These Highlights Do Not Include All The Information Needed To Use Travoprost Ophthalmic Solution (ionic Buffered Solution) Safely And Effectively. See Full Prescribing Information For Travoprost Ophthalmic Solution (ionic Buffered Solution).

These Highlights Do Not Include All The Information Needed To Use Travoprost Ophthalmic Solution (ionic Buffered Solution) Safely And Effectively. See Full Prescribing Information For Travoprost Ophthalmic Solution (ionic Buffered Solution).
SPL v1
SPL
SPL Set ID 498a376e-a74e-48d8-a022-ad15a1ecadb5
Route
OPHTHALMIC
Published
Effective Date 2024-11-30
Document Type 34391-3 HUMAN PRESCRIPTION DRUG LABEL

Drug Facts

Composition & Product

Active Ingredients
Travoprost (0.04 mg)
Inactive Ingredients
Polyoxyl 40 Hydrogenated Castor Oil Boric Acid Propylene Glycol Sorbitol Zinc Chloride Hydrochloric Acid Sodium Hydroxide Water

Identifiers & Packaging

Marketing Status
ANDA Active Since 2025-07-15

Description

Travoprost Ophthalmic Solution (ionic buffered solution) 0.004% is indicated for the reduction of elevated intraocular pressure (IOP) in patients with open-angle glaucoma or ocular hypertension.

Indications and Usage

Travoprost Ophthalmic Solution (ionic buffered solution) 0.004% is indicated for the reduction of elevated intraocular pressure (IOP) in patients with open-angle glaucoma or ocular hypertension.

Dosage and Administration

The recommended dosage is one drop in the affected eye(s) once daily in the evening. Travoprost ophthalmic solution (ionic buffered solution) should not be administered more than once daily since it has been shown that more frequent administration of prostaglandin analogs may decrease the IOP-lowering effect. Reduction of the IOP starts approximately 2 hours after the first administration with maximum effect reached after 12 hours. Travoprost ophthalmic solution (ionic buffered solution) may be used concomitantly with other topical ophthalmic drug products to lower IOP. If more than one topical ophthalmic drug is being used, the drugs should be administered at least 5 minutes apart.

Warnings and Precautions

Pigmentation : Pigmentation of the iris, periorbital tissue (eyelid), and eyelashes can occur. Iris pigmentation likely to be permanent. ( 5.1 ) Eyelash Changes : Gradual change to eyelashes including increased length, thickness and number of lashes. Usually reversible. ( 5.2 )

Contraindications

None.

Adverse Reactions

Most common adverse reaction (30% to 50%) is conjunctival hyperemia. ( 6.1 ) To report SUSPECTED ADVERSE REACTIONS, contact Sagent Pharmaceuticals at 1-866-625-1618 or FDA at 1-800-FDA-1088 or www.fda.gov/medwatch .

Storage and Handling

Travoprost Ophthalmic Solution, USP (ionic buffered solution) 0.004% is a sterile, isotonic, buffered, preserved, aqueous solution of travoprost, USP. Travoprost Ophthalmic Solution, USP (ionic buffered solution) 0.004% is supplied as a 2.5 mL solution in a 5 mL and 5 mL solution in a 5 mL natural low density polyethylene bottle with a turquoise high density polyethylene screw cap, tamper evidence screw cap and a low density polyethylene nozzle. NDC Travoprost Ophthalmic Solution, USP 0.004% Package Factor (0.04 mg per mL) 25021-002-02 2.5 mL fill 1 bottle per carton 25021-002-05 5 mL fill 1 bottle per carton

How Supplied

Travoprost Ophthalmic Solution, USP (ionic buffered solution) 0.004% is a sterile, isotonic, buffered, preserved, aqueous solution of travoprost, USP. Travoprost Ophthalmic Solution, USP (ionic buffered solution) 0.004% is supplied as a 2.5 mL solution in a 5 mL and 5 mL solution in a 5 mL natural low density polyethylene bottle with a turquoise high density polyethylene screw cap, tamper evidence screw cap and a low density polyethylene nozzle. NDC Travoprost Ophthalmic Solution, USP 0.004% Package Factor (0.04 mg per mL) 25021-002-02 2.5 mL fill 1 bottle per carton 25021-002-05 5 mL fill 1 bottle per carton


Medication Information

Warnings and Precautions

Pigmentation : Pigmentation of the iris, periorbital tissue (eyelid), and eyelashes can occur. Iris pigmentation likely to be permanent. ( 5.1 ) Eyelash Changes : Gradual change to eyelashes including increased length, thickness and number of lashes. Usually reversible. ( 5.2 )

Indications and Usage

Travoprost Ophthalmic Solution (ionic buffered solution) 0.004% is indicated for the reduction of elevated intraocular pressure (IOP) in patients with open-angle glaucoma or ocular hypertension.

