These Highlights Do Not Include All The Information Needed To Use Verkazia Safely And Effectively. See Full Prescribing Information For Verkazia.

These Highlights Do Not Include All The Information Needed To Use Verkazia Safely And Effectively. See Full Prescribing Information For Verkazia.
SPL v2
SPL
SPL Set ID 48651d30-9e6e-74b0-e063-6294a90a8337
Routes
TOPICAL OPHTHALMIC
Published
Effective Date 2026-01-14
Document Type 34391-3 HUMAN PRESCRIPTION DRUG LABEL

Drug Facts

Composition & Product

Active Ingredients
Cyclosporine (1 mg)
Inactive Ingredients
Tyloxapol Poloxamer 188 Water Sodium Hydroxide Medium-chain Triglycerides Cetalkonium Chloride Glycerin

Identifiers & Packaging

Pill Appearance
Color: white
Marketing Status
NDA Active Since 2022-02-01

Description

Verkazia ophthalmic emulsion is indicated for the treatment of vernal keratoconjunctivitis (VKC) in children and adults.

Indications and Usage

Verkazia ophthalmic emulsion is indicated for the treatment of vernal keratoconjunctivitis (VKC) in children and adults.

Dosage and Administration

Instill one drop of Verkazia, 4 times daily (morning, noon, afternoon, and evening) in each affected eye ( 2 )

Warnings and Precautions

To avoid the potential for eye injury and contamination, advise patient not to touch the vial tip to the eye or other surfaces ( 5.1 )

Contraindications

None

Adverse Reactions

The most common adverse reactions following the use of Verkazia were eye pain (12%) and eye pruritus (8%) ( 6.1 ) To report SUSPECTED ADVERSE REACTIONS, contact Harrow at 1-833-4HARROW(427769) or FDA at 1-800-FDA-1088 or www.fda.gov/medwatch. See 17 for PATIENT COUNSELING INFORMATION and FDA‑approved patient labeling.

Storage and Handling

Verkazia (cyclosporine ophthalmic emulsion) 0.1% is packaged in low-density polyethylene single-dose vials. Each vial contains 0.3 mL fill; 5 vials are packaged in an aluminum pouch; 24 pouches are packaged in a box of 120 vials. The entire contents of each box of 120 vials must be dispensed intact. 120 Single-Dose Vials 0.3 mL each — NDC 82667-014-01 Storage: Do not freeze Verkazia. Store at 20°C to 25°C (68°F to 77°F). After opening the aluminum pouch, the single-dose vial should be kept in the pouch to protect from light and avoid evaporation. Any opened individual single-dose vial with any remaining emulsion should be discarded immediately after use.

How Supplied

Verkazia (cyclosporine ophthalmic emulsion) 0.1% is packaged in low-density polyethylene single-dose vials. Each vial contains 0.3 mL fill; 5 vials are packaged in an aluminum pouch; 24 pouches are packaged in a box of 120 vials. The entire contents of each box of 120 vials must be dispensed intact. 120 Single-Dose Vials 0.3 mL each — NDC 82667-014-01 Storage: Do not freeze Verkazia. Store at 20°C to 25°C (68°F to 77°F). After opening the aluminum pouch, the single-dose vial should be kept in the pouch to protect from light and avoid evaporation. Any opened individual single-dose vial with any remaining emulsion should be discarded immediately after use.


Medication Information

Warnings and Precautions

To avoid the potential for eye injury and contamination, advise patient not to touch the vial tip to the eye or other surfaces ( 5.1 )

Indications and Usage

Verkazia ophthalmic emulsion is indicated for the treatment of vernal keratoconjunctivitis (VKC) in children and adults.

Dosage and Administration

Instill one drop of Verkazia, 4 times daily (morning, noon, afternoon, and evening) in each affected eye ( 2 )

Contraindications

None

Adverse Reactions

The most common adverse reactions following the use of Verkazia were eye pain (12%) and eye pruritus (8%) ( 6.1 ) To report SUSPECTED ADVERSE REACTIONS, contact Harrow at 1-833-4HARROW(427769) or FDA at 1-800-FDA-1088 or www.fda.gov/medwatch. See 17 for PATIENT COUNSELING INFORMATION and FDA‑approved patient labeling.

Storage and Handling

Verkazia (cyclosporine ophthalmic emulsion) 0.1% is packaged in low-density polyethylene single-dose vials. Each vial contains 0.3 mL fill; 5 vials are packaged in an aluminum pouch; 24 pouches are packaged in a box of 120 vials. The entire contents of each box of 120 vials must be dispensed intact. 120 Single-Dose Vials 0.3 mL each — NDC 82667-014-01 Storage: Do not freeze Verkazia. Store at 20°C to 25°C (68°F to 77°F). After opening the aluminum pouch, the single-dose vial should be kept in the pouch to protect from light and avoid evaporation. Any opened individual single-dose vial with any remaining emulsion should be discarded immediately after use.

