These Highlights Do Not Include All The Information Needed To Use

These Highlights Do Not Include All The Information Needed To Use
SPL v30
SPL
SPL Set ID 4b5f7c65-aa2d-452a-b3db-bc85c06ff12f
Route
ORAL
Published
Effective Date 2025-12-18
Document Type 34391-3 HUMAN PRESCRIPTION DRUG LABEL

Drug Facts

Composition & Product

Active Ingredients
Cariprazine (0.5 mg)
Inactive Ingredients
Gelatin, Unspecified Magnesium Stearate Starch, Corn Shellac Titanium Dioxide Ferrosoferric Oxide Fd&c Blue No. 1 Ferric Oxide Yellow Fd&c Red No. 40 Fd&c Red No. 3

Identifiers & Packaging

Pill Appearance
Imprint: FL;3 Shape: capsule Color: white Color: yellow Color: gray Color: green Color: blue Color: purple Size: 14 mm Size: 16 mm Score: 1
Marketing Status
NDA Active Since 2015-09-17 Until 2024-05-31

Description

Indications and Usage ( 1 ) 12/2025 Dosage and Administration ( 2.2 , 2.3 , 2.6 ) 12/2025 Warnings and Precautions, Metabolic Changes ( 5.7 ) 12/2025


Medication Information

Description

Indications and Usage ( 1 ) 12/2025 Dosage and Administration ( 2.2 , 2.3 , 2.6 ) 12/2025 Warnings and Precautions, Metabolic Changes ( 5.7 ) 12/2025

1

VRAYLAR® is indicated for:

• Treatment of schizophrenia in adult and pediatric patients 13 years of age and older [see Clinical Studies ( 14.1 )]

• Acute treatment of manic or mixed episodes associated with bipolar I disorder in adult and pediatric patients 10 years of age and older [see Clinical Studies ( 14.2 )]

• Treatment of depressive episodes associated with bipolar I disorder (bipolar depression) in adult patients [see Clinical Studies ( 14.3 )]

• Adjunctive therapy to antidepressants for the treatment of major depressive disorder (MDD) in adult patients [see Clinical Studies ( 14.4 )]

2
  • Administer VRAYLAR orally once daily with or without food (2)
Starting Dose Recommended Dose
Schizophrenia in Adults (2.2) 1.5 mg daily  1.5 mg to 6 mg daily
Schizophrenia in Pediatric Patients (13-17 years) ( 2.2) 0.5 mg daily 1.5 mg to 4.5 mg daily
Bipolar Mania in Adults (2.3) 1.5 mg daily  3 mg to 6 mg daily
Bipolar Mania in Pediatric Patients (10-17 years) (2.3) 0.5 mg daily 3 mg or 4.5 mg daily
Bipolar Depression in Adults (2.4) 1.5 mg daily 1.5 mg or 3 mg daily
Adjunctive therapy to antidepressants for MDD in Adults (2.5) 1.5 mg daily 1.5 mg or 3 mg daily
  • Adults with Schizophrenia and Bipolar Mania: Maximum recommended daily dosage is 6 mg. Dosages above 6 mg daily do not confer significant benefit, but increase the risk of dose-related adverse reactions (2.2, 2.3)

  • Pediatric patients with Schizophrenia and Bipolar Mania: Maximum recommended daily dosage is 4.5 mg.

  • Adults with Bipolar Depression: Maximum recommended daily dosage is 3 mg (2.4)

  • Adjunctive therapy for treatment of MDD in Adults: Maximum recommended daily dosage is 3 mg ( 2.5 )
3

VRAYLAR (cariprazine) capsules are available in six   strengths.

  •       0.5 mg capsules: Ivory to yellow cap and a grey to green body imprinted with “FL 0.5”

  • 0.75 mg capsules: Grey to green cap and blue body imprinted with “FL 0.75”

  • 1.5 mg capsules: White cap and body imprinted with “FL 1.5”

  • 3 mg capsules: Green to blue-green cap and white body imprinted with “FL 3”

  • 4.5 mg capsules: Green to blue-green cap and body imprinted with “FL 4.5”

  • 6 mg capsules: Purple cap and white body imprinted with “FL 6”
4

VRAYLAR is contraindicated in patients with history of a hypersensitivity reaction to cariprazine. Reactions have ranged from rash, pruritus, urticaria, and reactions suggestive of angioedema (e.g., swollen tongue, lip swelling, face edema, pharyngeal edema, and swelling face).

5
  • Cerebrovascular Adverse Reactions in Elderly Patients with Dementia-Related Psychosis: Increased incidence of cerebrovascular adverse reactions (e.g., stroke, transient ischemic attack) (5.3)

  • Neuroleptic Malignant Syndrome: Manage with immediate discontinuation and close monitoring (5.4)

  • Tardive Dyskinesia: Discontinue if appropriate (5.5)

  • Late-Occurring Adverse Reactions: Because of VRAYLAR’s long half-life, monitor for adverse reactions and patient response for several weeks after starting VRAYLAR and with each dosage change (5.6)

  • Metabolic Changes: Monitor for hyperglycemia/diabetes mellitus, dyslipidemia and weight gain (5.7)

  • Leukopenia, Neutropenia, and Agranulocytosis: Perform complete blood counts (CBC) in patients with pre-existing low white blood cell counts (WBC) or history of leukopenia or neutropenia. Consider discontinuing VRAYLAR if a clinically significant decline in WBC occurs in absence of other causative factors (5.8)

  • Orthostatic H ypotension and Syncope: Monitor heart rate and blood pressure and warn patients with known cardiovascular or cerebrovascular disease, and risk of dehydration or syncope (5.9)

  • Seizures:  Use cautiously in patients with a history of seizures or with conditions that lower the seizure threshold (5.11)

  • Potential for Cognitive and Motor Impairment: Use caution when operating machinery (5.12)
6

The following adverse reactions are discussed in more detail in other sections of the labeling:

  • Increased Mortality in Elderly Patients with Dementia-Related Psychosis [see Boxed Warning and Warnings and Precautions ( 5.1 )]

  • Suicidal Thoughts and Behaviors [see Boxed Warning and Warnings and Precautions ( 5.2 )]

  • Cerebrovascular Adverse Reactions, Including Stroke, in Elderly Patients with Dementia-Related Psychosis  [see Warnings and Precautions ( 5.3 )]

  • Neuroleptic Malignant Syndrome [see Warnings and Precautions ( 5.4 )]

  • Tardive Dyskinesia [see Warnings and Precautions ( 5.5 )]

  • Late Occurring Adverse Reactions [see Warnings and Precautions ( 5.6 )]

  • Metabolic Changes  [see Warnings and Precautions ( 5.7 )]

  • Leukopenia, Neutropenia, and Agranulocytosis [see Warnings and Precautions ( 5.8 )]

  • Orthostatic Hypotension and Syncope [see Warnings and Precautions ( 5.9 )]

  • Falls [see Warnings and Precautions ( 5.10 )]

  • Seizures [ see Warnings and Precautions ( 5.11 )]

  • Potential for Cognitive and Motor Impairment [see Warnings and Precautions ( 5.12 )]

  • Body Temperature Dysregulation [see Warnings and Precautions ( 5.13 )]

  • Dysphagia [see Warnings and Precautions ( 5.14 )]
7

Table 15 displays clinically significant drug interactions with VRAYLAR.

Table 15. Clinically Significant Drug Interactions with VRAYLAR
Strong or Moderate CYP3A4 Inhibitors
Clinical Impact: Concomitant use of VRAYLAR with a strong or moderate CYP3A4 inhibitor increases the exposures of cariprazine and its major active metabolite, didesmethylcariprazine (DDCAR), compared to use of VRAYLAR alone [see Clinical Pharmacology ( 12.3 ) ].

Intervention: If VRAYLAR is used with a strong or moderate CYP3A4 inhibitor, reduce VRAYLAR dosage [see D osage   and A dministration ( 2.6 ) ].

CYP3A4 Inducers
Clinical Impact: CYP3A4 is responsible for the formation and elimination of the active metabolites of cariprazine. The effect of CYP3A4 inducers on the exposure of VRAYLAR has not been evaluated, and the net effect is unclear [see Clinical Pharmacology ( 12.3 ) ].

Intervention: Concomitant use of VRAYLAR with a CYP3A4 inducer is not recommended [see Dosage and Administration ( 2.1 ,   2.6 ) ].

8
  • Pregnancy : Based on animal data, may cause fetal harm. (8.1)
11

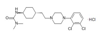
The active ingredient of VRAYLAR is cariprazine, an atypical antipsychotic, in hydrochloride salt form. The chemical name is trans-N-{4-[2-[4-(2,3-dichlorophenyl)piperazine-1-yl]ethyl]cyclohexyl}-N’,N’-dimethylurea hydrochloride; its empirical formula is C21H3 2Cl2N4O•HCl and its molecular weight is 463.9 g/mol. The chemical structure is:

VRAYLAR capsules are intended for oral administration only. Each hard gelatin capsule contains  0.5, 0.75, 1.5, 3, 4.5, or 6 mg of cariprazine base (equivalent to 0.545 mg, 0.818 mg, 1.635 mg , 3.27 mg, 4.905 mg, or 6.54 mg cariprazine HCl). In addition, capsules include the following inactive ingredients: gelatin, magnesium stearate, pregelatinized starch, shellac, and titanium dioxide. Colorants include black iron oxide (0.5, 0.75, 1.5, 3, and 6 mg), FD&C Blue 1 (0.5, 0.75, 3, 4.5, and 6 mg), FD&C Red 3 (6 mg), FD&C Red 40 (3 and 4.5 mg), or yellow iron oxide (0.5, 3, and 4.5 mg). 

17

Advise the patient or caregiver to read the FDA-approved patient labeling (Medication Guide).

Suicidal Thoughts and Behaviors

Advise patients and caregivers to look for the emergence of suicidal thoughts and behaviors, especially early during treatment and when the dosage is adjusted up or down and instruct them to report such symptoms to their healthcare provider [ see Box Warning and Warnings and Precautions ( 5.2 ) ].

Dosage and Administration

Advise patients that VRAYLAR can be taken with or without food. Counsel them on the importance of following dosage escalation instructions [see Dosage and Administration ( 2 )].

Neuroleptic Malignant Syndrome (NMS)

Counsel patients about a potentially fatal adverse reaction, Neuroleptic Malignant Syndrome (NMS), that has been reported in association with administration of antipsychotic drugs. Advise patients, family members, or caregivers to contact the healthcare provider or to report to the emergency room if they experience signs and symptoms of NMS [see Warnings and Precautions ( 5.4 )].

Tardive Dyskinesia

Counsel patients on the signs and symptoms of tardive dyskinesia and to contact their health care provider if these abnormal movements occur [see Warnings and Precautions ( 5.5 )].

Late-Occurring Adverse Reactions

Counsel patients that adverse reactions may not appear until several weeks after the initiation of VRAYLAR treatment [see Warnings and Precautions ( 5.6 )].

Metabolic Changes (Hyperglycemia and Diabetes Mellitus, Dyslipidemia, and Weight Gain)

Educate patients about the risk of metabolic changes, how to recognize symptoms of hyperglycemia and diabetes mellitus, and the need for specific monitoring, including blood glucose, lipids, and weight [ s ee Warnings and Precautions ( 5.7 )].

Leukopenia/Neutropenia

Advise patients with a pre-existing low WBC or a history of drug-induced leukopenia/neutropenia that they should have their CBC monitored while taking VRAYLAR [see Warnings and Precautions ( 5.8 )].

Orthostatic Hypotension and Syncope

Counsel patients on the risk of orthostatic hypotension and syncope, especially early in treatment, and also at times of re-initiating treatment or increases in dose [see Warnings and Precautions ( 5.9 )].

Interference with Cognitive and Motor Performance

Caution patients about performing activities requiring mental alertness, such as operating hazardous machinery or operating a motor vehicle, until they are reasonably certain that VRAYLAR therapy does not affect them adversely [see Warnings and Precautions ( 5.12 )].

Heat Exposure and Dehydration

Educate patients regarding appropriate care in avoiding overheating and dehydration [see Warnings and Precautions ( 5.13 )].

Concomitant Medication s  

Advise patients to notify their physicians if they are taking, or plan to take, any prescription or over-the-counter drugs since there is a potential for interactions [ see Drug Interactions ( 7 ) ] . 

Pregnancy

Advise patients that third trimester use of VRAYLAR may cause extrapyramidal and/or withdrawal symptoms in a neonate. Advise patients to notify their healthcare provider with a known or suspected pregnancy [ see Use in Specific Populations ( 8.1 )].

Pregnancy Registry

Advise patients that there is a pregnancy exposure registry that monitors pregnancy outcomes in women exposed to VRAYLAR during pregnancy [see Use in Specific Populations ( 8.1 )].

Licensed from Gedeon Richter Plc.

Manufactured by:

Forest Laboratories Ireland Limited

Dublin, IE.

Distributed by:

AbbVie Inc.

North Chicago, IL 60064, USA

VRAYLAR and its design are trademarks of Allergan Pharmaceuticals International Limited, an AbbVie company.

©  2025 AbbVie. All rights reserved.

20093086

2.

Initiating VRAYLAR While Taking a Strong or Moderate CYP3A4 Inhibitor

Dosage modifications for the starting dosage of VRAYLAR in adult patients taking a strong or moderate CYP3A4 inhibitor are presented in Table 1:

Table 1: Dosage Modifications for the Starting Dosage of VRAYLAR in Adult   Patients Taking a Strong or Moderate CYP3A4 Inhibitor

Adult Patients VRAYLAR Starting Dosage
When Taking a Strong

CYP3A4 Inhibitor
When Taking a Moderate CYP3A4 Inhibitor
Schizophrenia Start at 0.5 mg orally once daily; increase to 0.75 mg orally once daily, if needed* Start at 0.75 mg orally once daily; increase to 1.5 mg orally daily, if needed*
Bipolar Mania

Bipolar Depression

0.5 mg orally once daily  0.75 mg orally once daily 
Adjunctive therapy for treatment of MDD

*Depending upon clinical response and tolerability.

Initiating VRAYLAR is not recommended in pediatric patients while taking a strong or moderate CYP3A4 Inhibitor.

Initiating a Strong or Moderate CYP3A4 Inhibitor While Taking a Stable Dosage of VRAYLAR

Dosage recommendations for adult and pediatric patients initiating a strong or moderate CYP3A4 inhibitor while on a stable dose of VRAYLAR (see Table 2):

Table 2: Dosage Modifications for VRAYLAR When Initiating a Strong or Moderate CYP3A4 Inhibitor and While Taking a Stable Dos ag e of VRAYLAR   in Adult and Pediatric Patients

Currently on VRAYLAR Dosage VRAYLAR Dosage When Initiating a Strong CYP3A4 Inhibitor VRAYLAR Dosage When Initiating a Moderate CYP3A4 Inhibitor
1.5 mg or 3 mg once daily 0.5 mg orally once daily 0.75 mg orally once daily
4.5 mg or 6 mg once daily 0.75 mg orally once daily  1.5 mg orally once daily

When the strong or moderate CYP3A4 inhibitor is discontinued, the VRAYLAR dosage may need to be increased based on clinical response and tolerability [see Drug Interactions ( 7 )].

Dosage Modifications for Patients Concomitantly Taking VRAYLAR with CYP3A4 Inducers

Concomitant use of VRAYLAR and a CYP3A4 inducer has not been evaluated and is not recommended [see Dosage and Administration ( 2.1 ), Warnings and Precautions ( 5.6 ), Drug Interactions ( 7 ), Clinical Pharmacology ( 12.3 )].

5.

In placebo-controlled trials in elderly patients with dementia, patients randomized to risperidone, aripiprazole, and olanzapine had a higher incidence of stroke and transient ischemic attack, including fatal stroke. VRAYLAR is not approved for the treatment of patients with dementia-related psychosis [see Boxed Warning ,   Warnings   and   Precautions ( 5.1 )].

14.

The efficacy of VRAYLAR as adjunctive therapy to antidepressants for the treatment of major depressive disorder (MDD) was evaluated in 2 trials in adult patients (mean age of 45 years, range 18 to 65 years; 72% were female; and 85% were Caucasian) who met DSM-IV-TR or DSM-5 criteria for MDD, with or without symptoms of anxiety, who had an inadequate response to 1 to 3 courses of prior antidepressant (ADT) therapy. Inadequate response during antidepressant treatment was defined as less than 50% improvement to antidepressant treatment of adequate dose and adequate duration.

In each study, the primary endpoint was change from baseline to Week 6 (Study 10) or Week 8 (Study 11) in the Montgomery-Asberg Depression Rating Scale (MADRS) total score, a 10-item clinician-rated scale used to assess the degree of depressive symptomatology, with 0 representing no symptoms and 60 representing worst symptoms. 

Study 10: In a 6-week, placebo-controlled trial (N = 751) involving two fixed doses of VRAYLAR (1.5 mg per day or 3 mg per day) + ADT, VRAYLAR 1.5 mg + ADT was superior to placebo + ADT at end of Week 6 on the MADRS total score. The treatment effect in the VRAYLAR 3 mg per day + ADT group (vs. placebo + ADT) was not statistically significant.

Study 11: An 8-week, placebo-controlled trial (N = 808) involved flexible doses of VRAYLAR 1 to 2 mg per day + ADT or 2 to 4.5 mg per day + ADT. VRAYLAR 2 to 4.5 mg (mean dose was 2.6 mg) + ADT was superior to placebo + ADT at end of Week 8 on the MADRS total score. The treatment effect in the VRAYLAR 1 to 2 mg per day + ADT group (vs. placebo + ADT) was not statistically significant.

Results from the primary efficacy parameters for both trials (Studies 10 and 11) are shown below in Table 19. Figure 6 below shows the time course of response based on the primary efficacy measure (MADRS total score) in Study 10.

Table 19: Primary Analysis Results from Adjunctive Treatment of Major Depressive Disorder Trials
           
Study Number Treatment Group (# ITT patients) Primary Efficacy Endpoint: MADRS Total Score
Mean Baseline Score (SD) LS Mean Change from Baseline (SE) Placebo-subtracted Difference a (95% CI)
Study 10 VRAYLAR (1.5 mg/day) + ADT* (n=250)

VRAYLAR (3 mg/day) + ADT

(n=252)

Placebo + ADT

(n=249)


32.8 (5.0)



32.7 (4.9)





31.9 (5.7)



-14.1 (0.7)



-13.1 (0.7)





-11.5 (0.7)



-2.5(-4.2, -0.9)



-1.5 (-3.2, 0.1)

Study 11 VRAYLAR (1 to 2 mg/day) + ADT (n=273) 29.0 (4.3)

-13.4 (0.5) -0.9 (-2.4, 0.6)

VRAYLAR (2 to 4.5 mg/day) + ADT*

(n=271)
29.3 (4.1)

-14.6 (0.6)

-2.2 (-3.7, -0.6)

Placebo + ADT

(n=264)
28.9 (4.3)

-12.5 (0.5)

SD: standard deviation; SE: standard error; LS Mean: least-squares mean; CI: unadjusted confidence interval

* Dosages statistically significantly superior to placebo

a Difference (drug minus placebo) in least-squares mean change from baseline

Examination of population subgroups based on age, sex, and race did not suggest any clear evidence of differential responsiveness.

Figure 6 . L S Mean  Change f rom Baseline t o Week 6 in MADRS Total Score in Adjunctive Treatment of Major Depressive Disorder (Study 10)

 LS Mean: least-squares mean

* Dose was not statistically significant.

2.1

VRAYLAR is given orally once daily and can be taken with or without food.

Because of the long half-life of cariprazine and its active metabolites, changes in dose will not be fully reflected in plasma for several weeks. Prescribers should monitor patients for adverse reactions and treatment response for several weeks after starting VRAYLAR and after each dosage change [see Warnings and Precautions ( 5.6 ) ,   Clinical Pharmacology ( 12.3 )].

2.2

Adult Patients

The starting dosage of VRAYLAR is 1.5 mg orally once daily. The recommended dosage range is 1.5 mg to 6 mg orally once daily. The dosage can be increased to 3 mg on Day 2. Depending upon clinical response and tolerability, further dose adjustments can be made in 1.5 mg or 3 mg increments. The maximum recommended dosage is 6 mg orally once daily. In short-term controlled trials, dosages above 6 mg daily do not confer increased effectiveness sufficient to outweigh dose-related adverse reactions [see Adverse Reactions ( 6.1 ), Clinical Studies ( 14.1 )].

Pediatric Patients (13 to 17 years of age)

The starting dosage of VRAYLAR is 0.5 mg orally once daily. The recommended dosage range is 1.5 mg to 4.5 mg orally once daily. Increase the dosage to 1.5 mg orally once daily on Day 3. Depending upon clinical response and tolerability, the dosage may be increased to 3 mg orally once daily starting on Day 5, and to 4.5 mg orally once daily starting on Day 8. The maximum recommended dosage is 4.5 mg orally once daily.

2.3

Adult Patients

The starting dosage of VRAYLAR is 1.5 mg orally once daily. Increase the dosage to 3 mg orally once daily on Day 2. The recommended dosage range is 3 mg to 6 mg orally once daily. Depending upon clinical response and tolerability, further dose adjustments can be made in 1.5 mg or 3 mg increments. The maximum recommended dosage is 6 mg orally once daily. In short-term controlled trials, dosages above 6 mg daily do not confer increased effectiveness sufficient to outweigh dose-related adverse reactions [ see Adverse Reactions ( 6.1 ), Clinical Studies ( 14.2 ) ].

Pediatric Patients (10 to 17 years of age)​

The starting dosage of VRAYLAR is 0.5 mg orally once daily. The recommended dosage is 3 mg or 4.5 mg orally once daily. Increase the dosage to 1.5 mg orally once daily on Day 3 and to 3 mg orally once daily on Day 5. Depending upon clinical response and tolerability, the dosage may be increased to 4.5 mg orally once daily starting on Day 8. The maximum recommended dosage is 4.5 mg orally once daily.

2.4

The starting dosage of VRAYLAR is 1.5 mg orally once daily. Depending upon clinical response and tolerability, the dosage can be increased to 3 mg orally once daily on Day 15. Maximum recommended dosage is 3 mg orally once daily.

2.5

The starting dosage of VRAYLAR is 1.5 mg orally once daily. Depending upon clinical response and tolerability, the dosage can be increased to 3 mg orally once daily on Day 15. In clinical trials, dosage titration at intervals of less than 14 days resulted in a higher incidence of adverse reactions [see Adverse Reactions ( 6.1 )]. Maximum recommended dosage is 3 mg orally once daily.

5.1

Antipsychotic drugs increase the all-cause risk of death in elderly patients with dementia-related psychosis. Analyses of 17 dementia-related psychosis placebo-controlled trials (modal duration of 10 weeks and largely in patients taking atypical antipsychotic drugs) revealed a risk of death in the drug-treated patients of between 1.6 to 1.7 times that in placebo-treated patients. Over the course of a typical 10-week controlled trial, the rate of death in drug-treated patients was about 4.5%, compared to a rate of about 2.6% in placebo-treated patients.

Although the causes of death were varied, most of the deaths appeared to be either cardiovascular (e.g., heart failure, sudden death) or infectious (e.g., pneumonia) in nature. VRAYLAR is not approved for the treatment of patients with dementia-related psychosis [see Boxed Warning , Warnings and Precautions ( 5.3 )].

5.2

In pooled analyses of placebo-controlled trials of antidepressant drugs (SSRIs and other antidepressant classes) that included approximately 77,000 adult patients and 4,500 pediatric patients, the incidence of suicidal thoughts and behaviors in antidepressant-treated patients age 24 years and younger was greater than in placebo-treated patients. There was considerable variation in risk of suicidal thoughts and behaviors among drugs, but there was an increased risk identified in young patients for most drugs studied. There were differences in absolute risk of suicidal thoughts and behaviors across the different indications, with the highest incidence in patients with MDD. The drug-placebo differences in the number of cases of suicidal thoughts and behaviors per 1000 patients treated are provided in Table 3.

Table 3: Risk Differences of the Number of Patients of Suicidal Thoughts and Behavior in the Pooled Placebo-Controlled Trials of Antidepressants in Pediatric and Adult Patients
Age Range Drug-Placebo Difference in Number of Patients of Suicidal Thoughts or Behaviors per 1000 Patients Treated
Increases Compared to Placebo
<18 years old 14 additional patients
18-24 years old 5 additional patients
Decreases Compared to Placebo
25-64 years old 1 fewer patient
≥65 years old 6 fewer patients

It is unknown whether the risk of suicidal thoughts and behaviors in children, adolescents, and young adults extends to longer-term use, i.e., beyond four months. However, there is substantial evidence from placebo-controlled maintenance trials in adults with MDD that antidepressants delay the recurrence of depression and that depression itself is a risk factor for suicidal thoughts and behaviors.

Monitor all antidepressant-treated patients for any indication for clinical worsening and emergence of suicidal thoughts and behaviors, especially during the initial few months of drug therapy, and at times of dosage changes. Counsel family members or caregivers of patients to monitor for changes in behavior and to alert the healthcare provider. Consider changing the therapeutic regimen, including possibly discontinuing VRAYLAR, in patients whose depression is persistently worse, or who are experiencing emergent suicidal thoughts or behaviors.

6.1

Because clinical trials are conducted under widely varying conditions, adverse reaction rates observed in the clinical trials of a drug cannot be directly compared to rates in the clinical trials of another drug and may not reflect the rates observed in practice.

The information below is derived from an integrated clinical study database for VRAYLAR consisting of 6,722 adult patients exposed to one or more doses of VRAYLAR for the treatment of schizophrenia, manic or mixed episodes associated with bipolar I disorder, bipolar depression, and adjunctive treatment of major depressive disorder in placebo-controlled studies. This experience corresponds with a total experience of 1,182.8 patient-years. A total of 4,329 VRAYLAR-treated patients had at least 6 weeks and 296 VRAYLAR-treated patients had at least 48 weeks of exposure.