Dosage and Administration

The recommended dosage is one drop in the affected eye(s) once daily in the evening. Travoprost ophthalmic solution (ionic buffered solution) should not be administered more than once daily since it has been shown that more frequent administration of prostaglandin analogs may decrease the IOP-lowering effect. Reduction of the IOP starts approximately 2 hours after the first administration with maximum effect reached after 12 hours. Travoprost ophthalmic solution (ionic buffered solution) may be used concomitantly with other topical ophthalmic drug products to lower IOP. If more than one topical ophthalmic drug is being used, the drugs should be administered at least 5 minutes apart.

Contraindications

None.

Adverse Reactions

Most common adverse reaction (30% to 50%) is conjunctival hyperemia. ( 6.1 ) To report SUSPECTED ADVERSE REACTIONS, contact Sagent Pharmaceuticals at 1-866-625-1618 or FDA at 1-800-FDA-1088 or www.fda.gov/medwatch .

Storage and Handling

Travoprost Ophthalmic Solution, USP (ionic buffered solution) 0.004% is a sterile, isotonic, buffered, preserved, aqueous solution of travoprost, USP. Travoprost Ophthalmic Solution, USP (ionic buffered solution) 0.004% is supplied as a 2.5 mL solution in a 5 mL and 5 mL solution in a 5 mL natural low density polyethylene bottle with a turquoise high density polyethylene screw cap, tamper evidence screw cap and a low density polyethylene nozzle. NDC Travoprost Ophthalmic Solution, USP 0.004% Package Factor (0.04 mg per mL) 25021-002-02 2.5 mL fill 1 bottle per carton 25021-002-05 5 mL fill 1 bottle per carton

How Supplied

Travoprost Ophthalmic Solution, USP (ionic buffered solution) 0.004% is a sterile, isotonic, buffered, preserved, aqueous solution of travoprost, USP. Travoprost Ophthalmic Solution, USP (ionic buffered solution) 0.004% is supplied as a 2.5 mL solution in a 5 mL and 5 mL solution in a 5 mL natural low density polyethylene bottle with a turquoise high density polyethylene screw cap, tamper evidence screw cap and a low density polyethylene nozzle. NDC Travoprost Ophthalmic Solution, USP 0.004% Package Factor (0.04 mg per mL) 25021-002-02 2.5 mL fill 1 bottle per carton 25021-002-05 5 mL fill 1 bottle per carton

Description

Travoprost Ophthalmic Solution (ionic buffered solution) 0.004% is indicated for the reduction of elevated intraocular pressure (IOP) in patients with open-angle glaucoma or ocular hypertension.

Section 42229-5

Risk Summary

There are no adequate and well-controlled studies in pregnant women to inform a drug-associated risk.

In animal reproduction studies, subcutaneous (SC) administration of travoprost to pregnant mice and rats throughout the period of organogenesis produced embryo-fetal lethality, spontaneous abortion, and premature delivery at potentially clinically relevant doses.

Advise pregnant women of a potential risk to a fetus. Because animal reproductive studies are not always predictive of human response, travoprost ophthalmic solution (ionic buffered solution) should be administered during pregnancy only if the potential benefit justifies the potential risk to the fetus.

The background risk of major birth defects and miscarriage for the indicated population is unknown; however, in the U.S. general population, the estimated background risk of major birth defects is 2% to 4% and of miscarriage is 15% to 20% of clinically recognized pregnancies.

Section 44425-7

Storage Conditions

Store at 2° to 25°C (36° to 77°F).

After opening, travoprost ophthalmic solution, USP (ionic buffered solution) can be used until the expiration date on the bottle.

Sterile, Nonpyrogenic, Preservative-free.

The container closure is not made with natural rubber latex.

Section 51945-4

PACKAGE LABEL – PRINCIPAL DISPLAY PANEL – Bottle Label

NDC 25021-002-02

Rx only

Travoprost Ophthalmic Solution, USP

0.004% 2.5 mL

(Ionic Buffered Solution)

For Eye Use Only

11 Description

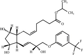
Travoprost is a synthetic prostaglandin F analog. Its chemical name is [1R-[1α(Z),2β(1E,3R*),3α,5α]]-7-[3,5-Dihydroxy-2-[3-hydroxy-4-[3-(trifluoromethyl) phenoxy]-1-butenyl]cyclopentyl]-5-heptenoic acid, 1-methylethylester. It has a molecular formula of C26H35F3O6 and a molecular weight of 500.55 g/mol. The chemical structure of travoprost is:

Travoprost, USP is a clear, colorless and viscous oil that is very soluble in acetonitrile, methanol, octanol, and chloroform. It is practically insoluble in water.

