Oxycodone And Acetaminophen Tablets, Usp  cii

Oxycodone And Acetaminophen Tablets, Usp  cii
SPL v4
SPL
SPL Set ID 484a4323-0758-439d-844f-f04d7e5ef6f3
Route
ORAL
Published
Effective Date 2022-08-01
Document Type 34391-3 HUMAN PRESCRIPTION DRUG LABEL

Drug Facts

Composition & Product

Active Ingredients
Oxycodone (5 mg) Acetaminophen (325 mg)
Inactive Ingredients
Silicon Dioxide Crospovidone Microcrystalline Cellulose Croscarmellose Sodium Povidone, Unspecified Starch, Corn Stearic Acid

Identifiers & Packaging

Pill Appearance
Imprint: T192 Shape: round Color: white Size: 12 mm Score: 2
Marketing Status
ANDA Active Since 2017-04-11

Description

ADDICTION, ABUSE, AND MISUSE: RISK EVALUATION AND MITIGATION STRATEGY (REMS) Oxycodone and Acetaminophen Tablets exposes patients and other users to the risks of opioid addiction, abuse, and misuse, which can lead to overdose and death. Assess each patient’s risk prior to prescribing Oxycodone and Acetaminophen Tablets, and monitor all patients regularly for the development of these behaviors and conditions [see WARNINGS]. Opioid Analgesic Risk Evaluation and Mitigation Strategy (REMS): To ensure that the benefits of opioid analgesics outweigh the risks of addiction, abuse, and misuse, the Food and Drug Administration (FDA) has required a REMS for these products [see Warnings]. Under the requirements of the REMS, drug companies with approved opioid analgesic products must make REMS-compliant education programs available to healthcare providers. Healthcare providers are strongly encouraged to • complete a REMS-compliant education program, • counsel patients and/or their caregivers, with every prescription, on safe use, serious risks, storage, and disposal of these products, • emphasize to patients and their caregivers the importance of reading the Medication Guide every time it is provided by their pharmacist, and • consider other tools to improve patient, household, and community safety. Life-Threatening Respiratory Depression Serious, life-threatening, or fatal respiratory depression may occur with use of Oxycodone and Acetaminophen Tablets. Monitor for respiratory depression, especially during initiation of Oxycodone and Acetaminophen Tablets or following a dose increase [see WARNINGS]. Accidental Ingestion Accidental ingestion of Oxycodone and Acetaminophen Tablets, especially by children, can result in a fatal overdose of Oxycodone and Acetaminophen Tablets [see WARNINGS]. Neonatal Opioid Withdrawal Syndrome Prolonged use of Oxycodone and Acetaminophen Tablets during pregnancy can result in neonatal opioid withdrawal syndrome, which may be life-threatening if not recognized and treated, and requires management according to protocols developed by neonatology experts. If opioid use is required for a prolonged period in a pregnant woman, advise the patient of the risk of neonatal opioid withdrawal syndrome and ensure that appropriate treatment will be available [see WARNINGS]. Cytochrome P450 3A4 Interaction The concomitant use of Oxycodone Tablets with all cytochrome P450 3A4 inhibitors may result in an increase in oxycodone plasma concentrations, which could increase or prolong adverse reactions and may cause potentially fatal respiratory depression. In addition, discontinuation of a concomitantly used cytochrome P450 3A4 inducer may result in an increase in oxycodone plasma concentration. Monitor patients receiving Oxycodone and Acetaminophen Tablets and any CYP3A4 inhibitor or inducer [see CLINICAL PHARMACOLOGY, WARNINGS, PRECAUTIONS; Drug Interactions]. Hepatotoxicity Acetaminophen has been associated with cases of acute liver failure, at times resulting in liver transplant and death. Most of the cases of liver injury are associated with the use of acetaminophen at doses that exceed 4000 mg per day, and often involve more than one acetaminophen-containing product. Risks From Concomitant Use With Benzodiazepines Or Other CNS Depressants Concomitant use of opioids with benzodiazepines or other central nervous system (CNS) depressants, including alcohol, may result in profound sedation, respiratory depression, coma, and death [ see Warnings, Precautions: Drug Interactions] . • Reserve concomitant prescribing of Oxycodone and Acetaminophen Tablets and benzodiazepines or other CNS depressants for use in patients for whom alternative treatment options are inadequate. •   Limit dosages and durations to the minimum required. •   Follow patients for signs and symptoms of respiratory depression and sedation. 

Indications and Usage

Oxycodone and Acetaminophen Tablets is indicated for the management of pain severe enough to require an opioid analgesic and for which alternative treatments are inadequate. Limitations of Use Because of the risks of addiction, abuse, and misuse, with opioids, even at recommended doses [see WARNINGS], reserve Oxycodone and Acetaminophen Tablets for use in patients for whom alternative treatment options [e.g., non-opioid analgesics] • Have not been tolerated, or are not expected to be tolerated, • Have not provided adequate analgesia, or are not expected to provide adequate analgesia 

Dosage and Administration

Important Dosage and Administration Instructions Use the lowest effective dosage for the shortest duration consistent with individual patient treatment goals [see Warnings]. Initiate the dosing regimen for each patient individually, taking into account the patient's severity of pain, patient response, prior analgesic treatment experience, and risk factors for addiction, abuse, and misuse [see WARNINGS]. Monitor patients closely for respiratory depression, especially within the first 24 to 72 hours of initiating therapy and following dosage increases with Oxycodone and Acetaminophen Tablets and adjust the dosage accordingly [see WARNINGS]. Initial Dosage Initiating Treatment with Oxycodone and Acetaminophen Tablets The usual adult dosage is one tablet every 6 hours as needed for pain. The total daily dose of acetaminophen should not exceed 4 grams. Strength                         Usual Adult Dosage Maximal Daily Dose Oxycodone and acetaminophen tablets 5 mg/325 mg           1 tablet every 6 hours as needed for pain               12 Tablets Conversion from Oxycodone Hydrochloride and Acetaminophen to Extended-Release Oxycodone The relative bioavailability of Oxycodone and Acetaminophen Tablets compared to extended-release oxycodone is unknown, so conversion to extended-release oxycodone must be accompanied by close observation for signs of excessive sedation and respiratory depression. Titration and Maintenance of Therapy Individually titrate Oxycodone and Acetaminophen Tablets to a dose that provides adequate analgesia and minimizes adverse reactions. Continually reevaluate patients receiving Oxycodone and Acetaminophen Tablets to assess the maintenance of pain control and the relative incidence of adverse reactions, as well as monitoring for the development of addiction, abuse, or misuse [see WARNINGS]. Frequent communication is important among the prescriber, other members of the healthcare team, the patient, and the caregiver/family during periods of changing analgesic requirements, including initial titration. If the level of pain increases after dosage stabilization, attempt to identify the source of increased pain before increasing the Oxycodone and Acetaminophen Tablets dosage. If unacceptable opioid-related adverse reactions are observed, consider reducing the dosage. Adjust the dosage to obtain an appropriate balance between management of pain and opioid-related adverse reactions. Discontinuation of Oxycodone and Acetaminophen Tablets When a patient who has been taking Oxycodone and Acetaminophen Tablets regularly and may be physically dependent no longer requires therapy with Oxycodone and Acetaminophen Tablets, use a gradual downward titration of the dosage to prevent signs and symptoms of withdrawal. Do not stop Oxycodone and Acetaminophen Tablets abruptly [see WARNINGS, DRUG ABUSE AND DEPENDENCE].

Contraindications

Oxycodone and Acetaminophen Tablets is contraindicated in patients with: • Significant respiratory depression [see WARNINGS] • Acute or severe bronchial asthma in an unmonitored setting or in the absence of resuscitative    equipment [see WARNINGS] • Known or suspected gastrointestinal obstruction, including paralytic ileus [see WARNINGS] • Hypersensitivity to oxycodone, acetaminophen, or any other component of the product (e.g.,    anaphylaxis) [see WARNINGS, ADVERSE REACTIONS] 

Adverse Reactions

The following adverse reactions have been identified during post approval use of Oxycodone and Acetaminophen Tablets. Because these reactions are reported voluntarily from a population of uncertain size, it is not always possible to reliably estimate their frequency or establish a causal relationship to drug exposure. Serious adverse reactions that may be associated with oxycodone and acetaminophen use include respiratory depression, apnea, respiratory arrest, circulatory depression, hypotension, and shock (see OVERDOSAGE). The most frequently observed non-serious adverse reactions include lightheadedness, dizziness, drowsiness or sedation, nausea, and vomiting. These effects seem to be more prominent in ambulatory than in nonambulatory patients, and some of these adverse reactions may be alleviated if the patient lies down. Other adverse reactions include euphoria, dysphoria, constipation, and pruritus. Hypersensitivity reactions may include: Skin eruptions, urticarial, erythematous skin reactions. Hematologic reactions may include: thrombocytopenia, neutropenia, pancytopenia, hemolytic anemia. Rare cases of agranulocytosis has likewise been associated with acetaminophen use. In high doses, the most serious adverse effect is a dose-dependent, potentially fatal hepatic necrosis. Renal tubular necrosis and hypoglycemic coma also may occur. Other adverse reactions obtained from postmarketing experiences with oxycodone and acetaminophen are listed by organ system and in decreasing order of severity and/or frequency as follows: Body as a Whole: Anaphylactoid reaction, allergic reaction, malaise, asthenia, fatigue, chest pain, fever, hypothermia, thirst, headache, increased sweating, accidental overdose, non-accidental overdose Cardiovascular: Hypotension, hypertension, tachycardia, orthostatic hypotension, bradycardia, palpitations, dysrhythmias Central and Peripheral Nervous System: Stupor, tremor, paraesthesia, hypoaesthesia, lethargy, seizures, anxiety, mental impairment, agitation, cerebral edema, confusion, dizziness Fluid and Electrolyte: Dehydration, hyperkalemia, metabolic acidosis, respiratory alkalosis Gastrointestinal: Dyspepsia, taste disturbances, abdominal pain, abdominal distention, sweating increased, diarrhea, dry mouth, flatulence, gastrointestinal disorder, nausea, vomiting, pancreatitis, intestinal obstruction, ileus Hepatic: Transient elevations of hepatic enzymes, increase in bilirubin, hepatitis, hepatic failure, jaundice, hepatotoxicity, hepatic disorder Hearing and Vestibular: Hearing loss, tinnitus Hematologic: Thrombocytopenia Hypersensitivity: Acute anaphylaxis, angioedema, asthma, bronchospasm, laryngeal edema, urticaria, anaphylactoid reaction Metabolic and Nutritional: Hypoglycemia, hyperglycemia, acidosis, alkalosis Musculoskeletal: Myalgia, rhabdomyolysis Ocular: Miosis, visual disturbances, red eye Psychiatric: Drug dependence, drug abuse, insomnia, confusion, anxiety, agitation, depressed level of consciousness, nervousness, hallucination, somnolence, depression, suicide Respiratory System: Bronchospasm, dyspnea, hyperpnea, pulmonary edema, tachypnea, aspiration, hypoventilation, laryngeal edema Skin and Appendages: Erythema, urticaria, rash, flushing Urogenital: Interstitial nephritis, papillary necrosis, proteinuria, renal insufficiency and failure, urinary retention • Serotonin syndrome : Cases of serotonin syndrome, a potentially life-threatening condition, have been reported during concomitant use of opioids with serotonergic drugs. • Adrenal insufficiency : Cases of adrenal insufficiency have been reported with opioid use, more often following greater than one month of use. • Anaphylaxis : Anaphylaxis has been reported with ingredients contained in Oxycodone and Acetaminophen Tablets. • Androgen deficiency : Cases of androgen deficiency have occurred with chronic use of opioids [see Clinical Pharmacology]. 


Medication Information

Indications and Usage

Oxycodone and Acetaminophen Tablets is indicated for the management of pain severe enough to require an opioid analgesic and for which alternative treatments are inadequate.

Limitations of Use

Because of the risks of addiction, abuse, and misuse, with opioids, even at recommended doses [see WARNINGS], reserve Oxycodone and Acetaminophen Tablets for use in patients for whom alternative treatment options [e.g., non-opioid analgesics]

• Have not been tolerated, or are not expected to be tolerated,

• Have not provided adequate analgesia, or are not expected to provide adequate analgesia 

Dosage and Administration

Important Dosage and Administration Instructions

Use the lowest effective dosage for the shortest duration consistent with individual patient treatment goals [see Warnings].

Initiate the dosing regimen for each patient individually, taking into account the patient's severity of pain, patient response, prior analgesic treatment experience, and risk factors for addiction, abuse, and misuse [see WARNINGS].

Monitor patients closely for respiratory depression, especially within the first 24 to 72 hours of initiating therapy and following dosage increases with Oxycodone and Acetaminophen Tablets and adjust the dosage accordingly [see WARNINGS].

Initial Dosage

Initiating Treatment with Oxycodone and Acetaminophen Tablets

The usual adult dosage is one tablet every 6 hours as needed for pain. The total daily dose of acetaminophen should not exceed 4 grams.

Strength

                        Usual Adult Dosage

Maximal Daily Dose

Oxycodone and acetaminophen tablets 5 mg/325 mg

          1 tablet every 6 hours as needed for pain              

12 Tablets

Conversion from Oxycodone Hydrochloride and Acetaminophen to Extended-Release Oxycodone

The relative bioavailability of Oxycodone and Acetaminophen Tablets compared to extended-release oxycodone is unknown, so conversion to extended-release oxycodone must be accompanied by close observation for signs of excessive sedation and respiratory depression.

Titration and Maintenance of Therapy

Individually titrate Oxycodone and Acetaminophen Tablets to a dose that provides adequate analgesia and minimizes adverse reactions. Continually reevaluate patients receiving Oxycodone and Acetaminophen Tablets to assess the maintenance of pain control and the relative incidence of adverse reactions, as well as monitoring for the development of addiction, abuse, or misuse [see WARNINGS]. Frequent communication is important among the prescriber, other members of the healthcare team, the patient, and the caregiver/family during periods of changing analgesic requirements, including initial titration.

If the level of pain increases after dosage stabilization, attempt to identify the source of increased pain before increasing the Oxycodone and Acetaminophen Tablets dosage. If unacceptable opioid-related adverse reactions are observed, consider reducing the dosage. Adjust the dosage to obtain an appropriate balance between management of pain and opioid-related adverse reactions.

Discontinuation of Oxycodone and Acetaminophen Tablets

When a patient who has been taking Oxycodone and Acetaminophen Tablets regularly and may be physically dependent no longer requires therapy with Oxycodone and Acetaminophen Tablets, use a gradual downward titration of the dosage to prevent signs and symptoms of withdrawal. Do not stop Oxycodone and Acetaminophen Tablets abruptly [see WARNINGS, DRUG ABUSE AND DEPENDENCE].

Dosage Forms and Strengths

HOW SUPPLIED

Oxycodone and Acetaminophen Tablets, USP:

5 mg/325 mg

White to off-white color round, biconvex tablets having break line on one side and debossed with ‘T 192’ on other side.

Bottles of 10 NDC 71205-329-10

Bottles of 28    NDC 71205-329-28

Bottles of 30    NDC 71205-329-30    

Bottles of 60    NDC 71205-329-60

Bottles of 90    NDC 71205-329-90

Store at 20° to 25°C (68° to 77°F). [see USP Controlled Room Temperature]. Protect from moisture.

Dispense in a tight, light-resistant container as defined in the USP.

Manufactured by:    

Ascent Pharmaceuticals, Inc.                                                                                                                     

Central Islip, NY 11722

Manufactured for:

Camber Pharmaceuticals, Inc.

Piscataway, NJ 08854

Repackaged by:

Proficient Rx LP

Thousand Oaks, CA 91320

Rev 02/19

Contraindications

Oxycodone and Acetaminophen Tablets is contraindicated in patients with:

• Significant respiratory depression [see WARNINGS]

• Acute or severe bronchial asthma in an unmonitored setting or in the absence of resuscitative 

  equipment [see WARNINGS]

• Known or suspected gastrointestinal obstruction, including paralytic ileus [see WARNINGS]

• Hypersensitivity to oxycodone, acetaminophen, or any other component of the product (e.g.,

   anaphylaxis) [see WARNINGS, ADVERSE REACTIONS] 

Adverse Reactions

The following adverse reactions have been identified during post approval use of Oxycodone and Acetaminophen Tablets. Because these reactions are reported voluntarily from a population of uncertain size, it is not always possible to reliably estimate their frequency or establish a causal relationship to drug exposure.

Serious adverse reactions that may be associated with oxycodone and acetaminophen use include respiratory depression, apnea, respiratory arrest, circulatory depression, hypotension, and shock (see OVERDOSAGE).

The most frequently observed non-serious adverse reactions include lightheadedness, dizziness, drowsiness or sedation, nausea, and vomiting. These effects seem to be more prominent in ambulatory than in nonambulatory patients, and some of these adverse reactions may be alleviated if the patient lies down. Other adverse reactions include euphoria, dysphoria, constipation, and pruritus.

Hypersensitivity reactions may include: Skin eruptions, urticarial, erythematous skin reactions. Hematologic reactions may include: thrombocytopenia, neutropenia, pancytopenia, hemolytic anemia. Rare cases of agranulocytosis has likewise been associated with acetaminophen use. In high doses, the most serious adverse effect is a dose-dependent, potentially fatal hepatic necrosis. Renal tubular necrosis and hypoglycemic coma also may occur.

Other adverse reactions obtained from postmarketing experiences with oxycodone and acetaminophen are listed by organ system and in decreasing order of severity and/or frequency as follows:

Body as a Whole: Anaphylactoid reaction, allergic reaction, malaise, asthenia, fatigue, chest pain, fever, hypothermia, thirst, headache, increased sweating, accidental overdose, non-accidental overdose

Cardiovascular: Hypotension, hypertension, tachycardia, orthostatic hypotension, bradycardia, palpitations, dysrhythmias

Central and Peripheral Nervous System: Stupor, tremor, paraesthesia, hypoaesthesia, lethargy, seizures, anxiety, mental impairment, agitation, cerebral edema, confusion, dizziness

Fluid and Electrolyte: Dehydration, hyperkalemia, metabolic acidosis, respiratory alkalosis

Gastrointestinal: Dyspepsia, taste disturbances, abdominal pain, abdominal distention, sweating increased, diarrhea, dry mouth, flatulence, gastrointestinal disorder, nausea, vomiting, pancreatitis, intestinal obstruction, ileus

Hepatic: Transient elevations of hepatic enzymes, increase in bilirubin, hepatitis, hepatic failure, jaundice, hepatotoxicity, hepatic disorder

Hearing and Vestibular: Hearing loss, tinnitus

Hematologic: Thrombocytopenia

Hypersensitivity: Acute anaphylaxis, angioedema, asthma, bronchospasm, laryngeal edema, urticaria, anaphylactoid reaction

Metabolic and Nutritional: Hypoglycemia, hyperglycemia, acidosis, alkalosis

Musculoskeletal: Myalgia, rhabdomyolysis

Ocular: Miosis, visual disturbances, red eye

Psychiatric: Drug dependence, drug abuse, insomnia, confusion, anxiety, agitation, depressed level of consciousness, nervousness, hallucination, somnolence, depression, suicide

Respiratory System: Bronchospasm, dyspnea, hyperpnea, pulmonary edema, tachypnea, aspiration, hypoventilation, laryngeal edema

Skin and Appendages: Erythema, urticaria, rash, flushing

Urogenital: Interstitial nephritis, papillary necrosis, proteinuria, renal insufficiency and failure, urinary retention

Serotonin syndrome: Cases of serotonin syndrome, a potentially life-threatening condition, have been reported during concomitant use of opioids with serotonergic drugs.