Adult Patients with Schizophrenia

The following findings are based on four placebo-controlled, 6-week schizophrenia trials with VRAYLAR doses ranging from 1.5 to 12 mg once daily.  The maximum recommended dosage is 6 mg daily.

Adverse Reactions Associated with Discontinuation of Treatment: There was no single adverse reaction leading to discontinuation that occurred at a rate of ≥ 2% in VRAYLAR-treated patients and at least twice the rate of placebo. 

Common Adverse Reactions   (≥   5% and at least twice the rate of placebo): extrapyramidal symptoms and akathisia.

Adverse Reactions with an incidence of ≥ 2% and greater than placebo, at any dose are shown in Table 8.

Table 8. Adverse Reactions Occurring in ≥ 2% of VRAYLAR-treated Patients and > Placebo-treated Adult Patients in 6-Week Schizophrenia Trials
VRAYLAR *
System Organ Class /

Preferred Term
    

Placebo

(N= 584)

(%)   
1.5 to 3 mg/day

(N=539)

(%)
4.5 to 6 mg/day

(N=575)

(%)
9 to 12 mg/day

(N=203)

(%)
Cardiac Disorder s
Tachycardiaa 1 2 2 3
Gastrointestinal Disorders
Abdominal painb 5 3 4 7
Constipation 5 6 7 10
Diarrheac 3 1 4 5
Dry Mouth 2 1 2 3
Dyspepsia 4 4 5 5
Nausea 5 5 7 8
Toothache 4 3 3 6
Vomiting 3 4 5 5
General Disorders/Administration Site Conditions
Fatigued 1 1 3 2
Infections and Infestations
Nasopharyngitis 1 1 1 2
Urinary tract infection 1 1 <1 2
Investigations
Blood creatine phosphokinase increased 1 1 2 3
Hepatic enzyme increasede <1 1 1 2
Weight increased 1 3 2 3
Metabolism and Nutrition Disorders
Decreased appetite 2 1 3 2
Musculoskeletal and Connective Tissue Disorders
Arthralgia 1 2 1 2
Back pain 2 3 3 1
Pain in extremity 3 2 2 4
Nervous System Disorders
Akathisia 4 9 13 14
Extrapyramidal symptomsf 8 15 19 20
Headacheg 13 9 11 18
Somnolenceh 5 5 8 10
Dizziness 2 3 5 5
Psychiatric Disorders
Agitation 4 3 5 3
Insomniai 11 12 13 11
Restlessness 3 4 6 5
Anxiety 4 6 5 3
Respiratory, Thoracic and Mediastinal D isorders
Cough 2 1 2 4
Skin and S ubcutaneous D isorders
Rash 1 <1 1 2
Vascular Disorders
Hypertensionj 1 2 3 6

Note: Figures rounded to the nearest integer

* Data shown by modal daily dose, defined as most frequently administered dose per patient

a Tachycardia terms: heart rate increased, sinus tachycardia, tachycardia

b Abdominal pain terms: abdominal discomfort, abdominal pain, abdominal pain lower, abdominal pain upper, gastrointestinal pain

c Diarrhea terms: diarrhea, frequent bowel movements

d Fatigue terms: asthenia, fatigue

e Hepatic enzyme increase terms: alanine aminotransferase increased, aspartate aminotransferase increased, hepatic enzyme increased

f Extrapyramidal Symptoms terms: bradykinesia, cogwheel rigidity, drooling, dyskinesia, dystonia, extrapyramidal disorder, hypokinesia, masked facies, muscle rigidity, muscle tightness, musculoskeletal stiffness, oculogyric crisis, oromandibular dystonia, parkinsonism, salivary hypersecretion, tardive dyskinesia, torticollis, tremor, trismus

g Headache terms: headache, tension headache

h Somnolence terms: hypersomnia, sedation, somnolence

i Insomnia terms: initial insomnia, insomnia, middle insomnia, terminal insomnia

j Hypertension terms: blood pressure diastolic increased, blood pressure increased, blood pressure systolic increased, hypertension

The maximum recommended daily dose is 6 mg. Doses above 6 mg daily do not confer increased effectiveness sufficient to outweigh dose-related adverse reactions.

Adult Patients with Bipolar Mania

The following findings are based on three placebo-controlled, 3-week bipolar mania trials with VRAYLAR doses ranging from 3 to 12 mg once daily. The maximum recommended dosage is 6 mg daily.

Adverse Reactions Associated with Discontinuation of Treatment: The adverse reaction leading to discontinuation that occurred at a rate of ≥ 2% in VRAYLAR-treated patients and at least twice the rate of placebo was akathisia (2%). Overall, 12% of the patients who received VRAYLAR discontinued treatment due to an adverse reaction, compared with 7% of placebo-treated patients in these trials.

Common Adverse Reactions (≥ 5% and at least twice the rate of placebo): extrapyramidal symptoms, akathisia, dyspepsia, vomiting, somnolence, and restlessness.

Adverse Reactions with an incidence of ≥ 2% and greater than placebo at any dose are shown in Table 9.

Table 9. Adverse Reactions Occurring in ≥ 2% of VRAYLAR-treated Patients and > Placebo-treated Adult Patients in 3-Week Bipolar Mania Trials
VRAYLAR *
System Organ Class /

Preferred Term
       

Placebo

(N= 442)

(%)
3 to 6

mg/day


(N=263)

(%)
9 to 12 mg/day

(N=360)

(%)
Cardiac Disorders
Tachycardiaa 1 2 1
Eye Disorders
Vision blurred 1 4 4
Gastrointestinal Disorders
Nausea 7 13 11
Constipation 5 6 11
Vomiting 4 10 8
Dry mouth 2 3 2
Dyspepsia 4 7 9
Abdominal painb 5 6 8
Diarrheac 5 5 6
Toothache 2 4 3
General Disorders/Administration Site Conditions
Fatigued 2 4 5
Pyrexiae 2 1 4
Investigations
Blood creatine phosphokinase increased 2 2 3
Hepatic enzymes increasedf <1 1 3
Weight increased 2 2 3
Metabolism and Nutrition Disorders
Decreased appetite 3 3 4
Musculoskeletal and Connective Tissue Disorders
Pain in extremity  2 4 2
Back pain 1 1 3
Nervous System Disorders
Akathisia 5 20 21
Extrapyramidal Symptomsg 12 26 29
Headacheh 13 14 13
Dizziness 4 7 6
Somnolencei 4 7 8
Psychiatric Disorders
Insomniaj 7 9 8
Restlessness 2 7 7
Respiratory, thoracic and mediastinal disorders
Oropharyngeal pain 2 1 3
Vascular Disorders
Hypertensionk 1 5 4

Note: Figures rounded to the nearest integer

*Data shown by modal daily dose, defined as most frequently administered dose per patient

a Tachycardia terms: heart rate increased, sinus tachycardia, tachycardia

b Abdominal pain terms: abdominal discomfort, abdominal pain, abdominal pain upper, abdominal tenderness

c Diarrhea: diarrhea, frequent bowel movements

d Fatigue terms: asthenia, fatigue

e Pyrexia terms: body temperature increased, pyrexia 

f Hepatic enzymes increased terms: alanine aminotransferase increased, aspartate aminotransferase increased, hepatic enzyme increased, transaminases increased

g Extrapyramidal Symptoms terms: bradykinesia, drooling, dyskinesia, dystonia, extrapyramidal disorder, hypokinesia, muscle rigidity, muscle tightness, musculoskeletal stiffness, oromandibular dystonia, parkinsonism, salivary hypersecretion, tremor 

h Headache terms: headache, tension headache

i Somnolence terms: hypersomnia, sedation, somnolence

j Insomnia terms: initial insomnia, insomnia, middle insomnia

k Hypertension terms: blood pressure diastolic increased, blood pressure increased, hypertension

⸰ The maximum recommended daily dose is 6 mg. Doses above 6 mg daily do not confer increased effectiveness sufficient to outweigh dose-related adverse reactions.

Adult Patients with Bipolar Depression

The following findings are based on three placebo-controlled, two 6-week and one 8-week bipolar depression trials with VRAYLAR doses of 1.5 mg and 3 mg once daily.

Adverse Reactions Associated with Discontinuation of Treatment: There were no adverse reaction leading to discontinuation that occurred at a rate of ≥ 2% in VRAYLAR-treated patients and at least twice the rate of placebo. Overall, 6% of the patients who received VRAYLAR discontinued treatment due to an adverse reaction, compared with 5% of placebo-treated patients in these trials.

Common Adverse Reactions (≥ 5% and at least twice the rate of placebo): nausea, akathisia, restlessness, and extrapyramidal symptoms.

Adverse Reactions with an incidence of ≥ 2% and greater than placebo at 1.5 mg or 3 mg doses are shown in Table 10.

Table 10. Adverse Reactions Occurring in ≥ 2% of VRAYLAR-treated Patients and > Placebo-treated Adult Patients in Two 6-Week and One 8-Week Bipolar Depression Trials
VRAYLAR
Placebo

(N=468)

(%)
1.5 mg/day

(N=470)

(%)
3 mg/day

(N=469)

(%)
Restlessness 3 2 7
Akathisia 2 6 10
Extrapyramidal symptomsa 2 4 6
Dizziness 2 4 3
Somnolenceb 4 7 6
Nausea 3 7 7
Increased appetite 1 3 3
Weight increase <1 2 2
Fatiguec 2 4 3
Insomniad 7 7 10

a Extrapyramidal symptoms terms: akinesia, drooling, dyskinesia, dystonia, extrapyramidal disorder, hypokinesia, muscle tightness, musculoskeletal stiffness, myoclonus, oculogyric crisis, salivary hypersecretion, tardive dyskinesia, tremor

b Somnolence terms: hypersomnia, sedation, somnolence

c Fatigue terms: asthenia, fatigue, malaise

d Insomnia terms: initial insomnia, insomnia, insomnia related to another mental condition, middle insomnia, sleep disorder, terminal insomnia

Adjunctive Therapy in Major Depressive Disorder in Adult Patients

The following findings are based on two placebo-controlled, fixed-dose 6-week trials with VRAYLAR doses of 1.5 and 3 mg once daily plus an antidepressant and one placebo-controlled, flexible-dose 8-week trial with VRAYLAR doses of (1 to 2 mg) and (2 to 4.5 mg) once daily plus an antidepressant for adjunctive therapy in MDD.

Adverse Reactions Associated with Discontinuation of Treatment: The adverse reaction leading to discontinuation that occurred at a rate of ≥ 2% in VRAYLAR-treated patients and at least twice the rate of placebo was akathisia (2%). Overall, 6% of the patients who received VRAYLAR discontinued treatment due to an adverse reaction, compared with 3% of placebo-treated patients in these trials.

Common Adverse Reactions (≥ 5% and at least twice the rate of placebo): Akathisia, nausea, and insomnia occurred in two 6-week, fixed-dose trials. Akathisia, restlessness, fatigue, constipation, nausea, increased appetite, dizziness, insomnia, and extrapyramidal symptoms occurred in one 8-week flexible-dose trial.

Adverse Reactions with an incidence of ≥ 2% and greater than placebo at 1.5 mg or 3 mg doses are shown in Table 11.

Table 11. Adverse Reactions Occurring in ≥ 2% of VRAYLAR-Treated Patients and > Placebo-Treated Adult Patients in Two Fixed-Dose 6-Week Placebo-Controlled Trials of Adjunctive Treatment of Major Depressive Disorder
System Organ Class/

Preferred Term
Placebo + ADT

(N=503)

(%)
VRAYLAR
1.5 mg/day + ADT

(N=502)

(%)
3 mg/day + ADT

(N=503)

(%)
Eye Disorders
Vision Blurred <1 <1 2
Gastrointestinal Disorders
Nausea 3 7 6
Dry Mouth 2 3 3
Constipation 1 2 2
Vomiting 1 1 2
General Disorders
Fatigue 2 3 3
Investigations
Weight increased 1 2 2
Nervous System Disorders
Akathisiaa 2 7 10
Somnolenceb 4 5 7
Extrapyramidal 

Symptomsc
4 5 6
Psychiatric Disorders
Insomniad 5 9 10
Restlessness 2 4 4
Anxiety 1 2 1
Skin and Subcutaneous Tissue Disorders
Hyperhidrosis 1 1 2

Note: Figures rounded to the nearest integer

a Akathisia terms: akathisia, psychomotor hyperactivity, feeling jittery, nervousness, tension

b Somnolence terms: hypersomnia, sedation, lethargy, somnolence

c Extrapyramidal symptoms terms: drooling, dyskinesia, extrapyramidal disorder, hypotonia, muscle contractions involuntary, muscle rigidity, muscle spasms, muscle tightness, muscle twitching, musculoskeletal stiffness, myoclonus, oromandibular dystonia, parkinsonism, resting tremor, restless legs syndrome, stiff leg syndrome, salivary hypersecretion, stiff tongue, tardive dyskinesia, tremor, trismus

d Insomnia terms: initial insomnia, insomnia, middle insomnia, poor sleep quality, sleep disorder, terminal insomnia 

Adverse Reactions with an incidence of ≥ 2% and greater than placebo at 1 mg to 2 mg per day or 2 mg to 4.5 mg per day doses are shown in Table 12.  

Table 12. Adverse Reactions Occurring in ≥ 2% of VRAYLAR-Treated Patients and > Placebo-Treated Adult Patients in a Flexible-dose 8-Week Placebo-Controlled Trial of Adjunctive Treatment of Major Depressive Disorder   
System Organ Class/ Preferred Term Placebo + ADT

(N=266)

(%)
VRAYLAR

1 to 2 mg/day + ADT

(N=273)

(%)
VRAYLAR

2 to 4.5 mg/day + ADT

(N=273)

(%)
Cardiac disorders
Palpitations 1 2 <1
Eye disorders
Vision blurred 1 1 4
Gastrointestinal disorders
Nausea 5 7 13
Constipation 2 2 5
Dry mouth 3 5 4
Vomiting <1 1 3
General disorders
Fatigue 4 7 10
                                 
Edema <1 2 1
Infections
Nasopharyngitis 2 4 1
Investigations
Increased appetite 2 2 5
Weight increased 1 2 3
Musculoskeletal and Connective Tissue disorders
Back pain 1 2 3
Myalgia 0 1 2
Nervous System disorders
Akathisiaa 3 8 23
Extrapyramidal symptomsb 5 12 18
Somnolencec 6 10 11
Dizziness 2 4 5
Psychiatric disorders
Insomniad 8 14 16
Restlessness 3 8 8
Agitation <1 <1 3
Anxiety <1 1 3

a A kathisia terms:  akathisia, feeling jittery, nervousness, tension

b Extrapyramidal symptoms terms: cogwheel rigidity, drooling, dyskinesia, extrapyramidal disorder, hypertonia, jaw stiffness, muscle contractions involuntary, muscle disorder, muscle rigidity, muscle spasms, muscle tightness, muscle twitching, musculoskeletal stiffness, nuchal rigidity, parkinsonism, psychomotor retardation, reduced facial expression, resting tremor, restless legs syndrome, sensation of heaviness, salivary hypersecretion, tremor

c Somnolence terms: hypersomnia, sedation, lethargy, somnolence

d Insomnia   terms: initial insomnia, insomnia, middle insomnia, terminal insomnia, sleep disorder, poor sleep quality

D ystonia

Symptoms of dystonia, prolonged abnormal contractions of muscle groups, may occur in susceptible individuals during the first few days of treatment. Dystonic symptoms include: spasm of the neck muscles, sometimes progressing to tightness of the throat, swallowing difficulty, difficulty breathing, and/or protrusion of the tongue. Although these symptoms can occur at low doses, they occur more frequently and with greater severity with high potency and higher doses of first-generation antipsychotic drugs. An elevated risk of acute dystonia is observed in males and younger age groups.

Extrapyramidal Symptoms (EPS) and Akathisia  

In schizophrenia, bipolar mania, bipolar depression and adjunctive treatment of major depressive disorder trials, data were objectively collected using the Simpson Angus Scale (SAS) for treatment-emergent EPS (parkinsonism) (SAS total score ≤ 3 at baseline and > 3 post-baseline) and the Barnes Akathisia Rating Scale (BARS) for treatment-emergent akathisia (BARS total score ≤ 2 at baseline and > 2 post-baseline).

In 6-week schizophrenia trials, the incidence of reported adverse reactions related to extrapyramidal symptoms (EPS), excluding akathisia and restlessness was 17% for VRAYLAR-treated patients versus 8% for placebo-treated patients. These reactions led to discontinuation in 0.3% of VRAYLAR-treated patients versus 0.2% of placebo-treated patients. The incidence of akathisia was 11% for VRAYLAR-treated patients versus 4% for placebo-treated patients. These reactions led to discontinuation in 0.5% of VRAYLAR-treated patients versus 0.2% of placebo-treated patients.

In 3-week bipolar mania trials, the incidence of reported adverse reactions related to extrapyramidal symptoms (EPS), excluding akathisia and restlessness, was 28% for VRAYLAR-treated patients versus 12% for placebo-treated patients. These reactions led to a discontinuation in 1% of VRAYLAR-treated patients versus 0.2% of placebo-treated patients. The incidence of akathisia was 20% for VRAYLAR-treated patients versus 5% for placebo-treated patients. These reactions led to discontinuation in 2% of VRAYLAR-treated patients versus 0% of placebo-treated patients.

In the two 6-week and one 8-week bipolar depression trials, the incidence of reported adverse reactions related to EPS, excluding akathisia and restlessness was 4% for VRAYLAR-treated patients versus 2% for placebo-treated patients. These reactions led to discontinuation in 0.4% of VRAYLAR-treated patients versus 0% of placebo-treated patients. The incidence of akathisia was 8% for VRAYLAR-treated patients versus 2% for placebo-treated patients. These reactions led to discontinuation in 1.5% of VRAYLAR-treated patients versus 0% of placebo-treated patients.

In the two 6-week adjunctive treatment of major depressive disorder trials, the incidence of reported adverse reactions related to EPS, excluding akathisia and restlessness, was 6% for VRAYLAR-treated patients versus 4% for placebo-treated patients. These reactions led to discontinuation in 0.3% of VRAYLAR-treated patients versus 0.6% of placebo-treated patients. The combined incidence of akathisia and restlessness was 12% for VRAYLAR-treated patients versus 4% for placebo-treated patients. These reactions led to discontinuation in 2% of VRAYLAR-treated patients versus 0.4% of placebo-treated patients. 

In one 8-week adjunctive treatment of major depressive disorder trial, the incidence of reported adverse reactions related to EPS, excluding akathisia and restlessness, was 12% for VRAYLAR-treated patients versus 5% for placebo-treated patients. These reactions led to discontinuation in 1% of VRAYLAR-treated patients versus 0.4% of placebo-treated patients. The incidence of akathisia and restlessness was 22% for VRAYLAR-treated patients versus 6% for placebo-treated patients. These reactions led to discontinuation in 3% of VRAYLAR-treated patients versus 0.0% of placebo-treated patients.

Cataracts

The development of cataracts was observed in nonclinical studies [ see Nonclinical Toxicology ( 13.2 ) ] . Cataracts were reported during the premarketing clinical trials of cariprazine; however, the duration of trials was too short to assess any association to cariprazine usage.

Vital Signs Changes

There were no clinically meaningful differences between VRAYLAR-treated patients and placebo-treated patients in mean change from baseline to endpoint in supine blood pressure parameters except for an increase in supine diastolic blood pressure in the 9 - 12 mg/day VRAYLAR-treated patients with schizophrenia.

Pooled data from 6-week schizophrenia trials are shown in Table 13, and from 3-week bipolar mania trials are shown in Table 14.

Table 13. Mean Change in Blood Pressure at Endpoint in 6-Week Schizophrenia Trials (Adult Patients)
Placebo

(N=574)
VRAYLAR*
1.5 - 3 mg/day

(N=512)
4.5 - 6 mg/day

(N=570)
9 - 12 mg/day

(N=203)
Supine Systolic Blood Pressure (mmHg) +0.9 +0.6 +1.3 +2.1
Supine Diastolic Blood Pressure (mmHg) +0.4 +0.2 +1.6 +3.4

* Data shown by modal daily dose, defined as most frequently administered dose per patient

The maximum recommended daily dose is 6 mg. Doses above 6 mg daily do not confer increased effectiveness sufficient to outweigh dose-related adverse reactions.

Table 14. Mean Change in Blood Pressure at Endpoint in 3-Week Bipolar Mania Trials (Adult Patients)
Placebo

(N=439)
VRAYLAR*
3 - 6 mg/day

(N=259)
9 – 12

mg/day

(N=360)
Supine Systolic Blood Pressure (mmHg) -0.5 +0.8 +1.8
Supine Diastolic Blood Pressure (mmHg) +0.9 +1.5 +1.9

 * Data shown by modal daily dose, defined as most frequently administered dose per patient

The maximum recommended daily dose is 6 mg. Doses above 6 mg daily do not confer increased effectiveness sufficient to outweigh dose-related adverse reactions.

In the two 6-week and one 8-week bipolar depression trials, there were no clinically meaningful differences between VRAYLAR-treated patients and placebo-treated patients in mean change from baseline to endpoint in supine systolic and diastolic blood pressure. VRAYLAR-treated patients’ supine blood pressure increased by 0.1 to 0.3 mmHg; placebo-treated patients’ supine blood pressure increased by 0.2 mmHg.

In two 6-week and one 8-week adjunctive treatment of major depressive disorder trials, there were no clinically meaningful differences between VRAYLAR-treated patients and placebo-treated patients in mean change from baseline to endpoint in supine systolic and diastolic blood pressure. At the end of the 6-week trials, VRAYLAR-treated patients’ supine systolic blood pressure decreased by 0.1 to 0.7 mmHg; placebo-treated patients’ supine systolic blood pressure decreased by 0.1 mmHg. VRAYLAR-treated patients’ supine diastolic blood pressure increased by 0.1 mmHg and placebo-treated patients’ supine diastolic blood pressure increased by 0.2 mmHg. 

Changes in Laboratory Tests

The proportions of patients with transaminase elevations of ≥3 times the upper limits of the normal reference range in 6-week schizophrenia trials ranged between 1% and 2% for VRAYLAR-treated patients, increasing with dose, and was 1% for placebo-treated patients. The proportions of patients with transaminase elevations of ≥3 times the upper limits of the normal reference range in 3-week bipolar mania trials ranged between 2% and 4% for VRAYLAR-treated patients depending on dose group administered and 2% for placebo-treated patients. The proportions of patients with transaminase elevations of ≥3 times the upper limits of the normal reference range in 6-week and 8-week bipolar depression trials ranged between 0% and 0.5% for VRAYLAR-treated patients depending on dose group administered and 0.4% for placebo-treated patients. The proportions of patients with transaminase elevations of ≥3 times the upper limits of the normal reference range in two 6-week adjunctive treatment of major depressive disorder trials ranged between 0% and 1% for VRAYLAR-treated patients depending on dose group administered and 0% for placebo-treated patients.

The proportions of patients with elevations of creatine phosphokinase (CPK) greater than 1000 U/L in 6-week schizophrenia trials ranged between 4% and 6% for VRAYLAR-treated patients, increasing with dose, and was 4% for placebo-treated patients. The proportions of patients with elevations of CPK greater than 1000 U/L in 3-week bipolar mania trials was about 4% in VRAYLAR and placebo-treated patients. The proportions of patients with elevations of CPK greater than 1000 U/L in 6-week and 8-week bipolar depression trials ranged between 0.2% and 1% for VRAYLAR-treated patients versus 0.2% for placebo-treated patients. The proportions of patients with elevations of CPK greater than 1000 U/L in two 6-week adjunctive treatment of major depressive disorder trials ranged between 0.6% and 0.8% for VRAYLAR-treated patients versus 0% for placebo-treated patients.

Other Adverse Reactions Observed During the Pre - marketing Evaluation of VRAYLAR

Adverse reactions listed below were reported by patients treated with VRAYLAR at doses of ≥ 1.5 mg once daily within the premarketing database of 5,763 VRAYLAR-treated patients. The reactions listed are those that could be of clinical importance, as well as reactions that are plausibly drug-related on pharmacologic or other grounds. Reactions that appear elsewhere in the VRAYLAR label are not included.

Reactions are further categorized by organ class and listed in order of decreasing frequency, according to the following definition: those occurring in at least 1/100 patients (frequent) [only those not already listed in the tabulated results from placebo-controlled studies appear in this listing]; those occurring in 1/100 to 1/1000 patients (infrequent); and those occurring in fewer than 1/1,000 patients (rare).

Gastrointestinal D isorders: Infrequent : gastroesop hageal reflux disease, gastritis  

Hepatobiliary D isorders: Rare: hepatitis

Metabolism and N utrition D isorders: Frequent : decreased appetite; Rare : hyponatremia

Musculoskeletal and C onnective T issue D isorders: Rare : rhabdomyolysis

Nervous S ystem D isorders: Rare : ischemic stroke

Psychiatric D isorders: Infrequent: suicide ideation; Rare : completed suicide , suicide attempts  

Renal and U rinary D isorders: Infrequent : pollakiuria

Skin and S ubcutaneous T issue D isorders: Infrequent: hyperhidrosis

Pediatric Patients with Schizophrenia (13 to 17 years of age) or Bipolar Mania/Mixed Episodes (10 to 17 years of age)

In a long-term open-label study, safety was assessed in 164 pediatric patients with schizophrenia or bipolar I disorder, of whom 72 received VRAYLAR for at least 6 months. Adverse reactions reported in clinical studies for this age group were generally similar to those observed in adult patients.

6.2

The following adverse reaction has been identified during post approval use of VRAYLAR. Because these reactions are reported voluntarily from a population of uncertain size, it is not always possible to estimate their frequency or establish a causal relationship to drug exposure.