How Supplied

Verkazia (cyclosporine ophthalmic emulsion) 0.1% is packaged in low-density polyethylene single-dose vials. Each vial contains 0.3 mL fill; 5 vials are packaged in an aluminum pouch; 24 pouches are packaged in a box of 120 vials. The entire contents of each box of 120 vials must be dispensed intact. 120 Single-Dose Vials 0.3 mL each — NDC 82667-014-01 Storage: Do not freeze Verkazia. Store at 20°C to 25°C (68°F to 77°F). After opening the aluminum pouch, the single-dose vial should be kept in the pouch to protect from light and avoid evaporation. Any opened individual single-dose vial with any remaining emulsion should be discarded immediately after use.

Description

Verkazia ophthalmic emulsion is indicated for the treatment of vernal keratoconjunctivitis (VKC) in children and adults.

8.1 Pregnancy

Risk Summary

There are no adequate and well-controlled studies of Verkazia administration in pregnant women to inform a drug-associated risk. Oral administration of cyclosporine to pregnant rats or rabbits did not produce teratogenicity at clinically relevant doses [see Data ].

Data

Animal Data

Oral administration of cyclosporine oral solution (USP) to pregnant rats or rabbits was teratogenic at maternally toxic doses of 30 mg/kg/day in rats and 100 mg/kg/day in rabbits, as indicated by increased pre- and postnatal mortality, reduced fetal weight and skeletal retardations. These doses (normalized to body weight) were approximately 320 and 2150 times higher than the daily maximum recommended human ophthalmic dose (MRHOD) of 0.015 mg/kg/day, respectively.

No adverse embryofetal effects were observed in rats or rabbits receiving cyclosporine during organogenesis at oral doses up to 17 mg/kg/day or 30 mg/kg/day, respectively (approximately 185 and 650 times higher than the MRHOD, respectively).

An oral dose of 45 mg/kg/day cyclosporine (approximately 485 times higher than MRHOD) administered to rats from Day 15 of pregnancy until Day 21 postpartum produced maternal toxicity and an increase in postnatal mortality in offspring. No adverse effects in mothers or offspring were observed at oral doses of up to

15 mg/kg/day (160 times greater than MRHOD).

8.2 Lactation

Risk Summary

There is no information regarding the presence of cyclosporine in human milk following topical administration or on the effect of Verkazia on the breastfed infants and milk production. Administration of oral cyclosporine to rats during lactation did not produce adverse effects in offspring at clinically relevant doses [see Pregnancy ( 8.1)] . The development and health benefits of breastfeeding should be considered along with the mother’s clinical need for Verkazia and any potential adverse effects on the breast-fed child from cyclosporine.

11 Description

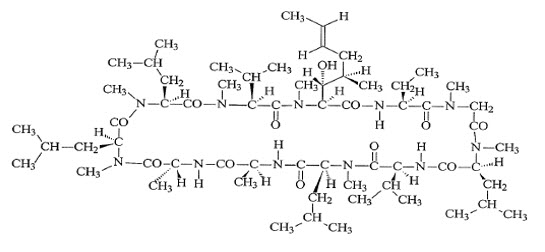
Verkazia (cyclosporine ophthalmic emulsion) 0.1% contains a topical calcineurin inhibitor immunosuppressant. Cyclosporine is a white or almost white powder. Cyclosporine’s chemical name is Cyclo[[( E)-(2 S,3 R,4 R)-3-hydroxy-4-methyl-2-(methylamino)-6-octenoyl]-L-2-aminobutyryl- N-methylglycyl- N-methyl-L-leucyl-L-valyl- N-methyl-L-leucyl-L-alanyl-D-alanyl- N-methyl-L-leucyl- N-methyl-L-leucyl- N-methyl-L-valyl] and it has the following structure:

Structural Formula

Formula: C 62H 111N 11O 12Mol. Wt.: 1202.61

Verkazia ophthalmic emulsion is a sterile, unpreserved topical emulsion. It appears as a milky-white homogeneous emulsion. It has an osmolality of approximately 265 mOsmol/kg and a pH of 5-7. Each mL of Verkazia ophthalmic emulsion contains: Active: Cyclosporine 1 mg/mL. Inactives: Cetalkonium chloride, Glycerol, Medium-chain triglycerides, Poloxamer 188, Sodium Hydroxide to adjust pH, Tyloxapol and Water for Injection.

8.4 Pediatric Use

Verkazia’s safety and effectiveness has been established in patients from 4 through 18 years of age.

8.5 Geriatric Use

The safety and effectiveness of Verkazia have not been studied in geriatric patients.

14 Clinical Studies

The safety and efficacy of Verkazia for the treatment of VKC was evaluated in two randomized, multi-center, double-masked, vehicle-controlled, clinical trials (VEKTIS Study NCT01751126 and NOVATIVE Study NCT00328653).

In the VEKTIS study, patients with severe VKC were randomized to four times daily of Verkazia 1 mg/mL or two times daily (BID) of Verkazia 1 mg/mL and vehicle group for the first 4 months (Period 1). Similarly, in the NOVATIVE study, patients with moderate to severe VKC were randomized to QID of Verkazia 1 mg/mL or QID of cyclosporine ophthalmic emulsion 0.5 mg/mL and vehicle group for the first 1 month (Period 1). In both studies, patients randomized to the vehicle group were switched to Verkazia (QID or BID) from Month 4 to Month 12 in VEKTIS Study and to cyclosporine ophthalmic emulsion 0.5 mg/mL QID or 1 mg/mL from Month 1 to Month 4 in NOVATIVE Study (Period 2).