Travoprost Ophthalmic Solution, USP (ionic buffered solution) 0.004% is supplied as sterile, buffered aqueous solution of travoprost with a pH of approximately 5.7 and an osmolality of approximately 290 mOsmol/kg.

Travoprost Ophthalmic Solution, USP (ionic buffered solution) 0.004% contains Active: travoprost, USP 0.04 mg per mL; Inactives: polyoxyl 40 hydrogenated castor oil, boric acid, propylene glycol, sorbitol, zinc chloride, sodium hydroxide and/or hydrochloric acid (to adjust pH), and water for injection. Preserved in the bottle with an ionic buffered system.

5.1 Pigmentation

Travoprost ophthalmic solution has been reported to cause changes to pigmented tissues. The most frequently reported changes have been increased pigmentation of the iris, periorbital tissue (eyelid), and eyelashes. Pigmentation is expected to increase as long as travoprost is administered. The pigmentation change is due to increased melanin content in the melanocytes rather than to an increase in the number of melanocytes. After discontinuation of travoprost, pigmentation of the iris is likely to be permanent, while pigmentation of the periorbital tissue and eyelash changes have been reported to be reversible in some patients. Patients who receive treatment should be informed of the possibility of increased pigmentation. The long-term effects of increased pigmentation are not known.

Iris color change may not be noticeable for several months to years. Typically, the brown pigmentation around the pupil spreads concentrically towards the periphery of the iris and the entire iris or parts of the iris become more brownish. Neither nevi nor freckles of the iris appear to be affected by treatment. While treatment with travoprost ophthalmic solution (ionic buffered solution) can be continued in patients who develop noticeably increased iris pigmentation, these patients should be examined regularly [see Patient Counseling Information (17)].

5.4 Macular Edema

Macular edema, including cystoid macular edema, has been reported during treatment with travoprost ophthalmic solution (ionic buffered solution). Travoprost ophthalmic solution should be used with caution in aphakic patients, in pseudophakic patients with a torn posterior lens capsule, or in patients with known risk factors for macular edema.

8.4 Pediatric Use

Use in pediatric patients below the age of 16 years is not recommended because of potential safety concerns related to increased pigmentation following long-term chronic use.

8.5 Geriatric Use

No overall clinical differences in safety or effectiveness have been observed between elderly and other adult patients.

14 Clinical Studies

In clinical studies, patients with open-angle glaucoma or ocular hypertension and baseline pressure of 25 to 27 mmHg, who were treated with travoprost ophthalmic solution (ionic buffered solution) dosed once daily in the evening, demonstrated 7 to 8 mmHg reductions in IOP. In sub-group analyses of these studies, mean IOP reduction in black patients was up to 1.8 mmHg greater than in non-black patients. It is not known at this time whether this difference is attributed to race or to heavily pigmented irides.

In a multi-center, randomized, controlled trial, patients with mean baseline IOP of 24 to 26 mmHg on timolol maleate ophthalmic solution 0.5% twice daily who were treated with travoprost ophthalmic solution dosed daily adjunctively to timolol maleate ophthalmic solution 0.5% twice daily demonstrated 6 to 7 mmHg reductions in IOP.

4 Contraindications

None.

5.2 Eyelash Changes

Travoprost ophthalmic solution (ionic buffered solution) may gradually change eyelashes and vellus hair in the treated eye. These changes include increased length, thickness, and number of lashes. Eyelash changes are usually reversible upon discontinuation of treatment [see Patient Counseling Information (17)].

6 Adverse Reactions

Most common adverse reaction (30% to 50%) is conjunctival hyperemia. (6.1)



To report SUSPECTED ADVERSE REACTIONS, contact Sagent Pharmaceuticals at 1-866-625-1618 or FDA at 1-800-FDA-1088 or www.fda.gov/medwatch.



12.3 Pharmacokinetics

Travoprost is absorbed through the cornea and is hydrolyzed to the active free acid. Data from 4 multiple-dose pharmacokinetic studies (totaling 107 subjects) have shown that plasma concentrations of the free acid are below 0.01 ng/mL (the quantitation limit of the assay) in two-thirds of the subjects. In those individuals with quantifiable plasma concentrations (N = 38), the mean plasma Cmax was 0.018 ± 0.007 ng/mL (ranged 0.01 to 0.052 ng/mL) and was reached within 30 minutes. From these studies, travoprost is estimated to have a plasma half-life of 45 minutes. There was no difference in plasma concentrations between Days 1 and 7, indicating steady-state was reached early and that there was no significant accumulation.

