These Highlights Do Not Include All The Information Needed To Use Clarithromycin Tablets, Usp Safely And Effectively. See Full Prescribing Information For Clarithromycin Tablets, Usp.

These Highlights Do Not Include All The Information Needed To Use Clarithromycin Tablets, Usp Safely And Effectively. See Full Prescribing Information For Clarithromycin Tablets, Usp.
SPL v8
SPL
SPL Set ID 4a3febd5-8cf4-5306-e054-00144ff8d46c
Route
ORAL
Published
Effective Date 2020-11-17
Document Type 34391-3 HUMAN PRESCRIPTION DRUG LABEL

Drug Facts

Composition & Product

Active Ingredients
Clarithromycin (500 mg)
Inactive Ingredients
Magnesium Stearate Cellulose, Microcrystalline Povidone K29/32 Silicon Dioxide Hypromelloses Titanium Dioxide Polyethylene Glycol 400 Croscarmellose Sodium

Identifiers & Packaging

Pill Appearance
Imprint: S;4 Shape: oval Color: white Size: 19 mm Score: 1
Marketing Status
ANDA Active Since 2015-12-04

Description

Warnings and Precautions, Serious Adverse Reactions with Concomitant Use with Other Drugs (5.4) 10/2015

Indications and Usage

Clarithromycin is a macrolide antimicrobial indicated for mild to moderate infections caused by designated, susceptible bacteria in the following: Acute Bacterial Exacerbation of Chronic Bronchitis in Adults (1.1) Acute Maxillary Sinusitis (1.2) Community-Acquired Pneumonia (1.3) Pharyngitis/Tonsillitis (1.4) Uncomplicated Skin and Skin Structure Infections (1.5) Acute Otitis Media in Pediatric Patients (1.6) Treatment and Prophylaxis of Disseminated Mycobacterial Infections (1.7) Helicobacter pylori Infection and Duodenal Ulcer Disease in Adults (1.8) To reduce the development of drug-resistant bacteria and maintain the effectiveness of clarithromycin and other antibacterial drugs, clarithromycin should be used only to treat or prevent infections that are proven or strongly suspected to be caused by bacteria. (1.9)

Dosage and Administration

Adults: clarithromycin 250 mg or 500 mg every 12 hours for 7–14 days (2.2) H. pylori eradication (in combination with lansoprazole/amoxicillin, omeprazole/amoxicillin, or omeprazole): clarithromycin 500 mg every 8 or 12 hours for 10–14 days. See full prescribing information (FPI) for additional information. (2.3) Pediatric Patients: clarithromycin 15 mg/kg/day divided every 12 hours for 10 days (2.4) Mycobacterial Infections: clarithromycin 500 mg every 12 hours; clarithromycin 7.5 mg/kg up to 500 mg every 12 hours in pediatric patients (2.5) Reduce dose in moderate renal impairment with concomitant atazanavir or ritonavir-containing regimens and in severe renal impairment (2.6)

Warnings and Precautions

Severe acute hypersensitivity reactions: Discontinue clarithromycin if occurs (5.1) QT prolongation: Avoid clarithromycin in patients with known QT prolongation or receiving drugs known to prolong the QT interval, ventricular arrhythmia (torsade de pointes), hypokalemia/hypomagnesemia, significant bradycardia, or taking Class IA or III antiarrhythmics (5.2) Hepatotoxicity: Discontinue if signs and symptoms of hepatitis occur (5.3) Serious adverse reactions can occur due to drug interactions of clarithromycin with colchicine, some HMG CoA reductase inhibitors, some calcium channel blockers, and other drugs (5.4) Clostridium difficile associated diarrhea (CDAD): Evaluate if diarrhea occurs (5.5) Embryofetal toxicity: Clarithromycin should not be used in pregnant women except in clinical circumstances where no alternative therapy is appropriate (5.6) Exacerbation of myasthenia gravis (5.7)

Contraindications

Hypersensitivity to clarithromycin or any macrolide drug (4.1) Cisapride, pimozide, lovastatin/simvastatin, ergotamine/dihydroergotamine (4.2, 4.5, 4.6) History of cholestatic jaundice/hepatic dysfunction with use of clarithromycin (4.3) Colchicine in renal or hepatic impairment (4.4)

Adverse Reactions

The following serious adverse reactions are described below and elsewhere in the labeling: Acute Hypersensitivity Reactions [see Warnings and Precautions (5.1) ] QT Prolongation [see Warnings and Precautions (5.2) ] Hepatotoxicity [see Warnings and Precautions (5.3) ] Serious Adverse Reactions Due to Concomitant Use with Other Drugs [see Warnings and Precautions (5.4) ] Clostridium difficile Associated Diarrhea [see Warnings and Precautions (5.5) ] Exacerbation of Myasthenia Gravis [see Warnings and Precautions (5.7) ]

Drug Interactions

Co-administration of clarithromycin is known to inhibit CYP3A, and a drug primarily metabolized by CYP3A may be associated with elevations in drug concentrations that could increase or prolong both therapeutic and adverse effects of the concomitant drug. Clarithromycin should be used with caution in patients receiving treatment with other drugs known to be CYP3A enzyme substrates, especially if the CYP3A substrate has a narrow safety margin (e.g., carbamazepine) and/or the substrate is extensively metabolized by this enzyme. Adjust dosage when appropriate and monitor serum concentrations of drugs primarily metabolized by CYP3A closely in patients concurrently receiving clarithromycin. Table 8: Clinically Significant Drug Interactions with Clarithromycin Drugs That Are Affected By Clarithromycin Drug(s) with Pharmacokinetics Affected by Clarithromycin Recommendation Comments Antiarrhythmics:   Disopyramide Quinidine Dofetilide Amiodarone Sotalol Procainamide Not Recommended Disopyramide, Quinidine: There have been postmarketing reports of torsades de pointes occurring with concurrent use of clarithromycin and quinidine or disopyramide. Electrocardiograms should be monitored for QTc prolongation during coadministration of clarithromycin with these drugs [see Warnings and Precautions (5.3) ] . Serum concentrations of these medications should also be monitored. There have been spontaneous or published reports of CYP3A based interactions of clarithromycin with disopyramide and quinidine. There have been postmarketing reports of hypoglycemia with the concomitant administration of clarithromycin and disopyramide. Therefore, blood glucose levels should be monitored during concomitant administration of clarithromycin and disopyramide. Digoxin Use With Caution Digoxin: Digoxin is a substrate for P-glycoprotein (Pgp) and clarithromycin is known to inhibit Pgp. When clarithromycin and digoxin are co-administered, inhibition of Pgp by clarithromycin may lead to increased exposure of digoxin. Elevated digoxin serum concentrations in patients receiving clarithromycin and digoxin concomitantly have been reported in postmarketing surveillance. Some patients have shown clinical signs consistent with digoxin toxicity, including potentially fatal arrhythmias. Monitoring of serum digoxin concentrations should be considered, especially for patients with digoxin concentrations in the upper therapeutic range. Oral Anticoagulants:     Warfarin Use With Caution Oral anticoagulants: Spontaneous reports in the postmarketing period suggest that concomitant administration of clarithromycin and oral anticoagulants may potentiate the effects of the oral anticoagulants. Prothrombin times should be carefully monitored while patients are receiving clarithromycin and oral anticoagulants simultaneously [see Warnings and Precautions (5.4) ] . Antiepileptics:     Carbamazepine Use With Caution Carbamazepine: Concomitant administration of single doses of clarithromycin and carbamazepine has been shown to result in increased plasma concentrations of carbamazepine. Blood level monitoring of carbamazepine may be considered. Increased serum concentrations of carbamazepine were observed in clinical trials with clarithromycin. There have been spontaneous or published reports of CYP3A based interactions of clarithromycin with carbamazepine. Antifungals:   Itraconazole Use With Caution Itraconazole: Both clarithromycin and itraconazole are substrates and inhibitors of CYP3A, potentially leading to a bi-directional drug interaction when administered concomitantly (see also Itraconazole under “Drugs That Affect Clarithromycin” in the table below). Clarithromycin may increase the plasma concentrations of itraconazole. Patients taking itraconazole and clarithromycin concomitantly should be monitored closely for signs or symptoms of increased or prolonged adverse reactions. Fluconazole No Dose Adjustment Fluconazole: [see Pharmacokinetics (12.3) ] Anti-Gout Agents:   Colchicine (in patients with renal or hepatic impairment) Contraindicated Colchicine: Colchicine is a substrate for both CYP3A and the efflux transporter, P-glycoprotein (Pgp). Clarithromycin and other macrolides are known to inhibit CYP3A and Pgp. The dose of colchicine should be reduced when co-administered with clarithromycin in patients with normal renal and hepatic function [see Contraindications (4.4) and Warnings and Precautions (5.4) ] . Colchicine (in patients with normal renal and hepatic function) Use With Caution Antipsychotics:   Pimozide Contraindicated Pimozide: [See Contraindications (4.2) ] Quetiapine Quetiapine: Quetiapine is a substrate for CYP3A4, which is inhibited by clarithromycin. Co-administration with clarithromycin could result in increased quetiapine exposure and possible quetiapine related toxicities. There have been postmarketing reports of somnolence, orthostatic hypotension, altered state of consciousness, neuroleptic malignant syndrome, and QT prolongation during concomitant administration. Refer to quetiapine prescribing information for recommendations on dose reduction if co-administered with CYP3A4 inhibitors such as clarithromycin. Antispasmodics:     Tolterodine (patients deficient in CYP2D6 activity) Use With Caution Tolterodine: The primary route of metabolism for tolterodine is via CYP2D6. However, in a subset of the population devoid of CYP2D6, the identified pathway of metabolism is via CYP3A. In this population subset, inhibition of CYP3A results in significantly higher serum concentrations of tolterodine. Tolterodine 1 mg twice daily is recommended in patients deficient in CYP2D6 activity (poor metabolizers) when co-administered with clarithromycin. Antivirals:     Atazanavir Use With Caution Atazanavir: Both clarithromycin and atazanavir are substrates and inhibitors of CYP3A, and there is evidence of a bi-directional drug interaction (see Atazanavir under “Drugs That Affect Clarithromycin” in the table below) [see Pharmacokinetics (12.3) ] . Saquinavir (in patients with decreased renal function)   Saquinavir: Both clarithromycin and saquinavir are substrates and inhibitors of CYP3A and there is evidence of a bi-directional drug interaction (see Saquinavir under “Drugs That Affect Clarithromycin” in the table below) [see Pharmacokinetics (12.3) ] . Ritonavir Etravirine   Ritonavir, Etravirine: (see Ritonavir and Etravirine under “Drugs That Affect Clarithromycin” in the table below) [see Pharmacokinetics (12.3) ] . Maraviroc   Maraviroc: Clarithromycin may result in increases in maraviroc exposures by inhibition of CYP3A metabolism. See Selzentry ® prescribing information for dose recommendation when given with strong CYP3A inhibitors such as clarithromycin. Boceprevir (in patients with normal renal function) Didanosine No Dose Adjustment Boceprevir: Both clarithromycin and boceprevir are substrates and inhibitors of CYP3A, potentially leading to a bi-directional drug interaction when co-administered. No dose adjustments are necessary for patients with normal renal function (see Victrelis ® prescribing information). Zidovudine   Zidovudine: Simultaneous oral administration of clarithromycin immediate-release tablets and zidovudine to HIV-infected adult patients may result in decreased steady-state zidovudine concentrations. Administration of clarithromycin and zidovudine should be separated by at least two hours [see Pharmacokinetics (12.3) ] . The impact of co-administration of clarithromycin extended-release tablets or granules and zidovudine has not been evaluated. Calcium Channel Blockers:     Verapamil Use With Caution Verapamil: Hypotension, bradyarrhythmias, and lactic acidosis have been observed in patients receiving concurrent verapamil, [see Warnings and Precautions (5.4) ] . Amlodipine Diltiazem   Amlodipine, Diltiazem: [See Warnings and Precautions (5.4) ] Nifedipine   Nifedipine: Nifedipine is a substrate for CYP3A. Clarithromycin and other macrolides are known to inhibit CYP3A. There is potential of CYP3A-mediated interaction between nifedipine and clarithromycin. Hypotension and peripheral edema were observed when clarithromycin was taken concomitantly with nifedipine [see Warnings and Precautions (5.4) ] . Ergot Alkaloids:     Ergotamine Dihydroergotamine Contraindicated Ergotamine, Dihydroergotamine: Postmarketing reports indicate that coadministration of clarithromycin with ergotamine or dihydroergotamine has been associated with acute ergot toxicity characterized by vasospasm and ischemia of the extremities and other tissues including the central nervous system [see Contraindications (4.6) ] . Gastroprokinetic Agents:     Cisapride Contraindicated Cisapride: [See Contraindications (4.2) ] HMG-CoA Reductase Inhibitors:     Lovastatin Simvastatin Contraindicated Lovastatin, Simvastatin, Atorvastatin, Pravastatin, Fluvastatin: [See Contraindications (4.5) and Warnings and Precautions (5.4) ] Atorvastatin Pravastatin Use With Caution   Fluvastatin No Dose Adjustment   Hypoglycemic Agents:     Nateglinide Pioglitazone Repaglinide Rosiglitazone Use With Caution Nateglinide, Pioglitazone, Repaglinide, Rosiglitazone: [See Warnings and Precautions (5.4) and Adverse Reactions (6.2) ] Insulin   Insulin: [See Warnings and Precautions (5.4) and Adverse Reactions (6.2) ] Immunosuppressants:     Cyclosporine Use With Caution Cyclosporine: There have been spontaneous or published reports of CYP3A based interactions of clarithromycin with cyclosporine. Tacrolimus   Tacrolimus: There have been spontaneous or published reports of CYP3A based interactions of clarithromycin with tacrolimus. Phosphodiesterase inhibitors:     Sildenafil Tadalafil Vardenafil Use With Caution Sildenafil, Tadalafil, Vardenafil: Each of these phosphodiesterase inhibitors is primarily metabolized by CYP3A, and CYP3A will be inhibited by concomitant administration of clarithromycin. Co-administration of clarithromycin with sildenafil, tadalafil, or vardenafil will result in increased exposure of these phosphodiesterase inhibitors. Co-administration of these phosphodiesterase inhibitors with clarithromycin is not recommended. Increased systemic exposure of these drugs may occur with clarithromycin; reduction of dosage for phosphodiesterase inhibitors should be considered (see their respective prescribing information). Proton Pump Inhibitors:     Omeprazole No Dose Adjustment Omeprazole: The mean 24-hour gastric pH value was 5.2 when omeprazole was administered alone and 5.7 when coadministered with clarithromycin as a result of increased omeprazole exposures [see Pharmacokinetics (12.3) ] (see also Omeprazole under “Drugs That Affect Clarithromycin” in the table below). Xanthine Derivatives:     Theophylline Use With Caution Theophylline: Clarithromycin use in patients who are receiving theophylline may be associated with an increase of serum theophylline concentrations [see Pharmacokinetics (12.3) ] . Monitoring of serum theophylline concentrations should be considered for patients receiving high doses of theophylline or with baseline concentrations in the upper therapeutic range. Triazolobenzodiazepines and Other Related Benzodiazepines:     Midazolam Use With Caution Midazolam: When oral midazolam is co-administered with clarithromycin, dose adjustments may be necessary and possible prolongation and intensity of effect should be anticipated [see Warnings and Precautions (5.4) and Pharmacokinetics (12.3) ] . Alprazolam Triazolam   Triazolam, Alprazolam: Caution and appropriate dose adjustments should be considered when triazolam or alprazolam is co-administered with clarithromycin. There have been postmarketing reports of drug interactions and central nervous system (CNS) effects (e.g., somnolence and confusion) with the concomitant use of clarithromycin and triazolam. Monitoring the patient for increased CNS pharmacological effects is suggested. In postmarketing experience, erythromycin has been reported to decrease the clearance of triazolam and midazolam, and thus, may increase the pharmacologic effect of these benzodiazepines. Temazepam Nitrazepam Lorazepam No Dose Adjustment Temazepam, Nitrazepam, Lorazepam: For benzodiazepines which are not metabolized by CYP3A (e.g., temazepam, nitrazepam, lorazepam), a clinically important interaction with clarithromycin is unlikely. Cytochrome P450 Inducers:     Rifabutin Use With Caution Rifabutin: Concomitant administration of rifabutin and clarithromycin resulted in an increase in rifabutin, and decrease in clarithromycin serum levels together with an increased risk of uveitis (see Rifabutin under “Drugs That Affect Clarithromycin” in the table below). Other Drugs Metabolized by CYP3A:     Alfentanil Bromocriptine Cilostazol Methylprednisole Vinblastine Phenobarbital St. John’s Wort Use With Caution There have been spontaneous or published reports of CYP3A based interactions of clarithromycin with alfentanil, methylprednisolone, cilostazol, bromocriptine, vinblastine, phenobarbital, and St. John’s Wort. Other Drugs Metabolized by CYP450 Isoforms Other than CYP3A:     Hexobarbital Phenytoin Valproate Use With Caution There have been postmarketing reports of interactions of clarithromycin with drugs not thought to be metabolized by CYP3A, including hexobarbital, phenytoin, and valproate. Drugs that Affect Clarithromycin Drug(s) that Affect the Pharmacokinetics of Clarithromycin Recommendation Comments Antifungals:     Itraconazole Use With Caution Itraconazole: Itraconazole may increase the plasma concentrations of clarithromycin. Patients taking itraconazole and clarithromycin concomitantly should be monitored closely for signs or symptoms of increased or prolonged adverse reactions (see also Itraconazole under “Drugs That Are Affected By Clarithromycin” in the table above). Antivirals:     Atazanavir Use With Caution Atazanavir: When clarithromycin is co-administered with atazanavir, the dose of clarithromycin should be decreased by 50% [see Clinical Pharmacology (12.3) ] . Since concentrations of 14-OH clarithromycin are significantly reduced when clarithromycin is co-administered with atazanavir, alternative antibacterial therapy should be considered for indications other than infections due to Mycobacterium avium complex. Doses of clarithromycin greater than 1000 mg per day should not be co-administered with protease inhibitors. Ritonavir (in patients with decreased renal function)   Ritonavir: Since concentrations of 14-OH clarithromycin are significantly reduced when clarithromycin is co-administered with ritonavir, alternative antibacterial therapy should be considered for indications other than infections due to Mycobacterium avium [see Pharmacokinetics (12.3) ] . Doses of clarithromycin greater than 1000 mg per day should not be co-administered with protease inhibitors. Saquinavir (in patients with decreased renal function)   Saquinavir: When saquinavir is co-administered with ritonavir, consideration should be given to the potential effects of ritonavir on clarithromycin (refer to ritonavir above) [see Pharmacokinetics (12.3) ] . Etravirine   Etravirine: Clarithromycin exposure was decreased by etravirine; however, concentrations of the active metabolite, 14-OH-clarithromycin, were increased. Because 14-OH-clarithromycin has reduced activity against Mycobacterium avium complex (MAC), overall activity against this pathogen may be altered; therefore alternatives to clarithromycin should be considered for the treatment of MAC. Saquinavir (in patients with normal renal function) No Dose Adjustment   Ritonavir (in patients with normal renal function)     Proton Pump Inhibitors:     Omeprazole Use With Caution Omeprazole: Clarithromycin concentrations in the gastric tissue and mucus were also increased by concomitant administration of omeprazole [see Pharmacokinetics (12.3) ] . Miscellaneous Cytochrome P450 Inducers:   Efavirenz Nevirapine Rifampicin Rifabutin Rifapentine Use With Caution Inducers of CYP3A enzymes, such as efavirenz, nevirapine, rifampicin, rifabutin, and rifapentine will increase the metabolism of clarithromycin, thus decreasing plasma concentrations of clarithromycin, while increasing those of 14-OH-clarithromycin. Since the microbiological activities of clarithromycin and 14-OH-clarithromycin are different for different bacteria, the intended therapeutic effect could be impaired during concomitant administration of clarithromycin and enzyme inducers. Alternative antibacterial treatment should be considered when treating patients receiving inducers of CYP3A. There have been spontaneous or published reports of CYP3A based interactions of clarithromycin with rifabutin (see Rifabutin under “Drugs That Are Affected By Clarithromycin” in the table above).

Storage and Handling

Clarithromycin tablets, USP are supplied as white to off-white oval film-coated tablets in the following packaging sizes: 500 mg tablets: (debossed with the S4 on one side) Bottles of 14 NDC 68071-3116-4 Bottles of 20 NDC 68071-3116-2 Bottles of 28 NDC 68071-3116-8 Bottles of 30 NDC 68071-3116-3 Store clarithromycin tablets, USP at controlled room temperature 20° to 25°C (68° to 77°F) in a well-closed container.

How Supplied

Clarithromycin tablets, USP are supplied as white to off-white oval film-coated tablets in the following packaging sizes: 500 mg tablets: (debossed with the S4 on one side) Bottles of 14 NDC 68071-3116-4 Bottles of 20 NDC 68071-3116-2 Bottles of 28 NDC 68071-3116-8 Bottles of 30 NDC 68071-3116-3 Store clarithromycin tablets, USP at controlled room temperature 20° to 25°C (68° to 77°F) in a well-closed container.


Medication Information

Warnings and Precautions

Severe acute hypersensitivity reactions: Discontinue clarithromycin if occurs (5.1) QT prolongation: Avoid clarithromycin in patients with known QT prolongation or receiving drugs known to prolong the QT interval, ventricular arrhythmia (torsade de pointes), hypokalemia/hypomagnesemia, significant bradycardia, or taking Class IA or III antiarrhythmics (5.2) Hepatotoxicity: Discontinue if signs and symptoms of hepatitis occur (5.3) Serious adverse reactions can occur due to drug interactions of clarithromycin with colchicine, some HMG CoA reductase inhibitors, some calcium channel blockers, and other drugs (5.4) Clostridium difficile associated diarrhea (CDAD): Evaluate if diarrhea occurs (5.5) Embryofetal toxicity: Clarithromycin should not be used in pregnant women except in clinical circumstances where no alternative therapy is appropriate (5.6) Exacerbation of myasthenia gravis (5.7)

Indications and Usage

Clarithromycin is a macrolide antimicrobial indicated for mild to moderate infections caused by designated, susceptible bacteria in the following: Acute Bacterial Exacerbation of Chronic Bronchitis in Adults (1.1) Acute Maxillary Sinusitis (1.2) Community-Acquired Pneumonia (1.3) Pharyngitis/Tonsillitis (1.4) Uncomplicated Skin and Skin Structure Infections (1.5) Acute Otitis Media in Pediatric Patients (1.6) Treatment and Prophylaxis of Disseminated Mycobacterial Infections (1.7) Helicobacter pylori Infection and Duodenal Ulcer Disease in Adults (1.8) To reduce the development of drug-resistant bacteria and maintain the effectiveness of clarithromycin and other antibacterial drugs, clarithromycin should be used only to treat or prevent infections that are proven or strongly suspected to be caused by bacteria. (1.9)

Dosage and Administration

Adults: clarithromycin 250 mg or 500 mg every 12 hours for 7–14 days (2.2) H. pylori eradication (in combination with lansoprazole/amoxicillin, omeprazole/amoxicillin, or omeprazole): clarithromycin 500 mg every 8 or 12 hours for 10–14 days. See full prescribing information (FPI) for additional information. (2.3) Pediatric Patients: clarithromycin 15 mg/kg/day divided every 12 hours for 10 days (2.4) Mycobacterial Infections: clarithromycin 500 mg every 12 hours; clarithromycin 7.5 mg/kg up to 500 mg every 12 hours in pediatric patients (2.5) Reduce dose in moderate renal impairment with concomitant atazanavir or ritonavir-containing regimens and in severe renal impairment (2.6)

Contraindications

Hypersensitivity to clarithromycin or any macrolide drug (4.1) Cisapride, pimozide, lovastatin/simvastatin, ergotamine/dihydroergotamine (4.2, 4.5, 4.6) History of cholestatic jaundice/hepatic dysfunction with use of clarithromycin (4.3) Colchicine in renal or hepatic impairment (4.4)

Adverse Reactions

The following serious adverse reactions are described below and elsewhere in the labeling: Acute Hypersensitivity Reactions [see Warnings and Precautions (5.1) ] QT Prolongation [see Warnings and Precautions (5.2) ] Hepatotoxicity [see Warnings and Precautions (5.3) ] Serious Adverse Reactions Due to Concomitant Use with Other Drugs [see Warnings and Precautions (5.4) ] Clostridium difficile Associated Diarrhea [see Warnings and Precautions (5.5) ] Exacerbation of Myasthenia Gravis [see Warnings and Precautions (5.7) ]