Skin and Subcutaneous Tissue Disorders – Stevens-Johnson syndrome

8.1

Pregnancy Exposure Registry

There is a pregnancy exposure registry that monitors pregnancy outcomes in women exposed to VRAYLAR during pregnancy. For more information, contact the National Pregnancy Registry for Atypical Antipsychotics at 1-866-961-2388 or visit http://womensmentalhealth.org/clinical-and-research-programs/pregnancyregistry/.

Risk Summary

Neonates exposed to antipsychotic drugs during the third trimester of pregnancy are at risk for extrapyramidal and/or withdrawal symptoms following delivery (see Clinical Considerations). There are no available data on VRAYLAR use in pregnant women to inform any drug-associated risks for birth defects or miscarriage. The major active metabolite of cariprazine, DDCAR, has been detected in adult patients up to 12 weeks after discontinuation of VRAYLAR [see Clinical Pharmacology ( 12.3 )]. 

Based on animal data, VRAYLAR may cause fetal harm.

Administration of cariprazine to rats during the period of organogenesis caused malformations, lower pup survival, and developmental delays at drug exposures less than the human exposure at the maximum recommended human dose (MRHD) of 6 mg/day. However, cariprazine was not teratogenic in rabbits at doses up to 4.6 times the MRHD of 6 mg/day [see Data]

The estimated background risk of major birth defects and miscarriage for the indicated populations is unknown. In the U.S. general population, the estimated background risk of major birth defects and miscarriage in clinically recognized pregnancies is 2-4% and 15-20%, respectively. Advise pregnant women of the potential risk to a fetus.

Clinical Considerations

Fetal/Neonatal Adverse Reactions

Extrapyramidal and/or withdrawal symptoms, including agitation, hypertonia, hypotonia, tremor, somnolence, respiratory distress, and feeding disorder have been reported in neonates whose mothers were exposed to antipsychotic drugs during the third trimester of pregnancy. These symptoms have varied in severity. Some neonates recovered within hours or days without specific treatment; others required prolonged hospitalization. Monitor neonates for extrapyramidal and/or withdrawal symptoms and manage symptoms appropriately.

Data

Animal Data

Administration of cariprazine to pregnant rats during the period of organogenesis at oral doses of 0.5, 2.5, and 7.5 mg/kg/day, which are 0.2 to 3.5 times the maximum recommended human dose (MRHD) of 6 mg/day based on AUC of total cariprazine (i.e. sum of cariprazine, DCAR, and DDCAR), caused fetal developmental toxicity at all doses, which included reduced body weight, decreased male anogenital distance, and skeletal malformations of bent limb bones, scapula, and humerus. These effects occurred in the absence or presence of maternal toxicity. Maternal toxicity, observed as a reduction in body weight and food consumption, occurred at doses 1.2 and 3.5-times the MRHD of 6 mg/day based on AUC of total cariprazine. At these doses, cariprazine caused fetal external malformations (localized fetal thoracic edema), visceral variations (undeveloped/underdeveloped renal papillae and/or distended urethrae), and skeletal developmental variations (bent ribs, unossified sternebrae). Cariprazine had no effect on fetal survival. 

Administration of cariprazine to pregnant rats during pregnancy and lactation at oral doses of 0.1, 0.3, and 1 mg/kg/day, which are 0.03 to 0.4 times the MRHD of 6 mg/day based on AUC of total cariprazine, caused a decrease in postnatal survival, birth weight, and post-weaning body weight of first generation pups at the dose that is 0.4 times the MRHD of 6 mg/day based on AUC of total cariprazine in absence of maternal toxicity. First generation pups also had pale, cold bodies and developmental delays (renal papillae not developed or underdeveloped and decreased auditory startle response in males). Reproductive performance of the first generation pups was unaffected; however, the second generation pups had clinical signs and lower body weight similar to those of the first generation pups.

Administration of cariprazine to pregnant rabbits during the period of organogenesis at oral doses of 0.1, 1, and 5 mg/kg/day, which are 0.02 to 4.6 times the MRHD of 6 mg/day based on AUC of total cariprazine, was not teratogenic. Maternal body weight and food consumption were decreased at 4.6 times the MRHD of 6 mg/day based on AUC of total cariprazine; however, no adverse effects were observed on pregnancy parameters or reproductive organs.

8.2

Risk Summary

Lactation studies have not been conducted to assess the presence of cariprazine in human milk, the effects on the breastfed infant, or the effects on milk production. Cariprazine is present in rat milk. The development and health benefits of breastfeeding should be considered along with the mother’s clinical need for VRAYLAR and any potential adverse effects on the breastfed infant from VRAYLAR or from the underlying maternal condition.

8.4

Schizophrenia

The safety and effectiveness of VRAYLAR for treatment of schizophrenia have been established in pediatric patients 13 years of age and older. Use of VRAYLAR in this population is supported by evidence from adequate and well-controlled studies in adults with schizophrenia, pharmacokinetic data from adults and pediatric patients, and safety data in pediatric patients 13 to 17 years of age [see Warnings and Precautions ( 5.7 ), Adverse Reactions ( 6.1 ), Clinical Pharmacology ( 12.3 )]. The safety and effectiveness of VRAYLAR for the treatment of schizophrenia have not been established in pediatric patients less than 13 years of age.

Manic and Mixed Episodes Associated with Bipolar I Disorder

The safety and effectiveness of VRAYLAR for treatment of manic and mixed episodes associated with bipolar I disorder have been established in pediatric patients 10 years of age and older. Use of VRAYLAR in this population is supported by evidence from adequate and well-controlled studies in adults with manic and mixed episodes associated with bipolar I disorder, pharmacokinetic data from adult and pediatric patients, and safety data in pediatric patients 10 to 17 years of age [see Warnings and Precautions ( 5.7 ), Adverse Reactions ( 6.1 ), Clinical Pharmacology ( 12.3 )]. The safety and effectiveness of VRAYLAR for the treatment of manic and mixed episodes associated with bipolar I disorder have not been established in pediatric patients less than 10 years of age.

Bipolar Depression

The safety and effectiveness of VRAYLAR for treatment of bipolar depression in pediatric patients have not been established.

Adjunctive Therapy for Treatment of MDD

The safety and effectiveness of VRAYLAR as adjunctive therapy for treatment of MDD in pediatric patients have not been established. Antidepressants increased the risk of suicidal thoughts and behaviors in pediatric patients [see Boxed Warning, Warnings and Precautions ( 5.2 )].

Irritability Associated with Autism Spectrum Disorder​

The safety and effectiveness of VRAYLAR for the treatment of irritability associated with autism spectrum disorder in pediatric patients have not been established.

In a single, 8-week, double-blind, placebo-controlled, flexible-dose clinical study conducted in pediatric patients 5 to 17 years of age with irritability associated with autism spectrum disorder diagnosed by the Diagnostic and Statistical Manual of Mental Disorders, 5th Edition [DSM-5] criteria, a total of 161 patients were enrolled, of which 76 patients received cariprazine and 79 received placebo. In this study, patients 5 to 9 years of age who were randomized to active treatment received cariprazine oral solution, which is not an approved formulation. Somnolence, including sedation, occurred in 18% of cariprazine-treated compared to 1% of placebo-treated pediatric patients and was observed at a higher rate than reported in other VRAYLAR studies evaluating adult patients. The mean increase in age-and-sex adjusted body weight z-score from baseline to last visit was 0.2 for cariprazine-treated versus less than 0.1 for placebo-treated pediatric patients. Increases in age- and sex-adjusted body weight z-score of at least 0.5 SD from baseline was higher in cariprazine-treated versus placebo-treated pediatric patients (19% versus 1%). 

In a long term, open-label study in pediatric patients 5 to 17 years of age with irritability associated with autism spectrum disorder, the mean change in weight from baseline to last available visit was 5.3 kg; two patients discontinued due to increased weight. When body weight was adjusted for age and sex, the mean z-score change from baseline to last visit was 0.4 for cariprazine-treated patients, and 32% of patients had an increase in age- and sex-adjusted body weight z-score of at least 0.5 SD from baseline.

Juvenile Animal Studies

Juvenile rats were administered cariprazine at doses of 1, 3 and 10 mg/kg/day by oral gavage from days 28 to 90 of age, followed by an 8-week recovery (non-dosing) period. At 10 mg/kg/day, there were decreases in growth (decreased body weight and bone mass in both sexes and altered bone geometry and size in males), microscopic findings in the lung suggestive of phospholipidosis, and increased motor activity, which persisted following dose cessation. In addition, impaired learning and memory performance was observed during the dosing period, however, this effect did not persist following dose cessation. Microscopic findings in the mammary gland and/or reproductive tract (vagina, uterus and ovary) at ≥1 mg/kg/day and altered findings in the adrenal gland at doses ≥3 mg/kg/day were considered secondary to the increase in prolactin levels and were consistent with findings observed in adult rats. The no observed adverse effect level (NOAEL) was 3 mg/kg/day which is associated with systemic exposures approximately equal to clinical exposures produced at the maximum recommended pediatric dose of 4.5 mg/day based on AUC of total cariprazine.

Juvenile dogs were administered cariprazine at doses of 1, 3 and 6 mg/kg/day by oral gavage from weeks 13 to 39 of age, followed by a 4-week recovery (non-dosing) period. At doses ≥1 mg/kg/day, CNS clinical signs of decreased activity, lack of coordination, and reduced food intake were observed. At doses ≥3 mg/kg/day reversible effects on growth and non-reversible lens opacities/lens degeneration, that were not associated with retinal changes, were observed. The NOAEL was 1 mg/kg/day which is associated with systemic exposures approximately equal to clinical exposures produced at the maximum recommended pediatric dose of 4.5 mg/day based on AUC of total cariprazine.

8.5

Clinical trials of VRAYLAR did not include sufficient numbers of patients aged 65 and older to determine whether or not they respond differently from younger patients. In general, dose selection for an elderly patient should be cautious, usually starting at the low end of the dosing range, reflecting the greater frequency of decreased hepatic, renal, or cardiac function, and of concomitant disease or other drug therapy.

Antipsychotic drugs increase the risk of death in elderly patients with dementia-related psychosis. VRAYLAR is not approved for the treatment of patients with dementia-related psychosis [see Boxed Warning and Warning s and Precautions ( 5.1 , 5.3 ) ].

8.6

No dosage adjustment for VRAYLAR is required in patients with mild to moderate hepatic impairment (Child-Pugh score between 5 and 9) [ see C linical Pharmacology   ( 12.3 ) ]. Usage of VRAYLAR is not recommended in patients with severe hepatic impairment (Child-Pugh score between 10 and 15). VRAYLAR has not been evaluated in this patient population.

8.7

No dosage adjustment for VRAYLAR is required in patients with mild to moderate (CrCL ≥ 30 mL/minute) renal impairment [ see Clinical Pharmacology   ( 12.3 ) ].

Usage of VRAYLAR is not recommended in patients with severe renal impairment (CrCL < 30 mL/minute). VRAYLAR has not been evaluated in this patient population.

8.8

No dosage adjustment is required based on patient’s age, sex, or race. These factors do not affect the pharmacokinetics of VRAYLAR [ see Clinical Pharmacology ( 12.3 ) ].

9.1

VRAYLAR is not a controlled substance.

9.2

VRAYLAR has not been systematically studied in animals or humans for its abuse potential or its ability to induce tolerance.  

9.3

VRAYLAR has not been systematically studied in animals or humans for its potential for physical dependence.

10.1

In pre-marketing clinical trials involving VRAYLAR in approximately 5000 patients or healthy subjects, accidental acute overdosage (48 mg/day) was reported in one patient. This patient experienced orthostasis and sedation. The patient fully recovered the same day.

10.2

No specific antidotes for VRAYLAR are known. In managing overdose, provide supportive care, including close medical supervision and monitoring, and consider the possibility of multiple drug involvement. In case of an overdose, consult a Certified Poison Control Center (1-800-222-1222) for up-to-date guidance and advice. 

12.1

The mechanism of action of cariprazine is unknown. However, the efficacy of cariprazine could be mediated through a combination of partial agonist activity at central dopamine D2 and serotonin 5-HT1A receptors and antagonist activity at serotonin 5-HT2A receptors. Cariprazine forms two major metabolites, desmethylcariprazine (DCAR) and didesmethylcariprazine (DDCAR), that have in vitro receptor binding profiles similar to the parent drug. 

12.2

Cariprazine acts as a partial agonist at the dopamine D3 and D2 receptors with high binding affinity (Ki values 0.085 nM, and 0.49 nM (D2L) and 0.69 nM (D2S), respectively) and at the serotonin 5-HT1A receptors (Ki value 2.6 nM). Cariprazine acts as an antagonist at 5-HT2 B and 5-HT2A receptors with high and moderate binding affinity (Ki values 0.58 nM and 18.8 nM respectively) as well as it binds to the histamine H1 receptors (Ki value  23.2 nM). Cariprazine shows lower binding affinity to the serotonin 5-HT2C and α1 A- adrenergic receptors (Ki values 134 nM and 155 nM, respectively) and has no appreciable affinity for cholinergic muscarinic receptors (IC50>1000 nM).

Effect on QTc Interval

At a dose three times the maximum recommended dose, cariprazine does not prolong the QTc interval to clinically relevant extent.

12.3

VRAYLAR activity is thought to be mediated by cariprazine and its two major active metabolites, desmethylcariprazine (DCAR) and didesmethylcariprazine (DDCAR), which are pharmacologically equipotent to cariprazine.

After multiple dose administration of VRAYLAR, mean cariprazine and DCAR concentrations reached steady state at around Week 1 to Week 2 and mean DDCAR concentrations appeared to be approaching steady state at around Week 4 to Week 8 in a 12-week study (Figure 1). The half-lives based on time to reach steady state, estimated from the mean concentration-time curves, are 2 to 4 days for cariprazine, about 1 to 2 days for DCAR, and approximately 1 to 3 weeks for DDCAR. The time to reach steady state for the major active metabolite DDCAR was variable across patients, with some patients not achieving steady state at the end of the 12 week treatment [ s ee Dosage and Administration ( 2.1 ), Warnings and Precautions ( 5.6 ) ]. Mean concentrations of DCAR and DDCAR are approximately 30% and 400%, respectively, of cariprazine concentrations by the end of 12-week treatment.

After discontinuation of VRAYLAR, cariprazine, DCAR, and DDCAR plasma concentrations declined in a multi-exponential manner. Mean plasma concentrations of DDCAR decreased by about 50% 1 week after the last dose, and mean cariprazine and DCAR concentration dropped by about 50% in about 1 day. There was an approximately 90% decline in plasma exposure within 1 week for cariprazine and DCAR, and at about 4 weeks for DDCAR. Following a single dose of 1 mg of cariprazine administration, DDCAR remained detectable 8 weeks post-dose.

After multiple dosing of VRAYLAR, plasma exposure of cariprazine, DCAR, and DDCAR increases approximately proportionally over the therapeutic dose range.

Figure 1 . Plasma Concentration (Mean ± SE) -Time Profile During and Following  

12-weeks of Treatment with Cariprazine 6 mg/day a

a Trough concentrations shown during treatment with cariprazine 6 mg/day.

  SE: standard error; TOTAL CAR: sum concentration of cariprazine, DCAR and DDCAR; CAR: cariprazine

Absorption  

After single dose administration of VRAYLAR, the peak plasma cariprazine concentration occurred in approximately 3-6 hours.  

Administration of a single dose of 1.5 mg VRAYLAR capsule with a high-fat meal did not significantly affect the Cmax and AUC of cariprazine or DCAR.

Distribution

Cariprazine and its major active metabolites are highly bound (91 to 97%) to plasma proteins.

Elimination

      Metabolism

      Cariprazine is extensively metabolized by CYP3A4 and, to a lesser extent, by CYP2D6 to DCAR and DDCAR. DCAR is further metabolized into DDCAR by CYP3A4 and CYP2D6. DDCAR is then metabolized by CYP3A4 to a hydroxylated metabolite.

      Excretion

      Following administration of 12.5 mg/day cariprazine to patients with schizophrenia for 27 days, about 21% of the daily dose was found in urine, with approximately 1.2% of the daily dose excreted in urine as unchanged cariprazine. 

Studies in Specific Populations

Patients with Hepatic Impairment

Compared to healthy subjects, exposure (Cmax and AUC) in patients with either mild or moderate hepatic impairment (Child-Pugh score between 5 and 9) was approximately 25% higher for cariprazine and 20% to 30% lower for the major metabolites (DCAR and DDCAR) following daily doses of 0.5 mg cariprazine for 14 days [ see Use in Specific Populations ( 8.6 )].

Patients with Renal Impairment

Cariprazine and its major active metabolites are minimally excreted in urine. Pharmacokinetic analyses indicated no significant relationship between plasma clearance and creatinine clearance [see Use in Specific Populations ( 8.7 )].

CYP2D6 Poor Metabolizers

CYP2D6 poor metabolizer status does not have clinically relevant effect on pharmacokinetics of cariprazine, DCAR, or DDCAR.

Age , Sex, Race

Age, sex, or race does not have clinically relevant effect on pharmacokinetics of cariprazine, DCAR, or DDCAR in adult population.

Pediatric

Pharmacokinetics of cariprazine, DCAR, or DDCAR have been evaluated in pediatric patients (10 to 17 years of age) administered cariprazine (0.5 mg to 6 mg). Population PK analysis indicated steady-state systemic exposures (Cmax and AUCtau) of total cariprazine were up to 32% and 33% higher, respectively, in pediatric patients 10 to 12 years of age, and up to 10% and 11% higher, respectively, in pediatric patients 13 to 17 years of age, respectively, than those in adult patients receiving the same dose. 

Drug Interaction Studies

In vitro studies

Cariprazine and its major active metabolites did not induce CYP1A2 and CYP3A4 enzymes and were weak inhibitors of CYP1A2, CYP2C9, CYP2D6, and CYP3A4 in vitro. Cariprazine was also a weak inhibitor of CYP2C19, CYP2A6, and CYP2E1 in vitro.

Cariprazine and its major active metabolites are not substrates of P-glycoprotein (P-gp), the organic anion transporting polypeptides 1B1 and 1B3 (OATP1B1 and OATP1B3), or the breast cancer resistance protein (BCRP). 

Cariprazine and its major active metabolites were poor or non-inhibitors of transporters OATP1B1, OATP1B3, BCRP, organic cation transporter 2 (OCT2), and organic anion transporters 1 and 3 (OAT1 and OAT3) in vitro. The major active metabolites were also poor or non-inhibitors of transporter P-gp although cariprazine was probably a P-gp inhibitor based on the theoretical GI concentrations at high doses in vitro.

Based on in vitro studies, VRAYLAR is unlikely to cause clinically significant pharmacokinetic drug interactions with substrates of CYP1A2, CYP2A6, CYP2C9, CYP2C19, CYP2D6, CYP2E, and CYP3A4, or OATP1B1, OATP1B3, BCRP, OCT2, OAT1 and OAT3.

In vivo studies and Model-based Approaches

CYP3A4 inhibitors

In the clinical drug-drug interaction studies, co-administration of ketoconazole (400 mg/day for four days), a strong CYP3A4 inhibitor, with VRAYLAR (0.5 mg/day) increased total cariprazine (the sum of cariprazine, DCAR and DDCAR) Cmax and AUC0-24h by approximately 100%. Co-administration of erythromycin (500 mg twice daily for 21 days), a moderate CYP3A4 inhibitor, with VRAYLAR (1.5 mg/day) increased total cariprazine Cmax and AUC0-24h by approximately 50%. 

Physiologically based pharmacokinetic model-based analyses suggest that co-administration of ketoconazole (400 mg/day) with VRAYLAR (0.5 mg/day) at steady state is predicted to result in up to about 5.5-fold and 6-fold increase in Cmax and AUC0-24h, respectively, of total cariprazine. Co-administration of fluconazole (200 mg/day), a moderate CYP3A inhibitor, with VRAYLAR (0.5 mg/day) at steady state is predicted to result in up to about 3-fold increase in Cmax and AUC0-24h of total cariprazine.

CYP3A4 inducers

CYP3A4 is responsible for the formation and elimination of the active metabolites of cariprazine. The effect of CYP3A4 inducers on the plasma exposure of cariprazine and its major active metabolites has not been evaluated, and the net effect is unclear.

CYP2D6 inhibitors

CYP2D6 inhibitors are not expected to influence pharmacokinetics of cariprazine, DCAR, or DDCAR based on the observations in CYP2D6 poor metabolizers. 

Proton pump inhibitors

Co-administration of pantoprazole (40 mg/day), a proton pump inhibitor, with VRAYLAR (6 mg/day) in patients with schizophrenia for 15 days did not affect cariprazine exposure at steady-state, based on Cmax and AUC0-24.  Similarly, no significant change in exposure to DCAR and DDCAR was observed.

13.1

Carcinogenesis

There was no increase in the incidence of tumors following daily oral administration of cariprazine to rats for 2 years and to Tg.rasH2 mice for 6 months at doses which are up to 4 and 19 times respectively, the MRHD of 6 mg/day based on AUC of total cariprazine, (i.e. sum of AUC values of cariprazine, DCAR and DDCAR). 

Rats were administered cariprazine at oral doses of 0.25, 0.75, and 2.5 (males)/1, 2.5, and 7.5 mg/kg/day (females) which are 0.2 to 1.8 (males)/ 0.8 to 4.1 (females) times the MRHD of 6 mg/day based on AUC of total cariprazine. 

Tg.rasH2 mice were administered cariprazine at oral doses of 1, 5, and 15 (males)/5, 15, and 50 mg/kg/day (females) which are 0.2 to 7.9 (males)/2.6 to 19 (females) times the MRHD of 6 mg/day based on AUC of total cariprazine. 

Mutagenesis

Cariprazine was not mutagenic in the in vitro bacterial reverse mutation assay, nor clastogenic in the in vitro human lymphocyte chromosomal aberration assay or in the in vivo mouse bone marrow micronucleus assay.  However, cariprazine increased the mutation frequency in the in vitro mouse lymphoma assay under conditions of metabolic activation. The major human metabolite DDCAR was not mutagenic in the in vitro bacterial reverse mutation assay, however, it was clastogenic and induced structural chromosomal aberration in the in vitro human lymphocyte chromosomal aberration assay.

Impairment of Fertility

Cariprazine was administered orally to male and female rats before mating, through mating, and up to day 7 of gestation at doses of 1, 3, and 10 mg/kg/day which are 1.6 to 16 times the MRHD of 6 mg/day based on mg/m2. In female rats, lower fertility and conception indices were observed at all dose levels which are equal to or higher than 1.6 times the MRHD of 6 mg/day based on mg/m2. No effects on male fertility were noted at any dose up to 4.3 times the MRHD of 6 mg/day based on AUC of total cariprazine.

13.2

Cariprazine caused bilateral cataract and cystic degeneration of the retina in the dog following oral daily administration for 13 weeks and/or 1 year and retinal degeneration/atrophy in the rat following oral daily administration for 2 years. Cataract in the dog was observed at 4 mg/kg/day which is 7.1 (male) and 7.7 (female) times the MRHD of 6 mg/day based on AUC of total cariprazine. The NOEL for cataract and retinal toxicity in the dog is 2 mg/kg/day which is 5 (males) to 3.6 (females) times the MRHD of 6 mg/day based on AUC of total cariprazine. Increased incidence and severity of retinal degeneration/atrophy in the rat occurred at all doses tested, including the low dose of 0.75 mg/kg/day, at total cariprazine plasma levels less than clinical exposure (AUC) at the MRHD of 6 mg/day. Cataract was not observed in other repeat dose studies in pigmented mice or albino rats.

Phospholipidosis was observed in the lungs of rats, dogs, and mice (with or without inflammation) and in the adrenal gland cortex of dogs at clinically relevant exposures (AUC) of total cariprazine. Phospholipidosis was not reversible at the end of the 1-2 month drug-free periods. Inflammation was observed in the lungs of dogs dosed daily for 1 year with a NOEL of 1 mg/kg/day which is 2.7 (males) and 1.7 (females) times the MRHD of 6 mg/day based on AUC of total cariprazine. No inflammation was observed at the end of 2-month drug free period following administration of 2 mg/kg/day which is 5 (males) and 3.6 (females) times the MRHD of 6 mg/day based on AUC of total cariprazine; however, inflammation was still present at higher doses.

Hypertrophy of the adrenal gland cortex was observed at clinically relevant total cariprazine plasma concentrations in rats (females only) and mice following daily oral administration of cariprazine for 2 years and 6 months, respectively.  Reversible hypertrophy/hyperplasia and vacuolation/vesiculation of the adrenal gland cortex were observed following daily oral administration of cariprazine to dogs for 1 year. The NOEL was 2 mg/kg/day which is 5 (males) and 3.6 (females) times the MRHD of 6 mg/day based on AUC of total cariprazine. The relevance of these findings to human risk is unknown.

14.1

The efficacy of VRAYLAR for the treatment of schizophrenia in adult patients was established in three, 6-week, randomized, double-blind, placebo-controlled trials in patients (mean age of 37 years, aged 18 to 60 years; 31% were female; and 45% were Caucasian) who met Diagnostic and Statistical Manual of Mental Disorders 4th edition, Text Revision (DSM-IV-TR) criteria for schizophrenia. An active control arm (risperidone or aripiprazole) was included in two trials to assess assay sensitivity. In all three trials, VRAYLAR was superior to placebo.

Positive and Negative Syndrome Scale (PANSS) and Clinical Global Impressions-Severity (CGI-S) rating scales were used as the primary and secondary efficacy measures, respectively, for assessing psychiatric signs and symptoms in each trial:

  • PANSS is a 30-item scale that measures positive symptoms of schizophrenia (7 items), negative symptoms of schizophrenia (7 items), and general psychopathology (16 items), each rated on a scale of 1 (absent) to 7 (extreme). The PANSS total score may range from 30 to 210 with the higher score reflecting greater severity.  

