These Highlights Do Not Include All The Information Needed To Use Qnasl Nasal Aerosol Safely And Effectively. See Full Prescribing Information For Qnasl Nasal Aerosol.

These Highlights Do Not Include All The Information Needed To Use Qnasl Nasal Aerosol Safely And Effectively. See Full Prescribing Information For Qnasl Nasal Aerosol.
SPL v8
SPL
SPL Set ID 4b8d8e84-b5d2-4e56-97ec-4f72971465c5
Route
NASAL
Published
Effective Date 2022-09-27
Document Type 34391-3 HUMAN PRESCRIPTION DRUG LABEL

Drug Facts

Composition & Product

Active Ingredients
Beclomethasone (40 ug)
Inactive Ingredients
Norflurane Alcohol

Identifiers & Packaging

Marketing Status
NDA Active Since 2019-01-02

Description

QNASL Nasal Aerosol is a corticosteroid indicated for the treatment of nasal symptoms associated with seasonal and perennial allergic rhinitis in patients 4 years of age and older. ( 1.1 )

Indications and Usage

QNASL Nasal Aerosol is a corticosteroid indicated for the treatment of nasal symptoms associated with seasonal and perennial allergic rhinitis in patients 4 years of age and older. ( 1.1 )

Dosage and Administration

Administer QNASL Nasal Aerosol by the intranasal route only. The dose counter should read “120” for QNASL 80 mcg Nasal Aerosol 120-actuation product and “60” for QNASL 40 mcg Nasal Aerosol 60-actuation product. QNASL Nasal Aerosol does not require priming. See accompanying illustrated Patient Information and Instructions for Use leaflet for proper use of QNASL Nasal Aerosol.

Warnings and Precautions

Nasal discomfort, epistaxis, nasal ulceration, Candida albicans infection, nasal septal perforation, impaired wound healing. Monitor patients periodically for signs of adverse effects on the nasal mucosa. Avoid use in patients with recent nasal ulcers, nasal surgery, or nasal trauma. ( 5.1 ) Eye Disorders. Monitor patients closely with a change in vision or with a history of increased intraocular pressure, blurred vision, glaucoma, and/or cataracts. ( 5.2 ) Hypersensitivity, rash, and urticaria may occur after administration of QNASL Nasal Aerosol. ( 5.3 ) Potential worsening of existing tuberculosis; fungal, bacterial, viral, or parasitic infections; or ocular herpes simplex. More serious or even fatal course of chickenpox or measles in susceptible patients. Use caution in patients with the above because of the potential for worsening of these infections. ( 5.4 ) Hypercorticism and adrenal suppression with very high dosages or at the regular dosage in susceptible individuals. If such changes occur, discontinue QNASL Nasal Aerosol slowly. ( 5.5 ) Potential reduction in growth velocity in pediatric patients. Monitor growth routinely in pediatric patients receiving QNASL Nasal Aerosol. ( 5.6 , 8.4 )

Contraindications

QNASL Nasal Aerosol is contraindicated in patients with a history of hypersensitivity to beclomethasone dipropionate and/or any other QNASL Nasal Aerosol ingredients [see Warnings and Precautions (5.3) ] .

Adverse Reactions

Systemic and local corticosteroid use may result in the following: Epistaxis, nasal discomfort, nasal ulcerations, Candida albicans infection, and impaired wound healing [see Warnings and Precautions (5.1) ] Eye Disorders [see Warnings and Precautions (5.2) ] Hypercorticism, adrenal suppression, and growth reduction [see Warnings and Precautions (5.5) (5.6) , Use in Specific Populations (8.4) ] Immunosuppression [see Warnings and Precautions (5.4) ]

Drug Interactions

No drug interaction studies have been performed with QNASL Nasal Aerosol.

Storage and Handling

QNASL Nasal Aerosol is supplied in 2 strengths and supplied as a pressurized aluminum canister inserted into a blue and white plastic nasal actuator with a built-in dose counter and white dust cap, as follows: QNASL 80 mcg Nasal Aerosol contains 10.6 g of drug and excipients and provides 120 actuations (NDC 59310-410-12).  Each actuation delivers 80 mcg of beclomethasone dipropionate from the nasal actuator and 100 mcg from the valve. QNASL 40 mcg Nasal Aerosol contains 6.8 g of drug and excipients and provides 60 actuations (NDC 59310-406-06).  Each actuation delivers 40 mcg of beclomethasone dipropionate from the nasal actuator and 50 mcg from the valve. Each canister of QNASL Nasal Aerosol has a dose counter, which initially reads 60 sprays or 120 sprays for the respective products, and counts down each time a spray is released.  The correct amount of medication in each intranasal dose cannot be ensured after the counter reads 0; therefore, the device should be discarded when the counter reads 0. Do not remove the QNASL Nasal Aerosol canister from the actuator.  The QNASL Nasal Aerosol canister should only be used with the QNASL Nasal Aerosol actuator and the actuator should not be used with any other drug product. CONTENTS UNDER PRESSURE Do not puncture.  Do not store near heat or open flame.  Do not expose to temperatures higher than 49°C (120°F) as this may cause bursting of the canister.  Never throw the device into a fire or an incinerator. Store at temperature between 20° and 25°C (68° and 77°F); excursions are permitted between 15° and 30°C (59° and 86°F). Keep out of reach of children.

How Supplied

QNASL Nasal Aerosol is supplied in 2 strengths and supplied as a pressurized aluminum canister inserted into a blue and white plastic nasal actuator with a built-in dose counter and white dust cap, as follows: QNASL 80 mcg Nasal Aerosol contains 10.6 g of drug and excipients and provides 120 actuations (NDC 59310-410-12).  Each actuation delivers 80 mcg of beclomethasone dipropionate from the nasal actuator and 100 mcg from the valve. QNASL 40 mcg Nasal Aerosol contains 6.8 g of drug and excipients and provides 60 actuations (NDC 59310-406-06).  Each actuation delivers 40 mcg of beclomethasone dipropionate from the nasal actuator and 50 mcg from the valve. Each canister of QNASL Nasal Aerosol has a dose counter, which initially reads 60 sprays or 120 sprays for the respective products, and counts down each time a spray is released.  The correct amount of medication in each intranasal dose cannot be ensured after the counter reads 0; therefore, the device should be discarded when the counter reads 0. Do not remove the QNASL Nasal Aerosol canister from the actuator.  The QNASL Nasal Aerosol canister should only be used with the QNASL Nasal Aerosol actuator and the actuator should not be used with any other drug product. CONTENTS UNDER PRESSURE Do not puncture.  Do not store near heat or open flame.  Do not expose to temperatures higher than 49°C (120°F) as this may cause bursting of the canister.  Never throw the device into a fire or an incinerator. Store at temperature between 20° and 25°C (68° and 77°F); excursions are permitted between 15° and 30°C (59° and 86°F). Keep out of reach of children.

Patient Information

QNASL ® (kyoo nay' zel) (beclomethasone dipropionate) Nasal Aerosol QNASL Nasal Aerosol is available in 2 different strengths: QNASL Nasal Aerosol 40 mcg is only for use in children 4 years to 11 years of age and should be given under the supervision of a parent, guardian or caregiver. QNASL Nasal Aerosol 80 mcg is only for use in adolescents and adults 12 years of age and older. What is QNASL Nasal Aerosol? QNASL Nasal Aerosol is a prescription medicine that treats seasonal nasal and year-round nasal allergy symptoms in children 4 years of age and older and adults. It is not known if QNASL Nasal Aerosol is safe and effective in children under 4 years of age. Who should not use QNASL Nasal Aerosol? Do not use QNASL Nasal Aerosol if you or your child is allergic to beclomethasone dipropionate or any of the ingredients in QNASL Nasal Aerosol. See the end of this leaflet for a complete list of ingredients in QNASL Nasal Aerosol. What should you tell your or your child’s healthcare provider before using QNASL Nasal Aerosol? Before using QNASL Nasal Aerosol, tell the healthcare provider about all of your medical conditions, including if you or your child: has had recent nose problems such as nasal sores, nasal surgery, or a nasal injury. has or have had eye problems, such as blurred vision, increased pressure in their eye (glaucoma) or cataracts. has tuberculosis or any untreated fungal, bacterial, or viral infections, or eye infections caused by herpes. has not had or been vaccinated for chickenpox or measles. is pregnant or plans to become pregnant. It is not known if QNASL Nasal Aerosol will harm an unborn baby. Talk to the healthcare provider if you or your child is pregnant or plans to become pregnant. is breastfeeding or plans to breastfeed. It is not known if QNASL Nasal Aerosol passes into breast milk. Talk to the healthcare provider about the best way to feed the baby if you or your child is using QNASL Nasal Aerosol. Tell the healthcare provider about all of the medicines you or your child takes, including prescription and over-the-counter medicines, vitamins, and herbal supplements. QNASL Nasal Aerosol and other medicines may affect each other and cause side effects. QNASL Nasal Aerosol may affect the way other medicines work, and other medicines may affect the way QNASL Nasal Aerosol works. Especially tell the healthcare provider if you or your child takes other corticosteroid medicines. Ask the healthcare provider for a list of these medicines if you are not sure. How should you or your child use QNASL Nasal Aerosol? QNASL Nasal Aerosol 40 mcg is only for use in children 4 years to 11 years of age and should be given under the supervision of a parent, guardian or caregiver. QNASL Nasal Aerosol 80 mcg is only for use in adults and adolescents 12 years of age and older. Read the step-by-step Instructions for Use at the end of this leaflet for specific information about the right way to use QNASL Nasal Aerosol. QNASL Nasal Aerosol is for use in the nose only. Do not spray it in your eyes or mouth and do not let your child spray it in their eyes or mouth. Use QNASL Nasal Aerosol exactly as the healthcare provider tells you or your child to use it. Do not use more of your medicine or use it more often or let your child use more of the medicine or use it more often than the healthcare provider tells you. QNASL Nasal Aerosol does not need to be primed. QNASL Nasal Aerosol 40 mcg: contains 60 sprays, and has a spray counter which initially should read 60 sprays, and counts down each time a spray is released QNASL Nasal Aerosol 80 mcg: contains 120 sprays, and has a spray counter which initially should read 120 sprays, and counts down each time a spray is released. Do not use the QNASL Nasal Aerosol after the spray counter reads 0 . You or your child may not get the right amount of medicine. The usual dose of QNASL Nasal Aerosol: 40 mcg is 1 spray in each nostril, 1 time a day for children who are 4 years to 11 years of age . Your child should not use more than a total of 2 sprays per day. 80 mcg is 2 sprays in each nostril , 1 time a day for adolescents and adults 12 years of age and older . You should not use more than a total of 4 sprays per day. You and your child will get the best results if they keep using QNASL Nasal Aerosol regularly each day. If you or your child’s symptoms do not improve or get worse, call the healthcare provider. What are the possible side effects of QNASL Nasal Aerosol? QNASL Nasal Aerosol may cause serious side effects, including: · nose bleeds or nasal ulcers. The healthcare provider should check the inside of you or your child’s nose (nasal mucosa) for problems during treatment with QNASL Nasal Aerosol. Talk to the healthcare provider if the nose bleeds or has nasal ulcers. fungal infections (thrush) in the nose, mouth, or throat. Tell the healthcare provider if you or your child has any redness or white colored patches in the mouth or throat. slow wound healing. You or your child should not use QNASL Nasal Aerosol until the nose has healed if there was a sore in the nose, if you or your child had surgery on the nose, or the nose has been injured. eye problems. If you or your child has had glaucoma, cataracts or blurred vision in the past, you or your child should have regular eye exams while using QNASL Nasal Aerosol. Tell the healthcare provider if you or your child has any change in vision during treatment with QNASL Nasal Aerosol. serious allergic reactions.  Stop using QNASL Nasal Aerosol and call the healthcare provider right away or get emergency medical help right away if you or your child get any of the following signs and symptoms of a serious allergic reaction: hives swelling of your lips, tongue or face rash breathing problems immune system effects and a higher chance for infections. Tell your or your child’s healthcare provider about any signs or symptoms of infection such as: fever body aches feeling tired vomiting pain chills nausea reduced adrenal function (adrenal insufficiency). Adrenal insufficiency can happen in people who take higher doses of QNASL than recommended over a long period of time. Symptoms of adrenal insufficiency may include: feeling tired nausea weakness vomiting dizziness slowed growth in children. Children should have their growth checked regularly while using QNASL Nasal Aerosol. The most common side effects with QNASL Nasal Aerosol  40 mcg in children who are 4 years to 11 years of age include: headache fever upper respiratory tract infection pain or swelling of your nose or throat (nasopharyngitis) The most common side effects with QNASL Nasal Aerosol  80 mcg in adults and adolescents 12 years of age and older include: nasal discomfort headaches nose bleeds (epistaxis) Tell the healthcare provider if you or your child has any side effect that bothers you or that does not go away. These are not all the possible side effects of QNASL Nasal Aerosol. For more information, ask the healthcare provider or pharmacist. Call your healthcare provider for medical advice about side effects. You may report side effects to FDA at 1-800-FDA-1088. How should I store QNASL Nasal Aerosol? Store QNASL Nasal Aerosol at room temperature between 68˚F to 77˚F (20˚C to 25˚C). Do not puncture the QNASL Nasal Aerosol canister. Do not store the QNASL Nasal Aerosol canister near heat or a flame. Temperatures above 120˚F (49˚C) may cause the canister to burst. Do not throw the QNASL Nasal Aerosol canister into a fire or an incinerator. Safely throw away medicine that is out of date or no longer needed. Keep QNASL Nasal Aerosol and all medicines out of the reach of children. General information about the safe and effective use of QNASL Nasal Aerosol Medicines are sometimes prescribed for purposes other than those listed in a Patient Information leaflet. Do not use QNASL Nasal Aerosol for a condition for which it was not prescribed. Do not give QNASL Nasal Aerosol to other people, even if they have the same symptoms that you or your child has. It may harm them. You can ask your pharmacist or healthcare provider for information about QNASL Nasal Aerosol that is written for health professionals. What are the ingredients in QNASL Nasal Aerosol? Active ingredient: beclomethasone dipropionate Inactive ingredient: propellant HFA-134a and dehydrated ethanol For more information, go to www.QNASL.com or call 1-855-55-QNASL (1-855-557-6275). Distributed by: Teva Pharmaceuticals USA, Inc.             Parsippany, NJ  07054 © 2020, Teva Respiratory, LLC.  All rights reserved. QNSPL-002 Rev. 02/2020 PLEASE SEE REVERSE SIDE FOR INSTRUCTIONS FOR USE. INSTRUCTIONS FOR USE QNASL® (kyoo nay' zel) 80 mcg (beclomethasone dipropionate) Nasal Aerosol Read these Instructions for Use for QNASL Nasal Aerosol before you start using it and each time you get a refill. There may be new information. This leaflet does not take the place of talking to your healthcare provider about your medical condition or treatment. Note: For Use in the Nose Only. Do not spray QNASL Nasal Aerosol in your eyes, mouth or directly onto your nasal septum (the wall between your 2 nostrils). The Parts of Your QNASL Nasal Aerosol The QNASL Nasal Aerosol device comes as a canister that fits into a nasal actuator with a built-in spray counter and protective dust cap. (See Figure A). Do not use the QNASL Nasal Aerosol actuator with a canister of medicine from any other inhaler. Do not use the QNASL Nasal Aerosol canister with an actuator from any other inhaler. Do not remove the QNASL Nasal Aerosol canister from the actuator. When you first remove the QNASL Nasal Aerosol device from the carton, the spray counter should read “120” (See Figure B). You do not need to prime your QNASL Nasal Aerosol device. Using Your QNASL Nasal Aerosol Device Step 1 : Blow your nose to clear your nostrils. Step 2 : Remove the protective dust cap from your QNASL Nasal Aerosol device by pulling it straight off. Step 3: Inspect the nasal actuator tip to make sure it is clear of foreign objects. Step 4: Hold your QNASL Nasal Aerosol device upright and insert the nasal actuator tip into one nostril (See Figure C) . Step 5 : Point the QNASL Nasal Aerosol device slightly away from the wall between your nostrils (nasal septum) while holding your other nostril closed (See Figure D) . Step 6 : Hold your breath and press down firmly and completely on the canister to release 1 spray (See Figure E) . Continue to hold your breath for 5 seconds after releasing the spray and then breathe out slowly through your mouth. Take the QNASL Nasal Aerosol device out of your nostril. Step 7 : Repeat steps 3-6 for the second spray in the same nostril. Step 8: Repeat steps 3-7 for your other nostril . Step 9: You should not blow your nose for the next 15 minutes. Note: The spray counter will count down each time there is a spray released from your QNASL Nasal Aerosol device. Step 10: Clean and store your device. See "Cleaning Your QNASL Nasal Aerosol Device." Cleaning Your QNASL Nasal Aerosol Device Wipe the nasal actuator tip with a clean, dry tissue or cloth (See Figure F). Do NOT wash or put any part of the QNASL Nasal Aerosol canister or actuator in water (See Figure G). Replace the protective dust cap. Keep your device clean and dry at all times. How to Know When to Stop Using your QNASL Aerosol Device The QNASL Nasal Aerosol device has a spray counter, which is there to let you know how many sprays of medicine you have left. Do not use your QNASL Nasal Aerosol device when 0 is shown in the spray counter window (See Figure H) . Throw away your QNASL Nasal Aerosol device when the spray counter reaches 0. Do not throw your QNASL Nasal Aerosol canister into a fire or an incinerator. Talk with your healthcare provider before your QNASL Nasal Aerosol medicine runs out to see if you should get a refill. Distributed by: Teva Pharmaceuticals USA, Inc.             Parsippany, NJ  07054   ©2020 Teva Respiratory, LLC. All rights reserved. QNSIFU80-002 Rev. 02/2020           This Patient Information and Instructions for Use has been approved by the U.S. Food and Drug Administration. INSTRUCTIONS FOR USE QNASL® (kyoo nay' zel) 40 mcg (beclomethasone dipropionate) Nasal Aerosol Read these Instructions for Use for QNASL Nasal Aerosol before your child starts using it and each time you get a refill. There may be new information. This leaflet does not take the place of talking to the healthcare provider about your child’s medical condition or treatment. Note: For Use in the Nose Only. Do not spray QNASL Nasal Aerosol in the eyes, mouth or directly onto the nasal septum (the wall between the 2 nostrils). The Parts of Your QNASL Nasal Aerosol The QNASL Nasal Aerosol device comes as a canister that fits into a nasal actuator with a built-in spray counter and protective dust cap. (See Figure A) Do not use the QNASL Nasal Aerosol actuator with a canister of medicine from any other inhaler. Do not use the QNASL Nasal Aerosol canister with an actuator from any other inhaler. Do not remove the QNASL Nasal Aerosol canister from the actuator. When you first remove the QNASL Nasal Aerosol device from the carton, the spray counter should read “60” (See Figure B) . You do not need to prime the QNASL Nasal Aerosol device.. Using the QNASL Nasal Aerosol 40 mcg Device in Children 4 Years to 11 Years of Age Children may need help from parents, guardians or caregivers. Step 1:  Have your child blow their nose to clear their nostrils. Step 2:  Remove the protective dust cap from the QNASL Nasal Aerosol device by pulling it straight off. Step 3:  Inspect the nasal actuator tip to make sure it is clear of foreign objects. Step 4:  Hold the QNASL Nasal Aerosol device upright and insert the nasal actuator tip into 1 nostril (See Figure C). Step 5:  Point the QNASL Nasal Aerosol device slightly away from the wall between the nostrils (nasal septum) while holding the other nostril closed (See Figure D). Step 6:  Have your child hold their breath and press down firmly and completely on the canister to release 1 spray (See Figure E). Continue to have your child hold their breath for 5 seconds after releasing the spray and then have them breathe out slowly through their mouth. Take the QNASL Nasal Aerosol device out of the nostril. Step 8:  Your child should not blow their nose for the next 15 minutes. Note:  The spray counter will count down each time there is a spray released from the QNASL Nasal Aerosol device. Step 9:  Clean and store the device. See "Cleaning the QNASL Nasal Aerosol Device." Cleaning the QNASL Nasal Aerosol Device Wipe the nasal actuator tip with a clean, dry tissue or cloth (See Figure F). Do NOT wash or put any part of the QNASL Nasal Aerosol canister or actuator in water (See Figure G). Replace the protective dust cap. Keep QNASL Nasal Aerosol device clean and dry at all times. How to Know When to Stop Using the QNASL Nasal Aerosol Device The QNASL Nasal Aerosol device has a spray counter, which is there to let you know how many sprays of medicine are left. Do not use the QNASL Nasal Aerosol device when 0 is shown in the spray counter window (See Figure H) . Throw away the QNASL Nasal Aerosol device when the spray counter reaches 0. Do not throw the QNASL Nasal Aerosol canister into a fire or an incinerator. Talk with the healthcare provider before the QNASL Nasal Aerosol medicine runs out to see if you should get a refill. Distributed by: Teva Pharmaceuticals USA, Inc.             Parsippany, NJ  07054 ©2020 Teva Respiratory, LLC. All rights reserved.            QNSIFU40-002 Rev. 02/2020 This Patient Information and Instructions for Use has been approved by the U.S. Food and Drug Administration.