Travoprost, an isopropyl ester prodrug, is hydrolyzed by esterases in the cornea to its biologically active free acid. Systemically, travoprost free acid is metabolized to inactive metabolites via beta-oxidation of the α (carboxylic acid) chain to give the 1, 2-dinor and 1, 2, 3, 4-tetranor analogs, via oxidation of the 15-hydroxyl moiety, as well as via reduction of the 13, 14 double bond.

The elimination of travoprost free acid from plasma was rapid and levels were generally below the limit of quantification within one hour after dosing. The terminal elimination half-life of travoprost free acid was estimated from 14 subjects and ranged from 17 minutes to 86 minutes with the mean half-life of 45 minutes. Less than 2% of the topical ocular dose of travoprost was excreted in the urine within 4 hours as the travoprost free acid.

1 Indications and Usage

Travoprost Ophthalmic Solution (ionic buffered solution) 0.004% is indicated for the reduction of elevated intraocular pressure (IOP) in patients with open-angle glaucoma or ocular hypertension.

5.6 Bacterial Keratitis

There have been reports of bacterial keratitis associated with the use of multiple-dose containers of topical ophthalmic products. These containers had been inadvertently contaminated by patients who, in most cases, had a concurrent corneal disease or a disruption of the ocular epithelial surface [see Patient Counseling Information (17)].

12.1 Mechanism of Action

Travoprost free acid, a prostaglandin analog is a selective FP prostanoid receptor agonist, which is believed to reduce IOP by increasing uveoscleral outflow. The exact mechanism of action is unknown at this time.

5 Warnings and Precautions
  • Pigmentation: Pigmentation of the iris, periorbital tissue (eyelid), and eyelashes can occur. Iris pigmentation likely to be permanent. (5.1)
  • Eyelash Changes: Gradual change to eyelashes including increased length, thickness and number of lashes. Usually reversible. (5.2)
2 Dosage and Administration

The recommended dosage is one drop in the affected eye(s) once daily in the evening. Travoprost ophthalmic solution (ionic buffered solution) should not be administered more than once daily since it has been shown that more frequent administration of prostaglandin analogs may decrease the IOP-lowering effect.

Reduction of the IOP starts approximately 2 hours after the first administration with maximum effect reached after 12 hours.

Travoprost ophthalmic solution (ionic buffered solution) may be used concomitantly with other topical ophthalmic drug products to lower IOP. If more than one topical ophthalmic drug is being used, the drugs should be administered at least 5 minutes apart.

5.7 Use With Contact Lenses

Contact lenses should be removed prior to instillation of travoprost ophthalmic solution (ionic buffered solution) and may be reinserted 15 minutes following its administration.

3 Dosage Forms and Strengths

Ophthalmic solution containing travoprost 0.04 mg per mL.

5.3 Intraocular Inflammation

Travoprost ophthalmic solution (ionic buffered solution) should be used with caution in patients with active intraocular inflammation (e.g., uveitis) because the inflammation may be exacerbated.

6.2 Postmarketing Experience

Additional adverse reactions have been identified during post approval use of travoprost ophthalmic solution or travoprost ophthalmic solution (ionic buffered solution) in clinical practice. Because they are reported voluntarily from a population of unknown size, estimates of frequency cannot be made. The reactions, which have been chosen for inclusion due to either their seriousness, frequency of reporting, possible causal connection to travoprost ophthalmic solution or travoprost ophthalmic solution (ionic buffered solution), or a combination of these factors, include: arrhythmia, vomiting, epistaxis, tachycardia, and insomnia.

In postmarketing use with prostaglandin analogs, periorbital and lid changes, including deepening of the eyelid sulcus have been observed.

8 Use in Specific Populations

Use in pediatric patients below the age of 16 years is not recommended because of potential safety concerns related to increased pigmentation following long-term chronic use. (8.4)



6.1 Clinical Trials Experience

Because clinical trials are conducted under widely varying conditions, adverse reaction rates observed in the clinical trials of a drug cannot be directly compared to rates in the clinical trials of another drug and may not reflect the rates observed in practice.

The most common adverse reaction observed in controlled clinical trials with travoprost ophthalmic solution and travoprost ophthalmic solution (ionic buffered solution) was ocular hyperemia, which was reported in 30% to 50% of patients. Up to 3% of patients discontinued therapy due to conjunctival hyperemia. Ocular adverse reactions, reported at an incidence of 5% to 10% in these clinical trials, included decreased visual acuity, eye discomfort, foreign body sensation, pain, and pruritus.