  • The CGI-S is a validated clinician-related scale that measures the patient’s current illness state and overall clinical state on a 1 (normal, not at all ill) to 7-point (extremely ill) scale.

In each study, the primary endpoint was change from baseline in PANSS total score at the end of week 6. The change from baseline for VRAYLAR and active control groups was compared to placebo. The results of the trials are shown in Table 16. The time course of efficacy results of Study 2 is shown in Figure 2.

Study 1: In a 6-week, placebo-controlled trial (N = 711) involving three fixed doses of VRAYLAR (1.5, 3, or 4.5 mg/day) and an active control (risperidone), all VRAYLAR doses and the active control were superior to placebo on the PANSS total score and the CGI-S.

Study 2: In a 6-week, placebo-controlled trial (N = 604) involving two fixed doses of VRAYLAR (3 or 6 mg/day) and an active control (aripiprazole), both VRAYLAR doses and the active control were superior to placebo on the PANSS total score and the CGI-S.

Study 3: In a 6-week, placebo-controlled trial (N = 439) involving two flexible-dose range groups of VRAYLAR (3 to 6 mg/day or 6 to 9 mg/day), both VRAYLAR groups were superior to placebo on the PANSS total score and the CGI-S.

The efficacy of VRAYLAR was demonstrated at doses ranging from 1.5 to 9 mg/day compared to placebo. There was, however, a dose-related increase in certain adverse reactions, particularly above 6 mg. Therefore, the maximum recommended dose is 6 mg/day.

Examination of population subgroups based on age (there were few patients over 55), sex, and race did not suggest any clear evidence of differential responsiveness.

Table 16. Primary Analysis Results from Schizophrenia Trials
Study

Number
Treatment Group

(# ITT patients )
Primary Efficacy Endpoint: PANSS Total
Mean

Baseline

Score (SD)
LS Mean

Change from

Baseline (SE)
Placebo-subtracted

Difference a (95% CI)
Study 1 VRAYLAR (1.5 mg/day)* (n=140) 97.1 (9.1) -19.4 (1.6) -7.6 (-11.8, -3.3)
VRAYLAR (3 mg/day)*

(n=140)
97.2 (8.7) -20.7 (1.6) -8.8 (-13.1, -4.6)
VRAYLAR (4.5 mg/day)*

(n=145)
96.7 (9.0) -22.3 (1.6) -10.4 (-14.6, -6.2)
Placebo

(n=148)
97.3 (9.2) -11.8 (1.5) --
Study 2 VRAYLAR (3 mg/day)* (n=151) 96.1 (8.7) -20.2 (1.5) -6.0 (-10.1, -1.9)
VRAYLAR (6 mg/day)*

(n=154)
95.7 (9.4) -23.0 (1.5) -8.8 (-12.9, -4.7)
Placebo

(n=149)
96.5 (9.1) -14.3 (1.5) --
Study 3 VRAYLAR (3-6 mg/day)*

(n=147)
96.3 (9.3) -22.8 (1.6) -6.8 (-11.3, -2.4)
VRAYLAR (6-9 mg/day)*b

(n=147)
96.3 (9.0) -25.9 (1.7) -9.9 (-14.5, -5.3)
Placebo

(n=145)
96.6 (9.3) -16.0 (1.6) --
ITT: intent-to-treat; SD: standard deviation; SE: standard error; LS Mean: least-squares mean; CI: unadjusted confidence interval

aDifference (drug minus placebo) in least-squares mean change from baseline

*Doses that are statistically significantly superior to placebo

bThe maximum recommended daily dose is 6 mg. Doses above 6 mg daily do not confer increased effectiveness sufficient to outweigh dose-related adverse reactions.

Figure 2 . Change from Baseline in PANSS total score by   w eekly visits (Study 2)

The safety and efficacy of VRAYLAR as maintenance treatment in adult patients with schizophrenia were demonstrated in a randomized withdrawal trial that included 200 patients meeting DSM-IV criteria for schizophrenia who were clinically stable following 20 weeks of open-label cariprazine at doses of 3 to 9 mg/day. Patients were randomized to receive either placebo or cariprazine at the same dose for up to 72 weeks for observation of relapse.  The primary endpoint was time to relapse.  Relapse during the double-blind phase (DBP) was defined as meeting any one of the following criteria: hospitalization due to worsening of schizophrenia, increase in the PANSS total score by ≥ 30%, increase in CGI-S score by ≥ 2 points, deliberate self-injury, aggressive or violent behavior, clinically significant suicidal or homicidal ideation, or score >4 on one or more of the following PANSS items: delusions (P1), conceptual disorganization (P2), hallucination (P3), suspiciousness or persecution (P6), hostility (P7), uncooperativeness (G8), or poor impulse control (G14).

The efficacy of VRAYLAR was demonstrated at doses ranging from 3 to 9 mg/day compared to placebo. There was, however, a dose-related increase in certain adverse reactions, particularly above 6 mg. Therefore, the maximum recommended dose is 6 mg/day. 

The Kaplan-Meier curves of the time to relapse during the double-blind, placebo-controlled, randomized withdrawal phase of the long-term trial are shown in Figure 3. Time to relapse was statistically significantly longer in the VRAYLAR-treated group compared to the placebo group.

Figure 3 . Kaplan-Meier Curves of Cumulative Rate of Relapse During the Double-Blind   Treatment Period

DB = double-blind

*The maximum recommended daily dose is 6 mg. Doses above 6 mg daily do not confer increased effectiveness sufficient to outweigh dose-related adverse reactions.

14.2

The efficacy of VRAYLAR in the acute treatment of bipolar mania in adult patients was established in three, 3-week placebo-controlled trials in patients (mean age of 39 years, range 18 to 65 years; 40% were female; and 48% were Caucasian) who met DSM-IV-TR criteria for bipolar 1 disorder with manic or mixed episodes with or without psychotic features. In all three trials, VRAYLAR was superior to placebo.

Young Mania Rating Scale (YMRS) and Clinical Global Impressions-Severity scale (CGI-S) were used as the primary and secondary efficacy measures, respectively, for assessing psychiatric signs and symptoms in each trial:

  • The YMRS is an 11-item clinician-rated scale traditionally used to assess the degree of manic symptomatology. YMRS total score may range from 0 to 60 with a higher score reflecting greater severity.

  • The CGI-S is validated clinician-related scale that measures the patient’s current illness state and overall clinical state on a 1 (normal, not at all ill) to 7-point (extremely ill) scale. 

In each study, the primary endpoint was decrease from baseline in YMRS total score at the end of week 3. The change from baseline for each VRAYLAR dose group was compared to placebo. The results of the trials are shown in Table 17. The time course of efficacy results is shown in Figure 4.

Study 4: In a 3-week, placebo-controlled trial (N = 492) involving two flexible-dose range groups of VRAYLAR (3 to 6 mg/day or 6 to 12 mg/day), both VRAYLAR dose groups were superior to placebo on the YMRS total score and the CGI-S. The 6 to 12 mg/day dose group showed no additional advantage.

Study 5: In a 3-week, placebo-controlled trial (N = 235) involving a flexible-dose range of VRAYLAR (3 to 12 mg/day), VRAYLAR was superior to placebo on the YMRS total score and the CGI-S. 

Study 6: In a 3-week, placebo-controlled trial (N = 310) involving a flexible-dose range of VRAYLAR (3 to 12 mg/day), VRAYLAR was superior to placebo on the YMRS total score and the CGI-S. 

The efficacy of VRAYLAR was established at doses ranging from 3 to 12 mg/day. Doses above 6 mg did not appear to have additional benefit over lower doses (Table 17), and there was a dose-related increase in certain adverse reactions. Therefore, the maximum recommended dose is 6 mg/day.

Examination of population subgroups based on age (there were few patients over 55), sex, and race did not suggest any clear evidence of differential responsiveness.

Table 17. Primary Analysis Results from Manic or Mixed Episodes Associated with Bipolar I Disorder Trials
Study

Number
Treatment Group

(# ITT patients )
Primary Efficacy Endpoint: YMRS Total
Mean

Baseline

Score (SD)
LS Mean

Change from

Baseline (SE)
Placebo-subtracted

Difference a (95% CI)
Study 4 VRAYLAR (3-6 mg/day)*

(n=165)
33.2 (5.6) -18.6 (0.8) -6.1 (-8.4, -3.8)
VRAYLAR (6-12 mg/day)*b

(n=167)
32.9 (4.7) -18.5 (0.8) -5.9 (-8.2, -3.6)
Placebo

(n=160)
32.6 (5.8) -12.5 (0.8) --
Study 5  VRAYLAR (3-12 mg/day)*b

(n=118)
30.6 (5.0) -15.0 (1.1) -6.1 (-8.9, -3.3)
Placebo

(n=117)
30.2 (5.2) -8.9 (1.1) --
Study 6  VRAYLAR (3-12 mg/day)*b

(n=158)
32.3 (5.8) -19.6 (0.9) -4.3 (-6.7, -1.9)
Placebo

(n=152)
32.1 (5.6) -15.3 (0.9) --
ITT: intent-to-treat; SD: standard deviation; SE: standard error; LS Mean: least-squares mean; CI: unadjusted confidence interval

aDifference (drug minus placebo) in least-squares mean change from baseline

*Doses that are statistically significantly superior to placebo

bThe maximum recommended daily dose is 6 mg. Doses above 6 mg daily do not confer increased effectiveness sufficient to outweigh dose-related adverse reactions.

Figure 4 .   Change from Baseline in YMRS t otal s core by s tudy v isit (Study 4 )

* The maximum recommended daily dose is 6 mg. Doses above 6 mg daily do not confer increased effectiveness sufficient to outweigh dose-related adverse reactions.

14.3

The efficacy of VRAYLAR in the treatment of depressive episodes associated with bipolar I disorder (bipolar depression) in adult patients was established in one 8-week and two 6-week placebo-controlled trials in patients (mean age of 43 years, range 18 to 65 years; 61% were female; and 75% were Caucasian) who met DSM-IV-TR or DSM-5 criteria for depressive episodes associated with bipolar I disorder.

In each study, the primary endpoint was change from baseline in Montgomery-Asberg Depression Rating Scale (MADRS) total score at the end of Week 6. The MADRS is a 10-item clinician-rated scale with total scores ranging from 0 (no depressive features) to 60 (maximum score). The MADRS total score change from baseline for VRAYLAR compared to placebo is shown in Table 18. The time course of efficacy results of Study 8 is shown in Figure 5. In each study, the VRAYLAR 1.5 mg dose demonstrated statistical significance over placebo. The secondary endpoint was change from baseline to Week 6 in CGI-S. The CGI-S is validated clinician-related scale that measures the patient’s current illness state and overall clinical state on a 1 (normal, not at all ill) to 7-point (extremely ill) scale.  

Study 7: In an 8-week, placebo-controlled trial (N = 571) involving three-fixed doses of VRAYLAR (0.75 mg/day, 1.5 mg/day, and 3 mg/day), VRAYLAR 1.5 mg was superior to placebo at end of Week 6 on the MADRS total score and the CGI-S.

Study 8: In a 6-week, placebo-controlled trial (N = 474) involving two-fixed doses of VRAYLAR (1.5 mg/day and 3 mg/day), VRAYLAR 1.5 mg and 3 mg were superior to placebo at end of Week 6 on the MADRS total score.

Study 9: In a 6-week, placebo-controlled trial (N = 478) involving two-fixed doses of VRAYLAR (1.5 mg/day and 3 mg/day), VRAYLAR 1.5 mg was superior to placebo at end of Week 6 on the MADRS total score and the CGI-S.

Examination of population subgroups based on age (there were few patients over 55), sex, and race did not suggest any clear evidence of differential responsiveness.

Table 1 8 . Primary Analysis Results from Bipolar Depression Trials
Study Number Treatment Group

(# ITT patients)
Primary Efficacy Endpoint: MADRS Total
Mean

Baseline

Score (SD)
LS Mean

Change

from

Baseline

(SE)
Placebo-subtracted

Difference a (95% CI)
Study 7 VRAYLAR (1.5 mg/day)* (n=145)

VRAYLAR (3 mg/day)

(n=145)

Placebo

(n=141)


30.3 (4.4)



30.6 (4.7)



30.4 (4.6)


-15.1 (0.8)



-13.7 (0.9)



-11.1 (0.9)


-4.0 (-6.3, -1.6)



-2.5 (-4.9, -0.1)
Study 8 VRAYLAR (1.5 mg/day)* (n=154) 30.7 (4.3) -15.1 (0.8) -2.5 (-4.6, -0.4)
VRAYLAR (3 mg/day)*

(n=164)
31.0 (4.9) -15.6 (0.8) -3.0 (-5.1, -0.9)
Placebo

(n=156)
30.2 (4.4) -12.6 (0.8)
Study 9 VRAYLAR (1.5 mg/day)*

(n=162)
31.5 (4.3) -14.8 (0.8) -2.5 (-4.6, -0.4)
VRAYLAR (3 mg/day)

(n=153)
31.5 (4.8) -14.1 (0.8) -1.8 (-3.9, 0.4)
Placebo

(n=163)
31.4 (4.5) -12.4 (0.8)
ITT: intent-to-treat; SD: standard deviation; SE: standard error; LS Mean: least-squares mean; CI: confidence interval

aDifference (drug minus placebo) in least-squares mean change from baseline

*Doses that are statistically significantly superior to placebo

Figure 5. LS Mean* Change from Baseline in MADRS Total Score by Visits (Study 8)

*LS Mean: least-squares mean

16.1

VRAYLAR (cariprazine) capsules are supplied as follows:

Capsule

Strength
Imprint

Codes
Capsule Color Package Configuration NDC Code
0.5 mg FL 0.5 Ivory to yellow cap

and grey to green

body
Bottle of 30 61874-250-30
0.75 mg FL 0.75 Grey to green

cap and

blue body
Bottle of 30 61874-275-30
1.5 mg FL 1.5 White cap

and body
Blister pack of 7 61874-115-17
Bottle of 30 61874-115-30
Bottle of 90 61874-115-90
Box of 20 (Hospital Unit Dose) 61874-115-20
3 mg FL 3 Green to blue-green cap and white body Bottle of 30 61874-130-30
Bottle of 90 61874-130-90
Box of 20 (Hospital Unit Dose) 61874-130-20
4.5 mg FL 4.5 Green to blue-green cap and body Bottle of 30 61874-145-30
Bottle of 90 61874-145-90
       
6 mg FL 6 Purple cap and

white body
Bottle of 30 61874-160-30
Bottle of 90 61874-160-90
       
(1) 1.5 mg,

(6) 3 mg
FL 1.5,

FL 3
Mixed Blister pack of 7 61874-170-08
16.2

Store at 20ºC to 25°C (68ºF to 77°F); excursions permitted between 15°C and 30°C (59°F and 86°F) [see USP Controlled Room Temperature]. Protect 3 mg and 4.5 mg capsules from light to prevent potential color fading.

Section 42231-1
MEDICATION GUIDE

VRAYLAR® (VRAY-lar)

(cariprazine)

capsules
What is the most important information I should know about VRAYLAR?

VRAYLAR may cause serious side effects, including: 

  • Increased risk of death in elderly people with dementia related psychosis. Medicines like VRAYLAR can raise the risk of death in elderly who have lost touch with reality (psychosis) due to confusion and memory loss (dementia). VRAYLAR is not approved for the treatment of patients with dementia-related psychosis.

  • Increased risk of suicidal thoughts and actions. VRAYLAR and antidepressant medicines increase the risk of suicidal thoughts or actions in people 24 years of age and younger especially within the first few months of treatment or when the dose is changed.

    ○ Depression and other mental illnesses are the most important causes of suicidal thoughts and actions.
How can I watch for and try to prevent suicidal thoughts and actions in myself or a family member?

  ○ Pay close attention to any changes, especially sudden changes in mood, behaviors, thoughts, or feelings. This is very important when VRAYLAR or the antidepressant medicine is started or when the dose is changed.

  ○ Call the healthcare provider right away to report new or sudden changes in mood, behavior, thoughts, or feelings, or if you develop suicidal thoughts or actions.

  ○ Keep all follow-up visits with the healthcare provider as scheduled. Call the healthcare provider between visits as needed, especially if you have concerns about symptoms.

Call a healthcare provider right away if you or your family member has any of the following symptoms, especially if they are new, worse, or worry you:
  • thoughts about suicide or dying
  • suicide attempts
  • new or worse depression
  • new or worse anxiety
  • feeling very agitated or restless
  • panic attacks
  • trouble sleeping (insomnia)
  • new or worse irritability
  • acting aggressive, being angry, or violent
  • acting on dangerous impulses
  • an extreme increase in activity and talking

  • (mania)
See “What are the possible side effects of   VRAYLAR?” for more information about side effects.
  • other unusual changes in behavior or mood
What is VRAYLAR?

VRAYLAR is a prescription medicine used:

  • to treat schizophrenia in adults and children ages 13 years and older

  • to treat short-term (acute) manic or mixed episodes that happen with bipolar I disorder in adults and children ages 10 years and older

  • to treat depressive episodes that happen with bipolar I disorder (bipolar depression) in adults

  • along with antidepressant medicines to treat major depressive disorder (MDD) in adults
It is not known if VRAYLAR is safe and effective to treat children:

  • under 13 years of age with schizophrenia

  • under 10 years of age with manic or mixed episodes that happen with bipolar I disorder

  • with bipolar depression

  • along with antidepressant medicines to treat MDD 
Who should not take VRAYLAR?

Do not take VRAYLAR if you are allergic to cariprazine. See the end of this Medication Guide for a complete list of ingredients in VRAYLAR.
Before taking VRAYLAR, tell your healthcare provider about all of your medical conditions, including if you:

  • have or had heart problems or a stroke

  • have or  had low or high blood pressure

  • have or had diabetes or high blood sugar, or a family history of diabetes or high blood sugar

  • have or had high levels of total cholesterol, LDL cholesterol, or triglycerides or low levels of HDL cholesterol

  • have or had seizures (convulsions)

  • have or had kidney or liver problems

  • have or had a low white blood cell count

  • are pregnant or plan to become pregnant. VRAYLAR may harm your unborn baby. Taking VRAYLAR during your third trimester of pregnancy may cause your baby to have abnormal muscle movements or withdrawal symptoms after birth. Talk to your healthcare provider about the risk to your unborn baby if you take VRAYLAR during pregnancy.

    ○ Tell your healthcare provider if you become pregnant or think you are pregnant during treatment with VRAYLAR.

    ○ There is a pregnancy exposure registry for women who are exposed to VRAYLAR during pregnancy. If you become pregnant during treatment with VRAYLAR, talk to your healthcare provider about registering with the National Pregnancy Registry for Atypical Antipsychotics. You can register by calling 1-866-961-2388 or go to http://womensmentalhealth.org/clinical-and-research-programs/pregnancyregistry/.

  • are breastfeeding or plan to breastfeed. It is not known if VRAYLAR passes into your breast milk. Talk to your healthcare provider about the best way to feed your baby during treatment with VRAYLAR.
Tell your healthcare provider about all the medicines you take, including prescription and over-the-counter medicines, vitamins, and herbal supplements.

VRAYLAR and other medicines may affect each other causing possible serious side effects. VRAYLAR may affect the way other medicines work, and other medicines may affect how VRAYLAR works.

Your healthcare provider can tell you if it is safe to take VRAYLAR with your other medicines. Do not start or stop any medicines while taking VRAYLAR without talking to your healthcare provider first.

Know the medicines you take. Keep a list of your medicines to show your healthcare provider and pharmacist when you get a new medicine.
How should I take VRAYLAR?
  • Take VRAYLAR exactly as your healthcare provider tells you to take it. Do not change the dose or stop taking VRAYLAR without first talking to your healthcare provider.

  • Take VRAYLAR 1 time each day with or without food.

  • If you take too much VRAYLAR, call your healthcare provider or Poison Control Center at 1-800-222-1222 or go to the nearest hospital emergency room, right away.
What should I avoid while taking VRAYLAR?
  • Do not drive, operate machinery, or do other dangerous activities until you know how VRAYLAR affects you. VRAYLAR may make you drowsy.

  • Do not become too hot or dehydrated during treatment with VRAYLAR.

    ○ Do not exercise too much.

    ○ In hot weather, stay inside in a cool place if possible.

    ○ Stay out of the sun.

    ○ Do not wear too much clothing or heavy clothing.

    ○ Drink plenty of water.
What are the possible side effects of VRAYLAR?

VRAYLAR may cause serious side effects, including:
  • See “What is the most important information I should know about VRAYLAR?”

  • Stroke (cerebrovascular problems) in elderly people with dementia-related psychosis that can lead to death.

  • Neuroleptic malignant syndrome (NMS) is a serious condition that can lead to death. Call your healthcare provider or go to the nearest hospital emergency room right away if you have some or all of the following signs and symptoms of NMS:
      ○ high fever ○ stiff muscles
      ○ confusion ○ increased sweating
      ○ changes in your breathing, heart rate, and blood pressure
  • Uncontrolled body movements (tardive dyskinesia). VRAYLAR may cause movements that you cannot control in your face, tongue, or other body parts. Tardive dyskinesia may not go away, even if you stop taking VRAYLAR. Tardive dyskinesia may also start after you stop taking VRAYLAR.

  • Late occurring side effects. VRAYLAR stays in your body for a long time. Some side effects may not happen right away and can start a few weeks after you start taking VRAYLAR, or if your dose of VRAYLAR increases. Your healthcare provider should monitor you for side effects for several weeks after you start and after any increase in your dose of VRAYLAR.

  • Problems with your metabolism such as:

    high blood sugar (hyperglycemia) and diabetes. Increases in blood sugar can happen in some people who take VRAYLAR. Extremely high blood sugar can lead to coma or death. Your healthcare provider should check your blood sugar before you start, or soon after you start VRAYLAR, and then regularly during long-term treatment with VRAYLAR.
       Call your healthcare provider if you have any of these symptoms of high blood sugar during treatment with VRAYLAR:

      • feel very thirsty        • need to urinate more than usual

      • feel very hungry        • feel weak or tired

      • feel sick to your stomach         • feel confused, or your breath smells fruity







  • increased fat levels (cholesterol and triglycerides) in your blood. Your healthcare provider should check the fat levels in your blood before you start, or soon after you start VRAYLAR, and then periodically during treatment with VRAYLAR.

  • w eight gain. You and your healthcare provider should check your weight before you start and often during treatment with VRAYLAR.
  • Low white blood cell count. Your healthcare provider may do blood tests during the first few months of treatment with VRAYLAR.

  • Decreased blood pressure (orthostatic hypotension). You may feel lightheaded or faint when you rise too quickly from a sitting or lying position.

  • Falls. VRAYLAR may make you sleepy or dizzy, may cause a decrease in your blood pressure when changing position (orthostatic hypotension), and can slow your thinking and motor skills which may lead to falls that can cause fractures or other injuries.

  • Seizures (convulsions). 

  • Sleepiness, drowsiness, f eeling tired, difficulty thinking and doing normal activities. See “What should I avoid while taking VRAYLAR?”

  • Problems controlling your body temperature so that you feel too warm. See “What should I avoid while taking VRAYLAR?”

  • Difficulty swallowing that can cause food or liquid to get into your lungs.
The most common side effects of VRAYLAR include: difficulty moving or slow movements, tremors, uncontrolled body movements, restlessness and feeling like you need to move around, sleepiness, nausea, vomiting, indigestion, constipation, feeling tired, trouble sleeping, increased appetite, and dizziness

These are not all the possible side effects of VRAYLAR. 

Call your doctor for medical advice about side effects. You may report side effects to FDA at 1-800-FDA-1088.
How should I store VRAYLAR?

  • Store VRAYLAR at room temperature, between 68°F to 77°F (20°C to 25°C).

  • Protect 3 mg and 4.5 mg capsules from light to help prevent potential color fading.
Keep VRAYLAR and all medicines out of the reach of children.
General information about the safe and effective use of VRAYLAR.

Medicines are sometimes prescribed for purposes other than those listed in a Medication Guide. Do not use VRAYLAR for a condition for which it was not prescribed. Do not give VRAYLAR to other people, even if they have the same symptoms that you have. It may harm them. You can ask your pharmacist or healthcare provider for information about VRAYLAR that is written for health professionals.
What are the ingredients in VRAYLAR?

Active ingredient: cariprazine

Inactive ingredients: gelatin, magnesium stearate, pregelatinized starch, shellac, and titanium dioxide.

Colorants include: black iron oxide, FD&C Blue 1, FD&C Red 3, FD&C Red 40, or yellow iron oxide.

Manufactured by: Forest Laboratories Ireland Limited, Dublin, IE.

Distributed by: AbbVie Inc. North Chicago, IL 60064, USA

©2025 AbbVie. All rights reserved.

VRAYLAR and its design are trademarks of Allergan Pharmaceuticals International Limited, an AbbVie company.

For more information, go to www.VRAYLAR.com or call 1-800-678-1605.

This Medication Guide has been approved by the U.S. Food and Drug Administration.       Revised 12/2025 

20093086

Section 43683-2
Indications and Usage (1) 12/2025
Dosage and Administration (2.2 , 2.3 , 2.6) 12/2025
Warnings and Precautions, Metabolic Changes (5.7) 12/2025
Principal Display Panel

NDC 61874-115-20

Rx Only

Vraylar®

(cariprazine) capsules

1.5 mg per capsule

ATTENTION PRESCRIBER: PLEASE DISPENSE

MEDICATION GUIDE TO EACH PATIENT.

Each capsule contains cariprazine HCl equivalent to

1.5 mg cariprazine base.

20 capsules (2x10-count blister cards).