A total of 168 and 118 patients were enrolled in the VEKTIS and NOVATIVE studies for the efficacy analyses, respectively. Patients’ age ranged from 4 through 17 years (mean age 9 years) in VEKTIS and 4 through 21 years (mean age 9 years) in NOVATIVE, with most patients being between 4 and 11 years of age (76% in VEKTIS and 80% in NOVATIVE) and male (79% in VEKTIS and 81% in NOVATIVE). Most of the patients had both limbal and tarsal forms of VKC (65% in VEKTIS and 74% in NOVATIVE). In both studies, patients had experienced VKC for a mean of 3 years prior to enrollment and all patients had a history of at least one recurrence of VKC in the year prior to study entry.

In the VEKTIS study, key efficacy evaluation was based on the change in corneal fluorescein staining (CFS) score and in itching score over 4 months. The results at each month are presented in Table 2 for the CFS score and in Table 3 for the Itching score.

Table 2: Efficacy Results of the Mean Change in Keratitis Score from Baseline at Each Visit (Full Analysis Set)

[1]Treatment differences (numbers in the middle of the horizontal lines) and 95% confidence intervals (horizontal lines) are based on ANCOVA model including baseline CFS score and the proportion of time potentially spent in taking study medication during the VKC season as covariate. For subjects that received rescue therapy during the study, all post-rescue data were imputed by the last available data observed prior to rescue initiation.

Note 1: CFS score was measured at each month using a 5-point scale (0 = no stain, and 5 = more stain).

Note 2: The Full Analysis Set included all randomized subjects that received at least one drop of study medication.

Table 3: Efficacy Results of the Mean Change in Itching Score from Baseline at Each Visit (Full Analysis Set)

[1]Treatment differences (numbers in the middle of the horizontal lines) and 95% confidence intervals (horizontal lines) are based on ANCOVA model including baseline Itching score and the proportion of time potentially spent in taking study medication as covariate. For subjects that received rescue therapy during the study, all post-rescue data were imputed by the last available data observed prior to rescue initiation.

Note 1: Itching score at each visit was measured using a Visual Analogue Scale (0 = no itch to 100 = maximal itch).

Analyses of the CFS score and Itching score at Month 1 of the efficacy evaluation period in the NOVATIVE Study also provided supporting evidence.

4 Contraindications

None

6 Adverse Reactions

The most common adverse reactions following the use of Verkazia were eye pain (12%) and eye pruritus (8%) ( 6.1)

To report SUSPECTED ADVERSE REACTIONS, contact Harrow at 1-833-4HARROW(427769) or FDA at 1-800-FDA-1088 or www.fda.gov/medwatch.

See 17 for PATIENT COUNSELING INFORMATION and FDA‑approved patient labeling.

Instructions for Use

INSTRUCTIONS FOR USE

Verkazia ® [ver ka' zee ah]

(cyclosporine ophthalmic emulsion, 0.1%)

for topical ophthalmic use

Read this Instructions for Use before you start using Verkazia and each time you get a refill. There may be new information. This leaflet does not take the place of talking to your healthcare provider about your medical condition or your treatment.

Important Information You Need to Know Before Using Verkazia

  • Verkazia is for use in the eye.
  • Verkazia is supplied as 5 single-dose vials packaged in a foil pouch.
  • If you are using any other eye drops, use each eye drop at least 10 minutes apart from each other, including Verkazia.
  • If you are using any eye ointment, gel or other thicker in consistency (viscous) eye drops, use Verkazia 10 minutes before using them.
  • Do notlet the tip of the Verkazia vial touch your eye or any other surfaces to avoid contamination or injury to your eye.
  • Adults should help children when starting treatment. Adults should continue to help until the child is able to properly use Verkazia alone. Use 1 drop of Verkazia in the affected eye or eyes, 4 times a day (morning, noon, afternoon and evening). There is enough medicine in one vial to use in both eyes. Throw away (discard) the vial immediately after use.
  • If you forget to use Verkazia, skip that dose and continue with the next dose as planned.
  • Contact lenses should be taken out before using Verkazia and wait at least 15 minutes after giving the dose before putting the contact lenses back into your eyes.
  • Do notuse Verkazia after the expiration date (EXP) appearing on the outer carton, pouch and single-dose vial. The expiration date is the last day of that month.

Using Verkazia

Follow the instructions ( Step 1to Step 12) each time you use Verkazia. If there is anything that you do not understand, ask your healthcare provider.

Step 1. Wash your hands.

Step 2. Open the aluminum pouch, which contains 5 single-dose vials.

Step 3. Take 1 vial from the aluminum pouch. Leave the remaining vials in the pouch.

Step 4. Gently shake the vial.

Step 5. Twist off the cap (see Figure A).

Figure A

Step 6. Pull down your lower eyelid (see Figure B).

Figure B

Step 7. Tilt your head back and look up.

Step 8. Gently squeeze 1 drop of the medicine onto your eye. Make sure that the tip of the vial does not touch your eye. If a drop misses your eye, try again.

Step 9. Blink a few times so that the medicine spreads across your eye.

Step 10. After using Verkazia, press the corner of your eye closest to your nose and gently close the eyelid for 2 minutes (see Figure C).