Ocular adverse reactions, reported at an incidence of 1% to 4% in clinical trials with travoprost ophthalmic solution or travoprost ophthalmic solution (ionic buffered solution) included abnormal vision, blepharitis, blurred vision, cataract, conjunctivitis, corneal staining, dry eye, iris discoloration, keratitis, lid margin crusting, ocular inflammation, photophobia, subconjunctival hemorrhage, and tearing.

Non-ocular adverse reactions, reported at an incidence of 1% to 5% in these clinical studies, were allergy, angina pectoris, anxiety, arthritis, back pain, bradycardia, bronchitis, chest pain, cold/flu syndrome, depression, dyspepsia, gastrointestinal disorder, headache, hypercholesterolemia, hypertension, hypotension, infection, pain, prostate disorder, sinusitis, urinary incontinence, and urinary tract infections.

8.6 Hepatic and Renal Impairment

Travoprost ophthalmic solution has been studied in patients with hepatic impairment and also in patients with renal impairment. No clinically relevant changes in hematology, blood chemistry, or urinalysis laboratory data were observed in these patients.

16 How Supplied/storage and Handling

Travoprost Ophthalmic Solution, USP (ionic buffered solution) 0.004% is a sterile, isotonic, buffered, preserved, aqueous solution of travoprost, USP.

Travoprost Ophthalmic Solution, USP (ionic buffered solution) 0.004% is supplied as a 2.5 mL solution in a 5 mL and 5 mL solution in a 5 mL natural low density polyethylene bottle with a turquoise high density polyethylene screw cap, tamper evidence screw cap and a low density polyethylene nozzle.

NDC Travoprost Ophthalmic Solution, USP 0.004% Package Factor
(0.04 mg per mL)
25021-002-02 2.5 mL fill 1 bottle per carton
25021-002-05 5 mL fill 1 bottle per carton
5.5 Angle Closure, Inflammatory Or Neovascular Glaucoma

Travoprost ophthalmic solution (ionic buffered solution) has not been evaluated for the treatment of angle-closure, inflammatory or neovascular glaucoma.

13.1 Carcinogenesis, Mutagenesis, Impairment of Fertility

Two-year carcinogenicity studies in mice and rats at subcutaneous doses of 10, 30, or 100 mcg/kg/day did not show any evidence of carcinogenic potential. However, at 100 mcg/kg/day, male rats were only treated for 82 weeks, and the maximum tolerated dose (MTD) was not reached in the mouse study. The high dose (100 mcg/kg) corresponds to exposure levels 326 times (mouse) and 547 times (rat) the human exposure at the MHROD of 0.04 mcg/kg, based on estimated plasma Cmax for active travoprost free acid.

Travoprost was not mutagenic in the Ames test, mouse micronucleus test or rat chromosome aberration assay. A slight increase in the mutant frequency was observed in one of two mouse lymphoma assays in the presence of rat S-9 activation enzymes.

Travoprost did not affect mating or fertility indices in male or female rats at subcutaneous doses up to 3 mcg/kg/day (18 times the MHROD based on estimated plasma Cmax). At 10 mcg/kg/day (60 times the MHROD, based on estimated plasma Cmax), the mean number of corpora lutea was reduced, and the post-implantation losses were increased.


Structured Label Content

Section 42229-5 (42229-5)

Risk Summary

There are no adequate and well-controlled studies in pregnant women to inform a drug-associated risk.

In animal reproduction studies, subcutaneous (SC) administration of travoprost to pregnant mice and rats throughout the period of organogenesis produced embryo-fetal lethality, spontaneous abortion, and premature delivery at potentially clinically relevant doses.

Advise pregnant women of a potential risk to a fetus. Because animal reproductive studies are not always predictive of human response, travoprost ophthalmic solution (ionic buffered solution) should be administered during pregnancy only if the potential benefit justifies the potential risk to the fetus.

The background risk of major birth defects and miscarriage for the indicated population is unknown; however, in the U.S. general population, the estimated background risk of major birth defects is 2% to 4% and of miscarriage is 15% to 20% of clinically recognized pregnancies.

Section 44425-7 (44425-7)

Storage Conditions

Store at 2° to 25°C (36° to 77°F).

After opening, travoprost ophthalmic solution, USP (ionic buffered solution) can be used until the expiration date on the bottle.

Sterile, Nonpyrogenic, Preservative-free.

The container closure is not made with natural rubber latex.