Medication Information

Warnings and Precautions

Nasal discomfort, epistaxis, nasal ulceration, Candida albicans infection, nasal septal perforation, impaired wound healing. Monitor patients periodically for signs of adverse effects on the nasal mucosa. Avoid use in patients with recent nasal ulcers, nasal surgery, or nasal trauma. ( 5.1 ) Eye Disorders. Monitor patients closely with a change in vision or with a history of increased intraocular pressure, blurred vision, glaucoma, and/or cataracts. ( 5.2 ) Hypersensitivity, rash, and urticaria may occur after administration of QNASL Nasal Aerosol. ( 5.3 ) Potential worsening of existing tuberculosis; fungal, bacterial, viral, or parasitic infections; or ocular herpes simplex. More serious or even fatal course of chickenpox or measles in susceptible patients. Use caution in patients with the above because of the potential for worsening of these infections. ( 5.4 ) Hypercorticism and adrenal suppression with very high dosages or at the regular dosage in susceptible individuals. If such changes occur, discontinue QNASL Nasal Aerosol slowly. ( 5.5 ) Potential reduction in growth velocity in pediatric patients. Monitor growth routinely in pediatric patients receiving QNASL Nasal Aerosol. ( 5.6 , 8.4 )

Indications and Usage

QNASL Nasal Aerosol is a corticosteroid indicated for the treatment of nasal symptoms associated with seasonal and perennial allergic rhinitis in patients 4 years of age and older. ( 1.1 )

Dosage and Administration

Administer QNASL Nasal Aerosol by the intranasal route only. The dose counter should read “120” for QNASL 80 mcg Nasal Aerosol 120-actuation product and “60” for QNASL 40 mcg Nasal Aerosol 60-actuation product. QNASL Nasal Aerosol does not require priming. See accompanying illustrated Patient Information and Instructions for Use leaflet for proper use of QNASL Nasal Aerosol.

Contraindications

QNASL Nasal Aerosol is contraindicated in patients with a history of hypersensitivity to beclomethasone dipropionate and/or any other QNASL Nasal Aerosol ingredients [see Warnings and Precautions (5.3) ] .

Adverse Reactions

Systemic and local corticosteroid use may result in the following: Epistaxis, nasal discomfort, nasal ulcerations, Candida albicans infection, and impaired wound healing [see Warnings and Precautions (5.1) ] Eye Disorders [see Warnings and Precautions (5.2) ] Hypercorticism, adrenal suppression, and growth reduction [see Warnings and Precautions (5.5) (5.6) , Use in Specific Populations (8.4) ] Immunosuppression [see Warnings and Precautions (5.4) ]

Drug Interactions

No drug interaction studies have been performed with QNASL Nasal Aerosol.

Storage and Handling

QNASL Nasal Aerosol is supplied in 2 strengths and supplied as a pressurized aluminum canister inserted into a blue and white plastic nasal actuator with a built-in dose counter and white dust cap, as follows: QNASL 80 mcg Nasal Aerosol contains 10.6 g of drug and excipients and provides 120 actuations (NDC 59310-410-12).  Each actuation delivers 80 mcg of beclomethasone dipropionate from the nasal actuator and 100 mcg from the valve. QNASL 40 mcg Nasal Aerosol contains 6.8 g of drug and excipients and provides 60 actuations (NDC 59310-406-06).  Each actuation delivers 40 mcg of beclomethasone dipropionate from the nasal actuator and 50 mcg from the valve. Each canister of QNASL Nasal Aerosol has a dose counter, which initially reads 60 sprays or 120 sprays for the respective products, and counts down each time a spray is released.  The correct amount of medication in each intranasal dose cannot be ensured after the counter reads 0; therefore, the device should be discarded when the counter reads 0. Do not remove the QNASL Nasal Aerosol canister from the actuator.  The QNASL Nasal Aerosol canister should only be used with the QNASL Nasal Aerosol actuator and the actuator should not be used with any other drug product. CONTENTS UNDER PRESSURE Do not puncture.  Do not store near heat or open flame.  Do not expose to temperatures higher than 49°C (120°F) as this may cause bursting of the canister.  Never throw the device into a fire or an incinerator. Store at temperature between 20° and 25°C (68° and 77°F); excursions are permitted between 15° and 30°C (59° and 86°F). Keep out of reach of children.

How Supplied

QNASL Nasal Aerosol is supplied in 2 strengths and supplied as a pressurized aluminum canister inserted into a blue and white plastic nasal actuator with a built-in dose counter and white dust cap, as follows: QNASL 80 mcg Nasal Aerosol contains 10.6 g of drug and excipients and provides 120 actuations (NDC 59310-410-12).  Each actuation delivers 80 mcg of beclomethasone dipropionate from the nasal actuator and 100 mcg from the valve. QNASL 40 mcg Nasal Aerosol contains 6.8 g of drug and excipients and provides 60 actuations (NDC 59310-406-06).  Each actuation delivers 40 mcg of beclomethasone dipropionate from the nasal actuator and 50 mcg from the valve. Each canister of QNASL Nasal Aerosol has a dose counter, which initially reads 60 sprays or 120 sprays for the respective products, and counts down each time a spray is released.  The correct amount of medication in each intranasal dose cannot be ensured after the counter reads 0; therefore, the device should be discarded when the counter reads 0. Do not remove the QNASL Nasal Aerosol canister from the actuator.  The QNASL Nasal Aerosol canister should only be used with the QNASL Nasal Aerosol actuator and the actuator should not be used with any other drug product. CONTENTS UNDER PRESSURE Do not puncture.  Do not store near heat or open flame.  Do not expose to temperatures higher than 49°C (120°F) as this may cause bursting of the canister.  Never throw the device into a fire or an incinerator. Store at temperature between 20° and 25°C (68° and 77°F); excursions are permitted between 15° and 30°C (59° and 86°F). Keep out of reach of children.

Patient Information

QNASL® (kyoo nay' zel)

(beclomethasone dipropionate)

Nasal Aerosol

QNASL Nasal Aerosol is available in 2 different strengths:

  • QNASL Nasal Aerosol 40 mcg is only for use in children 4 years to 11 years of age and should be given under the supervision of a parent, guardian or caregiver.
  • QNASL Nasal Aerosol 80 mcg is only for use in adolescents and adults 12 years of age and older.

What is QNASL Nasal Aerosol?

QNASL Nasal Aerosol is a prescription medicine that treats seasonal nasal and year-round nasal allergy symptoms in children 4 years of age and older and adults.

It is not known if QNASL Nasal Aerosol is safe and effective in children under 4 years of age.

Who should not use QNASL Nasal Aerosol?

Do not use QNASL Nasal Aerosol if you or your child is allergic to beclomethasone dipropionate or any of the ingredients in QNASL Nasal Aerosol. See the end of this leaflet for a complete list of ingredients in QNASL Nasal Aerosol.

What should you tell your or your child’s healthcare provider before using QNASL Nasal Aerosol?

Before using QNASL Nasal Aerosol, tell the healthcare provider about all of your medical conditions, including if you or your child:

  • has had recent nose problems such as nasal sores, nasal surgery, or a nasal injury.
  • has or have had eye problems, such as blurred vision, increased pressure in their eye (glaucoma) or cataracts.
  • has tuberculosis or any untreated fungal, bacterial, or viral infections, or eye infections caused by herpes.

  • has not had or been vaccinated for chickenpox or measles.

  • is pregnant or plans to become pregnant. It is not known if QNASL Nasal Aerosol will harm an unborn baby. Talk to the healthcare provider if you or your child is pregnant or plans to become pregnant.

  • is breastfeeding or plans to breastfeed. It is not known if QNASL Nasal Aerosol passes into breast milk. Talk to the healthcare provider about the best way to feed the baby if you or your child is using QNASL Nasal Aerosol.

Tell the healthcare provider about all of the medicines you or your child takes, including prescription and over-the-counter medicines, vitamins, and herbal supplements.

QNASL Nasal Aerosol and other medicines may affect each other and cause side effects. QNASL Nasal Aerosol may affect the way other medicines work, and other medicines may affect the way QNASL Nasal Aerosol works.

Especially tell the healthcare provider if you or your child takes other corticosteroid medicines.

Ask the healthcare provider for a list of these medicines if you are not sure.

How should you or your child use QNASL Nasal Aerosol?

  • QNASL Nasal Aerosol 40 mcg is only for use in children 4 years to 11 years of age and should be given under the supervision of a parent, guardian or caregiver.
  • QNASL Nasal Aerosol 80 mcg is only for use in adults and adolescents 12 years of age and older.
  • Read the step-by-step Instructions for Use at the end of this leaflet for specific information about the right way to use QNASL Nasal Aerosol.
  • QNASL Nasal Aerosol is for use in the nose only. Do not spray it in your eyes or mouth and do not let your child spray it in their eyes or mouth.
  • Use QNASL Nasal Aerosol exactly as the healthcare provider tells you or your child to use it. Do not use more of your medicine or use it more often or let your child use more of the medicine or use it more often than the healthcare provider tells you.
  • QNASL Nasal Aerosol does not need to be primed.
  • QNASL Nasal Aerosol 40 mcg:
    • contains 60 sprays, and
    • has a spray counter which initially should read 60 sprays, and counts down each time a spray is released
  • QNASL Nasal Aerosol 80 mcg:
  • contains 120 sprays, and
  • has a spray counter which initially should read 120 sprays, and counts down each time a spray is released.
  • Do not use the QNASL Nasal Aerosol after the spray counter reads 0. You or your child may not get the right amount of medicine.
  • The usual dose of QNASL Nasal Aerosol:
  • 40 mcg is 1 spray in each nostril, 1 time a day for children who are 4 years to 11 years of age. Your child should not use more than a total of 2 sprays per day.
  • 80 mcg is 2 sprays in each nostril, 1 time a day for adolescents and adults 12 years of age and older. You should not use more than a total of 4 sprays per day.

You and your child will get the best results if they keep using QNASL Nasal Aerosol regularly each day. If you or your child’s symptoms do not improve or get worse, call the healthcare provider.

What are the possible side effects of QNASL Nasal Aerosol?

QNASL Nasal Aerosol may cause serious side effects, including:

  • ·nose bleeds or nasal ulcers. The healthcare provider should check the inside of you or your child’s nose (nasal mucosa) for problems during treatment with QNASL Nasal Aerosol. Talk to the healthcare provider if the nose bleeds or has nasal ulcers.
  • fungal infections (thrush) in the nose, mouth, or throat. Tell the healthcare provider if you or your child has any redness or white colored patches in the mouth or throat.
  • slow wound healing. You or your child should not use QNASL Nasal Aerosol until the nose has healed if there was a sore in the nose, if you or your child had surgery on the nose, or the nose has been injured.

  • eye problems. If you or your child has had glaucoma, cataracts or blurred vision in the past, you or your child should have regular eye exams while using QNASL Nasal Aerosol. Tell the healthcare provider if you or your child has any change in vision during treatment with QNASL Nasal Aerosol.

  • serious allergic reactions. Stop using QNASL Nasal Aerosol and call the healthcare provider right away or get emergency medical help right away if you or your child get any of the following signs and symptoms of a serious allergic reaction:

  • hives
  • swelling of your lips, tongue or face
  • rash
  • breathing problems
  • immune system effects and a higher chance for infections. Tell your or your child’s healthcare provider about any signs or symptoms of infection such as:
  • fever
  • body aches
  • feeling tired
  • vomiting
  • pain
  • chills
  • nausea
  • reduced adrenal function (adrenal insufficiency). Adrenal insufficiency can happen in people who take higher doses of QNASL than recommended over a long period of time. Symptoms of adrenal insufficiency may include:
  • feeling tired
  • nausea
  • weakness
  • vomiting
  • dizziness
  • slowed growth in children. Children should have their growth checked regularly while using QNASL Nasal Aerosol.

The most common side effects with QNASL Nasal Aerosol  40 mcg in children who are 4 years to 11 years of age include:

  • headache
  • fever
  • upper respiratory tract infection
  • pain or swelling of your nose or throat (nasopharyngitis)

The most common side effects with QNASL Nasal Aerosol  80 mcg in adults and adolescents 12 years of age and older include:

  • nasal discomfort
  • headaches
  • nose bleeds (epistaxis)

Tell the healthcare provider if you or your child has any side effect that bothers you or that does not go away.

These are not all the possible side effects of QNASL Nasal Aerosol. For more information, ask the healthcare provider or pharmacist.

Call your healthcare provider for medical advice about side effects. You may report side effects to FDA at 1-800-FDA-1088.

How should I store QNASL Nasal Aerosol?

  • Store QNASL Nasal Aerosol at room temperature between 68˚F to 77˚F (20˚C to 25˚C).
  • Do not puncture the QNASL Nasal Aerosol canister.
  • Do not store the QNASL Nasal Aerosol canister near heat or a flame. Temperatures above 120˚F (49˚C) may cause the canister to burst.
  • Do not throw the QNASL Nasal Aerosol canister into a fire or an incinerator.
  • Safely throw away medicine that is out of date or no longer needed.

Keep QNASL Nasal Aerosol and all medicines out of the reach of children.

General information about the safe and effective use of QNASL Nasal Aerosol

Medicines are sometimes prescribed for purposes other than those listed in a Patient Information leaflet. Do not use QNASL Nasal Aerosol for a condition for which it was not prescribed. Do not give QNASL Nasal Aerosol to other people, even if they have the same symptoms that you or your child has. It may harm them.

You can ask your pharmacist or healthcare provider for information about QNASL Nasal Aerosol that is written for health professionals.

What are the ingredients in QNASL Nasal Aerosol?

Active ingredient: beclomethasone dipropionate

Inactive ingredient: propellant HFA-134a and dehydrated ethanol

For more information, go to www.QNASL.com or call 1-855-55-QNASL (1-855-557-6275).

Distributed by:

Teva Pharmaceuticals USA, Inc.            

Parsippany, NJ  07054

© 2020, Teva Respiratory, LLC.  All rights reserved.

QNSPL-002

Rev. 02/2020

PLEASE SEE REVERSE SIDE FOR INSTRUCTIONS FOR USE.



INSTRUCTIONS FOR USE

QNASL® (kyoo nay' zel) 80 mcg

(beclomethasone dipropionate)

Nasal Aerosol

Read these Instructions for Use for QNASL Nasal Aerosol before you start using it and each time you get a refill. There may be new information. This leaflet does not take the place of talking to your healthcare provider about your medical condition or treatment.

Note: For Use in the Nose Only.

  • Do not spray QNASL Nasal Aerosol in your eyes, mouth or directly onto your nasal septum (the wall between your 2 nostrils).

The Parts of Your QNASL Nasal Aerosol

The QNASL Nasal Aerosol device comes as a canister that fits into a nasal actuator with a built-in spray counter and protective dust cap. (See Figure A).

  • Do not use the QNASL Nasal Aerosol actuator with a canister of medicine from any other inhaler.
  • Do not use the QNASL Nasal Aerosol canister with an actuator from any other inhaler.
  • Do not remove the QNASL Nasal Aerosol canister from the actuator.
  • When you first remove the QNASL Nasal Aerosol device from the carton, the spray counter should read “120” (See Figure B).
  • You do not need to prime your QNASL Nasal Aerosol device.



Using Your QNASL Nasal Aerosol Device

Step 1: Blow your nose to clear your nostrils.

Step 2: Remove the protective dust cap from your QNASL Nasal Aerosol device by pulling it straight off.

Step 3: Inspect the nasal actuator tip to make sure it is clear of foreign objects.

Step 4: Hold your QNASL Nasal Aerosol device upright and insert the nasal actuator tip into one nostril (See Figure C).

Step 5: Point the QNASL Nasal Aerosol device slightly away from the wall between your nostrils (nasal septum) while holding your other nostril closed (See Figure D).

Step 6: Hold your breath and press down firmly and completely on the canister to release 1 spray (See Figure E). Continue to hold your breath for 5 seconds after releasing the spray and then breathe out slowly through your mouth. Take the QNASL Nasal Aerosol device out of your nostril.

Step 7: Repeat steps 3-6 for the second spray in the same nostril.

Step 8: Repeat steps 3-7 for your other nostril.

Step 9: You should not blow your nose for the next 15 minutes.

Note: The spray counter will count down each time there is a spray released from your QNASL Nasal Aerosol device.

Step 10: Clean and store your device. See "Cleaning Your QNASL Nasal Aerosol Device."

Cleaning Your QNASL Nasal Aerosol Device

  • Wipe the nasal actuator tip with a clean, dry tissue or cloth (See Figure F).
  • Do NOT wash or put any part of the QNASL Nasal Aerosol canister or actuator in water (See Figure G).
  • Replace the protective dust cap.
  • Keep your device clean and dry at all times.

How to Know When to Stop Using your QNASL Aerosol Device

  • The QNASL Nasal Aerosol device has a spray counter, which is there to let you know how many sprays of medicine you have left.
  • Do not use your QNASL Nasal Aerosol device when 0 is shown in the spray counter window (See Figure H).
  • Throw away your QNASL Nasal Aerosol device when the spray counter reaches 0.
  • Do not throw your QNASL Nasal Aerosol canister into a fire or an incinerator.
  • Talk with your healthcare provider before your QNASL Nasal Aerosol medicine runs out to see if you should get a refill.

Distributed by:

Teva Pharmaceuticals USA, Inc.            

Parsippany, NJ  07054

 ©2020 Teva Respiratory, LLC. All rights reserved.



QNSIFU80-002

Rev. 02/2020          

This Patient Information and Instructions for Use has been approved by the U.S. Food and Drug Administration.

INSTRUCTIONS FOR USE

QNASL® (kyoo nay' zel) 40 mcg

(beclomethasone dipropionate)

Nasal Aerosol

Read these Instructions for Use for QNASL Nasal Aerosol before your child starts using it and each time you get a refill. There may be new information. This leaflet does not take the place of talking to the healthcare provider about your child’s medical condition or treatment.

Note: For Use in the Nose Only.

  • Do not spray QNASL Nasal Aerosol in the eyes, mouth or directly onto the nasal septum (the wall between the 2 nostrils).

The Parts of Your QNASL Nasal Aerosol

The QNASL Nasal Aerosol device comes as a canister that fits into a nasal actuator with a built-in spray counter and protective dust cap. (See Figure A)

  • Do not use the QNASL Nasal Aerosol actuator with a canister of medicine from any other inhaler.
  • Do not use the QNASL Nasal Aerosol canister with an actuator from any other inhaler.
  • Do not remove the QNASL Nasal Aerosol canister from the actuator.
  • When you first remove the QNASL Nasal Aerosol device from the carton, the spray counter should read “60” (See Figure B).
  • You do not need to prime the QNASL Nasal Aerosol device..

Using the QNASL Nasal Aerosol 40 mcg Device in Children 4 Years to 11 Years of Age

Children may need help from parents, guardians or caregivers.

Step 1: Have your child blow their nose to clear their nostrils.

Step 2: Remove the protective dust cap from the QNASL Nasal Aerosol device by pulling it straight off.

Step 3: Inspect the nasal actuator tip to make sure it is clear of foreign objects.

Step 4: Hold the QNASL Nasal Aerosol device upright and insert the nasal actuator tip into 1 nostril (See Figure C).

Step 5: Point the QNASL Nasal Aerosol device slightly away from the wall between the nostrils (nasal septum) while holding the other nostril closed (See Figure D).

Step 6: Have your child hold their breath and press down firmly and completely on the canister to release 1 spray (See Figure E). Continue to have your child hold their breath for 5 seconds after releasing the spray and then have them breathe out slowly through their mouth. Take the QNASL Nasal Aerosol device out of the nostril.

Step 8: Your child should not blow their nose for the next 15 minutes.

Note: The spray counter will count down each time there is a spray released from the QNASL Nasal Aerosol device.

Step 9: Clean and store the device. See "Cleaning the QNASL Nasal Aerosol Device."

Cleaning the QNASL Nasal Aerosol Device

  • Wipe the nasal actuator tip with a clean, dry tissue or cloth (See Figure F).
  • Do NOT wash or put any part of the QNASL Nasal Aerosol canister or actuator in water (See Figure G).
  • Replace the protective dust cap.
  • Keep QNASL Nasal Aerosol device clean and dry at all times.

How to Know When to Stop Using the QNASL Nasal Aerosol Device

  • The QNASL Nasal Aerosol device has a spray counter, which is there to let you know how many sprays of medicine are left.
  • Do not use the QNASL Nasal Aerosol device when 0 is shown in the spray counter window (See Figure H).
  • Throw away the QNASL Nasal Aerosol device when the spray counter reaches 0.
  • Do not throw the QNASL Nasal Aerosol canister into a fire or an incinerator.
  • Talk with the healthcare provider before the QNASL Nasal Aerosol medicine runs out to see if you should get a refill.