Figure C

Step 11. If you need to use drops in both eyes, repeat Steps 6to 10for your other eye. There is enough medicine in one single-dose vial to use in both eyes.

Step 12. Throw away the vial with any remaining medicine after use.

Storing Verkazia

  • Store Verkazia at room temperature between 68°F to 77°F (20°C to 25°C).
  • Do not freeze.
  • After opening the pouch, keep vials in the pouch to protect from light and evaporation.

Throwing away Verkazia

  • Any open vial with any medicine left over should be thrown out right after use.

Talk with your healthcare provider if you want more information about Verkazia.

Manufactured for:

Harrow Eye, LLC TM

Nashville, TN USA

This Instructions for Use has been approved by the U.S. Food and Drug Administration.

Approved: June 2021

12.3 Pharmacokinetics

Blood concentrations of cyclosporine were measured in 55 patients administered 1 drop of Verkazia 4 times daily in the VEKTIS Study. Blood samples were collected before administration and after 2, 4, and 12 months of administration of Verkazia. Among those patients that had quantifiable levels of cyclosporine during the study, the maximum blood level of cyclosporine was 0.67 ng/mL.

1 Indications and Usage

Verkazia ophthalmic emulsion is indicated for the treatment of vernal keratoconjunctivitis (VKC) in children and adults.

Principal Display Panel

NDC 82667-014-01

Verkazia ®

cyclosporine ophthalmic

emulsion 0.1%

Sterile

For topical ophthalmic use

Rx only

Harrow Eye, LLC TM

120 single use 0.3 mL vials

12.1 Mechanism of Action

Cyclosporine is a calcineurin inhibitor immunosuppressant agent when administered systemically. Following ocular administration, cyclosporine is thought to act by blocking the release of pro-inflammatory cytokines such as IL-2. The exact mechanism of action in the treatment of VKC is not known.

3 Dosage Form and Strength

Ophthalmic emulsion: 0.1% (1 mg/mL) cyclosporine

5 Warnings and Precautions

To avoid the potential for eye injury and contamination, advise patient not to touch the vial tip to the eye or other surfaces ( 5.1)

2 Dosage and Administration

Instill one drop of Verkazia, 4 times daily (morning, noon, afternoon, and evening) in each affected eye ( 2)

2.1 General Dosing Information

Gently shake the single-dose vial several times to obtain a uniform, white, opaque emulsion before use.

Contact lenses should be removed before applying Verkazia and may be reinserted

15 minutes after administration.

If a dose is missed, treatment should be continued as normal, at the next scheduled administration.

If more than one topical ophthalmic product is being used, administer the eye drops at least 10 minutes apart to avoid diluting products. Administer Verkazia 10 minutes prior to using any eye ointment, gel or other viscous eye drops.

Discard the vial immediately after use.

6.1 Clinical Trials Experience

Since clinical trials are conducted under widely varying conditions, adverse reaction rates observed in the clinical trials of a drug cannot be directly compared to rates in the clinical trials of another drug and may not reflect the rates observed in practice.

In the VEKTIS study, a multicenter, randomized, double-masked, placebo‑controlled trial, a total of 57 patients received Verkazia dosed four times a day (QID) for 4 months. Forty-two (42) patients received Verkazia in an 8 month extension, safety follow-up of the VEKTIS study. In the NOVATIVE study, a multicenter, randomized, double-masked, placebo‑controlled trial, 39 patients received Verkazia 1 mg/mL dosed QID for one month. A total of 53 patients received Verkazia 1 mg/mL QID during a 3-month safety follow‑up. The majority of the treated patients were male (79%). The most common adverse reactions reported in greater than 5% of patients were eye pain (12%) and eye pruritus (8%) which were usually transitory and occurred during instillation (Table 1).

Table 1: Adverse Reactions Reported in ≥ 1% of Patients Receiving Verkazia

(N=135)

Eye Disorders

Eye pain a

12%

Eye pruritus b

8%

Ocular discomfort c

6%

Visual acuity reduced

5%

Ocular hyperemia

4%

Systemic

Cough

5%

Headache

4%

Upper respiratory tract infection

2%

aIncluding eye pain and instillation site pain

bIncluding eye pruritus and instillation site pruritus

cIncluding foreign body sensation and ocular discomfort

17 Patient Counseling Information

Advise the patient to read the FDA-approved patient labeling (Instructions for Use).

Handling the Vial

Advise patients to not allow the tip of the vial to touch the eye or any surface, as this may contaminate the emulsion. Advise patients to not touch the vial tip to their eye to avoid the potential for injury to the eye [see Warnings and Precautions ( 5.1)].

Use with Contact Lenses

Advise patients that contact lenses should be removed before administering Verkazia and to wait at least 15 minutes after instillation of the dose before reinserting the contact lenses [see Dosage and Administration ( 2.1)] .

Administration

Advise patients that the emulsion from one individual single-dose vial is to be used immediately after opening for administration to one or both eyes, and the remaining contents should be discarded immediately after administration [see Dosage and Administration ( 2) ].

Missed Dose

If a dose is missed, Verkazia should be continued as normal at the next dose as planned. [see Dosage and Administration ( 2.1)] .