Adrenal insufficiency: Cases of adrenal insufficiency have been reported with opioid use, more often following greater than one month of use.

Anaphylaxis: Anaphylaxis has been reported with ingredients contained in Oxycodone and Acetaminophen Tablets.

Androgen deficiency: Cases of androgen deficiency have occurred with chronic use of opioids [see Clinical Pharmacology]. 

Description

Oxycodone Hydrochloride and Acetaminophen is available in tablets for oral administration.

Each tablet, for oral administration contains:

Oxycodone hydrochloride, USP ………………………………………………….        5 mg*



(*5 mg oxycodone Hydrochloride is equivalent to 4.4815 mg of oxycodone.)

Acetaminophen, USP ……………………………………………………………..         325 mg

Inactive Ingredients

The tablets contain: colloidal silicon dioxide, croscarmellose sodium, crospovidone, microcrystalline cellulose, povidone, pregelatinized starch, and stearic acid.   

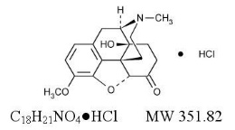
Oxycodone and Acetaminophen Tablets contain oxycodone, 14-hydroxydihydrocodeinone, a semisynthetic opioid analgesic which occurs as a white to off-white fine crystalline powder. The molecular formula for oxycodone hydrochloride is C18H21NO4 ∙ HCl and the molecular weight is 381.82. It is derived from the opium alkaloid, thebaine, and may be represented by the following structural formula:

Oxycodone and Acetaminophen Tablets contain acetaminophen, 4'-hydroxyacetanilide, is a non-opiate, non-salicylate analgesic and antipyretic which occurs as a white, odorless, crystalline powder. The molecular formula for acetaminophen is C8H9NO2 and the molecular weight is 151.17. It may be represented by the following structural formula:

Section 51945-4

Oxycodone and Acetaminophen Tablets, USP

5mg*/325mg - 28 count

Warnings

Addiction, Abuse, and Misuse

Oxycodone and Acetaminophen Tablets contain oxycodone, a Schedule II controlled substance. As an opioid, Oxycodone and Acetaminophen Tablets exposes users to the risks of addiction, abuse, and misuse [see DRUG ABUSE AND DEPENDENCE].

Although the risk of addiction in any individual is unknown, it can occur in patients appropriately prescribed Oxycodone and Acetaminophen Tablets. Addiction can occur at recommended dosages and if the drug is misused or abused.

Assess each patient’s risk for opioid addiction, abuse, or misuse prior to prescribing Oxycodone and Acetaminophen Tablets, and monitor all patients receiving Oxycodone and Acetaminophen Tablets for the development of these behaviors and conditions. Risks are increased in patients with a personal or family history of substance abuse (including drug or alcohol abuse or addiction) or mental illness (e.g., major depression). The potential for these risks should not, however, prevent the proper management of pain in any given patient. Patients at increased risk may be prescribed opioids such as Oxycodone and Acetaminophen Tablets, but use in such patients necessitates intensive counseling about the risks and proper use of Oxycodone and Acetaminophen Tablets along with intensive monitoring for signs of addiction, abuse, and misuse.

Opioids are sought by drug abusers and people with addiction disorders and are subject to criminal diversion. Consider these risks when prescribing or dispensing Oxycodone and Acetaminophen Tablets.

Strategies to reduce these risks include prescribing the drug in the smallest appropriate quantity and advising the patient on the proper disposal of unused drug [see PRECAUTIONS; Information for Patients/Caregivers]. Contact local state professional licensing board or state controlled substances authority for information on how to prevent and detect abuse or diversion of this product.



Opioid Analgesic Risk Evaluation and Mitigation Strategy (REMS)

To ensure that the benefits of opioid analgesics outweigh the risks of addiction, abuse, and misuse, the Food and Drug Administration (FDA) has required a Risk Evaluation and Mitigation Strategy (REMS) for these products. Under the requirements of the REMS, drug companies with approved opioid analgesic products must make REMS-compliant education programs available to healthcare providers. Healthcare providers are strongly encouraged to do all of the following:

  • Complete a REMS-compliant education program offered by an accredited provider of continuing education (CE) or another education program that includes all the elements of the FDA Education Blueprint for Health Care Providers Involved in the Management or Support of Patients with Pain.
  • Discuss the safe use, serious risks, and proper storage and disposal of opioid analgesics with patients and/or their caregivers every time these medicines are prescribed. ThePatient Counseling Guide (PCG) can be obtained at this link: www.fda.gov/OpioidAnalgesicREMSPCG.
  • Emphasize to patients and their caregivers the importance of reading the Medication Guide that they will receive from their pharmacist every time an opioid analgesic is dispensed to them.
  • Consider using other tools to improve patient, household, and community safety, such as patient-prescriber agreements that reinforce patient-prescriber responsibilities.

To obtain further information on the opioid analgesic REMS and for a list of accredited REMS CME/CE, call 800-503-0784, or log on to www.opioidanalgesicrems.com. The FDA Blueprint can be found at www.fda.gov/OpioidAnalgesicREMSBlueprint.

Life-Threatening Respiratory Depression

Serious, life-threatening, or fatal respiratory depression has been reported with the use of opioids, even when used as recommended. Respiratory depression, if not immediately recognized and treated, may lead to respiratory arrest and death. Management of respiratory depression may include close observation, supportive measures, and use of opioid antagonists, depending on the patient’s clinical status [see OVERDOSAGE]. Carbon dioxide (CO2) retention from opioid-induced respiratory depression can exacerbate the sedating effects of opioids.

While serious, life-threatening, or fatal respiratory depression can occur at any time during the use of Oxycodone and Acetaminophen Tablets, the risk is greatest during the initiation of therapy or following a dosage increase. Monitor patients closely for respiratory depression, especially within the first 24 to 72 hours of initiating therapy with and following dosage increases of Oxycodone and Acetaminophen Tablets.

To reduce the risk of respiratory depression, proper dosing and titration of Oxycodone and Acetaminophen Tablets are essential [see DOSAGE AND ADMINISTRATION]. Overestimating the Oxycodone and Acetaminophen Tablets dosage when converting patients from another opioid product can result in a fatal overdose with the first dose.

Accidental ingestion of Oxycodone and Acetaminophen Tablets, especially by children, can result in respiratory depression and death due to an overdose of Oxycodone and Acetaminophen Tablets.

Neonatal Opioid Withdrawal Syndrome

Prolonged use of Oxycodone and Acetaminophen Tablets during pregnancy can result in withdrawal in the neonate. Neonatal opioid withdrawal syndrome, unlike opioid withdrawal syndrome in adults, may be life-threatening if not recognized and treated, and requires management according to protocols developed by neonatology experts. Observe newborns for signs of neonatal opioid withdrawal syndrome and manage accordingly. Advise pregnant women using opioids for a prolonged period of the risk of neonatal opioid withdrawal syndrome and ensure that appropriate treatment will be available [see PRECAUTIONS; Information for Patients/Caregivers, Pregnancy].

Risks of Concomitant Use or Discontinuation of Cytochrome P450 3A4 Inhibitors and Inducers

Concomitant use of Oxycodone and Acetaminophen Tablets with a CYP3A4 inhibitor, such as macrolide antibiotics (e.g., erythromycin), azole-antifungal agents (e.g., ketoconazole), and protease inhibitors (e.g., ritonavir), may increase plasma concentrations of oxycodone hydrochloride and prolong opioid adverse reactions, which may cause potentially fatal respiratory depression [see Warnings], particularly when an inhibitor is added after a stable dose of Oxycodone and Acetaminophen Tablets is achieved. Similarly, discontinuation of a CYP3A4 inducer, such as rifampin, carbamazepine, and phenytoin, in Oxycodone and Acetaminophen tablets-treated patients may increase oxycodone plasma concentrations and prolong opioid adverse reactions. When using Oxycodone and Acetaminophen Tablets with CYP3A4 inhibitors or discontinuing CYP3A4 inducers in Oxycodone and Acetaminophen Tablets-treated patients, monitor patients closely at frequent intervals and consider dosage reduction of Oxycodone and Acetaminophen Tablets until stable drug effects are achieved [see PRECAUTIONS; Drug Interactions].

Concomitant use of Oxycodone and Acetaminophen Tablets with CYP3A4 inducers or discontinuation of an CYP3A4 inhibitor could decrease oxycodone hydrochloride plasma concentrations, decrease opioid efficacy or, possibly, lead to a withdrawal syndrome in a patient who had developed physical dependence to oxycodone hydrochloride. When using Oxycodone and Acetaminophen Tablets with CYP3A4 inducers or discontinuing CYP3A4 inhibitors, monitor patients closely at frequent intervals and consider increasing the opioid dosage if needed to maintain adequate analgesia or if symptoms of opioid withdrawal occur [see PRECAUTIONS; Drug Interactions].

Risks from Concomitant Use with Benzodiazepines or Other CNS Depressants

Profound sedation, respiratory depression, coma, and death may result from the concomitant use of oxycodone and acetaminophen tablets with benzodiazepines or other CNS depressants (e.g., non-benzodiazepine sedatives/hypnotics, anxiolytics, tranquilizers, muscle relaxants, general anesthetics, antipsychotics, other opioids, alcohol). Because of these risks, reserve concomitant prescribing of these drugs for use in patients for whom alternative treatment options are inadequate.

Observational studies have demonstrated that concomitant use of opioid analgesics and benzodiazepines increases the risk of drug-related mortality compared to use of opioid analgesics alone. Because of similar pharmacological properties, it is reasonable to expect similar risk with the concomitant use of other CNS depressant drugs with opioid analgesics [ see PRECAUTIONS; Drug Interactions ].

If the decision is made to prescribe a benzodiazepine or other CNS depressant concomitantly with an opioid analgesic, prescribe the lowest effective dosages and minimum durations of concomitant use. In patients already receiving an opioid analgesic, prescribe a lower initial dose of the benzodiazepine or other CNS depressant than indicated in the absence of an opioid, and titrate based on clinical response. If an opioid analgesic is initiated in a patient already taking a benzodiazepine or other CNS depressant, prescribe a lower initial dose of the opioid analgesic, and titrate based on clinical response. Follow patients closely for signs and symptoms of respiratory depression and sedation.

Advise both patients and caregivers about the risks of respiratory depression and sedation when Oxycodone and Acetaminophen Tablets are used with benzodiazepines or other CNS depressants (including alcohol and illicit drugs). Advise patients not to drive or operate heavy machinery until the effects of concomitant use of the benzodiazepine or other CNS depressant have been determined. Screen patients for risk of substance use disorders, including opioid abuse and misuse, and warn them of the risk for overdose and death associated with the use of additional CNS depressants including alcohol and illicit drugs.

Life-Threatening Respiratory Depression in Patients with Chronic Pulmonary Disease or in Elderly, Cachectic, or Debilitated Patients

The use of Oxycodone and Acetaminophen Tablets in patients with acute or severe bronchial asthma in an unmonitored setting or in the absence of resuscitative equipment is contraindicated.

Patients with Chronic Pulmonary Disease: Oxycodone and Acetaminophen Tablets-treated patients with significant chronic obstructive pulmonary disease or cor pulmonale, and those with a substantially decreased respiratory reserve, hypoxia, hypercapnia, or pre-existing respiratory depression are at increased risk of decreased respiratory drive including apnea, even at recommended dosages of Oxycodone and Acetaminophen Tablets [see WARNINGS; Life Threatening Respiratory Depression].

Elderly, Cachetic, or Debilitated Patients: Life-threatening respiratory depression is more likely to occur in elderly, cachectic, or debilitated patients because they may have altered pharmacokinetics or altered clearance compared to younger, healthier patients [see WARNINGS; Life Threatening Respiratory Depression].

Monitor such patients closely, particularly when initiating and titrating Oxycodone and Acetaminophen Tablets and when Oxycodone and Acetaminophen Tablets are given concomitantly with other drugs that depress respiration [see WARNINGS; Life Threatening Respiratory Depression]. Alternatively, consider the use of non-opioid analgesics in these patients.

Adrenal Insufficiency

Cases of adrenal insufficiency have been reported with opioid use, more often following greater than one month of use. Presentation of adrenal insufficiency may include non-specific symptoms and signs including nausea, vomiting, anorexia, fatigue, weakness, dizziness, and low blood pressure. If adrenal insufficiency is suspected, confirm the diagnosis with diagnostic testing as soon as possible. If adrenal insufficiency is diagnosed, treat with physiologic replacement doses of corticosteroids. Wean the patient off of the opioid to allow adrenal function to recover and continue corticosteroid treatment until adrenal function recovers. Other opioids may be tried as some cases reported use of a different opioid without recurrence of adrenal insufficiency. The information available does not identify any particular opioids as being more likely to be associated with adrenal insufficiency.

Severe Hypotension

Oxycodone and Acetaminophen Tablets may cause severe hypotension including orthostatic hypotension and syncope in ambulatory patients. There is increased risk in patients whose ability to maintain blood pressure has already been compromised by a reduced blood volume or concurrent administration of certain CNS depressant drugs (e.g., phenothiazines or general anesthetics) [see PRECAUTIONS; Drug Interactions]. Monitor these patients for signs of hypotension after initiating or titrating the dosage of Oxycodone and Acetaminophen Tablets. In patients with circulatory shock Oxycodone and Acetaminophen Tablets may cause vasodilatation that can further reduce cardiac output and blood pressure. Avoid the use of Oxycodone and Acetaminophen Tablets with circulatory shock.

Hepatotoxicity

Acetaminophen has been associated with cases of acute liver failure, at times resulting in liver transplant and death. Most of the cases of liver injury are associated with the use of acetaminophen at doses that exceed 4000 milligrams per day, and often involve more than one acetaminophen-containing product. The excessive intake of acetaminophen may be intentional to cause self-harm or unintentional as patients attempt to obtain more pain relief or unknowingly take other acetaminophen-containing products.

The risk of acute liver failure is higher in individuals with underlying liver disease and in individuals who ingest alcohol while taking acetaminophen.

Instruct patients to look for acetaminophen or APAP on package labels and not to use more than one product that contains acetaminophen. Instruct patients to seek medical attention immediately upon ingestion of more than 4000 milligrams of acetaminophen per day, even if they feel well.

Serious Skin Reactions

Rarely, acetaminophen may cause serious skin reactions such as acute generalized exanthematous pustulosis (AGEP), Stevens-Johnson Syndrome (SJS), and toxic epidermal necrolysis (TEN), which can be fatal. Patients should be informed about the signs of serious skin reactions, and use of the drug should be discontinued at the first appearance of skin rash or any other sign of hypersensitivity

Hypersensitivity/Anaphylaxis

There have been post-marketing reports of hypersensitivity and anaphylaxis associated with use of acetaminophen. Clinical signs included swelling of the face, mouth, and throat, respiratory distress, urticaria, rash, pruritus, and vomiting. There were infrequent reports of life-threatening anaphylaxis requiring emergency medical attention. Instruct patients to discontinue Oxycodone and Acetaminophen Tablets immediately and seek medical care if they experience these symptoms. Do not prescribe Oxycodone and Acetaminophen Tablets for patients with acetaminophen allergy [see PRECAUTIONS; Information for Patients/Caregivers].

Risks of Use in Patients with Increased Intracranial Pressure, Brain Tumors, Head Injury, or Impaired Consciousness

In patients who may be susceptible to the intracranial effects of CO2 retention (e.g., those with evidence of increased intracranial pressure or brain tumors), Oxycodone and Acetaminophen Tablets may reduce respiratory drive, and the resultant CO2 retention can further increase intracranial pressure. Monitor such patients for signs of sedation and respiratory depression, particularly when initiating therapy with Oxycodone and Acetaminophen Tablets.

Opioids may also obscure the clinical course in a patient with a head injury. Avoid the use of Oxycodone and Acetaminophen Tablets in patients with impaired consciousness or coma.

Risks of Use in Patients with Gastrointestinal Conditions

Oxycodone and Acetaminophen Tablets are contraindicated in patients with known or suspected gastrointestinal obstruction, including paralytic ileus.

The administration of Oxycodone and Acetaminophen Tablets, or other opioids may obscure the diagnosis or clinical course in patients with acute abdominal conditions.

The oxycodone in Oxycodone and Acetaminophen Tablets may cause spasm of the sphincter of Oddi. Opioids may cause increases in serum amylase. Monitor patients with biliary tract disease, including acute pancreatitis, for worsening symptoms.

Increased Risk of Seizures in Patients with Seizure Disorders

The oxycodone in Oxycodone and Acetaminophen Tablets may increase the frequency of seizures in patients with seizure disorders, and may increase the risk of seizures occuring in other clinical settings associated with seizures. Monitor patients with a history of seizure disorders for worsened seizure control during Oxycodone and Acetaminophen Tablets therapy.

Withdrawal

Avoid the use of mixed agonist/antagonist (e.g, pentazocine, nalbuphine, and butorphanol) or partial agonist (e.g., buprenorphine) analgesics in patients who are receiving a full opioid agonist analgesic, including Oxycodone and Acetaminophen Tablets. In these patients, mixed agonist/antagonist and partial analgesics may reduce the analgesic effect and/or precipitate withdrawal symptoms.

When discontinuing Oxycodone and Acetaminophen Tablets, gradually taper the dosage [see DOSAGE AND ADMINISTRATION]. Do not abruptly discontinue Oxycodone and Acetaminophen Tablets [see DRUG ABUSE AND DEPENDENCE].

Risks of Driving and Operating Machinery

Oxycodone and Acetaminophen Tablets may impair the mental or physical abilities needed to perform potentially hazardous activities such as driving a car or operating machinery. Warn patients not to drive or operate dangerous machinery unless they are tolerant to the effects of Oxycodone and Acetaminophen Tablets and know how they will react to the medication [see PRECAUTIONS; Information for Patients/Caregivers]. 