Warning: Increased Mortality in Elderly Patients With Dementia Related Psychosis

Increased Mortality in Elderly Patients with Dementia-Related Psychosis

Elderly patients with dementia-related psychosis treated with antipsychotic drugs are at an increased risk of death. VRAYLAR is not approved for the treatment of patients with dementia-related psychosis [see Warnings and Precautions ( 5.1 )].

Suicidal Thoughts and Behaviors

Antidepressants increased the risk of suicidal thoughts and behaviors in pediatric and young adult patients in short-term studies. Closely monitor all antidepressant-treated patients for clinical worsening, and for the emergence of suicidal thoughts and behaviors [see Warnings and Precautions ( 5.2 )] .


Structured Label Content

1

VRAYLAR® is indicated for:

• Treatment of schizophrenia in adult and pediatric patients 13 years of age and older [see Clinical Studies ( 14.1 )]

• Acute treatment of manic or mixed episodes associated with bipolar I disorder in adult and pediatric patients 10 years of age and older [see Clinical Studies ( 14.2 )]

• Treatment of depressive episodes associated with bipolar I disorder (bipolar depression) in adult patients [see Clinical Studies ( 14.3 )]

• Adjunctive therapy to antidepressants for the treatment of major depressive disorder (MDD) in adult patients [see Clinical Studies ( 14.4 )]

2
  • Administer VRAYLAR orally once daily with or without food (2)
Starting Dose Recommended Dose
Schizophrenia in Adults (2.2) 1.5 mg daily  1.5 mg to 6 mg daily
Schizophrenia in Pediatric Patients (13-17 years) ( 2.2) 0.5 mg daily 1.5 mg to 4.5 mg daily
Bipolar Mania in Adults (2.3) 1.5 mg daily  3 mg to 6 mg daily
Bipolar Mania in Pediatric Patients (10-17 years) (2.3) 0.5 mg daily 3 mg or 4.5 mg daily
Bipolar Depression in Adults (2.4) 1.5 mg daily 1.5 mg or 3 mg daily
Adjunctive therapy to antidepressants for MDD in Adults (2.5) 1.5 mg daily 1.5 mg or 3 mg daily
  • Adults with Schizophrenia and Bipolar Mania: Maximum recommended daily dosage is 6 mg. Dosages above 6 mg daily do not confer significant benefit, but increase the risk of dose-related adverse reactions (2.2, 2.3)

  • Pediatric patients with Schizophrenia and Bipolar Mania: Maximum recommended daily dosage is 4.5 mg.

  • Adults with Bipolar Depression: Maximum recommended daily dosage is 3 mg (2.4)

  • Adjunctive therapy for treatment of MDD in Adults: Maximum recommended daily dosage is 3 mg ( 2.5 )
3

VRAYLAR (cariprazine) capsules are available in six   strengths.

  •       0.5 mg capsules: Ivory to yellow cap and a grey to green body imprinted with “FL 0.5”

  • 0.75 mg capsules: Grey to green cap and blue body imprinted with “FL 0.75”

  • 1.5 mg capsules: White cap and body imprinted with “FL 1.5”

  • 3 mg capsules: Green to blue-green cap and white body imprinted with “FL 3”

  • 4.5 mg capsules: Green to blue-green cap and body imprinted with “FL 4.5”

  • 6 mg capsules: Purple cap and white body imprinted with “FL 6”
4

VRAYLAR is contraindicated in patients with history of a hypersensitivity reaction to cariprazine. Reactions have ranged from rash, pruritus, urticaria, and reactions suggestive of angioedema (e.g., swollen tongue, lip swelling, face edema, pharyngeal edema, and swelling face).

5
  • Cerebrovascular Adverse Reactions in Elderly Patients with Dementia-Related Psychosis: Increased incidence of cerebrovascular adverse reactions (e.g., stroke, transient ischemic attack) (5.3)

  • Neuroleptic Malignant Syndrome: Manage with immediate discontinuation and close monitoring (5.4)

  • Tardive Dyskinesia: Discontinue if appropriate (5.5)

  • Late-Occurring Adverse Reactions: Because of VRAYLAR’s long half-life, monitor for adverse reactions and patient response for several weeks after starting VRAYLAR and with each dosage change (5.6)

  • Metabolic Changes: Monitor for hyperglycemia/diabetes mellitus, dyslipidemia and weight gain (5.7)

  • Leukopenia, Neutropenia, and Agranulocytosis: Perform complete blood counts (CBC) in patients with pre-existing low white blood cell counts (WBC) or history of leukopenia or neutropenia. Consider discontinuing VRAYLAR if a clinically significant decline in WBC occurs in absence of other causative factors (5.8)

  • Orthostatic H ypotension and Syncope: Monitor heart rate and blood pressure and warn patients with known cardiovascular or cerebrovascular disease, and risk of dehydration or syncope (5.9)

  • Seizures:  Use cautiously in patients with a history of seizures or with conditions that lower the seizure threshold (5.11)

  • Potential for Cognitive and Motor Impairment: Use caution when operating machinery (5.12)
6

The following adverse reactions are discussed in more detail in other sections of the labeling:

  • Increased Mortality in Elderly Patients with Dementia-Related Psychosis [see Boxed Warning and Warnings and Precautions ( 5.1 )]

  • Suicidal Thoughts and Behaviors [see Boxed Warning and Warnings and Precautions ( 5.2 )]

  • Cerebrovascular Adverse Reactions, Including Stroke, in Elderly Patients with Dementia-Related Psychosis  [see Warnings and Precautions ( 5.3 )]

  • Neuroleptic Malignant Syndrome [see Warnings and Precautions ( 5.4 )]

  • Tardive Dyskinesia [see Warnings and Precautions ( 5.5 )]

  • Late Occurring Adverse Reactions [see Warnings and Precautions ( 5.6 )]

  • Metabolic Changes  [see Warnings and Precautions ( 5.7 )]

  • Leukopenia, Neutropenia, and Agranulocytosis [see Warnings and Precautions ( 5.8 )]

  • Orthostatic Hypotension and Syncope [see Warnings and Precautions ( 5.9 )]

  • Falls [see Warnings and Precautions ( 5.10 )]

  • Seizures [ see Warnings and Precautions ( 5.11 )]

  • Potential for Cognitive and Motor Impairment [see Warnings and Precautions ( 5.12 )]

  • Body Temperature Dysregulation [see Warnings and Precautions ( 5.13 )]

  • Dysphagia [see Warnings and Precautions ( 5.14 )]
7

Table 15 displays clinically significant drug interactions with VRAYLAR.

Table 15. Clinically Significant Drug Interactions with VRAYLAR
Strong or Moderate CYP3A4 Inhibitors
Clinical Impact: Concomitant use of VRAYLAR with a strong or moderate CYP3A4 inhibitor increases the exposures of cariprazine and its major active metabolite, didesmethylcariprazine (DDCAR), compared to use of VRAYLAR alone [see Clinical Pharmacology ( 12.3 ) ].

Intervention: If VRAYLAR is used with a strong or moderate CYP3A4 inhibitor, reduce VRAYLAR dosage [see D osage   and A dministration ( 2.6 ) ].

CYP3A4 Inducers
Clinical Impact: CYP3A4 is responsible for the formation and elimination of the active metabolites of cariprazine. The effect of CYP3A4 inducers on the exposure of VRAYLAR has not been evaluated, and the net effect is unclear [see Clinical Pharmacology ( 12.3 ) ].

Intervention: Concomitant use of VRAYLAR with a CYP3A4 inducer is not recommended [see Dosage and Administration ( 2.1 ,   2.6 ) ].

8
  • Pregnancy : Based on animal data, may cause fetal harm. (8.1)
11

The active ingredient of VRAYLAR is cariprazine, an atypical antipsychotic, in hydrochloride salt form. The chemical name is trans-N-{4-[2-[4-(2,3-dichlorophenyl)piperazine-1-yl]ethyl]cyclohexyl}-N’,N’-dimethylurea hydrochloride; its empirical formula is C21H3 2Cl2N4O•HCl and its molecular weight is 463.9 g/mol. The chemical structure is:

VRAYLAR capsules are intended for oral administration only. Each hard gelatin capsule contains  0.5, 0.75, 1.5, 3, 4.5, or 6 mg of cariprazine base (equivalent to 0.545 mg, 0.818 mg, 1.635 mg , 3.27 mg, 4.905 mg, or 6.54 mg cariprazine HCl). In addition, capsules include the following inactive ingredients: gelatin, magnesium stearate, pregelatinized starch, shellac, and titanium dioxide. Colorants include black iron oxide (0.5, 0.75, 1.5, 3, and 6 mg), FD&C Blue 1 (0.5, 0.75, 3, 4.5, and 6 mg), FD&C Red 3 (6 mg), FD&C Red 40 (3 and 4.5 mg), or yellow iron oxide (0.5, 3, and 4.5 mg). 

17

Advise the patient or caregiver to read the FDA-approved patient labeling (Medication Guide).

Suicidal Thoughts and Behaviors

Advise patients and caregivers to look for the emergence of suicidal thoughts and behaviors, especially early during treatment and when the dosage is adjusted up or down and instruct them to report such symptoms to their healthcare provider [ see Box Warning and Warnings and Precautions ( 5.2 ) ].

Dosage and Administration

Advise patients that VRAYLAR can be taken with or without food. Counsel them on the importance of following dosage escalation instructions [see Dosage and Administration ( 2 )].

Neuroleptic Malignant Syndrome (NMS)

Counsel patients about a potentially fatal adverse reaction, Neuroleptic Malignant Syndrome (NMS), that has been reported in association with administration of antipsychotic drugs. Advise patients, family members, or caregivers to contact the healthcare provider or to report to the emergency room if they experience signs and symptoms of NMS [see Warnings and Precautions ( 5.4 )].

Tardive Dyskinesia

Counsel patients on the signs and symptoms of tardive dyskinesia and to contact their health care provider if these abnormal movements occur [see Warnings and Precautions ( 5.5 )].

Late-Occurring Adverse Reactions

Counsel patients that adverse reactions may not appear until several weeks after the initiation of VRAYLAR treatment [see Warnings and Precautions ( 5.6 )].

Metabolic Changes (Hyperglycemia and Diabetes Mellitus, Dyslipidemia, and Weight Gain)

Educate patients about the risk of metabolic changes, how to recognize symptoms of hyperglycemia and diabetes mellitus, and the need for specific monitoring, including blood glucose, lipids, and weight [ s ee Warnings and Precautions ( 5.7 )].

Leukopenia/Neutropenia

Advise patients with a pre-existing low WBC or a history of drug-induced leukopenia/neutropenia that they should have their CBC monitored while taking VRAYLAR [see Warnings and Precautions ( 5.8 )].

Orthostatic Hypotension and Syncope

Counsel patients on the risk of orthostatic hypotension and syncope, especially early in treatment, and also at times of re-initiating treatment or increases in dose [see Warnings and Precautions ( 5.9 )].

Interference with Cognitive and Motor Performance

Caution patients about performing activities requiring mental alertness, such as operating hazardous machinery or operating a motor vehicle, until they are reasonably certain that VRAYLAR therapy does not affect them adversely [see Warnings and Precautions ( 5.12 )].

Heat Exposure and Dehydration

Educate patients regarding appropriate care in avoiding overheating and dehydration [see Warnings and Precautions ( 5.13 )].

Concomitant Medication s  

Advise patients to notify their physicians if they are taking, or plan to take, any prescription or over-the-counter drugs since there is a potential for interactions [ see Drug Interactions ( 7 ) ] . 

Pregnancy

Advise patients that third trimester use of VRAYLAR may cause extrapyramidal and/or withdrawal symptoms in a neonate. Advise patients to notify their healthcare provider with a known or suspected pregnancy [ see Use in Specific Populations ( 8.1 )].

Pregnancy Registry

Advise patients that there is a pregnancy exposure registry that monitors pregnancy outcomes in women exposed to VRAYLAR during pregnancy [see Use in Specific Populations ( 8.1 )].

Licensed from Gedeon Richter Plc.

Manufactured by:

Forest Laboratories Ireland Limited

Dublin, IE.

Distributed by:

AbbVie Inc.

North Chicago, IL 60064, USA

VRAYLAR and its design are trademarks of Allergan Pharmaceuticals International Limited, an AbbVie company.

©  2025 AbbVie. All rights reserved.

20093086

2.

Initiating VRAYLAR While Taking a Strong or Moderate CYP3A4 Inhibitor

Dosage modifications for the starting dosage of VRAYLAR in adult patients taking a strong or moderate CYP3A4 inhibitor are presented in Table 1:

Table 1: Dosage Modifications for the Starting Dosage of VRAYLAR in Adult   Patients Taking a Strong or Moderate CYP3A4 Inhibitor

Adult Patients VRAYLAR Starting Dosage
When Taking a Strong

CYP3A4 Inhibitor
When Taking a Moderate CYP3A4 Inhibitor
Schizophrenia Start at 0.5 mg orally once daily; increase to 0.75 mg orally once daily, if needed* Start at 0.75 mg orally once daily; increase to 1.5 mg orally daily, if needed*
Bipolar Mania

Bipolar Depression

0.5 mg orally once daily  0.75 mg orally once daily 
Adjunctive therapy for treatment of MDD

*Depending upon clinical response and tolerability.

Initiating VRAYLAR is not recommended in pediatric patients while taking a strong or moderate CYP3A4 Inhibitor.

Initiating a Strong or Moderate CYP3A4 Inhibitor While Taking a Stable Dosage of VRAYLAR

Dosage recommendations for adult and pediatric patients initiating a strong or moderate CYP3A4 inhibitor while on a stable dose of VRAYLAR (see Table 2):

Table 2: Dosage Modifications for VRAYLAR When Initiating a Strong or Moderate CYP3A4 Inhibitor and While Taking a Stable Dos ag e of VRAYLAR   in Adult and Pediatric Patients

Currently on VRAYLAR Dosage VRAYLAR Dosage When Initiating a Strong CYP3A4 Inhibitor VRAYLAR Dosage When Initiating a Moderate CYP3A4 Inhibitor
1.5 mg or 3 mg once daily 0.5 mg orally once daily 0.75 mg orally once daily
4.5 mg or 6 mg once daily 0.75 mg orally once daily  1.5 mg orally once daily

When the strong or moderate CYP3A4 inhibitor is discontinued, the VRAYLAR dosage may need to be increased based on clinical response and tolerability [see Drug Interactions ( 7 )].

Dosage Modifications for Patients Concomitantly Taking VRAYLAR with CYP3A4 Inducers

Concomitant use of VRAYLAR and a CYP3A4 inducer has not been evaluated and is not recommended [see Dosage and Administration ( 2.1 ), Warnings and Precautions ( 5.6 ), Drug Interactions ( 7 ), Clinical Pharmacology ( 12.3 )].

5.

In placebo-controlled trials in elderly patients with dementia, patients randomized to risperidone, aripiprazole, and olanzapine had a higher incidence of stroke and transient ischemic attack, including fatal stroke. VRAYLAR is not approved for the treatment of patients with dementia-related psychosis [see Boxed Warning ,   Warnings   and   Precautions ( 5.1 )].

14.

The efficacy of VRAYLAR as adjunctive therapy to antidepressants for the treatment of major depressive disorder (MDD) was evaluated in 2 trials in adult patients (mean age of 45 years, range 18 to 65 years; 72% were female; and 85% were Caucasian) who met DSM-IV-TR or DSM-5 criteria for MDD, with or without symptoms of anxiety, who had an inadequate response to 1 to 3 courses of prior antidepressant (ADT) therapy. Inadequate response during antidepressant treatment was defined as less than 50% improvement to antidepressant treatment of adequate dose and adequate duration.

In each study, the primary endpoint was change from baseline to Week 6 (Study 10) or Week 8 (Study 11) in the Montgomery-Asberg Depression Rating Scale (MADRS) total score, a 10-item clinician-rated scale used to assess the degree of depressive symptomatology, with 0 representing no symptoms and 60 representing worst symptoms. 

Study 10: In a 6-week, placebo-controlled trial (N = 751) involving two fixed doses of VRAYLAR (1.5 mg per day or 3 mg per day) + ADT, VRAYLAR 1.5 mg + ADT was superior to placebo + ADT at end of Week 6 on the MADRS total score. The treatment effect in the VRAYLAR 3 mg per day + ADT group (vs. placebo + ADT) was not statistically significant.

Study 11: An 8-week, placebo-controlled trial (N = 808) involved flexible doses of VRAYLAR 1 to 2 mg per day + ADT or 2 to 4.5 mg per day + ADT. VRAYLAR 2 to 4.5 mg (mean dose was 2.6 mg) + ADT was superior to placebo + ADT at end of Week 8 on the MADRS total score. The treatment effect in the VRAYLAR 1 to 2 mg per day + ADT group (vs. placebo + ADT) was not statistically significant.

Results from the primary efficacy parameters for both trials (Studies 10 and 11) are shown below in Table 19. Figure 6 below shows the time course of response based on the primary efficacy measure (MADRS total score) in Study 10.

Table 19: Primary Analysis Results from Adjunctive Treatment of Major Depressive Disorder Trials
           
Study Number Treatment Group (# ITT patients) Primary Efficacy Endpoint: MADRS Total Score
Mean Baseline Score (SD) LS Mean Change from Baseline (SE) Placebo-subtracted Difference a (95% CI)
Study 10 VRAYLAR (1.5 mg/day) + ADT* (n=250)

VRAYLAR (3 mg/day) + ADT

(n=252)

Placebo + ADT

(n=249)


32.8 (5.0)



32.7 (4.9)





31.9 (5.7)



-14.1 (0.7)



-13.1 (0.7)





-11.5 (0.7)



-2.5(-4.2, -0.9)



-1.5 (-3.2, 0.1)

Study 11 VRAYLAR (1 to 2 mg/day) + ADT (n=273) 29.0 (4.3)

-13.4 (0.5) -0.9 (-2.4, 0.6)

VRAYLAR (2 to 4.5 mg/day) + ADT*

(n=271)
29.3 (4.1)

-14.6 (0.6)

-2.2 (-3.7, -0.6)

Placebo + ADT

(n=264)
28.9 (4.3)

-12.5 (0.5)

SD: standard deviation; SE: standard error; LS Mean: least-squares mean; CI: unadjusted confidence interval

* Dosages statistically significantly superior to placebo

a Difference (drug minus placebo) in least-squares mean change from baseline

Examination of population subgroups based on age, sex, and race did not suggest any clear evidence of differential responsiveness.

Figure 6 . L S Mean  Change f rom Baseline t o Week 6 in MADRS Total Score in Adjunctive Treatment of Major Depressive Disorder (Study 10)

 LS Mean: least-squares mean

* Dose was not statistically significant.

2.1

VRAYLAR is given orally once daily and can be taken with or without food.

Because of the long half-life of cariprazine and its active metabolites, changes in dose will not be fully reflected in plasma for several weeks. Prescribers should monitor patients for adverse reactions and treatment response for several weeks after starting VRAYLAR and after each dosage change [see Warnings and Precautions ( 5.6 ) ,   Clinical Pharmacology ( 12.3 )].

2.2

Adult Patients

The starting dosage of VRAYLAR is 1.5 mg orally once daily. The recommended dosage range is 1.5 mg to 6 mg orally once daily. The dosage can be increased to 3 mg on Day 2. Depending upon clinical response and tolerability, further dose adjustments can be made in 1.5 mg or 3 mg increments. The maximum recommended dosage is 6 mg orally once daily. In short-term controlled trials, dosages above 6 mg daily do not confer increased effectiveness sufficient to outweigh dose-related adverse reactions [see Adverse Reactions ( 6.1 ), Clinical Studies ( 14.1 )].

Pediatric Patients (13 to 17 years of age)

The starting dosage of VRAYLAR is 0.5 mg orally once daily. The recommended dosage range is 1.5 mg to 4.5 mg orally once daily. Increase the dosage to 1.5 mg orally once daily on Day 3. Depending upon clinical response and tolerability, the dosage may be increased to 3 mg orally once daily starting on Day 5, and to 4.5 mg orally once daily starting on Day 8. The maximum recommended dosage is 4.5 mg orally once daily.

2.3

Adult Patients

The starting dosage of VRAYLAR is 1.5 mg orally once daily. Increase the dosage to 3 mg orally once daily on Day 2. The recommended dosage range is 3 mg to 6 mg orally once daily. Depending upon clinical response and tolerability, further dose adjustments can be made in 1.5 mg or 3 mg increments. The maximum recommended dosage is 6 mg orally once daily. In short-term controlled trials, dosages above 6 mg daily do not confer increased effectiveness sufficient to outweigh dose-related adverse reactions [ see Adverse Reactions ( 6.1 ), Clinical Studies ( 14.2 ) ].

Pediatric Patients (10 to 17 years of age)​

The starting dosage of VRAYLAR is 0.5 mg orally once daily. The recommended dosage is 3 mg or 4.5 mg orally once daily. Increase the dosage to 1.5 mg orally once daily on Day 3 and to 3 mg orally once daily on Day 5. Depending upon clinical response and tolerability, the dosage may be increased to 4.5 mg orally once daily starting on Day 8. The maximum recommended dosage is 4.5 mg orally once daily.

2.4

The starting dosage of VRAYLAR is 1.5 mg orally once daily. Depending upon clinical response and tolerability, the dosage can be increased to 3 mg orally once daily on Day 15. Maximum recommended dosage is 3 mg orally once daily.

2.5

The starting dosage of VRAYLAR is 1.5 mg orally once daily. Depending upon clinical response and tolerability, the dosage can be increased to 3 mg orally once daily on Day 15. In clinical trials, dosage titration at intervals of less than 14 days resulted in a higher incidence of adverse reactions [see Adverse Reactions ( 6.1 )]. Maximum recommended dosage is 3 mg orally once daily.

5.1

Antipsychotic drugs increase the all-cause risk of death in elderly patients with dementia-related psychosis. Analyses of 17 dementia-related psychosis placebo-controlled trials (modal duration of 10 weeks and largely in patients taking atypical antipsychotic drugs) revealed a risk of death in the drug-treated patients of between 1.6 to 1.7 times that in placebo-treated patients. Over the course of a typical 10-week controlled trial, the rate of death in drug-treated patients was about 4.5%, compared to a rate of about 2.6% in placebo-treated patients.

Although the causes of death were varied, most of the deaths appeared to be either cardiovascular (e.g., heart failure, sudden death) or infectious (e.g., pneumonia) in nature. VRAYLAR is not approved for the treatment of patients with dementia-related psychosis [see Boxed Warning , Warnings and Precautions ( 5.3 )].

5.2

In pooled analyses of placebo-controlled trials of antidepressant drugs (SSRIs and other antidepressant classes) that included approximately 77,000 adult patients and 4,500 pediatric patients, the incidence of suicidal thoughts and behaviors in antidepressant-treated patients age 24 years and younger was greater than in placebo-treated patients. There was considerable variation in risk of suicidal thoughts and behaviors among drugs, but there was an increased risk identified in young patients for most drugs studied. There were differences in absolute risk of suicidal thoughts and behaviors across the different indications, with the highest incidence in patients with MDD. The drug-placebo differences in the number of cases of suicidal thoughts and behaviors per 1000 patients treated are provided in Table 3.

Table 3: Risk Differences of the Number of Patients of Suicidal Thoughts and Behavior in the Pooled Placebo-Controlled Trials of Antidepressants in Pediatric and Adult Patients
Age Range Drug-Placebo Difference in Number of Patients of Suicidal Thoughts or Behaviors per 1000 Patients Treated
Increases Compared to Placebo
<18 years old 14 additional patients
18-24 years old 5 additional patients
Decreases Compared to Placebo
25-64 years old 1 fewer patient
≥65 years old 6 fewer patients

It is unknown whether the risk of suicidal thoughts and behaviors in children, adolescents, and young adults extends to longer-term use, i.e., beyond four months. However, there is substantial evidence from placebo-controlled maintenance trials in adults with MDD that antidepressants delay the recurrence of depression and that depression itself is a risk factor for suicidal thoughts and behaviors.

Monitor all antidepressant-treated patients for any indication for clinical worsening and emergence of suicidal thoughts and behaviors, especially during the initial few months of drug therapy, and at times of dosage changes. Counsel family members or caregivers of patients to monitor for changes in behavior and to alert the healthcare provider. Consider changing the therapeutic regimen, including possibly discontinuing VRAYLAR, in patients whose depression is persistently worse, or who are experiencing emergent suicidal thoughts or behaviors.

6.1

Because clinical trials are conducted under widely varying conditions, adverse reaction rates observed in the clinical trials of a drug cannot be directly compared to rates in the clinical trials of another drug and may not reflect the rates observed in practice.

The information below is derived from an integrated clinical study database for VRAYLAR consisting of 6,722 adult patients exposed to one or more doses of VRAYLAR for the treatment of schizophrenia, manic or mixed episodes associated with bipolar I disorder, bipolar depression, and adjunctive treatment of major depressive disorder in placebo-controlled studies. This experience corresponds with a total experience of 1,182.8 patient-years. A total of 4,329 VRAYLAR-treated patients had at least 6 weeks and 296 VRAYLAR-treated patients had at least 48 weeks of exposure.

Adult Patients with Schizophrenia

The following findings are based on four placebo-controlled, 6-week schizophrenia trials with VRAYLAR doses ranging from 1.5 to 12 mg once daily.  The maximum recommended dosage is 6 mg daily.

Adverse Reactions Associated with Discontinuation of Treatment: There was no single adverse reaction leading to discontinuation that occurred at a rate of ≥ 2% in VRAYLAR-treated patients and at least twice the rate of placebo. 

Common Adverse Reactions   (≥   5% and at least twice the rate of placebo): extrapyramidal symptoms and akathisia.

Adverse Reactions with an incidence of ≥ 2% and greater than placebo, at any dose are shown in Table 8.