Drug Interactions

Co-administration of clarithromycin is known to inhibit CYP3A, and a drug primarily metabolized by CYP3A may be associated with elevations in drug concentrations that could increase or prolong both therapeutic and adverse effects of the concomitant drug. Clarithromycin should be used with caution in patients receiving treatment with other drugs known to be CYP3A enzyme substrates, especially if the CYP3A substrate has a narrow safety margin (e.g., carbamazepine) and/or the substrate is extensively metabolized by this enzyme. Adjust dosage when appropriate and monitor serum concentrations of drugs primarily metabolized by CYP3A closely in patients concurrently receiving clarithromycin. Table 8: Clinically Significant Drug Interactions with Clarithromycin Drugs That Are Affected By Clarithromycin Drug(s) with Pharmacokinetics Affected by Clarithromycin Recommendation Comments Antiarrhythmics:   Disopyramide Quinidine Dofetilide Amiodarone Sotalol Procainamide Not Recommended Disopyramide, Quinidine: There have been postmarketing reports of torsades de pointes occurring with concurrent use of clarithromycin and quinidine or disopyramide. Electrocardiograms should be monitored for QTc prolongation during coadministration of clarithromycin with these drugs [see Warnings and Precautions (5.3) ] . Serum concentrations of these medications should also be monitored. There have been spontaneous or published reports of CYP3A based interactions of clarithromycin with disopyramide and quinidine. There have been postmarketing reports of hypoglycemia with the concomitant administration of clarithromycin and disopyramide. Therefore, blood glucose levels should be monitored during concomitant administration of clarithromycin and disopyramide. Digoxin Use With Caution Digoxin: Digoxin is a substrate for P-glycoprotein (Pgp) and clarithromycin is known to inhibit Pgp. When clarithromycin and digoxin are co-administered, inhibition of Pgp by clarithromycin may lead to increased exposure of digoxin. Elevated digoxin serum concentrations in patients receiving clarithromycin and digoxin concomitantly have been reported in postmarketing surveillance. Some patients have shown clinical signs consistent with digoxin toxicity, including potentially fatal arrhythmias. Monitoring of serum digoxin concentrations should be considered, especially for patients with digoxin concentrations in the upper therapeutic range. Oral Anticoagulants:     Warfarin Use With Caution Oral anticoagulants: Spontaneous reports in the postmarketing period suggest that concomitant administration of clarithromycin and oral anticoagulants may potentiate the effects of the oral anticoagulants. Prothrombin times should be carefully monitored while patients are receiving clarithromycin and oral anticoagulants simultaneously [see Warnings and Precautions (5.4) ] . Antiepileptics:     Carbamazepine Use With Caution Carbamazepine: Concomitant administration of single doses of clarithromycin and carbamazepine has been shown to result in increased plasma concentrations of carbamazepine. Blood level monitoring of carbamazepine may be considered. Increased serum concentrations of carbamazepine were observed in clinical trials with clarithromycin. There have been spontaneous or published reports of CYP3A based interactions of clarithromycin with carbamazepine. Antifungals:   Itraconazole Use With Caution Itraconazole: Both clarithromycin and itraconazole are substrates and inhibitors of CYP3A, potentially leading to a bi-directional drug interaction when administered concomitantly (see also Itraconazole under “Drugs That Affect Clarithromycin” in the table below). Clarithromycin may increase the plasma concentrations of itraconazole. Patients taking itraconazole and clarithromycin concomitantly should be monitored closely for signs or symptoms of increased or prolonged adverse reactions. Fluconazole No Dose Adjustment Fluconazole: [see Pharmacokinetics (12.3) ] Anti-Gout Agents:   Colchicine (in patients with renal or hepatic impairment) Contraindicated Colchicine: Colchicine is a substrate for both CYP3A and the efflux transporter, P-glycoprotein (Pgp). Clarithromycin and other macrolides are known to inhibit CYP3A and Pgp. The dose of colchicine should be reduced when co-administered with clarithromycin in patients with normal renal and hepatic function [see Contraindications (4.4) and Warnings and Precautions (5.4) ] . Colchicine (in patients with normal renal and hepatic function) Use With Caution Antipsychotics:   Pimozide Contraindicated Pimozide: [See Contraindications (4.2) ] Quetiapine Quetiapine: Quetiapine is a substrate for CYP3A4, which is inhibited by clarithromycin. Co-administration with clarithromycin could result in increased quetiapine exposure and possible quetiapine related toxicities. There have been postmarketing reports of somnolence, orthostatic hypotension, altered state of consciousness, neuroleptic malignant syndrome, and QT prolongation during concomitant administration. Refer to quetiapine prescribing information for recommendations on dose reduction if co-administered with CYP3A4 inhibitors such as clarithromycin. Antispasmodics:     Tolterodine (patients deficient in CYP2D6 activity) Use With Caution Tolterodine: The primary route of metabolism for tolterodine is via CYP2D6. However, in a subset of the population devoid of CYP2D6, the identified pathway of metabolism is via CYP3A. In this population subset, inhibition of CYP3A results in significantly higher serum concentrations of tolterodine. Tolterodine 1 mg twice daily is recommended in patients deficient in CYP2D6 activity (poor metabolizers) when co-administered with clarithromycin. Antivirals:     Atazanavir Use With Caution Atazanavir: Both clarithromycin and atazanavir are substrates and inhibitors of CYP3A, and there is evidence of a bi-directional drug interaction (see Atazanavir under “Drugs That Affect Clarithromycin” in the table below) [see Pharmacokinetics (12.3) ] . Saquinavir (in patients with decreased renal function)   Saquinavir: Both clarithromycin and saquinavir are substrates and inhibitors of CYP3A and there is evidence of a bi-directional drug interaction (see Saquinavir under “Drugs That Affect Clarithromycin” in the table below) [see Pharmacokinetics (12.3) ] . Ritonavir Etravirine   Ritonavir, Etravirine: (see Ritonavir and Etravirine under “Drugs That Affect Clarithromycin” in the table below) [see Pharmacokinetics (12.3) ] . Maraviroc   Maraviroc: Clarithromycin may result in increases in maraviroc exposures by inhibition of CYP3A metabolism. See Selzentry ® prescribing information for dose recommendation when given with strong CYP3A inhibitors such as clarithromycin. Boceprevir (in patients with normal renal function) Didanosine No Dose Adjustment Boceprevir: Both clarithromycin and boceprevir are substrates and inhibitors of CYP3A, potentially leading to a bi-directional drug interaction when co-administered. No dose adjustments are necessary for patients with normal renal function (see Victrelis ® prescribing information). Zidovudine   Zidovudine: Simultaneous oral administration of clarithromycin immediate-release tablets and zidovudine to HIV-infected adult patients may result in decreased steady-state zidovudine concentrations. Administration of clarithromycin and zidovudine should be separated by at least two hours [see Pharmacokinetics (12.3) ] . The impact of co-administration of clarithromycin extended-release tablets or granules and zidovudine has not been evaluated. Calcium Channel Blockers:     Verapamil Use With Caution Verapamil: Hypotension, bradyarrhythmias, and lactic acidosis have been observed in patients receiving concurrent verapamil, [see Warnings and Precautions (5.4) ] . Amlodipine Diltiazem   Amlodipine, Diltiazem: [See Warnings and Precautions (5.4) ] Nifedipine   Nifedipine: Nifedipine is a substrate for CYP3A. Clarithromycin and other macrolides are known to inhibit CYP3A. There is potential of CYP3A-mediated interaction between nifedipine and clarithromycin. Hypotension and peripheral edema were observed when clarithromycin was taken concomitantly with nifedipine [see Warnings and Precautions (5.4) ] . Ergot Alkaloids:     Ergotamine Dihydroergotamine Contraindicated Ergotamine, Dihydroergotamine: Postmarketing reports indicate that coadministration of clarithromycin with ergotamine or dihydroergotamine has been associated with acute ergot toxicity characterized by vasospasm and ischemia of the extremities and other tissues including the central nervous system [see Contraindications (4.6) ] . Gastroprokinetic Agents:     Cisapride Contraindicated Cisapride: [See Contraindications (4.2) ] HMG-CoA Reductase Inhibitors:     Lovastatin Simvastatin Contraindicated Lovastatin, Simvastatin, Atorvastatin, Pravastatin, Fluvastatin: [See Contraindications (4.5) and Warnings and Precautions (5.4) ] Atorvastatin Pravastatin Use With Caution   Fluvastatin No Dose Adjustment   Hypoglycemic Agents:     Nateglinide Pioglitazone Repaglinide Rosiglitazone Use With Caution Nateglinide, Pioglitazone, Repaglinide, Rosiglitazone: [See Warnings and Precautions (5.4) and Adverse Reactions (6.2) ] Insulin   Insulin: [See Warnings and Precautions (5.4) and Adverse Reactions (6.2) ] Immunosuppressants:     Cyclosporine Use With Caution Cyclosporine: There have been spontaneous or published reports of CYP3A based interactions of clarithromycin with cyclosporine. Tacrolimus   Tacrolimus: There have been spontaneous or published reports of CYP3A based interactions of clarithromycin with tacrolimus. Phosphodiesterase inhibitors:     Sildenafil Tadalafil Vardenafil Use With Caution Sildenafil, Tadalafil, Vardenafil: Each of these phosphodiesterase inhibitors is primarily metabolized by CYP3A, and CYP3A will be inhibited by concomitant administration of clarithromycin. Co-administration of clarithromycin with sildenafil, tadalafil, or vardenafil will result in increased exposure of these phosphodiesterase inhibitors. Co-administration of these phosphodiesterase inhibitors with clarithromycin is not recommended. Increased systemic exposure of these drugs may occur with clarithromycin; reduction of dosage for phosphodiesterase inhibitors should be considered (see their respective prescribing information). Proton Pump Inhibitors:     Omeprazole No Dose Adjustment Omeprazole: The mean 24-hour gastric pH value was 5.2 when omeprazole was administered alone and 5.7 when coadministered with clarithromycin as a result of increased omeprazole exposures [see Pharmacokinetics (12.3) ] (see also Omeprazole under “Drugs That Affect Clarithromycin” in the table below). Xanthine Derivatives:     Theophylline Use With Caution Theophylline: Clarithromycin use in patients who are receiving theophylline may be associated with an increase of serum theophylline concentrations [see Pharmacokinetics (12.3) ] . Monitoring of serum theophylline concentrations should be considered for patients receiving high doses of theophylline or with baseline concentrations in the upper therapeutic range. Triazolobenzodiazepines and Other Related Benzodiazepines:     Midazolam Use With Caution Midazolam: When oral midazolam is co-administered with clarithromycin, dose adjustments may be necessary and possible prolongation and intensity of effect should be anticipated [see Warnings and Precautions (5.4) and Pharmacokinetics (12.3) ] . Alprazolam Triazolam   Triazolam, Alprazolam: Caution and appropriate dose adjustments should be considered when triazolam or alprazolam is co-administered with clarithromycin. There have been postmarketing reports of drug interactions and central nervous system (CNS) effects (e.g., somnolence and confusion) with the concomitant use of clarithromycin and triazolam. Monitoring the patient for increased CNS pharmacological effects is suggested. In postmarketing experience, erythromycin has been reported to decrease the clearance of triazolam and midazolam, and thus, may increase the pharmacologic effect of these benzodiazepines. Temazepam Nitrazepam Lorazepam No Dose Adjustment Temazepam, Nitrazepam, Lorazepam: For benzodiazepines which are not metabolized by CYP3A (e.g., temazepam, nitrazepam, lorazepam), a clinically important interaction with clarithromycin is unlikely. Cytochrome P450 Inducers:     Rifabutin Use With Caution Rifabutin: Concomitant administration of rifabutin and clarithromycin resulted in an increase in rifabutin, and decrease in clarithromycin serum levels together with an increased risk of uveitis (see Rifabutin under “Drugs That Affect Clarithromycin” in the table below). Other Drugs Metabolized by CYP3A:     Alfentanil Bromocriptine Cilostazol Methylprednisole Vinblastine Phenobarbital St. John’s Wort Use With Caution There have been spontaneous or published reports of CYP3A based interactions of clarithromycin with alfentanil, methylprednisolone, cilostazol, bromocriptine, vinblastine, phenobarbital, and St. John’s Wort. Other Drugs Metabolized by CYP450 Isoforms Other than CYP3A:     Hexobarbital Phenytoin Valproate Use With Caution There have been postmarketing reports of interactions of clarithromycin with drugs not thought to be metabolized by CYP3A, including hexobarbital, phenytoin, and valproate. Drugs that Affect Clarithromycin Drug(s) that Affect the Pharmacokinetics of Clarithromycin Recommendation Comments Antifungals:     Itraconazole Use With Caution Itraconazole: Itraconazole may increase the plasma concentrations of clarithromycin. Patients taking itraconazole and clarithromycin concomitantly should be monitored closely for signs or symptoms of increased or prolonged adverse reactions (see also Itraconazole under “Drugs That Are Affected By Clarithromycin” in the table above). Antivirals:     Atazanavir Use With Caution Atazanavir: When clarithromycin is co-administered with atazanavir, the dose of clarithromycin should be decreased by 50% [see Clinical Pharmacology (12.3) ] . Since concentrations of 14-OH clarithromycin are significantly reduced when clarithromycin is co-administered with atazanavir, alternative antibacterial therapy should be considered for indications other than infections due to Mycobacterium avium complex. Doses of clarithromycin greater than 1000 mg per day should not be co-administered with protease inhibitors. Ritonavir (in patients with decreased renal function)   Ritonavir: Since concentrations of 14-OH clarithromycin are significantly reduced when clarithromycin is co-administered with ritonavir, alternative antibacterial therapy should be considered for indications other than infections due to Mycobacterium avium [see Pharmacokinetics (12.3) ] . Doses of clarithromycin greater than 1000 mg per day should not be co-administered with protease inhibitors. Saquinavir (in patients with decreased renal function)   Saquinavir: When saquinavir is co-administered with ritonavir, consideration should be given to the potential effects of ritonavir on clarithromycin (refer to ritonavir above) [see Pharmacokinetics (12.3) ] . Etravirine   Etravirine: Clarithromycin exposure was decreased by etravirine; however, concentrations of the active metabolite, 14-OH-clarithromycin, were increased. Because 14-OH-clarithromycin has reduced activity against Mycobacterium avium complex (MAC), overall activity against this pathogen may be altered; therefore alternatives to clarithromycin should be considered for the treatment of MAC. Saquinavir (in patients with normal renal function) No Dose Adjustment   Ritonavir (in patients with normal renal function)     Proton Pump Inhibitors:     Omeprazole Use With Caution Omeprazole: Clarithromycin concentrations in the gastric tissue and mucus were also increased by concomitant administration of omeprazole [see Pharmacokinetics (12.3) ] . Miscellaneous Cytochrome P450 Inducers:   Efavirenz Nevirapine Rifampicin Rifabutin Rifapentine Use With Caution Inducers of CYP3A enzymes, such as efavirenz, nevirapine, rifampicin, rifabutin, and rifapentine will increase the metabolism of clarithromycin, thus decreasing plasma concentrations of clarithromycin, while increasing those of 14-OH-clarithromycin. Since the microbiological activities of clarithromycin and 14-OH-clarithromycin are different for different bacteria, the intended therapeutic effect could be impaired during concomitant administration of clarithromycin and enzyme inducers. Alternative antibacterial treatment should be considered when treating patients receiving inducers of CYP3A. There have been spontaneous or published reports of CYP3A based interactions of clarithromycin with rifabutin (see Rifabutin under “Drugs That Are Affected By Clarithromycin” in the table above).

Storage and Handling

Clarithromycin tablets, USP are supplied as white to off-white oval film-coated tablets in the following packaging sizes: 500 mg tablets: (debossed with the S4 on one side) Bottles of 14 NDC 68071-3116-4 Bottles of 20 NDC 68071-3116-2 Bottles of 28 NDC 68071-3116-8 Bottles of 30 NDC 68071-3116-3 Store clarithromycin tablets, USP at controlled room temperature 20° to 25°C (68° to 77°F) in a well-closed container.

How Supplied

Clarithromycin tablets, USP are supplied as white to off-white oval film-coated tablets in the following packaging sizes: 500 mg tablets: (debossed with the S4 on one side) Bottles of 14 NDC 68071-3116-4 Bottles of 20 NDC 68071-3116-2 Bottles of 28 NDC 68071-3116-8 Bottles of 30 NDC 68071-3116-3 Store clarithromycin tablets, USP at controlled room temperature 20° to 25°C (68° to 77°F) in a well-closed container.

Description

Warnings and Precautions, Serious Adverse Reactions with Concomitant Use with Other Drugs (5.4) 10/2015

Section 42229-5

Prophylaxis of Mycobacterial Infections

A randomized, double-blind clinical trial (trial 3) compared clarithromycin 500 mg twice a day to placebo in patients with CDC-defined AIDS and CD 4 counts less than 100 cells/µL. This trial accrued 682 patients from November 1992 to January 1994, with a median CD 4 cell count at entry of 30 cells/mcL. Median duration of clarithromycin was 10.6 months vs. 8.2 months for placebo. More patients in the placebo arm than the clarithromycin arm discontinued prematurely from the trial (75.6% and 67.4%, respectively). However, if premature discontinuations due to Mycobacterium avium complex (MAC) or death are excluded, approximately equal percentages of patients on each arm (54.8%) on clarithromycin and 52.5% on placebo) discontinued study drug early for other reasons. The trial was designed to evaluate the following endpoints:

  • MAC bacteremia, defined as at least one positive culture for Mycobacterium avium complex bacteria from blood or another normally sterile site
  • Survival
  • Clinically significant disseminated MAC disease, defined as MAC bacteremia accompanied by signs or symptoms of serious MAC infection, including fever, night sweats, weight loss, anemia, or elevations in liver function tests
Section 43683-2
Warnings and Precautions, Serious Adverse Reactions with Concomitant Use with Other Drugs (5.4) 10/2015
Section 51945-4

1.10 Usage

To reduce the development of drug-resistant bacteria and maintain the effectiveness of clarithromycin and other antibacterial drugs, clarithromycin should be used only to treat or prevent infections that are proven or strongly suspected to be caused by susceptible bacteria. When culture and susceptibility information are available, they should be considered in selecting or modifying antibacterial therapy. In the absence of such data, local epidemiology and susceptibility patterns may contribute to the empiric selection of therapy.

10 Overdosage

Overdosage of clarithromycin can cause gastrointestinal symptoms such as abdominal pain, vomiting, nausea, and diarrhea.

Treat adverse reactions accompanying overdosage by the prompt elimination of unabsorbed drug and supportive measures. As with other macrolides, clarithromycin serum concentrations are not expected to be appreciably affected by hemodialysis or peritoneal dialysis.

15 References
  • Clinical and Laboratory Standards Institute (CLSI). Methods for Dilution Antimicrobial Susceptibility Tests for Bacteria that Grow Aerobically; Approved Standard—Tenth edition. CLSI Document M07-A10, Clinical and Laboratory Standards Institute, 950 West Valley Rd, Suite 2500, Wayne, Pennsylvania 19087, USA, 2015.
  • Clinical and Laboratory Standards Institute (CLSI). Performance Standards for Antimicrobial Susceptibility Testing; Twenty-fifth Informational Supplement. CLSI document M100-S25, Clinical and Laboratory Standards Institute, 950 West Valley Road, Suite 2500, Wayne, Pennsylvania 19087, USA, 2015.
  • Clinical and Laboratory Standards Institute (CLSI). Performance Standards for Antimicrobial Disk Diffusion Susceptibility Tests; Approved Standard—Twelfth Edition. CLSI document M02-A12, Clinical and Laboratory Standards Institute, 950 West Valley Road, Suite 2500, Wayne, Pennsylvania 19087, USA, 2015.
  • Clinical and Laboratory Standards Institute (CLSI). Susceptibility Testing of Mycobacteria, Nocardiae, and Other Aerobic Actinomycetes; Approved Standard—Second Edition. CLSI document M24-A2, Clinical and Laboratory Standards Institute, 950 West Valley Road, Suite 2500, Wayne, Pennsylvania 19087, USA, 2011.
  • Clinical and Laboratory Standards Institute (CLSI). Methods for Antimicrobial Dilution and Disk Susceptibility Testing for Infrequently Isolated or Fastidious Bacteria; Approved Guideline—Second Edition. CLSI document M45-A2, Clinical and Laboratory Standards Institute, 950 West Valley Road, Suite 2500, Wayne, Pennsylvania 19087, USA, 2010.
  • Kemper CA, et al. Treatment of Mycobacterium avium Complex Bacteremia in AIDS with a Four-Drug Oral Regimen. Ann Intern Med. 1992;116:466-472.
8.1 Pregnancy

Teratogenic Effects

Pregnancy Category C

Clarithromycin should not be used in pregnant women except in clinical circumstances where no alternative therapy is appropriate. If pregnancy occurs while taking this drug, the patient should be apprised of the potential hazard to the fetus [see Warnings and Precautions (5.6)] .

Four teratogenicity studies in rats (three with oral doses and one with intravenous doses up to 160 mg/kg/day administered during the period of major organogenesis) and two in rabbits at oral doses up to 125 mg/kg/day (approximately twice the recommended maximum human dose based on mg/m 2) or intravenous doses of 30 mg/kg/day administered during gestation days 6 to 18 failed to demonstrate any teratogenicity from clarithromycin. Two additional oral studies in a different rat strain at similar doses and similar conditions demonstrated a low incidence of cardiovascular anomalies at doses of 150 mg/kg/day administered during gestation days 6 to 15. Plasma levels after 150 mg/kg/day were twice the human serum levels. Four studies in mice revealed a variable incidence of cleft palate following oral doses of 1000 mg/kg/day (2 and 4 times the recommended maximum human dose based on mg/m 2, respectively) during gestation days 6 to 15. Cleft palate was also seen at 500 mg/kg/day. The 1000 mg/kg/day exposure resulted in plasma levels 17 times the human serum levels. In monkeys, an oral dose of 70 mg/kg/day produced fetal growth retardation at plasma levels that were twice the human serum levels.

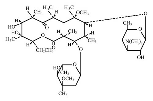
11 Description

Clarithromycin is a semi-synthetic macrolide antimicrobial for oral use. Chemically, it is 6- 0-methylerythromycin. The molecular formula is C 38H 69NO 13, and the molecular weight is 747.96. The structural formula is:

Figure 1: Structure of Clarithromycin

Clarithromycin is a white to off-white crystalline powder. It is soluble in acetone, slightly soluble in methanol, ethanol, and acetonitrile, and practically insoluble in water.

Each white to off-white oval film-coated immediate-release clarithromycin tablet, USP contains 250 mg or 500 mg of clarithromycin and the following inactive ingredients: croscarmellose sodium, magnesium stearate, microcrystalline cellulose, povidone, silicon dioxide, hypromellose, titanium dioxide and polyethylene glycol.

4.4 Colchicine

Concomitant administration of clarithromycin and colchicine is contraindicated in patients with renal or hepatic impairment.

2.2 Adult Dosage

The recommended dosages of clarithromycin for the treatment of mild to moderate infections in adults are listed in Table 1.

Table 1. Adult Dosage Guidelines
Clarithromycin tablets
Infection Dosage



(every 12 hours)
Duration



(days)
Acute bacterial exacerbation of chronic bronchitis 250 to 500 mg a 7 b-14
Acute maxillary sinusitis 500 mg 14
Community-acquired pneumonia 250 mg c 7 d-14
Pharyngitis/Tonsillitis 250 mg 10
Uncomplicated skin and skin structure infections 250 mg 7-14
Treatment and prophylaxis of disseminated Mycobacterium avium disease [see Dosage and Administration (2.5)] 500 mg e -
H.pylori eradication to reduce the risk of duodenal ulcer recurrence with amoxicillin and omeprazole or lansoprazole [see Dosage and Administration (2.3)] 500 mg 10-14
H.pylori eradication to reduce the risk of duodenal ulcer recurrence with omeprazole [see Dosage and Administration (2.3)] 500 mg every 8 hours 14
a For M. catarrhalis and S. pneumoniae use 250 mg. For H. influenzae and H. parainfluenzae, use 500 mg.



b For H parainfluenzae, the duration of therapy is 7 days.



c For H. parainfluenzae and M. catarrhalis use clarithromycin extended-release tablets only.



d For H. influenzae, the duration of therapy is 7 days.



e Clarithromycin therapy should continue if clinical response is observed. Clarithromycin can be discontinued when the patient is considered at low risk of disseminated infection.
12.4 Microbiology

Mechanism of Action

Clarithromycin exerts its antibacterial action by binding to the 50S ribosomal subunit of susceptible bacteria resulting in inhibition of protein synthesis.

Resistance

The major routes of resistance are modification of the 23S rRNA in the 50S ribosomal subunit to insensitivity or drug efflux pumps. Beta-lactamase production should have no effect on clarithromycin activity.

Most isolates of methicillin-resistant and oxacillin-resistant staphylococci are resistant to clarithromycin.

If H. pylori is not eradicated after treatment with clarithromycin-containing combination regimens, patients may develop clarithromycin resistance in H. pylori isolates. Therefore, for patients who fail therapy, clarithromycin susceptibility testing should be done, if possible. Patients with clarithromycin-resistant H. pylori should not be treated with any of the following: omeprazole/clarithromycin dual therapy; omeprazole/clarithromycin/amoxicillin triple therapy; lansoprazole/clarithromycin/amoxicillin triple therapy; or other regimens which include clarithromycin as the sole antibacterial agent.

Antimicrobial Activity

Clarithromycin has been shown to be active against most of the isolates of the following microorganisms both in vitro and in clinical infections [see Indications and Usage (1)] .

8.4 Pediatric Use

The safety and effectiveness of clarithromycin tablets have been established for the treatment of the following conditions or diseases in pediatric patients 6 months and older. Use in these indications is based on clinical trials in pediatric patients or adequate and well-controlled studies in adults with additional pharmacokinetic and safety data in pediatric patients:

  • Pharyngitis/Tonsillitis
  • Community-Acquired Pneumonia
  • Acute maxillary sinusitis
  • Acute otitis media [see Clinical Studies (14.2)]
  • Uncomplicated skin and skin structure infections

The safety and effectiveness of clarithromycin tablets have been established for the prevention of disseminated Mycobacterium avium complex (MAC) disease in pediatric patients 20 months and older with advanced HIV infection. No studies of clarithromycin for MAC prophylaxis have been performed in pediatric populations and the doses recommended for prophylaxis are derived from MAC pediatric treatment studies.

Safety and effectiveness of clarithromycin in pediatric patients under 6 months of age have not been established. The safety of clarithromycin has not been studied in MAC patients under the age of 20 months.

8.5 Geriatric Use

In a steady-state study in which healthy elderly subjects (65 years to 81 years of age) were given 500 mg of clarithromycin every 12 hours, the maximum serum concentrations and area under the curves of clarithromycin and 14-OH clarithromycin were increased compared to those achieved in healthy young adults. These changes in pharmacokinetics parallel known age-related decreases in renal function. In clinical trials, elderly patients did not have an increased incidence of adverse reactions when compared to younger patients. Consider dosage adjustment in elderly patients with severe renal impairment. Elderly patients may be more susceptible to development of torsades de pointes arrhythmias than younger patients [see Warnings and Precautions (5.3)] .

Most reports of acute kidney injury with calcium channel blockers metabolized by CYP3A4 (e.g., verapamil, amlodipine, diltiazem, nifedipine) involved elderly patients 65 years of age or older [see Warnings and Precautions (5.4)] .

Especially in elderly patients, there have been reports of colchicine toxicity with concomitant use of clarithromycin and colchicine, some of which occurred in patients with renal insufficiency. Deaths have been reported in some patients [see Contraindications (4.4) and Warnings and Precautions (5.4)] .