Overdosage

Following an acute overdosage, toxicity may result from the oxycodone or the acetaminophen.

Clinical Presentation

Acute overdosage with oxycodone can be manifested by respiratory depression, somnolence progressing to stupor or coma, skeletal muscle flaccidity, cold and clammy skin, constricted pupils, and, in some cases, pulmonary edema, bradycardia, hypotension, partial or complete airway obstruction, atypical snoring, and death. Marked mydriasis rather than miosis may be seen with hypoxia in overdose situations.

Acetaminophen

Dose-dependent potentially fatal hepatic necrosis is the most serious adverse effect of acetaminophen overdosage. Renal tubular necrosis, hypoglycemic coma, and coagulation defects may also occur.

Early symptoms following a potentially hepatotoxic overdose may include: nausea, vomiting, diaphoresis, and general malaise. Clinical and laboratory evidence of hepatic toxicity may not be apparent until 48 to 72 hours post-ingestion.

Treatment of Overdose

Oxycodone

In case of overdose, priorities are the reestablishment of a patent and protected airway and institution of assisted or controlled ventilation, if needed. Employ other supportive measures (including oxygen and vasopressors) in the management of circulatory shock and pulmonary edema as indicated. Cardiac arrest or arrhythmias will require advanced life-support techniques.

The opioid antagonists, naloxone or nalmefene, are specific antidotes to respiratory depression resulting from opioid overdose. For clinically significant respiratory or circulatory depression secondary to oxycodone overdose, administer an opioid antagonist. Opioid antagonists should not be administered in the absence of clinically significant respiratory or circulatory depression secondary to oxycodone overdose.

Because the duration of opioid reversal is expected to be less than the duration of action of oxycodone in Oxycodone and Acetaminophen Tablets, carefully monitor the patient until spontaneous respiration is reliably reestablished. If the response to an opioid antagonist is suboptimal or only brief in nature, administer additional antagonist as directed by the product’s prescribing information.

In an individual physically dependent on opioids, administration of the recommended usual dosage of the antagonist will precipitate an acute withdrawal syndrome. The severity of the withdrawal symptoms experienced will depend on the degree of physical dependence and the dose of the antagonist administered. If a decision is made to treat serious respiratory depression in the physically dependent patient, administration of the antagonist should be initiated with care and by titration with smaller than usual doses of the antagonist.

Acetaminophen

Gastric decontamination with activated charcoal should be administered just prior to N-acetylcysteine (NAC) to decrease systemic absorption if acetaminophen ingestion is known or suspected to have occurred within a few hours of presentation. Serum acetaminophen levels should be obtained immediately if the patient presents 4 hours or more after ingestion to assess potential risk of hepatotoxicity; acetaminophen levels drawn less than 4 hours post-ingestion may be misleading. To obtain the best possible outcome, NAC should be administered as soon as possible where impending or evolving liver injury is suspected. Intravenous NAC may be administered when circumstances preclude oral administration.

Vigorous supportive therapy is required in severe intoxication. Procedures to limit the continuing absorption of the drug must be readily performed since the hepatic injury is dose dependent and occurs early in the course of intoxication 

Precautions

Information for Patients/Caregivers

Advise the patient to read the FDA-approved patient labeling (Medication Guide).

Addiction, Abuse, and Misuse

Inform patients that the use of Oxycodone and Acetaminophen Tablets, even when taken as recommended, can result in addiction, abuse, and misuse, which can lead to overdose and death [see WARNINGS]. Instruct patients not to share Oxycodone and Acetaminophen Tablets with others and to take steps to protect Oxycodone and Acetaminophen Tablets from theft or misuse.

Life-Threatening Respiratory Depression

Inform patients of the risk of life-threatening respiratory depression, including information that the risk is greatest when starting Oxycodone and Acetaminophen Tablets or when the dosage is increased, and that it can occur even at recommended dosages [see WARNINGS]. Advise patients how to recognize respiratory depression and to seek medical attention if breathing difficulties develop.

Accidental Ingestion

Inform patients that accidental ingestion, especially by children, may result in respiratory depression or death [see WARNINGS]. Instruct patients to take steps to store Oxycodone and Acetaminophen Tablets securely and to dispose of unused Oxycodone and Acetaminophen Tablets by flushing tablets down the toilet. In the case of accidental ingestions, emergency medical care should be sought immediately.

Interactions with Benzodiazepines and Other CNS Depressants

Inform patients and caregivers that potentially fatal additive effects may occur if Oxycodone and Acetaminophen Tablets are used with benzodiazepines and other CNS depressants, including alcohol, and not to use these concomitantly unless supervised by a health care provider [see WARNINGS, PRECAUTIONS; Drug Interactions].

Serotonin Syndrome

Inform patients that opioids could cause a rare but potentially life-threatening condition resulting from concomitant administration of serotonergic drugs. Warn patients of the symptoms of serotonin syndrome and to seek medical attention right away if symptoms develop. Instruct patients to inform their healthcare providers if they are taking, or plan to take serotonergic medications [see PRECAUTIONS; Drug Interactions].

Monoamine Oxidase Inhibitor (MAOI) Interaction

Inform patients to avoid taking Oxycodone and Acetaminophen Tablets while using any drugs that inhibit monoamine oxidase. Patients should not start MAOIs while taking Oxycodone and Acetaminophen Tablets [see PRECAUTIONS; Drug Interactions].

Adrenal Insufficiency

Inform patients that opioids could cause adrenal insufficiency, a potentially life-threatening condition. Adrenal insufficiency may present with non-specific symptoms and signs such as nausea, vomiting, anorexia, fatigue, weakness, dizziness, and low blood pressure. Advise patients to seek medical attention if they experience a constellation of these symptoms [see WARNINGS].

Important Administration Instructions

Instruct patients how to properly take Oxycodone and Acetaminophen Tablets [see DOSAGE AND ADMINISTRATION, WARNINGS].

Advise patients not to adjust the dose of Oxycodone and Acetaminophen Tablets without consulting with a physician or other healthcare professional.

If patients have been receiving treatment with Oxycodone and Acetaminophen Tablets for more than a few weeks and cessation of therapy is indicated, counsel them on the importance of safely tapering the dose as abrupt discontinuation of the medication could precipitate withdrawal symptoms. Provide a dose schedule to accomplish a gradual discontinuation of the medication [see DOSAGE AND ADMINISTRATION].

Maximum Daily Dose of Acetaminophen

Inform patients to not take more than 4000 milligrams of acetaminophen per day. Advise patients to call their prescriber if they take more than the recommended dose.

Hypotension

Inform patients that Oxycodone and Acetaminophen Tablets may cause orthostatic hypotension and syncope. Instruct patients how to recognize symptoms of low blood pressure and how to reduce the risk of serious consequences should hypotension occur (e.g., sit or lie down, carefully rise from a sitting or lying position) [see WARNINGS].

Anaphylaxis

Inform patients that anaphylaxis have been reported with ingredients contained in Oxycodone and Acetaminophen Tablets. Advise patients how to recognize such a reaction and when to seek medical attention [see CONTRAINDICATIONS, ADVERSE REACTIONS].

Pregnancy

Neonatal Opioid Withdrawal Syndrome

Inform female patients of reproductive potential that prolonged use of Oxycodone and Acetaminophen Tablets during pregnancy can result in neonatal opioid withdrawal syndrome, which may be life-threatening if not recognized and treated [see WARNINGS, PRECAUTIONS; Pregnancy]

Embryo-Fetal Toxicity

Inform female patients of reproductive potential that Oxycodone and Acetaminophen Tablets can cause fetal harm and to inform the healthcare provider of a known or suspected pregnancy [see PRECAUTIONS; Pregnancy].

Lactation

Advise nursing mothers to monitor infants for increased sleepiness (more than usual), breathing difficulties, or limpness. Instruct nursing mothers to seek immediate medical care if they notice these signs [see PRECAUTIONS; Nursing Mothers].

Infertility

Inform patients that chronic use of opioids may cause reduced fertility. It is not known whether these effects on fertility are reversible [see ADVERSE REACTIONS].

Driving or Operating Heavy Machinery

Inform patients that Oxycodone and Acetaminophen Tablets may impair the ability to perform potentially hazardous activities such as driving a car or operating heavy machinery. Advise patients not to perform such tasks until they know how they will react to the medication [see PRECAUTIONS].

Constipation

Advise patients of the potential for severe constipation, including management instructions and when to seek medical attention [see ADVERSE REACTIONS, CLINICAL PHARMACOLOGY].

Disposal of Unused Oxycodone and Acetaminophen Tablets

Advise patients to dispose of unused Oxycodone and Acetaminophen Tablets by flushing unused tablets down the toilet.

Laboratory Tests

Although oxycodone may cross-react with some drug urine tests, no available studies were found which determined the duration of detectability of oxycodone in urine drug screens. However, based on pharmacokinetic data, the approximate duration of detectability for a single dose of oxycodone is roughly estimated to be one to two days following drug exposure.

Urine testing for opiates may be performed to determine illicit drug use and for medical reasons such as evaluation of patients with altered states of consciousness or monitoring efficacy of drug rehabilitation efforts. The preliminary identification of opiates in urine involves the use of an immunoassay screening and thin-layer chromatography (TLC). Gas chromatography/mass spectrometry (GC/MS) may be utilized as a third-stage identification step in the medical investigational sequence for opiate testing after immunoassay and TLC. The identities of 6-keto opiates (e.g., oxycodone) can further be differentiated by the analysis of their methoximetrimethylsilyl (MO-TMS) derivative.

Drug Interactions

Inhibitors of CYP3A4 and CYP2D6

The concomitant use of Oxycodone and Acetaminophen Tablets and CYP3A4 inhibitors, such as macrolide antibiotics (e.g., erythromycin), azole-antifungal agents (e.g. ketoconazole), and protease inhibitors (e.g., ritonavir), can increase the plasma concentration of oxycodone, resulting in increased or prolonged opioid effects. These effects could be more pronounced with concomitant use of Oxycodone and Acetaminophen Tablets and CYP3A4 and CYP2D6 inhibitors, particularly when an inhibitor is added after a stable dose of Oxycodone and Acetaminophen Tablets is achieved [see WARNINGS].

After stopping a CYP3A4 inhibitor, as the effects of the inhibitor decline, the oxycodone plasma concentration will decrease [see CLINICAL PHARMACOLOGY], resulting in decreased opioid efficacy or a withdrawal syndrome in patients who had developed physical dependence to Oxycodone and Acetaminophen Tablets.

If concomitant use is necessary, consider dosage reduction of Oxycodone and Acetaminophen Tablets until stable drug effects are achieved. Monitor patients for respiratory depression and sedation at frequent intervals. If a CYP3A4 inhibitor is discontinued, consider increasing the Oxycodone and Acetaminophen Tablets dosage until stable drug effects are achieved. Monitor for signs of opioid withdrawal.

Inducers of CYP3A4

The concomitant use of Oxycodone and Acetaminophen Tablets and CYP3A4 inducers, such as rifampin, carbamazepine, and phenytoin, can decrease the plasma concentration of oxycodone [see CLINICAL PHARMACOLOGY], resulting in decreased efficacy or onset of a withdrawal syndrome in patients who have developed physical dependence to Oxycodone and Acetaminophen Tablets [see WARNINGS].

After stopping a CYP3A4 inducer, as the effects of the inducer decline, the oxycodone plasma concentration will increase [see CLINICAL PHARMACOLOGY], which could increase or prolong both the therapeutic effects and adverse reactions, and may cause serious respiratory depression.

If concomitant use is necessary, consider increasing the Oxycodone and Acetaminophen Tablets dosage until stable drug effects are achieved. Monitor for signs of opioid withdrawal. If a CYP3A4 inducer is discontinued, consider Oxycodone and Acetaminophen Tablets dosage reduction and monitor for signs of respiratory depression.

Benzodiazepines and Other CNS Depressants

Due to additive pharmacologic effect, the concomitant use of benzodiazepines and other CNS depressants such as benzodiazepines and other sedative hypnotics, anxiolytics, and tranquilizers, muscle relaxants, general anesthetics, antipsychotics, and other opioids, including alcohol, can increase the risk of hypotension, respiratory depression, profound sedation, coma, and death.

Reserve concomitant prescribing of these drugs for use in patients for whom alternative treatment options are inadequate. Limit dosages and durations to the minimum required. Follow patients closely for signs of respiratory depression and sedation [see WARNINGS].

Serotonergic Drugs

The concomitant use of opioids with other drugs that affect the serotonergic neurotransmitter system, such as selective serotonin reuptake inhibitors (SSRIs), serotonin and norepinephrine reuptake inhibitors (SNRIs), tricyclic antidepressants (TCAs), tryptans, 5-HT3 receptor antagonists, drugs that affect the serotonin neurotransmitter system (e.g., mirtazapine, trazodone, tramadol), and monoamine oxidase (MAO) inhibitors (those intended to treat psychiatric disorders and also others, such as linezolid and intravenous methylene blue), has resulted in serotonin syndrome. [see PRECAUTIONS; Information for Patients/Caregivers].

If concomitant use is warranted, carefully observe the patient, particularly during treatment initiation and dose adjustment. Discontinue Oxycodone and Acetaminophen Tablets if serotonin syndrome is suspected.

Monoamine Oxidase Inhibitors (MAOIs)

The concomitant use of opioids and MAOIs, such as phenelzine, tranylcypromine, linezolid, may manifest as serotonin syndrome or opioid toxicity (e.g., respiratory depression, coma) [see WARNINGS].

The use of Oxycodone and Acetaminophen Tablets is not recommended for patients taking MAOIs or within 14 days of stopping such treatment.

If urgent use of an opioid is necessary, use test doses and frequent titration of small doses to treat pain while closely monitoring blood pressure and signs and symptoms of CNS and respiratory depression.

Mixed Agonist/Antagonist and Partial Agonist Opioid Analgesics

The concomitant use of opioids with other opioid analgesics, such as butorphanol, nalbuphine, pentazocine, may reduce the analgesic effect of Oxycodone and Acetaminophen Tablets and/or precipitate withdrawal symptoms.

Advise patient to avoid concomitant use of these drugs.

Muscle Relaxants

Oxycodone and Acetaminophen Tablets may enhance the neuromuscular-blocking action of skeletal muscle relaxants and produce an increase in the degree of respiratory depression.

If concomitant use is warranted, monitor patients for signs of respiratory depression that may be greater than otherwise expected and decrease the dosage of Oxycodone and Acetaminophen Tablets and/or the muscle relaxant as necessary.

Diuretics

Opioids can reduce the efficacy of diuretics by inducing the release of antidiuretic hormone.

If concomitant use is warranted, monitor patients for signs of diminished diuresis and/or effects on blood pressure and increase the dosage of the diuretic as needed.

Anticholinergic Drugs

The concomitant use of anticholinergic drugs may increase risk of urinary retention and/or severe constipation, which may lead to paralytic ileus.

If concomitant use is warranted, monitor patients for signs of urinary retention or reduced gastric motility when Oxycodone and Acetaminophen Tablets are used concomitantly with anticholinergic drugs.

Alcohol, ethyl

Hepatotoxicity has occurred in chronic alcoholics following various dose levels (moderate to excessive) of acetaminophen.

Oral Contraceptives

Increase in glucuronidation resulting in increased plasma clearance and a decreased half-life of acetaminophen.

Charcoal (activated)

Reduces acetaminophen absorption when administered as soon as possible after overdose.

Beta Blockers (Propranolol)

Propranolol appears to inhibit the enzyme systems responsible for the glucuronidation and oxidation of acetaminophen. Therefore, the pharmacologic effects of acetaminophen may be increased.

Loop Diuretics

The effects of the loop diuretic may be decreased because acetaminophen may decrease renal prostaglandin excretion and decrease plasma renin activity.

Lamotrigine

Serum lamotrigine concentrations may be reduced, producing a decrease in therapeutic effects.

Probenecid

Probenecid may increase the therapeutic effectiveness of acetaminophen slightly.

Zidovudine

The pharmacologic effects of zidovudine may be decreased because of enhanced non-hepatic or renal clearance of zidovudine

Drug/Laboratory Test Interactions

Depending on the sensitivity/specificity and the test methodology, the individual components of Oxycodone and Acetaminophen Tablets may cross-react with assays used in the preliminary detection of cocaine (primary urinary metabolite, benzoylecgonine) or marijuana (cannabinoids) in human urine. A more specific alternate chemical method must be used in order to obtain a confirmed analytical result. The preferred confirmatory method is gas chromatography/mass spectrometry (GC/MS). Moreover, clinical considerations and professional judgment should be applied to any drug-of-abuse test result, particularly when preliminary positive results are used.

Acetaminophen may interfere with home blood glucose measurement systems; decreases of >20% in mean glucose values may be noted. This effect appears to be drug, concentration and system dependent.

Carcinogenesis, Mutagenesis, Impairment of Fertility

Carcinogenesis

Long-term studies to evaluate the carcinogenic potential of the combination of Oxycodone Hydrochloride and Acetaminophen have not been conducted.

Long-term studies in mice and rats have been completed by the National Toxicology Program to evaluate the carcinogenic potential of acetaminophen. In 2-year feeding studies, F344/N rats and B6C3F1 mice were fed a diet containing acetaminophen up to 6000 ppm. Female rats demonstrated equivocal evidence of carcinogenic activity based on increased incidences of mononuclear cell leukemia at 0.8 times the maximum human daily dose (MHDD) of 4 grams/day, based on a body surface area comparison. In contrast, there was no evidence of carcinogenic activity in male rats that received up to 0.7 times or mice at up to 1.2-1.4 times the MHDD, based on a body surface area comparison.

Mutagenesis

The combination of Oxycodone Hydrochloride and Acetaminophen has not been evaluated for mutagenicity. Oxycodone alone was negative in a bacterial reverse mutation assay (Ames), an in vitro chromosome aberration assay with human lymphocytes without metabolic activation and an in vivo mouse micronucleus assay. Oxycodone was clastogenic in the human lymphocyte chromosomal assay in the presence of metabolic activation and in the mouse lymphoma assay with or without metabolic activation.

In the published literature, acetaminophen has been reported to be clastogenic when administered at 1500 mg/kg/day to the rat model (3.6-times the MHDD, based on a body surface area comparison). In contrast, no clastogenicity was noted at a dose of 750 mg/kg/day (1.8-times the MHDD, based on a body surface area comparison), suggesting a threshold effect.

