • Take omeprazole and sodium bicarbonate capsules exactly as prescribed by your doctor.
  • Do not change your dose or stop taking omeprazole and sodium bicarbonate capsules without talking to your doctor. Take omeprazole and sodium bicarbonate capsules on an empty stomach at least one hour before a meal.
  • Swallow omeprazole and sodium bicarbonate capsules whole with water. Do not use other liquids. Do not crush or chew the capsule. Do not open the capsule and sprinkle contents into food.
  • If you miss a dose of omeprazole and sodium bicarbonate capsules, take it as soon as you remember. If it is almost time for your next dose, do not take the missed dose. Take the next dose at your regular time. Do not take two doses to make up for a missed dose.
  • Do not substitute two 20 mg capsules for one 40 mg capsule of omeprazole and sodium bicarbonate capsules because you will receive twice the amount of sodium bicarbonate. Talk to your doctor if you have questions.
  • If you take too much omeprazole and sodium bicarbonate capsules, call your doctor or Poison Control Center right away, or go to the nearest hospital emergency room.
  • Your doctor may prescribe antibiotic medicines with omeprazole and sodium bicarbonate capsules to help treat a stomach infection and heal stomach-area (duodenal) ulcers that are caused by bacteria called H. pylori. Make sure you read the patient information that comes with an antibiotic before you start taking it.

What are the possible side effects of Omeprazole and Sodium Bicarbonate Capsules?

Omeprazole and sodium bicarbonate capsules may cause serious side effects, including:

  • See " Error! Hyperlink reference not valid."
  • Vitamin B-12 deficiency. Omeprazole and sodium bicarbonate capsules reduces the amount of acid in your stomach. Stomach acid is needed to absorb vitamin B-12 properly. Talk with your doctor about the possibility of vitamin B-12 deficiency if you have been on omeprazole and sodium bicarbonate capsules for a long time (more than 3 years).
  • Low magnesium levels in your body. This problem can be serious. Low magnesium can happen in some people who take a PPI medicine for at least 3 months. If low magnesium levels happen, it is usually after a year of treatment. You may or may not have symptoms of low magnesium.

    Tell your doctor right away if you develop any of these symptoms:
  • seizures
  • dizziness
  • abnormal or fast heartbeat
  • jitteriness
  • jerking movements or shaking (tremors)
  • muscle weakness
  • spasms of the hands and feet
  • cramps or muscle aches
  • spasm of the voice box

Your doctor may check the level of magnesium in your body before you start taking omeprazole and sodium bicarbonate capsules, or during treatment, if you will be taking omeprazole and sodium bicarbonate capsules for a long period of time.

  • Stomach growths (fundic gland polyps). People who take PPI medicines for a long time have an increased risk of developing a certain type of stomach growths called fundic gland polyps, especially after taking PPI medicines for more than 1 year. The most common side effects with omeprazole and sodium bicarbonate include:
  • headache
  • abdominal pain
  • nausea
  • diarrhea
  • vomiting
  • gas

Other side effects:

  • Serious allergic reactions. Tell your doctor if you get any of the following symptoms with omeprazole and sodium bicarbonate capsules.
  • rash
  • face swelling
  • throat tightness
  • difficulty breathing

Your doctor may stop omeprazole and sodium bicarbonate capsules if these symptoms happen.

Using omeprazole and sodium bicarbonate capsules for a long time may cause problems such as swelling and weight gain. Tell your doctor if this happens.

If you are on a low-sodium diet or at risk of developing congestive heart failure (CHF), you and your doctor should decide if you will take omeprazole and sodium bicarbonate capsules.

Tell your doctor if you have any side effect that bothers you or that does not go away.

These are not all the possible side effects of omeprazole and sodium bicarbonate capsules. For more information, ask your doctor or pharmacist.

Call your doctor for medical advice about side effects. You may report side effects to FDA at 1-800-FDA-1088.

How should I store Omeprazole and Sodium Bicarbonate Capsules?

  • Store omeprazole and sodium bicarbonate capsules at room temperature between 59°F to 86°F (15°C to 30°C).
  • Keep omeprazole and sodium bicarbonate capsules in a tightly closed container.
  • Keep omeprazole and sodium bicarbonate capsules in a dry place and out of light.

Keep omeprazole and sodium bicarbonate capsules and all medicines out of the reach of children.

General information about Omeprazole and Sodium Bicarbonate Capsules

Medicines are sometimes prescribed for purposes other than those listed in a Medication Guide. Do not use omeprazole and sodium bicarbonate capsules for any condition for which it was not prescribed by your doctor. Do not give omeprazole and sodium bicarbonate capsules to other people, even if they have the same symptoms as you. It may harm them.

This Medication Guide summarizes the most important information about omeprazole and sodium bicarbonate capsules. If you would like more information, talk to your doctor. You can also ask your doctor or pharmacist for information about omeprazole and sodium bicarbonate that is written for healthcare professionals.

For more information, call 1-844-221-7294.

What are the ingredients in Omeprazole and Sodium Bicarbonate Capsules?

Active ingredients: omeprazole, USP

Inactive ingredients of omeprazole and sodium bicarbonate capsules: sodium bicarbonate, croscarmellose sodium and sodium stearyl fumarate. The capsules consist of gelatin and titanium dioxide. In addition the 20 mg/1100 mg capsule shell contains sodium lauryl sulfate and the 40 mg/1100 mg capsule shell contains FD&C Blue 1. The capsules are printed with edible ink containing black iron oxide, butyl alcohol, dehydrated alcohol, isopropyl alcohol, propylene glycol, potassium hydroxide, shellac and strong ammonia solution.

Instructions for Use

For instructions on taking omeprazole and sodium bicarbonate capsules by mouth, see "Error! Hyperlink reference not valid."

This Medication Guide has been approved by the U.S. Food and Drug Administration.

Manufactured by:

ScieGen Pharmaceuticals, Inc.

Hauppauge, NY 11788 USA

Manufactured for:

Westminster Pharmaceuticals, LLC

Olive Branch, MS 38654 USA

Repackaged by:

Proficient Rx LP

Thousand Oaks, CA 91320

Rev: 07/18

1.2 Gastric Ulcer

Omeprazole and sodium bicarbonate is indicated for short-term treatment (4-8 weeks) of active benign gastric ulcer. [See Clinical Studies (14.2).]

5.5 Bone Fracture

Several published observational studies suggest that proton pump inhibitor (PPI) therapy may be associated with an increased risk for osteoporosis-related fractures of the hip, wrist, or spine. The risk of fracture was increased in patients who received high-dose, defined as multiple daily doses, and long-term PPI therapy (a year or longer). Patients should use the lowest dose and shortest duration of PPI therapy appropriate to the condition being treated. Patients at risk for osteoporosis-related fractures should be managed according to the established treatment guidelines. [See Dosage and Administration (2) and Adverse Reactions (6.2).]

8.4 Pediatric Use

Safety and effectiveness of omeprazole and sodium bicarbonate have not been established in pediatric patients less than 18 years of age.

8.5 Geriatric Use

Omeprazole was administered to over 2000 elderly individuals (≥ 65 years of age) in clinical trials in the U.S. and Europe. There were no differences in safety and effectiveness between the elderly and younger subjects. Other reported clinical experience has not identified differences in response between the elderly and younger subjects, but greater sensitivity of some older individuals cannot be ruled out.

Pharmacokinetic studies with buffered omeprazole have shown the elimination rate was somewhat decreased in the elderly and bioavailability was increased. The plasma clearance of omeprazole was 250 mL/min (about half that of young subjects). The plasma half-life averaged one hour, about twice that in nonelderly, healthy subjects taking omeprazole and sodium bicarbonate. However, no dosage adjustment is necessary in the elderly. [See Clinical Pharmacology (12.3).]

1.1 Duodenal Ulcer

Omeprazole and sodium bicarbonate is indicated for short-term treatment of active duodenal ulcer. Most patients heal within four weeks. Some patients may require an additional four weeks of therapy. [See Clinical Studies (14.1).]

14.2 Gastric Ulcer

In a U.S. multicenter, double-blind study of omeprazole 40 mg once a day, 20 mg once a day, and placebo in 520 patients with endoscopically diagnosed gastric ulcer, the following results were obtained. (See Table 9 )

Table : Treatment of Gastric Ulcer % of Patients Healed (All Patients Treated)
Omeprazole

40 mg once daily

(n=214)
Omeprazole

20 mg once daily

(n=202)
Palcebo

(n=104)

Week 4

55.6

(p < 0.01) omeprazole 40 mg or 20 mg versus placebo

47.5

30.8

Week 8

82.7

,
(p< 0.05) omeprazole 40 mg versus 20 mg

74.8

48.1

For the stratified groups of patients with ulcer size less than or equal to 1 cm, no difference in healing rates between 40 mg and 20 mg was detected at either 4 or 8 weeks. For patients with ulcer size greater than 1 cm, 40 mg was significantly more effective than 20 mg at 8 weeks.

In a foreign, multinational, double-blind study of 602 patients with endoscopically diagnosed gastric ulcer, omeprazole 40 mg once a day, 20 mg once a day, and ranitidine 150 mg twice a day were evaluated. (See Table 10 )

Table 9: Treatment of Gastric Ulcer % of Patients Healed (All Patients Treated)
Omeprazole

40 mg once daily

(n=187)
Omeprazole

20 mg once daily

(n=200)
Ranitidine

150 mg twice daily

(n=199)

Week 4

78.1

(p < 0.01) omeprazole 40 versus ranitidine
,
(p< 0.01) omeprazole 40 mg versus 20 mg

63.5

56.3

Week 8

91.4

,

81.5

78.4

5.3 Buffer Content

Each omeprazole and sodium bicarbonate capsule contains 1100 mg (13 mEq) of sodium bicarbonate. The total content of sodium in each capsule is 304 mg.

The sodium content of omeprazole and sodium bicarbonate products should be taken into consideration when administering to patients on a sodium restricted diet.

Because omeprazole and sodium bicarbonate products contain sodium bicarbonate, they should be used with caution in patients with Bartter's syndrome, hypokalemia, hypocalcemia, and problems with acid-base balance. Long-term administration of bicarbonate with calcium or milk can cause milk-alkali syndrome.

Chronic use of sodium bicarbonate may lead to systemic alkalosis and increased sodium intake can produce edema and weight increase.

5.9 Hypomagnesemia

Hypomagnesemia, symptomatic and asymptomatic, has been reported rarely in patients treated with PPIs for at least three months, in most cases after a year of therapy. Serious adverse events include tetany, arrhythmias, and seizures. In most patients, treatment of hypomagnesemia required magnesium replacement and discontinuation of the PPI.

For patients expected to be on prolonged treatment or who take PPIs with medications such as digoxin or drugs that may cause hypomagnesemia (e.g., diuretics), health care professionals may consider monitoring magnesium levels prior to initiation of PPI treatment and periodically. [See Adverse Reactions (6.2).]

4 Contraindications

Omeprazole and sodium bicarbonate is contraindicated in patients with known hypersensitivity to any components of the formulation. Hypersensitivity reactions may include anaphylaxis, anaphylactic shock, angioedema, bronchospasm, acute interstitial nephritis, and urticaria. [See Adverse Reactions (6).]