5.3 Hepatotoxicity

Hepatic dysfunction, including increased liver enzymes, and hepatocellular and/or cholestatic hepatitis, with or without jaundice, has been reported with clarithromycin. This hepatic dysfunction may be severe and is usually reversible. In some instances, hepatic failure with fatal outcome has been reported and generally has been associated with serious underlying diseases and/or concomitant medications. Symptoms of hepatitis can include anorexia, jaundice, dark urine, pruritus, or tender abdomen. Discontinue clarithromycin immediately if signs and symptoms of hepatitis occur.

Anaerobic Bacteria
  • Clostridium perfringens
  • Peptococcus niger
  • Prevotella melaninogenica
  • Propionibacterium acnes

Susceptibility Testing Methods (Excluding Mycobacteria and Helicobacter)

When available, the clinical microbiology laboratory should provide the results of in vitro susceptibility test results for antimicrobial drugs used in local hospitals and practice areas to the physician as periodic reports that describe the susceptibility profile of nosocomial and community-acquired pathogens. These reports should aid the physician in selecting an antimicrobial drug for treatment.

Dilution Techniques

Quantitative methods are used to determine antimicrobial minimum inhibitory concentrations (MICs). These MICs provide estimates of the susceptibility of bacteria to antimicrobial compounds. The MICs should be determined using a standardized test method 1,2 (broth and/or agar). The MIC values should be interpreted according to the criteria provided in Table 11.

Diffusion Techniques

Quantitative methods that require measurement of zone diameters can also provide reproducible estimates of the susceptibility of bacteria to antimicrobial compounds. The zone size should be determined using a standardized test method. 2,3 This procedure uses paper disks impregnated with 15 mcg of clarithromycin to test the susceptibility of bacteria to clarithromycin. The disk diffusion interpretive criteria are provided in Table 11.

Susceptibility Testing for Mycobacterium avium Complex (MAC)

The reference methodology for susceptibility testing of Mycobacterium avium complex (MAC) is broth dilution (either microdilution or macrodilution method). 4 For broth microdilution testing, cation-adjusted Mueller-Hinton broth (CAMHB) supplemented with 5% OADC is recommended. Transparent colonies should be used for the inoculum, if present. Susceptibility testing at either pH 6.8 or pH 7.4 is acceptable, provided that interpretation is done based on the culture conditions employed. Microdilution trays are incubated at 35 ºC to 37 ºC in ambient air and examined after seven days. Trays should be incubated and read again at 10 to 14 days, if growth is poor on initial inspection.

Susceptibility Testing for Helicobacter pylori

The reference methodology for susceptibility testing of H. pylori is agar dilution MICs. 5 One to three microliters of an inoculum equivalent to a No. 2 McFarland standard (1 x 10 7-1 x 10 8 CFU/mL for H. pylori) are inoculated directly onto freshly prepared antimicrobial containing Mueller-Hinton agar plates with 5% aged defibrinated sheep blood (> 2-weeks old). The agar dilution plates are incubated at 35°C in a microaerobic environment produced by a gas generating system suitable for Campylobacter species. After 3 days of incubation, the MICs are recorded as the lowest concentration of antimicrobial agent required to inhibit growth of the organism. The clarithromycin MIC values should be interpreted according to the criteria in Table 11.

Table 11. Susceptibility Test Interpretive Criteria for Clarithromycin
  Minimum Inhibitory

Concentrations (mcg/mL)
Disk Diffusion

(zone diameters in mm)
Pathogen S I R S I R
Staphylococcus aureus ≤ 2 4 ≥ 8 ≥ 18 14--17 ≤ 13
Streptococcus pyogenes and Streptococcus pneumoniae ≤ 0.25 a 0.5 a ≥ 1 a ≥ 21 b 17--20 b ≤ 16 b
Haemophilus influenzae ≤ 8 c 16 c ≥ 32 c ≥ 13 d 11--12 d ≤ 10 d
Helicobacter pylori e ≤ 0.25 0.5 ≥ 1 -- -- --
a These interpretive standards are applicable only to broth microdilution susceptibility tests using cation adjusted Mueller Hinton broth with 2-5% lysed horse blood 2.

b These zone diameter standards only apply to tests performed using Mueller-Hinton agar supplemented with 5% sheep blood incubated in 5% CO 2 2.

c These interpretive standards are applicable only to broth microdilution susceptibility tests with Haemophilus spp. using Haemophilus Testing Medium (HTM) 2.

d These zone diameter standards are applicable only to tests with Haemophilus spp. using HTM 2.

e These are tentative breakpoints for clarithromycin for the agar dilution methodology and should not be used to interpret results obtained using alternative methods 5.

Note: When testing Streptococcus pyogenes and Streptococcus pneumoniae, susceptibility and resistance to clarithromycin can be predicted using erythromycin.

A report of Susceptible (S) indicates that the antimicrobial drug is likely to inhibit growth of the pathogen if the antimicrobial drug reaches the concentration usually achievable at the site of infection. A report of Intermediate (I) indicates that the result should be considered equivocal, and, if the microorganism is not fully susceptible to alternative, clinically feasible drugs, the test should be repeated. This category implies possible clinical applicability in body sites where the drug is physiologically concentrated or in situations where high dosage of drug can be used. This category also provides a buffer zone which prevents small uncontrolled technical factors from causing major discrepancies in interpretation. A report of Resistant (R) indicates that the antimicrobial drug is not likely to inhibit growth of the pathogen if the antimicrobial drug reaches the concentration usually achievable at the infection site; other therapy should be selected.

Quality Control

Standardized susceptibility test procedures require the use of laboratory control bacteria to monitor and ensure the accuracy and precision of supplies and reagents in the assay, and the techniques of the individual performing the test. 1-5 Standard clarithromycin powder should provide the following range of MIC values as noted in Table 12. For the diffusion technique using the 15 mcg disk, the criteria in Table 12 should be achieved.

Table 12. Acceptable Quality Control Ranges for Clarithromycin
QC Strain MIC (mcg/mL) Zone diameter (mm)
Staphylococcus aureus ATCC 29213 a 0.12 – 0.5 --
Staphylococcus aureus ATCC 25923 -- 26 – 32
Streptococcus pneumoniae ATCC 49619 0.03 – 0.12 b 25 – 31 c
Haemophilus influenzae ATCC 49247 4 – 16 d 11 – 17 e
Helicobacter pylori ATCC 43504 0.015 – 0.12 f --
M. avium ATCC 700898 1 – 4 g --
a ATCC is a registered trademark of the American Type Culture Collection.

b This quality control range is applicable only to S. pneumoniae ATCC 49619 tested by a microdilution procedure using cation adjusted Mueller Hinton broth with 2-5% lysed horse blood. 1,2

c This quality control range is applicable only to S. pneumoniae ATCC 49619 for tests performed by disk diffusion using Mueller-Hinton agar supplemented with 5% defibrinated sheep blood. 2,3

d This quality control range is applicable only to H. influenzae ATCC 49247 tested by a microdilution procedure using HTM 1,2.

e This quality control limit applies to disk diffusion tests conducted with Haemophilus influenzae ATCC 49247 using HTM 2,3.

f These are quality control ranges for the agar dilution methodology 5 and should not be used to control test results obtained using alternative methods.

g When tested at pH 6.8 (if tested at pH 5.0 to 7.4 at 7.4, the acceptable range is 0.5 mcg/mL to 2 mcg/mL) 4.
4 Contraindications
  • Hypersensitivity to clarithromycin or any macrolide drug (4.1)
  • Cisapride, pimozide, lovastatin/simvastatin, ergotamine/dihydroergotamine (4.2, 4.5, 4.6)
  • History of cholestatic jaundice/hepatic dysfunction with use of clarithromycin (4.3)
  • Colchicine in renal or hepatic impairment (4.4)
4.6 Ergot Alkaloids

Concomitant administration of clarithromycin and ergotamine or dihydroergotamine is contraindicated [see Drug Interactions (7)] .

5.2 Qt Prolongation

Clarithromycin has been associated with prolongation of the QT interval and infrequent cases of arrhythmia. Cases of torsades de pointes have been spontaneously reported during postmarketing surveillance in patients receiving clarithromycin. Fatalities have been reported.

Avoid clarithromycin in the following patients:

  • patients with known prolongation of the QT interval, ventricular cardiac arrhythmia, including torsades de pointes
  • patients receiving drugs known to prolong the QT interval [see also Contraindications (4.2)]
  • patients with ongoing proarrhythmic conditions such as uncorrected hypokalemia or hypomagnesemia, clinically significant bradycardia and in patients receiving Class IA (quinidine, procainamide) or Class III (dofetilide, amiodarone, sotalol) antiarrhythmic agents.

Elderly patients may be more susceptible to drug-associated effects on the QT interval [see Use in Specific Populations (8.5)] .

6 Adverse Reactions

The following serious adverse reactions are described below and elsewhere in the labeling:

  • Acute Hypersensitivity Reactions [see Warnings and Precautions (5.1)]
  • QT Prolongation [see Warnings and Precautions (5.2)]
  • Hepatotoxicity [see Warnings and Precautions (5.3)]
  • Serious Adverse Reactions Due to Concomitant Use with Other Drugs [see Warnings and Precautions (5.4)]
  • Clostridium difficile Associated Diarrhea [see Warnings and Precautions (5.5)]
  • Exacerbation of Myasthenia Gravis [see Warnings and Precautions (5.7)]
7 Drug Interactions

Co-administration of clarithromycin is known to inhibit CYP3A, and a drug primarily metabolized by CYP3A may be associated with elevations in drug concentrations that could increase or prolong both therapeutic and adverse effects of the concomitant drug.

Clarithromycin should be used with caution in patients receiving treatment with other drugs known to be CYP3A enzyme substrates, especially if the CYP3A substrate has a narrow safety margin (e.g., carbamazepine) and/or the substrate is extensively metabolized by this enzyme. Adjust dosage when appropriate and monitor serum concentrations of drugs primarily metabolized by CYP3A closely in patients concurrently receiving clarithromycin.

Table 8: Clinically Significant Drug Interactions with Clarithromycin
Drugs That Are Affected By Clarithromycin
Drug(s) with Pharmacokinetics Affected by Clarithromycin Recommendation Comments
Antiarrhythmics:





 
Disopyramide

Quinidine

Dofetilide

Amiodarone

Sotalol

Procainamide
Not Recommended Disopyramide, Quinidine: There have been postmarketing reports of torsades de pointes occurring with concurrent use of clarithromycin and quinidine or disopyramide. Electrocardiograms should be monitored for QTc prolongation during coadministration of clarithromycin with these drugs [see Warnings and Precautions (5.3)] .



Serum concentrations of these medications should also be monitored. There have been spontaneous or published reports of CYP3A based interactions of clarithromycin with disopyramide and quinidine.



There have been postmarketing reports of hypoglycemia with the concomitant administration of clarithromycin and disopyramide. Therefore, blood glucose levels should be monitored during concomitant administration of clarithromycin and disopyramide.





Digoxin Use With Caution Digoxin: Digoxin is a substrate for P-glycoprotein (Pgp) and clarithromycin is known to inhibit Pgp. When clarithromycin and digoxin are co-administered, inhibition of Pgp by clarithromycin may lead to increased exposure of digoxin. Elevated digoxin serum concentrations in patients receiving clarithromycin and digoxin concomitantly have been reported in postmarketing surveillance. Some patients have shown clinical signs consistent with digoxin toxicity, including potentially fatal arrhythmias. Monitoring of serum digoxin concentrations should be considered, especially for patients with digoxin concentrations in the upper therapeutic range.





Oral Anticoagulants:





   
Warfarin Use With Caution Oral anticoagulants: Spontaneous reports in the postmarketing period suggest that concomitant administration of clarithromycin and oral anticoagulants may potentiate the effects of the oral anticoagulants. Prothrombin times should be carefully monitored while patients are receiving clarithromycin and oral anticoagulants simultaneously [see Warnings and Precautions (5.4)] .





Antiepileptics:





   
Carbamazepine Use With Caution Carbamazepine: Concomitant administration of single doses of clarithromycin and carbamazepine has been shown to result in increased plasma concentrations of carbamazepine. Blood level monitoring of carbamazepine may be considered. Increased serum concentrations of carbamazepine were observed in clinical trials with clarithromycin. There have been spontaneous or published reports of CYP3A based interactions of clarithromycin with carbamazepine.





Antifungals:





 
Itraconazole Use With Caution Itraconazole: Both clarithromycin and itraconazole are substrates and inhibitors of CYP3A, potentially leading to a bi-directional drug interaction when administered concomitantly (see also Itraconazole under “Drugs That Affect Clarithromycin” in the table below). Clarithromycin may increase the plasma concentrations of itraconazole. Patients taking itraconazole and clarithromycin concomitantly should be monitored closely for signs or symptoms of increased or prolonged adverse reactions.





Fluconazole No Dose Adjustment





Fluconazole: [see Pharmacokinetics (12.3)]
Anti-Gout Agents:





 
Colchicine (in patients with renal or hepatic impairment)





Contraindicated Colchicine: Colchicine is a substrate for both CYP3A and the efflux transporter, P-glycoprotein (Pgp). Clarithromycin and other macrolides are known to inhibit CYP3A and Pgp. The dose of colchicine should be reduced when co-administered with clarithromycin in patients with normal renal and hepatic function [see Contraindications (4.4) and Warnings and Precautions (5.4)] .





Colchicine (in patients with normal renal and hepatic function) Use With Caution
Antipsychotics:





 
Pimozide Contraindicated Pimozide: [See Contraindications (4.2)]





Quetiapine Quetiapine: Quetiapine is a substrate for CYP3A4, which is inhibited by clarithromycin. Co-administration with clarithromycin could result in increased quetiapine exposure and possible quetiapine related toxicities. There have been postmarketing reports of somnolence, orthostatic hypotension, altered state of consciousness, neuroleptic malignant syndrome, and QT prolongation during concomitant administration. Refer to quetiapine prescribing information for recommendations on dose reduction if co-administered with CYP3A4 inhibitors such as clarithromycin.





Antispasmodics:





   
Tolterodine (patients deficient in CYP2D6 activity) Use With Caution Tolterodine: The primary route of metabolism for tolterodine is via CYP2D6. However, in a subset of the population devoid of CYP2D6, the identified pathway of metabolism is via CYP3A. In this population subset, inhibition of CYP3A results in significantly higher serum concentrations of tolterodine. Tolterodine 1 mg twice daily is recommended in patients deficient in CYP2D6 activity (poor metabolizers) when co-administered with clarithromycin.





Antivirals:





   
Atazanavir Use With Caution Atazanavir: Both clarithromycin and atazanavir are substrates and inhibitors of CYP3A, and there is evidence of a bi-directional drug interaction (see Atazanavir under “Drugs That Affect Clarithromycin” in the table below) [see Pharmacokinetics (12.3)] .





Saquinavir (in patients with decreased renal function)   Saquinavir: Both clarithromycin and saquinavir are substrates and inhibitors of CYP3A and there is evidence of a bi-directional drug interaction (see Saquinavir under “Drugs That Affect Clarithromycin” in the table below) [see Pharmacokinetics (12.3)] .





Ritonavir

Etravirine
  Ritonavir, Etravirine: (see Ritonavir and Etravirine under “Drugs That Affect Clarithromycin” in the table below) [see Pharmacokinetics (12.3)] .





Maraviroc   Maraviroc: Clarithromycin may result in increases in maraviroc exposures by inhibition of CYP3A metabolism. See Selzentry ® prescribing information for dose recommendation when given with strong CYP3A inhibitors such as clarithromycin.





Boceprevir (in patients with normal renal function)



Didanosine
No Dose Adjustment Boceprevir: Both clarithromycin and boceprevir are substrates and inhibitors of CYP3A, potentially leading to a bi-directional drug interaction when co-administered. No dose adjustments are necessary for patients with normal renal function (see Victrelis ® prescribing information).





Zidovudine   Zidovudine: Simultaneous oral administration of clarithromycin immediate-release tablets and zidovudine to HIV-infected adult patients may result in decreased steady-state zidovudine concentrations. Administration of clarithromycin and zidovudine should be separated by at least two hours [see Pharmacokinetics (12.3)] .



The impact of co-administration of clarithromycin extended-release tablets or granules and zidovudine has not been evaluated.





Calcium Channel Blockers:





   
Verapamil Use With Caution Verapamil: Hypotension, bradyarrhythmias, and lactic acidosis have been observed in patients receiving concurrent verapamil, [see Warnings and Precautions (5.4)] .





Amlodipine

Diltiazem





  Amlodipine, Diltiazem: [See Warnings and Precautions (5.4)]
Nifedipine   Nifedipine: Nifedipine is a substrate for CYP3A. Clarithromycin and other macrolides are known to inhibit CYP3A. There is potential of CYP3A-mediated interaction between nifedipine and clarithromycin. Hypotension and peripheral edema were observed when clarithromycin was taken concomitantly with nifedipine [see Warnings and Precautions (5.4)] .





Ergot Alkaloids:





   
Ergotamine

Dihydroergotamine
Contraindicated Ergotamine, Dihydroergotamine: Postmarketing reports indicate that coadministration of clarithromycin with ergotamine or dihydroergotamine has been associated with acute ergot toxicity characterized by vasospasm and ischemia of the extremities and other tissues including the central nervous system [see Contraindications (4.6)] .





Gastroprokinetic Agents:





   
Cisapride Contraindicated Cisapride: [See Contraindications (4.2)]





HMG-CoA Reductase Inhibitors:





   
Lovastatin

Simvastatin
Contraindicated Lovastatin, Simvastatin, Atorvastatin, Pravastatin, Fluvastatin: [See Contraindications (4.5) and Warnings and Precautions (5.4)]



Atorvastatin

Pravastatin





Use With Caution  
Fluvastatin



No Dose Adjustment





 
Hypoglycemic Agents:





   
Nateglinide

Pioglitazone

Repaglinide

Rosiglitazone





Use With Caution Nateglinide, Pioglitazone, Repaglinide, Rosiglitazone: [See Warnings and Precautions (5.4) and Adverse Reactions (6.2)]



Insulin   Insulin: [See Warnings and Precautions (5.4) and Adverse Reactions (6.2)]





Immunosuppressants:





   
Cyclosporine Use With Caution Cyclosporine: There have been spontaneous or published reports of CYP3A based interactions of clarithromycin with cyclosporine.





Tacrolimus   Tacrolimus: There have been spontaneous or published reports of CYP3A based interactions of clarithromycin with tacrolimus.





Phosphodiesterase inhibitors:





   
Sildenafil

Tadalafil

Vardenafil
Use With Caution Sildenafil, Tadalafil, Vardenafil: Each of these phosphodiesterase inhibitors is primarily metabolized by CYP3A, and CYP3A will be inhibited by concomitant administration of clarithromycin. Co-administration of clarithromycin with sildenafil, tadalafil, or vardenafil will result in increased exposure of these phosphodiesterase inhibitors. Co-administration of these phosphodiesterase inhibitors with clarithromycin is not recommended. Increased systemic exposure of these drugs may occur with clarithromycin; reduction of dosage for phosphodiesterase inhibitors should be considered (see their respective prescribing information).





Proton Pump Inhibitors:





   
Omeprazole No Dose Adjustment Omeprazole: The mean 24-hour gastric pH value was 5.2 when omeprazole was administered alone and 5.7 when coadministered with clarithromycin as a result of increased omeprazole exposures [see Pharmacokinetics (12.3)] (see also Omeprazole under “Drugs That Affect Clarithromycin” in the table below).





Xanthine Derivatives:





   
Theophylline Use With Caution Theophylline: Clarithromycin use in patients who are receiving theophylline may be associated with an increase of serum theophylline concentrations [see Pharmacokinetics (12.3)] . Monitoring of serum theophylline concentrations should be considered for patients receiving high doses of theophylline or with baseline concentrations in the upper therapeutic range.





Triazolobenzodiazepines and Other Related Benzodiazepines:





   
Midazolam Use With Caution Midazolam: When oral midazolam is co-administered with clarithromycin, dose adjustments may be necessary and possible prolongation and intensity of effect should be anticipated [see Warnings and Precautions (5.4) and Pharmacokinetics (12.3)] .





Alprazolam

Triazolam
  Triazolam, Alprazolam: Caution and appropriate dose adjustments should be considered when triazolam or alprazolam is co-administered with clarithromycin. There have been postmarketing reports of drug interactions and central nervous system (CNS) effects (e.g., somnolence and confusion) with the concomitant use of clarithromycin and triazolam. Monitoring the patient for increased CNS pharmacological effects is suggested.



In postmarketing experience, erythromycin has been reported to decrease the clearance of triazolam and midazolam, and thus, may increase the pharmacologic effect of these benzodiazepines.





Temazepam

Nitrazepam

Lorazepam
No Dose Adjustment Temazepam, Nitrazepam, Lorazepam: For benzodiazepines which are not metabolized by CYP3A (e.g., temazepam, nitrazepam, lorazepam), a clinically important interaction with clarithromycin is unlikely.





Cytochrome P450 Inducers:





   
Rifabutin Use With Caution Rifabutin: Concomitant administration of rifabutin and clarithromycin resulted in an increase in rifabutin, and decrease in clarithromycin serum levels together with an increased risk of uveitis (see Rifabutin under “Drugs That Affect Clarithromycin” in the table below).





Other Drugs Metabolized by CYP3A:





   
Alfentanil

Bromocriptine

Cilostazol

Methylprednisole

Vinblastine

Phenobarbital

St. John’s Wort





Use With Caution There have been spontaneous or published reports of CYP3A based interactions of clarithromycin with alfentanil, methylprednisolone, cilostazol, bromocriptine, vinblastine, phenobarbital, and St. John’s Wort.
Other Drugs Metabolized by CYP450 Isoforms Other than CYP3A:





   
Hexobarbital

Phenytoin

Valproate
Use With Caution There have been postmarketing reports of interactions of clarithromycin with drugs not thought to be metabolized by CYP3A, including hexobarbital, phenytoin, and valproate.





Drugs that Affect Clarithromycin
Drug(s) that Affect the Pharmacokinetics of Clarithromycin Recommendation Comments
Antifungals:





   
Itraconazole



Use With Caution Itraconazole: Itraconazole may increase the plasma concentrations of clarithromycin. Patients taking itraconazole and clarithromycin concomitantly should be monitored closely for signs or symptoms of increased or prolonged adverse reactions (see also Itraconazole under “Drugs That Are Affected By Clarithromycin” in the table above).





Antivirals:





   
Atazanavir Use With Caution Atazanavir: When clarithromycin is co-administered with atazanavir, the dose of clarithromycin should be decreased by 50% [see Clinical Pharmacology (12.3)] .



Since concentrations of 14-OH clarithromycin are significantly reduced when clarithromycin is co-administered with atazanavir, alternative antibacterial therapy should be considered for indications other than infections due to Mycobacterium avium complex. Doses of clarithromycin greater than 1000 mg per day should not be co-administered with protease inhibitors.





Ritonavir (in patients with decreased renal function)   Ritonavir: Since concentrations of 14-OH clarithromycin are significantly reduced when clarithromycin is co-administered with ritonavir, alternative antibacterial therapy should be considered for indications other than infections due to Mycobacterium avium [see Pharmacokinetics (12.3)] .



Doses of clarithromycin greater than 1000 mg per day should not be co-administered with protease inhibitors.





Saquinavir (in patients with decreased renal function)   Saquinavir: When saquinavir is co-administered with ritonavir, consideration should be given to the potential effects of ritonavir on clarithromycin (refer to ritonavir above) [see Pharmacokinetics (12.3)] .





Etravirine   Etravirine: Clarithromycin exposure was decreased by etravirine; however, concentrations of the active metabolite, 14-OH-clarithromycin, were increased. Because 14-OH-clarithromycin has reduced activity against Mycobacterium avium complex (MAC), overall activity against this pathogen may be altered; therefore alternatives to clarithromycin should be considered for the treatment of MAC.





Saquinavir (in patients with normal renal function) No Dose Adjustment  
Ritonavir (in patients with normal renal function)





   
Proton Pump Inhibitors:





   
Omeprazole Use With Caution Omeprazole: Clarithromycin concentrations in the gastric tissue and mucus were also increased by concomitant administration of omeprazole [see Pharmacokinetics (12.3)] .





Miscellaneous Cytochrome P450 Inducers:





 
Efavirenz

Nevirapine

Rifampicin

Rifabutin

Rifapentine
Use With Caution Inducers of CYP3A enzymes, such as efavirenz, nevirapine, rifampicin, rifabutin, and rifapentine will increase the metabolism of clarithromycin, thus decreasing plasma concentrations of clarithromycin, while increasing those of 14-OH-clarithromycin. Since the microbiological activities of clarithromycin and 14-OH-clarithromycin are different for different bacteria, the intended therapeutic effect could be impaired during concomitant administration of clarithromycin and enzyme inducers. Alternative antibacterial treatment should be considered when treating patients receiving inducers of CYP3A. There have been spontaneous or published reports of CYP3A based interactions of clarithromycin with rifabutin (see Rifabutin under “Drugs That Are Affected By Clarithromycin” in the table above).

8.3 Nursing Mothers

Caution should be exercised when clarithromycin is administered to nursing women. The development and health benefits of human milk feeding should be considered along with the mother’s clinical need for clarithromycin and any potential adverse effects on the human milk fed child from the drug or from the underlying maternal condition.

Clarithromycin and its active metabolite 14-hydroxy clarithromycin are excreted in human milk. Serum and milk samples were obtained after 3 days of treatment, at steady state, from one published study of 12 lactating women who were taking clarithromycin 250 mg orally twice daily. Based on the limited data from this study, and assuming milk consumption of 150 mL/kg/day, an exclusively human milk fed infant would receive an estimated average of 136 mcg/kg/day of clarithromycin and its active metabolite, with this maternal dosage regimen. This is less than 2% of the maternal weight-adjusted dose (7.8 mg/kg/day, based on the average maternal weight of 64 kg), and less than 1% of the pediatric dose (15 mg/kg/day) for children greater than 6 months of age.

A prospective observational study of 55 breastfed infants of mothers taking a macrolide antibacterial (6 were exposed to clarithromycin) were compared to 36 breastfed infants of mothers taking amoxicillin. Adverse reactions were comparable in both groups. Adverse reactions occurred in 12.7% of infants exposed to macrolides and included rash, diarrhea, loss of appetite, and somnolence.