Impairment of Fertility

In studies conducted by the National Toxicology Program, fertility assessments with acetaminophen have been completed in Swiss CD-1 mice via a continuous breeding study. There were no effects on fertility parameters in mice consuming up to 1.7 times the MHDD of acetaminophen, based on a body surface area comparison. Although there was no effect on sperm motility or sperm density in the epididymis, there was a significant increase in the percentage of abnormal sperm in mice consuming 1.78 times the MHDD (based on a body surface comparison) and there was a reduction in the number of mating pairs producing a fifth litter at this dose, suggesting the potential for cumulative toxicity with chronic administration of acetaminophen near the upper limit of daily dosing.

Published studies in rodents report that oral acetaminophen treatment of male animals at doses that are 1.2 times the MHDD and greater (based on a body surface comparison) result in decreased testicular weights, reduced spermatogenesis, reduced fertility, and reduced implantation sites in females given the same doses. These effects appear to increase with the duration of treatment. The clinical significance of these findings is not known.

Infertility

Chronic use of opioids may cause reduced fertility in females and males of reproductive potential. It is not known whether these effects on fertility are reversible [see ADVERSE REACTIONS].

Pregnancy

Teratogenic Effects

Pregnancy Category C

Animal reproductive studies have not been conducted with Oxycodone and Acetaminophen Tablets. It is also not known whether Oxycodone and Acetaminophen Tablets can cause fetal harm when administered to a pregnant woman or can affect reproductive capacity. Oxycodone and Acetaminophen Tablets should not be given to a pregnant woman unless in the judgment of the physician, the potential benefits outweigh the possible hazards.

Nonteratogenic Effects

Fetal/Neonatal Adverse Reactions

Prolonged use of opioid analgesics during pregnancy for medical or nonmedical purposes can result in physical dependence in the neonate and neonatal opioid withdrawal syndrome shortly after birth.

Neonatal opioid withdrawal syndrome presents as irritability, hyperactivity and abnormal sleep pattern, high pitched cry, tremor, vomiting, diarrhea and failure to gain weight. The onset, duration, and severity of neonatal opioid withdrawal syndrome vary based on the specific opioid used, duration of use, timing and amount of last maternal use, and rate of elimination of the drug by the newborn. Observe newborns for symptoms of neonatal opioid withdrawal syndrome and manage accordingly [see WARNINGS].

Labor or Delivery

Opioids cross the placenta and may produce respiratory depression and psycho-physiologic effects in neonates. An opioid antagonist, such as naloxone, must be available for reversal of opioid-induced respiratory depression in the neonate. Oxycodone and Acetaminophen Tablets are not recommended for use in pregnant women during or immediately prior to labor, when other analgesic techniques are more appropriate. Opioid analgesics, including Oxycodone and Acetaminophen Tablets, can prolong labor through actions which temporarily reduce the strength, duration, and frequency of uterine contractions. However, this effect is not consistent and may be offset by an increased rate of cervical dilation, which tends to shorten labor. Monitor neonates exposed to opioid analgesics during labor for signs of excess sedation and respiratory depression.

Nursing Mothers

Ordinarily, nursing should not be undertaken while a patient is receiving Oxycodone and Acetaminophen Tablets because of the possibility of sedation and/or respiratory depression in the infant. Oxycodone is excreted in breast milk in low concentrations, and there have been rare reports of somnolence and lethargy in babies of nursing mothers taking an oxycodone/acetaminophen product. Acetaminophen is also excreted in breast milk in low concentrations.

The developmental and health benefits of breastfeeding should be considered along with the mother’s clinical need for Oxycodone and Acetaminophen Tablets and any potential adverse effects on the breastfed infant from Oxycodone and Acetaminophen Tablets or from the underlying maternal condition.

Infants exposed to Oxycodone and Acetaminophen Tablets through breast milk should be monitored for excess sedation and respiratory depression. Withdrawal symptoms can occur in breastfed infants when maternal administration of an opioid analgesic is stopped, or when breast-feeding is stopped.

Pediatric Use

Safety and effectiveness of Oxycodone and Acetaminophen Tablets in pediatric patients have not been established.

Geriatric Use

Elderly patients (aged 65 years or older) may have increased sensitivity Oxycodone and Acetaminophen Tablets. In general, use caution when selecting a dosage for an elderly patient, usually starting at the low end of the dosing range, reflecting the greater frequency of decreased hepatic, renal, or cardiac function and of concomitant disease or other drug therapy.

Respiratory depression is the chief risk for elderly patients treated with opioids, and has occurred after large initial doses were administered to patients who were not opioid-tolerant or when opioids were co-administered with other agents that depress respiration. Titrate the dosage of Oxycodone and Acetaminophen Tablets slowly in geriatric patients and monitor closely for signs of central nervous system and respiratory depression [see WARNINGS].

These drugs are known to be substantially excreted by the kidney, and the risk of adverse reactions to this drug may be greater in patients with impaired renal function. Because elderly patients are more likely to have decreased renal function, care should be taken in dose selection, and it may be useful to monitor renal function.

Hepatic Impairment

In a pharmacokinetic study of oxycodone in patients with end-stage liver disease, oxycodone plasma clearance decreased and the elimination half-life increased.

Because oxycodone is extensively metabolized in the liver, its clearance may decrease in patients with hepatic impairment. Initiate therapy in these patients with a lower than usual dosage of Oxycodone and Acetaminophen Tablets and titrate carefully. Monitor closely for adverse events such as respiratory depression, sedation, and hypotension [see Clinical Pharmacology].

Renal Impairment

In a study of patients with end stage renal impairment, mean elimination half-life was prolonged in uremic patients due to increased volume of distribution and reduced clearance. Oxycodone should be used with caution in patients with renal impairment.

Because oxycodone is known to be substantially excreted by the kidney, its clearance may decrease in patients with renal impairment. Initiate therapy with a lower than usual dosage of Oxycodone and Acetaminophen Tablets and titrate carefully. Monitor closely for adverse events such as respiratory depression, sedation, and hypotension [see Clinical Pharmacology)]

Medication Guide

Oxycodone (ox" i koe' done ) and Acetaminophen (a seet" a min' oh fen) Tablets, CII

Oxycodone and Acetaminophen Tablets are:

• A strong prescription pain medicine that contains an opioid (narcotic) that is used to manage pain, severe enough to require an opioid analgesic and for which alternative treatments are inadequate and when other pain treatments such as non-opioid pain medicines do not treat your pain well enough or you cannot tolerate them.

• An opioid pain medicine that can put you at risk for overdose and death. Even if you take your dose correctly as prescribed you are at risk for opioid addiction, abuse, and misuse that can lead to death.

Important information about Oxycodone and Acetaminophen Tablets:

Get emergency help right away if you take too much Oxycodone and Acetaminophen Tablets (overdose). When you first start taking Oxycodone and Acetaminophen Tablets, when your dose is changed, or if you take too much (overdose), serious or life-threatening breathing problems that can lead to death may occur. Taking Oxycodone and Acetaminophen Tablets with other opioid medicines, benzodiazepines, alcohol, or other central nervous system depressants (including street drugs) can cause severe drowsiness, decreased awareness, breathing problems, coma, and death.

• Never give anyone else your Oxycodone and Acetaminophen Tablets. They could die from taking it. Store Oxycodone and Acetaminophen Tablets away from children and in a safe place to prevent stealing or abuse. Selling or giving away Oxycodone and Acetaminophen Tablets are against the law.

Do not take Oxycodone and Acetaminophen Tablets if you have:

• Severe asthma, trouble breathing, or other lung problems.

• A bowel blockage or have narrowing of the stomach or intestines

• known hypersensitivity to oxycodone, acetaminophen, or any ingredient in Oxycodone and Acetaminophen Tablets

Before taking Oxycodone and Acetaminophen Tablets, tell your healthcare provider if you have a history of:

• Head injury, seizures

• Liver, kidney, thyroid problems

• Problems urinating

• Pancreas or gallbladder problems

• Abuse of street or prescription drugs, alcohol addiction, or mental health problems

Tell your healthcare provider if you are:

Pregnant or planning to become pregnant. Prolonged use of Oxycodone and Acetaminophen Tablets during pregnancy can cause withdrawal symptoms in your newborn baby that could be life-threatening if not recognized and treated.

Breastfeeding. Oxycodone and Acetaminophen Tablets passes into breast milk and may harm your baby.

• Taking prescription or over-the-counter medicines, vitamins, or herbal supplements. Taking Oxycodone and Acetaminophen Tablets with certain other medicines can cause serious side effects that could lead to death.

When taking Oxycodone and Acetaminophen Tablets:

• Do not change your dose. Take Oxycodone and Acetaminophen Tablets exactly as prescribed by your healthcare provider. Use the lowest dose possible for the shortest time needed.

• Take your prescribed dose every 6 hours as needed for pain. Do not take more than your prescribed dose. If you miss a dose, take your next dose at your usual time.

•  Call your healthcare provider if the dose you are taking does not control your pain.

•  If you have been taking Oxycodone and Acetaminophen Tablets regularly, do not stop taking Oxycodone and Acetaminophen Tablets without talking to your healthcare provider.

•  After you stop taking Oxycodone and Acetaminophen Tablets, dispose of unused tablets by flushing them down the toilet.

While taking Oxycodone and Acetaminophen Tablets DO NOT:

• Drive or operate heavy machinery, until you know how Oxycodone and Acetaminophen Tablets affects you. Oxycodone and Acetaminophen Tablets can make you sleepy, dizzy, or lightheaded.

• Drink alcohol or use prescription or over-the-counter medicines that contain alcohol. Using products containing alcohol during treatment with Oxycodone and Acetaminophen Tablets may cause you to overdose and die.

The possible side effects of Oxycodone and Acetaminophen Tablets:

• Constipation, nausea, sleepiness, vomiting, tiredness, headache, dizziness, abdominal pain. Call your healthcare provider if you have any of these symptoms and they are severe.

Get emergency medical help if you have:

• Trouble breathing, shortness of breath, fast heartbeat, chest pain, swelling of your face, tongue, or throat, extreme drowsiness, light-headedness when changing positions, feeling faint, agitation, high body temperature, trouble walking, stiff muscles, or mental changes such as confusion.

These are not all the possible side effects of Oxycodone and Acetaminophen Tablets. Call your doctor for medical advice about side effects. You may report side effects to FDA at 1-800-FDA-1088.

For more information go to dailymed.nlm.nih.gov.

Distributed by: Camber Pharmaceuticals, Inc, Piscataway, NJ 08854  or call 1-800-495-8330

Repackaged by: Proficient Rx LP, Thousand Oaks, CA 91320

This Medication Guide has been approved by the U.S. Food and Drug Administration.

Revised: 01/17

Clinical Pharmacology

Mechanism of Action

Oxycodone is a full opioid agonist with relative selectivity for the mu-opioid receptor, although it can interact with other opioid receptors at higher doses. The principal therapeutic action of oxycodone is analgesia. Like all full opioid agonists, there is no ceiling effect for analgesia with oxycodone. Clinically, dosage is titrated to provide adequate analgesia and may be limited by adverse reactions, including respiratory and CNS depression.

The precise mechanism of the analgesic action is unknown. However, specific CNS opioid receptors for endogenous compounds with opioid-like activity have been identified throughout the brain and spinal cord and are thought to play a role in the analgesic effects of this drug.

The precise mechanism of the analgesic properties of acetaminophen is not established but is thought to involve central actions.

Pharmacodynamics

Effects on the Central Nervous System

Oxycodone produces respiratory depression by direct action on brain stem respiratory centers. The respiratory depression involves a reduction in the responsiveness of the brain stem respiratory centers to both increases in carbon dioxide tension and electrical stimulation.

Oxycodone causes miosis, even in total darkness. Pinpoint pupils are a sign of opioid overdose but are not pathognomonic (e.g., pontine lesions of hemorrhagic or ischemic origins may produce similar findings). Marked mydriasis rather than miosis may be seen due to hypoxia in overdose situations.

Therapeutic doses of acetaminophen have negligible effects on the cardiovascular or respiratory systems; however, toxic doses may cause circulatory failure and rapid, shallow breathing.

Effects on the Gastrointestinal Tract and Other Smooth Muscle

Oxycodone causes a reduction in motility associated with an increase in smooth muscle tone in the antrum of the stomach and duodenum. Digestion of food in the small intestine is delayed and propulsive contractions are decreased. Propulsive peristaltic waves in the colon are decreased, while tone may be increased to the point of spasm, resulting in constipation. Other opioid-induced effects may include a reduction in biliary and pancreatic secretions, spasm of sphincter of Oddi, and transient elevations in serum amylase.

Effects on the Cardiovascular System

Oxycodone produces peripheral vasodilation which may result in orthostatic hypotension or syncope. Manifestations of histamine release and/or peripheral vasodilation may include pruritus, flushing, red eyes, sweating, and/or orthostatic hypotension.

Effects on the Endocrine System

Opioids inhibit the secretion of adrenocorticotropic hormone (ACTH), cortisol, and luteinizing hormone (LH) in humans [see Adverse Reactions]. They also stimulate prolactin, growth hormone (GH) secretion, and pancreatic secretion of insulin and glucagon.

Chronic use of opioids may influence the hypothalamic-pituitary-gonadal axis, leading to androgen deficiency that may manifest as symptoms as low libido, impotence, erectile dysfunction, amenorrhea, or infertility. The causal role of opioids in the syndrome of hypogonadism is unknown because the various medical, physical, lifestyle, and psychological stressors that may influence gonadal hormone levels have not been adequately controlled for in studies conducted to date [see ADVERSE REACTIONS].

Effects on the Immune System

Opioids have been shown to have a variety of effects on components of the immune system. The clinical significance of these findings is unknown. Overall, the effects of opioids appear to be modestly immunosuppressive.

Concentration–Efficacy Relationships

The minimum effective analgesic concentration will vary widely among patients, especially among patients who have been previously treated with potent agonist opioids. The minimum effective analgesic concentration of oxycodone for any individual patient may increase over time due to an increase in pain, the development of a new pain syndrome, and/or the development of analgesic tolerance [see Dosage and Administration].

Concentration–Adverse Reaction Relationships

There is a relationship between increasing oxycodone plasma concentration and increasing frequency of dose-related opioid adverse reactions such as nausea, vomiting, CNS effects, and respiratory depression. In opioid-tolerant patients, the situation may be altered by the development of tolerance to opioid-related adverse reactions [see Dosage and Administration].

Pharmacokinetics

Absorption and Distribution

The mean absolute oral bioavailability of oxycodone in cancer patients was reported to be about 87%. Oxycodone has been shown to be 45% bound to human plasma proteins in vitro. The volume of distribution after intravenous administration is 211.9 ±186.6 L.

Absorption of acetaminophen is rapid and almost complete from the GI tract after oral administration. With overdosage, absorption is complete in 4 hours. Acetaminophen is relatively uniformly distributed throughout most body fluids. Binding of the drug to plasma proteins is variable; only 20% to 50% may be bound at the concentrations encountered during acute intoxication.

Metabolism and Elimination

Oxycodone

In humans, oxycodone is extensively metabolized to noroxycodone by means of CYP3A-mediated N-demethylation, oxymorphone by means of CYP2D6-mediated O-demethylation, and their glucuronides [see PRECAUTIONS; Drug Interactions].

Acetaminophen

Acetaminophen is rapidly absorbed from the gastrointestinal tract and is distributed throughout most body tissues. A small fraction (10-25%) of acetaminophen is bound to plasma proteins. The plasma half-life is 1.25 to 3 hours, but may be increased by liver damage and following overdosage. Elimination of acetaminophen is principally by liver metabolism (conjugation) and subsequent renal excretion of metabolites. Acetaminophen is primarily metabolized in the liver by first-order kinetics and involves three principal separate pathways: conjugation with glucuronide; conjugation with sulfate; and oxidation via the cytochrome, P450-dependent, mixed-function oxidase enzyme pathway to form a reactive intermediate metabolite, which conjugates with glutathione and is then further metabolized to form cysteine and mercapturic acid conjugates. The principal cytochrome P450 isoenzyme involved appears to be CYP2E1, with CYP1A2 and CYP3A4 as additional pathways. Approximately 85% of an oral dose appears in the urine within 24 hours of administration, most as the glucuronide conjugate, with small amounts of other conjugates and unchanged drug [see OVERDOSAGE] for toxicity information.

Drug Abuse and Dependence

Controlled Substance

Oxycodone and Acetaminophen Tablets n contain oxycodone, a Schedule II controlled substance.

Abuse

Oxycodone and Acetaminophen Tablets contains oxycodone, a substance with a high potential for abuse similar to other opioids including fentanyl, hydrocodone, hydromorphone, methadone, morphine, oxymorphone, and tapentadol. Oxycodone and Acetaminophen Tablets can be abused and is subject to misuse, addiction, and criminal diversion [see WARNINGS].

All patients treated with opioids require careful monitoring for signs of abuse and addiction, since use of opioid analgesic products carries the risk of addiction even under appropriate medical use.

Prescription drug abuse is the intentional non-therapeutic use of a prescription drug, even once, for its rewarding psychological or physiological effects.

Drug addiction is a cluster of behavioral, cognitive, and physiological phenomena that develop after repeated substance use and includes: a strong desire to take the drug, difficulties in controlling its use, persisting in its use despite harmful consequences, a higher priority given to drug use than to other activities and obligations, increased tolerance, and sometimes a physical withdrawal.

“Drug-seeking” behavior is very common in persons with substance use disorders. Drug-seeking tactics include emergency calls or visits near the end of office hours, refusal to undergo appropriate examination, testing, or referral, repeated “loss” of prescriptions, tampering with prescriptions, and reluctance to provide prior medical records or contact information for other treating health care provider(s). “Doctor shopping” (visiting multiple prescribers to obtain additional prescriptions) is common among drug abusers and people suffering from untreated addiction. Preoccupation with achieving adequate pain relief can be appropriate behavior in a patient with poor pain control.

Abuse and addiction are separate and distinct from physical dependence and tolerance. Health care providers should be aware that addiction may not be accompanied by concurrent tolerance and symptoms of physical dependence in all addicts. In addition, abuse of opioids can occur in the absence of true addiction.

Oxycodone and Acetaminophen Tablets, like other opioids, can be diverted for non-medical use into illicit channels of distribution. Careful record-keeping of prescribing information, including quantity, frequency, and renewal requests, as required by state and federal law, is strongly advised.

Proper assessment of the patient, proper prescribing practices, periodic re-evaluation of therapy, and proper dispensing and storage are appropriate measures that help to limit abuse of opioid drugs.

Risks Specific to Abuse of Oxycodone and Acetaminophen Tablets

Oxycodone and Acetaminophen Tablets are for oral use only. Abuse of Oxycodone and Acetaminophen Tablets poses a risk of overdose and death. The risk is increased with concurrent abuse of Oxycodone and Acetaminophen Tablets with alcohol and other central nervous system depressants.

Acetaminophen has been associated with cases of acute liver failure, at times resulting in liver transplant and death

Parenteral drug abuse is commonly associated with transmission of infectious diseases such as hepatitis and HIV.