6 Adverse Reactions

The following serious adverse reactions are described below and elsewhere in labeling:

7 Drug Interactions
  • May interfere with drugs for which gastric pH can affect bioavailability (e.g., ketoconazole, ampicillin esters, iron salts, erlotinib, digoxin, and mycophenolate mofetil). (7.1)
  • Drugs metabolized by cytochrome P450 (e.g., diazepam, warfarin, phenytoin, cyclosporine, disulfiram, benzodiazepines): Omeprazole and sodium bicarbonate can prolong their elimination. Monitor to determine the need for possible dose adjustments when taken with omeprazole and sodium bicarbonate. (7.2)
  • Patients treated with proton pump inhibitors and warfarin concomitantly may need to be monitored for increases in INR and prothrombin time. (7.2)
  • Voriconazole: May increase plasma levels of omeprazole. (7.2)
  • Saquinavir: Omeprazole and sodium bicarbonate increases plasma levels of saquinavir. (7.3)
  • Omeprazole and sodium bicarbonate may reduce plasma levels of atazanavir and nelfinavir. (7.3)
  • Clopidogrel: Omeprazole and sodium bicarbonate decreases exposure to the active metabolite of clopidogrel. (7.5)
  • Tacrolimus: Omeprazole and sodium bicarbonate may increase serum levels of tacrolimus. (7.6)
8.3 Nursing Mothers

Omeprazole concentrations have been measured in breast milk of a woman following oral administration of 20 mg. The peak concentration of omeprazole in breast milk was less than 7% of the peak serum concentration. The concentration will correspond to 0.004 mg of omeprazole in 200 mL of milk. Because omeprazole is excreted in human milk, because of the potential for serious adverse reactions in nursing infants from omeprazole, and because of the potential for tumorigenicity shown for omeprazole in rat carcinogenicity studies, a decision should be made to discontinue nursing or to discontinue the drug, taking into account the importance of the drug to the mother. In addition, sodium bicarbonate should be used with caution in nursing mothers.

8.7 Renal Impairment

No dose reduction is necessary. [See Clinical Pharmacology (12.3).]

8.8 Asian Population

Recommend dose reduction, particularly for maintenance of healing of erosive esophagitis. [See Clinical Pharmacology (12.3).]

8.6 Hepatic Impairment

Consider dose reduction, particularly for maintenance of healing of erosive esophagitis. [See Clinical Pharmacology (12.3).]

1 Indications and Usage

Omeprazole and sodium bicarbonate is a proton pump inhibitor (PPI) indicated for:

  • Short-term treatment of active duodenal ulcer (1.1)
  • Short-term treatment of active benign gastric ulcer (1.2)
  • Treatment of gastroesophageal reflux disease (GERD) (1.3)
  • Maintenance of healing of erosive esophagitis (1.4)

The safety and effectiveness of omeprazole and sodium bicarbonate capsules in pediatric patients (<18 years of age) have not been established. (8.4)

12.1 Mechanism of Action

Omeprazole belongs to a class of antisecretory compounds, the substituted benzimidazoles, that do not exhibit anticholinergic or H2 histamine antagonistic properties, but that suppress gastric acid secretion by specific inhibition of the H+/K+ ATPase enzyme system at the secretory surface of the gastric parietal cell. Because this enzyme system is regarded as the acid (proton) pump within the gastric mucosa, omeprazole has been characterized as a gastric acid-pump inhibitor, in that it blocks the final step of acid production. This effect is dose related and leads to inhibition of both basal and stimulated acid secretion irrespective of the stimulus. Animal studies indicate that after rapid disappearance from plasma, omeprazole can be found within the gastric mucosa for a day or more.

Omeprazole is acid labile and thus rapidly degraded by gastric acid. Omeprazole and sodium bicarbonate capsules are immediate-release formulations that contain sodium bicarbonate which raises the gastric pH and thus protects omeprazole from acid degradation.

5.13 Fundic Gland Polyps

PPI use is associated with an increased risk of fundic gland polyps that increases with long-term use, especially beyond one year. Most PPIs users who developed fundic gland polyps were asymptomatic and fundic gland polyps were identified incidentally on endoscopy. Use the shortest duration of PPI therapy appropriate to the condition being treated.

5.4 Clostridium Difficile

Published observational studies suggest that PPI therapy like omeprazole and sodium bicarbonate may be associated with an increased risk of Clostridium difficile-associated diarrhea, especially in hospitalized patients. This diagnosis should be considered for diarrhea that does not improve. [See Adverse Reactions (6.2).]

Patients should use the lowest dose and shortest duration of PPI therapy appropriate to the condition being treated.

7.3 Antiretroviral Agents

Concomitant administration of atazanavir and proton pump inhibitors is not recommended. Co-administration of atazanavir with proton pump inhibitors is expected to substantially decrease atazanavir plasma concentrations and thereby reduce its therapeutic effect.

Omeprazole has been reported to interact with some antiretroviral drugs. The clinical importance and the mechanisms behind these interactions are not always known. Increased gastric pH during omeprazole treatment may change the absorption of the antiretroviral drug. Other possible interaction mechanisms are via CYP2C19. For some antiretroviral drugs, such as atazanavir and nelfinavir, decreased serum levels have been reported when given together with omeprazole. Following multiple doses of nelfinavir (1250 mg, twice daily) and omeprazole (40 mg, daily), AUC was decreased by 36% and 92%, Cmax by 37% and 89% and Cmin by 39% and 75% respectively for nelfinavir and M8. Following multiple doses of atazanavir (400 mg, daily) and omeprazole (40 mg, daily, 2 hours before atazanavir), AUC was decreased by 94%, Cmax by 96%, and Cmin by 95%. Concomitant administration with omeprazole and drugs such as atazanavir and nelfinavir is therefore not recommended.

5 Warnings and Precautions
  • Gastric Malignancy:  In adults, symptomatic response does not preclude the presence of gastric malignancy. Consider additional follow-up and diagnostic testing. (5.1)
  • Acute interstitial nephritis has been observed in patients taking PPIs. (5.2)
  • Buffer Content: contains sodium bicarbonate (5.3)
  • PPI therapy may be associated with increased risk of Clostridium difficile-associated diarrhea. (5.4)
  • Bone Fracture: Long-term and multiple daily dose PPI therapy may be associated with an increased risk for osteoporosis-related fractures of the hip, wrist, or spine. (5.5)
  • Cutaneous and Systemic Lupus Erythematosus: Mostly cutaneous; new onset or exacerbation of existing disease; discontinue omeprazole and sodium bicarbonate and refer to specialist for evaluation. (5.6)
  • Avoid concomitant use of omeprazole and sodium bicarbonate with clopidogrel. (5.7)
  • Cyanocobalamin (Vitamin B-12) Deficiency: Daily long-term use (e.g., longer than 3 years) may lead to malabsorption or a deficiency of cyanocobalamin. (5.8)
  • Hypomagnesemia has been reported rarely with prolonged treatment with PPIs. (5.9)
  • Avoid concomitant use of omeprazole and sodium bicarbonate with St. John's Wort or rifampin due to the potential reduction in omeprazole concentrations. (5.10, 7.2)
  • Interactions with Diagnostic Investigations for Neuroendocrine Tumors: Increases in intragastric pH may result in hypergastrinemia and enterochromaffin-like cell hyperplasia and increased Chromogranin A levels which may interfere with diagnostic investigations for neuroendocrine tumors. (5.11, 12.2)
  • Interaction with Methotrexate: Concomitant use with PPIs may elevate and/or prolong serum concentrations of methotrexate and/or its metabolite, possibly leading to toxicity. With high dose methotrexate administration, consider a temporary withdrawal of omeprazole and sodium bicarbonate. (5.12, 7.8)
  • Fundic Gland Polyps: Risk increases with long-term use, especially beyond one year. Use the shortest duration of therapy. (5.13)
2 Dosage and Administration

Omeprazole and sodium bicarbonate is available as a capsule in 20 mg and 40 mg strengths of omeprazole for adult use. Directions for use for each indication are summarized in Table 1. All recommended doses throughout the labeling are based upon omeprazole.

Since both the 20 mg and 40 mg capsules contain the same amount of sodium bicarbonate (1,100 mg), two capsules of 20 mg are not equivalent to one capsule of omeprazole and sodium bicarbonate 40 mg; therefore, two 20 mg capsules of omeprazole and sodium bicarbonate should not be substituted for one capsule of omeprazole and sodium bicarbonate 40 mg.

Omeprazole and sodium bicarbonate capsules should be taken on an empty stomach at least one hour before a meal.

Table 1: Recommended Doses of Omeprazole and Sodium Bicarbonate by Indication for Adults 18 Years and Older
Indication Recommended Dose Frequency

Short-Term Treatment of Active Duodenal Ulcer

20 mg

Once daily for 4 weeks

Most patients heal within 4 weeks. Some patients may require an additional 4 weeks of therapy. [See Clinical Studies (14.1).]
,
For additional information, [See Indications and Usage (1)]

Benign Gastric Ulcer

40 mg

Once daily for 4-8 weeks

,
Controlled studies do not extend beyond 12 months. [See Clinical Studies (14).]

Gastroesophageal Reflux Disease (GERD)

  Symptomatic GERD

(with no esophageal erosions)

20 mg

Once daily for up to 4 weeks

  Erosive Esophagitis

20 mg

Once daily for 4-8 weeks

Maintenance of Healing of Erosive Esophagitis

20 mg

Once daily

3 Dosage Forms and Strengths
  • Omeprazole and sodium bicarbonate is available as a capsule in 20 mg and 40 mg strengths. (3)
6.2 Postmarketing Experience

The following adverse reactions have been identified during post-approval use of omeprazole. Because these reactions are reported voluntarily from a population of uncertain size, it is not always possible to reliably estimate their frequency or establish a causal relationship to drug exposure.

Body as a Whole: Hypersensitivity reactions, including anaphylaxis, anaphylactic shock, angioedema, bronchospasm, interstitial nephritis, urticaria (see also Error! Hyperlink reference not valid. below), fever, pain, fatigue, malaise, and systemic lupus erythematosus.

Cardiovascular: Chest pain or angina, tachycardia, bradycardia, palpitation, elevated blood pressure, and peripheral edema.

Gastrointestinal: Pancreatitis (some fatal), anorexia, irritable colon, flatulence, fecal discoloration, esophageal candidiasis, mucosal atrophy of the tongue, dry mouth, stomatitis, abdominal swelling and fundic gland polyps. Gastroduodenal carcinoids have been reported in patients with Zollinger-Ellison syndrome on long-term treatment with omeprazole. This finding is believed to be a manifestation of the underlying condition, which is known to be associated with such tumors.

Hepatic: Mild and, rarely, marked elevations of liver function tests [ALT (SGPT), AST (SGOT), γ-glutamyltranspeptidase, alkaline phosphatase, and bilirubin (jaundice)]. In rare instances, overt liver disease has occurred, including hepatocellular, cholestatic, or mixed hepatitis, liver necrosis (some fatal), hepatic failure (some fatal), and hepatic encephalopathy.

Infections and Infestations: Clostridium difficile- associated diarrhea.

Metabolism and Nutritional Disorders: Hyponatremia, hypoglycemia, hypomagnesemia, and weight gain.

Musculoskeletal: Muscle cramps, myalgia, muscle weakness, joint pain, bone fracture, and leg pain.

Nervous System/Psychiatric: Psychic disturbances including depression, agitation, aggression, hallucinations, confusion, insomnia, nervousness, tremors, apathy, somnolence, anxiety, dream abnormalities; vertigo; paresthesia; and hemifacial dysesthesia.

Respiratory: Epistaxis, pharyngeal pain.

Skin: Severe generalized skin reactions including toxic epidermal necrolysis (TEN; some fatal), Stevens-Johnson syndrome, cutaneous lupus erythematosus and erythema multiforme (some severe); purpura and/or petechiae (some with rechallenge); skin inflammation, urticaria, angioedema, pruritus, photosensitivity, alopecia, dry skin, and hyperhidrosis.

Special Senses: Tinnitus, taste perversion.

Ocular: Blurred vision, ocular irritation, dry eye syndrome, optic atrophy, anterior ischemic optic neuropathy, optic neuritis and double vision.