Manufactured for:

Harrow Eye LLC™

Nashville, TN USA

16 How Supplied/storage and Handling

Verkazia (cyclosporine ophthalmic emulsion) 0.1% is packaged in low-density polyethylene single-dose vials. Each vial contains 0.3 mL fill; 5 vials are packaged in an aluminum pouch; 24 pouches are packaged in a box of 120 vials.

The entire contents of each box of 120 vials must be dispensed intact.

120 Single-Dose Vials 0.3 mL each — NDC 82667-014-01

Storage: Do not freeze Verkazia. Store at 20°C to 25°C (68°F to 77°F). After opening the aluminum pouch, the single-dose vial should be kept in the pouch to protect from light and avoid evaporation. Any opened individual single-dose vial with any remaining emulsion should be discarded immediately after use.

2.2 Recommended Dosage and Dose Administration

Instill one drop of Verkazia, 4 times daily (morning, noon, afternoon, and evening) into each affected eye.

Treatment can be discontinued after signs and symptoms are resolved and can be reinitiated if there is a recurrence.

5.1 Potential for Eye Injury and Contamination

To avoid the potential for eye injury or contamination, advise patients not to touch the vial tip to the eye or other surfaces.

8.3 Females and Males of Reproductive Potential

Infertility

There are no data on the effects of Verkazia on human fertility. No impairment of fertility has been reported in animals receiving intravenous cyclosporine [ see Impairment of Fertility ( 13.1) ].

13.1 Carcinogenesis, Mutagenesis, Impairment of Fertility

Carcinogenesis

Systemic carcinogenicity studies were carried out in male and female mice and rats. In the 78-week oral (diet) mouse study, at doses of 1, 4, and 16 mg/kg/day, evidence of a statistically significant trend was found for lymphocytic lymphomas in females, and the incidence of hepatocellular carcinomas in mid-dose males significantly exceeded the control value. The low dose in mice is approximately 5 times greater than MRHOD.

In the 24-month oral (diet) rat study, conducted at 0.5, 2, and 8 mg/kg/day, pancreatic islet cell adenomas significantly exceeded the control rate in the low dose level. The hepatocellular carcinomas and pancreatic islet cell adenomas were not dose related. The low dose in rats is approximately 5 times greater than MRHOD.

Mutagenesis

In genetic toxicity tests, cyclosporine has not been found to be mutagenic/genotoxic in the Ames Test, the V79-HGPRT Test, the micronucleus test in mice and Chinese hamsters, the chromosome-aberration tests in Chinese hamster bone-marrow, the mouse dominant lethal assay, and the DNA-repair test in sperm from treated mice. Cyclosporine was positive in an in vitro sister chromatid exchange (SCE) assay using human lymphocytes.

Impairment of Fertility

Oral administration of cyclosporine to rats for 12 weeks (male) and 2 weeks (female) prior to mating produced no adverse effects on fertility at doses up to 15 mg/kg/day

(160 times higher than MRHOD).


Structured Label Content

8.1 Pregnancy

Risk Summary

There are no adequate and well-controlled studies of Verkazia administration in pregnant women to inform a drug-associated risk. Oral administration of cyclosporine to pregnant rats or rabbits did not produce teratogenicity at clinically relevant doses [see Data ].

Data

Animal Data

Oral administration of cyclosporine oral solution (USP) to pregnant rats or rabbits was teratogenic at maternally toxic doses of 30 mg/kg/day in rats and 100 mg/kg/day in rabbits, as indicated by increased pre- and postnatal mortality, reduced fetal weight and skeletal retardations. These doses (normalized to body weight) were approximately 320 and 2150 times higher than the daily maximum recommended human ophthalmic dose (MRHOD) of 0.015 mg/kg/day, respectively.

No adverse embryofetal effects were observed in rats or rabbits receiving cyclosporine during organogenesis at oral doses up to 17 mg/kg/day or 30 mg/kg/day, respectively (approximately 185 and 650 times higher than the MRHOD, respectively).

An oral dose of 45 mg/kg/day cyclosporine (approximately 485 times higher than MRHOD) administered to rats from Day 15 of pregnancy until Day 21 postpartum produced maternal toxicity and an increase in postnatal mortality in offspring. No adverse effects in mothers or offspring were observed at oral doses of up to

15 mg/kg/day (160 times greater than MRHOD).

8.2 Lactation

Risk Summary

There is no information regarding the presence of cyclosporine in human milk following topical administration or on the effect of Verkazia on the breastfed infants and milk production. Administration of oral cyclosporine to rats during lactation did not produce adverse effects in offspring at clinically relevant doses [see Pregnancy ( 8.1)] . The development and health benefits of breastfeeding should be considered along with the mother’s clinical need for Verkazia and any potential adverse effects on the breast-fed child from cyclosporine.

11 Description (11 DESCRIPTION)

Verkazia (cyclosporine ophthalmic emulsion) 0.1% contains a topical calcineurin inhibitor immunosuppressant. Cyclosporine is a white or almost white powder. Cyclosporine’s chemical name is Cyclo[[( E)-(2 S,3 R,4 R)-3-hydroxy-4-methyl-2-(methylamino)-6-octenoyl]-L-2-aminobutyryl- N-methylglycyl- N-methyl-L-leucyl-L-valyl- N-methyl-L-leucyl-L-alanyl-D-alanyl- N-methyl-L-leucyl- N-methyl-L-leucyl- N-methyl-L-valyl] and it has the following structure:

Structural Formula

Formula: C 62H 111N 11O 12Mol. Wt.: 1202.61

Verkazia ophthalmic emulsion is a sterile, unpreserved topical emulsion. It appears as a milky-white homogeneous emulsion. It has an osmolality of approximately 265 mOsmol/kg and a pH of 5-7. Each mL of Verkazia ophthalmic emulsion contains: Active: Cyclosporine 1 mg/mL. Inactives: Cetalkonium chloride, Glycerol, Medium-chain triglycerides, Poloxamer 188, Sodium Hydroxide to adjust pH, Tyloxapol and Water for Injection.