Dependence

Both tolerance and physical dependence can develop during chronic opioid therapy. Tolerance is the need for increasing doses of opioids to maintain a defined effect such as analgesia (in the absence of disease progression or other external factors). Tolerance may occur to both the desired and undesired effects of drugs, and may develop at different rates for different effects.

Physical dependence results in withdrawal symptoms after abrupt discontinuation or a significant dosage reduction of a drug. Withdrawal also may be precipitated through the administration of drugs with opioid antagonist activity (e.g., naloxone, nalmefene), mixed agonist/antagonist analgesics (e.g., pentazocine, butorphanol, nalbuphine), or partial agonists (e.g., buprenorphine). Physical dependence may not occur to a clinically significant degree until after several days to weeks of continued opioid usage.

Oxycodone and Acetaminophen Tablets should not be abruptly discontinued in a physically-dependent patient [see DOSAGE AND ADMINISTRATION]. If Oxycodone and Acetaminophen Tablets is abruptly discontinued in a physically-dependent patient, a withdrawal syndrome may occur. Some or all of the following can characterize this syndrome: restlessness, lacrimation, rhinorrhea, yawning, perspiration, chills, myalgia, and mydriasis. Other signs and symptoms also may develop, including irritability, anxiety, backache, joint pain, weakness, abdominal cramps, insomnia, nausea, anorexia, vomiting, diarrhea, or increased blood pressure, respiratory rate, or heart rate.

Infants born to mothers physically dependent on opioids will also be physically dependent and may exhibit respiratory difficulties and withdrawal signs [see PRECAUTIONS; Pregnancy]. 

Warning: Addiction, Abuse, and Misuse; Life Threatening Respiratory Depression; Accidental Ingestion; Neonatal Opioid Withdrawal Syndrome, Cytochrome P450 3a4 Interaction; Hepatotoxicity, and Risks From Concomitant Use With Benzodiazepines Or Other Cns Depressants

ADDICTION, ABUSE, AND MISUSE: RISK EVALUATION AND MITIGATION STRATEGY (REMS)

Oxycodone and Acetaminophen Tablets exposes patients and other users to the risks of opioid addiction, abuse, and misuse, which can lead to overdose and death. Assess each patient’s risk prior to prescribing Oxycodone and Acetaminophen Tablets, and monitor all patients regularly for the development of these behaviors and conditions [see WARNINGS].

Opioid Analgesic Risk Evaluation and Mitigation Strategy (REMS):

To ensure that the benefits of opioid analgesics outweigh the risks of addiction, abuse, and misuse, the Food and Drug Administration (FDA) has required a REMS for these products [see Warnings]. Under the requirements of the REMS, drug companies with approved opioid analgesic products must make REMS-compliant education programs available to healthcare providers. Healthcare providers are strongly encouraged to

  • complete a REMS-compliant education program,
  • counsel patients and/or their caregivers, with every prescription, on safe use, serious risks, storage, and disposal of these products,
  • emphasize to patients and their caregivers the importance of reading the Medication Guide every time it is provided by their pharmacist, and
  • consider other tools to improve patient, household, and community safety.

Life-Threatening Respiratory Depression

Serious, life-threatening, or fatal respiratory depression may occur with use of Oxycodone and Acetaminophen Tablets. Monitor for respiratory depression, especially during initiation of Oxycodone and Acetaminophen Tablets or following a dose increase [see WARNINGS].

Accidental Ingestion

Accidental ingestion of Oxycodone and Acetaminophen Tablets, especially by children, can result in a fatal overdose of Oxycodone and Acetaminophen Tablets [see WARNINGS].

Neonatal Opioid Withdrawal Syndrome

Prolonged use of Oxycodone and Acetaminophen Tablets during pregnancy can result in neonatal opioid withdrawal syndrome, which may be life-threatening if not recognized and treated, and requires management according to protocols developed by neonatology experts. If opioid use is required for a prolonged period in a pregnant woman, advise the patient of the risk of neonatal opioid withdrawal syndrome and ensure that appropriate treatment will be available [see WARNINGS].

Cytochrome P450 3A4 Interaction

The concomitant use of Oxycodone Tablets with all cytochrome P450 3A4 inhibitors may result in an increase in oxycodone plasma concentrations, which could increase or prolong adverse reactions and may cause potentially fatal respiratory depression. In addition, discontinuation of a concomitantly used cytochrome P450 3A4 inducer may result in an increase in oxycodone plasma concentration. Monitor patients receiving Oxycodone and Acetaminophen Tablets and any CYP3A4 inhibitor or inducer [see CLINICAL PHARMACOLOGY, WARNINGS, PRECAUTIONS; Drug Interactions].

Hepatotoxicity

Acetaminophen has been associated with cases of acute liver failure, at times resulting in liver transplant and death. Most of the cases of liver injury are associated with the use of acetaminophen at doses that exceed 4000 mg per day, and often involve more than one acetaminophen-containing product.

Risks From Concomitant Use With Benzodiazepines Or Other CNS Depressants

Concomitant use of opioids with benzodiazepines or other central nervous system (CNS) depressants, including alcohol, may result in profound sedation, respiratory depression, coma, and death [see Warnings, Precautions: Drug Interactions].

Reserve concomitant prescribing of Oxycodone and Acetaminophen Tablets and benzodiazepines or other CNS depressants for use in patients for whom alternative treatment options are inadequate.

•  Limit dosages and durations to the minimum required.

•  Follow patients for signs and symptoms of respiratory depression and sedation. 


Structured Label Content

Dosage Forms and Strengths (34069-5)

HOW SUPPLIED

Oxycodone and Acetaminophen Tablets, USP:

5 mg/325 mg

White to off-white color round, biconvex tablets having break line on one side and debossed with ‘T 192’ on other side.

Bottles of 10 NDC 71205-329-10

Bottles of 28    NDC 71205-329-28

Bottles of 30    NDC 71205-329-30    

Bottles of 60    NDC 71205-329-60

Bottles of 90    NDC 71205-329-90

Store at 20° to 25°C (68° to 77°F). [see USP Controlled Room Temperature]. Protect from moisture.

Dispense in a tight, light-resistant container as defined in the USP.

Manufactured by:    

Ascent Pharmaceuticals, Inc.                                                                                                                     

Central Islip, NY 11722

Manufactured for:

Camber Pharmaceuticals, Inc.

Piscataway, NJ 08854

Repackaged by:

Proficient Rx LP

Thousand Oaks, CA 91320

Rev 02/19

Section 51945-4 (51945-4)

Oxycodone and Acetaminophen Tablets, USP

5mg*/325mg - 28 count

Warnings (WARNINGS)

Addiction, Abuse, and Misuse

Oxycodone and Acetaminophen Tablets contain oxycodone, a Schedule II controlled substance. As an opioid, Oxycodone and Acetaminophen Tablets exposes users to the risks of addiction, abuse, and misuse [see DRUG ABUSE AND DEPENDENCE].

Although the risk of addiction in any individual is unknown, it can occur in patients appropriately prescribed Oxycodone and Acetaminophen Tablets. Addiction can occur at recommended dosages and if the drug is misused or abused.

Assess each patient’s risk for opioid addiction, abuse, or misuse prior to prescribing Oxycodone and Acetaminophen Tablets, and monitor all patients receiving Oxycodone and Acetaminophen Tablets for the development of these behaviors and conditions. Risks are increased in patients with a personal or family history of substance abuse (including drug or alcohol abuse or addiction) or mental illness (e.g., major depression). The potential for these risks should not, however, prevent the proper management of pain in any given patient. Patients at increased risk may be prescribed opioids such as Oxycodone and Acetaminophen Tablets, but use in such patients necessitates intensive counseling about the risks and proper use of Oxycodone and Acetaminophen Tablets along with intensive monitoring for signs of addiction, abuse, and misuse.

Opioids are sought by drug abusers and people with addiction disorders and are subject to criminal diversion. Consider these risks when prescribing or dispensing Oxycodone and Acetaminophen Tablets.

Strategies to reduce these risks include prescribing the drug in the smallest appropriate quantity and advising the patient on the proper disposal of unused drug [see PRECAUTIONS; Information for Patients/Caregivers]. Contact local state professional licensing board or state controlled substances authority for information on how to prevent and detect abuse or diversion of this product.



Opioid Analgesic Risk Evaluation and Mitigation Strategy (REMS)

To ensure that the benefits of opioid analgesics outweigh the risks of addiction, abuse, and misuse, the Food and Drug Administration (FDA) has required a Risk Evaluation and Mitigation Strategy (REMS) for these products. Under the requirements of the REMS, drug companies with approved opioid analgesic products must make REMS-compliant education programs available to healthcare providers. Healthcare providers are strongly encouraged to do all of the following:

  • Complete a REMS-compliant education program offered by an accredited provider of continuing education (CE) or another education program that includes all the elements of the FDA Education Blueprint for Health Care Providers Involved in the Management or Support of Patients with Pain.
  • Discuss the safe use, serious risks, and proper storage and disposal of opioid analgesics with patients and/or their caregivers every time these medicines are prescribed. ThePatient Counseling Guide (PCG) can be obtained at this link: www.fda.gov/OpioidAnalgesicREMSPCG.
  • Emphasize to patients and their caregivers the importance of reading the Medication Guide that they will receive from their pharmacist every time an opioid analgesic is dispensed to them.
  • Consider using other tools to improve patient, household, and community safety, such as patient-prescriber agreements that reinforce patient-prescriber responsibilities.

To obtain further information on the opioid analgesic REMS and for a list of accredited REMS CME/CE, call 800-503-0784, or log on to www.opioidanalgesicrems.com. The FDA Blueprint can be found at www.fda.gov/OpioidAnalgesicREMSBlueprint.

Life-Threatening Respiratory Depression

Serious, life-threatening, or fatal respiratory depression has been reported with the use of opioids, even when used as recommended. Respiratory depression, if not immediately recognized and treated, may lead to respiratory arrest and death. Management of respiratory depression may include close observation, supportive measures, and use of opioid antagonists, depending on the patient’s clinical status [see OVERDOSAGE]. Carbon dioxide (CO2) retention from opioid-induced respiratory depression can exacerbate the sedating effects of opioids.

While serious, life-threatening, or fatal respiratory depression can occur at any time during the use of Oxycodone and Acetaminophen Tablets, the risk is greatest during the initiation of therapy or following a dosage increase. Monitor patients closely for respiratory depression, especially within the first 24 to 72 hours of initiating therapy with and following dosage increases of Oxycodone and Acetaminophen Tablets.

To reduce the risk of respiratory depression, proper dosing and titration of Oxycodone and Acetaminophen Tablets are essential [see DOSAGE AND ADMINISTRATION]. Overestimating the Oxycodone and Acetaminophen Tablets dosage when converting patients from another opioid product can result in a fatal overdose with the first dose.

Accidental ingestion of Oxycodone and Acetaminophen Tablets, especially by children, can result in respiratory depression and death due to an overdose of Oxycodone and Acetaminophen Tablets.

Neonatal Opioid Withdrawal Syndrome

Prolonged use of Oxycodone and Acetaminophen Tablets during pregnancy can result in withdrawal in the neonate. Neonatal opioid withdrawal syndrome, unlike opioid withdrawal syndrome in adults, may be life-threatening if not recognized and treated, and requires management according to protocols developed by neonatology experts. Observe newborns for signs of neonatal opioid withdrawal syndrome and manage accordingly. Advise pregnant women using opioids for a prolonged period of the risk of neonatal opioid withdrawal syndrome and ensure that appropriate treatment will be available [see PRECAUTIONS; Information for Patients/Caregivers, Pregnancy].

Risks of Concomitant Use or Discontinuation of Cytochrome P450 3A4 Inhibitors and Inducers

Concomitant use of Oxycodone and Acetaminophen Tablets with a CYP3A4 inhibitor, such as macrolide antibiotics (e.g., erythromycin), azole-antifungal agents (e.g., ketoconazole), and protease inhibitors (e.g., ritonavir), may increase plasma concentrations of oxycodone hydrochloride and prolong opioid adverse reactions, which may cause potentially fatal respiratory depression [see Warnings], particularly when an inhibitor is added after a stable dose of Oxycodone and Acetaminophen Tablets is achieved. Similarly, discontinuation of a CYP3A4 inducer, such as rifampin, carbamazepine, and phenytoin, in Oxycodone and Acetaminophen tablets-treated patients may increase oxycodone plasma concentrations and prolong opioid adverse reactions. When using Oxycodone and Acetaminophen Tablets with CYP3A4 inhibitors or discontinuing CYP3A4 inducers in Oxycodone and Acetaminophen Tablets-treated patients, monitor patients closely at frequent intervals and consider dosage reduction of Oxycodone and Acetaminophen Tablets until stable drug effects are achieved [see PRECAUTIONS; Drug Interactions].

Concomitant use of Oxycodone and Acetaminophen Tablets with CYP3A4 inducers or discontinuation of an CYP3A4 inhibitor could decrease oxycodone hydrochloride plasma concentrations, decrease opioid efficacy or, possibly, lead to a withdrawal syndrome in a patient who had developed physical dependence to oxycodone hydrochloride. When using Oxycodone and Acetaminophen Tablets with CYP3A4 inducers or discontinuing CYP3A4 inhibitors, monitor patients closely at frequent intervals and consider increasing the opioid dosage if needed to maintain adequate analgesia or if symptoms of opioid withdrawal occur [see PRECAUTIONS; Drug Interactions].

Risks from Concomitant Use with Benzodiazepines or Other CNS Depressants

Profound sedation, respiratory depression, coma, and death may result from the concomitant use of oxycodone and acetaminophen tablets with benzodiazepines or other CNS depressants (e.g., non-benzodiazepine sedatives/hypnotics, anxiolytics, tranquilizers, muscle relaxants, general anesthetics, antipsychotics, other opioids, alcohol). Because of these risks, reserve concomitant prescribing of these drugs for use in patients for whom alternative treatment options are inadequate.

Observational studies have demonstrated that concomitant use of opioid analgesics and benzodiazepines increases the risk of drug-related mortality compared to use of opioid analgesics alone. Because of similar pharmacological properties, it is reasonable to expect similar risk with the concomitant use of other CNS depressant drugs with opioid analgesics [ see PRECAUTIONS; Drug Interactions ].

If the decision is made to prescribe a benzodiazepine or other CNS depressant concomitantly with an opioid analgesic, prescribe the lowest effective dosages and minimum durations of concomitant use. In patients already receiving an opioid analgesic, prescribe a lower initial dose of the benzodiazepine or other CNS depressant than indicated in the absence of an opioid, and titrate based on clinical response. If an opioid analgesic is initiated in a patient already taking a benzodiazepine or other CNS depressant, prescribe a lower initial dose of the opioid analgesic, and titrate based on clinical response. Follow patients closely for signs and symptoms of respiratory depression and sedation.

Advise both patients and caregivers about the risks of respiratory depression and sedation when Oxycodone and Acetaminophen Tablets are used with benzodiazepines or other CNS depressants (including alcohol and illicit drugs). Advise patients not to drive or operate heavy machinery until the effects of concomitant use of the benzodiazepine or other CNS depressant have been determined. Screen patients for risk of substance use disorders, including opioid abuse and misuse, and warn them of the risk for overdose and death associated with the use of additional CNS depressants including alcohol and illicit drugs.

Life-Threatening Respiratory Depression in Patients with Chronic Pulmonary Disease or in Elderly, Cachectic, or Debilitated Patients

The use of Oxycodone and Acetaminophen Tablets in patients with acute or severe bronchial asthma in an unmonitored setting or in the absence of resuscitative equipment is contraindicated.

Patients with Chronic Pulmonary Disease: Oxycodone and Acetaminophen Tablets-treated patients with significant chronic obstructive pulmonary disease or cor pulmonale, and those with a substantially decreased respiratory reserve, hypoxia, hypercapnia, or pre-existing respiratory depression are at increased risk of decreased respiratory drive including apnea, even at recommended dosages of Oxycodone and Acetaminophen Tablets [see WARNINGS; Life Threatening Respiratory Depression].

Elderly, Cachetic, or Debilitated Patients: Life-threatening respiratory depression is more likely to occur in elderly, cachectic, or debilitated patients because they may have altered pharmacokinetics or altered clearance compared to younger, healthier patients [see WARNINGS; Life Threatening Respiratory Depression].

Monitor such patients closely, particularly when initiating and titrating Oxycodone and Acetaminophen Tablets and when Oxycodone and Acetaminophen Tablets are given concomitantly with other drugs that depress respiration [see WARNINGS; Life Threatening Respiratory Depression]. Alternatively, consider the use of non-opioid analgesics in these patients.

Adrenal Insufficiency

Cases of adrenal insufficiency have been reported with opioid use, more often following greater than one month of use. Presentation of adrenal insufficiency may include non-specific symptoms and signs including nausea, vomiting, anorexia, fatigue, weakness, dizziness, and low blood pressure. If adrenal insufficiency is suspected, confirm the diagnosis with diagnostic testing as soon as possible. If adrenal insufficiency is diagnosed, treat with physiologic replacement doses of corticosteroids. Wean the patient off of the opioid to allow adrenal function to recover and continue corticosteroid treatment until adrenal function recovers. Other opioids may be tried as some cases reported use of a different opioid without recurrence of adrenal insufficiency. The information available does not identify any particular opioids as being more likely to be associated with adrenal insufficiency.

Severe Hypotension

Oxycodone and Acetaminophen Tablets may cause severe hypotension including orthostatic hypotension and syncope in ambulatory patients. There is increased risk in patients whose ability to maintain blood pressure has already been compromised by a reduced blood volume or concurrent administration of certain CNS depressant drugs (e.g., phenothiazines or general anesthetics) [see PRECAUTIONS; Drug Interactions]. Monitor these patients for signs of hypotension after initiating or titrating the dosage of Oxycodone and Acetaminophen Tablets. In patients with circulatory shock Oxycodone and Acetaminophen Tablets may cause vasodilatation that can further reduce cardiac output and blood pressure. Avoid the use of Oxycodone and Acetaminophen Tablets with circulatory shock.

Hepatotoxicity

Acetaminophen has been associated with cases of acute liver failure, at times resulting in liver transplant and death. Most of the cases of liver injury are associated with the use of acetaminophen at doses that exceed 4000 milligrams per day, and often involve more than one acetaminophen-containing product. The excessive intake of acetaminophen may be intentional to cause self-harm or unintentional as patients attempt to obtain more pain relief or unknowingly take other acetaminophen-containing products.

The risk of acute liver failure is higher in individuals with underlying liver disease and in individuals who ingest alcohol while taking acetaminophen.