Distributed by:

Teva Pharmaceuticals USA, Inc.            

Parsippany, NJ  07054



©2020 Teva Respiratory, LLC. All rights reserved.

          

QNSIFU40-002

Rev. 02/2020

This Patient Information and Instructions for Use has been approved by the U.S. Food and Drug Administration.

Description

QNASL Nasal Aerosol is a corticosteroid indicated for the treatment of nasal symptoms associated with seasonal and perennial allergic rhinitis in patients 4 years of age and older. ( 1.1 )

10 Overdosage

Chronic overdosage may result in signs/symptoms of hypercorticism [see Warnings and Precautions (5.5)]. There are no data available on the effects of acute or chronic overdosage with QNASL Nasal Aerosol.

8.1 Pregnancy

 Risk Summary

There are no adequate and well-controlled studies with QNASL Nasal Aerosol or beclomethasone dipropionate in pregnant women. No published studies, including studies of large birth registries, have to date related the use of inhaled corticosteroids (ICS) or intranasal corticosteroids to any increases in congenital malformations or other adverse perinatal outcomes.  Thus, available human data do not establish the presence or absence of drug‑associated risk to the fetus.  In animal reproduction studies, beclomethasone dipropionate resulted in adverse developmental effects in mice and rabbits at subcutaneous doses equal to or greater than approximately 1.5 times the maximum recommended human dose (MRHD) in adults (0.32 mg/day) (see Data).  In rats exposed to beclomethasone dipropionate by inhalation, dose‑related gross injury to the fetal adrenal glands was observed at doses greater than 350 times the MRHD, but there was no evidence of external or skeletal malformations or embryolethality at inhalation doses of up to 860 times the MRHD.

The estimated background risk of major birth defects and miscarriage for the indicated population(s) are unknown.  In the US general population, the estimated risk of major birth defects and miscarriage in clinically recognized pregnancies is 2‑4% and 15‑20%, respectively.

Clinical Considerations

Labor or Delivery

There are no specific human data regarding any adverse effects of intranasal beclomethasone dipropionate on labor and delivery.

Data

Animal Data

In an embryofetal development study in pregnant rats, beclomethasone dipropionate administration during organogenesis from gestation days 6 to 15 at inhaled doses 350 times the MRHD in adults and higher (on a mg/m2 basis at maternal doses of 11.5 and 28.3 mg/kg/day) produced dose‑dependent gross injury (characterized by red foci) of the adrenal glands in fetuses.  There were no findings in the adrenal glands of rat fetuses at an inhaled dose that was 75 times the MRHD in adults (on a mg/m2 basis at a maternal dose of 2.4 mg/kg/day).  There was no evidence of external or skeletal malformations or embryolethality in rats at inhaled doses up to 860 times the MRHD (on a mg/m2 basis at maternal doses up to 28.3 mg/kg/day).

In an embryofetal development study in pregnant mice, beclomethasone dipropionate administration from gestation days 1 to 18 at subcutaneous doses equal to and greater than 1.5 times the MRHD in adults (on a mg/m2 basis at maternal doses of 0.1 mg/kg/day and higher) produced adverse developmental effects (increased incidence of cleft palate).  A no-effect dose in mice was not identified. In a second embryofetal development study in pregnant mice, beclomethasone dipropionate administration from gestation days 1 to 13 at subcutaneous doses equal to and greater than 5 times the MRHD in adults (on a mg/m2 basis at a maternal dose of 0.3 mg/kg/day) produced embryolethal effects (increased fetal resorptions) and decreased pup survival.

In an embryofetal development study in pregnant rabbits, beclomethasone dipropionate administration during organogenesis from gestation days 7 to 16 at subcutaneous doses  equal to and greater than 1.5 times the MRHD in adults (on a mg/m2 basis at maternal doses of 0.025 mg/kg/day and higher) produced external and skeletal malformations and embryolethal effects (increased fetal resorptions).  There were no effects in fetuses of pregnant rabbits administered a subcutaneous dose 0.4 times the MRHD in adults (on a mg/m2 basis at a maternal dose of 0.006 mg/kg/day).

8.2 Lactation

Risk Summary

There are no data available on the presence of beclomethasone dipropionate in human milk, the effects on the breastfed child, or the effects on milk production. However, other corticosteroids have been detected in human milk. The developmental and health benefits of breastfeeding should be considered along with the mother’s clinical need for QNASL and any potential adverse effects on the breastfed child from beclomethasone dipropionate or from the underlying maternal condition.

11 Description

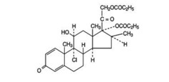
Beclomethasone dipropionate USP, the active component of QNASL Nasal Aerosol, is an anti-inflammatory steroid having the chemical name 9-chloro-11β,17,21-trihydroxy-16β-methylpregna-1,4-diene-3,20-dione 17, 21-dipropionate and the following chemical structure:

Beclomethasone dipropionate, a di-ester of beclomethasone (a synthetic corticosteroid chemically related to dexamethasone), is a white to almost white, odorless powder with a molecular formula of C28H37ClO7 and a molecular weight of 521.1. It is practically insoluble in water, very soluble in chloroform, and soluble in acetone and in dehydrated alcohol.

QNASL Nasal Aerosol is a pressurized, nonaqueous solution in a metered-dose aerosol device intended ONLY for intranasal use. It contains a solution of beclomethasone dipropionate in propellant HFA‑134a (1,1,1,2‑tetrafluoroethane) and dehydrated ethanol. QNASL 40 mcg Nasal Aerosol delivers 40 mcg of beclomethasone dipropionate from the nasal actuator and 50 mcg from the valve. QNASL 80 mcg Nasal Aerosol delivers 80 mcg of beclomethasone dipropionate from the nasal actuator and 100 mcg from the valve. Each strength delivers 59 mg of solution from the valve with each actuation. Each QNASL 80 mcg Nasal Aerosol canister contains 10.6 g of drug and excipients and provides 120 actuations. Each QNASL 40 mcg Nasal Aerosol canister contains 6.8 g of drug and excipients and provides 60 actuations.

5.2 Eye Disorders

Use of intranasal and inhaled corticosteroids may result in the development of increased intraocular pressure, blurred vision, glaucoma and/or cataracts. Therefore, close monitoring is warranted in patients with a change in vision or with a history of increased intraocular pressure, blurred vision, glaucoma, and/or cataracts.

Glaucoma and cataract formation was evaluated with ocular assessments that included intraocular pressure measurements and slit lamp examinations in 245 adolescent and adult patients (12 years of age and older) with perennial allergic rhinitis who were treated with QNASL Nasal Aerosol 320 mcg daily (N=197) or placebo (N=48) for up to 52 weeks. In 94% of patients, intraocular pressure (IOP) remained within the normal range (<21 mmHg) during the treatment portion of the trial. There were 10 patients (5%) treated with QNASL Nasal Aerosol and 1 patient (2%) treated with placebo that had intraocular pressure that increased above normal levels (≥21 mmHg) and greater than baseline during the treatment portion of the trial. Two of these occurrences in patients treated with QNASL Nasal Aerosol were reported as adverse reactions, one serious. No instances of cataract formation or other clinically significant ocular incidents were reported in this 52-week safety trial [see Adverse Reactions (6.1)].

8.4 Pediatric Use

The safety and effectiveness of QNASL Nasal Aerosol in children 4 years and older have been established [see Adverse Reactions (6.1), Clinical Pharmacology (12.3), Clinical Studies (14)]. The safety and effectiveness of QNASL Nasal Aerosol in children younger than 4 years of age have not been established. Controlled pediatric clinical trials with QNASL Nasal Aerosol included 909 children 4 to 11 years of age and 188 adolescent patients 12 to 17 years of age [see Clinical Studies (14)].

Controlled clinical trials have shown that intranasal corticosteroids may cause a reduction in growth velocity in pediatric patients. This effect has been observed in the absence of laboratory evidence of hypothalamic-pituitary-adrenal (HPA) axis suppression, suggesting that growth velocity is a more sensitive indicator of systemic corticosteroid exposure in pediatric patients than some commonly used tests of HPA-axis function. The long-term effects of reduction in growth velocity associated with intranasal corticosteroids, including the impact on final adult height, are unknown. The potential for "catch-up" growth following discontinuation of treatment with intranasal corticosteroids has not been adequately studied. The growth of pediatric patients receiving intranasal corticosteroids, including QNASL Nasal Aerosol, should be monitored routinely (e.g., via stadiometry).

A 12-month, randomized, controlled clinical trial evaluated the effects of QVAR®, an orally inhaled HFA beclomethasone dipropionate product, without spacer versus chlorofluorocarbon-propelled (CFC) beclomethasone dipropionate with large volume spacer on growth in children with asthma ages 5 to 11 years. A total of 520 patients were enrolled, of whom 394 received HFA-beclomethasone dipropionate (100 to 400 mcg/day ex-valve) and 126 received CFC-beclomethasone dipropionate (200 to 800 mcg/day ex-valve). When comparing results at month 12 to baseline, the mean growth velocity in children treated with HFA-beclomethasone dipropionate was approximately 0.5 cm/year less than that noted with children treated with CFC-beclomethasone dipropionate via large volume spacer. The potential growth effects of prolonged treatment should be weighed against the clinical benefits obtained and the risks/benefits of treatment alternatives.

The potential for QNASL Nasal Aerosol to cause reduction in growth velocity in susceptible patients or when given at higher than recommended dosages cannot be ruled out.

8.5 Geriatric Use

Clinical trials of QNASL Nasal Aerosol did not include sufficient numbers of subjects aged 65 years and older to determine whether they responded differently than younger subjects. Other reported clinical experience has not identified differences in responses between the elderly and younger patients. In general, administration to elderly patients should be cautious, reflecting the greater frequency of decreased hepatic, renal, or cardiac function, and of concomitant disease or other drug therapy.

17.2 Eye Disorders

Inform patients that blurred vision, glaucoma and cataracts are associated with nasal and inhaled corticosteroid use. Patients should inform their healthcare providers if a change in vision is noted while using QNASL Nasal Aerosol [see Warnings and Precautions (5.2)].

6 Adverse Reactions

Systemic and local corticosteroid use may result in the following:

7 Drug Interactions

No drug interaction studies have been performed with QNASL Nasal Aerosol.

4. Contraindications

QNASL Nasal Aerosol is contraindicated in patients with a history of hypersensitivity to beclomethasone dipropionate and/or any other QNASL Nasal Aerosol ingredients [see Warnings and Precautions (5.3)].

5.6 Effect On Growth

Corticosteroids may cause a reduction in growth velocity when administered to pediatric patients. Routinely monitor the growth of pediatric patients receiving QNASL Nasal Aerosol [see Use in Specific Populations (8.4)].

Instructions for Use

INSTRUCTIONS FOR USE

QNASL® (kyoo nay' zel) 80 mcg

(beclomethasone dipropionate)

Nasal Aerosol

Read these Instructions for Use for QNASL Nasal Aerosol before you start using it and each time you get a refill. There may be new information. This leaflet does not take the place of talking to your healthcare provider about your medical condition or treatment.

Note: For Use in the Nose Only.

  • Do not spray QNASL Nasal Aerosol in your eyes, mouth or directly onto your nasal septum (the wall between your 2 nostrils).

The parts of your QNASL Nasal Aerosol

The QNASL Nasal Aerosol device comes as a canister that fits into a nasal actuator with a built-in spray counter and protective dust cap. (See Figure A).

  • Do not use the QNASL Nasal Aerosol actuator with a canister of medicine from any other inhaler.
  • Do not use the QNASL Nasal Aerosol canister with an actuator from any other inhaler.
  • Do not remove the QNASL Nasal Aerosol canister from the actuator.
  • When you first remove the QNASL Nasal Aerosol device from the carton, the spray counter should read “120” (See Figure B).
  • You do not need to prime the QNASL Nasal Aerosol device.



Using Your QNASL Nasal Aerosol Device

Step 1: Blow your nose to clear your nostrils.

Step 2: Remove the protective dust cap from your QNASL Nasal Aerosol device by pulling it straight off.

Step 3: Inspect the nasal actuator tip to make sure it is clear of foreign objects.

Step 4: Hold your QNASL Nasal Aerosol device upright and insert the nasal actuator tip into one nostril (See Figure C).

Step 5: Point the QNASL Nasal Aerosol device slightly away from the wall between your nostrils (nasal septum) while holding your other nostril closed (See Figure D).

Step 6: Hold your breath and press down firmly and completely on the canister to release 1 spray (See Figure E). Continue to hold your breath for 5 seconds after releasing the spray and then breathe out slowly through your mouth. Take the QNASL Nasal Aerosol device out of your nostril.

Step 7: Repeat steps 3-6 for the second spray in the same nostril.

Step 8: Repeat steps 3-7 for your other nostril.

Step 9: You should not blow your nose for the next 15 minutes.

Note: The spray counter will count down each time there is a spray released from your QNASL Nasal Aerosol device.

Step 10: Clean and store your device. See "Cleaning Your QNASL Nasal Aerosol device."

Cleaning Your QNASL Nasal Aerosol device

  • Wipe the nasal actuator tip with a clean, dry tissue or cloth (See Figure F).
  • Do NOT wash or put any part of the QNASL Nasal Aerosol canister or actuator in water (See Figure G).
  • Replace the protective dust cap.
  • Keep your device clean and dry at all times.

How to know when to stop using your QNASL Aerosol device

  • The QNASL Nasal Aerosol device has a spray counter, which is there to let you know how many sprays of medicine you have left.
  • Do not use your QNASL Nasal Aerosol device when 0 is shown in the spray counter window (See Figure H).
  • Throw away your QNASL Nasal Aerosol device when the spray counter reaches 0.
  • Do not throw your QNASL Nasal Aerosol canister into a fire or an incinerator.
  • Talk with your healthcare provider before your QNASL Nasal Aerosol medicine runs out to see if you should get a refill.

Manufactured for:

Teva Respiratory, LLC

Frazer, PA 19355



By:

Norton (Waterford) Limited

Unit 301, IDA Industrial Park, Cork Road

Waterford, Ireland

©2018 Teva Respiratory, LLC

All rights reserved.

QNSIFU80-001

Rev. 03/2018          

This Patient Information and Instructions for Use has been approved by the U.S. Food and Drug Administration.

 

INSTRUCTIONS FOR USE

QNASL® (kyoo nay' zel) 40 mcg

(beclomethasone dipropionate)

Nasal Aerosol

Read these Instructions for Use for QNASL Nasal Aerosol before your child starts using it and each time you get a refill. There may be new information. This leaflet does not take the place of talking to the healthcare provider about your child’s medical condition or treatment.

Note: For Use in the Nose Only.

  • Do not spray QNASL Nasal Aerosol in the eyes, mouth or directly onto the nasal septum (the wall between the 2 nostrils).

The parts of your QNASL Nasal Aerosol

The QNASL Nasal Aerosol device comes as a canister that fits into a nasal actuator with a built-in spray counter and protective dust cap. (See Figure A)

  • Do not use the QNASL Nasal Aerosol actuator with a canister of medicine from any other inhaler.
  • Do not use the QNASL Nasal Aerosol canister with an actuator from any other inhaler.
  • Do not remove the QNASL Nasal Aerosol canister from the actuator.
  • When you first remove the QNASL Nasal Aerosol device from the carton, the spray counter should read “60” (See Figure B).
  • You do not need to prime the QNASL Nasal Aerosol device.

Using the QNASL Nasal Aerosol 40 mcg device in Children 4 years to 11 Years of Age

Children may need help from parents, guardians or caregivers.

Step 1: Have your child blow their nose to clear their nostrils.

Step 2: Remove the protective dust cap from the QNASL Nasal Aerosol device by pulling it straight off.

Step 3: Inspect the nasal actuator tip to make sure it is clear of foreign objects.

Step 4: Hold the QNASL Nasal Aerosol device upright and insert the nasal actuator tip into 1 nostril (See Figure C).

Step 5: Point the QNASL Nasal Aerosol device slightly away from the wall between the nostrils (nasal septum) while holding the other nostril closed (See Figure D).

Step 6: Have your child hold their breath and press down firmly and completely on the canister to release 1 spray (See Figure E). Continue to have your child hold their breath for 5 seconds after releasing the spray and then have them breathe out slowly through their mouth. Take the QNASL Nasal Aerosol device out of the nostril.

Step 7: Repeat steps 3-6 for the other nostril.

Step 8: Your child should not blow their nose for the next 15 minutes.

Note: The spray counter will count down each time there is a spray released from the QNASL Nasal Aerosol device.

Step 9: Clean and store the device. See "Cleaning the QNASL Nasal Aerosol device."

Cleaning the QNASL Nasal Aerosol device

  • Wipe the nasal actuator tip with a clean, dry tissue or cloth (See Figure F).
  • Do NOT wash or put any part of the QNASL Nasal Aerosol canister or actuator in water (See Figure G).
  • Replace the protective dust cap.
  • Keep QNASL Nasal Aerosol device clean and dry at all times.

How to know when to stop using the QNASL Nasal Aerosol device

  • The QNASL Nasal Aerosol device has a spray counter, which is there to let you know how many sprays of medicine are left.
  • Do not use the QNASL Nasal Aerosol device when 0 is shown in the spray counter window (See Figure H).
  • Throw away the QNASL Nasal Aerosol device when the spray counter reaches 0.
  • Do not throw the QNASL Nasal Aerosol canister into a fire or an incinerator.
  • Talk with the healthcare provider before the QNASL Nasal Aerosol medicine runs out to see if you should get a refill.

Manufactured for:

Teva Respiratory, LLC

Frazer, PA 19355



By:

Norton (Waterford) Limited

Unit 301, IDA Industrial Park, Cork Road

Waterford, Ireland

©2018 Teva Respiratory, LLC

All rights reserved.

QNSIFU40-001

Rev. 03/2018        

This Patient Information and Instructions for Use has been approved by the U.S. Food and Drug Administration.

12.2 Pharmacodynamics

Adrenal Function: The effects of QNASL Nasal Aerosol on the HPA axis were evaluated in two 6-week, randomized, double-blind, parallel-group perennial allergic rhinitis trials – one in adult and adolescent patients 12 to 45 years of age and another in children 6 to 11 years of age. In the first study with adolescent and adult patients aged 12 to 45, QNASL Nasal Aerosol 320 mcg, once daily, was compared with both placebo nasal aerosol and a positive control (a placebo/prednisone group that received prednisone 10 mg orally once daily for the final 7 days of the treatment period). In the second study with pediatric patients aged 6 to 11, QNASL Nasal Aerosol 80 mcg once daily was compared to placebo nasal aerosol. HPA-axis function was assessed by 24-hour serial serum cortisol levels prior to the first dose and after 6 weeks of treatment. Patients were domiciled for the 24-hour serum cortisol assessments. The change from baseline in the 24-hour serum cortisol weighted mean for QNASL Nasal Aerosol and placebo after 6 weeks of treatment were compared.

In the HPA–axis study in patients 12 to 45 years of age, baseline geometric mean serum cortisol weighted mean values were similar in the QNASL Nasal Aerosol 320 mcg/day and placebo treatment groups (9.04 and 8.45 mcg/dL, respectively). After 6 weeks of treatment, the geometric mean values were 8.18 and 8.01 mcg/dL, respectively, with a change from baseline in 24-hour serum cortisol weighted mean for the QNASL Nasal Aerosol and placebo groups of 0.86 and 0.44, resulting in a difference of 0.42. The geometric mean ratio for QNASL Nasal Aerosol 320 mcg/day to placebo was 0.96 (95% CI: 0.87, 1.06). For comparison, in the positive-control (prednisone) treatment group, the geometric mean ratio for placebo to placebo/prednisone 10 mg/day was 3.17 (95% CI: 2.68, 3.74).

In the HPA-axis study in patients 6 to 11 years of age, baseline geometric mean serum cortisol weighted mean values were similar in the QNASL Nasal Aerosol 80 mcg/day and placebo treatment groups (5.97 and 6.47 mcg/dL, respectively). After 6 weeks of treatment the geometric mean values were 6.19 and 7.13 mcg/dL, respectively with no decrease from baseline values in both treatment groups. The geometric mean ratio for QNASL Nasal Aerosol 80 mcg/day to placebo was 0.91 (95% CI; 0.81, 1.03).

12.3 Pharmacokinetics

Absorption

Following intranasal administration, most of the beclomethasone dipropionate undergoes extensive conversion to its active metabolite, beclomethasone-17-monopropionate, during absorption. Plasma concentrations of beclomethasone dipropionate and beclomethasone-17-monopropionate have been measured with QNASL Nasal Aerosol in 2 adult and/or adolescent clinical trials and 1 pediatric clinical trial.