Urogenital: Interstitial nephritis (some with positive rechallenge), urinary tract infection, microscopic pyuria, urinary frequency, elevated serum creatinine, proteinuria, hematuria, glycosuria, testicular pain, and gynecomastia.

Hematologic: Rare instances of pancytopenia, agranulocytosis (some fatal), thrombocytopenia, neutropenia, leukopenia, anemia, leukocytosis, and hemolytic anemia have been reported.

The incidence of clinical adverse experiences in patients greater than 65 years of age was similar to that in patients 65 years of age or less.

Additional adverse reactions that could be caused by sodium bicarbonate include metabolic alkalosis, seizures, and tetany.

8 Use in Specific Populations
  • Pregnancy: Based upon animal data, may cause fetal harm. (8.1)
  • The safety and effectiveness of omeprazole and sodium bicarbonate in pediatric patients less than 18 years of age have not been established. (8.4)
  • Hepatic Impairment: Consider dose reduction, particularly for maintenance of healing of erosive esophagitis. (12.3)
6.1 Clinical Trials Experience

Because clinical trials are conducted under widely varying conditions, adverse reaction rates observed in the clinical trials of a drug cannot be directly compared to rates in the clinical trials of another drug and may not reflect the rates observed in clinical practice.

In the U.S. clinical trial population of 465 patients, the adverse reactions summarized in Table 2 were reported to occur in 1% or more of patients on therapy with omeprazole. Numbers in parentheses indicate percentages of the adverse reactions considered by investigators as possibly, probably or definitely related to the drug.

Table 2: Adverse Reactions Occurring in 1% or More of Patients on Omeprazole Therapy
Omeprazole

(n = 465)
Placebo

(n = 64)
Ranitidine

(n = 195)

Headache

6.9 (2.4)

6.3

7.7 (2.6)

Diarrhea

3.0 (1.9)

3.1 (1.6)

2.1 (0.5)

Abdominal Pain

2.4 (0.4)

3.1

2.1

Nausea

2.2 (0.9)

3.1

4.1 (0.5)

URI

1.9

1.6

2.6

Dizziness

1.5 (0.6)

0.0

2.6 (1.0)

Vomiting

1.5 (0.4)

4.7

1.5 (0.5)

Rash

1.5 (1.1)

0.0

0.0

Constipation

1.1 (0.9)

0.0

0.0

Cough

1.1

0.0

1.5

Asthenia

1.1 (0.2)

1.6 (1.6)

1.5 (1.0)

Back Pain

1.1

0.0

0.5

Table 3 summarizes the adverse reactions that occurred in 1% or more of omeprazole-treated patients from international double-blind and open-label clinical trials in which 2,631 patients and subjects received omeprazole.

Table 3: Incidence of Adverse Reactions ≥ 1% Causal Relationship not Assessed
Omeprazole

(n = 2631)
Placebo

(n = 120)

Body as a Whole, Site Unspecified

  Abdominal Pain

5.2

3.3

  Asthenia

1.3

0.8

Digestive System

  Constipation

1.5

0.8

  Diarrhea

3.7

2.5

  Flatulence

2.7

5 .8

  Nausea

4.0

6.7

  Vomiting

3.2

10.0

  Acid Regurgitation

1.9

3.3

Nervous System/Psychiatric

  Headache

2.9

2.5

5.2 Acute Interstitial Nephritis

Acute interstitial nephritis has been observed in patients taking PPIs including omeprazole and sodium bicarbonate. Acute interstitial nephritis may occur at any point during PPI therapy and is generally attributed to an idiopathic hypersensitivity reaction. Discontinue omeprazole and sodium bicarbonate if acute interstitial nephritis develops. [See Contraindications (4).]

5.7 Interaction With Clopidogrel

Avoid concomitant use of omeprazole and sodium bicarbonate with clopidogrel. Clopidogrel is a prodrug. Inhibition of platelet aggregation by clopidogrel is entirely due to an active metabolite. The metabolism of clopidogrel to its active metabolite can be impaired by use with concomitant medications, such as omeprazole, that interfere with CYP2C19 activity. Concomitant use of clopidogrel with 80 mg omeprazole reduces the pharmacological activity of clopidogrel, even when administered 12 hours apart. When using omeprazole and sodium bicarbonate, consider alternative antiplatelet therapy. [see Drug Interactions (7.5) and Clinical Pharmacology (12.3) ]

17 Patient Counseling Information

Advise the patient to read the FDA-approved patient labeling (Medication Guide).

5.1 Presence of Gastric Malignancy

In adults, symptomatic response to therapy with omeprazole does not preclude the presence of gastric malignancy. Consider additional follow-up and diagnostic testing in adult patients who have a suboptimal response or an early symptomatic relapse after completing treatment with a proton pump inhibitor PPI. In older patients, also consider an endoscopy.

7.4 Combination Therapy With Clarithromycin

Concomitant administration of clarithromycin with other drugs can lead to serious adverse reactions due to drug interaction [See Warnings and Precautions in prescribing information for clarithromycin]. Because of these drug interactions, clarithromycin is contraindicated for co-administration with certain drugs [See Contraindications in prescribing information for clarithromycin.]

5.8 Cyanocobalamin (vitamin B 12) Deficiency

Daily treatment with any acid-suppressing medications over a long period of time (e.g., longer than 3 years) may lead to malabsorption of cyanocobalamin (vitamin B-12) caused by hypo- or achlorhydria. Rare reports of cyanocobalamin deficiency occurring with acid-suppressing therapy have been reported in the literature. This diagnosis should be considered if clinical symptoms consistent with cyanocobalamin deficiency are observed.

5.6 Cutaneous and Systemic Lupus Erythematosus

Cutaneous lupus erythematosus (CLE) and systemic lupus erythematosus (SLE) have been reported in patients taking PPIs, including omeprazole. These events have occurred as both new onset and an exacerbation of existing autoimmune disease. The majority of PPI-induced lupus erythematous cases were CLE.

The most common form of CLE reported in patients treated with PPIs was subacute CLE (SCLE) and occurred within weeks to years after continuous drug therapy in patients ranging from infants to the elderly. Generally, histological findings were observed without organ involvement.

Systemic lupus erythematosus (SLE) is less commonly reported than CLE in patients receiving PPIs. PPI associated SLE is usually milder than non-drug induced SLE. Onset of SLE typically occurred within days to years after initiating treatment in patients ranging from young adults to the elderly. The majority of patients presented with rash; however, arthralgia and cytopenia were also reported.

Avoid administration of PPIs for longer than medically indicated. If signs or symptoms consistent with CLE or SLE are noted in patients receiving omeprazole and sodium bicarbonate, discontinue the drug and refer the patient to the appropriate specialist for evaluation. Most patients improve with discontinuation of the PPI alone in 4 to 12 weeks. Serological testing (e.g. ANA) may be positive and elevated serological test results may take longer to resolve than clinical manifestations.

7.2 Drugs Metabolized By Cytochrome P450 (cyp)

Omeprazole can prolong the elimination of diazepam, warfarin and phenytoin, drugs that are metabolized by oxidation in the liver. There have been reports of increased international normalized ratio (INR) and prothrombin time in patients receiving proton pump inhibitors, including omeprazole, and warfarin concomitantly. Increases in INR and prothrombin time may lead to abnormal bleeding and even death. Patients treated with proton pump inhibitors and warfarin may need to be monitored for increases in INR and prothrombin time.

Although in normal subjects no interaction with theophylline or propranolol was found, there have been clinical reports of interaction with other drugs metabolized via the cytochrome P450 system (e.g., cyclosporine, disulfiram, benzodiazepines). Patients should be monitored to determine if it is necessary to adjust the dosage of these drugs when taken concomitantly with omeprazole and sodium bicarbonate.

Concomitant administration of omeprazole and voriconazole (a combined inhibitor of CYP2C19 and CYP3A4) resulted in more than doubling of the omeprazole exposure. Dose adjustment of omeprazole is not normally required. When voriconazole (400 mg every 12 hours for one day, then 200 mg for 6 days) was given with omeprazole (40 mg once daily for 7 days) to healthy subjects, it significantly increased the steady-state Cmax and AUC0-24 of omeprazole, an average of 2 times (90% CI: 1.8, 2.6) and 4 times (90% CI: 3.3, 4.4) respectively as compared to when omeprazole was given without voriconazole.

Drugs known to induce CYP2C19 or CYP3A4 (such as rifampin) may lead to decreased omeprazole serum levels. In a crossover study in 12 healthy male subjects, St. John's wort (300 mg three times daily for 14 days), an inducer of CYP3A4, decreased the systemic exposure of omeprazole in CYP2C19 poor metabolizers (Cmax and AUC decreased by 37.5% and 37.9%, respectively) and extensive metabolizers (Cmax and AUC decreased by 49.6% and 43.9%, respectively). Avoid concomitant use of St. John's Wort or rifampin with omeprazole.

1.4 Maintenance of Healing of Erosive Esophagitis

Omeprazole and sodium bicarbonate is indicated to maintain healing of erosive esophagitis. Controlled studies do not extend beyond 12 months. [See Clinical Studies (14.4).]

Principal Display Panel 20 Mg Capsule Bottle Label

NDC 71205-984-60

Rx Only

Omeprazole and Sodium

Bicarbonate Capsules

20 mg/1100 mg

PHARMACIST: Dispense the accompanying

Medication Guide to each patient.

60 Capsules

Principal Display Panel 40 Mg Capsule Bottle Label

NDC 71205-985-60

Rx Only

Omeprazole and Sodium

Bicarbonate Capsules

40 mg/1100 mg

PHARMACIST: Dispense the accompanying

Medication Guide to each patient.

60 Capsules

13.1 Carcinogenesis, Mutagenesis, Impairment of Fertility

In two 24-month carcinogenicity studies in rats, omeprazole at daily doses of 1.7, 3.4, 13.8, 44.0 and 140.8 mg/kg/day (approximately 0.4 to 34.2 times the human dose of 40 mg/day on a body surface area basis) produced gastric ECL cell carcinoids in a dose-related manner in both male and female rats; the incidence of this effect was markedly higher in female rats, which had higher blood levels of omeprazole. Gastric carcinoids seldom occur in the untreated rat. In addition, ECL cell hyperplasia was present in all treated groups of both sexes. In one of these studies, female rats were treated with 13.8 mg omeprazole/kg/day (approximately 3.36 times the human dose of 40 mg/day on a body surface area basis) for one year, then followed for an additional year without the drug. No carcinoids were seen in these rats. An increased incidence of treatment-related ECL cell hyperplasia was observed at the end of one year (94% treated versus 10% controls). By the second year the difference between treated and control rats was much smaller (46% versus 26%) but still showed more hyperplasia in the treated group. Gastric adenocarcinoma was seen in one rat (2%). No similar tumor was seen in male or female rats treated for two years. For this strain of rat no similar tumor has been noted historically, but a finding involving only one tumor is difficult to interpret. In a 52-week toxicity study in Sprague Dawley rats, brain astrocytomas were found in a small number of males that received omeprazole at dose levels of 0.4, 2, and 16 mg/kg/day (about 0.1 to 3.9 times the human dose of 40 mg/day on a body surface area basis). No astrocytomas were observed in female rats in this study. In a 2-year carcinogenicity study in Sprague Dawley rats, no astrocytomas were found in males and females at the high dose of 140.8 mg/kg/day (about 34 times the human dose of 40 mg/day on a body surface area basis). A 78-week mouse carcinogenicity study of omeprazole did not show increased tumor occurrence, but the study was not conclusive. A 26-week p53 (+/-) transgenic mouse carcinogenicity study was not positive.

Omeprazole was positive for clastogenic effects in an in vitro human lymphocyte chromosomal aberration assay, in one of two in vivo mouse micronucleus tests, and in an in vivo bone marrow cell chromosomal aberration assay. Omeprazole was negative in the in vitro Ames test, an in vitro mouse lymphoma cell forward mutation assay and an in vivo rat liver DNA damage assay.