Instruct patients to look for acetaminophen or APAP on package labels and not to use more than one product that contains acetaminophen. Instruct patients to seek medical attention immediately upon ingestion of more than 4000 milligrams of acetaminophen per day, even if they feel well.

Serious Skin Reactions

Rarely, acetaminophen may cause serious skin reactions such as acute generalized exanthematous pustulosis (AGEP), Stevens-Johnson Syndrome (SJS), and toxic epidermal necrolysis (TEN), which can be fatal. Patients should be informed about the signs of serious skin reactions, and use of the drug should be discontinued at the first appearance of skin rash or any other sign of hypersensitivity

Hypersensitivity/Anaphylaxis

There have been post-marketing reports of hypersensitivity and anaphylaxis associated with use of acetaminophen. Clinical signs included swelling of the face, mouth, and throat, respiratory distress, urticaria, rash, pruritus, and vomiting. There were infrequent reports of life-threatening anaphylaxis requiring emergency medical attention. Instruct patients to discontinue Oxycodone and Acetaminophen Tablets immediately and seek medical care if they experience these symptoms. Do not prescribe Oxycodone and Acetaminophen Tablets for patients with acetaminophen allergy [see PRECAUTIONS; Information for Patients/Caregivers].

Risks of Use in Patients with Increased Intracranial Pressure, Brain Tumors, Head Injury, or Impaired Consciousness

In patients who may be susceptible to the intracranial effects of CO2 retention (e.g., those with evidence of increased intracranial pressure or brain tumors), Oxycodone and Acetaminophen Tablets may reduce respiratory drive, and the resultant CO2 retention can further increase intracranial pressure. Monitor such patients for signs of sedation and respiratory depression, particularly when initiating therapy with Oxycodone and Acetaminophen Tablets.

Opioids may also obscure the clinical course in a patient with a head injury. Avoid the use of Oxycodone and Acetaminophen Tablets in patients with impaired consciousness or coma.

Risks of Use in Patients with Gastrointestinal Conditions

Oxycodone and Acetaminophen Tablets are contraindicated in patients with known or suspected gastrointestinal obstruction, including paralytic ileus.

The administration of Oxycodone and Acetaminophen Tablets, or other opioids may obscure the diagnosis or clinical course in patients with acute abdominal conditions.

The oxycodone in Oxycodone and Acetaminophen Tablets may cause spasm of the sphincter of Oddi. Opioids may cause increases in serum amylase. Monitor patients with biliary tract disease, including acute pancreatitis, for worsening symptoms.

Increased Risk of Seizures in Patients with Seizure Disorders

The oxycodone in Oxycodone and Acetaminophen Tablets may increase the frequency of seizures in patients with seizure disorders, and may increase the risk of seizures occuring in other clinical settings associated with seizures. Monitor patients with a history of seizure disorders for worsened seizure control during Oxycodone and Acetaminophen Tablets therapy.

Withdrawal

Avoid the use of mixed agonist/antagonist (e.g, pentazocine, nalbuphine, and butorphanol) or partial agonist (e.g., buprenorphine) analgesics in patients who are receiving a full opioid agonist analgesic, including Oxycodone and Acetaminophen Tablets. In these patients, mixed agonist/antagonist and partial analgesics may reduce the analgesic effect and/or precipitate withdrawal symptoms.

When discontinuing Oxycodone and Acetaminophen Tablets, gradually taper the dosage [see DOSAGE AND ADMINISTRATION]. Do not abruptly discontinue Oxycodone and Acetaminophen Tablets [see DRUG ABUSE AND DEPENDENCE].

Risks of Driving and Operating Machinery

Oxycodone and Acetaminophen Tablets may impair the mental or physical abilities needed to perform potentially hazardous activities such as driving a car or operating machinery. Warn patients not to drive or operate dangerous machinery unless they are tolerant to the effects of Oxycodone and Acetaminophen Tablets and know how they will react to the medication [see PRECAUTIONS; Information for Patients/Caregivers]. 

Overdosage (OVERDOSAGE)

Following an acute overdosage, toxicity may result from the oxycodone or the acetaminophen.

Clinical Presentation

Acute overdosage with oxycodone can be manifested by respiratory depression, somnolence progressing to stupor or coma, skeletal muscle flaccidity, cold and clammy skin, constricted pupils, and, in some cases, pulmonary edema, bradycardia, hypotension, partial or complete airway obstruction, atypical snoring, and death. Marked mydriasis rather than miosis may be seen with hypoxia in overdose situations.

Acetaminophen

Dose-dependent potentially fatal hepatic necrosis is the most serious adverse effect of acetaminophen overdosage. Renal tubular necrosis, hypoglycemic coma, and coagulation defects may also occur.

Early symptoms following a potentially hepatotoxic overdose may include: nausea, vomiting, diaphoresis, and general malaise. Clinical and laboratory evidence of hepatic toxicity may not be apparent until 48 to 72 hours post-ingestion.

Treatment of Overdose

Oxycodone

In case of overdose, priorities are the reestablishment of a patent and protected airway and institution of assisted or controlled ventilation, if needed. Employ other supportive measures (including oxygen and vasopressors) in the management of circulatory shock and pulmonary edema as indicated. Cardiac arrest or arrhythmias will require advanced life-support techniques.

The opioid antagonists, naloxone or nalmefene, are specific antidotes to respiratory depression resulting from opioid overdose. For clinically significant respiratory or circulatory depression secondary to oxycodone overdose, administer an opioid antagonist. Opioid antagonists should not be administered in the absence of clinically significant respiratory or circulatory depression secondary to oxycodone overdose.

Because the duration of opioid reversal is expected to be less than the duration of action of oxycodone in Oxycodone and Acetaminophen Tablets, carefully monitor the patient until spontaneous respiration is reliably reestablished. If the response to an opioid antagonist is suboptimal or only brief in nature, administer additional antagonist as directed by the product’s prescribing information.

In an individual physically dependent on opioids, administration of the recommended usual dosage of the antagonist will precipitate an acute withdrawal syndrome. The severity of the withdrawal symptoms experienced will depend on the degree of physical dependence and the dose of the antagonist administered. If a decision is made to treat serious respiratory depression in the physically dependent patient, administration of the antagonist should be initiated with care and by titration with smaller than usual doses of the antagonist.

Acetaminophen

Gastric decontamination with activated charcoal should be administered just prior to N-acetylcysteine (NAC) to decrease systemic absorption if acetaminophen ingestion is known or suspected to have occurred within a few hours of presentation. Serum acetaminophen levels should be obtained immediately if the patient presents 4 hours or more after ingestion to assess potential risk of hepatotoxicity; acetaminophen levels drawn less than 4 hours post-ingestion may be misleading. To obtain the best possible outcome, NAC should be administered as soon as possible where impending or evolving liver injury is suspected. Intravenous NAC may be administered when circumstances preclude oral administration.

Vigorous supportive therapy is required in severe intoxication. Procedures to limit the continuing absorption of the drug must be readily performed since the hepatic injury is dose dependent and occurs early in the course of intoxication 

Description (DESCRIPTION)

Oxycodone Hydrochloride and Acetaminophen is available in tablets for oral administration.

Each tablet, for oral administration contains:

Oxycodone hydrochloride, USP ………………………………………………….        5 mg*



(*5 mg oxycodone Hydrochloride is equivalent to 4.4815 mg of oxycodone.)

Acetaminophen, USP ……………………………………………………………..         325 mg

Inactive Ingredients

The tablets contain: colloidal silicon dioxide, croscarmellose sodium, crospovidone, microcrystalline cellulose, povidone, pregelatinized starch, and stearic acid.   

Oxycodone and Acetaminophen Tablets contain oxycodone, 14-hydroxydihydrocodeinone, a semisynthetic opioid analgesic which occurs as a white to off-white fine crystalline powder. The molecular formula for oxycodone hydrochloride is C18H21NO4 ∙ HCl and the molecular weight is 381.82. It is derived from the opium alkaloid, thebaine, and may be represented by the following structural formula:

Oxycodone and Acetaminophen Tablets contain acetaminophen, 4'-hydroxyacetanilide, is a non-opiate, non-salicylate analgesic and antipyretic which occurs as a white, odorless, crystalline powder. The molecular formula for acetaminophen is C8H9NO2 and the molecular weight is 151.17. It may be represented by the following structural formula:

Precautions (PRECAUTIONS)

Information for Patients/Caregivers

Advise the patient to read the FDA-approved patient labeling (Medication Guide).

Addiction, Abuse, and Misuse

Inform patients that the use of Oxycodone and Acetaminophen Tablets, even when taken as recommended, can result in addiction, abuse, and misuse, which can lead to overdose and death [see WARNINGS]. Instruct patients not to share Oxycodone and Acetaminophen Tablets with others and to take steps to protect Oxycodone and Acetaminophen Tablets from theft or misuse.

Life-Threatening Respiratory Depression

Inform patients of the risk of life-threatening respiratory depression, including information that the risk is greatest when starting Oxycodone and Acetaminophen Tablets or when the dosage is increased, and that it can occur even at recommended dosages [see WARNINGS]. Advise patients how to recognize respiratory depression and to seek medical attention if breathing difficulties develop.

Accidental Ingestion

Inform patients that accidental ingestion, especially by children, may result in respiratory depression or death [see WARNINGS]. Instruct patients to take steps to store Oxycodone and Acetaminophen Tablets securely and to dispose of unused Oxycodone and Acetaminophen Tablets by flushing tablets down the toilet. In the case of accidental ingestions, emergency medical care should be sought immediately.

Interactions with Benzodiazepines and Other CNS Depressants

Inform patients and caregivers that potentially fatal additive effects may occur if Oxycodone and Acetaminophen Tablets are used with benzodiazepines and other CNS depressants, including alcohol, and not to use these concomitantly unless supervised by a health care provider [see WARNINGS, PRECAUTIONS; Drug Interactions].

Serotonin Syndrome

Inform patients that opioids could cause a rare but potentially life-threatening condition resulting from concomitant administration of serotonergic drugs. Warn patients of the symptoms of serotonin syndrome and to seek medical attention right away if symptoms develop. Instruct patients to inform their healthcare providers if they are taking, or plan to take serotonergic medications [see PRECAUTIONS; Drug Interactions].

Monoamine Oxidase Inhibitor (MAOI) Interaction

Inform patients to avoid taking Oxycodone and Acetaminophen Tablets while using any drugs that inhibit monoamine oxidase. Patients should not start MAOIs while taking Oxycodone and Acetaminophen Tablets [see PRECAUTIONS; Drug Interactions].

Adrenal Insufficiency

Inform patients that opioids could cause adrenal insufficiency, a potentially life-threatening condition. Adrenal insufficiency may present with non-specific symptoms and signs such as nausea, vomiting, anorexia, fatigue, weakness, dizziness, and low blood pressure. Advise patients to seek medical attention if they experience a constellation of these symptoms [see WARNINGS].

Important Administration Instructions

Instruct patients how to properly take Oxycodone and Acetaminophen Tablets [see DOSAGE AND ADMINISTRATION, WARNINGS].

Advise patients not to adjust the dose of Oxycodone and Acetaminophen Tablets without consulting with a physician or other healthcare professional.

If patients have been receiving treatment with Oxycodone and Acetaminophen Tablets for more than a few weeks and cessation of therapy is indicated, counsel them on the importance of safely tapering the dose as abrupt discontinuation of the medication could precipitate withdrawal symptoms. Provide a dose schedule to accomplish a gradual discontinuation of the medication [see DOSAGE AND ADMINISTRATION].

Maximum Daily Dose of Acetaminophen

Inform patients to not take more than 4000 milligrams of acetaminophen per day. Advise patients to call their prescriber if they take more than the recommended dose.

Hypotension

Inform patients that Oxycodone and Acetaminophen Tablets may cause orthostatic hypotension and syncope. Instruct patients how to recognize symptoms of low blood pressure and how to reduce the risk of serious consequences should hypotension occur (e.g., sit or lie down, carefully rise from a sitting or lying position) [see WARNINGS].

Anaphylaxis

Inform patients that anaphylaxis have been reported with ingredients contained in Oxycodone and Acetaminophen Tablets. Advise patients how to recognize such a reaction and when to seek medical attention [see CONTRAINDICATIONS, ADVERSE REACTIONS].

Pregnancy

Neonatal Opioid Withdrawal Syndrome

Inform female patients of reproductive potential that prolonged use of Oxycodone and Acetaminophen Tablets during pregnancy can result in neonatal opioid withdrawal syndrome, which may be life-threatening if not recognized and treated [see WARNINGS, PRECAUTIONS; Pregnancy]

Embryo-Fetal Toxicity

Inform female patients of reproductive potential that Oxycodone and Acetaminophen Tablets can cause fetal harm and to inform the healthcare provider of a known or suspected pregnancy [see PRECAUTIONS; Pregnancy].

Lactation

Advise nursing mothers to monitor infants for increased sleepiness (more than usual), breathing difficulties, or limpness. Instruct nursing mothers to seek immediate medical care if they notice these signs [see PRECAUTIONS; Nursing Mothers].

Infertility

Inform patients that chronic use of opioids may cause reduced fertility. It is not known whether these effects on fertility are reversible [see ADVERSE REACTIONS].

Driving or Operating Heavy Machinery

Inform patients that Oxycodone and Acetaminophen Tablets may impair the ability to perform potentially hazardous activities such as driving a car or operating heavy machinery. Advise patients not to perform such tasks until they know how they will react to the medication [see PRECAUTIONS].

Constipation

Advise patients of the potential for severe constipation, including management instructions and when to seek medical attention [see ADVERSE REACTIONS, CLINICAL PHARMACOLOGY].

Disposal of Unused Oxycodone and Acetaminophen Tablets

Advise patients to dispose of unused Oxycodone and Acetaminophen Tablets by flushing unused tablets down the toilet.

Laboratory Tests

Although oxycodone may cross-react with some drug urine tests, no available studies were found which determined the duration of detectability of oxycodone in urine drug screens. However, based on pharmacokinetic data, the approximate duration of detectability for a single dose of oxycodone is roughly estimated to be one to two days following drug exposure.

Urine testing for opiates may be performed to determine illicit drug use and for medical reasons such as evaluation of patients with altered states of consciousness or monitoring efficacy of drug rehabilitation efforts. The preliminary identification of opiates in urine involves the use of an immunoassay screening and thin-layer chromatography (TLC). Gas chromatography/mass spectrometry (GC/MS) may be utilized as a third-stage identification step in the medical investigational sequence for opiate testing after immunoassay and TLC. The identities of 6-keto opiates (e.g., oxycodone) can further be differentiated by the analysis of their methoximetrimethylsilyl (MO-TMS) derivative.

Drug Interactions

Inhibitors of CYP3A4 and CYP2D6

The concomitant use of Oxycodone and Acetaminophen Tablets and CYP3A4 inhibitors, such as macrolide antibiotics (e.g., erythromycin), azole-antifungal agents (e.g. ketoconazole), and protease inhibitors (e.g., ritonavir), can increase the plasma concentration of oxycodone, resulting in increased or prolonged opioid effects. These effects could be more pronounced with concomitant use of Oxycodone and Acetaminophen Tablets and CYP3A4 and CYP2D6 inhibitors, particularly when an inhibitor is added after a stable dose of Oxycodone and Acetaminophen Tablets is achieved [see WARNINGS].

After stopping a CYP3A4 inhibitor, as the effects of the inhibitor decline, the oxycodone plasma concentration will decrease [see CLINICAL PHARMACOLOGY], resulting in decreased opioid efficacy or a withdrawal syndrome in patients who had developed physical dependence to Oxycodone and Acetaminophen Tablets.

If concomitant use is necessary, consider dosage reduction of Oxycodone and Acetaminophen Tablets until stable drug effects are achieved. Monitor patients for respiratory depression and sedation at frequent intervals. If a CYP3A4 inhibitor is discontinued, consider increasing the Oxycodone and Acetaminophen Tablets dosage until stable drug effects are achieved. Monitor for signs of opioid withdrawal.

Inducers of CYP3A4

The concomitant use of Oxycodone and Acetaminophen Tablets and CYP3A4 inducers, such as rifampin, carbamazepine, and phenytoin, can decrease the plasma concentration of oxycodone [see CLINICAL PHARMACOLOGY], resulting in decreased efficacy or onset of a withdrawal syndrome in patients who have developed physical dependence to Oxycodone and Acetaminophen Tablets [see WARNINGS].

After stopping a CYP3A4 inducer, as the effects of the inducer decline, the oxycodone plasma concentration will increase [see CLINICAL PHARMACOLOGY], which could increase or prolong both the therapeutic effects and adverse reactions, and may cause serious respiratory depression.

If concomitant use is necessary, consider increasing the Oxycodone and Acetaminophen Tablets dosage until stable drug effects are achieved. Monitor for signs of opioid withdrawal. If a CYP3A4 inducer is discontinued, consider Oxycodone and Acetaminophen Tablets dosage reduction and monitor for signs of respiratory depression.

Benzodiazepines and Other CNS Depressants

Due to additive pharmacologic effect, the concomitant use of benzodiazepines and other CNS depressants such as benzodiazepines and other sedative hypnotics, anxiolytics, and tranquilizers, muscle relaxants, general anesthetics, antipsychotics, and other opioids, including alcohol, can increase the risk of hypotension, respiratory depression, profound sedation, coma, and death.

Reserve concomitant prescribing of these drugs for use in patients for whom alternative treatment options are inadequate. Limit dosages and durations to the minimum required. Follow patients closely for signs of respiratory depression and sedation [see WARNINGS].

Serotonergic Drugs

The concomitant use of opioids with other drugs that affect the serotonergic neurotransmitter system, such as selective serotonin reuptake inhibitors (SSRIs), serotonin and norepinephrine reuptake inhibitors (SNRIs), tricyclic antidepressants (TCAs), tryptans, 5-HT3 receptor antagonists, drugs that affect the serotonin neurotransmitter system (e.g., mirtazapine, trazodone, tramadol), and monoamine oxidase (MAO) inhibitors (those intended to treat psychiatric disorders and also others, such as linezolid and intravenous methylene blue), has resulted in serotonin syndrome. [see PRECAUTIONS; Information for Patients/Caregivers].

If concomitant use is warranted, carefully observe the patient, particularly during treatment initiation and dose adjustment. Discontinue Oxycodone and Acetaminophen Tablets if serotonin syndrome is suspected.

Monoamine Oxidase Inhibitors (MAOIs)

The concomitant use of opioids and MAOIs, such as phenelzine, tranylcypromine, linezolid, may manifest as serotonin syndrome or opioid toxicity (e.g., respiratory depression, coma) [see WARNINGS].

The use of Oxycodone and Acetaminophen Tablets is not recommended for patients taking MAOIs or within 14 days of stopping such treatment.