The single-dose pharmacokinetics of QNASL Nasal Aerosol were evaluated in a randomized, open-label, 3-period, crossover trial in healthy adult volunteers. Systemic levels of beclomethasone-17-monopropionate and beclomethasone dipropionate after single-dose intranasal administration of beclomethasone dipropionate at doses of 80 and 320 mcg were compared with the systemic levels of beclomethasone-17-monopropionate and beclomethasone dipropionate after administration of orally inhaled beclomethasone dipropionate HFA at a dose of 320 mcg (QVAR® Inhalation Aerosol). The results of this trial demonstrated that the systemic bioavailability of QNASL Nasal Aerosol 320 mcg was approximately 27.5% (approximately 4-fold lower) of that of orally inhaled beclomethasone dipropionate HFA 320 mcg/day based on the plasma concentrations of beclomethasone-17-monopropionate (AUClast: 1139.7 vs 4140.3 hr*pg/mL; GMR: 0.275; 90% CI for the GMR: 0.214, 0.354). The peak exposure to QNASL Nasal Aerosol 320 mcg/day was approximately 19.5% (approximately 5-fold lower) of that of orally inhaled beclomethasone dipropionate HFA 320 mcg/day as measured by beclomethasone-17-monopropionate (Cmax: 262.7 vs 1343.7 pg/mL; GMR: 0.195; 90% CI for the GMR: 0.158, 0.241).

Following repeated once-daily administration of QNASL Nasal Aerosol, there was no accumulation or increase in plasma exposure to beclomethasone-17-monopropionate or beclomethasone dipropionate, most likely due to the short plasma half-life relative to the dosing frequency.

Distribution

The in vitro protein binding for beclomethasone-17-monopropionate was reported to be 94% to 96% over the concentration range of 1000 to 5000 pg/mL. The volume of distribution at steady state for beclomethasone dipropionate is moderate (20 L) but more extensive for beclomethasone-17-monopropionate (424 L).

Metabolism

Beclomethasone dipropionate undergoes extensive first-pass metabolism, forming three metabolites via CYP3A4, beclomethasone-17-monopropionate, beclomethasone-21-monopropionate, and beclomethasone. Beclomethasone-17-monopropionate is the major and most active metabolite.

Elimination

The major route of elimination of inhaled beclomethasone dipropionate appears to be via metabolism. More than 90% of inhaled beclomethasone dipropionate is found as beclomethasone-17-monopropionate in the systemic circulation. The mean elimination half-life of beclomethasone-17-monopropionate is 2.8 hours. The terminal elimination half-lives of beclomethasone dipropionate and beclomethasone-17-monopropionate following intranasal dosing with QNASL Nasal Aerosol (320 mcg) were approximately 0.3 hours and 4.5 hours, respectively. Irrespective of the route of administration (injection, oral, or inhalation), beclomethasone dipropionate and its metabolites are mainly excreted in the feces. Less than 10% of the drug and its metabolites are excreted in the urine. It is likely that intranasal beclomethasone dipropionate follows a similar elimination pathway.

Special Populations

Formal pharmacokinetic studies using QNASL Nasal Aerosol were not conducted in any special populations.

2.1 Allergic Rhinitis

Adults and Adolescents (12 Years of Age and Older): The recommended dose of QNASL Nasal Aerosol is 320 mcg per day administered as 2 actuations in each nostril (QNASL 80 mcg Nasal Aerosol) once daily (maximum total daily dose of 4 actuations per day).

Children (4 to 11 Years of Age): The recommended dose of QNASL Nasal Aerosol is 80 mcg per day administered as 1 actuation in each nostril (QNASL 40 mcg Nasal Aerosol) once daily (maximum total daily dose of 2 actuations per day).

5.4 Immunosuppression

Persons who are using drugs that suppress the immune system (e.g., corticosteroids) are more susceptible to infections than healthy individuals. Chickenpox and measles, for example, can have a more serious or even fatal course in susceptible children or adults using corticosteroids. In children or adults who have not had these diseases or been properly immunized, particular care should be taken to avoid exposure. How the dose, route, and duration of corticosteroid administration affect the risk of developing a disseminated infection is not known. The contribution of the underlying disease and/or prior corticosteroid treatment to the risk is also not known. If a patient is exposed to chickenpox, prophylaxis with varicella zoster immune globulin (VZIG) may be indicated. If a patient is exposed to measles, prophylaxis with pooled intramuscular immunoglobulin (IG) may be indicated (see the respective package inserts for complete VZIG and IG prescribing information). If chickenpox or measles develops, treatment with antiviral agents may be considered.

Corticosteroids should be used with caution, if at all, in patients with active or quiescent tuberculous infections of the respiratory tract, untreated local or systemic fungal or bacterial infections, systemic viral or parasitic infections, or ocular herpes simplex because of the potential for worsening of these infections.

17.4 Immunosuppression

Patients who are on immunosuppressant doses of corticosteroids should be warned to avoid exposure to chickenpox or measles and, if exposed, to consult their physician without delay. Patients should be informed of potential worsening of existing tuberculosis; fungal, bacterial, viral, or parasitic infections; or ocular herpes simplex [see Warnings and Precautions (5.4)].

5.1 Local Nasal Effects

Nasal Discomfort, Epistaxis, and Nasal Ulceration: In clinical trials of 2 to 52 weeks duration, epistaxis and nasal ulcerations were observed more frequently and some epistaxis events were more severe in patients treated with QNASL Nasal Aerosol than those who received placebo. In the 52-week safety trial in patients with perennial allergic rhinitis, nasal erosions were identified in 4 of 415 patients and a nasal ulceration was identified in 1 of 415 patients treated with QNASL Nasal Aerosol. No nasal erosions or ulcerations were reported for patients who received placebo. In clinical trials conducted in pediatric patients ages 4 to 11 years, the local nasal effect was similar to those reported in patients 12 years of age and older. Patients using QNASL Nasal Aerosol over several months or longer should be examined periodically for possible changes in the nasal mucosa. If an adverse reaction (e.g., erosion, ulceration) is noted, discontinue QNASL Nasal Aerosol [see Adverse Reactions (6.1)].

Candida Infection: In previous clinical trials with an aqueous formulation of beclomethasone dipropionate administered intranasally, localized infections of the nose and pharynx with Candida albicans had been reported. There were no instances of similar infections observed in clinical trials with QNASL Nasal Aerosol. If such an infection develops, it may require treatment with appropriate local therapy and discontinuation of QNASL Nasal Aerosol treatment. Thus, patients using QNASL Nasal Aerosol over several months or longer should be examined periodically for evidence of Candida infection.

Nasal Septal Perforation: Instances of nasal septal perforation have been reported in patients following the intranasal application of beclomethasone dipropionate. There were no nasal septal perforations reported during clinical trials in the indicated dose of QNASL 80 mcg Nasal Aerosol administered as 320 mcg once daily in adults and adolescents. There was one report of nasal septal perforation observed in the dose-ranging pediatric clinical trial.

Impaired Wound Healing: Because of the inhibitory effect of corticosteroids on wound healing, patients who have experienced recent nasal septal ulcers, nasal surgery, or nasal trauma should not use QNASL Nasal Aerosol until healing has occurred.

1. Indications and Usage

QNASL Nasal Aerosol is a corticosteroid indicated for the treatment of nasal symptoms associated with seasonal and perennial allergic rhinitis in patients 4 years of age and older. ( 1.1 )

12.1 Mechanism of Action

Beclomethasone dipropionate is a prodrug that is extensively converted to the active metabolite, beclomethasone-17-monopropionate. The precise mechanism through which beclomethasone dipropionate affects rhinitis symptoms is unknown. Corticosteroids have been shown to have multiple anti-inflammatory effects, inhibiting both inflammatory cells (e.g., mast cells, eosinophils, basophils, lymphocytes, macrophages, and neutrophils) and the release of inflammatory mediators (e.g., histamine, eicosanoids, leukotrienes, and cytokines).

Beclomethasone-17-monopropionate has been shown in vitro to exhibit a binding affinity for the human glucocorticoid receptor which is approximately 13 times that of dexamethasone, 6 times that of triamcinolone acetonide, 1.5 times that of budesonide and 25 times that of beclomethasone dipropionate. The clinical significance of these findings is unknown.

17.1 Local Nasal Effects

Inform patients that treatment with QNASL Nasal Aerosol may lead to adverse reactions, including epistaxis, nasal ulceration, and nasal discomfort. Candida infection may also occur with treatment with QNASL Nasal Aerosol. In addition, nasal beclomethasone dipropionate products are known to be associated with nasal septal perforation and impaired wound healing. Patients who have experienced recent nasal ulcers, nasal surgery, or nasal trauma should not use QNASL Nasal Aerosol until healing has occurred [see Warnings and Precautions (5.1)].

5. Warnings and Precautions
  • Nasal discomfort, epistaxis, nasal ulceration, Candida albicans infection, nasal septal perforation, impaired wound healing. Monitor patients periodically for signs of adverse effects on the nasal mucosa. Avoid use in patients with recent nasal ulcers, nasal surgery, or nasal trauma. ( 5.1 )
  • Eye Disorders. Monitor patients closely with a change in vision or with a history of increased intraocular pressure, blurred vision, glaucoma, and/or cataracts. ( 5.2 )
  • Hypersensitivity, rash, and urticaria may occur after administration of QNASL Nasal Aerosol. ( 5.3 )
  • Potential worsening of existing tuberculosis; fungal, bacterial, viral, or parasitic infections; or ocular herpes simplex. More serious or even fatal course of chickenpox or measles in susceptible patients. Use caution in patients with the above because of the potential for worsening of these infections. ( 5.4 )
  • Hypercorticism and adrenal suppression with very high dosages or at the regular dosage in susceptible individuals. If such changes occur, discontinue QNASL Nasal Aerosol slowly. ( 5.5 )
  • Potential reduction in growth velocity in pediatric patients. Monitor growth routinely in pediatric patients receiving QNASL Nasal Aerosol. ( 5.6 , 8.4 )
2. Dosage and Administration

Administer QNASL Nasal Aerosol by the intranasal route only. The dose counter should read “120” for QNASL 80 mcg Nasal Aerosol 120-actuation product and “60” for QNASL 40 mcg Nasal Aerosol 60-actuation product. QNASL Nasal Aerosol does not require priming. See accompanying illustrated Patient Information and Instructions for Use leaflet for proper use of QNASL Nasal Aerosol.

6.2 Postmarketing Experience

In addition to adverse reactions reported from clinical trials for QNASL Nasal Aerosol, the following adverse events have been reported during postmarketing use of QNASL Nasal Aerosol or other intranasal and inhaled formulations of beclomethasone dipropionate. Because these reactions are reported voluntarily from a population of uncertain size, it is not always possible to reliably estimate their frequency or establish a causal relationship to drug exposure. These events have been chosen for inclusion due to either their seriousness, frequency of reporting, or causal connection to beclomethasone dipropionate or a combination of these factors.

QNASL Nasal Aerosol: sneezing, burning sensation

Intranasal beclomethasone dipropionate: Nasal septal perforation, blurred vision, glaucoma, cataracts, central serous chorioretinopathy (CSC), loss of taste and smell, and hypersensitivity reactions including anaphylaxis, angioedema, rash, and urticaria have been reported following intranasal administration of beclomethasone dipropionate.

Inhaled beclomethasone dipropionate: Hypersensitivity reactions, including anaphylaxis, angioedema, rash, urticaria, and bronchospasm have been reported following the oral inhalation of beclomethasone dipropionate.

3. Dosage Forms and Strengths

QNASL Nasal Aerosol is a nonaqueous nasal spray solution.

Each actuation of QNASL 80 mcg Nasal Aerosol delivers 80 mcg of beclomethasone dipropionate and each actuation of QNASL 40 mcg Nasal Aerosol delivers 40 mcg of beclomethasone dipropionate. QNASL 80 mcg Nasal Aerosol is supplied in a 10.6 g canister containing 120 actuations; QNASL 40 mcg Nasal Aerosol is supplied in a 6.8 g canister containing 60 actuations.

17.5 Use Daily for Best Effect

Patients should use QNASL Nasal Aerosol on a regular, once-daily basis since its effectiveness depends on its regular use. QNASL Nasal Aerosol may not have an immediate effect on rhinitis symptoms. The patient should not increase the prescribed dosage but should contact their physician if symptoms do not improve or if the condition worsens.

6.1 Clinical Trials Experience

Because clinical trials are conducted under widely varying conditions, adverse reaction rates observed in the clinical trials of a drug cannot be directly compared with rates in the clinical trials of another drug and may not reflect the rates observed in practice.

Adults and Adolescents 12 Years of Age and Older:

The safety data described below for adults and adolescents 12 years of age and older with seasonal or perennial allergic rhinitis are based on 4 placebo-controlled clinical trials of 2 to 6 weeks duration evaluating doses of beclomethasone nasal aerosol from 80 to 320 mcg once daily. These short-term trials included a total of 1394 patients with either seasonal or perennial allergic rhinitis. Of these, 575 (378 female and 197 male) received at least one dose of QNASL Nasal Aerosol, 320 mcg once daily and 578 (360 female and 218 male) received placebo. Patient ages ranged from 12 to 82 years and the racial distribution of patients was 81% white, 16% black, and 4% other.

Short-Term (2–6 Weeks) Trials: Less than 2% of patients in the clinical trials discontinued treatment because of adverse reactions with the rate of withdrawal among patients who received QNASL Nasal Aerosol similar to or lower than the rate among patients who received placebo. Table 1 displays the common adverse reactions (≥ 1% and greater than placebo-treated patients).

Table 1. Adverse Events With ³ 1% Incidence and Greater than Placebo in QNASL Nasal Aerosol-Treated Adult and Adolescent Patients with Seasonal or Perennial Allergic Rhinitis in Controlled Clinical Trials of 2 to 6 Weeks Duration (Safety Population)

Adult and Adolescent Patients 12 Years of Age and Older

QNASL Nasal Aerosol

320 mcg

(N=575)

n (%)

Placebo

(N=578)

n (%)

Nasal Discomfort

30 (5.2)

28 (4.8)

Epistaxis

11 (1.9)

7 (1.2)

Headache

13 (2.3)

9 (1.6)

Nasal ulcerations occurred in 2 patients treated with placebo and in 1 patient treated with QNASL Nasal Aerosol. There were no differences in the incidence of adverse reactions based on gender or race. Clinical trials did not have sufficient numbers of patients aged 65 years and older to determine whether they respond differently than younger patients.

Long-Term 52-Week Safety Trial: In a 52-week placebo-controlled long-term safety trial in patients with PAR, 415 patients (128 males and 287 females, aged 12 to 74 years) were treated with QNASL Nasal Aerosol at a dose of 320 mcg once daily and 111 patients (44 males and 67 females, aged 12 to 67 years) were treated with placebo. Of the 415 patients treated with QNASL Nasal Aerosol, 219 patients were treated for 52 weeks and 196 patients were treated for 30 weeks. While most adverse events were similar in type and rate between the treatment groups, epistaxis occurred more frequently in patients who received QNASL Nasal Aerosol (45 out of 415, 11%) than in patients who received placebo (2 out of 111, 2%). Epistaxis also tended to be more severe in patients treated with QNASL Nasal Aerosol. In 45 reports of epistaxis in patients who received QNASL Nasal Aerosol, 27, 13, and 5 cases were of mild, moderate, and severe intensity, respectively, while the reports of epistaxis in patients who received placebo were of mild (1) and moderate (1) intensity. Seventeen patients treated with QNASL Nasal Aerosol experienced adverse reactions that led to withdrawal from the trial compared to 3 patients treated with placebo. There were 4 nasal erosions and 1 nasal septum ulceration which occurred in patients who received QNASL Nasal Aerosol, and no erosions or ulcerations noted in patients who received placebo. No patient experienced a nasal septum perforation during the trial.

Pediatric Patients Aged 4 to 11 Years:

The safety data described below for pediatric patients 4 to 11 years of age with seasonal or perennial allergic rhinitis are based on 3 placebo-controlled clinical trials.  These trials were 2 to 12 weeks in duration, evaluated doses of beclomethasone nasal aerosol 80 mcg to 160 mcg once daily and included a total of 1360 patients with either seasonal or perennial allergic rhinitis. Of these, 668 (312 female and 356 male) received at least one dose of QNASL Nasal Aerosol, 80 mcg once daily, 241 (116 female and 125 male) received QNASL Nasal Aerosol 160 mcg once daily, and 451 (203 female and 248 male) received placebo. The racial distribution of patients was 73% white, 20% black, and 6% other.  Based on the results from the dose ranging trial, 80 mcg once daily was chosen as the dose in pediatric patients.

Less than 1.5% of patients in the clinical trials discontinued treatment because of adverse reactions with the rate of withdrawal among patients who received QNASL Nasal Aerosol 80 mcg once daily similar to or lower than the rate among patients who received placebo. Table 2 displays the common adverse reactions (≥ 2% and greater than placebo-treated patients). Additionally, epistaxis was reported at a rate of 4% for both QNASL Nasal Aerosol 80 mcg once daily and placebo-treated patients.

Table 2. Adverse Events With ≥ 2% Incidence and Greater than Placebo in QNASL Nasal Aerosol-Treated Pediatric Patients with Seasonal or Perennial Allergic Rhinitis in Controlled Clinical Trials of 2 to 12 weeks Duration (Safety Population)

Pediatric Patients 4 to 11 Years of Age

QNASL Nasal Aerosol 80 mcg (N=668)

n (%)

Placebo

(N=451)

n (%)

Headache

23 (3.4)

15 (3.3)

Pyrexia

19 (2.8)

7 (1.6)

Upper respiratory tract infection

17 (2.5)

8 (1.8)

Nasopharyngitis

15 (2.2)

6 (1.3)

17 Patient Counseling Information

See FDA-Approved Patient Labeling accompanying the product.

40 Mcg Trade Carton Display Panel

NDC 59310-406-06

Children’s Qnasl® 40 mcg

(beclomethasone diproprionate)

Nasal Aerosol 40 mcg per spray

No Priming Required

For Intranasal Use with Qnasl Actuator Only

Rx only

60 Metered Sprays

6.8 g Net Contents

TEVA

80 Mcg Trade Carton Display Panel

NDC 59310-410-12

Qnasl®

(beclomethasone diproprionate) Nasal Aerosol

80 mcg per spray

No Priming Required

For Intranasal Use with Qnasl Actuator Only

Rx only

120 Metered Sprays

10.6 g Net Contents

TEVA

40 Mcg Sample Carton Display Panel

NDC 59310-406-08

Children’s Qnasl® 40 mcg

(beclomethasone diproprionate)

Nasal Aerosol 40 mcg per spray

No Priming Required

Professional Sample Not for Sale or Reimbursement

For Intranasal Use with Qnasl Actuator Only

Rx only

60 Metered Sprays

6.8 g Net Contents

TEVA

80 Mcg Sample Carton Display Panel

NDC 59310-410-13

Qnasl®

(beclomethasone diproprionate)

Nasal Aerosol 80 mcg per spray

No Priming Required

Professional Sample Not for Sale or Reimbursement

For Intranasal Use with Qnasl Actuator Only

Rx only

50 Metered Sprays

6.8 g Net Contents

TEVA

16 How Supplied/storage and Handling

QNASL Nasal Aerosol is supplied in 2 strengths and supplied as a pressurized aluminum canister inserted into a blue and white plastic nasal actuator with a built-in dose counter and white dust cap, as follows:

QNASL 80 mcg Nasal Aerosol contains 10.6 g of drug and excipients and provides 120 actuations (NDC 59310-410-12).  Each actuation delivers 80 mcg of beclomethasone dipropionate from the nasal actuator and 100 mcg from the valve.

QNASL 40 mcg Nasal Aerosol contains 6.8 g of drug and excipients and provides 60 actuations (NDC 59310-406-06).  Each actuation delivers 40 mcg of beclomethasone dipropionate from the nasal actuator and 50 mcg from the valve.

Each canister of QNASL Nasal Aerosol has a dose counter, which initially reads 60 sprays or 120 sprays for the respective products, and counts down each time a spray is released.  The correct amount of medication in each intranasal dose cannot be ensured after the counter reads 0; therefore, the device should be discarded when the counter reads 0.

Do not remove the QNASL Nasal Aerosol canister from the actuator.  The QNASL Nasal Aerosol canister should only be used with the QNASL Nasal Aerosol actuator and the actuator should not be used with any other drug product.

CONTENTS UNDER PRESSURE

Do not puncture.  Do not store near heat or open flame.  Do not expose to temperatures higher than 49°C (120°F) as this may cause bursting of the canister.  Never throw the device into a fire or an incinerator.

Store at temperature between 20° and 25°C (68° and 77°F); excursions are permitted between 15° and 30°C (59° and 86°F).

Keep out of reach of children.

17.6 Keep Spray Out of Eyes Or Mouth

Patients should be informed to avoid spraying QNASL Nasal Aerosol in their eyes or mouth.

Distributed by:

Teva Pharmaceuticals USA, Inc.

Parsippany, NJ 07054

©2020, Teva Respiratory, LLC. All rights reserved.