In a 24-month carcinogenicity studies in rats, a dose-related significant increase in gastric carcinoid tumors and ECL cell hyperplasia was observed in both male and female animals [see Warnings and Precautions (5)]. Carcinoid tumors have also been observed in rats subjected to fundectomy or long-term treatment with other proton pump inhibitors or high doses of H2-receptor antagonists.

Omeprazole at oral doses up to 138 mg/kg/day (about 33.6 times the human dose of 40 mg/day on a body surface area basis) was found to have no effect on the fertility and general reproductive performance in rats.

7.1 Drugs for Which Gastric Ph Can Affect Bioavailability

Due to its effects on gastric acid secretion, omeprazole can reduce the absorption of drugs where gastric pH is an important determinant of their bioavailability. Like with other drugs that decrease the intragastric acidity, the absorption of drugs such as ketoconazole, atazanavir, iron salts, erlotinib, and mycophenolate mofetil (MMF) can decrease, while the absorption of drugs such as digoxin can increase during treatment with omeprazole.

Concomitant treatment with omeprazole (20 mg daily) and digoxin in healthy subjects increased the bioavailability of digoxin by 10% (30% in two subjects). Coadministration of digoxin with omeprazole and sodium bicarbonate is expected to increase the systemic exposure of digoxin. Therefore, patients may need to be monitored when digoxin is taken concomitantly with omeprazole and sodium bicarbonate.

Co-administration of omeprazole in healthy subjects and in transplant patients receiving MMF has been reported to reduce the exposure to the active metabolite, mycophenolic acid (MPA), possibly due to a decrease in MMF solubility at an increased gastric pH. The clinical relevance of reduced MPA exposure on organ rejection has not been established in transplant patients receiving omeprazole and sodium bicarbonate and MMF. Use omeprazole with caution in transplant patients receiving MMF. [See Clinical Pharmacology (12.3).]

14.4 Long Term Maintenance Treatment of Erosive Esophagitis

In a U.S. double-blind, randomized, multicenter, placebo-controlled study; two dose regimens of omeprazole were studied in patients with endoscopically confirmed healed esophagitis. Results to determine maintenance of healing of erosive esophagitis are shown in Table 13.

Table 12: Life Table Analysis
Omeprazole

20 mg once daily

(n=138)
Omeprazole

20 mg 3 days per week

(n=137)
Placebo

(n=131)

Percent in endoscopic remission at 6 months

70

(p < 0.01) omeprazole 20 mg once daily versus omeprazole 20 mg 3 consecutive days per week or placebo.

34

11

In an international, multicenter, double-blind study, omeprazole 20 mg daily and 10 mg daily were compared to ranitidine 150 mg twice daily in patients with endoscopically confirmed healed esophagitis. Table 14 provides the results of this study for maintenance of healing of erosive esophagitis.

Table 13: Life Table Analysis
Omeprazole

20 mg once daily

(n=131)
Omeprazole

10 mg once daily

(n=133)
Ranitidine

150 mg twice daily

(n=128)

Percent in Endoscopic Remission at 12 Months

77

(p = 0.01) omeprazole 20 mg once daily versus omeprazole 10 mg once daily or Ranitidine.

58

(p = 0.03) omeprazole 10 mg once daily versus Ranitidine.

46

In patients who initially had grades 3 or 4 erosive esophagitis, for maintenance after healing 20 mg daily of omeprazole was effective, while 10 mg did not demonstrate effectiveness.

7.7 Interactions With Investigations of Neuroendocrine Tumors

Drug-induced decrease in gastric acidity results in enterochromaffin-like cell hyperplasia and increased Chromogranin A levels which may interfere with investigations for neuroendocrine tumors. [See Clinical Pharmacology (12).]

5.11 Interactions With Investigations for Neuroendocrine Tumors

Serum chromogranin A (CgA) levels increase secondary to drug-induced decreases in gastric acidity. The increased CgA level may cause false positive results in diagnostic investigations for neuroendocrine tumors. Providers should temporarily stop omeprazole treatment before assessing CgA levels and consider repeating the test if initial CgA levels are high. If serial tests are performed (e.g., for monitoring), the same commercial laboratory should be used for testing, as reference ranges between tests may vary. [See Pharmacodynamics (12.2).]

5.12 Concomitant Use of Omeprazole and Sodium Bicarbonate With Methotrexate

Literature suggests that concomitant use of PPIs with methotrexate (primarily at high dose; see methotrexate prescribing information) may elevate and prolong serum levels of methotrexate and/or its metabolite, possibly leading to methotrexate toxicities. In high-dose methotrexate administration, a temporary withdrawal of the PPI may be considered in some patients. [See Drug Interactions (7.8).]

5.10 Concomitant Use of Omeprazole and Sodium Bicarbonate With St. John's Wort Or Rifampin

Drugs which induce CYP2C19 or CYP34A (such as St. John's Wort or rifampin) can substantially decrease omeprazole concentrations [see Drug Interactions (7.2)]. Avoid concomitant use of omeprazole and sodium bicarbonate with St John's Wort or rifampin.


Structured Label Content

Section 34077-8 (34077-8)

Pregnancy Category C

Section 42229-5 (42229-5)

Symptomatic GERD

Omeprazole and sodium bicarbonate is indicated for the treatment of heartburn and other symptoms associated with GERD for up to 4 weeks. [See Clinical Studies (14.3).]

Section 43683-2 (43683-2)

Warnings and Precautions, Fundic Gland Polyps (5.13)

06/2018

Section 44425-7 (44425-7)

Storage

Store at 25°C (77°F); excursions permitted to 15°C to 30°C (59°F to 86°F) [see USP Controlled Room Temperature].

Keep container tightly closed. Protect from light and moisture.

10 Overdosage (10 OVERDOSAGE)

Reports have been received of overdosage with omeprazole in humans. Doses ranged up to 2400 mg (120 times the usual recommended clinical dose). Manifestations were variable, but included confusion, drowsiness, blurred vision, tachycardia, nausea, vomiting, diaphoresis, flushing, headache, dry mouth, and other adverse reactions similar to those seen in normal clinical experience [See Adverse Reactions (6)]. Symptoms were transient, and no serious clinical outcome has been reported when omeprazole was taken alone. No specific antidote for omeprazole overdosage is known. Omeprazole is extensively protein bound and is, therefore, not readily dialyzable. In the event of overdosage, treatment should be symptomatic and supportive.

As with the management of any overdose, the possibility of multiple drug ingestion should be considered. For current information on treatment of any drug overdose, a certified Regional Poison Control Center should be contacted. Telephone numbers are listed in the Physicians' Desk Reference (PDR) or local telephone book.

Single oral doses of omeprazole at 1350, 1339, and 1200 mg/kg were lethal to mice, rats, and dogs, respectively. Animals given these doses showed sedation, ptosis, tremors, convulsions, and decreased activity, body temperature, and respiratory rate and increased depth of respiration.

In addition, a sodium bicarbonate overdose may cause hypocalcemia, hypokalemia, hypernatremia, and seizures.

15 References (15 REFERENCES)
  • 1.
    Friedman JM and Polifka JE. Omeprazole. In: Teratogenic Effects of Drugs: A Resource for Clinicians (TERIS). 2nd ed. Baltimore, MD: The Johns Hopkins University Press 2000; p. 516.
  • 2.
    Källén BA. Use of omeprazole during pregnancy – no hazard demonstrated in 955 infants exposed during pregnancy. Eur J Obstet Gynecol Reprod Biol 2001 May;96(1):63-8.
  • 3.
    Ruigómez A, García Rodríquez LA, Cattaruzzi C, et al. Use of cimetidine, omeprazole, and ranitidine in pregnant women and pregnancy outcomes. Am J Epidemiol. 1999 Sep 1;150:476-81.
  • 4.
    Lalkin A, Loebstein R, Addis A, et al. The safety of omeprazole during pregnancy: a multicenter prospective controlled study. Am J Obstet Gynecol. 1998 Sep 1:179 (3 Pt 1):727-30.
11 Description (11 DESCRIPTION)

Omeprazole and sodium bicarbonate is a combination of omeprazole, a proton-pump inhibitor, and sodium bicarbonate, an antacid. Omeprazole is a substituted benzimidazole, 5-methoxy-2-[[(4-methoxy-3,5dimethyl-2-pyridinyl)methyl]sulfinyl]-1H-benzimidazole, a racemic mixture of two enantiomers that inhibits gastric acid secretion. Its empirical formula is C17H19N3O3S, with a molecular weight of 345.42. The structural formula is:

Omeprazole, USP is a white or almost white powder which melts with decomposition at about 155°C. Soluble in dichloromethane, practically insoluble in water. The stability of omeprazole is a function of pH; it is rapidly degraded in acid media, but has acceptable stability under alkaline conditions.

Omeprazole and sodium bicarbonate is supplied as immediate-release capsules. Each capsule contains either 40 mg or 20 mg of omeprazole and 1100 mg of sodium bicarbonate with the following excipients: croscarmellose sodium and sodium stearyl fumarate. The capsules consist of gelatin and titanium dioxide. In addition the 20 mg/1100 mg capsule shell contains sodium lauryl sulfate and the 40 mg/1100 mg capsule shell contains FD&C Blue 1. The capsules are printed with edible ink containing black iron oxide, butyl alcohol, dehydrated alcohol, isopropyl alcohol, propylene glycol, potassium hydroxide, shellac and strong ammonia solution.

7.6 Tacrolimus

Concomitant administration of omeprazole and tacrolimus may increase the serum levels of tacrolimus.

7.5 Clopidogrel

Omeprazole is an inhibitor of CYP2C19 enzyme. Clopidogrel is metabolized to its active metabolite in part by CYP2C19. Concomitant use of omeprazole 80 mg results in reduced plasma concentrations of the active metabolite of clopidogrel and a reduction in platelet inhibition. Avoid concomitant administration of omeprazole and sodium bicarbonate with clopidogrel. When using omeprazole and sodium bicarbonate, consider use of alternative anti-platelet therapy. [See Clinical Pharmacology (12.3.)]

7.8 Methotrexate

Case reports, published population pharmacokinetic studies, and retrospective analyses suggest that concomitant administration of PPIs and methotrexate (primarily at high dose; see methotrexate prescribing information) may elevate and prolong serum levels of methotrexate and/or its metabolite hydroxymethotrexate. However, no formal drug interaction studies of methotrexate with PPIs have been conducted. [See Warnings and Precautions (5.12).]

Medication Guide (MEDICATION GUIDE)

Omeprazole and Sodium Bicarbonate Capsules

oh-ME-pray-zol/SO-dee-um by-KAR-boe-nate

Read this Medication Guide before you start taking omeprazole and sodium bicarbonate capsules and each time you get a refill. There may be new information. This information does not take the place of talking to your doctor about your medical condition or treatment.

What is the most important information I should know about Omeprazole and Sodium Bicarbonate Capsules?

Omeprazole and sodium bicarbonate capsules may help with your acid-related symptoms, but you could still have serious stomach problems. Talk with your doctor.

Omeprazole and sodium bicarbonate capsules can cause serious side effects, including:

  • A type of kidney problem (acute interstitial nephritis). Some people who take proton pump inhibitor (PPI) medicines, including omeprazole and sodium bicarbonate capsules, may develop a kidney problem called acute interstitial nephritis that can happen at any time during treatment with omeprazole and sodium bicarbonate capsules. Call your doctor if you have a decrease in the amount that you urinate or if you have blood in your urine.
  • Omeprazole and sodium bicarbonate capsules contains sodium bicarbonate. Tell your doctor if you are on a sodium restricted diet or if you have Bartter's Syndrome (a rare kidney disorder).