2.4 Pediatric Dosage

The recommended daily dosage is 15 mg/kg/day divided every 12 hours for 10 days (up to the adult dose). Refer to dosage regimens for mycobacterial infections in pediatric patients for additional dosage information [see Dosage and Administration (2.5)] .

4.1 Hypersensitivity

Clarithromycin is contraindicated in patients with a known hypersensitivity to clarithromycin, erythromycin, or any of the macrolide antibacterial drugs [see Warnings and Precautions (5.1)] .

Other Microorganisms
  • Chlamydophila pneumoniae
  • Helicobacter pylori
  • Mycobacterium avium complex (MAC) consisting of M. avium and M. intracellulare
  • Mycoplasma pneumoniae

At least 90 percent of the microorganisms listed below exhibit in vitro minimum inhibitory concentrations (MICs) less than or equal to the clarithromycin susceptible MIC breakpoint for organisms of similar type to those shown in Table 11. However, the efficacy of clarithromycin in treating clinical infections due to these microorganisms has not been established in adequate and well-controlled clinical trials.

12.3 Pharmacokinetics

Absorption

The absolute bioavailability of 250 mg clarithromycin tablets was approximately 50%. For a single 500 mg dose of clarithromycin, food slightly delays the onset of clarithromycin absorption, increasing the peak time from approximately 2 to 2.5 hours. Food also increases the clarithromycin peak plasma concentration by about 24%, but does not affect the extent of clarithromycin bioavailability. Food does not affect the onset of formation of the active metabolite, 14-OH clarithromycin or its peak plasma concentration but does slightly decrease the extent of metabolite formation, indicated by an 11% decrease in area under the plasma concentration-time curve (AUC). Therefore, clarithromycin tablets may be given without regard to food. In non-fasting healthy human subjects (males and females), peak plasma concentrations were attained within 2 to 3 hours after oral dosing.

Distribution

Clarithromycin and the 14-OH clarithromycin metabolite distribute readily into body tissues and fluids. There are no data available on cerebrospinal fluid penetration. Because of high intracellular concentrations, tissue concentrations are higher than serum concentrations. Examples of tissue and serum concentrations are presented below.

Table 9. Tissue and Serum Concentrations of Clarithromycin
CONCENTRATION (after 250 mg every 12 hours)
Tissue Type Tissue

(mcg/g)
Serum

(mcg/mL)
Tonsil 1.6 0.8
Lung 8.8 1.7

Metabolism and Elimination

Steady-state peak plasma clarithromycin concentrations were attained within 3 days and were approximately 1 mcg/mL to 2 mcg/mL with a 250 mg dose administered every 12 hours and 3 mcg/mL to 4 mcg/mL with a 500 mg dose administered every 8 hours to 12 hours. The elimination half-life of clarithromycin was about 3 hours to 4 hours with 250 mg administered every 12 hours but increased to 5 hours to 7 hours with 500 mg administered every 8 hours to 12 hours. The nonlinearity of clarithromycin pharmacokinetics is slight at the recommended doses of 250 mg and 500 mg administered every 8 hours to 12 hours. With a 250 mg every 12 hours dosing, the principal metabolite, 14-OH clarithromycin, attains a peak steady-state concentration of about 0.6 mcg/mL and has an elimination half-life of 5 hours to 6 hours. With a 500 mg every 8 hours to 12 hours dosing, the peak steady-state concentration of 14-OH clarithromycin is slightly higher (up to 1 mcg/mL), and its elimination half-life is about 7 hours to 9 hours. With any of these dosing regimens, the steady-state concentration of this metabolite is generally attained within 3 days to 4 days.

After a 250 mg tablet every 12 hours, approximately 20% of the dose is excreted in the urine as clarithromycin, while after a 500 mg tablet every 12 hours, the urinary excretion of clarithromycin is somewhat greater, approximately 30%. In comparison, after an oral dose of 250 mg (125 mg/5 mL) suspension every 12 hours, approximately 40% is excreted in urine as clarithromycin. The renal clearance of clarithromycin is, however, relatively independent of the dose size and approximates the normal glomerular filtration rate. The major metabolite found in urine is 14-OH clarithromycin, which accounts for an additional 10% to 15% of the dose with either a 250 mg or a 500 mg tablet administered every 12 hours.

Specific Populations

Pediatric Patients

Clarithromycin penetrates into the middle ear fluid of pediatric patients with secretory otitis media.

Table 10. Middle Ear Fluid and Serum Concentrations of Clarithromycin and 14-OH-Clarithromycin in Pediatric Patients
CONCENTRATION (after 7.5 mg/kg every 12 hours for 5 doses)
Analyte Middle Ear Fluid

(mcg/mL)
Serum

(mcg/mL)
Clarithromycin 2.5 1.7
14-OH Clarithromycin 1.3 0.8

When pediatric patients (n = 10) were administered a single oral dose of 7.5 mg/kg clarithromycin as an oral suspension, food increased mean peak plasma clarithromycin concentrations from 3.6 (± 1.5) mcg/mL to 4.6 (± 2.8) mcg/mL and the extent of absorption from 10.0 (± 5.5) hr•mcg/mL to 14.2 (± 9.4) hr•mcg/mL.

In pediatric patients requiring antibacterial therapy, administration of 7.5 mg/kg every 12 hours of clarithromycin as an oral suspension generally resulted in steady-state peak plasma concentrations of 3 mcg/mL to 7 mcg/mL for clarithromycin and 1 mcg/mL to 2 mcg/mL for 14-OH clarithromycin.

In HIV-infected pediatric patients taking 15 mg/kg of clarithromycin as an oral suspension every 12 hours, steady-state clarithromycin peak concentrations generally ranged from 6 mcg/mL to 15 mcg/mL.

HIV Infection

Steady-state concentrations of clarithromycin and 14-OH clarithromycin observed following administration of 500 mg doses of clarithromycin every 12 hours to adult patients with HIV infection were similar to those observed in healthy volunteers. In adult HIV-infected patients taking 500-mg or 1000-mg doses of clarithromycin every 12 hours, steady-state clarithromycin C max values ranged from 2 mcg/mL to 4 mcg/mL and 5 mcg/mL to 10 mcg/mL, respectively.

Hepatic Impairment

The steady-state concentrations of clarithromycin in subjects with impaired hepatic function did not differ from those in normal subjects; however, the 14-OH clarithromycin concentrations were lower in the hepatically impaired subjects. The decreased formation of 14-OH clarithromycin was at least partially offset by an increase in renal clearance of clarithromycin in the subjects with impaired hepatic function when compared to healthy subjects.

Renal Impairment

The pharmacokinetics of clarithromycin was also altered in subjects with impaired renal function [see Use in Specific Populations (8.6) and Dosage and Administration (2.5)] .

Drug Interactions

Fluconazole

Following administration of fluconazole 200 mg daily and clarithromycin 500 mg twice daily to 21 healthy volunteers, the steady-state clarithromycin C min and AUC increased 33% and 18%, respectively. Clarithromycin exposures were increased and steady-state concentrations of 14-OH clarithromycin were not significantly affected by concomitant administration of fluconazole.

Colchicine

When a single dose of colchicine 0.6 mg was administered with clarithromycin 250 mg BID for 7 days, the colchicine C max increased 197% and the AUC 0-∞ increased 239% compared to administration of colchicine alone.

Atazanavir

Following administration of clarithromycin (500 mg twice daily) with atazanavir (400 mg once daily), the clarithromycin AUC increased 94%, the 14-OH clarithromycin AUC decreased 70% and the atazanavir AUC increased 28%.

Ritonavir

Concomitant administration of clarithromycin and ritonavir (n = 22) resulted in a 77% increase in clarithromycin AUC and a 100% decrease in the AUC of 14-OH clarithromycin.

Saquinavir

Following administration of clarithromycin (500 mg bid) and saquinavir (soft gelatin capsules, 1200 mg tid) to 12 healthy volunteers, the steady-state saquinavir AUC and C max increased 177% and 187% respectively compared to administration of saquinavir alone. Clarithromycin AUC and C max increased 45% and 39% respectively, whereas the 14–OH clarithromycin AUC and C max decreased 24% and 34% respectively, compared to administration with clarithromycin alone.

Didanosine

Simultaneous administration of clarithromycin tablets and didanosine to 12 HIV-infected adult patients resulted in no statistically significant change in didanosine pharmacokinetics.

Zidovudine

Following administration of clarithromycin 500 mg tablets twice daily with zidovudine 100 mg every 4 hours, the steady-state zidovudine AUC decreased 12% compared to administration of zidovudine alone (n=4). Individual values ranged from a decrease of 34% to an increase of 14%. When clarithromycin tablets were administered two to four hours prior to zidovudine, the steady-state zidovudine C max increased 100% whereas the AUC was unaffected (n=24).

Omeprazole

Clarithromycin 500 mg every 8 hours was given in combination with omeprazole 40 mg daily to healthy adult subjects. The steady-state plasma concentrations of omeprazole were increased (C max, AUC 0-24, and t½ increases of 30%, 89%, and 34%, respectively), by the concomitant administration of clarithromycin.

The plasma levels of clarithromycin and 14–OH clarithromycin were increased by the concomitant administration of omeprazole. For clarithromycin, the mean C max was 10% greater, the mean C min was 27% greater, and the mean AUC 0-8 was 15% greater when clarithromycin was administered with omeprazole than when clarithromycin was administered alone. Similar results were seen for 14–OH clarithromycin, the mean C max was 45% greater, the mean C min was 57% greater, and the mean AUC 0-8 was 45% greater. Clarithromycin concentrations in the gastric tissue and mucus were also increased by concomitant administration of omeprazole.

Clarithromycin Tissue Concentrations 2 hours after Dose (mcg/mL)/(mcg/g)
Treatment N antrum fundus N Mucus
Clarithromycin 5 10.48 ± 2.01 20.81 ± 7.64 4 4.15 ± 7.74
Clarithromycin + Omeprazole 5 19.96 ± 4.71 24.25 ± 6.37 4 39.29 ± 32.79

Theophylline

In two studies in which theophylline was administered with clarithromycin (a theophylline sustained-release formulation was dosed at either 6.5 mg/kg or 12 mg/kg together with 250 or 500 mg q12h clarithromycin), the steady-state levels of C max, C min, and the area under the serum concentration time curve (AUC) of theophylline increased about 20%.

Midazolam

When a single dose of midazolam was co-administered with clarithromycin tablets (500 mg twice daily for 7 days), midazolam AUC increased 174% after intravenous administration of midazolam and 600% after oral administration.

For information about other drugs indicated in combination with clarithromycin, refer to their full prescribing information, CLINICAL PHARMACOLOGY section.

1.6 Acute Otitis Media

Clarithromycin tablets, USP are indicated in pediatric patients for the treatment of mild to moderate infections caused by susceptible isolates due to Haemophilus influenzae, Moraxella catarrhalis, or Streptococcus pneumoniae [see Clinical Studies (14.2)] .

1.9 Limitations of Use

There is resistance to macrolides in certain bacterial infections caused by Streptococcus pneumoniae and Staphylococcus aureus. Susceptibility testing should be performed when clinically indicated.

Gram Negative Bacteria
  • Haemophilus influenzae
  • Haemophilus parainfluenzae
  • Moraxella catarrhalis
Gram Positive Bacteria
  • Staphylococcus aureus
  • Streptococcus pneumoniae
  • Streptococcus pyogenes
1 Indications and Usage

Clarithromycin is a macrolide antimicrobial indicated for mild to moderate infections caused by designated, susceptible bacteria in the following:

  • Acute Bacterial Exacerbation of Chronic Bronchitis in Adults (1.1)
  • Acute Maxillary Sinusitis (1.2)
  • Community-Acquired Pneumonia (1.3)
  • Pharyngitis/Tonsillitis (1.4)
  • Uncomplicated Skin and Skin Structure Infections (1.5)
  • Acute Otitis Media in Pediatric Patients (1.6)
  • Treatment and Prophylaxis of Disseminated Mycobacterial Infections (1.7)
  • Helicobacter pylori Infection and Duodenal Ulcer Disease in Adults (1.8)



To reduce the development of drug-resistant bacteria and maintain the effectiveness of clarithromycin and other antibacterial drugs, clarithromycin should be used only to treat or prevent infections that are proven or strongly suspected to be caused by bacteria. (1.9)

1.8 Helicobacter Pylori

Clarithromycin tablet, USP is given in combination with other drugs in adults as described below to eradicate H. pylori. The eradication of H. pylori has been demonstrated to reduce the risk of duodenal ulcer recurrence [see Clinical Studies (14.3)] .

  • Clarithromycin tablets, USP in combination with amoxicillin and PREVACID (lansoprazole) or PRILOSEC (omeprazole) Delayed-Release Capsules, as triple therapy, are indicated for the treatment of patients with H. pylori infection and duodenal ulcer disease (active or five-year history of duodenal ulcer) to eradicate H. pylori.
  • Clarithromycin tablets, USP in combination with PRILOSEC (omeprazole) capsules are indicated for the treatment of patients with an active duodenal ulcer associated with H. pylori infection. Regimens which contain clarithromycin tablets, USP as the single antibacterial agent are more likely to be associated with the development of clarithromycin resistance among patients who fail therapy. Clarithromycin-containing regimens should not be used in patients with known or suspected clarithromycin resistant isolates because the efficacy of treatment is reduced in this setting.
4.2 Cardiac Arrhythmias

Concomitant administration of clarithromycin with cisapride and pimozide is contraindicated [see Drug Interactions (7)] .

There have been postmarketing reports of drug interactions when clarithromycin is co-administered with cisapride or pimozide, resulting in cardiac arrhythmias (QT prolongation, ventricular tachycardia, ventricular fibrillation, and torsades de pointes) most likely due to inhibition of metabolism of these drugs by clarithromycin. Fatalities have been reported.

12.1 Mechanism of Action

Clarithromycin is a macrolide antimicrobial drug [see Microbiology (12.4)] .

5.6 Embryofetal Toxicity

Clarithromycin should not be used in pregnant women except in clinical circumstances where no alternative therapy is appropriate. If clarithromycin is used during pregnancy, or if pregnancy occurs while the patient is taking this drug, the patient should be apprised of the potential hazard to the fetus. Clarithromycin has demonstrated adverse effects on pregnancy outcome and/or embryo-fetal development in monkeys, rats, mice, and rabbits at doses that produced plasma levels 2 times to 17 times the serum levels achieved in humans treated at the maximum recommended human doses [see Use in Specific Populations (8.1)] .

5.5 Clostridium Difficile

Clostridium difficile associated diarrhea (CDAD) has been reported with use of nearly all antibacterial agents, including clarithromycin, and may range in severity from mild diarrhea to fatal colitis. Treatment with antibacterial agents alters the normal flora of the colon leading to overgrowth of C. difficile.

C. difficile produces toxins A and B which contribute to the development of CDAD. Hypertoxin producing strains of C. difficile cause increased morbidity and mortality, as these infections can be refractory to antimicrobial therapy and may require colectomy. CDAD must be considered in all patients who present with diarrhea following antibacterial use. Careful medical history is necessary since CDAD has been reported to occur over two months after the administration of antibacterial agents.

If CDAD is suspected or confirmed, ongoing antibacterial use not directed against C. difficile may need to be discontinued. Appropriate fluid and electrolyte management, protein supplementation, antibacterial treatment of C. difficile, and surgical evaluation should be instituted as clinically indicated.

5 Warnings and Precautions
  • Severe acute hypersensitivity reactions: Discontinue clarithromycin if occurs (5.1)
  • QT prolongation: Avoid clarithromycin in patients with known QT prolongation or receiving drugs known to prolong the QT interval, ventricular arrhythmia (torsade de pointes), hypokalemia/hypomagnesemia, significant bradycardia, or taking Class IA or III antiarrhythmics (5.2)
  • Hepatotoxicity: Discontinue if signs and symptoms of hepatitis occur (5.3)
  • Serious adverse reactions can occur due to drug interactions of clarithromycin with colchicine, some HMG CoA reductase inhibitors, some calcium channel blockers, and other drugs (5.4)
  • Clostridium difficile associated diarrhea (CDAD): Evaluate if diarrhea occurs (5.5)
  • Embryofetal toxicity: Clarithromycin should not be used in pregnant women except in clinical circumstances where no alternative therapy is appropriate (5.6)
  • Exacerbation of myasthenia gravis (5.7)
1.4 Pharyngitis/tonsillitis

Clarithromycin tablets, USP are indicated for the treatment of mild to moderate infections caused by susceptible isolates due to Streptococcus pyogenes as an alternative in individuals who cannot use first line therapy.

2 Dosage and Administration
  • Adults: clarithromycin 250 mg or 500 mg every 12 hours for 7–14 days (2.2)
  • H. pylori eradication (in combination with lansoprazole/amoxicillin, omeprazole/amoxicillin, or omeprazole): clarithromycin 500 mg every 8 or 12 hours for 10–14 days. See full prescribing information (FPI) for additional information. (2.3)
  • Pediatric Patients: clarithromycin 15 mg/kg/day divided every 12 hours for 10 days (2.4)
  • Mycobacterial Infections: clarithromycin 500 mg every 12 hours; clarithromycin 7.5 mg/kg up to 500 mg every 12 hours in pediatric patients (2.5)
  • Reduce dose in moderate renal impairment with concomitant atazanavir or ritonavir-containing regimens and in severe renal impairment (2.6)
3 Dosage Forms and Strengths

Clarithromycin tablets USP, 250 mg are white to off-white oval film-coated tablets debossed with "S39" on one side and blank on the other side.

Clarithromycin tablets USP, 500 mg are white to off-white oval film-coated tablets debossed with "S4" on one side and blank on the other side.

6.2 Postmarketing Experience

The following adverse reactions have been identified during post-approval use of clarithromycin. Because these reactions are reported voluntarily from a population of uncertain size, it is not always possible to reliably estimate their frequency or establish a causal relationship to drug exposure.

Blood and Lymphatic System: Thrombocytopenia, agranulocytosis

Cardiac: Ventricular arrhythmia, ventricular tachycardia, torsades de pointes

Ear and Labyrinth: Deafness was reported chiefly in elderly women and was usually reversible.

Gastrointestinal: Pancreatitis acute, tongue discoloration, tooth discoloration was reported and was usually reversible with professional cleaning upon discontinuation of the drug.

There have been reports of clarithromycin extended-release tablets in the stool, many of which have occurred in patients with anatomic (including ileostomy or colostomy) or functional gastrointestinal disorders with shortened GI transit times. In several reports, tablet residues have occurred in the context of diarrhea. It is recommended that patients who experience tablet residue in the stool and no improvement in their condition should be switched to a different clarithromycin formulation (e.g. suspension) or another antibacterial drug.

Hepatobiliary: Hepatic failure, jaundice hepatocellular. Adverse reactions related to hepatic dysfunction have been reported with clarithromycin [see Warnings and Precautions (5.2)] .

Infections and Infestations: Pseudomembranous colitis [see Warnings and Precautions (5.5)]

Immune System: Anaphylactic reactions, angioedema

Investigations: Prothrombin time prolonged, white blood cell count decreased, international normalized ratio increased. Abnormal urine color has been reported, associated with hepatic failure.

Metabolism and Nutrition: Hypoglycemia has been reported in patients taking oral hypoglycemic agents or insulin.

Musculoskeletal and Connective Tissue: Myopathy rhabdomyolysis was reported and in some of the reports, clarithromycin was administered concomitantly with statins, fibrates, colchicine or allopurinol [see Contraindications (4.5) and Warnings and Precautions (5.4)] .

Nervous System: Parosmia, anosmia, ageusia, paresthesia and convulsions

Psychiatric: Abnormal behavior, confusional state, depersonalization, disorientation, hallucination, depression, manic behavior, abnormal dream, psychotic disorder. These disorders usually resolve upon discontinuation of the drug.

Renal and Urinary: Nephritis interstitial, renal failure

Skin and Subcutaneous Tissue: Stevens-Johnson syndrome, toxic epidermal necrolysis, drug rash with eosinophilia and systemic symptoms (DRESS), Henoch-Schonlein purpura, acne

Vascular: Hemorrhage

1.2 Acute Maxillary Sinusitis

Clarithromycin tablets, USP are indicated for the treatment of mild to moderate infections caused by susceptible isolates due to Haemophilus influenzae, Moraxella catarrhalis, or Streptococcus pneumoniae [see Indications and Usage (1.9)] .

8 Use in Specific Populations

Geriatric: Increased risk of torsades de pointes (8.5)

6.1 Clinical Trials Experience

Because clinical studies are conducted under widely varying conditions, adverse reaction rates observed in the clinical studies of a drug cannot be directly compared to rates in the clinical studies of another drug and may not reflect the rates observed in practice.

Based on pooled data across all indications, the most frequent adverse reactions for both adult and pediatric populations observed in clinical trials are abdominal pain, diarrhea, nausea, vomiting and dysgeusia. Also reported were dyspepsia, liver function test abnormal, anaphylactic reaction, candidiasis, headache, insomnia, and rash.

The subsequent subsections list the most common adverse reactions for prophylaxis and treatment of mycobacterial infections and duodenal ulcer associated with H. pylori infection. In general, these profiles are consistent with the pooled data described above.

Prophylaxis of Mycobacterial Infections

In AIDS patients treated with clarithromycin over long periods of time for prophylaxis against M. avium, it was often difficult to distinguish adverse reactions possibly associated with clarithromycin administration from underlying HIV disease or intercurrent illness. Median duration of treatment was 10.6 months for the clarithromycin group and 8.2 months for the placebo group.

Table 4. Incidence Rates (%) of Selected Adverse Reactions a in Immunocompromised Adult Patients Receiving Prophylaxis Against M. avium Complex
Body System b

Clarithromycin

(n=339)

%
Placebo

(n=339)

%
Adverse Reaction
Body as a Whole    
Abdominal pain 5% 4%
Headache 3% 1%
Digestive    
Diarrhea 8% 4%
Dyspepsia 4% 3%
Flatulence 2% 1%
Nausea 11% 7%
Vomiting 6% 3%
Skin & Appendages    
Rash 3% 4%
Special Senses    
Taste Perversion 8% c 0.3%

a Includes those events possibly or probably related to study drug and excludes concurrent conditions

b 2% or greater Adverse Reaction Incidence Rates for either treatment group

c Significant higher incidence compared to the placebo-treated group

Discontinuation due to adverse reactions occurred in 18% of patients receiving clarithromycin compared to 17% of patients receiving placebo in this trial. Primary reasons for discontinuation in clarithromycin treated patients include headache, nausea, vomiting, depression, and taste perversion.

Changes in Laboratory Values

Selected laboratory adverse experiences that were reported during therapy in greater than 2 % of adult patients treated with clarithromycin in a randomized double-blind clinical trial involving 682 patients are presented in Table 5.

In immunocompromised patients receiving prophylaxis against M. avium, evaluations of laboratory values were made by analyzing those values outside the seriously abnormal value (i.e., the extreme high or low limit) for the specified test.

Table 5. Percentage of Patients a Exceeding Extreme Laboratory Values in Patients Receiving Prophylaxis Against M. avium Complex
  Clarithromycin 500 mg

twice a day
Placebo
WBC Count <1 x 10 9/L 2/103 (4%) 0/95
SGOT >5 x ULN b 7/196 (4%) 5/208 (2%)
SGPT >5 x ULN b 6/217 (3%) 4/232 (2%)

a Includes only patients with baseline values within the normal range or borderline high (hematology variables) and within normal range or borderline low (chemistry variables)

b ULN= Upper Limit of Normal

Treatment of Mycobacterial Infections

The adverse reaction profiles for both the 500 mg and 1000 mg twice a day dose regimens were similar.

In AIDS patients and other immunocompromised patients treated with the higher doses of clarithromycin over long periods of time for mycobacterial infections, it was often difficult to distinguish adverse reactions possibly associated with clarithromycin administration from underlying signs of HIV disease or intercurrent illness.

The following analysis summarizes experience during the first 12 weeks of therapy with clarithromycin. Data are reported separately for trial 1 (randomized, double-blind) and trial 2 (open-labeled, compassionate use) and also combined. Adverse reactions were reported less frequently in trial 2, which may be due in part to differences in monitoring between the two studies.

In adult patients receiving clarithromycin 500 mg twice a day, the most frequently reported adverse reactions, considered possibly or possibly related to study drug, with an incidence of 5% or greater, are listed below (Table 6). Approximately 8% of the patients who received 500 mg twice a day and 12% of the patients who received 1000 mg twice a day discontinued therapy due to drug related adverse reactions during the first 12 weeks of therapy; adverse reactions leading to discontinuation in at least 2 patients included nausea, vomiting, abdominal pain, diarrhea, rash, and asthenia.

Table 6. Selected Treatment-Related a Adverse Reaction Incidence Rates (%) in Immunocompromised Adult Patients During the First 12 Weeks of Therapy with 500 mg Twice a Day Clarithromycin Dose
Adverse Reaction Trial 1

(n=53)
Trial 2

(n=255)
Combined

(n=308)
Abdominal Pain 8 2 3
Diarrhea 9 2 3
Flatulence 8 0 1
Headache 8 0 2
Nausea 28 9 12
Rash 9 2 3
Taste Perversion 19 0 4
Vomiting 25 4 8
a Includes those events possibly or probably related to study drug and excludes concurrent conditions

A limited number of pediatric AIDS patients have been treated with clarithromycin suspension for mycobacterial infections. The most frequently reported adverse reactions excluding those due to the patient’s concurrent conditions were consistent with those observed in adult patients.

Changes in Laboratory Values

In the first 12 weeks of starting on clarithromycin 500 mg twice a day, 3% of patients has SGOT increases and 2% of patients has SGPT increases > 5 times the upper limit of normal in trial 2 (469 enrolled adult patients) while trial 1 (154 enrolled patients) had no elevation of transaminases. This includes only patients with baseline values within the normal range or borderline low.

Duodenal ulcer associated with H. pylori Infection

In clinical trials using combination therapy with clarithromycin plus omeprazole and amoxicillin, no adverse reactions specific to the combination of these drugs have been observed. Adverse reactions that have occurred have been limited to those that have been previously reported with clarithromycin, omeprazole or amoxicillin.