United States Patent No. 7,780,038

QNSPI-002

14.1 Seasonal and Perennial Allergic Rhinitis

Adult and Adolescent Patients Aged 12 Years and Older: The efficacy and safety of QNASL Nasal Aerosol have been evaluated in 3 randomized, double-blind, parallel-group, multicenter, placebo-controlled clinical trials of 2 to 6 weeks duration in adult and adolescent patients 12 years and older with symptoms of seasonal or perennial allergic rhinitis. The 3 clinical trials included one 2-week dose-ranging trial in patients with seasonal allergic rhinitis, one 2-week efficacy trial in patients with seasonal allergic rhinitis, and one 6-week efficacy trial in patients with perennial allergic rhinitis. The trials included a total of 1049 patients (366 males and 683 females). About 81% of patients were Caucasian and 17% African American, the mean age was approximately 38 years. Of these patients 521 received QNASL Nasal Aerosol 320 mcg once daily administered as 2 actuations in each nostril.

Assessment of efficacy was based on the total nasal symptom score (TNSS). TNSS is calculated as the sum of the patients' scoring of the 4 individual nasal symptoms (rhinorrhea, sneezing, nasal congestion, and nasal itching) on a 0 to 3 categorical severity scale (0 = absent, 1 = mild, 2 = moderate, 3 = severe) as reflective (rTNSS) or instantaneous (iTNSS). rTNSS required the patients to record symptom severity over the previous 12 hours; iTNSS required the patients to record symptom severity over the previous 10 minutes. Morning and evening TNSS scores were averaged over the treatment period and the difference from placebo in the change from baseline rTNSS was the primary efficacy endpoint. The morning iTNSS reflects the TNSS at the end of the 24-hour dosing interval and is an indication of whether the effect was maintained over the 24-hour dosing interval.

Dose-Ranging Trial: The dose-ranging trial was a 2-week trial that evaluated the efficacy of 3 doses of beclomethasone dipropionate nasal aerosol (80, 160, and 320 mcg, once daily) in patients with seasonal allergic rhinitis. In this trial, only treatment with beclomethasone dipropionate nasal aerosol at the dose of 320 mcg/day resulted in statistically significant improvements compared with placebo in the primary efficacy endpoint, rTNSS (Table 3).

Table 3. Mean Changes from Baseline in Reflective Total Nasal Symptom Score Over 2 Weeks in Adult and Adolescent Patients with Seasonal Allergic Rhinitis (ITT Population)
Treatment N Baseline

(SD)
LS Mean (SE)

Change from

Baseline
Difference From Placebo
LS Mean 95% CI

Beclomethasone dipropionate

320 mcg/day

122

9.17 (1.66)

-2.22 (0.18)

-0.63

-1.13, 0.13

Beclomethasone dipropionate

160 mcg/day

123

9.24 (1.57)

-1.87 (0.18)

-0.29

-0.78, 0.21

Beclomethasone dipropionate

80 mcg/day

118

9.33 (1.72)

-1.88 (0.18)

-0.29

-0.80, 0.21

Placebo

123

8.98 (1.47)

-1.59 (0.18)

The 320 mcg dose also demonstrated a statistically significant decrease in morning iTNSS than placebo, indicating that the effect was maintained over the 24-hour dosing interval.

Seasonal and Perennial Allergic Rhinitis Trials: In 2 randomized, double-blind, parallel-group, multicenter, placebo-controlled efficacy trials, once-daily treatment with QNASL Nasal Aerosol for 2 weeks in patients with seasonal allergic rhinitis and for 6 weeks in patients with perennial allergic rhinitis resulted in statistically significant greater decreases from baseline in the rTNSS and morning iTNSS than placebo (Table 4).

Table 4. Mean Changes From Baseline in Reflective and Instantaneous Total Nasal Symptom Scores in Adult and Adolescent Patients with Seasonal or Perennial Allergic Rhinitis (ITT Population)
Treatment N Baseline

(SD)
LS Mean (SE)

Change from

Baseline
Difference From Placebo
LS Mean 95% CI

Seasonal Allergic Rhinitis

Reflective Total Nasal Symptom Scores (rTNSS)

Beclomethasone dipropionate

320 mcg/day

167

9.6 (1.51)

-2.0 (0.16)

-0.91

-1.3, -0.5

Placebo

171

9.5 (1.54)

-1.0 (0.15)

Instantaneous Total Nasal Symptom Scores (iTNSS)

Beclomethasone dipropionate

320 mcg/day

167

9.0 (1.74)

-1.7 (0.15)

-0.92

-1.3, -0.5

Placebo

171

8.7 (1.81)

-0.8 (0.15)

Perennial Allergic Rhinitis

Reflective Total Nasal Symptom Scores (rTNSS)

Beclomethasone dipropionate

320 mcg/day

232

8.9 (1.70)

-2.5 (0.14)

-0.84

-1.2, -0.5

Placebo

234

9.0 (1.73)

-1.6 (0.14)

Instantaneous Total Nasal Symptom Scores (iTNSS)

Beclomethasone dipropionate

320 mcg/day

232

8.1 (1.98)

-2.1 (0.13)

-0.78

-1.1, -0.4

Placebo

234

8.3 (1.96)

-1.4 (0.13)

Pediatric Patients 4 to 11 Years of Age: The efficacy and safety of QNASL Nasal Aerosol have been evaluated in 2 randomized, double-blind, parallel-group, multicenter, placebo-controlled clinical trials of 2 to 12 weeks duration in pediatric patients 4 to 11 years of age with symptoms of seasonal or perennial allergic rhinitis. The 2 clinical trials included one 2-week dose-ranging trial in patients with seasonal allergic rhinitis (6 - 11 years of age), and one 12-week efficacy trial in patients with perennial allergic rhinitis (4 - 11 years of age). The trials included a total of 1255 patients (680 males and 575 females). About 73% of patients were Caucasian and 20% African American, the mean age was approximately 8 years for one study and 9 years for the second study. Of these patients 596 received QNASL Nasal Aerosol 80 mcg once daily administered as 1 actuation of QNASL 40 mcg Nasal Aerosol in each nostril.

Assessment of efficacy was based on the total nasal symptom score (TNSS) as described in adult and adolescents efficacy studies.

Dose-Ranging Seasonal Allergic Rhinitis Trial: The dose-ranging trial was a 2-week trial that evaluated the efficacy of 2 doses of beclomethasone dipropionate nasal aerosol (80 and 160 mcg, once daily) in patients with seasonal allergic rhinitis. In this trial, treatment with beclomethasone dipropionate nasal aerosol at the dose of 80 mcg/day resulted in statistically significant improvements compared with placebo in the primary efficacy endpoint, rTNSS (Table 5).

Table 5. Mean Changes from Baseline in Reflective and Instantaneous Total Nasal Symptom Scores Over 2 Weeks in Pediatric Patients with Seasonal Allergic Rhinitis (ITT Population)

Treatment

N

Baseline

(SD)

LS Mean (SE)

Change

from Baseline

Difference From Placebo

LS Mean

95% CI

Reflective Total Nasal Symptom Scores (rTNSS)

Beclomethasone dipropionate 80 mcg/day

239

8.9 (1.62)

-1.9 (0.14)

-0.71

-1.1, -0.3

Beclomethasone dipropionate 160 mcg/day

241

9.0 (1.71)

-2.0 (0.14)

-0.76

-1.1, -0.4

Placebo

234

9.0 (1.70)

-1.2 (0.14)

-

-

-

Instantaneous Total Nasal Symptom Scores (iTNSS)

Beclomethasone dipropionate 80 mcg/day

238

8.1 (1.99)

-1.6 (0.13)

-0.63

-1.0, -0.3

Beclomethasone dipropionate 160 mcg/day

241

8.1 (2.13)

-1.7 (0.13)

-0.73

-1.1, -0.4

Placebo

234

8.2 (2.10)

-1.0 (0.13)

-

-

The 80 mcg daily dose also demonstrated a statistically significant decrease in morning iTNSS than placebo, indicating that the effect was maintained over the 24-hour dosing interval. Based on the results from the dose ranging trial, 80 mcg once daily was chosen as the dose for pediatric patients 4-11 years of age.

Perennial Allergic Rhinitis Trial: In a randomized, double-blind, parallel-group, multicenter, placebo-controlled efficacy trial, treatment with QNASL Nasal Aerosol 80 mcg once daily in patients with perennial allergic rhinitis resulted in statistically significant greater decreases from baseline in the rTNSS (the primary endpoint) and iTNSS than placebo over the first six weeks of treatment (Table 6).

Table 6. Mean Changes from Baseline in Reflective Total Nasal Symptom Score Over 6 Weeks in Pediatric Patients 6 to 11 Years of Age with Perennial Allergic Rhinitis (FAS)

Treatment

N

Baseline

(SD)

LS Mean (SE)

Change from

Baseline

Difference From Placebo

LS Mean

95% CI

Reflective Total Nasal Symptom Scores (rTNSS)

Beclomethasone dipropionate 80 mcg/day

296

8.6 (1.56)

-2.26 (0.12)

-0.66

-1.08, -0.24

Placebo

153

8.6 (1.60)

-1.60 (0.17)

-

-

Instantaneous Total Nasal Symptom Scores (iTNSS)

Beclomethasone dipropionate 80 mcg/day

296

7.9 (2.05)

-1.98 (0.12)

-0.58

-0.99, -0.18

Placebo

153

7.8 (2.12)

-1.39 (0.17)

-

-

FAS=full analysis set

For pediatric patients 4-11 years of age, improvements in average patient-reported rTNSS and iTNSS were also significantly greater in QNASL Nasal Aerosol 80 mcg per day treated patients compared with placebo.

5.5 Hypothalamic Pituitary Adrenal Axis Effect

When intranasal steroids are used at higher-than-recommended dosages or in susceptible individuals at recommended dosages, systemic corticosteroid effects such as hypercorticism and adrenal suppression may appear. If such changes occur, the dosage of QNASL Nasal Aerosol should be discontinued slowly, consistent with accepted procedures for discontinuing oral corticosteroid therapy.

The replacement of a systemic corticosteroid with a topical corticosteroid can be accompanied by signs of adrenal insufficiency. In addition, some patients may experience symptoms of corticosteroid withdrawal (e.g., joint and/or muscular pain, lassitude, and depression). Patients previously treated for prolonged periods with systemic corticosteroids and transferred to topical corticosteroids should be carefully monitored for acute adrenal insufficiency in response to stress. In patients who have asthma or other clinical conditions requiring long-term systemic corticosteroid treatment, rapid decreases in systemic corticosteroid dosages may cause a severe exacerbation of their symptoms.

8.3 Females and Males of Reproductive Potential

Impairment of fertility was observed in rats and dogs at oral doses of beclomethasone dipropionate corresponding to 500 and 50 times the MRHD for adults on a mg/m2 basis, respectively. [see Nonclinical Toxicology (13.1)].

1.1 Treatment of Nasal Symptoms of Allergic Rhinitis

QNASL® Nasal Aerosol is indicated for the treatment of the nasal symptoms associated with seasonal and perennial allergic rhinitis in patients 4 years of age and older.

5.3 Hypersensitivity Reactions Including Anaphylaxis

Hypersensitivity reactions including anaphylaxis, angioedema, urticaria, and rash have been reported following administration of beclomethasone dipropionate nasally administered and inhalationally administered products. Angioedema, urticaria, and rash have been reported following administration of QNASL Nasal Aerosol. Discontinue QNASL Nasal Aerosol if any such reactions occur [see Contraindications (4)].

17.3 Hypersensitivity Reactions Including Anaphylaxis

Hypersensitivity reactions including anaphylaxis, angioedema, urticaria, and rash have been reported following administration of beclomethasone dipropionate nasally administered and inhalationally administered products. Angioedema, urticaria, and rash have been reported following administration of QNASL Nasal Aerosol. If any such reactions occur, patients should discontinue use of QNASL Nasal Aerosol [see Warnings and Precautions (5.3)].

13.1 Carcinogenesis, Mutagenesis, Impairment of Fertility

The carcinogenicity of beclomethasone dipropionate was evaluated in rats which were exposed for a total of 95 weeks:  13 weeks at inhalation doses up to 0.4 mg/kg/day and the remaining 82 weeks at combined oral and inhalation doses up to 2.4 mg/kg/day. There was no evidence of treatment-related increases in the incidence of tumors in this study at the highest dose, which is approximately 75 and 130 times the MRHD in adults and children, respectively, on a mg/m2 basis.

Beclomethasone dipropionate did not induce gene mutation in bacterial cells or mammalian Chinese hamster ovary (CHO) cells in vitro.  No significant clastogenic effect was seen in cultured CHO cells in vitro or in the mouse micronucleus test in vivo.

In rats, beclomethasone dipropionate caused decreased conception rates at an oral dose of 16 mg/kg/day (approximately 500 times the MRHD in adults on a mg/m2 basis). Impairment of fertility, as evidenced by inhibition of the estrous cycle in dogs was observed following treatment by the oral route at a dose of 0.5 mg/kg/day (approximately 50 times the MRHD in adults on a mg/m2 basis).  No inhibition of the estrous cycle in dogs was seen following 12 months of exposure to beclomethasone dipropionate by the inhalation route at an estimated daily dose of 0.33 mg/kg (approximately 35 times the MRHD in adults on a mg/m2 basis).


Structured Label Content

10 Overdosage (10 OVERDOSAGE)

Chronic overdosage may result in signs/symptoms of hypercorticism [see Warnings and Precautions (5.5)]. There are no data available on the effects of acute or chronic overdosage with QNASL Nasal Aerosol.

8.1 Pregnancy

 Risk Summary

There are no adequate and well-controlled studies with QNASL Nasal Aerosol or beclomethasone dipropionate in pregnant women. No published studies, including studies of large birth registries, have to date related the use of inhaled corticosteroids (ICS) or intranasal corticosteroids to any increases in congenital malformations or other adverse perinatal outcomes.  Thus, available human data do not establish the presence or absence of drug‑associated risk to the fetus.  In animal reproduction studies, beclomethasone dipropionate resulted in adverse developmental effects in mice and rabbits at subcutaneous doses equal to or greater than approximately 1.5 times the maximum recommended human dose (MRHD) in adults (0.32 mg/day) (see Data).  In rats exposed to beclomethasone dipropionate by inhalation, dose‑related gross injury to the fetal adrenal glands was observed at doses greater than 350 times the MRHD, but there was no evidence of external or skeletal malformations or embryolethality at inhalation doses of up to 860 times the MRHD.

The estimated background risk of major birth defects and miscarriage for the indicated population(s) are unknown.  In the US general population, the estimated risk of major birth defects and miscarriage in clinically recognized pregnancies is 2‑4% and 15‑20%, respectively.

Clinical Considerations

Labor or Delivery

There are no specific human data regarding any adverse effects of intranasal beclomethasone dipropionate on labor and delivery.

Data

Animal Data

In an embryofetal development study in pregnant rats, beclomethasone dipropionate administration during organogenesis from gestation days 6 to 15 at inhaled doses 350 times the MRHD in adults and higher (on a mg/m2 basis at maternal doses of 11.5 and 28.3 mg/kg/day) produced dose‑dependent gross injury (characterized by red foci) of the adrenal glands in fetuses.  There were no findings in the adrenal glands of rat fetuses at an inhaled dose that was 75 times the MRHD in adults (on a mg/m2 basis at a maternal dose of 2.4 mg/kg/day).  There was no evidence of external or skeletal malformations or embryolethality in rats at inhaled doses up to 860 times the MRHD (on a mg/m2 basis at maternal doses up to 28.3 mg/kg/day).

In an embryofetal development study in pregnant mice, beclomethasone dipropionate administration from gestation days 1 to 18 at subcutaneous doses equal to and greater than 1.5 times the MRHD in adults (on a mg/m2 basis at maternal doses of 0.1 mg/kg/day and higher) produced adverse developmental effects (increased incidence of cleft palate).  A no-effect dose in mice was not identified. In a second embryofetal development study in pregnant mice, beclomethasone dipropionate administration from gestation days 1 to 13 at subcutaneous doses equal to and greater than 5 times the MRHD in adults (on a mg/m2 basis at a maternal dose of 0.3 mg/kg/day) produced embryolethal effects (increased fetal resorptions) and decreased pup survival.

In an embryofetal development study in pregnant rabbits, beclomethasone dipropionate administration during organogenesis from gestation days 7 to 16 at subcutaneous doses  equal to and greater than 1.5 times the MRHD in adults (on a mg/m2 basis at maternal doses of 0.025 mg/kg/day and higher) produced external and skeletal malformations and embryolethal effects (increased fetal resorptions).  There were no effects in fetuses of pregnant rabbits administered a subcutaneous dose 0.4 times the MRHD in adults (on a mg/m2 basis at a maternal dose of 0.006 mg/kg/day).

8.2 Lactation

Risk Summary

There are no data available on the presence of beclomethasone dipropionate in human milk, the effects on the breastfed child, or the effects on milk production. However, other corticosteroids have been detected in human milk. The developmental and health benefits of breastfeeding should be considered along with the mother’s clinical need for QNASL and any potential adverse effects on the breastfed child from beclomethasone dipropionate or from the underlying maternal condition.

11 Description (11 DESCRIPTION)

Beclomethasone dipropionate USP, the active component of QNASL Nasal Aerosol, is an anti-inflammatory steroid having the chemical name 9-chloro-11β,17,21-trihydroxy-16β-methylpregna-1,4-diene-3,20-dione 17, 21-dipropionate and the following chemical structure:

Beclomethasone dipropionate, a di-ester of beclomethasone (a synthetic corticosteroid chemically related to dexamethasone), is a white to almost white, odorless powder with a molecular formula of C28H37ClO7 and a molecular weight of 521.1. It is practically insoluble in water, very soluble in chloroform, and soluble in acetone and in dehydrated alcohol.

QNASL Nasal Aerosol is a pressurized, nonaqueous solution in a metered-dose aerosol device intended ONLY for intranasal use. It contains a solution of beclomethasone dipropionate in propellant HFA‑134a (1,1,1,2‑tetrafluoroethane) and dehydrated ethanol. QNASL 40 mcg Nasal Aerosol delivers 40 mcg of beclomethasone dipropionate from the nasal actuator and 50 mcg from the valve. QNASL 80 mcg Nasal Aerosol delivers 80 mcg of beclomethasone dipropionate from the nasal actuator and 100 mcg from the valve. Each strength delivers 59 mg of solution from the valve with each actuation. Each QNASL 80 mcg Nasal Aerosol canister contains 10.6 g of drug and excipients and provides 120 actuations. Each QNASL 40 mcg Nasal Aerosol canister contains 6.8 g of drug and excipients and provides 60 actuations.

5.2 Eye Disorders

Use of intranasal and inhaled corticosteroids may result in the development of increased intraocular pressure, blurred vision, glaucoma and/or cataracts. Therefore, close monitoring is warranted in patients with a change in vision or with a history of increased intraocular pressure, blurred vision, glaucoma, and/or cataracts.

Glaucoma and cataract formation was evaluated with ocular assessments that included intraocular pressure measurements and slit lamp examinations in 245 adolescent and adult patients (12 years of age and older) with perennial allergic rhinitis who were treated with QNASL Nasal Aerosol 320 mcg daily (N=197) or placebo (N=48) for up to 52 weeks. In 94% of patients, intraocular pressure (IOP) remained within the normal range (<21 mmHg) during the treatment portion of the trial. There were 10 patients (5%) treated with QNASL Nasal Aerosol and 1 patient (2%) treated with placebo that had intraocular pressure that increased above normal levels (≥21 mmHg) and greater than baseline during the treatment portion of the trial. Two of these occurrences in patients treated with QNASL Nasal Aerosol were reported as adverse reactions, one serious. No instances of cataract formation or other clinically significant ocular incidents were reported in this 52-week safety trial [see Adverse Reactions (6.1)].

8.4 Pediatric Use

The safety and effectiveness of QNASL Nasal Aerosol in children 4 years and older have been established [see Adverse Reactions (6.1), Clinical Pharmacology (12.3), Clinical Studies (14)]. The safety and effectiveness of QNASL Nasal Aerosol in children younger than 4 years of age have not been established. Controlled pediatric clinical trials with QNASL Nasal Aerosol included 909 children 4 to 11 years of age and 188 adolescent patients 12 to 17 years of age [see Clinical Studies (14)].

Controlled clinical trials have shown that intranasal corticosteroids may cause a reduction in growth velocity in pediatric patients. This effect has been observed in the absence of laboratory evidence of hypothalamic-pituitary-adrenal (HPA) axis suppression, suggesting that growth velocity is a more sensitive indicator of systemic corticosteroid exposure in pediatric patients than some commonly used tests of HPA-axis function. The long-term effects of reduction in growth velocity associated with intranasal corticosteroids, including the impact on final adult height, are unknown. The potential for "catch-up" growth following discontinuation of treatment with intranasal corticosteroids has not been adequately studied. The growth of pediatric patients receiving intranasal corticosteroids, including QNASL Nasal Aerosol, should be monitored routinely (e.g., via stadiometry).