    Tell your doctor right away if you have confusion, shaking hands, dizziness, muscle twitching, nausea, vomiting, and numbness or tingling in the face, arms, or legs.
  • Diarrhea. Omeprazole and sodium bicarbonate capsules may increase your risk of getting severe diarrhea. This diarrhea may be caused by an infection (Clostridium difficile) in your intestines.

    Call your doctor right away if you have watery stool, stomach pain, and fever that does not go away.
  • Bone fractures. People who take multiple daily doses of PPI medicines for a long period of time (a year or longer) may have an increased risk of fractures of the hip, wrist or spine. You should take omeprazole and sodium bicarbonate capsules exactly as prescribed, at the lowest dose possible for your treatment and for the shortest time needed. Talk to your doctor about your risk of bone fracture if you take omeprazole and sodium bicarbonate capsules.
  • Certain types of lupus erythematosus. Lupus erythematosus is an autoimmune disorder (the body's immune cells attack other cells or organs in the body). Some people who take PPI medicines, including omeprazole and sodium bicarbonate capsules, may develop certain types of lupus erythematosus or have worsening of the lupus they already have. Call your doctor right away if you have new or worsening joint paint or a rash on your cheeks or arms that gets worse in the sun.

Omeprazole and sodium bicarbonate capsules can have other serious side effects. See " Error! Hyperlink reference not valid."

What is Omeprazole and Sodium Bicarbonate Capsules?

Omeprazole and sodium bicarbonate capsules is a prescription medicine called a proton pump inhibitor (PPI). Omeprazole and sodium bicarbonate capsules reduces the amount of acid in your stomach.

Omeprazole and sodium bicarbonate capsules are used in adults:

  • for 4 weeks to heal ulcers in the first part of the small bowel (duodenal ulcers). Your doctor may prescribe another 4 weeks of omeprazole and sodium bicarbonate capsules.
  • for up to 8 weeks for healing stomach ulcers.
  • for up to 4 weeks to treat heartburn and other symptoms that happen with gastroesophageal reflux disease (GERD).

    GERD happens when acid from the stomach backs up into the tube (esophagus) that connects your mouth to your stomach. This may cause a burning feeling in your chest or throat, sour taste, or burping.
  • for up to 8 weeks to heal acid-related damage to the lining of the esophagus (called erosive esophagitis or EE).
  • to maintain healing of the esophagus. It is not known if omeprazole and sodium bicarbonate capsules is safe and effective if used longer than 12 months (1 year).

It is not known if omeprazole and sodium bicarbonate is safe and effective in children less than 18 years of age.

Who should not take Omeprazole and Sodium Bicarbonate Capsules?

Do not take omeprazole and sodium bicarbonate capsules if you:

  • are allergic to omeprazole or any of the ingredients in omeprazole and sodium bicarbonate capsules. See the end of this Medication Guide for a complete list of ingredients in omeprazole and sodium bicarbonate capsules.
  • are allergic to any other proton pump inhibitor (PPI) medicine.

What should I tell my doctor before I take Omeprazole and Sodium Bicarbonate Capsules?

Before you take omeprazole and sodium bicarbonate capsules, tell your doctor if you:

  • have been told that you have low magnesium, calcium, or potassium levels in your blood
  • have liver problems
  • have heart failure
  • have Bartter's syndrome (a rare kidney disorder)
  • have any allergies
  • have any other medical conditions
  • are pregnant or plan to become pregnant. It is not known if omeprazole and sodium bicarbonate can harm your unborn baby.
  • are breastfeeding or plan to breastfeed. Omeprazole and sodium bicarbonate can pass into your breast milk and may harm your baby. You and your doctor should decide if you will take omeprazole and sodium bicarbonate capsules or breastfeed. You should not do both. Talk with your doctor about the best way to feed your baby if you take omeprazole and sodium bicarbonate capsules.

Tell your doctor about all the medicines you take, including prescription and non-prescription drugs, anti-cancer drugs, vitamins and herbal supplements. Omeprazole and sodium bicarbonate capsules may affect how other medicines work, and other medicines may affect how omeprazole and sodium bicarbonate capsules works.

Especially tell your doctor if you take:

  • mycophenolate mofetil (Cellcept)
  • diazepam (Valium)
  • warfarin (Coumadin, Jantoven)
  • phenytoin (Dilantin)
  • cyclosporine (Gengraf, Neoral, Sandimmune)
  • disulfiram (Antabuse)
  • a benzodiazepine medicine
  • ketoconazole (Nizoral)
  • an antibiotic that contains ampicillin
  • products that contain iron
  • digoxin (Lanoxin)
  • voriconazole (Vfend)
  • atazanavir (Reyataz)
  • nelfinavir (Viracept)
  • tacrolimus (Prograf)
  • saquinavir (Fortovase)
  • clarithromycin (Biaxin, Biaxin XL)
  • clopidogrel (Plavix)
  • St. John's Wort (Hypericum perforatum)
  • rifampin (Rifater, Rifamate, Rimactane, Rifadin)
  • methotrexate

Ask your doctor or pharmacist for a list of these medicines, if you are not sure.

Know the medicines that you take. Keep a list of them to show your doctor and pharmacist when you get a new medicine.

How should I take Omeprazole and Sodium Bicarbonate Capsules?

  • Take omeprazole and sodium bicarbonate capsules exactly as prescribed by your doctor.
  • Do not change your dose or stop taking omeprazole and sodium bicarbonate capsules without talking to your doctor. Take omeprazole and sodium bicarbonate capsules on an empty stomach at least one hour before a meal.
  • Swallow omeprazole and sodium bicarbonate capsules whole with water. Do not use other liquids. Do not crush or chew the capsule. Do not open the capsule and sprinkle contents into food.
  • If you miss a dose of omeprazole and sodium bicarbonate capsules, take it as soon as you remember. If it is almost time for your next dose, do not take the missed dose. Take the next dose at your regular time. Do not take two doses to make up for a missed dose.
  • Do not substitute two 20 mg capsules for one 40 mg capsule of omeprazole and sodium bicarbonate capsules because you will receive twice the amount of sodium bicarbonate. Talk to your doctor if you have questions.
  • If you take too much omeprazole and sodium bicarbonate capsules, call your doctor or Poison Control Center right away, or go to the nearest hospital emergency room.
  • Your doctor may prescribe antibiotic medicines with omeprazole and sodium bicarbonate capsules to help treat a stomach infection and heal stomach-area (duodenal) ulcers that are caused by bacteria called H. pylori. Make sure you read the patient information that comes with an antibiotic before you start taking it.

What are the possible side effects of Omeprazole and Sodium Bicarbonate Capsules?

Omeprazole and sodium bicarbonate capsules may cause serious side effects, including:

  • See " Error! Hyperlink reference not valid."
  • Vitamin B-12 deficiency. Omeprazole and sodium bicarbonate capsules reduces the amount of acid in your stomach. Stomach acid is needed to absorb vitamin B-12 properly. Talk with your doctor about the possibility of vitamin B-12 deficiency if you have been on omeprazole and sodium bicarbonate capsules for a long time (more than 3 years).
  • Low magnesium levels in your body. This problem can be serious. Low magnesium can happen in some people who take a PPI medicine for at least 3 months. If low magnesium levels happen, it is usually after a year of treatment. You may or may not have symptoms of low magnesium.

    Tell your doctor right away if you develop any of these symptoms:
  • seizures
  • dizziness
  • abnormal or fast heartbeat
  • jitteriness
  • jerking movements or shaking (tremors)
  • muscle weakness
  • spasms of the hands and feet
  • cramps or muscle aches
  • spasm of the voice box

Your doctor may check the level of magnesium in your body before you start taking omeprazole and sodium bicarbonate capsules, or during treatment, if you will be taking omeprazole and sodium bicarbonate capsules for a long period of time.

  • Stomach growths (fundic gland polyps). People who take PPI medicines for a long time have an increased risk of developing a certain type of stomach growths called fundic gland polyps, especially after taking PPI medicines for more than 1 year. The most common side effects with omeprazole and sodium bicarbonate include:
  • headache
  • abdominal pain
  • nausea
  • diarrhea
  • vomiting
  • gas

Other side effects:

  • Serious allergic reactions. Tell your doctor if you get any of the following symptoms with omeprazole and sodium bicarbonate capsules.
  • rash
  • face swelling
  • throat tightness
  • difficulty breathing

Your doctor may stop omeprazole and sodium bicarbonate capsules if these symptoms happen.

Using omeprazole and sodium bicarbonate capsules for a long time may cause problems such as swelling and weight gain. Tell your doctor if this happens.

If you are on a low-sodium diet or at risk of developing congestive heart failure (CHF), you and your doctor should decide if you will take omeprazole and sodium bicarbonate capsules.

Tell your doctor if you have any side effect that bothers you or that does not go away.

These are not all the possible side effects of omeprazole and sodium bicarbonate capsules. For more information, ask your doctor or pharmacist.

Call your doctor for medical advice about side effects. You may report side effects to FDA at 1-800-FDA-1088.

How should I store Omeprazole and Sodium Bicarbonate Capsules?

  • Store omeprazole and sodium bicarbonate capsules at room temperature between 59°F to 86°F (15°C to 30°C).
  • Keep omeprazole and sodium bicarbonate capsules in a tightly closed container.
  • Keep omeprazole and sodium bicarbonate capsules in a dry place and out of light.

Keep omeprazole and sodium bicarbonate capsules and all medicines out of the reach of children.

General information about Omeprazole and Sodium Bicarbonate Capsules

Medicines are sometimes prescribed for purposes other than those listed in a Medication Guide. Do not use omeprazole and sodium bicarbonate capsules for any condition for which it was not prescribed by your doctor. Do not give omeprazole and sodium bicarbonate capsules to other people, even if they have the same symptoms as you. It may harm them.

This Medication Guide summarizes the most important information about omeprazole and sodium bicarbonate capsules. If you would like more information, talk to your doctor. You can also ask your doctor or pharmacist for information about omeprazole and sodium bicarbonate that is written for healthcare professionals.

For more information, call 1-844-221-7294.

What are the ingredients in Omeprazole and Sodium Bicarbonate Capsules?

Active ingredients: omeprazole, USP

Inactive ingredients of omeprazole and sodium bicarbonate capsules: sodium bicarbonate, croscarmellose sodium and sodium stearyl fumarate. The capsules consist of gelatin and titanium dioxide. In addition the 20 mg/1100 mg capsule shell contains sodium lauryl sulfate and the 40 mg/1100 mg capsule shell contains FD&C Blue 1. The capsules are printed with edible ink containing black iron oxide, butyl alcohol, dehydrated alcohol, isopropyl alcohol, propylene glycol, potassium hydroxide, shellac and strong ammonia solution.

Instructions for Use

For instructions on taking omeprazole and sodium bicarbonate capsules by mouth, see "Error! Hyperlink reference not valid."

This Medication Guide has been approved by the U.S. Food and Drug Administration.

Manufactured by:

ScieGen Pharmaceuticals, Inc.

Hauppauge, NY 11788 USA

Manufactured for:

Westminster Pharmaceuticals, LLC

Olive Branch, MS 38654 USA

Repackaged by:

Proficient Rx LP

Thousand Oaks, CA 91320

Rev: 07/18

1.2 Gastric Ulcer

Omeprazole and sodium bicarbonate is indicated for short-term treatment (4-8 weeks) of active benign gastric ulcer. [See Clinical Studies (14.2).]

5.5 Bone Fracture

Several published observational studies suggest that proton pump inhibitor (PPI) therapy may be associated with an increased risk for osteoporosis-related fractures of the hip, wrist, or spine. The risk of fracture was increased in patients who received high-dose, defined as multiple daily doses, and long-term PPI therapy (a year or longer). Patients should use the lowest dose and shortest duration of PPI therapy appropriate to the condition being treated. Patients at risk for osteoporosis-related fractures should be managed according to the established treatment guidelines. [See Dosage and Administration (2) and Adverse Reactions (6.2).]