The adverse reaction profiles are shown below (Table 7) for four randomized double-blind clinical trials in which patients received the combination of clarithromycin 500 mg three times a day, and omeprazole 40 mg daily for 14 days, followed by omeprazole 20 mg once a day, (three studies) or 40 mg once a day (one study) for an additional 14 days. Of the 346 patients who received the combination, 3.5% of patients discontinued drug due to adverse reactions.

Table 7. Adverse Reactions with an Incidence of 3% or Greater
Adverse Reaction Clarithromycin + Omeprazole

(n=346)

% of Patients
Omeprazole

(n=355)

% of Patients
Clarithromycin

(n=166)

% of Patients a
Taste Perversion 15 1 16
Nausea 5 1 3
Headache 5 6 9
Diarrhea 4 3 7
Vomiting 4 <1 1
Abdominal Pain 3 2 1
Infection 3 4 2
a Only two of four studies

Changes in Laboratory Values

Changes in laboratory values with possible clinical significance in patients taking clarithromycin and omeprazole in four randomized double-blind trials in 945 patients are as follows:

Hepatic: elevated direct bilirubin <1%; GGT <1%; SGOT (AST) <1%; SGPT (ALT) <1%, Renal: elevated serum creatinine <1%.

Less Frequent Adverse Reactions Observed During Clinical Trials of Clarithromycin

Based on pooled data across all indications, the following adverse reactions were observed in clinical trials with clarithromycin at a rate less than 1%:

Blood and Lymphatic System Disorders: Leukopenia, neutropenia, thrombocythemia, eosinophilia

Cardiac Disorders: Electrocardiogram QT prolonged, cardiac arrest, atrial fibrillation, extrasystoles, palpitations

Ear and Labyrinth Disorders: Vertigo, tinnitus, hearing impaired

Gastrointestinal Disorders: Stomatitis, glossitis, esophagitis, gastrooesophageal reflux disease, gastritis, proctalgia, abdominal distension, constipation, dry mouth, eructation, flatulence

General Disorders and Administration Site Conditions: Malaise, pyrexia, asthenia, chest pain, chills, fatigue

Hepatobiliary Disorders: Cholestasis, hepatitis

Immune System Disorders: Hypersensitivity

Infections and Infestations: Cellulitis, gastroenteritis, infection, vaginal infection

Investigations: Blood bilirubin increased, blood alkaline phosphatase increased, blood lactate dehydrogenase increased, albumin globulin ratio abnormal

Metabolism and Nutrition Disorders: Anorexia, decreased appetite

Musculoskeletal and Connective Tissue Disorders: Myalgia, muscle spasms, nuchal rigidity

Nervous System Disorders: Dizziness, tremor, loss of consciousness, dyskinesia, somnolence

Psychiatric Disorders: Anxiety, nervousness

Renal and Urinary Disorders: Blood creatinine increased, blood urea increased

Respiratory, Thoracic and Mediastinal Disorders: Asthma, epistaxis, pulmonary embolism

Skin and Subcutaneous Tissue Disorders: Urticaria, dermatitis bullous, pruritus, hyperhidrosis, rash maculo-papular

Gastrointestinal Adverse Reactions

In the acute exacerbation of chronic bronchitis and acute maxillary sinusitis studies overall gastrointestinal adverse reactions were reported by a similar proportion of patients taking either clarithromycin tablets or clarithromycin extended-release tablets; however, patients taking clarithromycin extended-release tablets reported significantly less severe gastrointestinal symptoms compared to patients taking clarithromycin tablets. In addition, patients taking clarithromycin extended-release tablets had significantly fewer premature discontinuations for drug-related gastrointestinal or abnormal taste adverse reactions compared to clarithromycin tablets.

1.3 Community Acquired Pneumonia

Clarithromycin tablets, USP are indicated [see Indications and Usage (1.9)] for the treatment of mild to moderate infections caused by susceptible isolates due to:



  • Haemophilus influenzae (in adults)



  • Mycoplasma pneumoniae, Streptococcus pneumoniae, Chlamydophila pneumoniae

4.5 Hmg Coa Reductase Inhibitors

Do not use clarithromycin concomitantly with HMG-CoA reductase inhibitors (statins) that are extensively metabolized by CYP3A4 (lovastatin or simvastatin), due to the increased risk of myopathy, including rhabdomyolysis [see Warnings and Precautions (5.4) and Drug Interactions (7)] .

8.6 Renal and Hepatic Impairment

Clarithromycin is principally excreted via the liver and kidney. Clarithromycin may be administered without dosage adjustment to patients with hepatic impairment and normal renal function. However, in the presence of severe renal impairment with or without coexisting hepatic impairment, decreased dosage or prolonged dosing intervals may be appropriate [see Dosage and Administration (2.5)] .

17 Patient Counseling Information

Provide the following instructions or information about clarithromycin tablets to patients:

  • Counsel patients that antibacterial drugs including clarithromycin tablets should only be used to treat bacterial infections. They do not treat viral infections (e.g., the common cold). When clarithromycin tablet is prescribed to treat a bacterial infection, patients should be told that although it is common to feel better early in the course of therapy, the medication should be taken exactly as directed. Skipping doses or not completing the full course of therapy may (1) decrease the effectiveness of the immediate treatment and (2) increase the likelihood that bacteria will develop resistance and will not be treatable by clarithromycin tablets or other antibacterial drugs in the future.
  • Advise patients that diarrhea is a common problem caused by antibacterials including clarithromycin tablets which usually ends when the antibacterial is discontinued. Sometimes after starting treatment with antibacterials, patients can develop watery and bloody stools (with or without stomach cramps and fever) even as late as two or more months after having taken the last dose of the antibacterial. If this occurs, instruct patients to contact their healthcare provider as soon as possible.
  • Advise patients that clarithromycin tablets may interact with some drugs; therefore, advise patients to report to their healthcare provider the use of any other medications.
  • Advise patients that clarithromycin tablets can be taken with or without food and can be taken with milk.
  • There are no data on the effect of clarithromycin tablets on the ability to drive or use machines. However, counsel patients regarding the potential for dizziness, vertigo, confusion and disorientation, which may occur with the medication. The potential for these adverse reactions should be taken into account before patients drive or use machines.
  • Advise patients that if pregnancy occurs while taking this drug, there is a potential hazard to the fetus [see Warnings and Precautions (5.6) and Use in Specific Populations (8.1)] .
16 How Supplied/storage and Handling

Clarithromycin tablets, USP are supplied as white to off-white oval film-coated tablets in the following packaging sizes:

500 mg tablets: (debossed with the S4 on one side)

Bottles of 14 NDC 68071-3116-4

Bottles of 20 NDC 68071-3116-2

Bottles of 28 NDC 68071-3116-8

Bottles of 30 NDC 68071-3116-3

Store clarithromycin tablets, USP at controlled room temperature 20° to 25°C (68° to 77°F) in a well-closed container.

5.1 Acute Hypersensitivity Reactions

In the event of severe acute hypersensitivity reactions, such as anaphylaxis, Stevens-Johnson Syndrome, toxic epidermal necrolysis, drug rash with eosinophilia and systemic symptoms (DRESS), and Henoch-Schonlein purpura, discontinue clarithromycin therapy immediately and institute appropriate treatment.

5.7 Exacerbation of Myasthenia Gravis

Exacerbation of symptoms of myasthenia gravis and new onset of symptoms of myasthenic syndrome has been reported in patients receiving clarithromycin therapy.

2.1 Important Administration Instructions

Clarithromycin tablets may be given with or without food.

13.2 Animal Toxicology And/or Pharmacology

Corneal opacity occurred in dogs at doses 12 times and in monkeys at doses 8 times greater than the maximum human daily dose (on a body surface area basis). Lymphoid depletion occurred in dogs at doses 3 times greater than and in monkeys at doses 2 times greater than the maximum human daily dose (on a body surface area basis).

5.8 Development of Drug Resistant Bacteria

Prescribing clarithromycin in the absence of a proven or strongly suspected bacterial infection or a prophylactic indication is unlikely to provide benefit to the patient and increases the risk of the development of drug-resistant bacteria.

4.3 Cholestatic Jaundice/hepatic Dysfunction

Clarithromycin is contraindicated in patients with a history of cholestatic jaundice or hepatic dysfunction associated with prior use of clarithromycin.

2.3 Combination Dosing Regimens for H. Pylori
  • Triple therapy: clarithromycin/lansoprazole/amoxicillin

    The recommended adult dosage is 500 mg clarithromycin, 30 mg lansoprazole, and 1 gram amoxicillin, all given every 12 hours for 10 or 14 days [see Indications and Usage (1.8) and Clinical Studies (14.3)] .

  • Triple therapy: clarithromycin/omeprazole/amoxicillin

    The recommended adult dosage is 500 mg clarithromycin, 20 mg omeprazole, and 1 gram amoxicillin; all given every 12 hours for 10 days. In patients with an ulcer present at the time of initiation of therapy, an additional 18 days of omeprazole 20 mg once daily is recommended for ulcer healing and symptom relief [see Indications and Usage (1.8) and Clinical Studies (14.3)] .

  • Dual therapy: clarithromycin/omeprazole

    The recommended adult dosage is 500 mg clarithromycin given every 8 hours and 40 mg omeprazole given once every morning for 14 days. An additional 14 days of omeprazole 20 mg once daily is recommended for ulcer healing and symptom relief [see Indications and Usage (1.8) and Clinical Studies (14.3)] .

2.7 Dosage Adjustment Due to Drug Interactions

Decrease the dose of clarithromycin by 50 % when co-administered with atazanavir [see Drug Interactions (7)] . Dosage adjustments for other drugs when co-administered with clarithromycin may be recommended due to drug interactions [see Drug Interactions (7)] .

4.7 Contraindications for Co Administered Drugs

For information about contraindications of other drugs indicated in combination with clarithromycin, refer to their full prescribing information (contraindications section).

2.5 Dosage Regimens for Mycobacterial Infections

For the treatment of disseminated infection due to Mycobacterium avium complex (MAC), clarithromycin is recommended as the primary agents. Clarithromycin should be used in combination with other antimycobacterial drugs (e.g. ethambutol) that have shown in vitro activity against MAC or clinical benefit in MAC treatment [see Clinical Studies (14.1)] .

Adult Patients

For treatment and prophylaxis of mycobacterial infections in adults, the recommended dose of clarithromycin is 500 mg every 12 hours.

Pediatric Patients

For treatment and prophylaxis of mycobacterial infections in pediatric patients, the recommended dose is 7.5 mg/kg every 12 hours up to 500 mg every 12 hours. [See Use in Specific Populations (8.4) and Clinical Studies (14.1)] .

Clarithromycin therapy should continue if clinical response is observed. Clarithromycin can be discontinued when the patient is considered at low risk of disseminated infection.

1.5 Uncomplicated Skin and Skin Structure Infections

Clarithromycin tablets, USP are indicated for the treatment of mild to moderate infections caused by susceptible isolates due to Staphylococcus aureus, or Streptococcus pyogenes.

1.1 Acute Bacterial Exacerbation of Chronic Bronchitis

Clarithromycin tablets, USP are indicated in adults for the treatment of mild to moderate infections caused by susceptible isolates due to Haemophilus influenzae, Haemophilus parainfluenzae, Moraxella catarrhalis, or Streptococcus pneumoniae [see Indications and Usage (1.9)] .

2.6 Dosage Adjustment in Patients With Renal Impairment

See Table 2 for dosage adjustment in patients with moderate or severe renal impairment with or without concomitant atazanavir or ritonavir-containing regimens [see Drug Interactions (7)] .

Table 2. Clarithromycin Dosage Adjustments in Patients with Renal Impairment
  Recommended Clarithromycin Dosage Reduction
Patients with severe renal impairment (CL cr of <30 mL/min) Reduce the dosage of clarithromycin by 50%
Patients with moderate renal impairment (CL cr of 30 to 60 mL/min) taking concomitant atazanavir or ritonavir-containing regimens Reduce the dosage of clarithromycin by 50%
Patients with severe renal impairment (CL cr of <30 mL/min) taking concomitant atazanavir or ritonavir-containing regimens Reduce the dosage of clarithromycin by 75%
13.1 Carcinogenesis, Mutagenesis, Impairment of Fertility

The following in vitro mutagenicity tests have been conducted with clarithromycin:

  • Salmonella/Mammalian Microsomes Test
  • Bacterial Induced Mutation Frequency Test
  • In Vitro Chromosome Aberration Test
  • Rat Hepatocyte DNA Synthesis Assay
  • Mouse Lymphoma Assay
  • Mouse Dominant Lethal Study
  • Mouse Micronucleus Test

All tests had negative results except the in vitro chromosome aberration test which was positive in one test and negative in another. In addition, a bacterial reverse-mutation test (Ames test) has been performed on clarithromycin metabolites with negative results.

Impairment of Fertility

Fertility and reproduction studies have shown that daily doses of up to 160 mg/kg/ to male and female rats caused no adverse effects on the estrous cycle, fertility, parturition, or number and viability of offspring. Plasma levels in rats after 150 mg/kg/day were twice the human serum levels.

Testicular atrophy occurred in rats at doses 7 times, in dogs at doses 3 times, and in monkeys at doses 8 times greater than the maximum human daily dose (on a body surface area basis).

5.4 Serious Adverse Reactions Due to Concomitant Use With Other Drugs

Serious adverse reactions have been reported in patients taking clarithromycin concomitantly with CYP3A4 substrates. These include colchicine toxicity with colchicine; rhabdomyolysis with simvastatin, lovastatin, and atorvastatin; ; hypotension and with calcium channel blockers metabolized by CYP3A4 (e.g., verapamil, amlodipine, diltiazem, ). . Use clarithromycin with caution when administered concurrently with medications that induce the cytochrome CYP3A4 enzyme. The use of clarithromycin with simvastatin, lovastatin, ergotamine, or dihydroergotamine is contraindicated . Drugs metabolized by CYP3A4: Serious adverse reactions have been reported in patients taking clarithromycin concomitantly with CYP3A4 substrates. These include colchicine toxicity with colchicine; rhabdomyolysis with simvastatin, lovastatin, and atorvastatin; hypoglycemia with disopyramide; hypotension and acute kidney injury with calcium channel blockers metabolized by CYP3A4 (e.g., verapamil, amlodipine, diltiazem, nifedipine). Most reports of acute kidney injury with calcium channel blockers metabolized by CYP3A4 involved elderly patients 65 years of age or older. Use clarithromycin with caution when administered concurrently with medications that induce the cytochrome CYP3A4 enzyme. The use of clarithromycin with simvastatin, lovastatin, ergotamine, or dihydroergotamine is contraindicated [see Contraindications (4.5, 4.6) and Drug Interactions (7)] .

Life-threatening and fatal drug interactions have been reported in patients treated with clarithromycin and colchicine. Clarithromycin is a strong CYP3A4 inhibitor and this interaction may occur while using both drugs at their recommended doses. If co-administration of clarithromycin and colchicine is necessary in patients with normal renal and hepatic function, reduce the dose of colchicine. Monitor patients for clinical symptoms of colchicine toxicity. Concomitant administration of clarithromycin and colchicine is contraindicated in patients with renal or hepatic impairment . Colchicine: Life-threatening and fatal drug interactions have been reported in patients treated with clarithromycin and colchicine. Clarithromycin is a strong CYP3A4 inhibitor and this interaction may occur while using both drugs at their recommended doses. If co-administration of clarithromycin and colchicine is necessary in patients with normal renal and hepatic function, reduce the dose of colchicine. Monitor patients for clinical symptoms of colchicine toxicity. Concomitant administration of clarithromycin and colchicine is contraindicated in patients with renal or hepatic impairment [see Contraindications (4.4) and Drug Interactions (7)] .

Concomitant use of clarithromycin with lovastatin or simvastatin is contraindicated as these statins are extensively metabolized by CYP3A4, and concomitant treatment with clarithromycin increases their plasma concentration, which increases the risk of myopathy, including rhabdomyolysis. Cases of rhabdomyolysis have been reported in patients taking clarithromycin concomitantly with these statins. If treatment with clarithromycin cannot be avoided, therapy with lovastatin or simvastatin must be suspended during the course of treatment. HMG-CoA Reductase Inhibitors (statins): Concomitant use of clarithromycin with lovastatin or simvastatin is contraindicated [see Contraindications (4.5)] as these statins are extensively metabolized by CYP3A4, and concomitant treatment with clarithromycin increases their plasma concentration, which increases the risk of myopathy, including rhabdomyolysis. Cases of rhabdomyolysis have been reported in patients taking clarithromycin concomitantly with these statins. If treatment with clarithromycin cannot be avoided, therapy with lovastatin or simvastatin must be suspended during the course of treatment.

Exercise caution when prescribing clarithromycin with atorvastatin or pravastatin. In situations where the concomitant use of clarithromycin with atorvastatin or pravastatin cannot be avoided, atorvastatin dose should not exceed 20 mg daily and pravastatin dose should not exceed 40 mg daily. Use of a statin that is not dependent on CYP3A metabolism (e.g. fluvastatin) can be considered. It is recommended to prescribe the lowest registered dose if concomitant use cannot be avoided.Exercise caution when prescribing clarithromycin with atorvastatin or pravastatin. In situations where the concomitant use of clarithromycin with atorvastatin or pravastatin cannot be avoided, atorvastatin dose should not exceed 20 mg daily and pravastatin dose should not exceed 40 mg daily. Use of a statin that is not dependent on CYP3A metabolism (e.g. fluvastatin) can be considered. It is recommended to prescribe the lowest registered dose if concomitant use cannot be avoided.

The concomitant use of clarithromycin and oral hypoglycemic agents and/or insulin can result in significant hypoglycemia. With certain hypoglycemic drugs such as nateglinide, pioglitazone, repaglinide and rosiglitazone, inhibition of CYP3A enzyme by clarithromycin may be involved and could cause hypoglycemia when used concomitantly. Careful monitoring of glucose is recommended . Oral Hypoglycemic Agents/Insulin: The concomitant use of clarithromycin and oral hypoglycemic agents and/or insulin can result in significant hypoglycemia. With certain hypoglycemic drugs such as nateglinide, pioglitazone, repaglinide and rosiglitazone, inhibition of CYP3A enzyme by clarithromycin may be involved and could cause hypoglycemia when used concomitantly. Careful monitoring of glucose is recommended [see Drug Interactions (7)] .

Quetiapine: Use quetiapine and clarithromycin concomitantly with caution. Co-administration could result in increased quetiapine exposure and quetiapine related toxicities such as somnolence, orthostatic hypotension, altered state of consciousness, neuroleptic malignant syndrome, and QT prolongation. Refer to quetiapine prescribing information for recommendations on dose reduction if co-administered with CYP3A4 inhibitors such as clarithromycin [see Drug Interactions (7)] .

There is a risk of serious hemorrhage and significant elevations in INR and prothrombin time when clarithromycin is co-administered with warfarin. Monitor INR and prothrombin times frequently while patients are receiving clarithromycin and oral anticoagulants concurrently . Oral Anticoagulants: There is a risk of serious hemorrhage and significant elevations in INR and prothrombin time when clarithromycin is co-administered with warfarin. Monitor INR and prothrombin times frequently while patients are receiving clarithromycin and oral anticoagulants concurrently [see Drug Interactions (7)] .

Increased sedation and prolongation of sedation have been reported with concomitant administration of clarithromycin and triazolobenzodiazepines, such as triazolam and midazolam . Benzodiazepines: Increased sedation and prolongation of sedation have been reported with concomitant administration of clarithromycin and triazolobenzodiazepines, such as triazolam and midazolam [see Drug Interactions (7)] .

1.7 Treatment and Prophylaxis of Disseminated Mycobacterial Infections

Clarithromycin tablets, USP are indicated for the treatment of mild to moderate infections caused by susceptible isolates due to Mycobacterium avium or Mycobacterium intracellulare in patients with advanced HIV infection [see Clinical Studies (14.1)] .


Structured Label Content

Section 42229-5 (42229-5)

Prophylaxis of Mycobacterial Infections

A randomized, double-blind clinical trial (trial 3) compared clarithromycin 500 mg twice a day to placebo in patients with CDC-defined AIDS and CD 4 counts less than 100 cells/µL. This trial accrued 682 patients from November 1992 to January 1994, with a median CD 4 cell count at entry of 30 cells/mcL. Median duration of clarithromycin was 10.6 months vs. 8.2 months for placebo. More patients in the placebo arm than the clarithromycin arm discontinued prematurely from the trial (75.6% and 67.4%, respectively). However, if premature discontinuations due to Mycobacterium avium complex (MAC) or death are excluded, approximately equal percentages of patients on each arm (54.8%) on clarithromycin and 52.5% on placebo) discontinued study drug early for other reasons. The trial was designed to evaluate the following endpoints:

  • MAC bacteremia, defined as at least one positive culture for Mycobacterium avium complex bacteria from blood or another normally sterile site
  • Survival
  • Clinically significant disseminated MAC disease, defined as MAC bacteremia accompanied by signs or symptoms of serious MAC infection, including fever, night sweats, weight loss, anemia, or elevations in liver function tests
Section 43683-2 (43683-2)
Warnings and Precautions, Serious Adverse Reactions with Concomitant Use with Other Drugs (5.4) 10/2015
Section 51945-4 (51945-4)

1.10 Usage

To reduce the development of drug-resistant bacteria and maintain the effectiveness of clarithromycin and other antibacterial drugs, clarithromycin should be used only to treat or prevent infections that are proven or strongly suspected to be caused by susceptible bacteria. When culture and susceptibility information are available, they should be considered in selecting or modifying antibacterial therapy. In the absence of such data, local epidemiology and susceptibility patterns may contribute to the empiric selection of therapy.

10 Overdosage (10 OVERDOSAGE)

Overdosage of clarithromycin can cause gastrointestinal symptoms such as abdominal pain, vomiting, nausea, and diarrhea.

Treat adverse reactions accompanying overdosage by the prompt elimination of unabsorbed drug and supportive measures. As with other macrolides, clarithromycin serum concentrations are not expected to be appreciably affected by hemodialysis or peritoneal dialysis.

15 References (15 REFERENCES)
  • Clinical and Laboratory Standards Institute (CLSI). Methods for Dilution Antimicrobial Susceptibility Tests for Bacteria that Grow Aerobically; Approved Standard—Tenth edition. CLSI Document M07-A10, Clinical and Laboratory Standards Institute, 950 West Valley Rd, Suite 2500, Wayne, Pennsylvania 19087, USA, 2015.
  • Clinical and Laboratory Standards Institute (CLSI). Performance Standards for Antimicrobial Susceptibility Testing; Twenty-fifth Informational Supplement. CLSI document M100-S25, Clinical and Laboratory Standards Institute, 950 West Valley Road, Suite 2500, Wayne, Pennsylvania 19087, USA, 2015.
  • Clinical and Laboratory Standards Institute (CLSI). Performance Standards for Antimicrobial Disk Diffusion Susceptibility Tests; Approved Standard—Twelfth Edition. CLSI document M02-A12, Clinical and Laboratory Standards Institute, 950 West Valley Road, Suite 2500, Wayne, Pennsylvania 19087, USA, 2015.
  • Clinical and Laboratory Standards Institute (CLSI). Susceptibility Testing of Mycobacteria, Nocardiae, and Other Aerobic Actinomycetes; Approved Standard—Second Edition. CLSI document M24-A2, Clinical and Laboratory Standards Institute, 950 West Valley Road, Suite 2500, Wayne, Pennsylvania 19087, USA, 2011.
  • Clinical and Laboratory Standards Institute (CLSI). Methods for Antimicrobial Dilution and Disk Susceptibility Testing for Infrequently Isolated or Fastidious Bacteria; Approved Guideline—Second Edition. CLSI document M45-A2, Clinical and Laboratory Standards Institute, 950 West Valley Road, Suite 2500, Wayne, Pennsylvania 19087, USA, 2010.
  • Kemper CA, et al. Treatment of Mycobacterium avium Complex Bacteremia in AIDS with a Four-Drug Oral Regimen. Ann Intern Med. 1992;116:466-472.
8.1 Pregnancy

Teratogenic Effects

Pregnancy Category C

Clarithromycin should not be used in pregnant women except in clinical circumstances where no alternative therapy is appropriate. If pregnancy occurs while taking this drug, the patient should be apprised of the potential hazard to the fetus [see Warnings and Precautions (5.6)] .

Four teratogenicity studies in rats (three with oral doses and one with intravenous doses up to 160 mg/kg/day administered during the period of major organogenesis) and two in rabbits at oral doses up to 125 mg/kg/day (approximately twice the recommended maximum human dose based on mg/m 2) or intravenous doses of 30 mg/kg/day administered during gestation days 6 to 18 failed to demonstrate any teratogenicity from clarithromycin. Two additional oral studies in a different rat strain at similar doses and similar conditions demonstrated a low incidence of cardiovascular anomalies at doses of 150 mg/kg/day administered during gestation days 6 to 15. Plasma levels after 150 mg/kg/day were twice the human serum levels. Four studies in mice revealed a variable incidence of cleft palate following oral doses of 1000 mg/kg/day (2 and 4 times the recommended maximum human dose based on mg/m 2, respectively) during gestation days 6 to 15. Cleft palate was also seen at 500 mg/kg/day. The 1000 mg/kg/day exposure resulted in plasma levels 17 times the human serum levels. In monkeys, an oral dose of 70 mg/kg/day produced fetal growth retardation at plasma levels that were twice the human serum levels.

11 Description (11 DESCRIPTION)

Clarithromycin is a semi-synthetic macrolide antimicrobial for oral use. Chemically, it is 6- 0-methylerythromycin. The molecular formula is C 38H 69NO 13, and the molecular weight is 747.96. The structural formula is:

Figure 1: Structure of Clarithromycin

Clarithromycin is a white to off-white crystalline powder. It is soluble in acetone, slightly soluble in methanol, ethanol, and acetonitrile, and practically insoluble in water.

Each white to off-white oval film-coated immediate-release clarithromycin tablet, USP contains 250 mg or 500 mg of clarithromycin and the following inactive ingredients: croscarmellose sodium, magnesium stearate, microcrystalline cellulose, povidone, silicon dioxide, hypromellose, titanium dioxide and polyethylene glycol.