A 12-month, randomized, controlled clinical trial evaluated the effects of QVAR®, an orally inhaled HFA beclomethasone dipropionate product, without spacer versus chlorofluorocarbon-propelled (CFC) beclomethasone dipropionate with large volume spacer on growth in children with asthma ages 5 to 11 years. A total of 520 patients were enrolled, of whom 394 received HFA-beclomethasone dipropionate (100 to 400 mcg/day ex-valve) and 126 received CFC-beclomethasone dipropionate (200 to 800 mcg/day ex-valve). When comparing results at month 12 to baseline, the mean growth velocity in children treated with HFA-beclomethasone dipropionate was approximately 0.5 cm/year less than that noted with children treated with CFC-beclomethasone dipropionate via large volume spacer. The potential growth effects of prolonged treatment should be weighed against the clinical benefits obtained and the risks/benefits of treatment alternatives.

The potential for QNASL Nasal Aerosol to cause reduction in growth velocity in susceptible patients or when given at higher than recommended dosages cannot be ruled out.

8.5 Geriatric Use

Clinical trials of QNASL Nasal Aerosol did not include sufficient numbers of subjects aged 65 years and older to determine whether they responded differently than younger subjects. Other reported clinical experience has not identified differences in responses between the elderly and younger patients. In general, administration to elderly patients should be cautious, reflecting the greater frequency of decreased hepatic, renal, or cardiac function, and of concomitant disease or other drug therapy.

17.2 Eye Disorders

Inform patients that blurred vision, glaucoma and cataracts are associated with nasal and inhaled corticosteroid use. Patients should inform their healthcare providers if a change in vision is noted while using QNASL Nasal Aerosol [see Warnings and Precautions (5.2)].

6 Adverse Reactions (6 ADVERSE REACTIONS)

Systemic and local corticosteroid use may result in the following:

7 Drug Interactions (7 DRUG INTERACTIONS)

No drug interaction studies have been performed with QNASL Nasal Aerosol.

Patient Information (PATIENT INFORMATION)

QNASL® (kyoo nay' zel)

(beclomethasone dipropionate)

Nasal Aerosol

QNASL Nasal Aerosol is available in 2 different strengths:

  • QNASL Nasal Aerosol 40 mcg is only for use in children 4 years to 11 years of age and should be given under the supervision of a parent, guardian or caregiver.
  • QNASL Nasal Aerosol 80 mcg is only for use in adolescents and adults 12 years of age and older.

What is QNASL Nasal Aerosol?

QNASL Nasal Aerosol is a prescription medicine that treats seasonal nasal and year-round nasal allergy symptoms in children 4 years of age and older and adults.

It is not known if QNASL Nasal Aerosol is safe and effective in children under 4 years of age.

Who should not use QNASL Nasal Aerosol?

Do not use QNASL Nasal Aerosol if you or your child is allergic to beclomethasone dipropionate or any of the ingredients in QNASL Nasal Aerosol. See the end of this leaflet for a complete list of ingredients in QNASL Nasal Aerosol.

What should you tell your or your child’s healthcare provider before using QNASL Nasal Aerosol?

Before using QNASL Nasal Aerosol, tell the healthcare provider about all of your medical conditions, including if you or your child:

  • has had recent nose problems such as nasal sores, nasal surgery, or a nasal injury.
  • has or have had eye problems, such as blurred vision, increased pressure in their eye (glaucoma) or cataracts.
  • has tuberculosis or any untreated fungal, bacterial, or viral infections, or eye infections caused by herpes.

  • has not had or been vaccinated for chickenpox or measles.

  • is pregnant or plans to become pregnant. It is not known if QNASL Nasal Aerosol will harm an unborn baby. Talk to the healthcare provider if you or your child is pregnant or plans to become pregnant.

  • is breastfeeding or plans to breastfeed. It is not known if QNASL Nasal Aerosol passes into breast milk. Talk to the healthcare provider about the best way to feed the baby if you or your child is using QNASL Nasal Aerosol.

Tell the healthcare provider about all of the medicines you or your child takes, including prescription and over-the-counter medicines, vitamins, and herbal supplements.

QNASL Nasal Aerosol and other medicines may affect each other and cause side effects. QNASL Nasal Aerosol may affect the way other medicines work, and other medicines may affect the way QNASL Nasal Aerosol works.

Especially tell the healthcare provider if you or your child takes other corticosteroid medicines.

Ask the healthcare provider for a list of these medicines if you are not sure.

How should you or your child use QNASL Nasal Aerosol?

  • QNASL Nasal Aerosol 40 mcg is only for use in children 4 years to 11 years of age and should be given under the supervision of a parent, guardian or caregiver.
  • QNASL Nasal Aerosol 80 mcg is only for use in adults and adolescents 12 years of age and older.
  • Read the step-by-step Instructions for Use at the end of this leaflet for specific information about the right way to use QNASL Nasal Aerosol.
  • QNASL Nasal Aerosol is for use in the nose only. Do not spray it in your eyes or mouth and do not let your child spray it in their eyes or mouth.
  • Use QNASL Nasal Aerosol exactly as the healthcare provider tells you or your child to use it. Do not use more of your medicine or use it more often or let your child use more of the medicine or use it more often than the healthcare provider tells you.
  • QNASL Nasal Aerosol does not need to be primed.
  • QNASL Nasal Aerosol 40 mcg:
    • contains 60 sprays, and
    • has a spray counter which initially should read 60 sprays, and counts down each time a spray is released
  • QNASL Nasal Aerosol 80 mcg:
  • contains 120 sprays, and
  • has a spray counter which initially should read 120 sprays, and counts down each time a spray is released.
  • Do not use the QNASL Nasal Aerosol after the spray counter reads 0. You or your child may not get the right amount of medicine.
  • The usual dose of QNASL Nasal Aerosol:
  • 40 mcg is 1 spray in each nostril, 1 time a day for children who are 4 years to 11 years of age. Your child should not use more than a total of 2 sprays per day.
  • 80 mcg is 2 sprays in each nostril, 1 time a day for adolescents and adults 12 years of age and older. You should not use more than a total of 4 sprays per day.

You and your child will get the best results if they keep using QNASL Nasal Aerosol regularly each day. If you or your child’s symptoms do not improve or get worse, call the healthcare provider.

What are the possible side effects of QNASL Nasal Aerosol?

QNASL Nasal Aerosol may cause serious side effects, including:

  • ·nose bleeds or nasal ulcers. The healthcare provider should check the inside of you or your child’s nose (nasal mucosa) for problems during treatment with QNASL Nasal Aerosol. Talk to the healthcare provider if the nose bleeds or has nasal ulcers.
  • fungal infections (thrush) in the nose, mouth, or throat. Tell the healthcare provider if you or your child has any redness or white colored patches in the mouth or throat.
  • slow wound healing. You or your child should not use QNASL Nasal Aerosol until the nose has healed if there was a sore in the nose, if you or your child had surgery on the nose, or the nose has been injured.

  • eye problems. If you or your child has had glaucoma, cataracts or blurred vision in the past, you or your child should have regular eye exams while using QNASL Nasal Aerosol. Tell the healthcare provider if you or your child has any change in vision during treatment with QNASL Nasal Aerosol.

  • serious allergic reactions. Stop using QNASL Nasal Aerosol and call the healthcare provider right away or get emergency medical help right away if you or your child get any of the following signs and symptoms of a serious allergic reaction:

  • hives
  • swelling of your lips, tongue or face
  • rash
  • breathing problems
  • immune system effects and a higher chance for infections. Tell your or your child’s healthcare provider about any signs or symptoms of infection such as:
  • fever
  • body aches
  • feeling tired
  • vomiting
  • pain
  • chills
  • nausea
  • reduced adrenal function (adrenal insufficiency). Adrenal insufficiency can happen in people who take higher doses of QNASL than recommended over a long period of time. Symptoms of adrenal insufficiency may include:
  • feeling tired
  • nausea
  • weakness
  • vomiting
  • dizziness
  • slowed growth in children. Children should have their growth checked regularly while using QNASL Nasal Aerosol.

The most common side effects with QNASL Nasal Aerosol  40 mcg in children who are 4 years to 11 years of age include:

  • headache
  • fever
  • upper respiratory tract infection
  • pain or swelling of your nose or throat (nasopharyngitis)

The most common side effects with QNASL Nasal Aerosol  80 mcg in adults and adolescents 12 years of age and older include:

  • nasal discomfort
  • headaches
  • nose bleeds (epistaxis)

Tell the healthcare provider if you or your child has any side effect that bothers you or that does not go away.

These are not all the possible side effects of QNASL Nasal Aerosol. For more information, ask the healthcare provider or pharmacist.

Call your healthcare provider for medical advice about side effects. You may report side effects to FDA at 1-800-FDA-1088.

How should I store QNASL Nasal Aerosol?

  • Store QNASL Nasal Aerosol at room temperature between 68˚F to 77˚F (20˚C to 25˚C).
  • Do not puncture the QNASL Nasal Aerosol canister.
  • Do not store the QNASL Nasal Aerosol canister near heat or a flame. Temperatures above 120˚F (49˚C) may cause the canister to burst.
  • Do not throw the QNASL Nasal Aerosol canister into a fire or an incinerator.
  • Safely throw away medicine that is out of date or no longer needed.

Keep QNASL Nasal Aerosol and all medicines out of the reach of children.

General information about the safe and effective use of QNASL Nasal Aerosol

Medicines are sometimes prescribed for purposes other than those listed in a Patient Information leaflet. Do not use QNASL Nasal Aerosol for a condition for which it was not prescribed. Do not give QNASL Nasal Aerosol to other people, even if they have the same symptoms that you or your child has. It may harm them.

You can ask your pharmacist or healthcare provider for information about QNASL Nasal Aerosol that is written for health professionals.

What are the ingredients in QNASL Nasal Aerosol?

Active ingredient: beclomethasone dipropionate

Inactive ingredient: propellant HFA-134a and dehydrated ethanol

For more information, go to www.QNASL.com or call 1-855-55-QNASL (1-855-557-6275).

Distributed by:

Teva Pharmaceuticals USA, Inc.            

Parsippany, NJ  07054

© 2020, Teva Respiratory, LLC.  All rights reserved.

QNSPL-002

Rev. 02/2020

PLEASE SEE REVERSE SIDE FOR INSTRUCTIONS FOR USE.



INSTRUCTIONS FOR USE

QNASL® (kyoo nay' zel) 80 mcg

(beclomethasone dipropionate)

Nasal Aerosol

Read these Instructions for Use for QNASL Nasal Aerosol before you start using it and each time you get a refill. There may be new information. This leaflet does not take the place of talking to your healthcare provider about your medical condition or treatment.

Note: For Use in the Nose Only.

  • Do not spray QNASL Nasal Aerosol in your eyes, mouth or directly onto your nasal septum (the wall between your 2 nostrils).

The Parts of Your QNASL Nasal Aerosol

The QNASL Nasal Aerosol device comes as a canister that fits into a nasal actuator with a built-in spray counter and protective dust cap. (See Figure A).

  • Do not use the QNASL Nasal Aerosol actuator with a canister of medicine from any other inhaler.
  • Do not use the QNASL Nasal Aerosol canister with an actuator from any other inhaler.
  • Do not remove the QNASL Nasal Aerosol canister from the actuator.
  • When you first remove the QNASL Nasal Aerosol device from the carton, the spray counter should read “120” (See Figure B).
  • You do not need to prime your QNASL Nasal Aerosol device.



Using Your QNASL Nasal Aerosol Device

Step 1: Blow your nose to clear your nostrils.

Step 2: Remove the protective dust cap from your QNASL Nasal Aerosol device by pulling it straight off.

Step 3: Inspect the nasal actuator tip to make sure it is clear of foreign objects.

Step 4: Hold your QNASL Nasal Aerosol device upright and insert the nasal actuator tip into one nostril (See Figure C).

Step 5: Point the QNASL Nasal Aerosol device slightly away from the wall between your nostrils (nasal septum) while holding your other nostril closed (See Figure D).

Step 6: Hold your breath and press down firmly and completely on the canister to release 1 spray (See Figure E). Continue to hold your breath for 5 seconds after releasing the spray and then breathe out slowly through your mouth. Take the QNASL Nasal Aerosol device out of your nostril.

Step 7: Repeat steps 3-6 for the second spray in the same nostril.

Step 8: Repeat steps 3-7 for your other nostril.

Step 9: You should not blow your nose for the next 15 minutes.

Note: The spray counter will count down each time there is a spray released from your QNASL Nasal Aerosol device.

Step 10: Clean and store your device. See "Cleaning Your QNASL Nasal Aerosol Device."

Cleaning Your QNASL Nasal Aerosol Device

  • Wipe the nasal actuator tip with a clean, dry tissue or cloth (See Figure F).
  • Do NOT wash or put any part of the QNASL Nasal Aerosol canister or actuator in water (See Figure G).
  • Replace the protective dust cap.
  • Keep your device clean and dry at all times.

How to Know When to Stop Using your QNASL Aerosol Device

  • The QNASL Nasal Aerosol device has a spray counter, which is there to let you know how many sprays of medicine you have left.
  • Do not use your QNASL Nasal Aerosol device when 0 is shown in the spray counter window (See Figure H).
  • Throw away your QNASL Nasal Aerosol device when the spray counter reaches 0.
  • Do not throw your QNASL Nasal Aerosol canister into a fire or an incinerator.
  • Talk with your healthcare provider before your QNASL Nasal Aerosol medicine runs out to see if you should get a refill.

Distributed by:

Teva Pharmaceuticals USA, Inc.            

Parsippany, NJ  07054

 ©2020 Teva Respiratory, LLC. All rights reserved.



QNSIFU80-002

Rev. 02/2020          

This Patient Information and Instructions for Use has been approved by the U.S. Food and Drug Administration.

INSTRUCTIONS FOR USE

QNASL® (kyoo nay' zel) 40 mcg

(beclomethasone dipropionate)

Nasal Aerosol

Read these Instructions for Use for QNASL Nasal Aerosol before your child starts using it and each time you get a refill. There may be new information. This leaflet does not take the place of talking to the healthcare provider about your child’s medical condition or treatment.

Note: For Use in the Nose Only.

  • Do not spray QNASL Nasal Aerosol in the eyes, mouth or directly onto the nasal septum (the wall between the 2 nostrils).

The Parts of Your QNASL Nasal Aerosol

The QNASL Nasal Aerosol device comes as a canister that fits into a nasal actuator with a built-in spray counter and protective dust cap. (See Figure A)

  • Do not use the QNASL Nasal Aerosol actuator with a canister of medicine from any other inhaler.
  • Do not use the QNASL Nasal Aerosol canister with an actuator from any other inhaler.
  • Do not remove the QNASL Nasal Aerosol canister from the actuator.
  • When you first remove the QNASL Nasal Aerosol device from the carton, the spray counter should read “60” (See Figure B).
  • You do not need to prime the QNASL Nasal Aerosol device..

Using the QNASL Nasal Aerosol 40 mcg Device in Children 4 Years to 11 Years of Age

Children may need help from parents, guardians or caregivers.

Step 1: Have your child blow their nose to clear their nostrils.

Step 2: Remove the protective dust cap from the QNASL Nasal Aerosol device by pulling it straight off.

Step 3: Inspect the nasal actuator tip to make sure it is clear of foreign objects.

Step 4: Hold the QNASL Nasal Aerosol device upright and insert the nasal actuator tip into 1 nostril (See Figure C).

Step 5: Point the QNASL Nasal Aerosol device slightly away from the wall between the nostrils (nasal septum) while holding the other nostril closed (See Figure D).

Step 6: Have your child hold their breath and press down firmly and completely on the canister to release 1 spray (See Figure E). Continue to have your child hold their breath for 5 seconds after releasing the spray and then have them breathe out slowly through their mouth. Take the QNASL Nasal Aerosol device out of the nostril.

Step 8: Your child should not blow their nose for the next 15 minutes.

Note: The spray counter will count down each time there is a spray released from the QNASL Nasal Aerosol device.

Step 9: Clean and store the device. See "Cleaning the QNASL Nasal Aerosol Device."

Cleaning the QNASL Nasal Aerosol Device

  • Wipe the nasal actuator tip with a clean, dry tissue or cloth (See Figure F).
  • Do NOT wash or put any part of the QNASL Nasal Aerosol canister or actuator in water (See Figure G).
  • Replace the protective dust cap.
  • Keep QNASL Nasal Aerosol device clean and dry at all times.

How to Know When to Stop Using the QNASL Nasal Aerosol Device

  • The QNASL Nasal Aerosol device has a spray counter, which is there to let you know how many sprays of medicine are left.
  • Do not use the QNASL Nasal Aerosol device when 0 is shown in the spray counter window (See Figure H).
  • Throw away the QNASL Nasal Aerosol device when the spray counter reaches 0.
  • Do not throw the QNASL Nasal Aerosol canister into a fire or an incinerator.
  • Talk with the healthcare provider before the QNASL Nasal Aerosol medicine runs out to see if you should get a refill.

Distributed by:

Teva Pharmaceuticals USA, Inc.            

Parsippany, NJ  07054



©2020 Teva Respiratory, LLC. All rights reserved.

          

QNSIFU40-002

Rev. 02/2020

This Patient Information and Instructions for Use has been approved by the U.S. Food and Drug Administration.

4. Contraindications (4. CONTRAINDICATIONS)

QNASL Nasal Aerosol is contraindicated in patients with a history of hypersensitivity to beclomethasone dipropionate and/or any other QNASL Nasal Aerosol ingredients [see Warnings and Precautions (5.3)].

5.6 Effect On Growth (5.6 Effect on Growth)

Corticosteroids may cause a reduction in growth velocity when administered to pediatric patients. Routinely monitor the growth of pediatric patients receiving QNASL Nasal Aerosol [see Use in Specific Populations (8.4)].

Instructions for Use (INSTRUCTIONS FOR USE)

INSTRUCTIONS FOR USE

QNASL® (kyoo nay' zel) 80 mcg

(beclomethasone dipropionate)

Nasal Aerosol

Read these Instructions for Use for QNASL Nasal Aerosol before you start using it and each time you get a refill. There may be new information. This leaflet does not take the place of talking to your healthcare provider about your medical condition or treatment.

Note: For Use in the Nose Only.

  • Do not spray QNASL Nasal Aerosol in your eyes, mouth or directly onto your nasal septum (the wall between your 2 nostrils).

The parts of your QNASL Nasal Aerosol

The QNASL Nasal Aerosol device comes as a canister that fits into a nasal actuator with a built-in spray counter and protective dust cap. (See Figure A).

  • Do not use the QNASL Nasal Aerosol actuator with a canister of medicine from any other inhaler.
  • Do not use the QNASL Nasal Aerosol canister with an actuator from any other inhaler.
  • Do not remove the QNASL Nasal Aerosol canister from the actuator.
  • When you first remove the QNASL Nasal Aerosol device from the carton, the spray counter should read “120” (See Figure B).
  • You do not need to prime the QNASL Nasal Aerosol device.



Using Your QNASL Nasal Aerosol Device

Step 1: Blow your nose to clear your nostrils.

Step 2: Remove the protective dust cap from your QNASL Nasal Aerosol device by pulling it straight off.

Step 3: Inspect the nasal actuator tip to make sure it is clear of foreign objects.

Step 4: Hold your QNASL Nasal Aerosol device upright and insert the nasal actuator tip into one nostril (See Figure C).

Step 5: Point the QNASL Nasal Aerosol device slightly away from the wall between your nostrils (nasal septum) while holding your other nostril closed (See Figure D).

Step 6: Hold your breath and press down firmly and completely on the canister to release 1 spray (See Figure E). Continue to hold your breath for 5 seconds after releasing the spray and then breathe out slowly through your mouth. Take the QNASL Nasal Aerosol device out of your nostril.

Step 7: Repeat steps 3-6 for the second spray in the same nostril.

Step 8: Repeat steps 3-7 for your other nostril.

Step 9: You should not blow your nose for the next 15 minutes.

Note: The spray counter will count down each time there is a spray released from your QNASL Nasal Aerosol device.

Step 10: Clean and store your device. See "Cleaning Your QNASL Nasal Aerosol device."

Cleaning Your QNASL Nasal Aerosol device

  • Wipe the nasal actuator tip with a clean, dry tissue or cloth (See Figure F).
  • Do NOT wash or put any part of the QNASL Nasal Aerosol canister or actuator in water (See Figure G).
  • Replace the protective dust cap.
  • Keep your device clean and dry at all times.

How to know when to stop using your QNASL Aerosol device

  • The QNASL Nasal Aerosol device has a spray counter, which is there to let you know how many sprays of medicine you have left.
  • Do not use your QNASL Nasal Aerosol device when 0 is shown in the spray counter window (See Figure H).
  • Throw away your QNASL Nasal Aerosol device when the spray counter reaches 0.
  • Do not throw your QNASL Nasal Aerosol canister into a fire or an incinerator.
  • Talk with your healthcare provider before your QNASL Nasal Aerosol medicine runs out to see if you should get a refill.