8.4 Pediatric Use

Safety and effectiveness of omeprazole and sodium bicarbonate have not been established in pediatric patients less than 18 years of age.

8.5 Geriatric Use

Omeprazole was administered to over 2000 elderly individuals (≥ 65 years of age) in clinical trials in the U.S. and Europe. There were no differences in safety and effectiveness between the elderly and younger subjects. Other reported clinical experience has not identified differences in response between the elderly and younger subjects, but greater sensitivity of some older individuals cannot be ruled out.

Pharmacokinetic studies with buffered omeprazole have shown the elimination rate was somewhat decreased in the elderly and bioavailability was increased. The plasma clearance of omeprazole was 250 mL/min (about half that of young subjects). The plasma half-life averaged one hour, about twice that in nonelderly, healthy subjects taking omeprazole and sodium bicarbonate. However, no dosage adjustment is necessary in the elderly. [See Clinical Pharmacology (12.3).]

1.1 Duodenal Ulcer

Omeprazole and sodium bicarbonate is indicated for short-term treatment of active duodenal ulcer. Most patients heal within four weeks. Some patients may require an additional four weeks of therapy. [See Clinical Studies (14.1).]

14.2 Gastric Ulcer

In a U.S. multicenter, double-blind study of omeprazole 40 mg once a day, 20 mg once a day, and placebo in 520 patients with endoscopically diagnosed gastric ulcer, the following results were obtained. (See Table 9 )

Table : Treatment of Gastric Ulcer % of Patients Healed (All Patients Treated)
Omeprazole

40 mg once daily

(n=214)
Omeprazole

20 mg once daily

(n=202)
Palcebo

(n=104)

Week 4

55.6

(p < 0.01) omeprazole 40 mg or 20 mg versus placebo

47.5

30.8

Week 8

82.7

,
(p< 0.05) omeprazole 40 mg versus 20 mg

74.8

48.1

For the stratified groups of patients with ulcer size less than or equal to 1 cm, no difference in healing rates between 40 mg and 20 mg was detected at either 4 or 8 weeks. For patients with ulcer size greater than 1 cm, 40 mg was significantly more effective than 20 mg at 8 weeks.

In a foreign, multinational, double-blind study of 602 patients with endoscopically diagnosed gastric ulcer, omeprazole 40 mg once a day, 20 mg once a day, and ranitidine 150 mg twice a day were evaluated. (See Table 10 )

Table 9: Treatment of Gastric Ulcer % of Patients Healed (All Patients Treated)
Omeprazole

40 mg once daily

(n=187)
Omeprazole

20 mg once daily

(n=200)
Ranitidine

150 mg twice daily

(n=199)

Week 4

78.1

(p < 0.01) omeprazole 40 versus ranitidine
,
(p< 0.01) omeprazole 40 mg versus 20 mg

63.5

56.3

Week 8

91.4

,

81.5

78.4

5.3 Buffer Content

Each omeprazole and sodium bicarbonate capsule contains 1100 mg (13 mEq) of sodium bicarbonate. The total content of sodium in each capsule is 304 mg.

The sodium content of omeprazole and sodium bicarbonate products should be taken into consideration when administering to patients on a sodium restricted diet.

Because omeprazole and sodium bicarbonate products contain sodium bicarbonate, they should be used with caution in patients with Bartter's syndrome, hypokalemia, hypocalcemia, and problems with acid-base balance. Long-term administration of bicarbonate with calcium or milk can cause milk-alkali syndrome.

Chronic use of sodium bicarbonate may lead to systemic alkalosis and increased sodium intake can produce edema and weight increase.

5.9 Hypomagnesemia

Hypomagnesemia, symptomatic and asymptomatic, has been reported rarely in patients treated with PPIs for at least three months, in most cases after a year of therapy. Serious adverse events include tetany, arrhythmias, and seizures. In most patients, treatment of hypomagnesemia required magnesium replacement and discontinuation of the PPI.

For patients expected to be on prolonged treatment or who take PPIs with medications such as digoxin or drugs that may cause hypomagnesemia (e.g., diuretics), health care professionals may consider monitoring magnesium levels prior to initiation of PPI treatment and periodically. [See Adverse Reactions (6.2).]

4 Contraindications (4 CONTRAINDICATIONS)

Omeprazole and sodium bicarbonate is contraindicated in patients with known hypersensitivity to any components of the formulation. Hypersensitivity reactions may include anaphylaxis, anaphylactic shock, angioedema, bronchospasm, acute interstitial nephritis, and urticaria. [See Adverse Reactions (6).]

6 Adverse Reactions (6 ADVERSE REACTIONS)

The following serious adverse reactions are described below and elsewhere in labeling:

7 Drug Interactions (7 DRUG INTERACTIONS)
  • May interfere with drugs for which gastric pH can affect bioavailability (e.g., ketoconazole, ampicillin esters, iron salts, erlotinib, digoxin, and mycophenolate mofetil). (7.1)
  • Drugs metabolized by cytochrome P450 (e.g., diazepam, warfarin, phenytoin, cyclosporine, disulfiram, benzodiazepines): Omeprazole and sodium bicarbonate can prolong their elimination. Monitor to determine the need for possible dose adjustments when taken with omeprazole and sodium bicarbonate. (7.2)
  • Patients treated with proton pump inhibitors and warfarin concomitantly may need to be monitored for increases in INR and prothrombin time. (7.2)
  • Voriconazole: May increase plasma levels of omeprazole. (7.2)
  • Saquinavir: Omeprazole and sodium bicarbonate increases plasma levels of saquinavir. (7.3)
  • Omeprazole and sodium bicarbonate may reduce plasma levels of atazanavir and nelfinavir. (7.3)
  • Clopidogrel: Omeprazole and sodium bicarbonate decreases exposure to the active metabolite of clopidogrel. (7.5)
  • Tacrolimus: Omeprazole and sodium bicarbonate may increase serum levels of tacrolimus. (7.6)
8.3 Nursing Mothers

Omeprazole concentrations have been measured in breast milk of a woman following oral administration of 20 mg. The peak concentration of omeprazole in breast milk was less than 7% of the peak serum concentration. The concentration will correspond to 0.004 mg of omeprazole in 200 mL of milk. Because omeprazole is excreted in human milk, because of the potential for serious adverse reactions in nursing infants from omeprazole, and because of the potential for tumorigenicity shown for omeprazole in rat carcinogenicity studies, a decision should be made to discontinue nursing or to discontinue the drug, taking into account the importance of the drug to the mother. In addition, sodium bicarbonate should be used with caution in nursing mothers.

8.7 Renal Impairment

No dose reduction is necessary. [See Clinical Pharmacology (12.3).]

8.8 Asian Population

Recommend dose reduction, particularly for maintenance of healing of erosive esophagitis. [See Clinical Pharmacology (12.3).]

8.6 Hepatic Impairment

Consider dose reduction, particularly for maintenance of healing of erosive esophagitis. [See Clinical Pharmacology (12.3).]

1 Indications and Usage (1 INDICATIONS AND USAGE)

Omeprazole and sodium bicarbonate is a proton pump inhibitor (PPI) indicated for:

  • Short-term treatment of active duodenal ulcer (1.1)
  • Short-term treatment of active benign gastric ulcer (1.2)
  • Treatment of gastroesophageal reflux disease (GERD) (1.3)
  • Maintenance of healing of erosive esophagitis (1.4)

The safety and effectiveness of omeprazole and sodium bicarbonate capsules in pediatric patients (<18 years of age) have not been established. (8.4)

12.1 Mechanism of Action

Omeprazole belongs to a class of antisecretory compounds, the substituted benzimidazoles, that do not exhibit anticholinergic or H2 histamine antagonistic properties, but that suppress gastric acid secretion by specific inhibition of the H+/K+ ATPase enzyme system at the secretory surface of the gastric parietal cell. Because this enzyme system is regarded as the acid (proton) pump within the gastric mucosa, omeprazole has been characterized as a gastric acid-pump inhibitor, in that it blocks the final step of acid production. This effect is dose related and leads to inhibition of both basal and stimulated acid secretion irrespective of the stimulus. Animal studies indicate that after rapid disappearance from plasma, omeprazole can be found within the gastric mucosa for a day or more.

Omeprazole is acid labile and thus rapidly degraded by gastric acid. Omeprazole and sodium bicarbonate capsules are immediate-release formulations that contain sodium bicarbonate which raises the gastric pH and thus protects omeprazole from acid degradation.

5.13 Fundic Gland Polyps

PPI use is associated with an increased risk of fundic gland polyps that increases with long-term use, especially beyond one year. Most PPIs users who developed fundic gland polyps were asymptomatic and fundic gland polyps were identified incidentally on endoscopy. Use the shortest duration of PPI therapy appropriate to the condition being treated.

5.4 Clostridium Difficile (5.4 Clostridium difficile)

Published observational studies suggest that PPI therapy like omeprazole and sodium bicarbonate may be associated with an increased risk of Clostridium difficile-associated diarrhea, especially in hospitalized patients. This diagnosis should be considered for diarrhea that does not improve. [See Adverse Reactions (6.2).]

Patients should use the lowest dose and shortest duration of PPI therapy appropriate to the condition being treated.

7.3 Antiretroviral Agents

Concomitant administration of atazanavir and proton pump inhibitors is not recommended. Co-administration of atazanavir with proton pump inhibitors is expected to substantially decrease atazanavir plasma concentrations and thereby reduce its therapeutic effect.

Omeprazole has been reported to interact with some antiretroviral drugs. The clinical importance and the mechanisms behind these interactions are not always known. Increased gastric pH during omeprazole treatment may change the absorption of the antiretroviral drug. Other possible interaction mechanisms are via CYP2C19. For some antiretroviral drugs, such as atazanavir and nelfinavir, decreased serum levels have been reported when given together with omeprazole. Following multiple doses of nelfinavir (1250 mg, twice daily) and omeprazole (40 mg, daily), AUC was decreased by 36% and 92%, Cmax by 37% and 89% and Cmin by 39% and 75% respectively for nelfinavir and M8. Following multiple doses of atazanavir (400 mg, daily) and omeprazole (40 mg, daily, 2 hours before atazanavir), AUC was decreased by 94%, Cmax by 96%, and Cmin by 95%. Concomitant administration with omeprazole and drugs such as atazanavir and nelfinavir is therefore not recommended.