4.4 Colchicine

Concomitant administration of clarithromycin and colchicine is contraindicated in patients with renal or hepatic impairment.

2.2 Adult Dosage

The recommended dosages of clarithromycin for the treatment of mild to moderate infections in adults are listed in Table 1.

Table 1. Adult Dosage Guidelines
Clarithromycin tablets
Infection Dosage



(every 12 hours)
Duration



(days)
Acute bacterial exacerbation of chronic bronchitis 250 to 500 mg a 7 b-14
Acute maxillary sinusitis 500 mg 14
Community-acquired pneumonia 250 mg c 7 d-14
Pharyngitis/Tonsillitis 250 mg 10
Uncomplicated skin and skin structure infections 250 mg 7-14
Treatment and prophylaxis of disseminated Mycobacterium avium disease [see Dosage and Administration (2.5)] 500 mg e -
H.pylori eradication to reduce the risk of duodenal ulcer recurrence with amoxicillin and omeprazole or lansoprazole [see Dosage and Administration (2.3)] 500 mg 10-14
H.pylori eradication to reduce the risk of duodenal ulcer recurrence with omeprazole [see Dosage and Administration (2.3)] 500 mg every 8 hours 14
a For M. catarrhalis and S. pneumoniae use 250 mg. For H. influenzae and H. parainfluenzae, use 500 mg.



b For H parainfluenzae, the duration of therapy is 7 days.



c For H. parainfluenzae and M. catarrhalis use clarithromycin extended-release tablets only.



d For H. influenzae, the duration of therapy is 7 days.



e Clarithromycin therapy should continue if clinical response is observed. Clarithromycin can be discontinued when the patient is considered at low risk of disseminated infection.
12.4 Microbiology

Mechanism of Action

Clarithromycin exerts its antibacterial action by binding to the 50S ribosomal subunit of susceptible bacteria resulting in inhibition of protein synthesis.

Resistance

The major routes of resistance are modification of the 23S rRNA in the 50S ribosomal subunit to insensitivity or drug efflux pumps. Beta-lactamase production should have no effect on clarithromycin activity.

Most isolates of methicillin-resistant and oxacillin-resistant staphylococci are resistant to clarithromycin.

If H. pylori is not eradicated after treatment with clarithromycin-containing combination regimens, patients may develop clarithromycin resistance in H. pylori isolates. Therefore, for patients who fail therapy, clarithromycin susceptibility testing should be done, if possible. Patients with clarithromycin-resistant H. pylori should not be treated with any of the following: omeprazole/clarithromycin dual therapy; omeprazole/clarithromycin/amoxicillin triple therapy; lansoprazole/clarithromycin/amoxicillin triple therapy; or other regimens which include clarithromycin as the sole antibacterial agent.

Antimicrobial Activity

Clarithromycin has been shown to be active against most of the isolates of the following microorganisms both in vitro and in clinical infections [see Indications and Usage (1)] .

8.4 Pediatric Use

The safety and effectiveness of clarithromycin tablets have been established for the treatment of the following conditions or diseases in pediatric patients 6 months and older. Use in these indications is based on clinical trials in pediatric patients or adequate and well-controlled studies in adults with additional pharmacokinetic and safety data in pediatric patients:

  • Pharyngitis/Tonsillitis
  • Community-Acquired Pneumonia
  • Acute maxillary sinusitis
  • Acute otitis media [see Clinical Studies (14.2)]
  • Uncomplicated skin and skin structure infections

The safety and effectiveness of clarithromycin tablets have been established for the prevention of disseminated Mycobacterium avium complex (MAC) disease in pediatric patients 20 months and older with advanced HIV infection. No studies of clarithromycin for MAC prophylaxis have been performed in pediatric populations and the doses recommended for prophylaxis are derived from MAC pediatric treatment studies.

Safety and effectiveness of clarithromycin in pediatric patients under 6 months of age have not been established. The safety of clarithromycin has not been studied in MAC patients under the age of 20 months.

8.5 Geriatric Use

In a steady-state study in which healthy elderly subjects (65 years to 81 years of age) were given 500 mg of clarithromycin every 12 hours, the maximum serum concentrations and area under the curves of clarithromycin and 14-OH clarithromycin were increased compared to those achieved in healthy young adults. These changes in pharmacokinetics parallel known age-related decreases in renal function. In clinical trials, elderly patients did not have an increased incidence of adverse reactions when compared to younger patients. Consider dosage adjustment in elderly patients with severe renal impairment. Elderly patients may be more susceptible to development of torsades de pointes arrhythmias than younger patients [see Warnings and Precautions (5.3)] .

Most reports of acute kidney injury with calcium channel blockers metabolized by CYP3A4 (e.g., verapamil, amlodipine, diltiazem, nifedipine) involved elderly patients 65 years of age or older [see Warnings and Precautions (5.4)] .

Especially in elderly patients, there have been reports of colchicine toxicity with concomitant use of clarithromycin and colchicine, some of which occurred in patients with renal insufficiency. Deaths have been reported in some patients [see Contraindications (4.4) and Warnings and Precautions (5.4)] .

5.3 Hepatotoxicity

Hepatic dysfunction, including increased liver enzymes, and hepatocellular and/or cholestatic hepatitis, with or without jaundice, has been reported with clarithromycin. This hepatic dysfunction may be severe and is usually reversible. In some instances, hepatic failure with fatal outcome has been reported and generally has been associated with serious underlying diseases and/or concomitant medications. Symptoms of hepatitis can include anorexia, jaundice, dark urine, pruritus, or tender abdomen. Discontinue clarithromycin immediately if signs and symptoms of hepatitis occur.

Anaerobic Bacteria
  • Clostridium perfringens
  • Peptococcus niger
  • Prevotella melaninogenica
  • Propionibacterium acnes

Susceptibility Testing Methods (Excluding Mycobacteria and Helicobacter)

When available, the clinical microbiology laboratory should provide the results of in vitro susceptibility test results for antimicrobial drugs used in local hospitals and practice areas to the physician as periodic reports that describe the susceptibility profile of nosocomial and community-acquired pathogens. These reports should aid the physician in selecting an antimicrobial drug for treatment.

Dilution Techniques

Quantitative methods are used to determine antimicrobial minimum inhibitory concentrations (MICs). These MICs provide estimates of the susceptibility of bacteria to antimicrobial compounds. The MICs should be determined using a standardized test method 1,2 (broth and/or agar). The MIC values should be interpreted according to the criteria provided in Table 11.

Diffusion Techniques

Quantitative methods that require measurement of zone diameters can also provide reproducible estimates of the susceptibility of bacteria to antimicrobial compounds. The zone size should be determined using a standardized test method. 2,3 This procedure uses paper disks impregnated with 15 mcg of clarithromycin to test the susceptibility of bacteria to clarithromycin. The disk diffusion interpretive criteria are provided in Table 11.

Susceptibility Testing for Mycobacterium avium Complex (MAC)

The reference methodology for susceptibility testing of Mycobacterium avium complex (MAC) is broth dilution (either microdilution or macrodilution method). 4 For broth microdilution testing, cation-adjusted Mueller-Hinton broth (CAMHB) supplemented with 5% OADC is recommended. Transparent colonies should be used for the inoculum, if present. Susceptibility testing at either pH 6.8 or pH 7.4 is acceptable, provided that interpretation is done based on the culture conditions employed. Microdilution trays are incubated at 35 ºC to 37 ºC in ambient air and examined after seven days. Trays should be incubated and read again at 10 to 14 days, if growth is poor on initial inspection.

Susceptibility Testing for Helicobacter pylori

The reference methodology for susceptibility testing of H. pylori is agar dilution MICs. 5 One to three microliters of an inoculum equivalent to a No. 2 McFarland standard (1 x 10 7-1 x 10 8 CFU/mL for H. pylori) are inoculated directly onto freshly prepared antimicrobial containing Mueller-Hinton agar plates with 5% aged defibrinated sheep blood (> 2-weeks old). The agar dilution plates are incubated at 35°C in a microaerobic environment produced by a gas generating system suitable for Campylobacter species. After 3 days of incubation, the MICs are recorded as the lowest concentration of antimicrobial agent required to inhibit growth of the organism. The clarithromycin MIC values should be interpreted according to the criteria in Table 11.

Table 11. Susceptibility Test Interpretive Criteria for Clarithromycin
  Minimum Inhibitory

Concentrations (mcg/mL)
Disk Diffusion

(zone diameters in mm)
Pathogen S I R S I R
Staphylococcus aureus ≤ 2 4 ≥ 8 ≥ 18 14--17 ≤ 13
Streptococcus pyogenes and Streptococcus pneumoniae ≤ 0.25 a 0.5 a ≥ 1 a ≥ 21 b 17--20 b ≤ 16 b
Haemophilus influenzae ≤ 8 c 16 c ≥ 32 c ≥ 13 d 11--12 d ≤ 10 d
Helicobacter pylori e ≤ 0.25 0.5 ≥ 1 -- -- --
a These interpretive standards are applicable only to broth microdilution susceptibility tests using cation adjusted Mueller Hinton broth with 2-5% lysed horse blood 2.

b These zone diameter standards only apply to tests performed using Mueller-Hinton agar supplemented with 5% sheep blood incubated in 5% CO 2 2.

c These interpretive standards are applicable only to broth microdilution susceptibility tests with Haemophilus spp. using Haemophilus Testing Medium (HTM) 2.

d These zone diameter standards are applicable only to tests with Haemophilus spp. using HTM 2.

e These are tentative breakpoints for clarithromycin for the agar dilution methodology and should not be used to interpret results obtained using alternative methods 5.

Note: When testing Streptococcus pyogenes and Streptococcus pneumoniae, susceptibility and resistance to clarithromycin can be predicted using erythromycin.

A report of Susceptible (S) indicates that the antimicrobial drug is likely to inhibit growth of the pathogen if the antimicrobial drug reaches the concentration usually achievable at the site of infection. A report of Intermediate (I) indicates that the result should be considered equivocal, and, if the microorganism is not fully susceptible to alternative, clinically feasible drugs, the test should be repeated. This category implies possible clinical applicability in body sites where the drug is physiologically concentrated or in situations where high dosage of drug can be used. This category also provides a buffer zone which prevents small uncontrolled technical factors from causing major discrepancies in interpretation. A report of Resistant (R) indicates that the antimicrobial drug is not likely to inhibit growth of the pathogen if the antimicrobial drug reaches the concentration usually achievable at the infection site; other therapy should be selected.

Quality Control

Standardized susceptibility test procedures require the use of laboratory control bacteria to monitor and ensure the accuracy and precision of supplies and reagents in the assay, and the techniques of the individual performing the test. 1-5 Standard clarithromycin powder should provide the following range of MIC values as noted in Table 12. For the diffusion technique using the 15 mcg disk, the criteria in Table 12 should be achieved.

Table 12. Acceptable Quality Control Ranges for Clarithromycin
QC Strain MIC (mcg/mL) Zone diameter (mm)
Staphylococcus aureus ATCC 29213 a 0.12 – 0.5 --
Staphylococcus aureus ATCC 25923 -- 26 – 32
Streptococcus pneumoniae ATCC 49619 0.03 – 0.12 b 25 – 31 c
Haemophilus influenzae ATCC 49247 4 – 16 d 11 – 17 e
Helicobacter pylori ATCC 43504 0.015 – 0.12 f --
M. avium ATCC 700898 1 – 4 g --
a ATCC is a registered trademark of the American Type Culture Collection.

b This quality control range is applicable only to S. pneumoniae ATCC 49619 tested by a microdilution procedure using cation adjusted Mueller Hinton broth with 2-5% lysed horse blood. 1,2

c This quality control range is applicable only to S. pneumoniae ATCC 49619 for tests performed by disk diffusion using Mueller-Hinton agar supplemented with 5% defibrinated sheep blood. 2,3

d This quality control range is applicable only to H. influenzae ATCC 49247 tested by a microdilution procedure using HTM 1,2.

e This quality control limit applies to disk diffusion tests conducted with Haemophilus influenzae ATCC 49247 using HTM 2,3.

f These are quality control ranges for the agar dilution methodology 5 and should not be used to control test results obtained using alternative methods.

g When tested at pH 6.8 (if tested at pH 5.0 to 7.4 at 7.4, the acceptable range is 0.5 mcg/mL to 2 mcg/mL) 4.
4 Contraindications (4 CONTRAINDICATIONS)
  • Hypersensitivity to clarithromycin or any macrolide drug (4.1)
  • Cisapride, pimozide, lovastatin/simvastatin, ergotamine/dihydroergotamine (4.2, 4.5, 4.6)
  • History of cholestatic jaundice/hepatic dysfunction with use of clarithromycin (4.3)
  • Colchicine in renal or hepatic impairment (4.4)
4.6 Ergot Alkaloids

Concomitant administration of clarithromycin and ergotamine or dihydroergotamine is contraindicated [see Drug Interactions (7)] .

5.2 Qt Prolongation (5.2 QT Prolongation)

Clarithromycin has been associated with prolongation of the QT interval and infrequent cases of arrhythmia. Cases of torsades de pointes have been spontaneously reported during postmarketing surveillance in patients receiving clarithromycin. Fatalities have been reported.

Avoid clarithromycin in the following patients:

  • patients with known prolongation of the QT interval, ventricular cardiac arrhythmia, including torsades de pointes
  • patients receiving drugs known to prolong the QT interval [see also Contraindications (4.2)]
  • patients with ongoing proarrhythmic conditions such as uncorrected hypokalemia or hypomagnesemia, clinically significant bradycardia and in patients receiving Class IA (quinidine, procainamide) or Class III (dofetilide, amiodarone, sotalol) antiarrhythmic agents.

Elderly patients may be more susceptible to drug-associated effects on the QT interval [see Use in Specific Populations (8.5)] .

6 Adverse Reactions (6 ADVERSE REACTIONS)

The following serious adverse reactions are described below and elsewhere in the labeling:

  • Acute Hypersensitivity Reactions [see Warnings and Precautions (5.1)]
  • QT Prolongation [see Warnings and Precautions (5.2)]
  • Hepatotoxicity [see Warnings and Precautions (5.3)]
  • Serious Adverse Reactions Due to Concomitant Use with Other Drugs [see Warnings and Precautions (5.4)]
  • Clostridium difficile Associated Diarrhea [see Warnings and Precautions (5.5)]
  • Exacerbation of Myasthenia Gravis [see Warnings and Precautions (5.7)]
7 Drug Interactions (7 DRUG INTERACTIONS)

Co-administration of clarithromycin is known to inhibit CYP3A, and a drug primarily metabolized by CYP3A may be associated with elevations in drug concentrations that could increase or prolong both therapeutic and adverse effects of the concomitant drug.

Clarithromycin should be used with caution in patients receiving treatment with other drugs known to be CYP3A enzyme substrates, especially if the CYP3A substrate has a narrow safety margin (e.g., carbamazepine) and/or the substrate is extensively metabolized by this enzyme. Adjust dosage when appropriate and monitor serum concentrations of drugs primarily metabolized by CYP3A closely in patients concurrently receiving clarithromycin.

Table 8: Clinically Significant Drug Interactions with Clarithromycin
Drugs That Are Affected By Clarithromycin
Drug(s) with Pharmacokinetics Affected by Clarithromycin Recommendation Comments
Antiarrhythmics:





 
Disopyramide

Quinidine

Dofetilide

Amiodarone

Sotalol

Procainamide
Not Recommended Disopyramide, Quinidine: There have been postmarketing reports of torsades de pointes occurring with concurrent use of clarithromycin and quinidine or disopyramide. Electrocardiograms should be monitored for QTc prolongation during coadministration of clarithromycin with these drugs [see Warnings and Precautions (5.3)] .



Serum concentrations of these medications should also be monitored. There have been spontaneous or published reports of CYP3A based interactions of clarithromycin with disopyramide and quinidine.



There have been postmarketing reports of hypoglycemia with the concomitant administration of clarithromycin and disopyramide. Therefore, blood glucose levels should be monitored during concomitant administration of clarithromycin and disopyramide.





Digoxin Use With Caution Digoxin: Digoxin is a substrate for P-glycoprotein (Pgp) and clarithromycin is known to inhibit Pgp. When clarithromycin and digoxin are co-administered, inhibition of Pgp by clarithromycin may lead to increased exposure of digoxin. Elevated digoxin serum concentrations in patients receiving clarithromycin and digoxin concomitantly have been reported in postmarketing surveillance. Some patients have shown clinical signs consistent with digoxin toxicity, including potentially fatal arrhythmias. Monitoring of serum digoxin concentrations should be considered, especially for patients with digoxin concentrations in the upper therapeutic range.





Oral Anticoagulants:





   
Warfarin Use With Caution Oral anticoagulants: Spontaneous reports in the postmarketing period suggest that concomitant administration of clarithromycin and oral anticoagulants may potentiate the effects of the oral anticoagulants. Prothrombin times should be carefully monitored while patients are receiving clarithromycin and oral anticoagulants simultaneously [see Warnings and Precautions (5.4)] .





Antiepileptics:





   
Carbamazepine Use With Caution Carbamazepine: Concomitant administration of single doses of clarithromycin and carbamazepine has been shown to result in increased plasma concentrations of carbamazepine. Blood level monitoring of carbamazepine may be considered. Increased serum concentrations of carbamazepine were observed in clinical trials with clarithromycin. There have been spontaneous or published reports of CYP3A based interactions of clarithromycin with carbamazepine.





Antifungals:





 
Itraconazole Use With Caution Itraconazole: Both clarithromycin and itraconazole are substrates and inhibitors of CYP3A, potentially leading to a bi-directional drug interaction when administered concomitantly (see also Itraconazole under “Drugs That Affect Clarithromycin” in the table below). Clarithromycin may increase the plasma concentrations of itraconazole. Patients taking itraconazole and clarithromycin concomitantly should be monitored closely for signs or symptoms of increased or prolonged adverse reactions.





Fluconazole No Dose Adjustment





Fluconazole: [see Pharmacokinetics (12.3)]
Anti-Gout Agents:





 
Colchicine (in patients with renal or hepatic impairment)





Contraindicated Colchicine: Colchicine is a substrate for both CYP3A and the efflux transporter, P-glycoprotein (Pgp). Clarithromycin and other macrolides are known to inhibit CYP3A and Pgp. The dose of colchicine should be reduced when co-administered with clarithromycin in patients with normal renal and hepatic function [see Contraindications (4.4) and Warnings and Precautions (5.4)] .





Colchicine (in patients with normal renal and hepatic function) Use With Caution
Antipsychotics:





 
Pimozide Contraindicated Pimozide: [See Contraindications (4.2)]





Quetiapine Quetiapine: Quetiapine is a substrate for CYP3A4, which is inhibited by clarithromycin. Co-administration with clarithromycin could result in increased quetiapine exposure and possible quetiapine related toxicities. There have been postmarketing reports of somnolence, orthostatic hypotension, altered state of consciousness, neuroleptic malignant syndrome, and QT prolongation during concomitant administration. Refer to quetiapine prescribing information for recommendations on dose reduction if co-administered with CYP3A4 inhibitors such as clarithromycin.





Antispasmodics:





   
Tolterodine (patients deficient in CYP2D6 activity) Use With Caution Tolterodine: The primary route of metabolism for tolterodine is via CYP2D6. However, in a subset of the population devoid of CYP2D6, the identified pathway of metabolism is via CYP3A. In this population subset, inhibition of CYP3A results in significantly higher serum concentrations of tolterodine. Tolterodine 1 mg twice daily is recommended in patients deficient in CYP2D6 activity (poor metabolizers) when co-administered with clarithromycin.





Antivirals:





   
Atazanavir Use With Caution Atazanavir: Both clarithromycin and atazanavir are substrates and inhibitors of CYP3A, and there is evidence of a bi-directional drug interaction (see Atazanavir under “Drugs That Affect Clarithromycin” in the table below) [see Pharmacokinetics (12.3)] .





Saquinavir (in patients with decreased renal function)   Saquinavir: Both clarithromycin and saquinavir are substrates and inhibitors of CYP3A and there is evidence of a bi-directional drug interaction (see Saquinavir under “Drugs That Affect Clarithromycin” in the table below) [see Pharmacokinetics (12.3)] .





Ritonavir

Etravirine
  Ritonavir, Etravirine: (see Ritonavir and Etravirine under “Drugs That Affect Clarithromycin” in the table below) [see Pharmacokinetics (12.3)] .





Maraviroc   Maraviroc: Clarithromycin may result in increases in maraviroc exposures by inhibition of CYP3A metabolism. See Selzentry ® prescribing information for dose recommendation when given with strong CYP3A inhibitors such as clarithromycin.





Boceprevir (in patients with normal renal function)



Didanosine
No Dose Adjustment Boceprevir: Both clarithromycin and boceprevir are substrates and inhibitors of CYP3A, potentially leading to a bi-directional drug interaction when co-administered. No dose adjustments are necessary for patients with normal renal function (see Victrelis ® prescribing information).





Zidovudine   Zidovudine: Simultaneous oral administration of clarithromycin immediate-release tablets and zidovudine to HIV-infected adult patients may result in decreased steady-state zidovudine concentrations. Administration of clarithromycin and zidovudine should be separated by at least two hours [see Pharmacokinetics (12.3)] .



The impact of co-administration of clarithromycin extended-release tablets or granules and zidovudine has not been evaluated.





Calcium Channel Blockers:





   
Verapamil Use With Caution Verapamil: Hypotension, bradyarrhythmias, and lactic acidosis have been observed in patients receiving concurrent verapamil, [see Warnings and Precautions (5.4)] .





Amlodipine

Diltiazem





  Amlodipine, Diltiazem: [See Warnings and Precautions (5.4)]
Nifedipine   Nifedipine: Nifedipine is a substrate for CYP3A. Clarithromycin and other macrolides are known to inhibit CYP3A. There is potential of CYP3A-mediated interaction between nifedipine and clarithromycin. Hypotension and peripheral edema were observed when clarithromycin was taken concomitantly with nifedipine [see Warnings and Precautions (5.4)] .





Ergot Alkaloids:





   
Ergotamine

Dihydroergotamine
Contraindicated Ergotamine, Dihydroergotamine: Postmarketing reports indicate that coadministration of clarithromycin with ergotamine or dihydroergotamine has been associated with acute ergot toxicity characterized by vasospasm and ischemia of the extremities and other tissues including the central nervous system [see Contraindications (4.6)] .





Gastroprokinetic Agents:





   
Cisapride Contraindicated Cisapride: [See Contraindications (4.2)]





HMG-CoA Reductase Inhibitors:





   
Lovastatin

Simvastatin
Contraindicated Lovastatin, Simvastatin, Atorvastatin, Pravastatin, Fluvastatin: [See Contraindications (4.5) and Warnings and Precautions (5.4)]



Atorvastatin

Pravastatin





Use With Caution  
Fluvastatin



No Dose Adjustment





 
Hypoglycemic Agents:





   
Nateglinide

Pioglitazone

Repaglinide

Rosiglitazone





Use With Caution Nateglinide, Pioglitazone, Repaglinide, Rosiglitazone: [See Warnings and Precautions (5.4) and Adverse Reactions (6.2)]



Insulin   Insulin: [See Warnings and Precautions (5.4) and Adverse Reactions (6.2)]





Immunosuppressants:





   
Cyclosporine Use With Caution Cyclosporine: There have been spontaneous or published reports of CYP3A based interactions of clarithromycin with cyclosporine.





Tacrolimus   Tacrolimus: There have been spontaneous or published reports of CYP3A based interactions of clarithromycin with tacrolimus.





Phosphodiesterase inhibitors:





   
Sildenafil

Tadalafil

Vardenafil
Use With Caution Sildenafil, Tadalafil, Vardenafil: Each of these phosphodiesterase inhibitors is primarily metabolized by CYP3A, and CYP3A will be inhibited by concomitant administration of clarithromycin. Co-administration of clarithromycin with sildenafil, tadalafil, or vardenafil will result in increased exposure of these phosphodiesterase inhibitors. Co-administration of these phosphodiesterase inhibitors with clarithromycin is not recommended. Increased systemic exposure of these drugs may occur with clarithromycin; reduction of dosage for phosphodiesterase inhibitors should be considered (see their respective prescribing information).





Proton Pump Inhibitors:





   
Omeprazole No Dose Adjustment Omeprazole: The mean 24-hour gastric pH value was 5.2 when omeprazole was administered alone and 5.7 when coadministered with clarithromycin as a result of increased omeprazole exposures [see Pharmacokinetics (12.3)] (see also Omeprazole under “Drugs That Affect Clarithromycin” in the table below).





Xanthine Derivatives:





   
Theophylline Use With Caution Theophylline: Clarithromycin use in patients who are receiving theophylline may be associated with an increase of serum theophylline concentrations [see Pharmacokinetics (12.3)] . Monitoring of serum theophylline concentrations should be considered for patients receiving high doses of theophylline or with baseline concentrations in the upper therapeutic range.





Triazolobenzodiazepines and Other Related Benzodiazepines:





   
Midazolam Use With Caution Midazolam: When oral midazolam is co-administered with clarithromycin, dose adjustments may be necessary and possible prolongation and intensity of effect should be anticipated [see Warnings and Precautions (5.4) and Pharmacokinetics (12.3)] .





Alprazolam

Triazolam
  Triazolam, Alprazolam: Caution and appropriate dose adjustments should be considered when triazolam or alprazolam is co-administered with clarithromycin. There have been postmarketing reports of drug interactions and central nervous system (CNS) effects (e.g., somnolence and confusion) with the concomitant use of clarithromycin and triazolam. Monitoring the patient for increased CNS pharmacological effects is suggested.



In postmarketing experience, erythromycin has been reported to decrease the clearance of triazolam and midazolam, and thus, may increase the pharmacologic effect of these benzodiazepines.





Temazepam

Nitrazepam

Lorazepam
No Dose Adjustment Temazepam, Nitrazepam, Lorazepam: For benzodiazepines which are not metabolized by CYP3A (e.g., temazepam, nitrazepam, lorazepam), a clinically important interaction with clarithromycin is unlikely.