Section 51945-4 (51945-4)

PACKAGE LABEL – PRINCIPAL DISPLAY PANEL – Bottle Label

NDC 25021-002-02

Rx only

Travoprost Ophthalmic Solution, USP

0.004% 2.5 mL

(Ionic Buffered Solution)

For Eye Use Only

11 Description (11 DESCRIPTION)

Travoprost is a synthetic prostaglandin F analog. Its chemical name is [1R-[1α(Z),2β(1E,3R*),3α,5α]]-7-[3,5-Dihydroxy-2-[3-hydroxy-4-[3-(trifluoromethyl) phenoxy]-1-butenyl]cyclopentyl]-5-heptenoic acid, 1-methylethylester. It has a molecular formula of C26H35F3O6 and a molecular weight of 500.55 g/mol. The chemical structure of travoprost is:

Travoprost, USP is a clear, colorless and viscous oil that is very soluble in acetonitrile, methanol, octanol, and chloroform. It is practically insoluble in water.

Travoprost Ophthalmic Solution, USP (ionic buffered solution) 0.004% is supplied as sterile, buffered aqueous solution of travoprost with a pH of approximately 5.7 and an osmolality of approximately 290 mOsmol/kg.

Travoprost Ophthalmic Solution, USP (ionic buffered solution) 0.004% contains Active: travoprost, USP 0.04 mg per mL; Inactives: polyoxyl 40 hydrogenated castor oil, boric acid, propylene glycol, sorbitol, zinc chloride, sodium hydroxide and/or hydrochloric acid (to adjust pH), and water for injection. Preserved in the bottle with an ionic buffered system.

5.1 Pigmentation

Travoprost ophthalmic solution has been reported to cause changes to pigmented tissues. The most frequently reported changes have been increased pigmentation of the iris, periorbital tissue (eyelid), and eyelashes. Pigmentation is expected to increase as long as travoprost is administered. The pigmentation change is due to increased melanin content in the melanocytes rather than to an increase in the number of melanocytes. After discontinuation of travoprost, pigmentation of the iris is likely to be permanent, while pigmentation of the periorbital tissue and eyelash changes have been reported to be reversible in some patients. Patients who receive treatment should be informed of the possibility of increased pigmentation. The long-term effects of increased pigmentation are not known.

Iris color change may not be noticeable for several months to years. Typically, the brown pigmentation around the pupil spreads concentrically towards the periphery of the iris and the entire iris or parts of the iris become more brownish. Neither nevi nor freckles of the iris appear to be affected by treatment. While treatment with travoprost ophthalmic solution (ionic buffered solution) can be continued in patients who develop noticeably increased iris pigmentation, these patients should be examined regularly [see Patient Counseling Information (17)].

5.4 Macular Edema

Macular edema, including cystoid macular edema, has been reported during treatment with travoprost ophthalmic solution (ionic buffered solution). Travoprost ophthalmic solution should be used with caution in aphakic patients, in pseudophakic patients with a torn posterior lens capsule, or in patients with known risk factors for macular edema.

8.4 Pediatric Use

Use in pediatric patients below the age of 16 years is not recommended because of potential safety concerns related to increased pigmentation following long-term chronic use.

8.5 Geriatric Use

No overall clinical differences in safety or effectiveness have been observed between elderly and other adult patients.

14 Clinical Studies (14 CLINICAL STUDIES)

In clinical studies, patients with open-angle glaucoma or ocular hypertension and baseline pressure of 25 to 27 mmHg, who were treated with travoprost ophthalmic solution (ionic buffered solution) dosed once daily in the evening, demonstrated 7 to 8 mmHg reductions in IOP. In sub-group analyses of these studies, mean IOP reduction in black patients was up to 1.8 mmHg greater than in non-black patients. It is not known at this time whether this difference is attributed to race or to heavily pigmented irides.

In a multi-center, randomized, controlled trial, patients with mean baseline IOP of 24 to 26 mmHg on timolol maleate ophthalmic solution 0.5% twice daily who were treated with travoprost ophthalmic solution dosed daily adjunctively to timolol maleate ophthalmic solution 0.5% twice daily demonstrated 6 to 7 mmHg reductions in IOP.

4 Contraindications (4 CONTRAINDICATIONS)

None.

5.2 Eyelash Changes

Travoprost ophthalmic solution (ionic buffered solution) may gradually change eyelashes and vellus hair in the treated eye. These changes include increased length, thickness, and number of lashes. Eyelash changes are usually reversible upon discontinuation of treatment [see Patient Counseling Information (17)].