5 Warnings and Precautions (5 WARNINGS AND PRECAUTIONS)
  • Gastric Malignancy:  In adults, symptomatic response does not preclude the presence of gastric malignancy. Consider additional follow-up and diagnostic testing. (5.1)
  • Acute interstitial nephritis has been observed in patients taking PPIs. (5.2)
  • Buffer Content: contains sodium bicarbonate (5.3)
  • PPI therapy may be associated with increased risk of Clostridium difficile-associated diarrhea. (5.4)
  • Bone Fracture: Long-term and multiple daily dose PPI therapy may be associated with an increased risk for osteoporosis-related fractures of the hip, wrist, or spine. (5.5)
  • Cutaneous and Systemic Lupus Erythematosus: Mostly cutaneous; new onset or exacerbation of existing disease; discontinue omeprazole and sodium bicarbonate and refer to specialist for evaluation. (5.6)
  • Avoid concomitant use of omeprazole and sodium bicarbonate with clopidogrel. (5.7)
  • Cyanocobalamin (Vitamin B-12) Deficiency: Daily long-term use (e.g., longer than 3 years) may lead to malabsorption or a deficiency of cyanocobalamin. (5.8)
  • Hypomagnesemia has been reported rarely with prolonged treatment with PPIs. (5.9)
  • Avoid concomitant use of omeprazole and sodium bicarbonate with St. John's Wort or rifampin due to the potential reduction in omeprazole concentrations. (5.10, 7.2)
  • Interactions with Diagnostic Investigations for Neuroendocrine Tumors: Increases in intragastric pH may result in hypergastrinemia and enterochromaffin-like cell hyperplasia and increased Chromogranin A levels which may interfere with diagnostic investigations for neuroendocrine tumors. (5.11, 12.2)
  • Interaction with Methotrexate: Concomitant use with PPIs may elevate and/or prolong serum concentrations of methotrexate and/or its metabolite, possibly leading to toxicity. With high dose methotrexate administration, consider a temporary withdrawal of omeprazole and sodium bicarbonate. (5.12, 7.8)
  • Fundic Gland Polyps: Risk increases with long-term use, especially beyond one year. Use the shortest duration of therapy. (5.13)
2 Dosage and Administration (2 DOSAGE AND ADMINISTRATION)

Omeprazole and sodium bicarbonate is available as a capsule in 20 mg and 40 mg strengths of omeprazole for adult use. Directions for use for each indication are summarized in Table 1. All recommended doses throughout the labeling are based upon omeprazole.

Since both the 20 mg and 40 mg capsules contain the same amount of sodium bicarbonate (1,100 mg), two capsules of 20 mg are not equivalent to one capsule of omeprazole and sodium bicarbonate 40 mg; therefore, two 20 mg capsules of omeprazole and sodium bicarbonate should not be substituted for one capsule of omeprazole and sodium bicarbonate 40 mg.

Omeprazole and sodium bicarbonate capsules should be taken on an empty stomach at least one hour before a meal.

Table 1: Recommended Doses of Omeprazole and Sodium Bicarbonate by Indication for Adults 18 Years and Older
Indication Recommended Dose Frequency

Short-Term Treatment of Active Duodenal Ulcer

20 mg

Once daily for 4 weeks

Most patients heal within 4 weeks. Some patients may require an additional 4 weeks of therapy. [See Clinical Studies (14.1).]
,
For additional information, [See Indications and Usage (1)]

Benign Gastric Ulcer

40 mg

Once daily for 4-8 weeks

,
Controlled studies do not extend beyond 12 months. [See Clinical Studies (14).]

Gastroesophageal Reflux Disease (GERD)

  Symptomatic GERD

(with no esophageal erosions)

20 mg

Once daily for up to 4 weeks

  Erosive Esophagitis

20 mg

Once daily for 4-8 weeks

Maintenance of Healing of Erosive Esophagitis

20 mg

Once daily

3 Dosage Forms and Strengths (3 DOSAGE FORMS AND STRENGTHS)
  • Omeprazole and sodium bicarbonate is available as a capsule in 20 mg and 40 mg strengths. (3)
6.2 Postmarketing Experience

The following adverse reactions have been identified during post-approval use of omeprazole. Because these reactions are reported voluntarily from a population of uncertain size, it is not always possible to reliably estimate their frequency or establish a causal relationship to drug exposure.

Body as a Whole: Hypersensitivity reactions, including anaphylaxis, anaphylactic shock, angioedema, bronchospasm, interstitial nephritis, urticaria (see also Error! Hyperlink reference not valid. below), fever, pain, fatigue, malaise, and systemic lupus erythematosus.

Cardiovascular: Chest pain or angina, tachycardia, bradycardia, palpitation, elevated blood pressure, and peripheral edema.

Gastrointestinal: Pancreatitis (some fatal), anorexia, irritable colon, flatulence, fecal discoloration, esophageal candidiasis, mucosal atrophy of the tongue, dry mouth, stomatitis, abdominal swelling and fundic gland polyps. Gastroduodenal carcinoids have been reported in patients with Zollinger-Ellison syndrome on long-term treatment with omeprazole. This finding is believed to be a manifestation of the underlying condition, which is known to be associated with such tumors.

Hepatic: Mild and, rarely, marked elevations of liver function tests [ALT (SGPT), AST (SGOT), γ-glutamyltranspeptidase, alkaline phosphatase, and bilirubin (jaundice)]. In rare instances, overt liver disease has occurred, including hepatocellular, cholestatic, or mixed hepatitis, liver necrosis (some fatal), hepatic failure (some fatal), and hepatic encephalopathy.

Infections and Infestations: Clostridium difficile- associated diarrhea.

Metabolism and Nutritional Disorders: Hyponatremia, hypoglycemia, hypomagnesemia, and weight gain.

Musculoskeletal: Muscle cramps, myalgia, muscle weakness, joint pain, bone fracture, and leg pain.

Nervous System/Psychiatric: Psychic disturbances including depression, agitation, aggression, hallucinations, confusion, insomnia, nervousness, tremors, apathy, somnolence, anxiety, dream abnormalities; vertigo; paresthesia; and hemifacial dysesthesia.

Respiratory: Epistaxis, pharyngeal pain.

Skin: Severe generalized skin reactions including toxic epidermal necrolysis (TEN; some fatal), Stevens-Johnson syndrome, cutaneous lupus erythematosus and erythema multiforme (some severe); purpura and/or petechiae (some with rechallenge); skin inflammation, urticaria, angioedema, pruritus, photosensitivity, alopecia, dry skin, and hyperhidrosis.

Special Senses: Tinnitus, taste perversion.

Ocular: Blurred vision, ocular irritation, dry eye syndrome, optic atrophy, anterior ischemic optic neuropathy, optic neuritis and double vision.

Urogenital: Interstitial nephritis (some with positive rechallenge), urinary tract infection, microscopic pyuria, urinary frequency, elevated serum creatinine, proteinuria, hematuria, glycosuria, testicular pain, and gynecomastia.

Hematologic: Rare instances of pancytopenia, agranulocytosis (some fatal), thrombocytopenia, neutropenia, leukopenia, anemia, leukocytosis, and hemolytic anemia have been reported.

The incidence of clinical adverse experiences in patients greater than 65 years of age was similar to that in patients 65 years of age or less.

Additional adverse reactions that could be caused by sodium bicarbonate include metabolic alkalosis, seizures, and tetany.

8 Use in Specific Populations (8 USE IN SPECIFIC POPULATIONS)
  • Pregnancy: Based upon animal data, may cause fetal harm. (8.1)
  • The safety and effectiveness of omeprazole and sodium bicarbonate in pediatric patients less than 18 years of age have not been established. (8.4)
  • Hepatic Impairment: Consider dose reduction, particularly for maintenance of healing of erosive esophagitis. (12.3)
6.1 Clinical Trials Experience

Because clinical trials are conducted under widely varying conditions, adverse reaction rates observed in the clinical trials of a drug cannot be directly compared to rates in the clinical trials of another drug and may not reflect the rates observed in clinical practice.

In the U.S. clinical trial population of 465 patients, the adverse reactions summarized in Table 2 were reported to occur in 1% or more of patients on therapy with omeprazole. Numbers in parentheses indicate percentages of the adverse reactions considered by investigators as possibly, probably or definitely related to the drug.

Table 2: Adverse Reactions Occurring in 1% or More of Patients on Omeprazole Therapy
Omeprazole

(n = 465)
Placebo

(n = 64)
Ranitidine

(n = 195)

Headache

6.9 (2.4)

6.3

7.7 (2.6)

Diarrhea

3.0 (1.9)

3.1 (1.6)

2.1 (0.5)

Abdominal Pain

2.4 (0.4)

3.1

2.1

Nausea

2.2 (0.9)

3.1

4.1 (0.5)

URI

1.9

1.6

2.6

Dizziness

1.5 (0.6)

0.0

2.6 (1.0)

Vomiting

1.5 (0.4)

4.7

1.5 (0.5)

Rash

1.5 (1.1)

0.0

0.0

Constipation

1.1 (0.9)

0.0

0.0

Cough

1.1

0.0

1.5

Asthenia

1.1 (0.2)

1.6 (1.6)

1.5 (1.0)

Back Pain

1.1

0.0

0.5

Table 3 summarizes the adverse reactions that occurred in 1% or more of omeprazole-treated patients from international double-blind and open-label clinical trials in which 2,631 patients and subjects received omeprazole.

Table 3: Incidence of Adverse Reactions ≥ 1% Causal Relationship not Assessed
Omeprazole

(n = 2631)
Placebo

(n = 120)

Body as a Whole, Site Unspecified

  Abdominal Pain

5.2

3.3

  Asthenia

1.3

0.8

Digestive System

  Constipation

1.5

0.8

  Diarrhea

3.7

2.5

  Flatulence

2.7

5 .8

  Nausea

4.0

6.7

  Vomiting

3.2

10.0

  Acid Regurgitation

1.9

3.3

Nervous System/Psychiatric

  Headache

2.9

2.5

5.2 Acute Interstitial Nephritis

Acute interstitial nephritis has been observed in patients taking PPIs including omeprazole and sodium bicarbonate. Acute interstitial nephritis may occur at any point during PPI therapy and is generally attributed to an idiopathic hypersensitivity reaction. Discontinue omeprazole and sodium bicarbonate if acute interstitial nephritis develops. [See Contraindications (4).]

5.7 Interaction With Clopidogrel (5.7 Interaction with Clopidogrel)

Avoid concomitant use of omeprazole and sodium bicarbonate with clopidogrel. Clopidogrel is a prodrug. Inhibition of platelet aggregation by clopidogrel is entirely due to an active metabolite. The metabolism of clopidogrel to its active metabolite can be impaired by use with concomitant medications, such as omeprazole, that interfere with CYP2C19 activity. Concomitant use of clopidogrel with 80 mg omeprazole reduces the pharmacological activity of clopidogrel, even when administered 12 hours apart. When using omeprazole and sodium bicarbonate, consider alternative antiplatelet therapy. [see Drug Interactions (7.5) and Clinical Pharmacology (12.3) ]

17 Patient Counseling Information (17 PATIENT COUNSELING INFORMATION)

Advise the patient to read the FDA-approved patient labeling (Medication Guide).

5.1 Presence of Gastric Malignancy

In adults, symptomatic response to therapy with omeprazole does not preclude the presence of gastric malignancy. Consider additional follow-up and diagnostic testing in adult patients who have a suboptimal response or an early symptomatic relapse after completing treatment with a proton pump inhibitor PPI. In older patients, also consider an endoscopy.

7.4 Combination Therapy With Clarithromycin (7.4 Combination Therapy with Clarithromycin)

Concomitant administration of clarithromycin with other drugs can lead to serious adverse reactions due to drug interaction [See Warnings and Precautions in prescribing information for clarithromycin]. Because of these drug interactions, clarithromycin is contraindicated for co-administration with certain drugs [See Contraindications in prescribing information for clarithromycin.]

5.8 Cyanocobalamin (vitamin B 12) Deficiency (5.8 Cyanocobalamin (Vitamin B-12) Deficiency)

Daily treatment with any acid-suppressing medications over a long period of time (e.g., longer than 3 years) may lead to malabsorption of cyanocobalamin (vitamin B-12) caused by hypo- or achlorhydria. Rare reports of cyanocobalamin deficiency occurring with acid-suppressing therapy have been reported in the literature. This diagnosis should be considered if clinical symptoms consistent with cyanocobalamin deficiency are observed.

5.6 Cutaneous and Systemic Lupus Erythematosus

Cutaneous lupus erythematosus (CLE) and systemic lupus erythematosus (SLE) have been reported in patients taking PPIs, including omeprazole. These events have occurred as both new onset and an exacerbation of existing autoimmune disease. The majority of PPI-induced lupus erythematous cases were CLE.

The most common form of CLE reported in patients treated with PPIs was subacute CLE (SCLE) and occurred within weeks to years after continuous drug therapy in patients ranging from infants to the elderly. Generally, histological findings were observed without organ involvement.