8.4 Pediatric Use

Verkazia’s safety and effectiveness has been established in patients from 4 through 18 years of age.

8.5 Geriatric Use

The safety and effectiveness of Verkazia have not been studied in geriatric patients.

14 Clinical Studies (14 CLINICAL STUDIES)

The safety and efficacy of Verkazia for the treatment of VKC was evaluated in two randomized, multi-center, double-masked, vehicle-controlled, clinical trials (VEKTIS Study NCT01751126 and NOVATIVE Study NCT00328653).

In the VEKTIS study, patients with severe VKC were randomized to four times daily of Verkazia 1 mg/mL or two times daily (BID) of Verkazia 1 mg/mL and vehicle group for the first 4 months (Period 1). Similarly, in the NOVATIVE study, patients with moderate to severe VKC were randomized to QID of Verkazia 1 mg/mL or QID of cyclosporine ophthalmic emulsion 0.5 mg/mL and vehicle group for the first 1 month (Period 1). In both studies, patients randomized to the vehicle group were switched to Verkazia (QID or BID) from Month 4 to Month 12 in VEKTIS Study and to cyclosporine ophthalmic emulsion 0.5 mg/mL QID or 1 mg/mL from Month 1 to Month 4 in NOVATIVE Study (Period 2).

A total of 168 and 118 patients were enrolled in the VEKTIS and NOVATIVE studies for the efficacy analyses, respectively. Patients’ age ranged from 4 through 17 years (mean age 9 years) in VEKTIS and 4 through 21 years (mean age 9 years) in NOVATIVE, with most patients being between 4 and 11 years of age (76% in VEKTIS and 80% in NOVATIVE) and male (79% in VEKTIS and 81% in NOVATIVE). Most of the patients had both limbal and tarsal forms of VKC (65% in VEKTIS and 74% in NOVATIVE). In both studies, patients had experienced VKC for a mean of 3 years prior to enrollment and all patients had a history of at least one recurrence of VKC in the year prior to study entry.

In the VEKTIS study, key efficacy evaluation was based on the change in corneal fluorescein staining (CFS) score and in itching score over 4 months. The results at each month are presented in Table 2 for the CFS score and in Table 3 for the Itching score.

Table 2: Efficacy Results of the Mean Change in Keratitis Score from Baseline at Each Visit (Full Analysis Set)

[1]Treatment differences (numbers in the middle of the horizontal lines) and 95% confidence intervals (horizontal lines) are based on ANCOVA model including baseline CFS score and the proportion of time potentially spent in taking study medication during the VKC season as covariate. For subjects that received rescue therapy during the study, all post-rescue data were imputed by the last available data observed prior to rescue initiation.

Note 1: CFS score was measured at each month using a 5-point scale (0 = no stain, and 5 = more stain).

Note 2: The Full Analysis Set included all randomized subjects that received at least one drop of study medication.

Table 3: Efficacy Results of the Mean Change in Itching Score from Baseline at Each Visit (Full Analysis Set)

[1]Treatment differences (numbers in the middle of the horizontal lines) and 95% confidence intervals (horizontal lines) are based on ANCOVA model including baseline Itching score and the proportion of time potentially spent in taking study medication as covariate. For subjects that received rescue therapy during the study, all post-rescue data were imputed by the last available data observed prior to rescue initiation.

Note 1: Itching score at each visit was measured using a Visual Analogue Scale (0 = no itch to 100 = maximal itch).

Analyses of the CFS score and Itching score at Month 1 of the efficacy evaluation period in the NOVATIVE Study also provided supporting evidence.

4 Contraindications (4 CONTRAINDICATIONS)

None

6 Adverse Reactions (6 ADVERSE REACTIONS)

The most common adverse reactions following the use of Verkazia were eye pain (12%) and eye pruritus (8%) ( 6.1)

To report SUSPECTED ADVERSE REACTIONS, contact Harrow at 1-833-4HARROW(427769) or FDA at 1-800-FDA-1088 or www.fda.gov/medwatch.

See 17 for PATIENT COUNSELING INFORMATION and FDA‑approved patient labeling.

Instructions for Use (INSTRUCTIONS FOR USE)

INSTRUCTIONS FOR USE

Verkazia ® [ver ka' zee ah]

(cyclosporine ophthalmic emulsion, 0.1%)

for topical ophthalmic use

Read this Instructions for Use before you start using Verkazia and each time you get a refill. There may be new information. This leaflet does not take the place of talking to your healthcare provider about your medical condition or your treatment.