Table 8. Adverse Reactions Occurring in ≥ 2% of VRAYLAR-treated Patients and > Placebo-treated Adult Patients in 6-Week Schizophrenia Trials
VRAYLAR *
System Organ Class /

Preferred Term
    

Placebo

(N= 584)

(%)   
1.5 to 3 mg/day

(N=539)

(%)
4.5 to 6 mg/day

(N=575)

(%)
9 to 12 mg/day

(N=203)

(%)
Cardiac Disorder s
Tachycardiaa 1 2 2 3
Gastrointestinal Disorders
Abdominal painb 5 3 4 7
Constipation 5 6 7 10
Diarrheac 3 1 4 5
Dry Mouth 2 1 2 3
Dyspepsia 4 4 5 5
Nausea 5 5 7 8
Toothache 4 3 3 6
Vomiting 3 4 5 5
General Disorders/Administration Site Conditions
Fatigued 1 1 3 2
Infections and Infestations
Nasopharyngitis 1 1 1 2
Urinary tract infection 1 1 <1 2
Investigations
Blood creatine phosphokinase increased 1 1 2 3
Hepatic enzyme increasede <1 1 1 2
Weight increased 1 3 2 3
Metabolism and Nutrition Disorders
Decreased appetite 2 1 3 2
Musculoskeletal and Connective Tissue Disorders
Arthralgia 1 2 1 2
Back pain 2 3 3 1
Pain in extremity 3 2 2 4
Nervous System Disorders
Akathisia 4 9 13 14
Extrapyramidal symptomsf 8 15 19 20
Headacheg 13 9 11 18
Somnolenceh 5 5 8 10
Dizziness 2 3 5 5
Psychiatric Disorders
Agitation 4 3 5 3
Insomniai 11 12 13 11
Restlessness 3 4 6 5
Anxiety 4 6 5 3
Respiratory, Thoracic and Mediastinal D isorders
Cough 2 1 2 4
Skin and S ubcutaneous D isorders
Rash 1 <1 1 2
Vascular Disorders
Hypertensionj 1 2 3 6

Note: Figures rounded to the nearest integer

* Data shown by modal daily dose, defined as most frequently administered dose per patient

a Tachycardia terms: heart rate increased, sinus tachycardia, tachycardia

b Abdominal pain terms: abdominal discomfort, abdominal pain, abdominal pain lower, abdominal pain upper, gastrointestinal pain

c Diarrhea terms: diarrhea, frequent bowel movements

d Fatigue terms: asthenia, fatigue

e Hepatic enzyme increase terms: alanine aminotransferase increased, aspartate aminotransferase increased, hepatic enzyme increased

f Extrapyramidal Symptoms terms: bradykinesia, cogwheel rigidity, drooling, dyskinesia, dystonia, extrapyramidal disorder, hypokinesia, masked facies, muscle rigidity, muscle tightness, musculoskeletal stiffness, oculogyric crisis, oromandibular dystonia, parkinsonism, salivary hypersecretion, tardive dyskinesia, torticollis, tremor, trismus

g Headache terms: headache, tension headache

h Somnolence terms: hypersomnia, sedation, somnolence

i Insomnia terms: initial insomnia, insomnia, middle insomnia, terminal insomnia

j Hypertension terms: blood pressure diastolic increased, blood pressure increased, blood pressure systolic increased, hypertension

The maximum recommended daily dose is 6 mg. Doses above 6 mg daily do not confer increased effectiveness sufficient to outweigh dose-related adverse reactions.

Adult Patients with Bipolar Mania

The following findings are based on three placebo-controlled, 3-week bipolar mania trials with VRAYLAR doses ranging from 3 to 12 mg once daily. The maximum recommended dosage is 6 mg daily.

Adverse Reactions Associated with Discontinuation of Treatment: The adverse reaction leading to discontinuation that occurred at a rate of ≥ 2% in VRAYLAR-treated patients and at least twice the rate of placebo was akathisia (2%). Overall, 12% of the patients who received VRAYLAR discontinued treatment due to an adverse reaction, compared with 7% of placebo-treated patients in these trials.

Common Adverse Reactions (≥ 5% and at least twice the rate of placebo): extrapyramidal symptoms, akathisia, dyspepsia, vomiting, somnolence, and restlessness.

Adverse Reactions with an incidence of ≥ 2% and greater than placebo at any dose are shown in Table 9.

Table 9. Adverse Reactions Occurring in ≥ 2% of VRAYLAR-treated Patients and > Placebo-treated Adult Patients in 3-Week Bipolar Mania Trials
VRAYLAR *
System Organ Class /

Preferred Term
       

Placebo

(N= 442)

(%)
3 to 6

mg/day


(N=263)

(%)
9 to 12 mg/day

(N=360)

(%)
Cardiac Disorders
Tachycardiaa 1 2 1
Eye Disorders
Vision blurred 1 4 4
Gastrointestinal Disorders
Nausea 7 13 11
Constipation 5 6 11
Vomiting 4 10 8
Dry mouth 2 3 2
Dyspepsia 4 7 9
Abdominal painb 5 6 8
Diarrheac 5 5 6
Toothache 2 4 3
General Disorders/Administration Site Conditions
Fatigued 2 4 5
Pyrexiae 2 1 4
Investigations
Blood creatine phosphokinase increased 2 2 3
Hepatic enzymes increasedf <1 1 3
Weight increased 2 2 3
Metabolism and Nutrition Disorders
Decreased appetite 3 3 4
Musculoskeletal and Connective Tissue Disorders
Pain in extremity  2 4 2
Back pain 1 1 3
Nervous System Disorders
Akathisia 5 20 21
Extrapyramidal Symptomsg 12 26 29
Headacheh 13 14 13
Dizziness 4 7 6
Somnolencei 4 7 8
Psychiatric Disorders
Insomniaj 7 9 8
Restlessness 2 7 7
Respiratory, thoracic and mediastinal disorders
Oropharyngeal pain 2 1 3
Vascular Disorders
Hypertensionk 1 5 4

Note: Figures rounded to the nearest integer

*Data shown by modal daily dose, defined as most frequently administered dose per patient

a Tachycardia terms: heart rate increased, sinus tachycardia, tachycardia

b Abdominal pain terms: abdominal discomfort, abdominal pain, abdominal pain upper, abdominal tenderness

c Diarrhea: diarrhea, frequent bowel movements

d Fatigue terms: asthenia, fatigue

e Pyrexia terms: body temperature increased, pyrexia 

f Hepatic enzymes increased terms: alanine aminotransferase increased, aspartate aminotransferase increased, hepatic enzyme increased, transaminases increased

g Extrapyramidal Symptoms terms: bradykinesia, drooling, dyskinesia, dystonia, extrapyramidal disorder, hypokinesia, muscle rigidity, muscle tightness, musculoskeletal stiffness, oromandibular dystonia, parkinsonism, salivary hypersecretion, tremor 

h Headache terms: headache, tension headache

i Somnolence terms: hypersomnia, sedation, somnolence

j Insomnia terms: initial insomnia, insomnia, middle insomnia

k Hypertension terms: blood pressure diastolic increased, blood pressure increased, hypertension

⸰ The maximum recommended daily dose is 6 mg. Doses above 6 mg daily do not confer increased effectiveness sufficient to outweigh dose-related adverse reactions.

Adult Patients with Bipolar Depression

The following findings are based on three placebo-controlled, two 6-week and one 8-week bipolar depression trials with VRAYLAR doses of 1.5 mg and 3 mg once daily.

Adverse Reactions Associated with Discontinuation of Treatment: There were no adverse reaction leading to discontinuation that occurred at a rate of ≥ 2% in VRAYLAR-treated patients and at least twice the rate of placebo. Overall, 6% of the patients who received VRAYLAR discontinued treatment due to an adverse reaction, compared with 5% of placebo-treated patients in these trials.

Common Adverse Reactions (≥ 5% and at least twice the rate of placebo): nausea, akathisia, restlessness, and extrapyramidal symptoms.

Adverse Reactions with an incidence of ≥ 2% and greater than placebo at 1.5 mg or 3 mg doses are shown in Table 10.

Table 10. Adverse Reactions Occurring in ≥ 2% of VRAYLAR-treated Patients and > Placebo-treated Adult Patients in Two 6-Week and One 8-Week Bipolar Depression Trials
VRAYLAR
Placebo

(N=468)

(%)
1.5 mg/day

(N=470)

(%)
3 mg/day

(N=469)

(%)
Restlessness 3 2 7
Akathisia 2 6 10
Extrapyramidal symptomsa 2 4 6
Dizziness 2 4 3
Somnolenceb 4 7 6
Nausea 3 7 7
Increased appetite 1 3 3
Weight increase <1 2 2
Fatiguec 2 4 3
Insomniad 7 7 10

a Extrapyramidal symptoms terms: akinesia, drooling, dyskinesia, dystonia, extrapyramidal disorder, hypokinesia, muscle tightness, musculoskeletal stiffness, myoclonus, oculogyric crisis, salivary hypersecretion, tardive dyskinesia, tremor

b Somnolence terms: hypersomnia, sedation, somnolence

c Fatigue terms: asthenia, fatigue, malaise

d Insomnia terms: initial insomnia, insomnia, insomnia related to another mental condition, middle insomnia, sleep disorder, terminal insomnia

Adjunctive Therapy in Major Depressive Disorder in Adult Patients

The following findings are based on two placebo-controlled, fixed-dose 6-week trials with VRAYLAR doses of 1.5 and 3 mg once daily plus an antidepressant and one placebo-controlled, flexible-dose 8-week trial with VRAYLAR doses of (1 to 2 mg) and (2 to 4.5 mg) once daily plus an antidepressant for adjunctive therapy in MDD.

Adverse Reactions Associated with Discontinuation of Treatment: The adverse reaction leading to discontinuation that occurred at a rate of ≥ 2% in VRAYLAR-treated patients and at least twice the rate of placebo was akathisia (2%). Overall, 6% of the patients who received VRAYLAR discontinued treatment due to an adverse reaction, compared with 3% of placebo-treated patients in these trials.

Common Adverse Reactions (≥ 5% and at least twice the rate of placebo): Akathisia, nausea, and insomnia occurred in two 6-week, fixed-dose trials. Akathisia, restlessness, fatigue, constipation, nausea, increased appetite, dizziness, insomnia, and extrapyramidal symptoms occurred in one 8-week flexible-dose trial.

Adverse Reactions with an incidence of ≥ 2% and greater than placebo at 1.5 mg or 3 mg doses are shown in Table 11.

Table 11. Adverse Reactions Occurring in ≥ 2% of VRAYLAR-Treated Patients and > Placebo-Treated Adult Patients in Two Fixed-Dose 6-Week Placebo-Controlled Trials of Adjunctive Treatment of Major Depressive Disorder
System Organ Class/

Preferred Term
Placebo + ADT

(N=503)

(%)
VRAYLAR
1.5 mg/day + ADT

(N=502)

(%)
3 mg/day + ADT

(N=503)

(%)
Eye Disorders
Vision Blurred <1 <1 2
Gastrointestinal Disorders
Nausea 3 7 6
Dry Mouth 2 3 3
Constipation 1 2 2
Vomiting 1 1 2
General Disorders
Fatigue 2 3 3
Investigations
Weight increased 1 2 2
Nervous System Disorders
Akathisiaa 2 7 10
Somnolenceb 4 5 7
Extrapyramidal 

Symptomsc
4 5 6
Psychiatric Disorders
Insomniad 5 9 10
Restlessness 2 4 4
Anxiety 1 2 1
Skin and Subcutaneous Tissue Disorders
Hyperhidrosis 1 1 2

Note: Figures rounded to the nearest integer

a Akathisia terms: akathisia, psychomotor hyperactivity, feeling jittery, nervousness, tension

b Somnolence terms: hypersomnia, sedation, lethargy, somnolence

c Extrapyramidal symptoms terms: drooling, dyskinesia, extrapyramidal disorder, hypotonia, muscle contractions involuntary, muscle rigidity, muscle spasms, muscle tightness, muscle twitching, musculoskeletal stiffness, myoclonus, oromandibular dystonia, parkinsonism, resting tremor, restless legs syndrome, stiff leg syndrome, salivary hypersecretion, stiff tongue, tardive dyskinesia, tremor, trismus

d Insomnia terms: initial insomnia, insomnia, middle insomnia, poor sleep quality, sleep disorder, terminal insomnia 

Adverse Reactions with an incidence of ≥ 2% and greater than placebo at 1 mg to 2 mg per day or 2 mg to 4.5 mg per day doses are shown in Table 12.  

Table 12. Adverse Reactions Occurring in ≥ 2% of VRAYLAR-Treated Patients and > Placebo-Treated Adult Patients in a Flexible-dose 8-Week Placebo-Controlled Trial of Adjunctive Treatment of Major Depressive Disorder   
System Organ Class/ Preferred Term Placebo + ADT

(N=266)

(%)
VRAYLAR

1 to 2 mg/day + ADT

(N=273)

(%)
VRAYLAR

2 to 4.5 mg/day + ADT

(N=273)

(%)
Cardiac disorders
Palpitations 1 2 <1
Eye disorders
Vision blurred 1 1 4
Gastrointestinal disorders
Nausea 5 7 13
Constipation 2 2 5
Dry mouth 3 5 4
Vomiting <1 1 3
General disorders
Fatigue 4 7 10
                                 
Edema <1 2 1
Infections
Nasopharyngitis 2 4 1
Investigations
Increased appetite 2 2 5
Weight increased 1 2 3
Musculoskeletal and Connective Tissue disorders
Back pain 1 2 3
Myalgia 0 1 2
Nervous System disorders
Akathisiaa 3 8 23
Extrapyramidal symptomsb 5 12 18
Somnolencec 6 10 11
Dizziness 2 4 5
Psychiatric disorders
Insomniad 8 14 16
Restlessness 3 8 8
Agitation <1 <1 3
Anxiety <1 1 3

a A kathisia terms:  akathisia, feeling jittery, nervousness, tension

b Extrapyramidal symptoms terms: cogwheel rigidity, drooling, dyskinesia, extrapyramidal disorder, hypertonia, jaw stiffness, muscle contractions involuntary, muscle disorder, muscle rigidity, muscle spasms, muscle tightness, muscle twitching, musculoskeletal stiffness, nuchal rigidity, parkinsonism, psychomotor retardation, reduced facial expression, resting tremor, restless legs syndrome, sensation of heaviness, salivary hypersecretion, tremor

c Somnolence terms: hypersomnia, sedation, lethargy, somnolence

d Insomnia   terms: initial insomnia, insomnia, middle insomnia, terminal insomnia, sleep disorder, poor sleep quality

D ystonia

Symptoms of dystonia, prolonged abnormal contractions of muscle groups, may occur in susceptible individuals during the first few days of treatment. Dystonic symptoms include: spasm of the neck muscles, sometimes progressing to tightness of the throat, swallowing difficulty, difficulty breathing, and/or protrusion of the tongue. Although these symptoms can occur at low doses, they occur more frequently and with greater severity with high potency and higher doses of first-generation antipsychotic drugs. An elevated risk of acute dystonia is observed in males and younger age groups.

Extrapyramidal Symptoms (EPS) and Akathisia  

In schizophrenia, bipolar mania, bipolar depression and adjunctive treatment of major depressive disorder trials, data were objectively collected using the Simpson Angus Scale (SAS) for treatment-emergent EPS (parkinsonism) (SAS total score ≤ 3 at baseline and > 3 post-baseline) and the Barnes Akathisia Rating Scale (BARS) for treatment-emergent akathisia (BARS total score ≤ 2 at baseline and > 2 post-baseline).

In 6-week schizophrenia trials, the incidence of reported adverse reactions related to extrapyramidal symptoms (EPS), excluding akathisia and restlessness was 17% for VRAYLAR-treated patients versus 8% for placebo-treated patients. These reactions led to discontinuation in 0.3% of VRAYLAR-treated patients versus 0.2% of placebo-treated patients. The incidence of akathisia was 11% for VRAYLAR-treated patients versus 4% for placebo-treated patients. These reactions led to discontinuation in 0.5% of VRAYLAR-treated patients versus 0.2% of placebo-treated patients.

In 3-week bipolar mania trials, the incidence of reported adverse reactions related to extrapyramidal symptoms (EPS), excluding akathisia and restlessness, was 28% for VRAYLAR-treated patients versus 12% for placebo-treated patients. These reactions led to a discontinuation in 1% of VRAYLAR-treated patients versus 0.2% of placebo-treated patients. The incidence of akathisia was 20% for VRAYLAR-treated patients versus 5% for placebo-treated patients. These reactions led to discontinuation in 2% of VRAYLAR-treated patients versus 0% of placebo-treated patients.

In the two 6-week and one 8-week bipolar depression trials, the incidence of reported adverse reactions related to EPS, excluding akathisia and restlessness was 4% for VRAYLAR-treated patients versus 2% for placebo-treated patients. These reactions led to discontinuation in 0.4% of VRAYLAR-treated patients versus 0% of placebo-treated patients. The incidence of akathisia was 8% for VRAYLAR-treated patients versus 2% for placebo-treated patients. These reactions led to discontinuation in 1.5% of VRAYLAR-treated patients versus 0% of placebo-treated patients.

In the two 6-week adjunctive treatment of major depressive disorder trials, the incidence of reported adverse reactions related to EPS, excluding akathisia and restlessness, was 6% for VRAYLAR-treated patients versus 4% for placebo-treated patients. These reactions led to discontinuation in 0.3% of VRAYLAR-treated patients versus 0.6% of placebo-treated patients. The combined incidence of akathisia and restlessness was 12% for VRAYLAR-treated patients versus 4% for placebo-treated patients. These reactions led to discontinuation in 2% of VRAYLAR-treated patients versus 0.4% of placebo-treated patients. 

In one 8-week adjunctive treatment of major depressive disorder trial, the incidence of reported adverse reactions related to EPS, excluding akathisia and restlessness, was 12% for VRAYLAR-treated patients versus 5% for placebo-treated patients. These reactions led to discontinuation in 1% of VRAYLAR-treated patients versus 0.4% of placebo-treated patients. The incidence of akathisia and restlessness was 22% for VRAYLAR-treated patients versus 6% for placebo-treated patients. These reactions led to discontinuation in 3% of VRAYLAR-treated patients versus 0.0% of placebo-treated patients.

Cataracts

The development of cataracts was observed in nonclinical studies [ see Nonclinical Toxicology ( 13.2 ) ] . Cataracts were reported during the premarketing clinical trials of cariprazine; however, the duration of trials was too short to assess any association to cariprazine usage.

Vital Signs Changes

There were no clinically meaningful differences between VRAYLAR-treated patients and placebo-treated patients in mean change from baseline to endpoint in supine blood pressure parameters except for an increase in supine diastolic blood pressure in the 9 - 12 mg/day VRAYLAR-treated patients with schizophrenia.

Pooled data from 6-week schizophrenia trials are shown in Table 13, and from 3-week bipolar mania trials are shown in Table 14.

Table 13. Mean Change in Blood Pressure at Endpoint in 6-Week Schizophrenia Trials (Adult Patients)
Placebo

(N=574)
VRAYLAR*
1.5 - 3 mg/day

(N=512)
4.5 - 6 mg/day

(N=570)
9 - 12 mg/day

(N=203)
Supine Systolic Blood Pressure (mmHg) +0.9 +0.6 +1.3 +2.1
Supine Diastolic Blood Pressure (mmHg) +0.4 +0.2 +1.6 +3.4

* Data shown by modal daily dose, defined as most frequently administered dose per patient

The maximum recommended daily dose is 6 mg. Doses above 6 mg daily do not confer increased effectiveness sufficient to outweigh dose-related adverse reactions.

Table 14. Mean Change in Blood Pressure at Endpoint in 3-Week Bipolar Mania Trials (Adult Patients)
Placebo

(N=439)
VRAYLAR*
3 - 6 mg/day

(N=259)
9 – 12

mg/day

(N=360)
Supine Systolic Blood Pressure (mmHg) -0.5 +0.8 +1.8
Supine Diastolic Blood Pressure (mmHg) +0.9 +1.5 +1.9

 * Data shown by modal daily dose, defined as most frequently administered dose per patient

The maximum recommended daily dose is 6 mg. Doses above 6 mg daily do not confer increased effectiveness sufficient to outweigh dose-related adverse reactions.

In the two 6-week and one 8-week bipolar depression trials, there were no clinically meaningful differences between VRAYLAR-treated patients and placebo-treated patients in mean change from baseline to endpoint in supine systolic and diastolic blood pressure. VRAYLAR-treated patients’ supine blood pressure increased by 0.1 to 0.3 mmHg; placebo-treated patients’ supine blood pressure increased by 0.2 mmHg.

In two 6-week and one 8-week adjunctive treatment of major depressive disorder trials, there were no clinically meaningful differences between VRAYLAR-treated patients and placebo-treated patients in mean change from baseline to endpoint in supine systolic and diastolic blood pressure. At the end of the 6-week trials, VRAYLAR-treated patients’ supine systolic blood pressure decreased by 0.1 to 0.7 mmHg; placebo-treated patients’ supine systolic blood pressure decreased by 0.1 mmHg. VRAYLAR-treated patients’ supine diastolic blood pressure increased by 0.1 mmHg and placebo-treated patients’ supine diastolic blood pressure increased by 0.2 mmHg. 

Changes in Laboratory Tests

The proportions of patients with transaminase elevations of ≥3 times the upper limits of the normal reference range in 6-week schizophrenia trials ranged between 1% and 2% for VRAYLAR-treated patients, increasing with dose, and was 1% for placebo-treated patients. The proportions of patients with transaminase elevations of ≥3 times the upper limits of the normal reference range in 3-week bipolar mania trials ranged between 2% and 4% for VRAYLAR-treated patients depending on dose group administered and 2% for placebo-treated patients. The proportions of patients with transaminase elevations of ≥3 times the upper limits of the normal reference range in 6-week and 8-week bipolar depression trials ranged between 0% and 0.5% for VRAYLAR-treated patients depending on dose group administered and 0.4% for placebo-treated patients. The proportions of patients with transaminase elevations of ≥3 times the upper limits of the normal reference range in two 6-week adjunctive treatment of major depressive disorder trials ranged between 0% and 1% for VRAYLAR-treated patients depending on dose group administered and 0% for placebo-treated patients.

The proportions of patients with elevations of creatine phosphokinase (CPK) greater than 1000 U/L in 6-week schizophrenia trials ranged between 4% and 6% for VRAYLAR-treated patients, increasing with dose, and was 4% for placebo-treated patients. The proportions of patients with elevations of CPK greater than 1000 U/L in 3-week bipolar mania trials was about 4% in VRAYLAR and placebo-treated patients. The proportions of patients with elevations of CPK greater than 1000 U/L in 6-week and 8-week bipolar depression trials ranged between 0.2% and 1% for VRAYLAR-treated patients versus 0.2% for placebo-treated patients. The proportions of patients with elevations of CPK greater than 1000 U/L in two 6-week adjunctive treatment of major depressive disorder trials ranged between 0.6% and 0.8% for VRAYLAR-treated patients versus 0% for placebo-treated patients.

Other Adverse Reactions Observed During the Pre - marketing Evaluation of VRAYLAR

Adverse reactions listed below were reported by patients treated with VRAYLAR at doses of ≥ 1.5 mg once daily within the premarketing database of 5,763 VRAYLAR-treated patients. The reactions listed are those that could be of clinical importance, as well as reactions that are plausibly drug-related on pharmacologic or other grounds. Reactions that appear elsewhere in the VRAYLAR label are not included.

Reactions are further categorized by organ class and listed in order of decreasing frequency, according to the following definition: those occurring in at least 1/100 patients (frequent) [only those not already listed in the tabulated results from placebo-controlled studies appear in this listing]; those occurring in 1/100 to 1/1000 patients (infrequent); and those occurring in fewer than 1/1,000 patients (rare).

Gastrointestinal D isorders: Infrequent : gastroesop hageal reflux disease, gastritis  

Hepatobiliary D isorders: Rare: hepatitis

Metabolism and N utrition D isorders: Frequent : decreased appetite; Rare : hyponatremia

Musculoskeletal and C onnective T issue D isorders: Rare : rhabdomyolysis

Nervous S ystem D isorders: Rare : ischemic stroke

Psychiatric D isorders: Infrequent: suicide ideation; Rare : completed suicide , suicide attempts  

Renal and U rinary D isorders: Infrequent : pollakiuria

Skin and S ubcutaneous T issue D isorders: Infrequent: hyperhidrosis

Pediatric Patients with Schizophrenia (13 to 17 years of age) or Bipolar Mania/Mixed Episodes (10 to 17 years of age)

In a long-term open-label study, safety was assessed in 164 pediatric patients with schizophrenia or bipolar I disorder, of whom 72 received VRAYLAR for at least 6 months. Adverse reactions reported in clinical studies for this age group were generally similar to those observed in adult patients.

6.2

The following adverse reaction has been identified during post approval use of VRAYLAR. Because these reactions are reported voluntarily from a population of uncertain size, it is not always possible to estimate their frequency or establish a causal relationship to drug exposure.

Skin and Subcutaneous Tissue Disorders – Stevens-Johnson syndrome

8.1

Pregnancy Exposure Registry

There is a pregnancy exposure registry that monitors pregnancy outcomes in women exposed to VRAYLAR during pregnancy. For more information, contact the National Pregnancy Registry for Atypical Antipsychotics at 1-866-961-2388 or visit http://womensmentalhealth.org/clinical-and-research-programs/pregnancyregistry/.

Risk Summary

Neonates exposed to antipsychotic drugs during the third trimester of pregnancy are at risk for extrapyramidal and/or withdrawal symptoms following delivery (see Clinical Considerations). There are no available data on VRAYLAR use in pregnant women to inform any drug-associated risks for birth defects or miscarriage. The major active metabolite of cariprazine, DDCAR, has been detected in adult patients up to 12 weeks after discontinuation of VRAYLAR [see Clinical Pharmacology ( 12.3 )]. 