If urgent use of an opioid is necessary, use test doses and frequent titration of small doses to treat pain while closely monitoring blood pressure and signs and symptoms of CNS and respiratory depression.

Mixed Agonist/Antagonist and Partial Agonist Opioid Analgesics

The concomitant use of opioids with other opioid analgesics, such as butorphanol, nalbuphine, pentazocine, may reduce the analgesic effect of Oxycodone and Acetaminophen Tablets and/or precipitate withdrawal symptoms.

Advise patient to avoid concomitant use of these drugs.

Muscle Relaxants

Oxycodone and Acetaminophen Tablets may enhance the neuromuscular-blocking action of skeletal muscle relaxants and produce an increase in the degree of respiratory depression.

If concomitant use is warranted, monitor patients for signs of respiratory depression that may be greater than otherwise expected and decrease the dosage of Oxycodone and Acetaminophen Tablets and/or the muscle relaxant as necessary.

Diuretics

Opioids can reduce the efficacy of diuretics by inducing the release of antidiuretic hormone.

If concomitant use is warranted, monitor patients for signs of diminished diuresis and/or effects on blood pressure and increase the dosage of the diuretic as needed.

Anticholinergic Drugs

The concomitant use of anticholinergic drugs may increase risk of urinary retention and/or severe constipation, which may lead to paralytic ileus.

If concomitant use is warranted, monitor patients for signs of urinary retention or reduced gastric motility when Oxycodone and Acetaminophen Tablets are used concomitantly with anticholinergic drugs.

Alcohol, ethyl

Hepatotoxicity has occurred in chronic alcoholics following various dose levels (moderate to excessive) of acetaminophen.

Oral Contraceptives

Increase in glucuronidation resulting in increased plasma clearance and a decreased half-life of acetaminophen.

Charcoal (activated)

Reduces acetaminophen absorption when administered as soon as possible after overdose.

Beta Blockers (Propranolol)

Propranolol appears to inhibit the enzyme systems responsible for the glucuronidation and oxidation of acetaminophen. Therefore, the pharmacologic effects of acetaminophen may be increased.

Loop Diuretics

The effects of the loop diuretic may be decreased because acetaminophen may decrease renal prostaglandin excretion and decrease plasma renin activity.

Lamotrigine

Serum lamotrigine concentrations may be reduced, producing a decrease in therapeutic effects.

Probenecid

Probenecid may increase the therapeutic effectiveness of acetaminophen slightly.

Zidovudine

The pharmacologic effects of zidovudine may be decreased because of enhanced non-hepatic or renal clearance of zidovudine

Drug/Laboratory Test Interactions

Depending on the sensitivity/specificity and the test methodology, the individual components of Oxycodone and Acetaminophen Tablets may cross-react with assays used in the preliminary detection of cocaine (primary urinary metabolite, benzoylecgonine) or marijuana (cannabinoids) in human urine. A more specific alternate chemical method must be used in order to obtain a confirmed analytical result. The preferred confirmatory method is gas chromatography/mass spectrometry (GC/MS). Moreover, clinical considerations and professional judgment should be applied to any drug-of-abuse test result, particularly when preliminary positive results are used.

Acetaminophen may interfere with home blood glucose measurement systems; decreases of >20% in mean glucose values may be noted. This effect appears to be drug, concentration and system dependent.

Carcinogenesis, Mutagenesis, Impairment of Fertility

Carcinogenesis

Long-term studies to evaluate the carcinogenic potential of the combination of Oxycodone Hydrochloride and Acetaminophen have not been conducted.

Long-term studies in mice and rats have been completed by the National Toxicology Program to evaluate the carcinogenic potential of acetaminophen. In 2-year feeding studies, F344/N rats and B6C3F1 mice were fed a diet containing acetaminophen up to 6000 ppm. Female rats demonstrated equivocal evidence of carcinogenic activity based on increased incidences of mononuclear cell leukemia at 0.8 times the maximum human daily dose (MHDD) of 4 grams/day, based on a body surface area comparison. In contrast, there was no evidence of carcinogenic activity in male rats that received up to 0.7 times or mice at up to 1.2-1.4 times the MHDD, based on a body surface area comparison.

Mutagenesis

The combination of Oxycodone Hydrochloride and Acetaminophen has not been evaluated for mutagenicity. Oxycodone alone was negative in a bacterial reverse mutation assay (Ames), an in vitro chromosome aberration assay with human lymphocytes without metabolic activation and an in vivo mouse micronucleus assay. Oxycodone was clastogenic in the human lymphocyte chromosomal assay in the presence of metabolic activation and in the mouse lymphoma assay with or without metabolic activation.

In the published literature, acetaminophen has been reported to be clastogenic when administered at 1500 mg/kg/day to the rat model (3.6-times the MHDD, based on a body surface area comparison). In contrast, no clastogenicity was noted at a dose of 750 mg/kg/day (1.8-times the MHDD, based on a body surface area comparison), suggesting a threshold effect.

Impairment of Fertility

In studies conducted by the National Toxicology Program, fertility assessments with acetaminophen have been completed in Swiss CD-1 mice via a continuous breeding study. There were no effects on fertility parameters in mice consuming up to 1.7 times the MHDD of acetaminophen, based on a body surface area comparison. Although there was no effect on sperm motility or sperm density in the epididymis, there was a significant increase in the percentage of abnormal sperm in mice consuming 1.78 times the MHDD (based on a body surface comparison) and there was a reduction in the number of mating pairs producing a fifth litter at this dose, suggesting the potential for cumulative toxicity with chronic administration of acetaminophen near the upper limit of daily dosing.

Published studies in rodents report that oral acetaminophen treatment of male animals at doses that are 1.2 times the MHDD and greater (based on a body surface comparison) result in decreased testicular weights, reduced spermatogenesis, reduced fertility, and reduced implantation sites in females given the same doses. These effects appear to increase with the duration of treatment. The clinical significance of these findings is not known.

Infertility

Chronic use of opioids may cause reduced fertility in females and males of reproductive potential. It is not known whether these effects on fertility are reversible [see ADVERSE REACTIONS].

Pregnancy

Teratogenic Effects

Pregnancy Category C

Animal reproductive studies have not been conducted with Oxycodone and Acetaminophen Tablets. It is also not known whether Oxycodone and Acetaminophen Tablets can cause fetal harm when administered to a pregnant woman or can affect reproductive capacity. Oxycodone and Acetaminophen Tablets should not be given to a pregnant woman unless in the judgment of the physician, the potential benefits outweigh the possible hazards.

Nonteratogenic Effects

Fetal/Neonatal Adverse Reactions

Prolonged use of opioid analgesics during pregnancy for medical or nonmedical purposes can result in physical dependence in the neonate and neonatal opioid withdrawal syndrome shortly after birth.

Neonatal opioid withdrawal syndrome presents as irritability, hyperactivity and abnormal sleep pattern, high pitched cry, tremor, vomiting, diarrhea and failure to gain weight. The onset, duration, and severity of neonatal opioid withdrawal syndrome vary based on the specific opioid used, duration of use, timing and amount of last maternal use, and rate of elimination of the drug by the newborn. Observe newborns for symptoms of neonatal opioid withdrawal syndrome and manage accordingly [see WARNINGS].

Labor or Delivery

Opioids cross the placenta and may produce respiratory depression and psycho-physiologic effects in neonates. An opioid antagonist, such as naloxone, must be available for reversal of opioid-induced respiratory depression in the neonate. Oxycodone and Acetaminophen Tablets are not recommended for use in pregnant women during or immediately prior to labor, when other analgesic techniques are more appropriate. Opioid analgesics, including Oxycodone and Acetaminophen Tablets, can prolong labor through actions which temporarily reduce the strength, duration, and frequency of uterine contractions. However, this effect is not consistent and may be offset by an increased rate of cervical dilation, which tends to shorten labor. Monitor neonates exposed to opioid analgesics during labor for signs of excess sedation and respiratory depression.

Nursing Mothers

Ordinarily, nursing should not be undertaken while a patient is receiving Oxycodone and Acetaminophen Tablets because of the possibility of sedation and/or respiratory depression in the infant. Oxycodone is excreted in breast milk in low concentrations, and there have been rare reports of somnolence and lethargy in babies of nursing mothers taking an oxycodone/acetaminophen product. Acetaminophen is also excreted in breast milk in low concentrations.

The developmental and health benefits of breastfeeding should be considered along with the mother’s clinical need for Oxycodone and Acetaminophen Tablets and any potential adverse effects on the breastfed infant from Oxycodone and Acetaminophen Tablets or from the underlying maternal condition.

Infants exposed to Oxycodone and Acetaminophen Tablets through breast milk should be monitored for excess sedation and respiratory depression. Withdrawal symptoms can occur in breastfed infants when maternal administration of an opioid analgesic is stopped, or when breast-feeding is stopped.

Pediatric Use

Safety and effectiveness of Oxycodone and Acetaminophen Tablets in pediatric patients have not been established.

Geriatric Use

Elderly patients (aged 65 years or older) may have increased sensitivity Oxycodone and Acetaminophen Tablets. In general, use caution when selecting a dosage for an elderly patient, usually starting at the low end of the dosing range, reflecting the greater frequency of decreased hepatic, renal, or cardiac function and of concomitant disease or other drug therapy.

Respiratory depression is the chief risk for elderly patients treated with opioids, and has occurred after large initial doses were administered to patients who were not opioid-tolerant or when opioids were co-administered with other agents that depress respiration. Titrate the dosage of Oxycodone and Acetaminophen Tablets slowly in geriatric patients and monitor closely for signs of central nervous system and respiratory depression [see WARNINGS].

These drugs are known to be substantially excreted by the kidney, and the risk of adverse reactions to this drug may be greater in patients with impaired renal function. Because elderly patients are more likely to have decreased renal function, care should be taken in dose selection, and it may be useful to monitor renal function.

Hepatic Impairment

In a pharmacokinetic study of oxycodone in patients with end-stage liver disease, oxycodone plasma clearance decreased and the elimination half-life increased.

Because oxycodone is extensively metabolized in the liver, its clearance may decrease in patients with hepatic impairment. Initiate therapy in these patients with a lower than usual dosage of Oxycodone and Acetaminophen Tablets and titrate carefully. Monitor closely for adverse events such as respiratory depression, sedation, and hypotension [see Clinical Pharmacology].

Renal Impairment

In a study of patients with end stage renal impairment, mean elimination half-life was prolonged in uremic patients due to increased volume of distribution and reduced clearance. Oxycodone should be used with caution in patients with renal impairment.

Because oxycodone is known to be substantially excreted by the kidney, its clearance may decrease in patients with renal impairment. Initiate therapy with a lower than usual dosage of Oxycodone and Acetaminophen Tablets and titrate carefully. Monitor closely for adverse events such as respiratory depression, sedation, and hypotension [see Clinical Pharmacology)]

Medication Guide

Oxycodone (ox" i koe' done ) and Acetaminophen (a seet" a min' oh fen) Tablets, CII

Oxycodone and Acetaminophen Tablets are:

• A strong prescription pain medicine that contains an opioid (narcotic) that is used to manage pain, severe enough to require an opioid analgesic and for which alternative treatments are inadequate and when other pain treatments such as non-opioid pain medicines do not treat your pain well enough or you cannot tolerate them.

• An opioid pain medicine that can put you at risk for overdose and death. Even if you take your dose correctly as prescribed you are at risk for opioid addiction, abuse, and misuse that can lead to death.

Important information about Oxycodone and Acetaminophen Tablets:

Get emergency help right away if you take too much Oxycodone and Acetaminophen Tablets (overdose). When you first start taking Oxycodone and Acetaminophen Tablets, when your dose is changed, or if you take too much (overdose), serious or life-threatening breathing problems that can lead to death may occur. Taking Oxycodone and Acetaminophen Tablets with other opioid medicines, benzodiazepines, alcohol, or other central nervous system depressants (including street drugs) can cause severe drowsiness, decreased awareness, breathing problems, coma, and death.

• Never give anyone else your Oxycodone and Acetaminophen Tablets. They could die from taking it. Store Oxycodone and Acetaminophen Tablets away from children and in a safe place to prevent stealing or abuse. Selling or giving away Oxycodone and Acetaminophen Tablets are against the law.

Do not take Oxycodone and Acetaminophen Tablets if you have:

• Severe asthma, trouble breathing, or other lung problems.

• A bowel blockage or have narrowing of the stomach or intestines

• known hypersensitivity to oxycodone, acetaminophen, or any ingredient in Oxycodone and Acetaminophen Tablets

Before taking Oxycodone and Acetaminophen Tablets, tell your healthcare provider if you have a history of:

• Head injury, seizures

• Liver, kidney, thyroid problems

• Problems urinating

• Pancreas or gallbladder problems

• Abuse of street or prescription drugs, alcohol addiction, or mental health problems

Tell your healthcare provider if you are:

Pregnant or planning to become pregnant. Prolonged use of Oxycodone and Acetaminophen Tablets during pregnancy can cause withdrawal symptoms in your newborn baby that could be life-threatening if not recognized and treated.

Breastfeeding. Oxycodone and Acetaminophen Tablets passes into breast milk and may harm your baby.

• Taking prescription or over-the-counter medicines, vitamins, or herbal supplements. Taking Oxycodone and Acetaminophen Tablets with certain other medicines can cause serious side effects that could lead to death.

When taking Oxycodone and Acetaminophen Tablets:

• Do not change your dose. Take Oxycodone and Acetaminophen Tablets exactly as prescribed by your healthcare provider. Use the lowest dose possible for the shortest time needed.

• Take your prescribed dose every 6 hours as needed for pain. Do not take more than your prescribed dose. If you miss a dose, take your next dose at your usual time.

•  Call your healthcare provider if the dose you are taking does not control your pain.

•  If you have been taking Oxycodone and Acetaminophen Tablets regularly, do not stop taking Oxycodone and Acetaminophen Tablets without talking to your healthcare provider.

•  After you stop taking Oxycodone and Acetaminophen Tablets, dispose of unused tablets by flushing them down the toilet.

While taking Oxycodone and Acetaminophen Tablets DO NOT:

• Drive or operate heavy machinery, until you know how Oxycodone and Acetaminophen Tablets affects you. Oxycodone and Acetaminophen Tablets can make you sleepy, dizzy, or lightheaded.

• Drink alcohol or use prescription or over-the-counter medicines that contain alcohol. Using products containing alcohol during treatment with Oxycodone and Acetaminophen Tablets may cause you to overdose and die.

The possible side effects of Oxycodone and Acetaminophen Tablets:

• Constipation, nausea, sleepiness, vomiting, tiredness, headache, dizziness, abdominal pain. Call your healthcare provider if you have any of these symptoms and they are severe.

Get emergency medical help if you have:

• Trouble breathing, shortness of breath, fast heartbeat, chest pain, swelling of your face, tongue, or throat, extreme drowsiness, light-headedness when changing positions, feeling faint, agitation, high body temperature, trouble walking, stiff muscles, or mental changes such as confusion.

These are not all the possible side effects of Oxycodone and Acetaminophen Tablets. Call your doctor for medical advice about side effects. You may report side effects to FDA at 1-800-FDA-1088.

For more information go to dailymed.nlm.nih.gov.

Distributed by: Camber Pharmaceuticals, Inc, Piscataway, NJ 08854  or call 1-800-495-8330

Repackaged by: Proficient Rx LP, Thousand Oaks, CA 91320

This Medication Guide has been approved by the U.S. Food and Drug Administration.

Revised: 01/17

Adverse Reactions (ADVERSE REACTIONS)

The following adverse reactions have been identified during post approval use of Oxycodone and Acetaminophen Tablets. Because these reactions are reported voluntarily from a population of uncertain size, it is not always possible to reliably estimate their frequency or establish a causal relationship to drug exposure.

Serious adverse reactions that may be associated with oxycodone and acetaminophen use include respiratory depression, apnea, respiratory arrest, circulatory depression, hypotension, and shock (see OVERDOSAGE).

The most frequently observed non-serious adverse reactions include lightheadedness, dizziness, drowsiness or sedation, nausea, and vomiting. These effects seem to be more prominent in ambulatory than in nonambulatory patients, and some of these adverse reactions may be alleviated if the patient lies down. Other adverse reactions include euphoria, dysphoria, constipation, and pruritus.

Hypersensitivity reactions may include: Skin eruptions, urticarial, erythematous skin reactions. Hematologic reactions may include: thrombocytopenia, neutropenia, pancytopenia, hemolytic anemia. Rare cases of agranulocytosis has likewise been associated with acetaminophen use. In high doses, the most serious adverse effect is a dose-dependent, potentially fatal hepatic necrosis. Renal tubular necrosis and hypoglycemic coma also may occur.

Other adverse reactions obtained from postmarketing experiences with oxycodone and acetaminophen are listed by organ system and in decreasing order of severity and/or frequency as follows:

Body as a Whole: Anaphylactoid reaction, allergic reaction, malaise, asthenia, fatigue, chest pain, fever, hypothermia, thirst, headache, increased sweating, accidental overdose, non-accidental overdose

Cardiovascular: Hypotension, hypertension, tachycardia, orthostatic hypotension, bradycardia, palpitations, dysrhythmias

Central and Peripheral Nervous System: Stupor, tremor, paraesthesia, hypoaesthesia, lethargy, seizures, anxiety, mental impairment, agitation, cerebral edema, confusion, dizziness

Fluid and Electrolyte: Dehydration, hyperkalemia, metabolic acidosis, respiratory alkalosis

Gastrointestinal: Dyspepsia, taste disturbances, abdominal pain, abdominal distention, sweating increased, diarrhea, dry mouth, flatulence, gastrointestinal disorder, nausea, vomiting, pancreatitis, intestinal obstruction, ileus

Hepatic: Transient elevations of hepatic enzymes, increase in bilirubin, hepatitis, hepatic failure, jaundice, hepatotoxicity, hepatic disorder

Hearing and Vestibular: Hearing loss, tinnitus

Hematologic: Thrombocytopenia

Hypersensitivity: Acute anaphylaxis, angioedema, asthma, bronchospasm, laryngeal edema, urticaria, anaphylactoid reaction

Metabolic and Nutritional: Hypoglycemia, hyperglycemia, acidosis, alkalosis

Musculoskeletal: Myalgia, rhabdomyolysis

Ocular: Miosis, visual disturbances, red eye

Psychiatric: Drug dependence, drug abuse, insomnia, confusion, anxiety, agitation, depressed level of consciousness, nervousness, hallucination, somnolence, depression, suicide

Respiratory System: Bronchospasm, dyspnea, hyperpnea, pulmonary edema, tachypnea, aspiration, hypoventilation, laryngeal edema

Skin and Appendages: Erythema, urticaria, rash, flushing

Urogenital: Interstitial nephritis, papillary necrosis, proteinuria, renal insufficiency and failure, urinary retention

Serotonin syndrome: Cases of serotonin syndrome, a potentially life-threatening condition, have been reported during concomitant use of opioids with serotonergic drugs.