Important Information You Need to Know Before Using Verkazia

  • Verkazia is for use in the eye.
  • Verkazia is supplied as 5 single-dose vials packaged in a foil pouch.
  • If you are using any other eye drops, use each eye drop at least 10 minutes apart from each other, including Verkazia.
  • If you are using any eye ointment, gel or other thicker in consistency (viscous) eye drops, use Verkazia 10 minutes before using them.
  • Do notlet the tip of the Verkazia vial touch your eye or any other surfaces to avoid contamination or injury to your eye.
  • Adults should help children when starting treatment. Adults should continue to help until the child is able to properly use Verkazia alone. Use 1 drop of Verkazia in the affected eye or eyes, 4 times a day (morning, noon, afternoon and evening). There is enough medicine in one vial to use in both eyes. Throw away (discard) the vial immediately after use.
  • If you forget to use Verkazia, skip that dose and continue with the next dose as planned.
  • Contact lenses should be taken out before using Verkazia and wait at least 15 minutes after giving the dose before putting the contact lenses back into your eyes.
  • Do notuse Verkazia after the expiration date (EXP) appearing on the outer carton, pouch and single-dose vial. The expiration date is the last day of that month.

Using Verkazia

Follow the instructions ( Step 1to Step 12) each time you use Verkazia. If there is anything that you do not understand, ask your healthcare provider.

Step 1. Wash your hands.

Step 2. Open the aluminum pouch, which contains 5 single-dose vials.

Step 3. Take 1 vial from the aluminum pouch. Leave the remaining vials in the pouch.

Step 4. Gently shake the vial.

Step 5. Twist off the cap (see Figure A).

Figure A

Step 6. Pull down your lower eyelid (see Figure B).

Figure B

Step 7. Tilt your head back and look up.

Step 8. Gently squeeze 1 drop of the medicine onto your eye. Make sure that the tip of the vial does not touch your eye. If a drop misses your eye, try again.

Step 9. Blink a few times so that the medicine spreads across your eye.

Step 10. After using Verkazia, press the corner of your eye closest to your nose and gently close the eyelid for 2 minutes (see Figure C).

Figure C

Step 11. If you need to use drops in both eyes, repeat Steps 6to 10for your other eye. There is enough medicine in one single-dose vial to use in both eyes.

Step 12. Throw away the vial with any remaining medicine after use.

Storing Verkazia

  • Store Verkazia at room temperature between 68°F to 77°F (20°C to 25°C).
  • Do not freeze.
  • After opening the pouch, keep vials in the pouch to protect from light and evaporation.

Throwing away Verkazia

  • Any open vial with any medicine left over should be thrown out right after use.

Talk with your healthcare provider if you want more information about Verkazia.

Manufactured for:

Harrow Eye, LLC TM

Nashville, TN USA

This Instructions for Use has been approved by the U.S. Food and Drug Administration.

Approved: June 2021

12.3 Pharmacokinetics

Blood concentrations of cyclosporine were measured in 55 patients administered 1 drop of Verkazia 4 times daily in the VEKTIS Study. Blood samples were collected before administration and after 2, 4, and 12 months of administration of Verkazia. Among those patients that had quantifiable levels of cyclosporine during the study, the maximum blood level of cyclosporine was 0.67 ng/mL.

1 Indications and Usage (1 INDICATIONS AND USAGE)

Verkazia ophthalmic emulsion is indicated for the treatment of vernal keratoconjunctivitis (VKC) in children and adults.

Principal Display Panel (PRINCIPAL DISPLAY PANEL)

NDC 82667-014-01

Verkazia ®

cyclosporine ophthalmic

emulsion 0.1%

Sterile

For topical ophthalmic use

Rx only

Harrow Eye, LLC TM

120 single use 0.3 mL vials

12.1 Mechanism of Action

Cyclosporine is a calcineurin inhibitor immunosuppressant agent when administered systemically. Following ocular administration, cyclosporine is thought to act by blocking the release of pro-inflammatory cytokines such as IL-2. The exact mechanism of action in the treatment of VKC is not known.

3 Dosage Form and Strength (3 DOSAGE FORM AND STRENGTH)

Ophthalmic emulsion: 0.1% (1 mg/mL) cyclosporine

5 Warnings and Precautions (5 WARNINGS AND PRECAUTIONS)

To avoid the potential for eye injury and contamination, advise patient not to touch the vial tip to the eye or other surfaces ( 5.1)

2 Dosage and Administration (2 DOSAGE AND ADMINISTRATION)

Instill one drop of Verkazia, 4 times daily (morning, noon, afternoon, and evening) in each affected eye ( 2)

2.1 General Dosing Information

Gently shake the single-dose vial several times to obtain a uniform, white, opaque emulsion before use.

Contact lenses should be removed before applying Verkazia and may be reinserted

15 minutes after administration.

If a dose is missed, treatment should be continued as normal, at the next scheduled administration.

If more than one topical ophthalmic product is being used, administer the eye drops at least 10 minutes apart to avoid diluting products. Administer Verkazia 10 minutes prior to using any eye ointment, gel or other viscous eye drops.

Discard the vial immediately after use.

6.1 Clinical Trials Experience

Since clinical trials are conducted under widely varying conditions, adverse reaction rates observed in the clinical trials of a drug cannot be directly compared to rates in the clinical trials of another drug and may not reflect the rates observed in practice.