Manufactured for:

Teva Respiratory, LLC

Frazer, PA 19355



By:

Norton (Waterford) Limited

Unit 301, IDA Industrial Park, Cork Road

Waterford, Ireland

©2018 Teva Respiratory, LLC

All rights reserved.

QNSIFU80-001

Rev. 03/2018          

This Patient Information and Instructions for Use has been approved by the U.S. Food and Drug Administration.

 

INSTRUCTIONS FOR USE

QNASL® (kyoo nay' zel) 40 mcg

(beclomethasone dipropionate)

Nasal Aerosol

Read these Instructions for Use for QNASL Nasal Aerosol before your child starts using it and each time you get a refill. There may be new information. This leaflet does not take the place of talking to the healthcare provider about your child’s medical condition or treatment.

Note: For Use in the Nose Only.

  • Do not spray QNASL Nasal Aerosol in the eyes, mouth or directly onto the nasal septum (the wall between the 2 nostrils).

The parts of your QNASL Nasal Aerosol

The QNASL Nasal Aerosol device comes as a canister that fits into a nasal actuator with a built-in spray counter and protective dust cap. (See Figure A)

  • Do not use the QNASL Nasal Aerosol actuator with a canister of medicine from any other inhaler.
  • Do not use the QNASL Nasal Aerosol canister with an actuator from any other inhaler.
  • Do not remove the QNASL Nasal Aerosol canister from the actuator.
  • When you first remove the QNASL Nasal Aerosol device from the carton, the spray counter should read “60” (See Figure B).
  • You do not need to prime the QNASL Nasal Aerosol device.

Using the QNASL Nasal Aerosol 40 mcg device in Children 4 years to 11 Years of Age

Children may need help from parents, guardians or caregivers.

Step 1: Have your child blow their nose to clear their nostrils.

Step 2: Remove the protective dust cap from the QNASL Nasal Aerosol device by pulling it straight off.

Step 3: Inspect the nasal actuator tip to make sure it is clear of foreign objects.

Step 4: Hold the QNASL Nasal Aerosol device upright and insert the nasal actuator tip into 1 nostril (See Figure C).

Step 5: Point the QNASL Nasal Aerosol device slightly away from the wall between the nostrils (nasal septum) while holding the other nostril closed (See Figure D).

Step 6: Have your child hold their breath and press down firmly and completely on the canister to release 1 spray (See Figure E). Continue to have your child hold their breath for 5 seconds after releasing the spray and then have them breathe out slowly through their mouth. Take the QNASL Nasal Aerosol device out of the nostril.

Step 7: Repeat steps 3-6 for the other nostril.

Step 8: Your child should not blow their nose for the next 15 minutes.

Note: The spray counter will count down each time there is a spray released from the QNASL Nasal Aerosol device.

Step 9: Clean and store the device. See "Cleaning the QNASL Nasal Aerosol device."

Cleaning the QNASL Nasal Aerosol device

  • Wipe the nasal actuator tip with a clean, dry tissue or cloth (See Figure F).
  • Do NOT wash or put any part of the QNASL Nasal Aerosol canister or actuator in water (See Figure G).
  • Replace the protective dust cap.
  • Keep QNASL Nasal Aerosol device clean and dry at all times.

How to know when to stop using the QNASL Nasal Aerosol device

  • The QNASL Nasal Aerosol device has a spray counter, which is there to let you know how many sprays of medicine are left.
  • Do not use the QNASL Nasal Aerosol device when 0 is shown in the spray counter window (See Figure H).
  • Throw away the QNASL Nasal Aerosol device when the spray counter reaches 0.
  • Do not throw the QNASL Nasal Aerosol canister into a fire or an incinerator.
  • Talk with the healthcare provider before the QNASL Nasal Aerosol medicine runs out to see if you should get a refill.

Manufactured for:

Teva Respiratory, LLC

Frazer, PA 19355



By:

Norton (Waterford) Limited

Unit 301, IDA Industrial Park, Cork Road

Waterford, Ireland

©2018 Teva Respiratory, LLC

All rights reserved.

QNSIFU40-001

Rev. 03/2018        

This Patient Information and Instructions for Use has been approved by the U.S. Food and Drug Administration.

12.2 Pharmacodynamics

Adrenal Function: The effects of QNASL Nasal Aerosol on the HPA axis were evaluated in two 6-week, randomized, double-blind, parallel-group perennial allergic rhinitis trials – one in adult and adolescent patients 12 to 45 years of age and another in children 6 to 11 years of age. In the first study with adolescent and adult patients aged 12 to 45, QNASL Nasal Aerosol 320 mcg, once daily, was compared with both placebo nasal aerosol and a positive control (a placebo/prednisone group that received prednisone 10 mg orally once daily for the final 7 days of the treatment period). In the second study with pediatric patients aged 6 to 11, QNASL Nasal Aerosol 80 mcg once daily was compared to placebo nasal aerosol. HPA-axis function was assessed by 24-hour serial serum cortisol levels prior to the first dose and after 6 weeks of treatment. Patients were domiciled for the 24-hour serum cortisol assessments. The change from baseline in the 24-hour serum cortisol weighted mean for QNASL Nasal Aerosol and placebo after 6 weeks of treatment were compared.

In the HPA–axis study in patients 12 to 45 years of age, baseline geometric mean serum cortisol weighted mean values were similar in the QNASL Nasal Aerosol 320 mcg/day and placebo treatment groups (9.04 and 8.45 mcg/dL, respectively). After 6 weeks of treatment, the geometric mean values were 8.18 and 8.01 mcg/dL, respectively, with a change from baseline in 24-hour serum cortisol weighted mean for the QNASL Nasal Aerosol and placebo groups of 0.86 and 0.44, resulting in a difference of 0.42. The geometric mean ratio for QNASL Nasal Aerosol 320 mcg/day to placebo was 0.96 (95% CI: 0.87, 1.06). For comparison, in the positive-control (prednisone) treatment group, the geometric mean ratio for placebo to placebo/prednisone 10 mg/day was 3.17 (95% CI: 2.68, 3.74).

In the HPA-axis study in patients 6 to 11 years of age, baseline geometric mean serum cortisol weighted mean values were similar in the QNASL Nasal Aerosol 80 mcg/day and placebo treatment groups (5.97 and 6.47 mcg/dL, respectively). After 6 weeks of treatment the geometric mean values were 6.19 and 7.13 mcg/dL, respectively with no decrease from baseline values in both treatment groups. The geometric mean ratio for QNASL Nasal Aerosol 80 mcg/day to placebo was 0.91 (95% CI; 0.81, 1.03).

12.3 Pharmacokinetics

Absorption

Following intranasal administration, most of the beclomethasone dipropionate undergoes extensive conversion to its active metabolite, beclomethasone-17-monopropionate, during absorption. Plasma concentrations of beclomethasone dipropionate and beclomethasone-17-monopropionate have been measured with QNASL Nasal Aerosol in 2 adult and/or adolescent clinical trials and 1 pediatric clinical trial.

The single-dose pharmacokinetics of QNASL Nasal Aerosol were evaluated in a randomized, open-label, 3-period, crossover trial in healthy adult volunteers. Systemic levels of beclomethasone-17-monopropionate and beclomethasone dipropionate after single-dose intranasal administration of beclomethasone dipropionate at doses of 80 and 320 mcg were compared with the systemic levels of beclomethasone-17-monopropionate and beclomethasone dipropionate after administration of orally inhaled beclomethasone dipropionate HFA at a dose of 320 mcg (QVAR® Inhalation Aerosol). The results of this trial demonstrated that the systemic bioavailability of QNASL Nasal Aerosol 320 mcg was approximately 27.5% (approximately 4-fold lower) of that of orally inhaled beclomethasone dipropionate HFA 320 mcg/day based on the plasma concentrations of beclomethasone-17-monopropionate (AUClast: 1139.7 vs 4140.3 hr*pg/mL; GMR: 0.275; 90% CI for the GMR: 0.214, 0.354). The peak exposure to QNASL Nasal Aerosol 320 mcg/day was approximately 19.5% (approximately 5-fold lower) of that of orally inhaled beclomethasone dipropionate HFA 320 mcg/day as measured by beclomethasone-17-monopropionate (Cmax: 262.7 vs 1343.7 pg/mL; GMR: 0.195; 90% CI for the GMR: 0.158, 0.241).

Following repeated once-daily administration of QNASL Nasal Aerosol, there was no accumulation or increase in plasma exposure to beclomethasone-17-monopropionate or beclomethasone dipropionate, most likely due to the short plasma half-life relative to the dosing frequency.

Distribution

The in vitro protein binding for beclomethasone-17-monopropionate was reported to be 94% to 96% over the concentration range of 1000 to 5000 pg/mL. The volume of distribution at steady state for beclomethasone dipropionate is moderate (20 L) but more extensive for beclomethasone-17-monopropionate (424 L).

Metabolism

Beclomethasone dipropionate undergoes extensive first-pass metabolism, forming three metabolites via CYP3A4, beclomethasone-17-monopropionate, beclomethasone-21-monopropionate, and beclomethasone. Beclomethasone-17-monopropionate is the major and most active metabolite.

Elimination

The major route of elimination of inhaled beclomethasone dipropionate appears to be via metabolism. More than 90% of inhaled beclomethasone dipropionate is found as beclomethasone-17-monopropionate in the systemic circulation. The mean elimination half-life of beclomethasone-17-monopropionate is 2.8 hours. The terminal elimination half-lives of beclomethasone dipropionate and beclomethasone-17-monopropionate following intranasal dosing with QNASL Nasal Aerosol (320 mcg) were approximately 0.3 hours and 4.5 hours, respectively. Irrespective of the route of administration (injection, oral, or inhalation), beclomethasone dipropionate and its metabolites are mainly excreted in the feces. Less than 10% of the drug and its metabolites are excreted in the urine. It is likely that intranasal beclomethasone dipropionate follows a similar elimination pathway.

Special Populations

Formal pharmacokinetic studies using QNASL Nasal Aerosol were not conducted in any special populations.

2.1 Allergic Rhinitis

Adults and Adolescents (12 Years of Age and Older): The recommended dose of QNASL Nasal Aerosol is 320 mcg per day administered as 2 actuations in each nostril (QNASL 80 mcg Nasal Aerosol) once daily (maximum total daily dose of 4 actuations per day).

Children (4 to 11 Years of Age): The recommended dose of QNASL Nasal Aerosol is 80 mcg per day administered as 1 actuation in each nostril (QNASL 40 mcg Nasal Aerosol) once daily (maximum total daily dose of 2 actuations per day).

5.4 Immunosuppression

Persons who are using drugs that suppress the immune system (e.g., corticosteroids) are more susceptible to infections than healthy individuals. Chickenpox and measles, for example, can have a more serious or even fatal course in susceptible children or adults using corticosteroids. In children or adults who have not had these diseases or been properly immunized, particular care should be taken to avoid exposure. How the dose, route, and duration of corticosteroid administration affect the risk of developing a disseminated infection is not known. The contribution of the underlying disease and/or prior corticosteroid treatment to the risk is also not known. If a patient is exposed to chickenpox, prophylaxis with varicella zoster immune globulin (VZIG) may be indicated. If a patient is exposed to measles, prophylaxis with pooled intramuscular immunoglobulin (IG) may be indicated (see the respective package inserts for complete VZIG and IG prescribing information). If chickenpox or measles develops, treatment with antiviral agents may be considered.

Corticosteroids should be used with caution, if at all, in patients with active or quiescent tuberculous infections of the respiratory tract, untreated local or systemic fungal or bacterial infections, systemic viral or parasitic infections, or ocular herpes simplex because of the potential for worsening of these infections.

17.4 Immunosuppression

Patients who are on immunosuppressant doses of corticosteroids should be warned to avoid exposure to chickenpox or measles and, if exposed, to consult their physician without delay. Patients should be informed of potential worsening of existing tuberculosis; fungal, bacterial, viral, or parasitic infections; or ocular herpes simplex [see Warnings and Precautions (5.4)].

5.1 Local Nasal Effects

Nasal Discomfort, Epistaxis, and Nasal Ulceration: In clinical trials of 2 to 52 weeks duration, epistaxis and nasal ulcerations were observed more frequently and some epistaxis events were more severe in patients treated with QNASL Nasal Aerosol than those who received placebo. In the 52-week safety trial in patients with perennial allergic rhinitis, nasal erosions were identified in 4 of 415 patients and a nasal ulceration was identified in 1 of 415 patients treated with QNASL Nasal Aerosol. No nasal erosions or ulcerations were reported for patients who received placebo. In clinical trials conducted in pediatric patients ages 4 to 11 years, the local nasal effect was similar to those reported in patients 12 years of age and older. Patients using QNASL Nasal Aerosol over several months or longer should be examined periodically for possible changes in the nasal mucosa. If an adverse reaction (e.g., erosion, ulceration) is noted, discontinue QNASL Nasal Aerosol [see Adverse Reactions (6.1)].

Candida Infection: In previous clinical trials with an aqueous formulation of beclomethasone dipropionate administered intranasally, localized infections of the nose and pharynx with Candida albicans had been reported. There were no instances of similar infections observed in clinical trials with QNASL Nasal Aerosol. If such an infection develops, it may require treatment with appropriate local therapy and discontinuation of QNASL Nasal Aerosol treatment. Thus, patients using QNASL Nasal Aerosol over several months or longer should be examined periodically for evidence of Candida infection.

Nasal Septal Perforation: Instances of nasal septal perforation have been reported in patients following the intranasal application of beclomethasone dipropionate. There were no nasal septal perforations reported during clinical trials in the indicated dose of QNASL 80 mcg Nasal Aerosol administered as 320 mcg once daily in adults and adolescents. There was one report of nasal septal perforation observed in the dose-ranging pediatric clinical trial.

Impaired Wound Healing: Because of the inhibitory effect of corticosteroids on wound healing, patients who have experienced recent nasal septal ulcers, nasal surgery, or nasal trauma should not use QNASL Nasal Aerosol until healing has occurred.

1. Indications and Usage (1. INDICATIONS AND USAGE)

QNASL Nasal Aerosol is a corticosteroid indicated for the treatment of nasal symptoms associated with seasonal and perennial allergic rhinitis in patients 4 years of age and older. ( 1.1 )

12.1 Mechanism of Action

Beclomethasone dipropionate is a prodrug that is extensively converted to the active metabolite, beclomethasone-17-monopropionate. The precise mechanism through which beclomethasone dipropionate affects rhinitis symptoms is unknown. Corticosteroids have been shown to have multiple anti-inflammatory effects, inhibiting both inflammatory cells (e.g., mast cells, eosinophils, basophils, lymphocytes, macrophages, and neutrophils) and the release of inflammatory mediators (e.g., histamine, eicosanoids, leukotrienes, and cytokines).

Beclomethasone-17-monopropionate has been shown in vitro to exhibit a binding affinity for the human glucocorticoid receptor which is approximately 13 times that of dexamethasone, 6 times that of triamcinolone acetonide, 1.5 times that of budesonide and 25 times that of beclomethasone dipropionate. The clinical significance of these findings is unknown.

17.1 Local Nasal Effects

Inform patients that treatment with QNASL Nasal Aerosol may lead to adverse reactions, including epistaxis, nasal ulceration, and nasal discomfort. Candida infection may also occur with treatment with QNASL Nasal Aerosol. In addition, nasal beclomethasone dipropionate products are known to be associated with nasal septal perforation and impaired wound healing. Patients who have experienced recent nasal ulcers, nasal surgery, or nasal trauma should not use QNASL Nasal Aerosol until healing has occurred [see Warnings and Precautions (5.1)].

5. Warnings and Precautions (5. WARNINGS AND PRECAUTIONS)
  • Nasal discomfort, epistaxis, nasal ulceration, Candida albicans infection, nasal septal perforation, impaired wound healing. Monitor patients periodically for signs of adverse effects on the nasal mucosa. Avoid use in patients with recent nasal ulcers, nasal surgery, or nasal trauma. ( 5.1 )
  • Eye Disorders. Monitor patients closely with a change in vision or with a history of increased intraocular pressure, blurred vision, glaucoma, and/or cataracts. ( 5.2 )
  • Hypersensitivity, rash, and urticaria may occur after administration of QNASL Nasal Aerosol. ( 5.3 )
  • Potential worsening of existing tuberculosis; fungal, bacterial, viral, or parasitic infections; or ocular herpes simplex. More serious or even fatal course of chickenpox or measles in susceptible patients. Use caution in patients with the above because of the potential for worsening of these infections. ( 5.4 )
  • Hypercorticism and adrenal suppression with very high dosages or at the regular dosage in susceptible individuals. If such changes occur, discontinue QNASL Nasal Aerosol slowly. ( 5.5 )
  • Potential reduction in growth velocity in pediatric patients. Monitor growth routinely in pediatric patients receiving QNASL Nasal Aerosol. ( 5.6 , 8.4 )
2. Dosage and Administration (2. DOSAGE AND ADMINISTRATION)

Administer QNASL Nasal Aerosol by the intranasal route only. The dose counter should read “120” for QNASL 80 mcg Nasal Aerosol 120-actuation product and “60” for QNASL 40 mcg Nasal Aerosol 60-actuation product. QNASL Nasal Aerosol does not require priming. See accompanying illustrated Patient Information and Instructions for Use leaflet for proper use of QNASL Nasal Aerosol.

6.2 Postmarketing Experience

In addition to adverse reactions reported from clinical trials for QNASL Nasal Aerosol, the following adverse events have been reported during postmarketing use of QNASL Nasal Aerosol or other intranasal and inhaled formulations of beclomethasone dipropionate. Because these reactions are reported voluntarily from a population of uncertain size, it is not always possible to reliably estimate their frequency or establish a causal relationship to drug exposure. These events have been chosen for inclusion due to either their seriousness, frequency of reporting, or causal connection to beclomethasone dipropionate or a combination of these factors.

QNASL Nasal Aerosol: sneezing, burning sensation

Intranasal beclomethasone dipropionate: Nasal septal perforation, blurred vision, glaucoma, cataracts, central serous chorioretinopathy (CSC), loss of taste and smell, and hypersensitivity reactions including anaphylaxis, angioedema, rash, and urticaria have been reported following intranasal administration of beclomethasone dipropionate.

Inhaled beclomethasone dipropionate: Hypersensitivity reactions, including anaphylaxis, angioedema, rash, urticaria, and bronchospasm have been reported following the oral inhalation of beclomethasone dipropionate.

3. Dosage Forms and Strengths (3. DOSAGE FORMS AND STRENGTHS)

QNASL Nasal Aerosol is a nonaqueous nasal spray solution.

Each actuation of QNASL 80 mcg Nasal Aerosol delivers 80 mcg of beclomethasone dipropionate and each actuation of QNASL 40 mcg Nasal Aerosol delivers 40 mcg of beclomethasone dipropionate. QNASL 80 mcg Nasal Aerosol is supplied in a 10.6 g canister containing 120 actuations; QNASL 40 mcg Nasal Aerosol is supplied in a 6.8 g canister containing 60 actuations.

17.5 Use Daily for Best Effect

Patients should use QNASL Nasal Aerosol on a regular, once-daily basis since its effectiveness depends on its regular use. QNASL Nasal Aerosol may not have an immediate effect on rhinitis symptoms. The patient should not increase the prescribed dosage but should contact their physician if symptoms do not improve or if the condition worsens.

6.1 Clinical Trials Experience

Because clinical trials are conducted under widely varying conditions, adverse reaction rates observed in the clinical trials of a drug cannot be directly compared with rates in the clinical trials of another drug and may not reflect the rates observed in practice.

Adults and Adolescents 12 Years of Age and Older:

The safety data described below for adults and adolescents 12 years of age and older with seasonal or perennial allergic rhinitis are based on 4 placebo-controlled clinical trials of 2 to 6 weeks duration evaluating doses of beclomethasone nasal aerosol from 80 to 320 mcg once daily. These short-term trials included a total of 1394 patients with either seasonal or perennial allergic rhinitis. Of these, 575 (378 female and 197 male) received at least one dose of QNASL Nasal Aerosol, 320 mcg once daily and 578 (360 female and 218 male) received placebo. Patient ages ranged from 12 to 82 years and the racial distribution of patients was 81% white, 16% black, and 4% other.

Short-Term (2–6 Weeks) Trials: Less than 2% of patients in the clinical trials discontinued treatment because of adverse reactions with the rate of withdrawal among patients who received QNASL Nasal Aerosol similar to or lower than the rate among patients who received placebo. Table 1 displays the common adverse reactions (≥ 1% and greater than placebo-treated patients).