Cytochrome P450 Inducers:





   
Rifabutin Use With Caution Rifabutin: Concomitant administration of rifabutin and clarithromycin resulted in an increase in rifabutin, and decrease in clarithromycin serum levels together with an increased risk of uveitis (see Rifabutin under “Drugs That Affect Clarithromycin” in the table below).





Other Drugs Metabolized by CYP3A:





   
Alfentanil

Bromocriptine

Cilostazol

Methylprednisole

Vinblastine

Phenobarbital

St. John’s Wort





Use With Caution There have been spontaneous or published reports of CYP3A based interactions of clarithromycin with alfentanil, methylprednisolone, cilostazol, bromocriptine, vinblastine, phenobarbital, and St. John’s Wort.
Other Drugs Metabolized by CYP450 Isoforms Other than CYP3A:





   
Hexobarbital

Phenytoin

Valproate
Use With Caution There have been postmarketing reports of interactions of clarithromycin with drugs not thought to be metabolized by CYP3A, including hexobarbital, phenytoin, and valproate.





Drugs that Affect Clarithromycin
Drug(s) that Affect the Pharmacokinetics of Clarithromycin Recommendation Comments
Antifungals:





   
Itraconazole



Use With Caution Itraconazole: Itraconazole may increase the plasma concentrations of clarithromycin. Patients taking itraconazole and clarithromycin concomitantly should be monitored closely for signs or symptoms of increased or prolonged adverse reactions (see also Itraconazole under “Drugs That Are Affected By Clarithromycin” in the table above).





Antivirals:





   
Atazanavir Use With Caution Atazanavir: When clarithromycin is co-administered with atazanavir, the dose of clarithromycin should be decreased by 50% [see Clinical Pharmacology (12.3)] .



Since concentrations of 14-OH clarithromycin are significantly reduced when clarithromycin is co-administered with atazanavir, alternative antibacterial therapy should be considered for indications other than infections due to Mycobacterium avium complex. Doses of clarithromycin greater than 1000 mg per day should not be co-administered with protease inhibitors.





Ritonavir (in patients with decreased renal function)   Ritonavir: Since concentrations of 14-OH clarithromycin are significantly reduced when clarithromycin is co-administered with ritonavir, alternative antibacterial therapy should be considered for indications other than infections due to Mycobacterium avium [see Pharmacokinetics (12.3)] .



Doses of clarithromycin greater than 1000 mg per day should not be co-administered with protease inhibitors.





Saquinavir (in patients with decreased renal function)   Saquinavir: When saquinavir is co-administered with ritonavir, consideration should be given to the potential effects of ritonavir on clarithromycin (refer to ritonavir above) [see Pharmacokinetics (12.3)] .





Etravirine   Etravirine: Clarithromycin exposure was decreased by etravirine; however, concentrations of the active metabolite, 14-OH-clarithromycin, were increased. Because 14-OH-clarithromycin has reduced activity against Mycobacterium avium complex (MAC), overall activity against this pathogen may be altered; therefore alternatives to clarithromycin should be considered for the treatment of MAC.





Saquinavir (in patients with normal renal function) No Dose Adjustment  
Ritonavir (in patients with normal renal function)





   
Proton Pump Inhibitors:





   
Omeprazole Use With Caution Omeprazole: Clarithromycin concentrations in the gastric tissue and mucus were also increased by concomitant administration of omeprazole [see Pharmacokinetics (12.3)] .





Miscellaneous Cytochrome P450 Inducers:





 
Efavirenz

Nevirapine

Rifampicin

Rifabutin

Rifapentine
Use With Caution Inducers of CYP3A enzymes, such as efavirenz, nevirapine, rifampicin, rifabutin, and rifapentine will increase the metabolism of clarithromycin, thus decreasing plasma concentrations of clarithromycin, while increasing those of 14-OH-clarithromycin. Since the microbiological activities of clarithromycin and 14-OH-clarithromycin are different for different bacteria, the intended therapeutic effect could be impaired during concomitant administration of clarithromycin and enzyme inducers. Alternative antibacterial treatment should be considered when treating patients receiving inducers of CYP3A. There have been spontaneous or published reports of CYP3A based interactions of clarithromycin with rifabutin (see Rifabutin under “Drugs That Are Affected By Clarithromycin” in the table above).

8.3 Nursing Mothers

Caution should be exercised when clarithromycin is administered to nursing women. The development and health benefits of human milk feeding should be considered along with the mother’s clinical need for clarithromycin and any potential adverse effects on the human milk fed child from the drug or from the underlying maternal condition.

Clarithromycin and its active metabolite 14-hydroxy clarithromycin are excreted in human milk. Serum and milk samples were obtained after 3 days of treatment, at steady state, from one published study of 12 lactating women who were taking clarithromycin 250 mg orally twice daily. Based on the limited data from this study, and assuming milk consumption of 150 mL/kg/day, an exclusively human milk fed infant would receive an estimated average of 136 mcg/kg/day of clarithromycin and its active metabolite, with this maternal dosage regimen. This is less than 2% of the maternal weight-adjusted dose (7.8 mg/kg/day, based on the average maternal weight of 64 kg), and less than 1% of the pediatric dose (15 mg/kg/day) for children greater than 6 months of age.

A prospective observational study of 55 breastfed infants of mothers taking a macrolide antibacterial (6 were exposed to clarithromycin) were compared to 36 breastfed infants of mothers taking amoxicillin. Adverse reactions were comparable in both groups. Adverse reactions occurred in 12.7% of infants exposed to macrolides and included rash, diarrhea, loss of appetite, and somnolence.

2.4 Pediatric Dosage

The recommended daily dosage is 15 mg/kg/day divided every 12 hours for 10 days (up to the adult dose). Refer to dosage regimens for mycobacterial infections in pediatric patients for additional dosage information [see Dosage and Administration (2.5)] .

4.1 Hypersensitivity

Clarithromycin is contraindicated in patients with a known hypersensitivity to clarithromycin, erythromycin, or any of the macrolide antibacterial drugs [see Warnings and Precautions (5.1)] .

Other Microorganisms
  • Chlamydophila pneumoniae
  • Helicobacter pylori
  • Mycobacterium avium complex (MAC) consisting of M. avium and M. intracellulare
  • Mycoplasma pneumoniae

At least 90 percent of the microorganisms listed below exhibit in vitro minimum inhibitory concentrations (MICs) less than or equal to the clarithromycin susceptible MIC breakpoint for organisms of similar type to those shown in Table 11. However, the efficacy of clarithromycin in treating clinical infections due to these microorganisms has not been established in adequate and well-controlled clinical trials.

12.3 Pharmacokinetics

Absorption

The absolute bioavailability of 250 mg clarithromycin tablets was approximately 50%. For a single 500 mg dose of clarithromycin, food slightly delays the onset of clarithromycin absorption, increasing the peak time from approximately 2 to 2.5 hours. Food also increases the clarithromycin peak plasma concentration by about 24%, but does not affect the extent of clarithromycin bioavailability. Food does not affect the onset of formation of the active metabolite, 14-OH clarithromycin or its peak plasma concentration but does slightly decrease the extent of metabolite formation, indicated by an 11% decrease in area under the plasma concentration-time curve (AUC). Therefore, clarithromycin tablets may be given without regard to food. In non-fasting healthy human subjects (males and females), peak plasma concentrations were attained within 2 to 3 hours after oral dosing.

Distribution

Clarithromycin and the 14-OH clarithromycin metabolite distribute readily into body tissues and fluids. There are no data available on cerebrospinal fluid penetration. Because of high intracellular concentrations, tissue concentrations are higher than serum concentrations. Examples of tissue and serum concentrations are presented below.

Table 9. Tissue and Serum Concentrations of Clarithromycin
CONCENTRATION (after 250 mg every 12 hours)
Tissue Type Tissue

(mcg/g)
Serum

(mcg/mL)
Tonsil 1.6 0.8
Lung 8.8 1.7

Metabolism and Elimination

Steady-state peak plasma clarithromycin concentrations were attained within 3 days and were approximately 1 mcg/mL to 2 mcg/mL with a 250 mg dose administered every 12 hours and 3 mcg/mL to 4 mcg/mL with a 500 mg dose administered every 8 hours to 12 hours. The elimination half-life of clarithromycin was about 3 hours to 4 hours with 250 mg administered every 12 hours but increased to 5 hours to 7 hours with 500 mg administered every 8 hours to 12 hours. The nonlinearity of clarithromycin pharmacokinetics is slight at the recommended doses of 250 mg and 500 mg administered every 8 hours to 12 hours. With a 250 mg every 12 hours dosing, the principal metabolite, 14-OH clarithromycin, attains a peak steady-state concentration of about 0.6 mcg/mL and has an elimination half-life of 5 hours to 6 hours. With a 500 mg every 8 hours to 12 hours dosing, the peak steady-state concentration of 14-OH clarithromycin is slightly higher (up to 1 mcg/mL), and its elimination half-life is about 7 hours to 9 hours. With any of these dosing regimens, the steady-state concentration of this metabolite is generally attained within 3 days to 4 days.

After a 250 mg tablet every 12 hours, approximately 20% of the dose is excreted in the urine as clarithromycin, while after a 500 mg tablet every 12 hours, the urinary excretion of clarithromycin is somewhat greater, approximately 30%. In comparison, after an oral dose of 250 mg (125 mg/5 mL) suspension every 12 hours, approximately 40% is excreted in urine as clarithromycin. The renal clearance of clarithromycin is, however, relatively independent of the dose size and approximates the normal glomerular filtration rate. The major metabolite found in urine is 14-OH clarithromycin, which accounts for an additional 10% to 15% of the dose with either a 250 mg or a 500 mg tablet administered every 12 hours.

Specific Populations

Pediatric Patients

Clarithromycin penetrates into the middle ear fluid of pediatric patients with secretory otitis media.

Table 10. Middle Ear Fluid and Serum Concentrations of Clarithromycin and 14-OH-Clarithromycin in Pediatric Patients
CONCENTRATION (after 7.5 mg/kg every 12 hours for 5 doses)
Analyte Middle Ear Fluid

(mcg/mL)
Serum

(mcg/mL)
Clarithromycin 2.5 1.7
14-OH Clarithromycin 1.3 0.8

When pediatric patients (n = 10) were administered a single oral dose of 7.5 mg/kg clarithromycin as an oral suspension, food increased mean peak plasma clarithromycin concentrations from 3.6 (± 1.5) mcg/mL to 4.6 (± 2.8) mcg/mL and the extent of absorption from 10.0 (± 5.5) hr•mcg/mL to 14.2 (± 9.4) hr•mcg/mL.

In pediatric patients requiring antibacterial therapy, administration of 7.5 mg/kg every 12 hours of clarithromycin as an oral suspension generally resulted in steady-state peak plasma concentrations of 3 mcg/mL to 7 mcg/mL for clarithromycin and 1 mcg/mL to 2 mcg/mL for 14-OH clarithromycin.

In HIV-infected pediatric patients taking 15 mg/kg of clarithromycin as an oral suspension every 12 hours, steady-state clarithromycin peak concentrations generally ranged from 6 mcg/mL to 15 mcg/mL.

HIV Infection

Steady-state concentrations of clarithromycin and 14-OH clarithromycin observed following administration of 500 mg doses of clarithromycin every 12 hours to adult patients with HIV infection were similar to those observed in healthy volunteers. In adult HIV-infected patients taking 500-mg or 1000-mg doses of clarithromycin every 12 hours, steady-state clarithromycin C max values ranged from 2 mcg/mL to 4 mcg/mL and 5 mcg/mL to 10 mcg/mL, respectively.

Hepatic Impairment

The steady-state concentrations of clarithromycin in subjects with impaired hepatic function did not differ from those in normal subjects; however, the 14-OH clarithromycin concentrations were lower in the hepatically impaired subjects. The decreased formation of 14-OH clarithromycin was at least partially offset by an increase in renal clearance of clarithromycin in the subjects with impaired hepatic function when compared to healthy subjects.

Renal Impairment

The pharmacokinetics of clarithromycin was also altered in subjects with impaired renal function [see Use in Specific Populations (8.6) and Dosage and Administration (2.5)] .

Drug Interactions

Fluconazole

Following administration of fluconazole 200 mg daily and clarithromycin 500 mg twice daily to 21 healthy volunteers, the steady-state clarithromycin C min and AUC increased 33% and 18%, respectively. Clarithromycin exposures were increased and steady-state concentrations of 14-OH clarithromycin were not significantly affected by concomitant administration of fluconazole.

Colchicine

When a single dose of colchicine 0.6 mg was administered with clarithromycin 250 mg BID for 7 days, the colchicine C max increased 197% and the AUC 0-∞ increased 239% compared to administration of colchicine alone.

Atazanavir

Following administration of clarithromycin (500 mg twice daily) with atazanavir (400 mg once daily), the clarithromycin AUC increased 94%, the 14-OH clarithromycin AUC decreased 70% and the atazanavir AUC increased 28%.

Ritonavir

Concomitant administration of clarithromycin and ritonavir (n = 22) resulted in a 77% increase in clarithromycin AUC and a 100% decrease in the AUC of 14-OH clarithromycin.

Saquinavir

Following administration of clarithromycin (500 mg bid) and saquinavir (soft gelatin capsules, 1200 mg tid) to 12 healthy volunteers, the steady-state saquinavir AUC and C max increased 177% and 187% respectively compared to administration of saquinavir alone. Clarithromycin AUC and C max increased 45% and 39% respectively, whereas the 14–OH clarithromycin AUC and C max decreased 24% and 34% respectively, compared to administration with clarithromycin alone.

Didanosine

Simultaneous administration of clarithromycin tablets and didanosine to 12 HIV-infected adult patients resulted in no statistically significant change in didanosine pharmacokinetics.

Zidovudine

Following administration of clarithromycin 500 mg tablets twice daily with zidovudine 100 mg every 4 hours, the steady-state zidovudine AUC decreased 12% compared to administration of zidovudine alone (n=4). Individual values ranged from a decrease of 34% to an increase of 14%. When clarithromycin tablets were administered two to four hours prior to zidovudine, the steady-state zidovudine C max increased 100% whereas the AUC was unaffected (n=24).

Omeprazole

Clarithromycin 500 mg every 8 hours was given in combination with omeprazole 40 mg daily to healthy adult subjects. The steady-state plasma concentrations of omeprazole were increased (C max, AUC 0-24, and t½ increases of 30%, 89%, and 34%, respectively), by the concomitant administration of clarithromycin.

The plasma levels of clarithromycin and 14–OH clarithromycin were increased by the concomitant administration of omeprazole. For clarithromycin, the mean C max was 10% greater, the mean C min was 27% greater, and the mean AUC 0-8 was 15% greater when clarithromycin was administered with omeprazole than when clarithromycin was administered alone. Similar results were seen for 14–OH clarithromycin, the mean C max was 45% greater, the mean C min was 57% greater, and the mean AUC 0-8 was 45% greater. Clarithromycin concentrations in the gastric tissue and mucus were also increased by concomitant administration of omeprazole.

Clarithromycin Tissue Concentrations 2 hours after Dose (mcg/mL)/(mcg/g)
Treatment N antrum fundus N Mucus
Clarithromycin 5 10.48 ± 2.01 20.81 ± 7.64 4 4.15 ± 7.74
Clarithromycin + Omeprazole 5 19.96 ± 4.71 24.25 ± 6.37 4 39.29 ± 32.79

Theophylline

In two studies in which theophylline was administered with clarithromycin (a theophylline sustained-release formulation was dosed at either 6.5 mg/kg or 12 mg/kg together with 250 or 500 mg q12h clarithromycin), the steady-state levels of C max, C min, and the area under the serum concentration time curve (AUC) of theophylline increased about 20%.

Midazolam

When a single dose of midazolam was co-administered with clarithromycin tablets (500 mg twice daily for 7 days), midazolam AUC increased 174% after intravenous administration of midazolam and 600% after oral administration.

For information about other drugs indicated in combination with clarithromycin, refer to their full prescribing information, CLINICAL PHARMACOLOGY section.

1.6 Acute Otitis Media

Clarithromycin tablets, USP are indicated in pediatric patients for the treatment of mild to moderate infections caused by susceptible isolates due to Haemophilus influenzae, Moraxella catarrhalis, or Streptococcus pneumoniae [see Clinical Studies (14.2)] .

1.9 Limitations of Use

There is resistance to macrolides in certain bacterial infections caused by Streptococcus pneumoniae and Staphylococcus aureus. Susceptibility testing should be performed when clinically indicated.

Gram Negative Bacteria (Gram-Negative Bacteria)
  • Haemophilus influenzae
  • Haemophilus parainfluenzae
  • Moraxella catarrhalis
Gram Positive Bacteria (Gram-Positive Bacteria)
  • Staphylococcus aureus
  • Streptococcus pneumoniae
  • Streptococcus pyogenes
1 Indications and Usage (1 INDICATIONS AND USAGE)

Clarithromycin is a macrolide antimicrobial indicated for mild to moderate infections caused by designated, susceptible bacteria in the following:

  • Acute Bacterial Exacerbation of Chronic Bronchitis in Adults (1.1)
  • Acute Maxillary Sinusitis (1.2)
  • Community-Acquired Pneumonia (1.3)
  • Pharyngitis/Tonsillitis (1.4)
  • Uncomplicated Skin and Skin Structure Infections (1.5)
  • Acute Otitis Media in Pediatric Patients (1.6)
  • Treatment and Prophylaxis of Disseminated Mycobacterial Infections (1.7)
  • Helicobacter pylori Infection and Duodenal Ulcer Disease in Adults (1.8)



To reduce the development of drug-resistant bacteria and maintain the effectiveness of clarithromycin and other antibacterial drugs, clarithromycin should be used only to treat or prevent infections that are proven or strongly suspected to be caused by bacteria. (1.9)

1.8 Helicobacter Pylori (1.8 Helicobacter pylori)

Clarithromycin tablet, USP is given in combination with other drugs in adults as described below to eradicate H. pylori. The eradication of H. pylori has been demonstrated to reduce the risk of duodenal ulcer recurrence [see Clinical Studies (14.3)] .

  • Clarithromycin tablets, USP in combination with amoxicillin and PREVACID (lansoprazole) or PRILOSEC (omeprazole) Delayed-Release Capsules, as triple therapy, are indicated for the treatment of patients with H. pylori infection and duodenal ulcer disease (active or five-year history of duodenal ulcer) to eradicate H. pylori.
  • Clarithromycin tablets, USP in combination with PRILOSEC (omeprazole) capsules are indicated for the treatment of patients with an active duodenal ulcer associated with H. pylori infection. Regimens which contain clarithromycin tablets, USP as the single antibacterial agent are more likely to be associated with the development of clarithromycin resistance among patients who fail therapy. Clarithromycin-containing regimens should not be used in patients with known or suspected clarithromycin resistant isolates because the efficacy of treatment is reduced in this setting.
4.2 Cardiac Arrhythmias

Concomitant administration of clarithromycin with cisapride and pimozide is contraindicated [see Drug Interactions (7)] .

There have been postmarketing reports of drug interactions when clarithromycin is co-administered with cisapride or pimozide, resulting in cardiac arrhythmias (QT prolongation, ventricular tachycardia, ventricular fibrillation, and torsades de pointes) most likely due to inhibition of metabolism of these drugs by clarithromycin. Fatalities have been reported.

12.1 Mechanism of Action

Clarithromycin is a macrolide antimicrobial drug [see Microbiology (12.4)] .

5.6 Embryofetal Toxicity

Clarithromycin should not be used in pregnant women except in clinical circumstances where no alternative therapy is appropriate. If clarithromycin is used during pregnancy, or if pregnancy occurs while the patient is taking this drug, the patient should be apprised of the potential hazard to the fetus. Clarithromycin has demonstrated adverse effects on pregnancy outcome and/or embryo-fetal development in monkeys, rats, mice, and rabbits at doses that produced plasma levels 2 times to 17 times the serum levels achieved in humans treated at the maximum recommended human doses [see Use in Specific Populations (8.1)] .

5.5 Clostridium Difficile (5.5 Clostridium difficile)

Clostridium difficile associated diarrhea (CDAD) has been reported with use of nearly all antibacterial agents, including clarithromycin, and may range in severity from mild diarrhea to fatal colitis. Treatment with antibacterial agents alters the normal flora of the colon leading to overgrowth of C. difficile.

C. difficile produces toxins A and B which contribute to the development of CDAD. Hypertoxin producing strains of C. difficile cause increased morbidity and mortality, as these infections can be refractory to antimicrobial therapy and may require colectomy. CDAD must be considered in all patients who present with diarrhea following antibacterial use. Careful medical history is necessary since CDAD has been reported to occur over two months after the administration of antibacterial agents.

If CDAD is suspected or confirmed, ongoing antibacterial use not directed against C. difficile may need to be discontinued. Appropriate fluid and electrolyte management, protein supplementation, antibacterial treatment of C. difficile, and surgical evaluation should be instituted as clinically indicated.

5 Warnings and Precautions (5 WARNINGS AND PRECAUTIONS)
  • Severe acute hypersensitivity reactions: Discontinue clarithromycin if occurs (5.1)
  • QT prolongation: Avoid clarithromycin in patients with known QT prolongation or receiving drugs known to prolong the QT interval, ventricular arrhythmia (torsade de pointes), hypokalemia/hypomagnesemia, significant bradycardia, or taking Class IA or III antiarrhythmics (5.2)
  • Hepatotoxicity: Discontinue if signs and symptoms of hepatitis occur (5.3)
  • Serious adverse reactions can occur due to drug interactions of clarithromycin with colchicine, some HMG CoA reductase inhibitors, some calcium channel blockers, and other drugs (5.4)
  • Clostridium difficile associated diarrhea (CDAD): Evaluate if diarrhea occurs (5.5)
  • Embryofetal toxicity: Clarithromycin should not be used in pregnant women except in clinical circumstances where no alternative therapy is appropriate (5.6)
  • Exacerbation of myasthenia gravis (5.7)
1.4 Pharyngitis/tonsillitis (1.4 Pharyngitis/Tonsillitis)

Clarithromycin tablets, USP are indicated for the treatment of mild to moderate infections caused by susceptible isolates due to Streptococcus pyogenes as an alternative in individuals who cannot use first line therapy.

2 Dosage and Administration (2 DOSAGE AND ADMINISTRATION)
  • Adults: clarithromycin 250 mg or 500 mg every 12 hours for 7–14 days (2.2)
  • H. pylori eradication (in combination with lansoprazole/amoxicillin, omeprazole/amoxicillin, or omeprazole): clarithromycin 500 mg every 8 or 12 hours for 10–14 days. See full prescribing information (FPI) for additional information. (2.3)
  • Pediatric Patients: clarithromycin 15 mg/kg/day divided every 12 hours for 10 days (2.4)
  • Mycobacterial Infections: clarithromycin 500 mg every 12 hours; clarithromycin 7.5 mg/kg up to 500 mg every 12 hours in pediatric patients (2.5)
  • Reduce dose in moderate renal impairment with concomitant atazanavir or ritonavir-containing regimens and in severe renal impairment (2.6)
3 Dosage Forms and Strengths (3 DOSAGE FORMS AND STRENGTHS)

Clarithromycin tablets USP, 250 mg are white to off-white oval film-coated tablets debossed with "S39" on one side and blank on the other side.

Clarithromycin tablets USP, 500 mg are white to off-white oval film-coated tablets debossed with "S4" on one side and blank on the other side.

6.2 Postmarketing Experience

The following adverse reactions have been identified during post-approval use of clarithromycin. Because these reactions are reported voluntarily from a population of uncertain size, it is not always possible to reliably estimate their frequency or establish a causal relationship to drug exposure.

Blood and Lymphatic System: Thrombocytopenia, agranulocytosis

Cardiac: Ventricular arrhythmia, ventricular tachycardia, torsades de pointes

Ear and Labyrinth: Deafness was reported chiefly in elderly women and was usually reversible.

Gastrointestinal: Pancreatitis acute, tongue discoloration, tooth discoloration was reported and was usually reversible with professional cleaning upon discontinuation of the drug.

There have been reports of clarithromycin extended-release tablets in the stool, many of which have occurred in patients with anatomic (including ileostomy or colostomy) or functional gastrointestinal disorders with shortened GI transit times. In several reports, tablet residues have occurred in the context of diarrhea. It is recommended that patients who experience tablet residue in the stool and no improvement in their condition should be switched to a different clarithromycin formulation (e.g. suspension) or another antibacterial drug.

Hepatobiliary: Hepatic failure, jaundice hepatocellular. Adverse reactions related to hepatic dysfunction have been reported with clarithromycin [see Warnings and Precautions (5.2)] .

Infections and Infestations: Pseudomembranous colitis [see Warnings and Precautions (5.5)]

Immune System: Anaphylactic reactions, angioedema

Investigations: Prothrombin time prolonged, white blood cell count decreased, international normalized ratio increased. Abnormal urine color has been reported, associated with hepatic failure.

Metabolism and Nutrition: Hypoglycemia has been reported in patients taking oral hypoglycemic agents or insulin.

Musculoskeletal and Connective Tissue: Myopathy rhabdomyolysis was reported and in some of the reports, clarithromycin was administered concomitantly with statins, fibrates, colchicine or allopurinol [see Contraindications (4.5) and Warnings and Precautions (5.4)] .

Nervous System: Parosmia, anosmia, ageusia, paresthesia and convulsions

Psychiatric: Abnormal behavior, confusional state, depersonalization, disorientation, hallucination, depression, manic behavior, abnormal dream, psychotic disorder. These disorders usually resolve upon discontinuation of the drug.

Renal and Urinary: Nephritis interstitial, renal failure

Skin and Subcutaneous Tissue: Stevens-Johnson syndrome, toxic epidermal necrolysis, drug rash with eosinophilia and systemic symptoms (DRESS), Henoch-Schonlein purpura, acne

Vascular: Hemorrhage

1.2 Acute Maxillary Sinusitis

Clarithromycin tablets, USP are indicated for the treatment of mild to moderate infections caused by susceptible isolates due to Haemophilus influenzae, Moraxella catarrhalis, or Streptococcus pneumoniae [see Indications and Usage (1.9)] .

8 Use in Specific Populations (8 USE IN SPECIFIC POPULATIONS)

Geriatric: Increased risk of torsades de pointes (8.5)

6.1 Clinical Trials Experience

Because clinical studies are conducted under widely varying conditions, adverse reaction rates observed in the clinical studies of a drug cannot be directly compared to rates in the clinical studies of another drug and may not reflect the rates observed in practice.