6 Adverse Reactions (6 ADVERSE REACTIONS)

Most common adverse reaction (30% to 50%) is conjunctival hyperemia. (6.1)



To report SUSPECTED ADVERSE REACTIONS, contact Sagent Pharmaceuticals at 1-866-625-1618 or FDA at 1-800-FDA-1088 or www.fda.gov/medwatch.



12.3 Pharmacokinetics

Travoprost is absorbed through the cornea and is hydrolyzed to the active free acid. Data from 4 multiple-dose pharmacokinetic studies (totaling 107 subjects) have shown that plasma concentrations of the free acid are below 0.01 ng/mL (the quantitation limit of the assay) in two-thirds of the subjects. In those individuals with quantifiable plasma concentrations (N = 38), the mean plasma Cmax was 0.018 ± 0.007 ng/mL (ranged 0.01 to 0.052 ng/mL) and was reached within 30 minutes. From these studies, travoprost is estimated to have a plasma half-life of 45 minutes. There was no difference in plasma concentrations between Days 1 and 7, indicating steady-state was reached early and that there was no significant accumulation.

Travoprost, an isopropyl ester prodrug, is hydrolyzed by esterases in the cornea to its biologically active free acid. Systemically, travoprost free acid is metabolized to inactive metabolites via beta-oxidation of the α (carboxylic acid) chain to give the 1, 2-dinor and 1, 2, 3, 4-tetranor analogs, via oxidation of the 15-hydroxyl moiety, as well as via reduction of the 13, 14 double bond.

The elimination of travoprost free acid from plasma was rapid and levels were generally below the limit of quantification within one hour after dosing. The terminal elimination half-life of travoprost free acid was estimated from 14 subjects and ranged from 17 minutes to 86 minutes with the mean half-life of 45 minutes. Less than 2% of the topical ocular dose of travoprost was excreted in the urine within 4 hours as the travoprost free acid.

1 Indications and Usage (1 INDICATIONS AND USAGE)

Travoprost Ophthalmic Solution (ionic buffered solution) 0.004% is indicated for the reduction of elevated intraocular pressure (IOP) in patients with open-angle glaucoma or ocular hypertension.

5.6 Bacterial Keratitis

There have been reports of bacterial keratitis associated with the use of multiple-dose containers of topical ophthalmic products. These containers had been inadvertently contaminated by patients who, in most cases, had a concurrent corneal disease or a disruption of the ocular epithelial surface [see Patient Counseling Information (17)].

12.1 Mechanism of Action

Travoprost free acid, a prostaglandin analog is a selective FP prostanoid receptor agonist, which is believed to reduce IOP by increasing uveoscleral outflow. The exact mechanism of action is unknown at this time.

5 Warnings and Precautions (5 WARNINGS AND PRECAUTIONS)
  • Pigmentation: Pigmentation of the iris, periorbital tissue (eyelid), and eyelashes can occur. Iris pigmentation likely to be permanent. (5.1)
  • Eyelash Changes: Gradual change to eyelashes including increased length, thickness and number of lashes. Usually reversible. (5.2)
2 Dosage and Administration (2 DOSAGE AND ADMINISTRATION)

The recommended dosage is one drop in the affected eye(s) once daily in the evening. Travoprost ophthalmic solution (ionic buffered solution) should not be administered more than once daily since it has been shown that more frequent administration of prostaglandin analogs may decrease the IOP-lowering effect.

Reduction of the IOP starts approximately 2 hours after the first administration with maximum effect reached after 12 hours.

Travoprost ophthalmic solution (ionic buffered solution) may be used concomitantly with other topical ophthalmic drug products to lower IOP. If more than one topical ophthalmic drug is being used, the drugs should be administered at least 5 minutes apart.

5.7 Use With Contact Lenses (5.7 Use with Contact Lenses)

Contact lenses should be removed prior to instillation of travoprost ophthalmic solution (ionic buffered solution) and may be reinserted 15 minutes following its administration.

3 Dosage Forms and Strengths (3 DOSAGE FORMS AND STRENGTHS)

Ophthalmic solution containing travoprost 0.04 mg per mL.

5.3 Intraocular Inflammation

Travoprost ophthalmic solution (ionic buffered solution) should be used with caution in patients with active intraocular inflammation (e.g., uveitis) because the inflammation may be exacerbated.

6.2 Postmarketing Experience

Additional adverse reactions have been identified during post approval use of travoprost ophthalmic solution or travoprost ophthalmic solution (ionic buffered solution) in clinical practice. Because they are reported voluntarily from a population of unknown size, estimates of frequency cannot be made. The reactions, which have been chosen for inclusion due to either their seriousness, frequency of reporting, possible causal connection to travoprost ophthalmic solution or travoprost ophthalmic solution (ionic buffered solution), or a combination of these factors, include: arrhythmia, vomiting, epistaxis, tachycardia, and insomnia.