Based on animal data, VRAYLAR may cause fetal harm.

Administration of cariprazine to rats during the period of organogenesis caused malformations, lower pup survival, and developmental delays at drug exposures less than the human exposure at the maximum recommended human dose (MRHD) of 6 mg/day. However, cariprazine was not teratogenic in rabbits at doses up to 4.6 times the MRHD of 6 mg/day [see Data]

The estimated background risk of major birth defects and miscarriage for the indicated populations is unknown. In the U.S. general population, the estimated background risk of major birth defects and miscarriage in clinically recognized pregnancies is 2-4% and 15-20%, respectively. Advise pregnant women of the potential risk to a fetus.

Clinical Considerations

Fetal/Neonatal Adverse Reactions

Extrapyramidal and/or withdrawal symptoms, including agitation, hypertonia, hypotonia, tremor, somnolence, respiratory distress, and feeding disorder have been reported in neonates whose mothers were exposed to antipsychotic drugs during the third trimester of pregnancy. These symptoms have varied in severity. Some neonates recovered within hours or days without specific treatment; others required prolonged hospitalization. Monitor neonates for extrapyramidal and/or withdrawal symptoms and manage symptoms appropriately.

Data

Animal Data

Administration of cariprazine to pregnant rats during the period of organogenesis at oral doses of 0.5, 2.5, and 7.5 mg/kg/day, which are 0.2 to 3.5 times the maximum recommended human dose (MRHD) of 6 mg/day based on AUC of total cariprazine (i.e. sum of cariprazine, DCAR, and DDCAR), caused fetal developmental toxicity at all doses, which included reduced body weight, decreased male anogenital distance, and skeletal malformations of bent limb bones, scapula, and humerus. These effects occurred in the absence or presence of maternal toxicity. Maternal toxicity, observed as a reduction in body weight and food consumption, occurred at doses 1.2 and 3.5-times the MRHD of 6 mg/day based on AUC of total cariprazine. At these doses, cariprazine caused fetal external malformations (localized fetal thoracic edema), visceral variations (undeveloped/underdeveloped renal papillae and/or distended urethrae), and skeletal developmental variations (bent ribs, unossified sternebrae). Cariprazine had no effect on fetal survival. 

Administration of cariprazine to pregnant rats during pregnancy and lactation at oral doses of 0.1, 0.3, and 1 mg/kg/day, which are 0.03 to 0.4 times the MRHD of 6 mg/day based on AUC of total cariprazine, caused a decrease in postnatal survival, birth weight, and post-weaning body weight of first generation pups at the dose that is 0.4 times the MRHD of 6 mg/day based on AUC of total cariprazine in absence of maternal toxicity. First generation pups also had pale, cold bodies and developmental delays (renal papillae not developed or underdeveloped and decreased auditory startle response in males). Reproductive performance of the first generation pups was unaffected; however, the second generation pups had clinical signs and lower body weight similar to those of the first generation pups.

Administration of cariprazine to pregnant rabbits during the period of organogenesis at oral doses of 0.1, 1, and 5 mg/kg/day, which are 0.02 to 4.6 times the MRHD of 6 mg/day based on AUC of total cariprazine, was not teratogenic. Maternal body weight and food consumption were decreased at 4.6 times the MRHD of 6 mg/day based on AUC of total cariprazine; however, no adverse effects were observed on pregnancy parameters or reproductive organs.

8.2

Risk Summary

Lactation studies have not been conducted to assess the presence of cariprazine in human milk, the effects on the breastfed infant, or the effects on milk production. Cariprazine is present in rat milk. The development and health benefits of breastfeeding should be considered along with the mother’s clinical need for VRAYLAR and any potential adverse effects on the breastfed infant from VRAYLAR or from the underlying maternal condition.

8.4

Schizophrenia

The safety and effectiveness of VRAYLAR for treatment of schizophrenia have been established in pediatric patients 13 years of age and older. Use of VRAYLAR in this population is supported by evidence from adequate and well-controlled studies in adults with schizophrenia, pharmacokinetic data from adults and pediatric patients, and safety data in pediatric patients 13 to 17 years of age [see Warnings and Precautions ( 5.7 ), Adverse Reactions ( 6.1 ), Clinical Pharmacology ( 12.3 )]. The safety and effectiveness of VRAYLAR for the treatment of schizophrenia have not been established in pediatric patients less than 13 years of age.

Manic and Mixed Episodes Associated with Bipolar I Disorder

The safety and effectiveness of VRAYLAR for treatment of manic and mixed episodes associated with bipolar I disorder have been established in pediatric patients 10 years of age and older. Use of VRAYLAR in this population is supported by evidence from adequate and well-controlled studies in adults with manic and mixed episodes associated with bipolar I disorder, pharmacokinetic data from adult and pediatric patients, and safety data in pediatric patients 10 to 17 years of age [see Warnings and Precautions ( 5.7 ), Adverse Reactions ( 6.1 ), Clinical Pharmacology ( 12.3 )]. The safety and effectiveness of VRAYLAR for the treatment of manic and mixed episodes associated with bipolar I disorder have not been established in pediatric patients less than 10 years of age.

Bipolar Depression

The safety and effectiveness of VRAYLAR for treatment of bipolar depression in pediatric patients have not been established.

Adjunctive Therapy for Treatment of MDD

The safety and effectiveness of VRAYLAR as adjunctive therapy for treatment of MDD in pediatric patients have not been established. Antidepressants increased the risk of suicidal thoughts and behaviors in pediatric patients [see Boxed Warning, Warnings and Precautions ( 5.2 )].

Irritability Associated with Autism Spectrum Disorder​

The safety and effectiveness of VRAYLAR for the treatment of irritability associated with autism spectrum disorder in pediatric patients have not been established.

In a single, 8-week, double-blind, placebo-controlled, flexible-dose clinical study conducted in pediatric patients 5 to 17 years of age with irritability associated with autism spectrum disorder diagnosed by the Diagnostic and Statistical Manual of Mental Disorders, 5th Edition [DSM-5] criteria, a total of 161 patients were enrolled, of which 76 patients received cariprazine and 79 received placebo. In this study, patients 5 to 9 years of age who were randomized to active treatment received cariprazine oral solution, which is not an approved formulation. Somnolence, including sedation, occurred in 18% of cariprazine-treated compared to 1% of placebo-treated pediatric patients and was observed at a higher rate than reported in other VRAYLAR studies evaluating adult patients. The mean increase in age-and-sex adjusted body weight z-score from baseline to last visit was 0.2 for cariprazine-treated versus less than 0.1 for placebo-treated pediatric patients. Increases in age- and sex-adjusted body weight z-score of at least 0.5 SD from baseline was higher in cariprazine-treated versus placebo-treated pediatric patients (19% versus 1%). 

In a long term, open-label study in pediatric patients 5 to 17 years of age with irritability associated with autism spectrum disorder, the mean change in weight from baseline to last available visit was 5.3 kg; two patients discontinued due to increased weight. When body weight was adjusted for age and sex, the mean z-score change from baseline to last visit was 0.4 for cariprazine-treated patients, and 32% of patients had an increase in age- and sex-adjusted body weight z-score of at least 0.5 SD from baseline.

Juvenile Animal Studies

Juvenile rats were administered cariprazine at doses of 1, 3 and 10 mg/kg/day by oral gavage from days 28 to 90 of age, followed by an 8-week recovery (non-dosing) period. At 10 mg/kg/day, there were decreases in growth (decreased body weight and bone mass in both sexes and altered bone geometry and size in males), microscopic findings in the lung suggestive of phospholipidosis, and increased motor activity, which persisted following dose cessation. In addition, impaired learning and memory performance was observed during the dosing period, however, this effect did not persist following dose cessation. Microscopic findings in the mammary gland and/or reproductive tract (vagina, uterus and ovary) at ≥1 mg/kg/day and altered findings in the adrenal gland at doses ≥3 mg/kg/day were considered secondary to the increase in prolactin levels and were consistent with findings observed in adult rats. The no observed adverse effect level (NOAEL) was 3 mg/kg/day which is associated with systemic exposures approximately equal to clinical exposures produced at the maximum recommended pediatric dose of 4.5 mg/day based on AUC of total cariprazine.

Juvenile dogs were administered cariprazine at doses of 1, 3 and 6 mg/kg/day by oral gavage from weeks 13 to 39 of age, followed by a 4-week recovery (non-dosing) period. At doses ≥1 mg/kg/day, CNS clinical signs of decreased activity, lack of coordination, and reduced food intake were observed. At doses ≥3 mg/kg/day reversible effects on growth and non-reversible lens opacities/lens degeneration, that were not associated with retinal changes, were observed. The NOAEL was 1 mg/kg/day which is associated with systemic exposures approximately equal to clinical exposures produced at the maximum recommended pediatric dose of 4.5 mg/day based on AUC of total cariprazine.

8.5

Clinical trials of VRAYLAR did not include sufficient numbers of patients aged 65 and older to determine whether or not they respond differently from younger patients. In general, dose selection for an elderly patient should be cautious, usually starting at the low end of the dosing range, reflecting the greater frequency of decreased hepatic, renal, or cardiac function, and of concomitant disease or other drug therapy.

Antipsychotic drugs increase the risk of death in elderly patients with dementia-related psychosis. VRAYLAR is not approved for the treatment of patients with dementia-related psychosis [see Boxed Warning and Warning s and Precautions ( 5.1 , 5.3 ) ].

8.6

No dosage adjustment for VRAYLAR is required in patients with mild to moderate hepatic impairment (Child-Pugh score between 5 and 9) [ see C linical Pharmacology   ( 12.3 ) ]. Usage of VRAYLAR is not recommended in patients with severe hepatic impairment (Child-Pugh score between 10 and 15). VRAYLAR has not been evaluated in this patient population.

8.7

No dosage adjustment for VRAYLAR is required in patients with mild to moderate (CrCL ≥ 30 mL/minute) renal impairment [ see Clinical Pharmacology   ( 12.3 ) ].

Usage of VRAYLAR is not recommended in patients with severe renal impairment (CrCL < 30 mL/minute). VRAYLAR has not been evaluated in this patient population.

8.8

No dosage adjustment is required based on patient’s age, sex, or race. These factors do not affect the pharmacokinetics of VRAYLAR [ see Clinical Pharmacology ( 12.3 ) ].

9.1

VRAYLAR is not a controlled substance.

9.2

VRAYLAR has not been systematically studied in animals or humans for its abuse potential or its ability to induce tolerance.  

9.3

VRAYLAR has not been systematically studied in animals or humans for its potential for physical dependence.

10.1

In pre-marketing clinical trials involving VRAYLAR in approximately 5000 patients or healthy subjects, accidental acute overdosage (48 mg/day) was reported in one patient. This patient experienced orthostasis and sedation. The patient fully recovered the same day.

10.2

No specific antidotes for VRAYLAR are known. In managing overdose, provide supportive care, including close medical supervision and monitoring, and consider the possibility of multiple drug involvement. In case of an overdose, consult a Certified Poison Control Center (1-800-222-1222) for up-to-date guidance and advice. 

12.1

The mechanism of action of cariprazine is unknown. However, the efficacy of cariprazine could be mediated through a combination of partial agonist activity at central dopamine D2 and serotonin 5-HT1A receptors and antagonist activity at serotonin 5-HT2A receptors. Cariprazine forms two major metabolites, desmethylcariprazine (DCAR) and didesmethylcariprazine (DDCAR), that have in vitro receptor binding profiles similar to the parent drug. 

12.2

Cariprazine acts as a partial agonist at the dopamine D3 and D2 receptors with high binding affinity (Ki values 0.085 nM, and 0.49 nM (D2L) and 0.69 nM (D2S), respectively) and at the serotonin 5-HT1A receptors (Ki value 2.6 nM). Cariprazine acts as an antagonist at 5-HT2 B and 5-HT2A receptors with high and moderate binding affinity (Ki values 0.58 nM and 18.8 nM respectively) as well as it binds to the histamine H1 receptors (Ki value  23.2 nM). Cariprazine shows lower binding affinity to the serotonin 5-HT2C and α1 A- adrenergic receptors (Ki values 134 nM and 155 nM, respectively) and has no appreciable affinity for cholinergic muscarinic receptors (IC50>1000 nM).

Effect on QTc Interval

At a dose three times the maximum recommended dose, cariprazine does not prolong the QTc interval to clinically relevant extent.

12.3

VRAYLAR activity is thought to be mediated by cariprazine and its two major active metabolites, desmethylcariprazine (DCAR) and didesmethylcariprazine (DDCAR), which are pharmacologically equipotent to cariprazine.

After multiple dose administration of VRAYLAR, mean cariprazine and DCAR concentrations reached steady state at around Week 1 to Week 2 and mean DDCAR concentrations appeared to be approaching steady state at around Week 4 to Week 8 in a 12-week study (Figure 1). The half-lives based on time to reach steady state, estimated from the mean concentration-time curves, are 2 to 4 days for cariprazine, about 1 to 2 days for DCAR, and approximately 1 to 3 weeks for DDCAR. The time to reach steady state for the major active metabolite DDCAR was variable across patients, with some patients not achieving steady state at the end of the 12 week treatment [ s ee Dosage and Administration ( 2.1 ), Warnings and Precautions ( 5.6 ) ]. Mean concentrations of DCAR and DDCAR are approximately 30% and 400%, respectively, of cariprazine concentrations by the end of 12-week treatment.

After discontinuation of VRAYLAR, cariprazine, DCAR, and DDCAR plasma concentrations declined in a multi-exponential manner. Mean plasma concentrations of DDCAR decreased by about 50% 1 week after the last dose, and mean cariprazine and DCAR concentration dropped by about 50% in about 1 day. There was an approximately 90% decline in plasma exposure within 1 week for cariprazine and DCAR, and at about 4 weeks for DDCAR. Following a single dose of 1 mg of cariprazine administration, DDCAR remained detectable 8 weeks post-dose.

After multiple dosing of VRAYLAR, plasma exposure of cariprazine, DCAR, and DDCAR increases approximately proportionally over the therapeutic dose range.

Figure 1 . Plasma Concentration (Mean ± SE) -Time Profile During and Following  

12-weeks of Treatment with Cariprazine 6 mg/day a

a Trough concentrations shown during treatment with cariprazine 6 mg/day.

  SE: standard error; TOTAL CAR: sum concentration of cariprazine, DCAR and DDCAR; CAR: cariprazine

Absorption  

After single dose administration of VRAYLAR, the peak plasma cariprazine concentration occurred in approximately 3-6 hours.  

Administration of a single dose of 1.5 mg VRAYLAR capsule with a high-fat meal did not significantly affect the Cmax and AUC of cariprazine or DCAR.

Distribution

Cariprazine and its major active metabolites are highly bound (91 to 97%) to plasma proteins.

Elimination

      Metabolism

      Cariprazine is extensively metabolized by CYP3A4 and, to a lesser extent, by CYP2D6 to DCAR and DDCAR. DCAR is further metabolized into DDCAR by CYP3A4 and CYP2D6. DDCAR is then metabolized by CYP3A4 to a hydroxylated metabolite.

      Excretion

      Following administration of 12.5 mg/day cariprazine to patients with schizophrenia for 27 days, about 21% of the daily dose was found in urine, with approximately 1.2% of the daily dose excreted in urine as unchanged cariprazine. 

Studies in Specific Populations

Patients with Hepatic Impairment

Compared to healthy subjects, exposure (Cmax and AUC) in patients with either mild or moderate hepatic impairment (Child-Pugh score between 5 and 9) was approximately 25% higher for cariprazine and 20% to 30% lower for the major metabolites (DCAR and DDCAR) following daily doses of 0.5 mg cariprazine for 14 days [ see Use in Specific Populations ( 8.6 )].

Patients with Renal Impairment

Cariprazine and its major active metabolites are minimally excreted in urine. Pharmacokinetic analyses indicated no significant relationship between plasma clearance and creatinine clearance [see Use in Specific Populations ( 8.7 )].

CYP2D6 Poor Metabolizers

CYP2D6 poor metabolizer status does not have clinically relevant effect on pharmacokinetics of cariprazine, DCAR, or DDCAR.

Age , Sex, Race

Age, sex, or race does not have clinically relevant effect on pharmacokinetics of cariprazine, DCAR, or DDCAR in adult population.

Pediatric

Pharmacokinetics of cariprazine, DCAR, or DDCAR have been evaluated in pediatric patients (10 to 17 years of age) administered cariprazine (0.5 mg to 6 mg). Population PK analysis indicated steady-state systemic exposures (Cmax and AUCtau) of total cariprazine were up to 32% and 33% higher, respectively, in pediatric patients 10 to 12 years of age, and up to 10% and 11% higher, respectively, in pediatric patients 13 to 17 years of age, respectively, than those in adult patients receiving the same dose. 

Drug Interaction Studies

In vitro studies

Cariprazine and its major active metabolites did not induce CYP1A2 and CYP3A4 enzymes and were weak inhibitors of CYP1A2, CYP2C9, CYP2D6, and CYP3A4 in vitro. Cariprazine was also a weak inhibitor of CYP2C19, CYP2A6, and CYP2E1 in vitro.

Cariprazine and its major active metabolites are not substrates of P-glycoprotein (P-gp), the organic anion transporting polypeptides 1B1 and 1B3 (OATP1B1 and OATP1B3), or the breast cancer resistance protein (BCRP). 

Cariprazine and its major active metabolites were poor or non-inhibitors of transporters OATP1B1, OATP1B3, BCRP, organic cation transporter 2 (OCT2), and organic anion transporters 1 and 3 (OAT1 and OAT3) in vitro. The major active metabolites were also poor or non-inhibitors of transporter P-gp although cariprazine was probably a P-gp inhibitor based on the theoretical GI concentrations at high doses in vitro.

Based on in vitro studies, VRAYLAR is unlikely to cause clinically significant pharmacokinetic drug interactions with substrates of CYP1A2, CYP2A6, CYP2C9, CYP2C19, CYP2D6, CYP2E, and CYP3A4, or OATP1B1, OATP1B3, BCRP, OCT2, OAT1 and OAT3.

In vivo studies and Model-based Approaches

CYP3A4 inhibitors

In the clinical drug-drug interaction studies, co-administration of ketoconazole (400 mg/day for four days), a strong CYP3A4 inhibitor, with VRAYLAR (0.5 mg/day) increased total cariprazine (the sum of cariprazine, DCAR and DDCAR) Cmax and AUC0-24h by approximately 100%. Co-administration of erythromycin (500 mg twice daily for 21 days), a moderate CYP3A4 inhibitor, with VRAYLAR (1.5 mg/day) increased total cariprazine Cmax and AUC0-24h by approximately 50%. 

Physiologically based pharmacokinetic model-based analyses suggest that co-administration of ketoconazole (400 mg/day) with VRAYLAR (0.5 mg/day) at steady state is predicted to result in up to about 5.5-fold and 6-fold increase in Cmax and AUC0-24h, respectively, of total cariprazine. Co-administration of fluconazole (200 mg/day), a moderate CYP3A inhibitor, with VRAYLAR (0.5 mg/day) at steady state is predicted to result in up to about 3-fold increase in Cmax and AUC0-24h of total cariprazine.

CYP3A4 inducers

CYP3A4 is responsible for the formation and elimination of the active metabolites of cariprazine. The effect of CYP3A4 inducers on the plasma exposure of cariprazine and its major active metabolites has not been evaluated, and the net effect is unclear.

CYP2D6 inhibitors

CYP2D6 inhibitors are not expected to influence pharmacokinetics of cariprazine, DCAR, or DDCAR based on the observations in CYP2D6 poor metabolizers. 

Proton pump inhibitors

Co-administration of pantoprazole (40 mg/day), a proton pump inhibitor, with VRAYLAR (6 mg/day) in patients with schizophrenia for 15 days did not affect cariprazine exposure at steady-state, based on Cmax and AUC0-24.  Similarly, no significant change in exposure to DCAR and DDCAR was observed.

13.1

Carcinogenesis

There was no increase in the incidence of tumors following daily oral administration of cariprazine to rats for 2 years and to Tg.rasH2 mice for 6 months at doses which are up to 4 and 19 times respectively, the MRHD of 6 mg/day based on AUC of total cariprazine, (i.e. sum of AUC values of cariprazine, DCAR and DDCAR). 

Rats were administered cariprazine at oral doses of 0.25, 0.75, and 2.5 (males)/1, 2.5, and 7.5 mg/kg/day (females) which are 0.2 to 1.8 (males)/ 0.8 to 4.1 (females) times the MRHD of 6 mg/day based on AUC of total cariprazine. 

Tg.rasH2 mice were administered cariprazine at oral doses of 1, 5, and 15 (males)/5, 15, and 50 mg/kg/day (females) which are 0.2 to 7.9 (males)/2.6 to 19 (females) times the MRHD of 6 mg/day based on AUC of total cariprazine. 

Mutagenesis

Cariprazine was not mutagenic in the in vitro bacterial reverse mutation assay, nor clastogenic in the in vitro human lymphocyte chromosomal aberration assay or in the in vivo mouse bone marrow micronucleus assay.  However, cariprazine increased the mutation frequency in the in vitro mouse lymphoma assay under conditions of metabolic activation. The major human metabolite DDCAR was not mutagenic in the in vitro bacterial reverse mutation assay, however, it was clastogenic and induced structural chromosomal aberration in the in vitro human lymphocyte chromosomal aberration assay.

Impairment of Fertility

Cariprazine was administered orally to male and female rats before mating, through mating, and up to day 7 of gestation at doses of 1, 3, and 10 mg/kg/day which are 1.6 to 16 times the MRHD of 6 mg/day based on mg/m2. In female rats, lower fertility and conception indices were observed at all dose levels which are equal to or higher than 1.6 times the MRHD of 6 mg/day based on mg/m2. No effects on male fertility were noted at any dose up to 4.3 times the MRHD of 6 mg/day based on AUC of total cariprazine.

13.2

Cariprazine caused bilateral cataract and cystic degeneration of the retina in the dog following oral daily administration for 13 weeks and/or 1 year and retinal degeneration/atrophy in the rat following oral daily administration for 2 years. Cataract in the dog was observed at 4 mg/kg/day which is 7.1 (male) and 7.7 (female) times the MRHD of 6 mg/day based on AUC of total cariprazine. The NOEL for cataract and retinal toxicity in the dog is 2 mg/kg/day which is 5 (males) to 3.6 (females) times the MRHD of 6 mg/day based on AUC of total cariprazine. Increased incidence and severity of retinal degeneration/atrophy in the rat occurred at all doses tested, including the low dose of 0.75 mg/kg/day, at total cariprazine plasma levels less than clinical exposure (AUC) at the MRHD of 6 mg/day. Cataract was not observed in other repeat dose studies in pigmented mice or albino rats.

Phospholipidosis was observed in the lungs of rats, dogs, and mice (with or without inflammation) and in the adrenal gland cortex of dogs at clinically relevant exposures (AUC) of total cariprazine. Phospholipidosis was not reversible at the end of the 1-2 month drug-free periods. Inflammation was observed in the lungs of dogs dosed daily for 1 year with a NOEL of 1 mg/kg/day which is 2.7 (males) and 1.7 (females) times the MRHD of 6 mg/day based on AUC of total cariprazine. No inflammation was observed at the end of 2-month drug free period following administration of 2 mg/kg/day which is 5 (males) and 3.6 (females) times the MRHD of 6 mg/day based on AUC of total cariprazine; however, inflammation was still present at higher doses.

Hypertrophy of the adrenal gland cortex was observed at clinically relevant total cariprazine plasma concentrations in rats (females only) and mice following daily oral administration of cariprazine for 2 years and 6 months, respectively.  Reversible hypertrophy/hyperplasia and vacuolation/vesiculation of the adrenal gland cortex were observed following daily oral administration of cariprazine to dogs for 1 year. The NOEL was 2 mg/kg/day which is 5 (males) and 3.6 (females) times the MRHD of 6 mg/day based on AUC of total cariprazine. The relevance of these findings to human risk is unknown.

14.1

The efficacy of VRAYLAR for the treatment of schizophrenia in adult patients was established in three, 6-week, randomized, double-blind, placebo-controlled trials in patients (mean age of 37 years, aged 18 to 60 years; 31% were female; and 45% were Caucasian) who met Diagnostic and Statistical Manual of Mental Disorders 4th edition, Text Revision (DSM-IV-TR) criteria for schizophrenia. An active control arm (risperidone or aripiprazole) was included in two trials to assess assay sensitivity. In all three trials, VRAYLAR was superior to placebo.

Positive and Negative Syndrome Scale (PANSS) and Clinical Global Impressions-Severity (CGI-S) rating scales were used as the primary and secondary efficacy measures, respectively, for assessing psychiatric signs and symptoms in each trial:

  • PANSS is a 30-item scale that measures positive symptoms of schizophrenia (7 items), negative symptoms of schizophrenia (7 items), and general psychopathology (16 items), each rated on a scale of 1 (absent) to 7 (extreme). The PANSS total score may range from 30 to 210 with the higher score reflecting greater severity.  

  • The CGI-S is a validated clinician-related scale that measures the patient’s current illness state and overall clinical state on a 1 (normal, not at all ill) to 7-point (extremely ill) scale.

In each study, the primary endpoint was change from baseline in PANSS total score at the end of week 6. The change from baseline for VRAYLAR and active control groups was compared to placebo. The results of the trials are shown in Table 16. The time course of efficacy results of Study 2 is shown in Figure 2.

Study 1: In a 6-week, placebo-controlled trial (N = 711) involving three fixed doses of VRAYLAR (1.5, 3, or 4.5 mg/day) and an active control (risperidone), all VRAYLAR doses and the active control were superior to placebo on the PANSS total score and the CGI-S.