Systemic lupus erythematosus (SLE) is less commonly reported than CLE in patients receiving PPIs. PPI associated SLE is usually milder than non-drug induced SLE. Onset of SLE typically occurred within days to years after initiating treatment in patients ranging from young adults to the elderly. The majority of patients presented with rash; however, arthralgia and cytopenia were also reported.

Avoid administration of PPIs for longer than medically indicated. If signs or symptoms consistent with CLE or SLE are noted in patients receiving omeprazole and sodium bicarbonate, discontinue the drug and refer the patient to the appropriate specialist for evaluation. Most patients improve with discontinuation of the PPI alone in 4 to 12 weeks. Serological testing (e.g. ANA) may be positive and elevated serological test results may take longer to resolve than clinical manifestations.

7.2 Drugs Metabolized By Cytochrome P450 (cyp) (7.2 Drugs Metabolized by Cytochrome P450 (CYP))

Omeprazole can prolong the elimination of diazepam, warfarin and phenytoin, drugs that are metabolized by oxidation in the liver. There have been reports of increased international normalized ratio (INR) and prothrombin time in patients receiving proton pump inhibitors, including omeprazole, and warfarin concomitantly. Increases in INR and prothrombin time may lead to abnormal bleeding and even death. Patients treated with proton pump inhibitors and warfarin may need to be monitored for increases in INR and prothrombin time.

Although in normal subjects no interaction with theophylline or propranolol was found, there have been clinical reports of interaction with other drugs metabolized via the cytochrome P450 system (e.g., cyclosporine, disulfiram, benzodiazepines). Patients should be monitored to determine if it is necessary to adjust the dosage of these drugs when taken concomitantly with omeprazole and sodium bicarbonate.

Concomitant administration of omeprazole and voriconazole (a combined inhibitor of CYP2C19 and CYP3A4) resulted in more than doubling of the omeprazole exposure. Dose adjustment of omeprazole is not normally required. When voriconazole (400 mg every 12 hours for one day, then 200 mg for 6 days) was given with omeprazole (40 mg once daily for 7 days) to healthy subjects, it significantly increased the steady-state Cmax and AUC0-24 of omeprazole, an average of 2 times (90% CI: 1.8, 2.6) and 4 times (90% CI: 3.3, 4.4) respectively as compared to when omeprazole was given without voriconazole.

Drugs known to induce CYP2C19 or CYP3A4 (such as rifampin) may lead to decreased omeprazole serum levels. In a crossover study in 12 healthy male subjects, St. John's wort (300 mg three times daily for 14 days), an inducer of CYP3A4, decreased the systemic exposure of omeprazole in CYP2C19 poor metabolizers (Cmax and AUC decreased by 37.5% and 37.9%, respectively) and extensive metabolizers (Cmax and AUC decreased by 49.6% and 43.9%, respectively). Avoid concomitant use of St. John's Wort or rifampin with omeprazole.

1.4 Maintenance of Healing of Erosive Esophagitis

Omeprazole and sodium bicarbonate is indicated to maintain healing of erosive esophagitis. Controlled studies do not extend beyond 12 months. [See Clinical Studies (14.4).]

Principal Display Panel 20 Mg Capsule Bottle Label (PRINCIPAL DISPLAY PANEL - 20 mg Capsule Bottle Label)

NDC 71205-984-60

Rx Only

Omeprazole and Sodium

Bicarbonate Capsules

20 mg/1100 mg

PHARMACIST: Dispense the accompanying

Medication Guide to each patient.

60 Capsules

Principal Display Panel 40 Mg Capsule Bottle Label (PRINCIPAL DISPLAY PANEL - 40 mg Capsule Bottle Label)

NDC 71205-985-60

Rx Only

Omeprazole and Sodium

Bicarbonate Capsules

40 mg/1100 mg

PHARMACIST: Dispense the accompanying

Medication Guide to each patient.

60 Capsules

13.1 Carcinogenesis, Mutagenesis, Impairment of Fertility

In two 24-month carcinogenicity studies in rats, omeprazole at daily doses of 1.7, 3.4, 13.8, 44.0 and 140.8 mg/kg/day (approximately 0.4 to 34.2 times the human dose of 40 mg/day on a body surface area basis) produced gastric ECL cell carcinoids in a dose-related manner in both male and female rats; the incidence of this effect was markedly higher in female rats, which had higher blood levels of omeprazole. Gastric carcinoids seldom occur in the untreated rat. In addition, ECL cell hyperplasia was present in all treated groups of both sexes. In one of these studies, female rats were treated with 13.8 mg omeprazole/kg/day (approximately 3.36 times the human dose of 40 mg/day on a body surface area basis) for one year, then followed for an additional year without the drug. No carcinoids were seen in these rats. An increased incidence of treatment-related ECL cell hyperplasia was observed at the end of one year (94% treated versus 10% controls). By the second year the difference between treated and control rats was much smaller (46% versus 26%) but still showed more hyperplasia in the treated group. Gastric adenocarcinoma was seen in one rat (2%). No similar tumor was seen in male or female rats treated for two years. For this strain of rat no similar tumor has been noted historically, but a finding involving only one tumor is difficult to interpret. In a 52-week toxicity study in Sprague Dawley rats, brain astrocytomas were found in a small number of males that received omeprazole at dose levels of 0.4, 2, and 16 mg/kg/day (about 0.1 to 3.9 times the human dose of 40 mg/day on a body surface area basis). No astrocytomas were observed in female rats in this study. In a 2-year carcinogenicity study in Sprague Dawley rats, no astrocytomas were found in males and females at the high dose of 140.8 mg/kg/day (about 34 times the human dose of 40 mg/day on a body surface area basis). A 78-week mouse carcinogenicity study of omeprazole did not show increased tumor occurrence, but the study was not conclusive. A 26-week p53 (+/-) transgenic mouse carcinogenicity study was not positive.

Omeprazole was positive for clastogenic effects in an in vitro human lymphocyte chromosomal aberration assay, in one of two in vivo mouse micronucleus tests, and in an in vivo bone marrow cell chromosomal aberration assay. Omeprazole was negative in the in vitro Ames test, an in vitro mouse lymphoma cell forward mutation assay and an in vivo rat liver DNA damage assay.

In a 24-month carcinogenicity studies in rats, a dose-related significant increase in gastric carcinoid tumors and ECL cell hyperplasia was observed in both male and female animals [see Warnings and Precautions (5)]. Carcinoid tumors have also been observed in rats subjected to fundectomy or long-term treatment with other proton pump inhibitors or high doses of H2-receptor antagonists.

Omeprazole at oral doses up to 138 mg/kg/day (about 33.6 times the human dose of 40 mg/day on a body surface area basis) was found to have no effect on the fertility and general reproductive performance in rats.

7.1 Drugs for Which Gastric Ph Can Affect Bioavailability (7.1 Drugs for Which Gastric pH Can Affect Bioavailability)

Due to its effects on gastric acid secretion, omeprazole can reduce the absorption of drugs where gastric pH is an important determinant of their bioavailability. Like with other drugs that decrease the intragastric acidity, the absorption of drugs such as ketoconazole, atazanavir, iron salts, erlotinib, and mycophenolate mofetil (MMF) can decrease, while the absorption of drugs such as digoxin can increase during treatment with omeprazole.

Concomitant treatment with omeprazole (20 mg daily) and digoxin in healthy subjects increased the bioavailability of digoxin by 10% (30% in two subjects). Coadministration of digoxin with omeprazole and sodium bicarbonate is expected to increase the systemic exposure of digoxin. Therefore, patients may need to be monitored when digoxin is taken concomitantly with omeprazole and sodium bicarbonate.

Co-administration of omeprazole in healthy subjects and in transplant patients receiving MMF has been reported to reduce the exposure to the active metabolite, mycophenolic acid (MPA), possibly due to a decrease in MMF solubility at an increased gastric pH. The clinical relevance of reduced MPA exposure on organ rejection has not been established in transplant patients receiving omeprazole and sodium bicarbonate and MMF. Use omeprazole with caution in transplant patients receiving MMF. [See Clinical Pharmacology (12.3).]

14.4 Long Term Maintenance Treatment of Erosive Esophagitis (14.4 Long-Term Maintenance Treatment of Erosive Esophagitis)

In a U.S. double-blind, randomized, multicenter, placebo-controlled study; two dose regimens of omeprazole were studied in patients with endoscopically confirmed healed esophagitis. Results to determine maintenance of healing of erosive esophagitis are shown in Table 13.

Table 12: Life Table Analysis
Omeprazole

20 mg once daily

(n=138)
Omeprazole

20 mg 3 days per week

(n=137)
Placebo

(n=131)

Percent in endoscopic remission at 6 months

70

(p < 0.01) omeprazole 20 mg once daily versus omeprazole 20 mg 3 consecutive days per week or placebo.

34

11

In an international, multicenter, double-blind study, omeprazole 20 mg daily and 10 mg daily were compared to ranitidine 150 mg twice daily in patients with endoscopically confirmed healed esophagitis. Table 14 provides the results of this study for maintenance of healing of erosive esophagitis.

Table 13: Life Table Analysis
Omeprazole

20 mg once daily

(n=131)
Omeprazole

10 mg once daily

(n=133)
Ranitidine

150 mg twice daily

(n=128)

Percent in Endoscopic Remission at 12 Months

77

(p = 0.01) omeprazole 20 mg once daily versus omeprazole 10 mg once daily or Ranitidine.

58

(p = 0.03) omeprazole 10 mg once daily versus Ranitidine.

46

In patients who initially had grades 3 or 4 erosive esophagitis, for maintenance after healing 20 mg daily of omeprazole was effective, while 10 mg did not demonstrate effectiveness.

7.7 Interactions With Investigations of Neuroendocrine Tumors (7.7 Interactions with Investigations of Neuroendocrine Tumors)

Drug-induced decrease in gastric acidity results in enterochromaffin-like cell hyperplasia and increased Chromogranin A levels which may interfere with investigations for neuroendocrine tumors. [See Clinical Pharmacology (12).]

5.11 Interactions With Investigations for Neuroendocrine Tumors (5.11 Interactions with Investigations for Neuroendocrine Tumors)

Serum chromogranin A (CgA) levels increase secondary to drug-induced decreases in gastric acidity. The increased CgA level may cause false positive results in diagnostic investigations for neuroendocrine tumors. Providers should temporarily stop omeprazole treatment before assessing CgA levels and consider repeating the test if initial CgA levels are high. If serial tests are performed (e.g., for monitoring), the same commercial laboratory should be used for testing, as reference ranges between tests may vary. [See Pharmacodynamics (12.2).]

5.12 Concomitant Use of Omeprazole and Sodium Bicarbonate With Methotrexate (5.12 Concomitant Use of Omeprazole and Sodium Bicarbonate with Methotrexate)

Literature suggests that concomitant use of PPIs with methotrexate (primarily at high dose; see methotrexate prescribing information) may elevate and prolong serum levels of methotrexate and/or its metabolite, possibly leading to methotrexate toxicities. In high-dose methotrexate administration, a temporary withdrawal of the PPI may be considered in some patients. [See Drug Interactions (7.8).]

5.10 Concomitant Use of Omeprazole and Sodium Bicarbonate With St. John's Wort Or Rifampin (5.10 Concomitant Use of Omeprazole and Sodium Bicarbonate with St. John's Wort or Rifampin)

Drugs which induce CYP2C19 or CYP34A (such as St. John's Wort or rifampin) can substantially decrease omeprazole concentrations [see Drug Interactions (7.2)]. Avoid concomitant use of omeprazole and sodium bicarbonate with St John's Wort or rifampin.


Advanced Ingredient Data


Raw Label Data

All Sections (JSON)