Table 1. Adverse Events With ³ 1% Incidence and Greater than Placebo in QNASL Nasal Aerosol-Treated Adult and Adolescent Patients with Seasonal or Perennial Allergic Rhinitis in Controlled Clinical Trials of 2 to 6 Weeks Duration (Safety Population)

Adult and Adolescent Patients 12 Years of Age and Older

QNASL Nasal Aerosol

320 mcg

(N=575)

n (%)

Placebo

(N=578)

n (%)

Nasal Discomfort

30 (5.2)

28 (4.8)

Epistaxis

11 (1.9)

7 (1.2)

Headache

13 (2.3)

9 (1.6)

Nasal ulcerations occurred in 2 patients treated with placebo and in 1 patient treated with QNASL Nasal Aerosol. There were no differences in the incidence of adverse reactions based on gender or race. Clinical trials did not have sufficient numbers of patients aged 65 years and older to determine whether they respond differently than younger patients.

Long-Term 52-Week Safety Trial: In a 52-week placebo-controlled long-term safety trial in patients with PAR, 415 patients (128 males and 287 females, aged 12 to 74 years) were treated with QNASL Nasal Aerosol at a dose of 320 mcg once daily and 111 patients (44 males and 67 females, aged 12 to 67 years) were treated with placebo. Of the 415 patients treated with QNASL Nasal Aerosol, 219 patients were treated for 52 weeks and 196 patients were treated for 30 weeks. While most adverse events were similar in type and rate between the treatment groups, epistaxis occurred more frequently in patients who received QNASL Nasal Aerosol (45 out of 415, 11%) than in patients who received placebo (2 out of 111, 2%). Epistaxis also tended to be more severe in patients treated with QNASL Nasal Aerosol. In 45 reports of epistaxis in patients who received QNASL Nasal Aerosol, 27, 13, and 5 cases were of mild, moderate, and severe intensity, respectively, while the reports of epistaxis in patients who received placebo were of mild (1) and moderate (1) intensity. Seventeen patients treated with QNASL Nasal Aerosol experienced adverse reactions that led to withdrawal from the trial compared to 3 patients treated with placebo. There were 4 nasal erosions and 1 nasal septum ulceration which occurred in patients who received QNASL Nasal Aerosol, and no erosions or ulcerations noted in patients who received placebo. No patient experienced a nasal septum perforation during the trial.

Pediatric Patients Aged 4 to 11 Years:

The safety data described below for pediatric patients 4 to 11 years of age with seasonal or perennial allergic rhinitis are based on 3 placebo-controlled clinical trials.  These trials were 2 to 12 weeks in duration, evaluated doses of beclomethasone nasal aerosol 80 mcg to 160 mcg once daily and included a total of 1360 patients with either seasonal or perennial allergic rhinitis. Of these, 668 (312 female and 356 male) received at least one dose of QNASL Nasal Aerosol, 80 mcg once daily, 241 (116 female and 125 male) received QNASL Nasal Aerosol 160 mcg once daily, and 451 (203 female and 248 male) received placebo. The racial distribution of patients was 73% white, 20% black, and 6% other.  Based on the results from the dose ranging trial, 80 mcg once daily was chosen as the dose in pediatric patients.

Less than 1.5% of patients in the clinical trials discontinued treatment because of adverse reactions with the rate of withdrawal among patients who received QNASL Nasal Aerosol 80 mcg once daily similar to or lower than the rate among patients who received placebo. Table 2 displays the common adverse reactions (≥ 2% and greater than placebo-treated patients). Additionally, epistaxis was reported at a rate of 4% for both QNASL Nasal Aerosol 80 mcg once daily and placebo-treated patients.

Table 2. Adverse Events With ≥ 2% Incidence and Greater than Placebo in QNASL Nasal Aerosol-Treated Pediatric Patients with Seasonal or Perennial Allergic Rhinitis in Controlled Clinical Trials of 2 to 12 weeks Duration (Safety Population)

Pediatric Patients 4 to 11 Years of Age

QNASL Nasal Aerosol 80 mcg (N=668)

n (%)

Placebo

(N=451)

n (%)

Headache

23 (3.4)

15 (3.3)

Pyrexia

19 (2.8)

7 (1.6)

Upper respiratory tract infection

17 (2.5)

8 (1.8)

Nasopharyngitis

15 (2.2)

6 (1.3)

17 Patient Counseling Information (17 PATIENT COUNSELING INFORMATION)

See FDA-Approved Patient Labeling accompanying the product.

40 Mcg Trade Carton Display Panel (40 mcg Trade Carton Display Panel)

NDC 59310-406-06

Children’s Qnasl® 40 mcg

(beclomethasone diproprionate)

Nasal Aerosol 40 mcg per spray

No Priming Required

For Intranasal Use with Qnasl Actuator Only

Rx only

60 Metered Sprays

6.8 g Net Contents

TEVA

80 Mcg Trade Carton Display Panel (80 mcg Trade Carton Display Panel)

NDC 59310-410-12

Qnasl®

(beclomethasone diproprionate) Nasal Aerosol

80 mcg per spray

No Priming Required

For Intranasal Use with Qnasl Actuator Only

Rx only

120 Metered Sprays

10.6 g Net Contents

TEVA

40 Mcg Sample Carton Display Panel (40 mcg Sample Carton Display Panel)

NDC 59310-406-08

Children’s Qnasl® 40 mcg

(beclomethasone diproprionate)

Nasal Aerosol 40 mcg per spray

No Priming Required

Professional Sample Not for Sale or Reimbursement

For Intranasal Use with Qnasl Actuator Only

Rx only

60 Metered Sprays

6.8 g Net Contents

TEVA

80 Mcg Sample Carton Display Panel (80 mcg Sample Carton Display Panel)

NDC 59310-410-13

Qnasl®

(beclomethasone diproprionate)

Nasal Aerosol 80 mcg per spray

No Priming Required

Professional Sample Not for Sale or Reimbursement

For Intranasal Use with Qnasl Actuator Only

Rx only

50 Metered Sprays

6.8 g Net Contents

TEVA

16 How Supplied/storage and Handling (16 HOW SUPPLIED/STORAGE AND HANDLING)

QNASL Nasal Aerosol is supplied in 2 strengths and supplied as a pressurized aluminum canister inserted into a blue and white plastic nasal actuator with a built-in dose counter and white dust cap, as follows:

QNASL 80 mcg Nasal Aerosol contains 10.6 g of drug and excipients and provides 120 actuations (NDC 59310-410-12).  Each actuation delivers 80 mcg of beclomethasone dipropionate from the nasal actuator and 100 mcg from the valve.

QNASL 40 mcg Nasal Aerosol contains 6.8 g of drug and excipients and provides 60 actuations (NDC 59310-406-06).  Each actuation delivers 40 mcg of beclomethasone dipropionate from the nasal actuator and 50 mcg from the valve.

Each canister of QNASL Nasal Aerosol has a dose counter, which initially reads 60 sprays or 120 sprays for the respective products, and counts down each time a spray is released.  The correct amount of medication in each intranasal dose cannot be ensured after the counter reads 0; therefore, the device should be discarded when the counter reads 0.

Do not remove the QNASL Nasal Aerosol canister from the actuator.  The QNASL Nasal Aerosol canister should only be used with the QNASL Nasal Aerosol actuator and the actuator should not be used with any other drug product.

CONTENTS UNDER PRESSURE

Do not puncture.  Do not store near heat or open flame.  Do not expose to temperatures higher than 49°C (120°F) as this may cause bursting of the canister.  Never throw the device into a fire or an incinerator.

Store at temperature between 20° and 25°C (68° and 77°F); excursions are permitted between 15° and 30°C (59° and 86°F).

Keep out of reach of children.

17.6 Keep Spray Out of Eyes Or Mouth (17.6 Keep Spray Out of Eyes or Mouth)

Patients should be informed to avoid spraying QNASL Nasal Aerosol in their eyes or mouth.

Distributed by:

Teva Pharmaceuticals USA, Inc.

Parsippany, NJ 07054

©2020, Teva Respiratory, LLC. All rights reserved.

United States Patent No. 7,780,038

QNSPI-002

14.1 Seasonal and Perennial Allergic Rhinitis

Adult and Adolescent Patients Aged 12 Years and Older: The efficacy and safety of QNASL Nasal Aerosol have been evaluated in 3 randomized, double-blind, parallel-group, multicenter, placebo-controlled clinical trials of 2 to 6 weeks duration in adult and adolescent patients 12 years and older with symptoms of seasonal or perennial allergic rhinitis. The 3 clinical trials included one 2-week dose-ranging trial in patients with seasonal allergic rhinitis, one 2-week efficacy trial in patients with seasonal allergic rhinitis, and one 6-week efficacy trial in patients with perennial allergic rhinitis. The trials included a total of 1049 patients (366 males and 683 females). About 81% of patients were Caucasian and 17% African American, the mean age was approximately 38 years. Of these patients 521 received QNASL Nasal Aerosol 320 mcg once daily administered as 2 actuations in each nostril.

Assessment of efficacy was based on the total nasal symptom score (TNSS). TNSS is calculated as the sum of the patients' scoring of the 4 individual nasal symptoms (rhinorrhea, sneezing, nasal congestion, and nasal itching) on a 0 to 3 categorical severity scale (0 = absent, 1 = mild, 2 = moderate, 3 = severe) as reflective (rTNSS) or instantaneous (iTNSS). rTNSS required the patients to record symptom severity over the previous 12 hours; iTNSS required the patients to record symptom severity over the previous 10 minutes. Morning and evening TNSS scores were averaged over the treatment period and the difference from placebo in the change from baseline rTNSS was the primary efficacy endpoint. The morning iTNSS reflects the TNSS at the end of the 24-hour dosing interval and is an indication of whether the effect was maintained over the 24-hour dosing interval.

Dose-Ranging Trial: The dose-ranging trial was a 2-week trial that evaluated the efficacy of 3 doses of beclomethasone dipropionate nasal aerosol (80, 160, and 320 mcg, once daily) in patients with seasonal allergic rhinitis. In this trial, only treatment with beclomethasone dipropionate nasal aerosol at the dose of 320 mcg/day resulted in statistically significant improvements compared with placebo in the primary efficacy endpoint, rTNSS (Table 3).

Table 3. Mean Changes from Baseline in Reflective Total Nasal Symptom Score Over 2 Weeks in Adult and Adolescent Patients with Seasonal Allergic Rhinitis (ITT Population)
Treatment N Baseline

(SD)
LS Mean (SE)

Change from

Baseline
Difference From Placebo
LS Mean 95% CI

Beclomethasone dipropionate

320 mcg/day

122

9.17 (1.66)

-2.22 (0.18)

-0.63

-1.13, 0.13

Beclomethasone dipropionate

160 mcg/day

123

9.24 (1.57)

-1.87 (0.18)

-0.29

-0.78, 0.21

Beclomethasone dipropionate

80 mcg/day

118

9.33 (1.72)

-1.88 (0.18)

-0.29

-0.80, 0.21

Placebo

123

8.98 (1.47)

-1.59 (0.18)

The 320 mcg dose also demonstrated a statistically significant decrease in morning iTNSS than placebo, indicating that the effect was maintained over the 24-hour dosing interval.

Seasonal and Perennial Allergic Rhinitis Trials: In 2 randomized, double-blind, parallel-group, multicenter, placebo-controlled efficacy trials, once-daily treatment with QNASL Nasal Aerosol for 2 weeks in patients with seasonal allergic rhinitis and for 6 weeks in patients with perennial allergic rhinitis resulted in statistically significant greater decreases from baseline in the rTNSS and morning iTNSS than placebo (Table 4).

Table 4. Mean Changes From Baseline in Reflective and Instantaneous Total Nasal Symptom Scores in Adult and Adolescent Patients with Seasonal or Perennial Allergic Rhinitis (ITT Population)
Treatment N Baseline

(SD)
LS Mean (SE)

Change from

Baseline
Difference From Placebo
LS Mean 95% CI

Seasonal Allergic Rhinitis

Reflective Total Nasal Symptom Scores (rTNSS)

Beclomethasone dipropionate

320 mcg/day

167

9.6 (1.51)

-2.0 (0.16)

-0.91

-1.3, -0.5

Placebo

171

9.5 (1.54)

-1.0 (0.15)

Instantaneous Total Nasal Symptom Scores (iTNSS)

Beclomethasone dipropionate

320 mcg/day

167

9.0 (1.74)

-1.7 (0.15)

-0.92

-1.3, -0.5

Placebo

171

8.7 (1.81)

-0.8 (0.15)

Perennial Allergic Rhinitis

Reflective Total Nasal Symptom Scores (rTNSS)

Beclomethasone dipropionate

320 mcg/day

232

8.9 (1.70)

-2.5 (0.14)

-0.84

-1.2, -0.5

Placebo

234

9.0 (1.73)

-1.6 (0.14)

Instantaneous Total Nasal Symptom Scores (iTNSS)

Beclomethasone dipropionate

320 mcg/day

232

8.1 (1.98)

-2.1 (0.13)

-0.78

-1.1, -0.4

Placebo

234

8.3 (1.96)

-1.4 (0.13)

Pediatric Patients 4 to 11 Years of Age: The efficacy and safety of QNASL Nasal Aerosol have been evaluated in 2 randomized, double-blind, parallel-group, multicenter, placebo-controlled clinical trials of 2 to 12 weeks duration in pediatric patients 4 to 11 years of age with symptoms of seasonal or perennial allergic rhinitis. The 2 clinical trials included one 2-week dose-ranging trial in patients with seasonal allergic rhinitis (6 - 11 years of age), and one 12-week efficacy trial in patients with perennial allergic rhinitis (4 - 11 years of age). The trials included a total of 1255 patients (680 males and 575 females). About 73% of patients were Caucasian and 20% African American, the mean age was approximately 8 years for one study and 9 years for the second study. Of these patients 596 received QNASL Nasal Aerosol 80 mcg once daily administered as 1 actuation of QNASL 40 mcg Nasal Aerosol in each nostril.

Assessment of efficacy was based on the total nasal symptom score (TNSS) as described in adult and adolescents efficacy studies.

Dose-Ranging Seasonal Allergic Rhinitis Trial: The dose-ranging trial was a 2-week trial that evaluated the efficacy of 2 doses of beclomethasone dipropionate nasal aerosol (80 and 160 mcg, once daily) in patients with seasonal allergic rhinitis. In this trial, treatment with beclomethasone dipropionate nasal aerosol at the dose of 80 mcg/day resulted in statistically significant improvements compared with placebo in the primary efficacy endpoint, rTNSS (Table 5).

Table 5. Mean Changes from Baseline in Reflective and Instantaneous Total Nasal Symptom Scores Over 2 Weeks in Pediatric Patients with Seasonal Allergic Rhinitis (ITT Population)

Treatment

N

Baseline

(SD)

LS Mean (SE)

Change

from Baseline

Difference From Placebo

LS Mean

95% CI

Reflective Total Nasal Symptom Scores (rTNSS)

Beclomethasone dipropionate 80 mcg/day

239

8.9 (1.62)

-1.9 (0.14)

-0.71

-1.1, -0.3

Beclomethasone dipropionate 160 mcg/day

241

9.0 (1.71)

-2.0 (0.14)

-0.76

-1.1, -0.4

Placebo

234

9.0 (1.70)

-1.2 (0.14)

-

-

-

Instantaneous Total Nasal Symptom Scores (iTNSS)

Beclomethasone dipropionate 80 mcg/day

238

8.1 (1.99)

-1.6 (0.13)

-0.63

-1.0, -0.3

Beclomethasone dipropionate 160 mcg/day

241

8.1 (2.13)

-1.7 (0.13)

-0.73

-1.1, -0.4

Placebo

234

8.2 (2.10)

-1.0 (0.13)

-

-

The 80 mcg daily dose also demonstrated a statistically significant decrease in morning iTNSS than placebo, indicating that the effect was maintained over the 24-hour dosing interval. Based on the results from the dose ranging trial, 80 mcg once daily was chosen as the dose for pediatric patients 4-11 years of age.

Perennial Allergic Rhinitis Trial: In a randomized, double-blind, parallel-group, multicenter, placebo-controlled efficacy trial, treatment with QNASL Nasal Aerosol 80 mcg once daily in patients with perennial allergic rhinitis resulted in statistically significant greater decreases from baseline in the rTNSS (the primary endpoint) and iTNSS than placebo over the first six weeks of treatment (Table 6).

Table 6. Mean Changes from Baseline in Reflective Total Nasal Symptom Score Over 6 Weeks in Pediatric Patients 6 to 11 Years of Age with Perennial Allergic Rhinitis (FAS)

Treatment

N

Baseline

(SD)

LS Mean (SE)

Change from

Baseline

Difference From Placebo

LS Mean

95% CI

Reflective Total Nasal Symptom Scores (rTNSS)

Beclomethasone dipropionate 80 mcg/day

296

8.6 (1.56)

-2.26 (0.12)

-0.66

-1.08, -0.24

Placebo

153

8.6 (1.60)

-1.60 (0.17)

-

-

Instantaneous Total Nasal Symptom Scores (iTNSS)

Beclomethasone dipropionate 80 mcg/day

296

7.9 (2.05)

-1.98 (0.12)

-0.58

-0.99, -0.18

Placebo

153

7.8 (2.12)

-1.39 (0.17)

-

-

FAS=full analysis set

For pediatric patients 4-11 years of age, improvements in average patient-reported rTNSS and iTNSS were also significantly greater in QNASL Nasal Aerosol 80 mcg per day treated patients compared with placebo.

5.5 Hypothalamic Pituitary Adrenal Axis Effect (5.5 Hypothalamic-Pituitary-Adrenal Axis Effect)

When intranasal steroids are used at higher-than-recommended dosages or in susceptible individuals at recommended dosages, systemic corticosteroid effects such as hypercorticism and adrenal suppression may appear. If such changes occur, the dosage of QNASL Nasal Aerosol should be discontinued slowly, consistent with accepted procedures for discontinuing oral corticosteroid therapy.

The replacement of a systemic corticosteroid with a topical corticosteroid can be accompanied by signs of adrenal insufficiency. In addition, some patients may experience symptoms of corticosteroid withdrawal (e.g., joint and/or muscular pain, lassitude, and depression). Patients previously treated for prolonged periods with systemic corticosteroids and transferred to topical corticosteroids should be carefully monitored for acute adrenal insufficiency in response to stress. In patients who have asthma or other clinical conditions requiring long-term systemic corticosteroid treatment, rapid decreases in systemic corticosteroid dosages may cause a severe exacerbation of their symptoms.

8.3 Females and Males of Reproductive Potential

Impairment of fertility was observed in rats and dogs at oral doses of beclomethasone dipropionate corresponding to 500 and 50 times the MRHD for adults on a mg/m2 basis, respectively. [see Nonclinical Toxicology (13.1)].

1.1 Treatment of Nasal Symptoms of Allergic Rhinitis

QNASL® Nasal Aerosol is indicated for the treatment of the nasal symptoms associated with seasonal and perennial allergic rhinitis in patients 4 years of age and older.

5.3 Hypersensitivity Reactions Including Anaphylaxis

Hypersensitivity reactions including anaphylaxis, angioedema, urticaria, and rash have been reported following administration of beclomethasone dipropionate nasally administered and inhalationally administered products. Angioedema, urticaria, and rash have been reported following administration of QNASL Nasal Aerosol. Discontinue QNASL Nasal Aerosol if any such reactions occur [see Contraindications (4)].

17.3 Hypersensitivity Reactions Including Anaphylaxis

Hypersensitivity reactions including anaphylaxis, angioedema, urticaria, and rash have been reported following administration of beclomethasone dipropionate nasally administered and inhalationally administered products. Angioedema, urticaria, and rash have been reported following administration of QNASL Nasal Aerosol. If any such reactions occur, patients should discontinue use of QNASL Nasal Aerosol [see Warnings and Precautions (5.3)].

13.1 Carcinogenesis, Mutagenesis, Impairment of Fertility

The carcinogenicity of beclomethasone dipropionate was evaluated in rats which were exposed for a total of 95 weeks:  13 weeks at inhalation doses up to 0.4 mg/kg/day and the remaining 82 weeks at combined oral and inhalation doses up to 2.4 mg/kg/day. There was no evidence of treatment-related increases in the incidence of tumors in this study at the highest dose, which is approximately 75 and 130 times the MRHD in adults and children, respectively, on a mg/m2 basis.

Beclomethasone dipropionate did not induce gene mutation in bacterial cells or mammalian Chinese hamster ovary (CHO) cells in vitro.  No significant clastogenic effect was seen in cultured CHO cells in vitro or in the mouse micronucleus test in vivo.

In rats, beclomethasone dipropionate caused decreased conception rates at an oral dose of 16 mg/kg/day (approximately 500 times the MRHD in adults on a mg/m2 basis). Impairment of fertility, as evidenced by inhibition of the estrous cycle in dogs was observed following treatment by the oral route at a dose of 0.5 mg/kg/day (approximately 50 times the MRHD in adults on a mg/m2 basis).  No inhibition of the estrous cycle in dogs was seen following 12 months of exposure to beclomethasone dipropionate by the inhalation route at an estimated daily dose of 0.33 mg/kg (approximately 35 times the MRHD in adults on a mg/m2 basis).


Advanced Ingredient Data


Raw Label Data

All Sections (JSON)