Based on pooled data across all indications, the most frequent adverse reactions for both adult and pediatric populations observed in clinical trials are abdominal pain, diarrhea, nausea, vomiting and dysgeusia. Also reported were dyspepsia, liver function test abnormal, anaphylactic reaction, candidiasis, headache, insomnia, and rash.

The subsequent subsections list the most common adverse reactions for prophylaxis and treatment of mycobacterial infections and duodenal ulcer associated with H. pylori infection. In general, these profiles are consistent with the pooled data described above.

Prophylaxis of Mycobacterial Infections

In AIDS patients treated with clarithromycin over long periods of time for prophylaxis against M. avium, it was often difficult to distinguish adverse reactions possibly associated with clarithromycin administration from underlying HIV disease or intercurrent illness. Median duration of treatment was 10.6 months for the clarithromycin group and 8.2 months for the placebo group.

Table 4. Incidence Rates (%) of Selected Adverse Reactions a in Immunocompromised Adult Patients Receiving Prophylaxis Against M. avium Complex
Body System b

Clarithromycin

(n=339)

%
Placebo

(n=339)

%
Adverse Reaction
Body as a Whole    
Abdominal pain 5% 4%
Headache 3% 1%
Digestive    
Diarrhea 8% 4%
Dyspepsia 4% 3%
Flatulence 2% 1%
Nausea 11% 7%
Vomiting 6% 3%
Skin & Appendages    
Rash 3% 4%
Special Senses    
Taste Perversion 8% c 0.3%

a Includes those events possibly or probably related to study drug and excludes concurrent conditions

b 2% or greater Adverse Reaction Incidence Rates for either treatment group

c Significant higher incidence compared to the placebo-treated group

Discontinuation due to adverse reactions occurred in 18% of patients receiving clarithromycin compared to 17% of patients receiving placebo in this trial. Primary reasons for discontinuation in clarithromycin treated patients include headache, nausea, vomiting, depression, and taste perversion.

Changes in Laboratory Values

Selected laboratory adverse experiences that were reported during therapy in greater than 2 % of adult patients treated with clarithromycin in a randomized double-blind clinical trial involving 682 patients are presented in Table 5.

In immunocompromised patients receiving prophylaxis against M. avium, evaluations of laboratory values were made by analyzing those values outside the seriously abnormal value (i.e., the extreme high or low limit) for the specified test.

Table 5. Percentage of Patients a Exceeding Extreme Laboratory Values in Patients Receiving Prophylaxis Against M. avium Complex
  Clarithromycin 500 mg

twice a day
Placebo
WBC Count <1 x 10 9/L 2/103 (4%) 0/95
SGOT >5 x ULN b 7/196 (4%) 5/208 (2%)
SGPT >5 x ULN b 6/217 (3%) 4/232 (2%)

a Includes only patients with baseline values within the normal range or borderline high (hematology variables) and within normal range or borderline low (chemistry variables)

b ULN= Upper Limit of Normal

Treatment of Mycobacterial Infections

The adverse reaction profiles for both the 500 mg and 1000 mg twice a day dose regimens were similar.

In AIDS patients and other immunocompromised patients treated with the higher doses of clarithromycin over long periods of time for mycobacterial infections, it was often difficult to distinguish adverse reactions possibly associated with clarithromycin administration from underlying signs of HIV disease or intercurrent illness.

The following analysis summarizes experience during the first 12 weeks of therapy with clarithromycin. Data are reported separately for trial 1 (randomized, double-blind) and trial 2 (open-labeled, compassionate use) and also combined. Adverse reactions were reported less frequently in trial 2, which may be due in part to differences in monitoring between the two studies.

In adult patients receiving clarithromycin 500 mg twice a day, the most frequently reported adverse reactions, considered possibly or possibly related to study drug, with an incidence of 5% or greater, are listed below (Table 6). Approximately 8% of the patients who received 500 mg twice a day and 12% of the patients who received 1000 mg twice a day discontinued therapy due to drug related adverse reactions during the first 12 weeks of therapy; adverse reactions leading to discontinuation in at least 2 patients included nausea, vomiting, abdominal pain, diarrhea, rash, and asthenia.

Table 6. Selected Treatment-Related a Adverse Reaction Incidence Rates (%) in Immunocompromised Adult Patients During the First 12 Weeks of Therapy with 500 mg Twice a Day Clarithromycin Dose
Adverse Reaction Trial 1

(n=53)
Trial 2

(n=255)
Combined

(n=308)
Abdominal Pain 8 2 3
Diarrhea 9 2 3
Flatulence 8 0 1
Headache 8 0 2
Nausea 28 9 12
Rash 9 2 3
Taste Perversion 19 0 4
Vomiting 25 4 8
a Includes those events possibly or probably related to study drug and excludes concurrent conditions

A limited number of pediatric AIDS patients have been treated with clarithromycin suspension for mycobacterial infections. The most frequently reported adverse reactions excluding those due to the patient’s concurrent conditions were consistent with those observed in adult patients.

Changes in Laboratory Values

In the first 12 weeks of starting on clarithromycin 500 mg twice a day, 3% of patients has SGOT increases and 2% of patients has SGPT increases > 5 times the upper limit of normal in trial 2 (469 enrolled adult patients) while trial 1 (154 enrolled patients) had no elevation of transaminases. This includes only patients with baseline values within the normal range or borderline low.

Duodenal ulcer associated with H. pylori Infection

In clinical trials using combination therapy with clarithromycin plus omeprazole and amoxicillin, no adverse reactions specific to the combination of these drugs have been observed. Adverse reactions that have occurred have been limited to those that have been previously reported with clarithromycin, omeprazole or amoxicillin.

The adverse reaction profiles are shown below (Table 7) for four randomized double-blind clinical trials in which patients received the combination of clarithromycin 500 mg three times a day, and omeprazole 40 mg daily for 14 days, followed by omeprazole 20 mg once a day, (three studies) or 40 mg once a day (one study) for an additional 14 days. Of the 346 patients who received the combination, 3.5% of patients discontinued drug due to adverse reactions.

Table 7. Adverse Reactions with an Incidence of 3% or Greater
Adverse Reaction Clarithromycin + Omeprazole

(n=346)

% of Patients
Omeprazole

(n=355)

% of Patients
Clarithromycin

(n=166)

% of Patients a
Taste Perversion 15 1 16
Nausea 5 1 3
Headache 5 6 9
Diarrhea 4 3 7
Vomiting 4 <1 1
Abdominal Pain 3 2 1
Infection 3 4 2
a Only two of four studies

Changes in Laboratory Values

Changes in laboratory values with possible clinical significance in patients taking clarithromycin and omeprazole in four randomized double-blind trials in 945 patients are as follows:

Hepatic: elevated direct bilirubin <1%; GGT <1%; SGOT (AST) <1%; SGPT (ALT) <1%, Renal: elevated serum creatinine <1%.

Less Frequent Adverse Reactions Observed During Clinical Trials of Clarithromycin

Based on pooled data across all indications, the following adverse reactions were observed in clinical trials with clarithromycin at a rate less than 1%:

Blood and Lymphatic System Disorders: Leukopenia, neutropenia, thrombocythemia, eosinophilia

Cardiac Disorders: Electrocardiogram QT prolonged, cardiac arrest, atrial fibrillation, extrasystoles, palpitations

Ear and Labyrinth Disorders: Vertigo, tinnitus, hearing impaired

Gastrointestinal Disorders: Stomatitis, glossitis, esophagitis, gastrooesophageal reflux disease, gastritis, proctalgia, abdominal distension, constipation, dry mouth, eructation, flatulence

General Disorders and Administration Site Conditions: Malaise, pyrexia, asthenia, chest pain, chills, fatigue

Hepatobiliary Disorders: Cholestasis, hepatitis

Immune System Disorders: Hypersensitivity

Infections and Infestations: Cellulitis, gastroenteritis, infection, vaginal infection

Investigations: Blood bilirubin increased, blood alkaline phosphatase increased, blood lactate dehydrogenase increased, albumin globulin ratio abnormal

Metabolism and Nutrition Disorders: Anorexia, decreased appetite

Musculoskeletal and Connective Tissue Disorders: Myalgia, muscle spasms, nuchal rigidity

Nervous System Disorders: Dizziness, tremor, loss of consciousness, dyskinesia, somnolence

Psychiatric Disorders: Anxiety, nervousness

Renal and Urinary Disorders: Blood creatinine increased, blood urea increased

Respiratory, Thoracic and Mediastinal Disorders: Asthma, epistaxis, pulmonary embolism

Skin and Subcutaneous Tissue Disorders: Urticaria, dermatitis bullous, pruritus, hyperhidrosis, rash maculo-papular

Gastrointestinal Adverse Reactions

In the acute exacerbation of chronic bronchitis and acute maxillary sinusitis studies overall gastrointestinal adverse reactions were reported by a similar proportion of patients taking either clarithromycin tablets or clarithromycin extended-release tablets; however, patients taking clarithromycin extended-release tablets reported significantly less severe gastrointestinal symptoms compared to patients taking clarithromycin tablets. In addition, patients taking clarithromycin extended-release tablets had significantly fewer premature discontinuations for drug-related gastrointestinal or abnormal taste adverse reactions compared to clarithromycin tablets.

1.3 Community Acquired Pneumonia (1.3 Community-Acquired Pneumonia)

Clarithromycin tablets, USP are indicated [see Indications and Usage (1.9)] for the treatment of mild to moderate infections caused by susceptible isolates due to:



  • Haemophilus influenzae (in adults)



  • Mycoplasma pneumoniae, Streptococcus pneumoniae, Chlamydophila pneumoniae

4.5 Hmg Coa Reductase Inhibitors (4.5 HMG-CoA Reductase Inhibitors)

Do not use clarithromycin concomitantly with HMG-CoA reductase inhibitors (statins) that are extensively metabolized by CYP3A4 (lovastatin or simvastatin), due to the increased risk of myopathy, including rhabdomyolysis [see Warnings and Precautions (5.4) and Drug Interactions (7)] .

8.6 Renal and Hepatic Impairment

Clarithromycin is principally excreted via the liver and kidney. Clarithromycin may be administered without dosage adjustment to patients with hepatic impairment and normal renal function. However, in the presence of severe renal impairment with or without coexisting hepatic impairment, decreased dosage or prolonged dosing intervals may be appropriate [see Dosage and Administration (2.5)] .

17 Patient Counseling Information (17 PATIENT COUNSELING INFORMATION)

Provide the following instructions or information about clarithromycin tablets to patients:

  • Counsel patients that antibacterial drugs including clarithromycin tablets should only be used to treat bacterial infections. They do not treat viral infections (e.g., the common cold). When clarithromycin tablet is prescribed to treat a bacterial infection, patients should be told that although it is common to feel better early in the course of therapy, the medication should be taken exactly as directed. Skipping doses or not completing the full course of therapy may (1) decrease the effectiveness of the immediate treatment and (2) increase the likelihood that bacteria will develop resistance and will not be treatable by clarithromycin tablets or other antibacterial drugs in the future.
  • Advise patients that diarrhea is a common problem caused by antibacterials including clarithromycin tablets which usually ends when the antibacterial is discontinued. Sometimes after starting treatment with antibacterials, patients can develop watery and bloody stools (with or without stomach cramps and fever) even as late as two or more months after having taken the last dose of the antibacterial. If this occurs, instruct patients to contact their healthcare provider as soon as possible.
  • Advise patients that clarithromycin tablets may interact with some drugs; therefore, advise patients to report to their healthcare provider the use of any other medications.
  • Advise patients that clarithromycin tablets can be taken with or without food and can be taken with milk.
  • There are no data on the effect of clarithromycin tablets on the ability to drive or use machines. However, counsel patients regarding the potential for dizziness, vertigo, confusion and disorientation, which may occur with the medication. The potential for these adverse reactions should be taken into account before patients drive or use machines.
  • Advise patients that if pregnancy occurs while taking this drug, there is a potential hazard to the fetus [see Warnings and Precautions (5.6) and Use in Specific Populations (8.1)] .
16 How Supplied/storage and Handling (16 HOW SUPPLIED/STORAGE AND HANDLING)

Clarithromycin tablets, USP are supplied as white to off-white oval film-coated tablets in the following packaging sizes:

500 mg tablets: (debossed with the S4 on one side)

Bottles of 14 NDC 68071-3116-4

Bottles of 20 NDC 68071-3116-2

Bottles of 28 NDC 68071-3116-8

Bottles of 30 NDC 68071-3116-3

Store clarithromycin tablets, USP at controlled room temperature 20° to 25°C (68° to 77°F) in a well-closed container.

5.1 Acute Hypersensitivity Reactions

In the event of severe acute hypersensitivity reactions, such as anaphylaxis, Stevens-Johnson Syndrome, toxic epidermal necrolysis, drug rash with eosinophilia and systemic symptoms (DRESS), and Henoch-Schonlein purpura, discontinue clarithromycin therapy immediately and institute appropriate treatment.

5.7 Exacerbation of Myasthenia Gravis

Exacerbation of symptoms of myasthenia gravis and new onset of symptoms of myasthenic syndrome has been reported in patients receiving clarithromycin therapy.

2.1 Important Administration Instructions

Clarithromycin tablets may be given with or without food.

13.2 Animal Toxicology And/or Pharmacology (13.2 Animal Toxicology and/or Pharmacology)

Corneal opacity occurred in dogs at doses 12 times and in monkeys at doses 8 times greater than the maximum human daily dose (on a body surface area basis). Lymphoid depletion occurred in dogs at doses 3 times greater than and in monkeys at doses 2 times greater than the maximum human daily dose (on a body surface area basis).

5.8 Development of Drug Resistant Bacteria

Prescribing clarithromycin in the absence of a proven or strongly suspected bacterial infection or a prophylactic indication is unlikely to provide benefit to the patient and increases the risk of the development of drug-resistant bacteria.

4.3 Cholestatic Jaundice/hepatic Dysfunction (4.3 Cholestatic Jaundice/Hepatic Dysfunction)

Clarithromycin is contraindicated in patients with a history of cholestatic jaundice or hepatic dysfunction associated with prior use of clarithromycin.

2.3 Combination Dosing Regimens for H. Pylori (2.3 Combination Dosing Regimens for H. pylori)
  • Triple therapy: clarithromycin/lansoprazole/amoxicillin

    The recommended adult dosage is 500 mg clarithromycin, 30 mg lansoprazole, and 1 gram amoxicillin, all given every 12 hours for 10 or 14 days [see Indications and Usage (1.8) and Clinical Studies (14.3)] .

  • Triple therapy: clarithromycin/omeprazole/amoxicillin

    The recommended adult dosage is 500 mg clarithromycin, 20 mg omeprazole, and 1 gram amoxicillin; all given every 12 hours for 10 days. In patients with an ulcer present at the time of initiation of therapy, an additional 18 days of omeprazole 20 mg once daily is recommended for ulcer healing and symptom relief [see Indications and Usage (1.8) and Clinical Studies (14.3)] .

  • Dual therapy: clarithromycin/omeprazole

    The recommended adult dosage is 500 mg clarithromycin given every 8 hours and 40 mg omeprazole given once every morning for 14 days. An additional 14 days of omeprazole 20 mg once daily is recommended for ulcer healing and symptom relief [see Indications and Usage (1.8) and Clinical Studies (14.3)] .

2.7 Dosage Adjustment Due to Drug Interactions

Decrease the dose of clarithromycin by 50 % when co-administered with atazanavir [see Drug Interactions (7)] . Dosage adjustments for other drugs when co-administered with clarithromycin may be recommended due to drug interactions [see Drug Interactions (7)] .

4.7 Contraindications for Co Administered Drugs (4.7 Contraindications for Co-administered Drugs)

For information about contraindications of other drugs indicated in combination with clarithromycin, refer to their full prescribing information (contraindications section).

2.5 Dosage Regimens for Mycobacterial Infections

For the treatment of disseminated infection due to Mycobacterium avium complex (MAC), clarithromycin is recommended as the primary agents. Clarithromycin should be used in combination with other antimycobacterial drugs (e.g. ethambutol) that have shown in vitro activity against MAC or clinical benefit in MAC treatment [see Clinical Studies (14.1)] .

Adult Patients

For treatment and prophylaxis of mycobacterial infections in adults, the recommended dose of clarithromycin is 500 mg every 12 hours.

Pediatric Patients

For treatment and prophylaxis of mycobacterial infections in pediatric patients, the recommended dose is 7.5 mg/kg every 12 hours up to 500 mg every 12 hours. [See Use in Specific Populations (8.4) and Clinical Studies (14.1)] .

Clarithromycin therapy should continue if clinical response is observed. Clarithromycin can be discontinued when the patient is considered at low risk of disseminated infection.

1.5 Uncomplicated Skin and Skin Structure Infections

Clarithromycin tablets, USP are indicated for the treatment of mild to moderate infections caused by susceptible isolates due to Staphylococcus aureus, or Streptococcus pyogenes.

1.1 Acute Bacterial Exacerbation of Chronic Bronchitis

Clarithromycin tablets, USP are indicated in adults for the treatment of mild to moderate infections caused by susceptible isolates due to Haemophilus influenzae, Haemophilus parainfluenzae, Moraxella catarrhalis, or Streptococcus pneumoniae [see Indications and Usage (1.9)] .

2.6 Dosage Adjustment in Patients With Renal Impairment (2.6 Dosage Adjustment in Patients with Renal Impairment)

See Table 2 for dosage adjustment in patients with moderate or severe renal impairment with or without concomitant atazanavir or ritonavir-containing regimens [see Drug Interactions (7)] .

Table 2. Clarithromycin Dosage Adjustments in Patients with Renal Impairment
  Recommended Clarithromycin Dosage Reduction
Patients with severe renal impairment (CL cr of <30 mL/min) Reduce the dosage of clarithromycin by 50%
Patients with moderate renal impairment (CL cr of 30 to 60 mL/min) taking concomitant atazanavir or ritonavir-containing regimens Reduce the dosage of clarithromycin by 50%
Patients with severe renal impairment (CL cr of <30 mL/min) taking concomitant atazanavir or ritonavir-containing regimens Reduce the dosage of clarithromycin by 75%
13.1 Carcinogenesis, Mutagenesis, Impairment of Fertility

The following in vitro mutagenicity tests have been conducted with clarithromycin:

  • Salmonella/Mammalian Microsomes Test
  • Bacterial Induced Mutation Frequency Test
  • In Vitro Chromosome Aberration Test
  • Rat Hepatocyte DNA Synthesis Assay
  • Mouse Lymphoma Assay
  • Mouse Dominant Lethal Study
  • Mouse Micronucleus Test

All tests had negative results except the in vitro chromosome aberration test which was positive in one test and negative in another. In addition, a bacterial reverse-mutation test (Ames test) has been performed on clarithromycin metabolites with negative results.

Impairment of Fertility

Fertility and reproduction studies have shown that daily doses of up to 160 mg/kg/ to male and female rats caused no adverse effects on the estrous cycle, fertility, parturition, or number and viability of offspring. Plasma levels in rats after 150 mg/kg/day were twice the human serum levels.

Testicular atrophy occurred in rats at doses 7 times, in dogs at doses 3 times, and in monkeys at doses 8 times greater than the maximum human daily dose (on a body surface area basis).

5.4 Serious Adverse Reactions Due to Concomitant Use With Other Drugs (5.4 Serious Adverse Reactions Due to Concomitant Use with Other Drugs)

Serious adverse reactions have been reported in patients taking clarithromycin concomitantly with CYP3A4 substrates. These include colchicine toxicity with colchicine; rhabdomyolysis with simvastatin, lovastatin, and atorvastatin; ; hypotension and with calcium channel blockers metabolized by CYP3A4 (e.g., verapamil, amlodipine, diltiazem, ). . Use clarithromycin with caution when administered concurrently with medications that induce the cytochrome CYP3A4 enzyme. The use of clarithromycin with simvastatin, lovastatin, ergotamine, or dihydroergotamine is contraindicated . Drugs metabolized by CYP3A4: Serious adverse reactions have been reported in patients taking clarithromycin concomitantly with CYP3A4 substrates. These include colchicine toxicity with colchicine; rhabdomyolysis with simvastatin, lovastatin, and atorvastatin; hypoglycemia with disopyramide; hypotension and acute kidney injury with calcium channel blockers metabolized by CYP3A4 (e.g., verapamil, amlodipine, diltiazem, nifedipine). Most reports of acute kidney injury with calcium channel blockers metabolized by CYP3A4 involved elderly patients 65 years of age or older. Use clarithromycin with caution when administered concurrently with medications that induce the cytochrome CYP3A4 enzyme. The use of clarithromycin with simvastatin, lovastatin, ergotamine, or dihydroergotamine is contraindicated [see Contraindications (4.5, 4.6) and Drug Interactions (7)] .

Life-threatening and fatal drug interactions have been reported in patients treated with clarithromycin and colchicine. Clarithromycin is a strong CYP3A4 inhibitor and this interaction may occur while using both drugs at their recommended doses. If co-administration of clarithromycin and colchicine is necessary in patients with normal renal and hepatic function, reduce the dose of colchicine. Monitor patients for clinical symptoms of colchicine toxicity. Concomitant administration of clarithromycin and colchicine is contraindicated in patients with renal or hepatic impairment . Colchicine: Life-threatening and fatal drug interactions have been reported in patients treated with clarithromycin and colchicine. Clarithromycin is a strong CYP3A4 inhibitor and this interaction may occur while using both drugs at their recommended doses. If co-administration of clarithromycin and colchicine is necessary in patients with normal renal and hepatic function, reduce the dose of colchicine. Monitor patients for clinical symptoms of colchicine toxicity. Concomitant administration of clarithromycin and colchicine is contraindicated in patients with renal or hepatic impairment [see Contraindications (4.4) and Drug Interactions (7)] .

Concomitant use of clarithromycin with lovastatin or simvastatin is contraindicated as these statins are extensively metabolized by CYP3A4, and concomitant treatment with clarithromycin increases their plasma concentration, which increases the risk of myopathy, including rhabdomyolysis. Cases of rhabdomyolysis have been reported in patients taking clarithromycin concomitantly with these statins. If treatment with clarithromycin cannot be avoided, therapy with lovastatin or simvastatin must be suspended during the course of treatment. HMG-CoA Reductase Inhibitors (statins): Concomitant use of clarithromycin with lovastatin or simvastatin is contraindicated [see Contraindications (4.5)] as these statins are extensively metabolized by CYP3A4, and concomitant treatment with clarithromycin increases their plasma concentration, which increases the risk of myopathy, including rhabdomyolysis. Cases of rhabdomyolysis have been reported in patients taking clarithromycin concomitantly with these statins. If treatment with clarithromycin cannot be avoided, therapy with lovastatin or simvastatin must be suspended during the course of treatment.

Exercise caution when prescribing clarithromycin with atorvastatin or pravastatin. In situations where the concomitant use of clarithromycin with atorvastatin or pravastatin cannot be avoided, atorvastatin dose should not exceed 20 mg daily and pravastatin dose should not exceed 40 mg daily. Use of a statin that is not dependent on CYP3A metabolism (e.g. fluvastatin) can be considered. It is recommended to prescribe the lowest registered dose if concomitant use cannot be avoided.Exercise caution when prescribing clarithromycin with atorvastatin or pravastatin. In situations where the concomitant use of clarithromycin with atorvastatin or pravastatin cannot be avoided, atorvastatin dose should not exceed 20 mg daily and pravastatin dose should not exceed 40 mg daily. Use of a statin that is not dependent on CYP3A metabolism (e.g. fluvastatin) can be considered. It is recommended to prescribe the lowest registered dose if concomitant use cannot be avoided.

The concomitant use of clarithromycin and oral hypoglycemic agents and/or insulin can result in significant hypoglycemia. With certain hypoglycemic drugs such as nateglinide, pioglitazone, repaglinide and rosiglitazone, inhibition of CYP3A enzyme by clarithromycin may be involved and could cause hypoglycemia when used concomitantly. Careful monitoring of glucose is recommended . Oral Hypoglycemic Agents/Insulin: The concomitant use of clarithromycin and oral hypoglycemic agents and/or insulin can result in significant hypoglycemia. With certain hypoglycemic drugs such as nateglinide, pioglitazone, repaglinide and rosiglitazone, inhibition of CYP3A enzyme by clarithromycin may be involved and could cause hypoglycemia when used concomitantly. Careful monitoring of glucose is recommended [see Drug Interactions (7)] .

Quetiapine: Use quetiapine and clarithromycin concomitantly with caution. Co-administration could result in increased quetiapine exposure and quetiapine related toxicities such as somnolence, orthostatic hypotension, altered state of consciousness, neuroleptic malignant syndrome, and QT prolongation. Refer to quetiapine prescribing information for recommendations on dose reduction if co-administered with CYP3A4 inhibitors such as clarithromycin [see Drug Interactions (7)] .

There is a risk of serious hemorrhage and significant elevations in INR and prothrombin time when clarithromycin is co-administered with warfarin. Monitor INR and prothrombin times frequently while patients are receiving clarithromycin and oral anticoagulants concurrently . Oral Anticoagulants: There is a risk of serious hemorrhage and significant elevations in INR and prothrombin time when clarithromycin is co-administered with warfarin. Monitor INR and prothrombin times frequently while patients are receiving clarithromycin and oral anticoagulants concurrently [see Drug Interactions (7)] .

Increased sedation and prolongation of sedation have been reported with concomitant administration of clarithromycin and triazolobenzodiazepines, such as triazolam and midazolam . Benzodiazepines: Increased sedation and prolongation of sedation have been reported with concomitant administration of clarithromycin and triazolobenzodiazepines, such as triazolam and midazolam [see Drug Interactions (7)] .

1.7 Treatment and Prophylaxis of Disseminated Mycobacterial Infections

Clarithromycin tablets, USP are indicated for the treatment of mild to moderate infections caused by susceptible isolates due to Mycobacterium avium or Mycobacterium intracellulare in patients with advanced HIV infection [see Clinical Studies (14.1)] .


Advanced Ingredient Data


Raw Label Data

All Sections (JSON)