In the VEKTIS study, a multicenter, randomized, double-masked, placebo‑controlled trial, a total of 57 patients received Verkazia dosed four times a day (QID) for 4 months. Forty-two (42) patients received Verkazia in an 8 month extension, safety follow-up of the VEKTIS study. In the NOVATIVE study, a multicenter, randomized, double-masked, placebo‑controlled trial, 39 patients received Verkazia 1 mg/mL dosed QID for one month. A total of 53 patients received Verkazia 1 mg/mL QID during a 3-month safety follow‑up. The majority of the treated patients were male (79%). The most common adverse reactions reported in greater than 5% of patients were eye pain (12%) and eye pruritus (8%) which were usually transitory and occurred during instillation (Table 1).

Table 1: Adverse Reactions Reported in ≥ 1% of Patients Receiving Verkazia

(N=135)

Eye Disorders

Eye pain a

12%

Eye pruritus b

8%

Ocular discomfort c

6%

Visual acuity reduced

5%

Ocular hyperemia

4%

Systemic

Cough

5%

Headache

4%

Upper respiratory tract infection

2%

aIncluding eye pain and instillation site pain

bIncluding eye pruritus and instillation site pruritus

cIncluding foreign body sensation and ocular discomfort

17 Patient Counseling Information (17 PATIENT COUNSELING INFORMATION)

Advise the patient to read the FDA-approved patient labeling (Instructions for Use).

Handling the Vial

Advise patients to not allow the tip of the vial to touch the eye or any surface, as this may contaminate the emulsion. Advise patients to not touch the vial tip to their eye to avoid the potential for injury to the eye [see Warnings and Precautions ( 5.1)].

Use with Contact Lenses

Advise patients that contact lenses should be removed before administering Verkazia and to wait at least 15 minutes after instillation of the dose before reinserting the contact lenses [see Dosage and Administration ( 2.1)] .

Administration

Advise patients that the emulsion from one individual single-dose vial is to be used immediately after opening for administration to one or both eyes, and the remaining contents should be discarded immediately after administration [see Dosage and Administration ( 2) ].

Missed Dose

If a dose is missed, Verkazia should be continued as normal at the next dose as planned. [see Dosage and Administration ( 2.1)] .

Manufactured for:

Harrow Eye LLC™

Nashville, TN USA

16 How Supplied/storage and Handling (16 HOW SUPPLIED/STORAGE AND HANDLING)

Verkazia (cyclosporine ophthalmic emulsion) 0.1% is packaged in low-density polyethylene single-dose vials. Each vial contains 0.3 mL fill; 5 vials are packaged in an aluminum pouch; 24 pouches are packaged in a box of 120 vials.

The entire contents of each box of 120 vials must be dispensed intact.

120 Single-Dose Vials 0.3 mL each — NDC 82667-014-01

Storage: Do not freeze Verkazia. Store at 20°C to 25°C (68°F to 77°F). After opening the aluminum pouch, the single-dose vial should be kept in the pouch to protect from light and avoid evaporation. Any opened individual single-dose vial with any remaining emulsion should be discarded immediately after use.

2.2 Recommended Dosage and Dose Administration

Instill one drop of Verkazia, 4 times daily (morning, noon, afternoon, and evening) into each affected eye.

Treatment can be discontinued after signs and symptoms are resolved and can be reinitiated if there is a recurrence.

5.1 Potential for Eye Injury and Contamination

To avoid the potential for eye injury or contamination, advise patients not to touch the vial tip to the eye or other surfaces.

8.3 Females and Males of Reproductive Potential

Infertility

There are no data on the effects of Verkazia on human fertility. No impairment of fertility has been reported in animals receiving intravenous cyclosporine [ see Impairment of Fertility ( 13.1) ].

13.1 Carcinogenesis, Mutagenesis, Impairment of Fertility

Carcinogenesis

Systemic carcinogenicity studies were carried out in male and female mice and rats. In the 78-week oral (diet) mouse study, at doses of 1, 4, and 16 mg/kg/day, evidence of a statistically significant trend was found for lymphocytic lymphomas in females, and the incidence of hepatocellular carcinomas in mid-dose males significantly exceeded the control value. The low dose in mice is approximately 5 times greater than MRHOD.

In the 24-month oral (diet) rat study, conducted at 0.5, 2, and 8 mg/kg/day, pancreatic islet cell adenomas significantly exceeded the control rate in the low dose level. The hepatocellular carcinomas and pancreatic islet cell adenomas were not dose related. The low dose in rats is approximately 5 times greater than MRHOD.

Mutagenesis

In genetic toxicity tests, cyclosporine has not been found to be mutagenic/genotoxic in the Ames Test, the V79-HGPRT Test, the micronucleus test in mice and Chinese hamsters, the chromosome-aberration tests in Chinese hamster bone-marrow, the mouse dominant lethal assay, and the DNA-repair test in sperm from treated mice. Cyclosporine was positive in an in vitro sister chromatid exchange (SCE) assay using human lymphocytes.

Impairment of Fertility

Oral administration of cyclosporine to rats for 12 weeks (male) and 2 weeks (female) prior to mating produced no adverse effects on fertility at doses up to 15 mg/kg/day

(160 times higher than MRHOD).


Advanced Ingredient Data


Raw Label Data

All Sections (JSON)