Study 2: In a 6-week, placebo-controlled trial (N = 604) involving two fixed doses of VRAYLAR (3 or 6 mg/day) and an active control (aripiprazole), both VRAYLAR doses and the active control were superior to placebo on the PANSS total score and the CGI-S.

Study 3: In a 6-week, placebo-controlled trial (N = 439) involving two flexible-dose range groups of VRAYLAR (3 to 6 mg/day or 6 to 9 mg/day), both VRAYLAR groups were superior to placebo on the PANSS total score and the CGI-S.

The efficacy of VRAYLAR was demonstrated at doses ranging from 1.5 to 9 mg/day compared to placebo. There was, however, a dose-related increase in certain adverse reactions, particularly above 6 mg. Therefore, the maximum recommended dose is 6 mg/day.

Examination of population subgroups based on age (there were few patients over 55), sex, and race did not suggest any clear evidence of differential responsiveness.

Table 16. Primary Analysis Results from Schizophrenia Trials
Study

Number
Treatment Group

(# ITT patients )
Primary Efficacy Endpoint: PANSS Total
Mean

Baseline

Score (SD)
LS Mean

Change from

Baseline (SE)
Placebo-subtracted

Difference a (95% CI)
Study 1 VRAYLAR (1.5 mg/day)* (n=140) 97.1 (9.1) -19.4 (1.6) -7.6 (-11.8, -3.3)
VRAYLAR (3 mg/day)*

(n=140)
97.2 (8.7) -20.7 (1.6) -8.8 (-13.1, -4.6)
VRAYLAR (4.5 mg/day)*

(n=145)
96.7 (9.0) -22.3 (1.6) -10.4 (-14.6, -6.2)
Placebo

(n=148)
97.3 (9.2) -11.8 (1.5) --
Study 2 VRAYLAR (3 mg/day)* (n=151) 96.1 (8.7) -20.2 (1.5) -6.0 (-10.1, -1.9)
VRAYLAR (6 mg/day)*

(n=154)
95.7 (9.4) -23.0 (1.5) -8.8 (-12.9, -4.7)
Placebo

(n=149)
96.5 (9.1) -14.3 (1.5) --
Study 3 VRAYLAR (3-6 mg/day)*

(n=147)
96.3 (9.3) -22.8 (1.6) -6.8 (-11.3, -2.4)
VRAYLAR (6-9 mg/day)*b

(n=147)
96.3 (9.0) -25.9 (1.7) -9.9 (-14.5, -5.3)
Placebo

(n=145)
96.6 (9.3) -16.0 (1.6) --
ITT: intent-to-treat; SD: standard deviation; SE: standard error; LS Mean: least-squares mean; CI: unadjusted confidence interval

aDifference (drug minus placebo) in least-squares mean change from baseline

*Doses that are statistically significantly superior to placebo

bThe maximum recommended daily dose is 6 mg. Doses above 6 mg daily do not confer increased effectiveness sufficient to outweigh dose-related adverse reactions.

Figure 2 . Change from Baseline in PANSS total score by   w eekly visits (Study 2)

The safety and efficacy of VRAYLAR as maintenance treatment in adult patients with schizophrenia were demonstrated in a randomized withdrawal trial that included 200 patients meeting DSM-IV criteria for schizophrenia who were clinically stable following 20 weeks of open-label cariprazine at doses of 3 to 9 mg/day. Patients were randomized to receive either placebo or cariprazine at the same dose for up to 72 weeks for observation of relapse.  The primary endpoint was time to relapse.  Relapse during the double-blind phase (DBP) was defined as meeting any one of the following criteria: hospitalization due to worsening of schizophrenia, increase in the PANSS total score by ≥ 30%, increase in CGI-S score by ≥ 2 points, deliberate self-injury, aggressive or violent behavior, clinically significant suicidal or homicidal ideation, or score >4 on one or more of the following PANSS items: delusions (P1), conceptual disorganization (P2), hallucination (P3), suspiciousness or persecution (P6), hostility (P7), uncooperativeness (G8), or poor impulse control (G14).

The efficacy of VRAYLAR was demonstrated at doses ranging from 3 to 9 mg/day compared to placebo. There was, however, a dose-related increase in certain adverse reactions, particularly above 6 mg. Therefore, the maximum recommended dose is 6 mg/day. 

The Kaplan-Meier curves of the time to relapse during the double-blind, placebo-controlled, randomized withdrawal phase of the long-term trial are shown in Figure 3. Time to relapse was statistically significantly longer in the VRAYLAR-treated group compared to the placebo group.

Figure 3 . Kaplan-Meier Curves of Cumulative Rate of Relapse During the Double-Blind   Treatment Period

DB = double-blind

*The maximum recommended daily dose is 6 mg. Doses above 6 mg daily do not confer increased effectiveness sufficient to outweigh dose-related adverse reactions.

14.2

The efficacy of VRAYLAR in the acute treatment of bipolar mania in adult patients was established in three, 3-week placebo-controlled trials in patients (mean age of 39 years, range 18 to 65 years; 40% were female; and 48% were Caucasian) who met DSM-IV-TR criteria for bipolar 1 disorder with manic or mixed episodes with or without psychotic features. In all three trials, VRAYLAR was superior to placebo.

Young Mania Rating Scale (YMRS) and Clinical Global Impressions-Severity scale (CGI-S) were used as the primary and secondary efficacy measures, respectively, for assessing psychiatric signs and symptoms in each trial:

  • The YMRS is an 11-item clinician-rated scale traditionally used to assess the degree of manic symptomatology. YMRS total score may range from 0 to 60 with a higher score reflecting greater severity.

  • The CGI-S is validated clinician-related scale that measures the patient’s current illness state and overall clinical state on a 1 (normal, not at all ill) to 7-point (extremely ill) scale. 

In each study, the primary endpoint was decrease from baseline in YMRS total score at the end of week 3. The change from baseline for each VRAYLAR dose group was compared to placebo. The results of the trials are shown in Table 17. The time course of efficacy results is shown in Figure 4.

Study 4: In a 3-week, placebo-controlled trial (N = 492) involving two flexible-dose range groups of VRAYLAR (3 to 6 mg/day or 6 to 12 mg/day), both VRAYLAR dose groups were superior to placebo on the YMRS total score and the CGI-S. The 6 to 12 mg/day dose group showed no additional advantage.

Study 5: In a 3-week, placebo-controlled trial (N = 235) involving a flexible-dose range of VRAYLAR (3 to 12 mg/day), VRAYLAR was superior to placebo on the YMRS total score and the CGI-S. 

Study 6: In a 3-week, placebo-controlled trial (N = 310) involving a flexible-dose range of VRAYLAR (3 to 12 mg/day), VRAYLAR was superior to placebo on the YMRS total score and the CGI-S. 

The efficacy of VRAYLAR was established at doses ranging from 3 to 12 mg/day. Doses above 6 mg did not appear to have additional benefit over lower doses (Table 17), and there was a dose-related increase in certain adverse reactions. Therefore, the maximum recommended dose is 6 mg/day.

Examination of population subgroups based on age (there were few patients over 55), sex, and race did not suggest any clear evidence of differential responsiveness.

Table 17. Primary Analysis Results from Manic or Mixed Episodes Associated with Bipolar I Disorder Trials
Study

Number
Treatment Group

(# ITT patients )
Primary Efficacy Endpoint: YMRS Total
Mean

Baseline

Score (SD)
LS Mean

Change from

Baseline (SE)
Placebo-subtracted

Difference a (95% CI)
Study 4 VRAYLAR (3-6 mg/day)*

(n=165)
33.2 (5.6) -18.6 (0.8) -6.1 (-8.4, -3.8)
VRAYLAR (6-12 mg/day)*b

(n=167)
32.9 (4.7) -18.5 (0.8) -5.9 (-8.2, -3.6)
Placebo

(n=160)
32.6 (5.8) -12.5 (0.8) --
Study 5  VRAYLAR (3-12 mg/day)*b

(n=118)
30.6 (5.0) -15.0 (1.1) -6.1 (-8.9, -3.3)
Placebo

(n=117)
30.2 (5.2) -8.9 (1.1) --
Study 6  VRAYLAR (3-12 mg/day)*b

(n=158)
32.3 (5.8) -19.6 (0.9) -4.3 (-6.7, -1.9)
Placebo

(n=152)
32.1 (5.6) -15.3 (0.9) --
ITT: intent-to-treat; SD: standard deviation; SE: standard error; LS Mean: least-squares mean; CI: unadjusted confidence interval

aDifference (drug minus placebo) in least-squares mean change from baseline

*Doses that are statistically significantly superior to placebo

bThe maximum recommended daily dose is 6 mg. Doses above 6 mg daily do not confer increased effectiveness sufficient to outweigh dose-related adverse reactions.

Figure 4 .   Change from Baseline in YMRS t otal s core by s tudy v isit (Study 4 )

* The maximum recommended daily dose is 6 mg. Doses above 6 mg daily do not confer increased effectiveness sufficient to outweigh dose-related adverse reactions.

14.3

The efficacy of VRAYLAR in the treatment of depressive episodes associated with bipolar I disorder (bipolar depression) in adult patients was established in one 8-week and two 6-week placebo-controlled trials in patients (mean age of 43 years, range 18 to 65 years; 61% were female; and 75% were Caucasian) who met DSM-IV-TR or DSM-5 criteria for depressive episodes associated with bipolar I disorder.

In each study, the primary endpoint was change from baseline in Montgomery-Asberg Depression Rating Scale (MADRS) total score at the end of Week 6. The MADRS is a 10-item clinician-rated scale with total scores ranging from 0 (no depressive features) to 60 (maximum score). The MADRS total score change from baseline for VRAYLAR compared to placebo is shown in Table 18. The time course of efficacy results of Study 8 is shown in Figure 5. In each study, the VRAYLAR 1.5 mg dose demonstrated statistical significance over placebo. The secondary endpoint was change from baseline to Week 6 in CGI-S. The CGI-S is validated clinician-related scale that measures the patient’s current illness state and overall clinical state on a 1 (normal, not at all ill) to 7-point (extremely ill) scale.  

Study 7: In an 8-week, placebo-controlled trial (N = 571) involving three-fixed doses of VRAYLAR (0.75 mg/day, 1.5 mg/day, and 3 mg/day), VRAYLAR 1.5 mg was superior to placebo at end of Week 6 on the MADRS total score and the CGI-S.

Study 8: In a 6-week, placebo-controlled trial (N = 474) involving two-fixed doses of VRAYLAR (1.5 mg/day and 3 mg/day), VRAYLAR 1.5 mg and 3 mg were superior to placebo at end of Week 6 on the MADRS total score.

Study 9: In a 6-week, placebo-controlled trial (N = 478) involving two-fixed doses of VRAYLAR (1.5 mg/day and 3 mg/day), VRAYLAR 1.5 mg was superior to placebo at end of Week 6 on the MADRS total score and the CGI-S.

Examination of population subgroups based on age (there were few patients over 55), sex, and race did not suggest any clear evidence of differential responsiveness.

Table 1 8 . Primary Analysis Results from Bipolar Depression Trials
Study Number Treatment Group

(# ITT patients)
Primary Efficacy Endpoint: MADRS Total
Mean

Baseline

Score (SD)
LS Mean

Change

from

Baseline

(SE)
Placebo-subtracted

Difference a (95% CI)
Study 7 VRAYLAR (1.5 mg/day)* (n=145)

VRAYLAR (3 mg/day)

(n=145)

Placebo

(n=141)


30.3 (4.4)



30.6 (4.7)



30.4 (4.6)


-15.1 (0.8)



-13.7 (0.9)



-11.1 (0.9)


-4.0 (-6.3, -1.6)



-2.5 (-4.9, -0.1)
Study 8 VRAYLAR (1.5 mg/day)* (n=154) 30.7 (4.3) -15.1 (0.8) -2.5 (-4.6, -0.4)
VRAYLAR (3 mg/day)*

(n=164)
31.0 (4.9) -15.6 (0.8) -3.0 (-5.1, -0.9)
Placebo

(n=156)
30.2 (4.4) -12.6 (0.8)
Study 9 VRAYLAR (1.5 mg/day)*

(n=162)
31.5 (4.3) -14.8 (0.8) -2.5 (-4.6, -0.4)
VRAYLAR (3 mg/day)

(n=153)
31.5 (4.8) -14.1 (0.8) -1.8 (-3.9, 0.4)
Placebo

(n=163)
31.4 (4.5) -12.4 (0.8)
ITT: intent-to-treat; SD: standard deviation; SE: standard error; LS Mean: least-squares mean; CI: confidence interval

aDifference (drug minus placebo) in least-squares mean change from baseline

*Doses that are statistically significantly superior to placebo

Figure 5. LS Mean* Change from Baseline in MADRS Total Score by Visits (Study 8)

*LS Mean: least-squares mean

16.1

VRAYLAR (cariprazine) capsules are supplied as follows:

Capsule

Strength
Imprint

Codes
Capsule Color Package Configuration NDC Code
0.5 mg FL 0.5 Ivory to yellow cap

and grey to green

body
Bottle of 30 61874-250-30
0.75 mg FL 0.75 Grey to green

cap and

blue body
Bottle of 30 61874-275-30
1.5 mg FL 1.5 White cap

and body
Blister pack of 7 61874-115-17
Bottle of 30 61874-115-30
Bottle of 90 61874-115-90
Box of 20 (Hospital Unit Dose) 61874-115-20
3 mg FL 3 Green to blue-green cap and white body Bottle of 30 61874-130-30
Bottle of 90 61874-130-90
Box of 20 (Hospital Unit Dose) 61874-130-20
4.5 mg FL 4.5 Green to blue-green cap and body Bottle of 30 61874-145-30
Bottle of 90 61874-145-90
       
6 mg FL 6 Purple cap and

white body
Bottle of 30 61874-160-30
Bottle of 90 61874-160-90
       
(1) 1.5 mg,

(6) 3 mg
FL 1.5,

FL 3
Mixed Blister pack of 7 61874-170-08
16.2

Store at 20ºC to 25°C (68ºF to 77°F); excursions permitted between 15°C and 30°C (59°F and 86°F) [see USP Controlled Room Temperature]. Protect 3 mg and 4.5 mg capsules from light to prevent potential color fading.

Section 42231-1 (42231-1)
MEDICATION GUIDE

VRAYLAR® (VRAY-lar)

(cariprazine)

capsules
What is the most important information I should know about VRAYLAR?

VRAYLAR may cause serious side effects, including: 

  • Increased risk of death in elderly people with dementia related psychosis. Medicines like VRAYLAR can raise the risk of death in elderly who have lost touch with reality (psychosis) due to confusion and memory loss (dementia). VRAYLAR is not approved for the treatment of patients with dementia-related psychosis.

  • Increased risk of suicidal thoughts and actions. VRAYLAR and antidepressant medicines increase the risk of suicidal thoughts or actions in people 24 years of age and younger especially within the first few months of treatment or when the dose is changed.

    ○ Depression and other mental illnesses are the most important causes of suicidal thoughts and actions.
How can I watch for and try to prevent suicidal thoughts and actions in myself or a family member?

  ○ Pay close attention to any changes, especially sudden changes in mood, behaviors, thoughts, or feelings. This is very important when VRAYLAR or the antidepressant medicine is started or when the dose is changed.

  ○ Call the healthcare provider right away to report new or sudden changes in mood, behavior, thoughts, or feelings, or if you develop suicidal thoughts or actions.

  ○ Keep all follow-up visits with the healthcare provider as scheduled. Call the healthcare provider between visits as needed, especially if you have concerns about symptoms.

Call a healthcare provider right away if you or your family member has any of the following symptoms, especially if they are new, worse, or worry you:
  • thoughts about suicide or dying
  • suicide attempts
  • new or worse depression
  • new or worse anxiety
  • feeling very agitated or restless
  • panic attacks
  • trouble sleeping (insomnia)
  • new or worse irritability
  • acting aggressive, being angry, or violent
  • acting on dangerous impulses
  • an extreme increase in activity and talking

  • (mania)
See “What are the possible side effects of   VRAYLAR?” for more information about side effects.
  • other unusual changes in behavior or mood
What is VRAYLAR?

VRAYLAR is a prescription medicine used:

  • to treat schizophrenia in adults and children ages 13 years and older

  • to treat short-term (acute) manic or mixed episodes that happen with bipolar I disorder in adults and children ages 10 years and older

  • to treat depressive episodes that happen with bipolar I disorder (bipolar depression) in adults

  • along with antidepressant medicines to treat major depressive disorder (MDD) in adults
It is not known if VRAYLAR is safe and effective to treat children:

  • under 13 years of age with schizophrenia

  • under 10 years of age with manic or mixed episodes that happen with bipolar I disorder

  • with bipolar depression

  • along with antidepressant medicines to treat MDD 
Who should not take VRAYLAR?

Do not take VRAYLAR if you are allergic to cariprazine. See the end of this Medication Guide for a complete list of ingredients in VRAYLAR.
Before taking VRAYLAR, tell your healthcare provider about all of your medical conditions, including if you:

  • have or had heart problems or a stroke

  • have or  had low or high blood pressure

  • have or had diabetes or high blood sugar, or a family history of diabetes or high blood sugar

  • have or had high levels of total cholesterol, LDL cholesterol, or triglycerides or low levels of HDL cholesterol

  • have or had seizures (convulsions)

  • have or had kidney or liver problems

  • have or had a low white blood cell count

  • are pregnant or plan to become pregnant. VRAYLAR may harm your unborn baby. Taking VRAYLAR during your third trimester of pregnancy may cause your baby to have abnormal muscle movements or withdrawal symptoms after birth. Talk to your healthcare provider about the risk to your unborn baby if you take VRAYLAR during pregnancy.

    ○ Tell your healthcare provider if you become pregnant or think you are pregnant during treatment with VRAYLAR.

    ○ There is a pregnancy exposure registry for women who are exposed to VRAYLAR during pregnancy. If you become pregnant during treatment with VRAYLAR, talk to your healthcare provider about registering with the National Pregnancy Registry for Atypical Antipsychotics. You can register by calling 1-866-961-2388 or go to http://womensmentalhealth.org/clinical-and-research-programs/pregnancyregistry/.

  • are breastfeeding or plan to breastfeed. It is not known if VRAYLAR passes into your breast milk. Talk to your healthcare provider about the best way to feed your baby during treatment with VRAYLAR.
Tell your healthcare provider about all the medicines you take, including prescription and over-the-counter medicines, vitamins, and herbal supplements.

VRAYLAR and other medicines may affect each other causing possible serious side effects. VRAYLAR may affect the way other medicines work, and other medicines may affect how VRAYLAR works.

Your healthcare provider can tell you if it is safe to take VRAYLAR with your other medicines. Do not start or stop any medicines while taking VRAYLAR without talking to your healthcare provider first.

Know the medicines you take. Keep a list of your medicines to show your healthcare provider and pharmacist when you get a new medicine.
How should I take VRAYLAR?
  • Take VRAYLAR exactly as your healthcare provider tells you to take it. Do not change the dose or stop taking VRAYLAR without first talking to your healthcare provider.

  • Take VRAYLAR 1 time each day with or without food.

  • If you take too much VRAYLAR, call your healthcare provider or Poison Control Center at 1-800-222-1222 or go to the nearest hospital emergency room, right away.
What should I avoid while taking VRAYLAR?
  • Do not drive, operate machinery, or do other dangerous activities until you know how VRAYLAR affects you. VRAYLAR may make you drowsy.

  • Do not become too hot or dehydrated during treatment with VRAYLAR.

    ○ Do not exercise too much.

    ○ In hot weather, stay inside in a cool place if possible.

    ○ Stay out of the sun.

    ○ Do not wear too much clothing or heavy clothing.

    ○ Drink plenty of water.
What are the possible side effects of VRAYLAR?

VRAYLAR may cause serious side effects, including:
  • See “What is the most important information I should know about VRAYLAR?”

  • Stroke (cerebrovascular problems) in elderly people with dementia-related psychosis that can lead to death.

  • Neuroleptic malignant syndrome (NMS) is a serious condition that can lead to death. Call your healthcare provider or go to the nearest hospital emergency room right away if you have some or all of the following signs and symptoms of NMS:
      ○ high fever ○ stiff muscles
      ○ confusion ○ increased sweating
      ○ changes in your breathing, heart rate, and blood pressure
  • Uncontrolled body movements (tardive dyskinesia). VRAYLAR may cause movements that you cannot control in your face, tongue, or other body parts. Tardive dyskinesia may not go away, even if you stop taking VRAYLAR. Tardive dyskinesia may also start after you stop taking VRAYLAR.

  • Late occurring side effects. VRAYLAR stays in your body for a long time. Some side effects may not happen right away and can start a few weeks after you start taking VRAYLAR, or if your dose of VRAYLAR increases. Your healthcare provider should monitor you for side effects for several weeks after you start and after any increase in your dose of VRAYLAR.

  • Problems with your metabolism such as:

    high blood sugar (hyperglycemia) and diabetes. Increases in blood sugar can happen in some people who take VRAYLAR. Extremely high blood sugar can lead to coma or death. Your healthcare provider should check your blood sugar before you start, or soon after you start VRAYLAR, and then regularly during long-term treatment with VRAYLAR.
       Call your healthcare provider if you have any of these symptoms of high blood sugar during treatment with VRAYLAR:

      • feel very thirsty        • need to urinate more than usual

      • feel very hungry        • feel weak or tired

      • feel sick to your stomach         • feel confused, or your breath smells fruity







  • increased fat levels (cholesterol and triglycerides) in your blood. Your healthcare provider should check the fat levels in your blood before you start, or soon after you start VRAYLAR, and then periodically during treatment with VRAYLAR.

  • w eight gain. You and your healthcare provider should check your weight before you start and often during treatment with VRAYLAR.
  • Low white blood cell count. Your healthcare provider may do blood tests during the first few months of treatment with VRAYLAR.

  • Decreased blood pressure (orthostatic hypotension). You may feel lightheaded or faint when you rise too quickly from a sitting or lying position.

  • Falls. VRAYLAR may make you sleepy or dizzy, may cause a decrease in your blood pressure when changing position (orthostatic hypotension), and can slow your thinking and motor skills which may lead to falls that can cause fractures or other injuries.

  • Seizures (convulsions). 

  • Sleepiness, drowsiness, f eeling tired, difficulty thinking and doing normal activities. See “What should I avoid while taking VRAYLAR?”

  • Problems controlling your body temperature so that you feel too warm. See “What should I avoid while taking VRAYLAR?”

  • Difficulty swallowing that can cause food or liquid to get into your lungs.
The most common side effects of VRAYLAR include: difficulty moving or slow movements, tremors, uncontrolled body movements, restlessness and feeling like you need to move around, sleepiness, nausea, vomiting, indigestion, constipation, feeling tired, trouble sleeping, increased appetite, and dizziness

These are not all the possible side effects of VRAYLAR. 

Call your doctor for medical advice about side effects. You may report side effects to FDA at 1-800-FDA-1088.
How should I store VRAYLAR?

  • Store VRAYLAR at room temperature, between 68°F to 77°F (20°C to 25°C).

  • Protect 3 mg and 4.5 mg capsules from light to help prevent potential color fading.
Keep VRAYLAR and all medicines out of the reach of children.
General information about the safe and effective use of VRAYLAR.

Medicines are sometimes prescribed for purposes other than those listed in a Medication Guide. Do not use VRAYLAR for a condition for which it was not prescribed. Do not give VRAYLAR to other people, even if they have the same symptoms that you have. It may harm them. You can ask your pharmacist or healthcare provider for information about VRAYLAR that is written for health professionals.
What are the ingredients in VRAYLAR?

Active ingredient: cariprazine

Inactive ingredients: gelatin, magnesium stearate, pregelatinized starch, shellac, and titanium dioxide.

Colorants include: black iron oxide, FD&C Blue 1, FD&C Red 3, FD&C Red 40, or yellow iron oxide.

Manufactured by: Forest Laboratories Ireland Limited, Dublin, IE.

Distributed by: AbbVie Inc. North Chicago, IL 60064, USA

©2025 AbbVie. All rights reserved.

VRAYLAR and its design are trademarks of Allergan Pharmaceuticals International Limited, an AbbVie company.

For more information, go to www.VRAYLAR.com or call 1-800-678-1605.

This Medication Guide has been approved by the U.S. Food and Drug Administration.       Revised 12/2025 

20093086

Section 43683-2 (43683-2)
Indications and Usage (1) 12/2025
Dosage and Administration (2.2 , 2.3 , 2.6) 12/2025
Warnings and Precautions, Metabolic Changes (5.7) 12/2025
Principal Display Panel (PRINCIPAL DISPLAY PANEL)

NDC 61874-115-20

Rx Only

Vraylar®

(cariprazine) capsules

1.5 mg per capsule

ATTENTION PRESCRIBER: PLEASE DISPENSE

MEDICATION GUIDE TO EACH PATIENT.

Each capsule contains cariprazine HCl equivalent to

1.5 mg cariprazine base.

20 capsules (2x10-count blister cards).

Warning: Increased Mortality in Elderly Patients With Dementia Related Psychosis (WARNING: INCREASED MORTALITY IN ELDERLY PATIENTS WITH DEMENTIA-RELATED PSYCHOSIS)

Increased Mortality in Elderly Patients with Dementia-Related Psychosis

Elderly patients with dementia-related psychosis treated with antipsychotic drugs are at an increased risk of death. VRAYLAR is not approved for the treatment of patients with dementia-related psychosis [see Warnings and Precautions ( 5.1 )].

Suicidal Thoughts and Behaviors

Antidepressants increased the risk of suicidal thoughts and behaviors in pediatric and young adult patients in short-term studies. Closely monitor all antidepressant-treated patients for clinical worsening, and for the emergence of suicidal thoughts and behaviors [see Warnings and Precautions ( 5.2 )] .


Advanced Ingredient Data


Raw Label Data

All Sections (JSON)