Adrenal insufficiency: Cases of adrenal insufficiency have been reported with opioid use, more often following greater than one month of use.

Anaphylaxis: Anaphylaxis has been reported with ingredients contained in Oxycodone and Acetaminophen Tablets.

Androgen deficiency: Cases of androgen deficiency have occurred with chronic use of opioids [see Clinical Pharmacology]. 

Contraindications (CONTRAINDICATIONS)

Oxycodone and Acetaminophen Tablets is contraindicated in patients with:

• Significant respiratory depression [see WARNINGS]

• Acute or severe bronchial asthma in an unmonitored setting or in the absence of resuscitative 

  equipment [see WARNINGS]

• Known or suspected gastrointestinal obstruction, including paralytic ileus [see WARNINGS]

• Hypersensitivity to oxycodone, acetaminophen, or any other component of the product (e.g.,

   anaphylaxis) [see WARNINGS, ADVERSE REACTIONS] 

Clinical Pharmacology (CLINICAL PHARMACOLOGY)

Mechanism of Action

Oxycodone is a full opioid agonist with relative selectivity for the mu-opioid receptor, although it can interact with other opioid receptors at higher doses. The principal therapeutic action of oxycodone is analgesia. Like all full opioid agonists, there is no ceiling effect for analgesia with oxycodone. Clinically, dosage is titrated to provide adequate analgesia and may be limited by adverse reactions, including respiratory and CNS depression.

The precise mechanism of the analgesic action is unknown. However, specific CNS opioid receptors for endogenous compounds with opioid-like activity have been identified throughout the brain and spinal cord and are thought to play a role in the analgesic effects of this drug.

The precise mechanism of the analgesic properties of acetaminophen is not established but is thought to involve central actions.

Pharmacodynamics

Effects on the Central Nervous System

Oxycodone produces respiratory depression by direct action on brain stem respiratory centers. The respiratory depression involves a reduction in the responsiveness of the brain stem respiratory centers to both increases in carbon dioxide tension and electrical stimulation.

Oxycodone causes miosis, even in total darkness. Pinpoint pupils are a sign of opioid overdose but are not pathognomonic (e.g., pontine lesions of hemorrhagic or ischemic origins may produce similar findings). Marked mydriasis rather than miosis may be seen due to hypoxia in overdose situations.

Therapeutic doses of acetaminophen have negligible effects on the cardiovascular or respiratory systems; however, toxic doses may cause circulatory failure and rapid, shallow breathing.

Effects on the Gastrointestinal Tract and Other Smooth Muscle

Oxycodone causes a reduction in motility associated with an increase in smooth muscle tone in the antrum of the stomach and duodenum. Digestion of food in the small intestine is delayed and propulsive contractions are decreased. Propulsive peristaltic waves in the colon are decreased, while tone may be increased to the point of spasm, resulting in constipation. Other opioid-induced effects may include a reduction in biliary and pancreatic secretions, spasm of sphincter of Oddi, and transient elevations in serum amylase.

Effects on the Cardiovascular System

Oxycodone produces peripheral vasodilation which may result in orthostatic hypotension or syncope. Manifestations of histamine release and/or peripheral vasodilation may include pruritus, flushing, red eyes, sweating, and/or orthostatic hypotension.

Effects on the Endocrine System

Opioids inhibit the secretion of adrenocorticotropic hormone (ACTH), cortisol, and luteinizing hormone (LH) in humans [see Adverse Reactions]. They also stimulate prolactin, growth hormone (GH) secretion, and pancreatic secretion of insulin and glucagon.

Chronic use of opioids may influence the hypothalamic-pituitary-gonadal axis, leading to androgen deficiency that may manifest as symptoms as low libido, impotence, erectile dysfunction, amenorrhea, or infertility. The causal role of opioids in the syndrome of hypogonadism is unknown because the various medical, physical, lifestyle, and psychological stressors that may influence gonadal hormone levels have not been adequately controlled for in studies conducted to date [see ADVERSE REACTIONS].

Effects on the Immune System

Opioids have been shown to have a variety of effects on components of the immune system. The clinical significance of these findings is unknown. Overall, the effects of opioids appear to be modestly immunosuppressive.

Concentration–Efficacy Relationships

The minimum effective analgesic concentration will vary widely among patients, especially among patients who have been previously treated with potent agonist opioids. The minimum effective analgesic concentration of oxycodone for any individual patient may increase over time due to an increase in pain, the development of a new pain syndrome, and/or the development of analgesic tolerance [see Dosage and Administration].

Concentration–Adverse Reaction Relationships

There is a relationship between increasing oxycodone plasma concentration and increasing frequency of dose-related opioid adverse reactions such as nausea, vomiting, CNS effects, and respiratory depression. In opioid-tolerant patients, the situation may be altered by the development of tolerance to opioid-related adverse reactions [see Dosage and Administration].

Pharmacokinetics

Absorption and Distribution

The mean absolute oral bioavailability of oxycodone in cancer patients was reported to be about 87%. Oxycodone has been shown to be 45% bound to human plasma proteins in vitro. The volume of distribution after intravenous administration is 211.9 ±186.6 L.

Absorption of acetaminophen is rapid and almost complete from the GI tract after oral administration. With overdosage, absorption is complete in 4 hours. Acetaminophen is relatively uniformly distributed throughout most body fluids. Binding of the drug to plasma proteins is variable; only 20% to 50% may be bound at the concentrations encountered during acute intoxication.

Metabolism and Elimination

Oxycodone

In humans, oxycodone is extensively metabolized to noroxycodone by means of CYP3A-mediated N-demethylation, oxymorphone by means of CYP2D6-mediated O-demethylation, and their glucuronides [see PRECAUTIONS; Drug Interactions].

Acetaminophen

Acetaminophen is rapidly absorbed from the gastrointestinal tract and is distributed throughout most body tissues. A small fraction (10-25%) of acetaminophen is bound to plasma proteins. The plasma half-life is 1.25 to 3 hours, but may be increased by liver damage and following overdosage. Elimination of acetaminophen is principally by liver metabolism (conjugation) and subsequent renal excretion of metabolites. Acetaminophen is primarily metabolized in the liver by first-order kinetics and involves three principal separate pathways: conjugation with glucuronide; conjugation with sulfate; and oxidation via the cytochrome, P450-dependent, mixed-function oxidase enzyme pathway to form a reactive intermediate metabolite, which conjugates with glutathione and is then further metabolized to form cysteine and mercapturic acid conjugates. The principal cytochrome P450 isoenzyme involved appears to be CYP2E1, with CYP1A2 and CYP3A4 as additional pathways. Approximately 85% of an oral dose appears in the urine within 24 hours of administration, most as the glucuronide conjugate, with small amounts of other conjugates and unchanged drug [see OVERDOSAGE] for toxicity information.

Indications and Usage (INDICATIONS AND USAGE)

Oxycodone and Acetaminophen Tablets is indicated for the management of pain severe enough to require an opioid analgesic and for which alternative treatments are inadequate.

Limitations of Use

Because of the risks of addiction, abuse, and misuse, with opioids, even at recommended doses [see WARNINGS], reserve Oxycodone and Acetaminophen Tablets for use in patients for whom alternative treatment options [e.g., non-opioid analgesics]

• Have not been tolerated, or are not expected to be tolerated,

• Have not provided adequate analgesia, or are not expected to provide adequate analgesia 

Dosage and Administration (DOSAGE AND ADMINISTRATION)

Important Dosage and Administration Instructions

Use the lowest effective dosage for the shortest duration consistent with individual patient treatment goals [see Warnings].

Initiate the dosing regimen for each patient individually, taking into account the patient's severity of pain, patient response, prior analgesic treatment experience, and risk factors for addiction, abuse, and misuse [see WARNINGS].

Monitor patients closely for respiratory depression, especially within the first 24 to 72 hours of initiating therapy and following dosage increases with Oxycodone and Acetaminophen Tablets and adjust the dosage accordingly [see WARNINGS].

Initial Dosage

Initiating Treatment with Oxycodone and Acetaminophen Tablets

The usual adult dosage is one tablet every 6 hours as needed for pain. The total daily dose of acetaminophen should not exceed 4 grams.

Strength

                        Usual Adult Dosage

Maximal Daily Dose

Oxycodone and acetaminophen tablets 5 mg/325 mg

          1 tablet every 6 hours as needed for pain              

12 Tablets

Conversion from Oxycodone Hydrochloride and Acetaminophen to Extended-Release Oxycodone

The relative bioavailability of Oxycodone and Acetaminophen Tablets compared to extended-release oxycodone is unknown, so conversion to extended-release oxycodone must be accompanied by close observation for signs of excessive sedation and respiratory depression.

Titration and Maintenance of Therapy

Individually titrate Oxycodone and Acetaminophen Tablets to a dose that provides adequate analgesia and minimizes adverse reactions. Continually reevaluate patients receiving Oxycodone and Acetaminophen Tablets to assess the maintenance of pain control and the relative incidence of adverse reactions, as well as monitoring for the development of addiction, abuse, or misuse [see WARNINGS]. Frequent communication is important among the prescriber, other members of the healthcare team, the patient, and the caregiver/family during periods of changing analgesic requirements, including initial titration.

If the level of pain increases after dosage stabilization, attempt to identify the source of increased pain before increasing the Oxycodone and Acetaminophen Tablets dosage. If unacceptable opioid-related adverse reactions are observed, consider reducing the dosage. Adjust the dosage to obtain an appropriate balance between management of pain and opioid-related adverse reactions.

Discontinuation of Oxycodone and Acetaminophen Tablets

When a patient who has been taking Oxycodone and Acetaminophen Tablets regularly and may be physically dependent no longer requires therapy with Oxycodone and Acetaminophen Tablets, use a gradual downward titration of the dosage to prevent signs and symptoms of withdrawal. Do not stop Oxycodone and Acetaminophen Tablets abruptly [see WARNINGS, DRUG ABUSE AND DEPENDENCE].

Drug Abuse and Dependence (DRUG ABUSE AND DEPENDENCE)

Controlled Substance

Oxycodone and Acetaminophen Tablets n contain oxycodone, a Schedule II controlled substance.

Abuse

Oxycodone and Acetaminophen Tablets contains oxycodone, a substance with a high potential for abuse similar to other opioids including fentanyl, hydrocodone, hydromorphone, methadone, morphine, oxymorphone, and tapentadol. Oxycodone and Acetaminophen Tablets can be abused and is subject to misuse, addiction, and criminal diversion [see WARNINGS].

All patients treated with opioids require careful monitoring for signs of abuse and addiction, since use of opioid analgesic products carries the risk of addiction even under appropriate medical use.

Prescription drug abuse is the intentional non-therapeutic use of a prescription drug, even once, for its rewarding psychological or physiological effects.

Drug addiction is a cluster of behavioral, cognitive, and physiological phenomena that develop after repeated substance use and includes: a strong desire to take the drug, difficulties in controlling its use, persisting in its use despite harmful consequences, a higher priority given to drug use than to other activities and obligations, increased tolerance, and sometimes a physical withdrawal.

“Drug-seeking” behavior is very common in persons with substance use disorders. Drug-seeking tactics include emergency calls or visits near the end of office hours, refusal to undergo appropriate examination, testing, or referral, repeated “loss” of prescriptions, tampering with prescriptions, and reluctance to provide prior medical records or contact information for other treating health care provider(s). “Doctor shopping” (visiting multiple prescribers to obtain additional prescriptions) is common among drug abusers and people suffering from untreated addiction. Preoccupation with achieving adequate pain relief can be appropriate behavior in a patient with poor pain control.

Abuse and addiction are separate and distinct from physical dependence and tolerance. Health care providers should be aware that addiction may not be accompanied by concurrent tolerance and symptoms of physical dependence in all addicts. In addition, abuse of opioids can occur in the absence of true addiction.

Oxycodone and Acetaminophen Tablets, like other opioids, can be diverted for non-medical use into illicit channels of distribution. Careful record-keeping of prescribing information, including quantity, frequency, and renewal requests, as required by state and federal law, is strongly advised.

Proper assessment of the patient, proper prescribing practices, periodic re-evaluation of therapy, and proper dispensing and storage are appropriate measures that help to limit abuse of opioid drugs.

Risks Specific to Abuse of Oxycodone and Acetaminophen Tablets

Oxycodone and Acetaminophen Tablets are for oral use only. Abuse of Oxycodone and Acetaminophen Tablets poses a risk of overdose and death. The risk is increased with concurrent abuse of Oxycodone and Acetaminophen Tablets with alcohol and other central nervous system depressants.

Acetaminophen has been associated with cases of acute liver failure, at times resulting in liver transplant and death

Parenteral drug abuse is commonly associated with transmission of infectious diseases such as hepatitis and HIV.

Dependence

Both tolerance and physical dependence can develop during chronic opioid therapy. Tolerance is the need for increasing doses of opioids to maintain a defined effect such as analgesia (in the absence of disease progression or other external factors). Tolerance may occur to both the desired and undesired effects of drugs, and may develop at different rates for different effects.

Physical dependence results in withdrawal symptoms after abrupt discontinuation or a significant dosage reduction of a drug. Withdrawal also may be precipitated through the administration of drugs with opioid antagonist activity (e.g., naloxone, nalmefene), mixed agonist/antagonist analgesics (e.g., pentazocine, butorphanol, nalbuphine), or partial agonists (e.g., buprenorphine). Physical dependence may not occur to a clinically significant degree until after several days to weeks of continued opioid usage.

Oxycodone and Acetaminophen Tablets should not be abruptly discontinued in a physically-dependent patient [see DOSAGE AND ADMINISTRATION]. If Oxycodone and Acetaminophen Tablets is abruptly discontinued in a physically-dependent patient, a withdrawal syndrome may occur. Some or all of the following can characterize this syndrome: restlessness, lacrimation, rhinorrhea, yawning, perspiration, chills, myalgia, and mydriasis. Other signs and symptoms also may develop, including irritability, anxiety, backache, joint pain, weakness, abdominal cramps, insomnia, nausea, anorexia, vomiting, diarrhea, or increased blood pressure, respiratory rate, or heart rate.

Infants born to mothers physically dependent on opioids will also be physically dependent and may exhibit respiratory difficulties and withdrawal signs [see PRECAUTIONS; Pregnancy]. 

Warning: Addiction, Abuse, and Misuse; Life Threatening Respiratory Depression; Accidental Ingestion; Neonatal Opioid Withdrawal Syndrome, Cytochrome P450 3a4 Interaction; Hepatotoxicity, and Risks From Concomitant Use With Benzodiazepines Or Other Cns Depressants (WARNING: ADDICTION, ABUSE, AND MISUSE; LIFE-THREATENING RESPIRATORY DEPRESSION; ACCIDENTAL INGESTION; NEONATAL OPIOID WITHDRAWAL SYNDROME, CYTOCHROME P450 3A4 INTERACTION; HEPATOTOXICITY, and RISKS FROM CONCOMITANT USE WITH BENZODIAZEPINES OR OTHER CNS DEPRESSANTS)

ADDICTION, ABUSE, AND MISUSE: RISK EVALUATION AND MITIGATION STRATEGY (REMS)

Oxycodone and Acetaminophen Tablets exposes patients and other users to the risks of opioid addiction, abuse, and misuse, which can lead to overdose and death. Assess each patient’s risk prior to prescribing Oxycodone and Acetaminophen Tablets, and monitor all patients regularly for the development of these behaviors and conditions [see WARNINGS].

Opioid Analgesic Risk Evaluation and Mitigation Strategy (REMS):

To ensure that the benefits of opioid analgesics outweigh the risks of addiction, abuse, and misuse, the Food and Drug Administration (FDA) has required a REMS for these products [see Warnings]. Under the requirements of the REMS, drug companies with approved opioid analgesic products must make REMS-compliant education programs available to healthcare providers. Healthcare providers are strongly encouraged to

  • complete a REMS-compliant education program,
  • counsel patients and/or their caregivers, with every prescription, on safe use, serious risks, storage, and disposal of these products,
  • emphasize to patients and their caregivers the importance of reading the Medication Guide every time it is provided by their pharmacist, and
  • consider other tools to improve patient, household, and community safety.

Life-Threatening Respiratory Depression

Serious, life-threatening, or fatal respiratory depression may occur with use of Oxycodone and Acetaminophen Tablets. Monitor for respiratory depression, especially during initiation of Oxycodone and Acetaminophen Tablets or following a dose increase [see WARNINGS].

Accidental Ingestion

Accidental ingestion of Oxycodone and Acetaminophen Tablets, especially by children, can result in a fatal overdose of Oxycodone and Acetaminophen Tablets [see WARNINGS].

Neonatal Opioid Withdrawal Syndrome

Prolonged use of Oxycodone and Acetaminophen Tablets during pregnancy can result in neonatal opioid withdrawal syndrome, which may be life-threatening if not recognized and treated, and requires management according to protocols developed by neonatology experts. If opioid use is required for a prolonged period in a pregnant woman, advise the patient of the risk of neonatal opioid withdrawal syndrome and ensure that appropriate treatment will be available [see WARNINGS].

Cytochrome P450 3A4 Interaction

The concomitant use of Oxycodone Tablets with all cytochrome P450 3A4 inhibitors may result in an increase in oxycodone plasma concentrations, which could increase or prolong adverse reactions and may cause potentially fatal respiratory depression. In addition, discontinuation of a concomitantly used cytochrome P450 3A4 inducer may result in an increase in oxycodone plasma concentration. Monitor patients receiving Oxycodone and Acetaminophen Tablets and any CYP3A4 inhibitor or inducer [see CLINICAL PHARMACOLOGY, WARNINGS, PRECAUTIONS; Drug Interactions].

Hepatotoxicity

Acetaminophen has been associated with cases of acute liver failure, at times resulting in liver transplant and death. Most of the cases of liver injury are associated with the use of acetaminophen at doses that exceed 4000 mg per day, and often involve more than one acetaminophen-containing product.

Risks From Concomitant Use With Benzodiazepines Or Other CNS Depressants

Concomitant use of opioids with benzodiazepines or other central nervous system (CNS) depressants, including alcohol, may result in profound sedation, respiratory depression, coma, and death [see Warnings, Precautions: Drug Interactions].

Reserve concomitant prescribing of Oxycodone and Acetaminophen Tablets and benzodiazepines or other CNS depressants for use in patients for whom alternative treatment options are inadequate.

•  Limit dosages and durations to the minimum required.

•  Follow patients for signs and symptoms of respiratory depression and sedation. 


Advanced Ingredient Data


Raw Label Data

All Sections (JSON)