In postmarketing use with prostaglandin analogs, periorbital and lid changes, including deepening of the eyelid sulcus have been observed.

8 Use in Specific Populations (8 USE IN SPECIFIC POPULATIONS)

Use in pediatric patients below the age of 16 years is not recommended because of potential safety concerns related to increased pigmentation following long-term chronic use. (8.4)



6.1 Clinical Trials Experience

Because clinical trials are conducted under widely varying conditions, adverse reaction rates observed in the clinical trials of a drug cannot be directly compared to rates in the clinical trials of another drug and may not reflect the rates observed in practice.

The most common adverse reaction observed in controlled clinical trials with travoprost ophthalmic solution and travoprost ophthalmic solution (ionic buffered solution) was ocular hyperemia, which was reported in 30% to 50% of patients. Up to 3% of patients discontinued therapy due to conjunctival hyperemia. Ocular adverse reactions, reported at an incidence of 5% to 10% in these clinical trials, included decreased visual acuity, eye discomfort, foreign body sensation, pain, and pruritus.

Ocular adverse reactions, reported at an incidence of 1% to 4% in clinical trials with travoprost ophthalmic solution or travoprost ophthalmic solution (ionic buffered solution) included abnormal vision, blepharitis, blurred vision, cataract, conjunctivitis, corneal staining, dry eye, iris discoloration, keratitis, lid margin crusting, ocular inflammation, photophobia, subconjunctival hemorrhage, and tearing.

Non-ocular adverse reactions, reported at an incidence of 1% to 5% in these clinical studies, were allergy, angina pectoris, anxiety, arthritis, back pain, bradycardia, bronchitis, chest pain, cold/flu syndrome, depression, dyspepsia, gastrointestinal disorder, headache, hypercholesterolemia, hypertension, hypotension, infection, pain, prostate disorder, sinusitis, urinary incontinence, and urinary tract infections.

8.6 Hepatic and Renal Impairment

Travoprost ophthalmic solution has been studied in patients with hepatic impairment and also in patients with renal impairment. No clinically relevant changes in hematology, blood chemistry, or urinalysis laboratory data were observed in these patients.

16 How Supplied/storage and Handling (16 HOW SUPPLIED/STORAGE AND HANDLING)

Travoprost Ophthalmic Solution, USP (ionic buffered solution) 0.004% is a sterile, isotonic, buffered, preserved, aqueous solution of travoprost, USP.

Travoprost Ophthalmic Solution, USP (ionic buffered solution) 0.004% is supplied as a 2.5 mL solution in a 5 mL and 5 mL solution in a 5 mL natural low density polyethylene bottle with a turquoise high density polyethylene screw cap, tamper evidence screw cap and a low density polyethylene nozzle.

NDC Travoprost Ophthalmic Solution, USP 0.004% Package Factor
(0.04 mg per mL)
25021-002-02 2.5 mL fill 1 bottle per carton
25021-002-05 5 mL fill 1 bottle per carton
5.5 Angle Closure, Inflammatory Or Neovascular Glaucoma (5.5 Angle-closure, Inflammatory or Neovascular Glaucoma)

Travoprost ophthalmic solution (ionic buffered solution) has not been evaluated for the treatment of angle-closure, inflammatory or neovascular glaucoma.

13.1 Carcinogenesis, Mutagenesis, Impairment of Fertility

Two-year carcinogenicity studies in mice and rats at subcutaneous doses of 10, 30, or 100 mcg/kg/day did not show any evidence of carcinogenic potential. However, at 100 mcg/kg/day, male rats were only treated for 82 weeks, and the maximum tolerated dose (MTD) was not reached in the mouse study. The high dose (100 mcg/kg) corresponds to exposure levels 326 times (mouse) and 547 times (rat) the human exposure at the MHROD of 0.04 mcg/kg, based on estimated plasma Cmax for active travoprost free acid.

Travoprost was not mutagenic in the Ames test, mouse micronucleus test or rat chromosome aberration assay. A slight increase in the mutant frequency was observed in one of two mouse lymphoma assays in the presence of rat S-9 activation enzymes.

Travoprost did not affect mating or fertility indices in male or female rats at subcutaneous doses up to 3 mcg/kg/day (18 times the MHROD based on estimated plasma Cmax). At 10 mcg/kg/day (60 times the MHROD, based on estimated plasma Cmax), the mean number of corpora lutea was reduced, and the post-implantation losses were increased.


Advanced Ingredient Data


Raw Label Data

All Sections (JSON)