These Highlights Do Not Include All The Information Needed To Use Follistim Aq Cartridge Safely And Effectively. See Full Prescribing Information For Follistim Aq Cartridge.

These Highlights Do Not Include All The Information Needed To Use Follistim Aq Cartridge Safely And Effectively. See Full Prescribing Information For Follistim Aq Cartridge.
SPL v10
SPL
SPL Set ID 48489027-e52b-4b10-ae74-4ba03839150c
Route
SUBCUTANEOUS
Published
Effective Date 2026-02-24
Document Type 34391-3 HUMAN PRESCRIPTION DRUG LABEL

Drug Facts

Composition & Product

Active Ingredients
Follitropin (300 [iU])
Inactive Ingredients
Benzyl Alcohol Methionine Polysorbate 20 Trisodium Citrate Dihydrate Sucrose Water Hydrochloric Acid Sodium Hydroxide

Identifiers & Packaging

Marketing Status
BLA Active Since 2023-07-24

Description

FOLLISTIM ® AQ Cartridge (follitropin beta) injection, is indicated: In Women for:

Indications and Usage

FOLLISTIM ® AQ Cartridge (follitropin beta) injection, is indicated: In Women for:

Dosage and Administration

See Dose Conversion Table 1 for FOLLISTIM AQ Cartridge with Pen Injector ( 2.1 ) In Anovulatory Women Undergoing Ovulation Induction ( 2.2 ): Starting daily dose of 50 international units of FOLLISTIM AQ Cartridge is administered subcutaneously for at least the first 7 days. The dose is increased by 25 or 50 international units at weekly intervals until follicular growth and/or serum estradiol levels indicate an adequate response. When an acceptable pre-ovulatory state is achieved, final oocyte maturation is achieved with 5,000 to 10,000 international units of urinary human chorionic gonadotropin (hCG). The woman and her partner should have intercourse daily, beginning on the day prior to the administration of hCG and until ovulation becomes apparent. In Normal Ovulatory Women Undergoing Controlled Ovarian Stimulation as Part of an In Vitro Fertilization or Intracytoplasmic Sperm Injection Cycle ( 2.3 ): Starting dose of 200 international units (actual cartridge doses) of FOLLISTIM AQ Cartridge is administered subcutaneously for at least the first 7 days of treatment. Subsequent doses can be adjusted down or up based upon ovarian response as determined by ultrasound evaluation of follicular growth and serum estradiol levels. Dosage reduction in high responders can be considered from the 6th day of treatment onward according to individual response. Final oocyte maturation is induced with a dose of 5,000-10,000 international units of urinary hCG. Oocyte (egg) retrieval is performed 34 to 36 hours later. Induction of Spermatogenesis in Men ( 2.4 ): Pretreatment with urinary hCG alone (1,500 international units twice weekly) is required. If serum testosterone levels have not normalized after 8 weeks of hCG treatment, the dose may be increased to 3,000 international units twice a week. After normalization of serum testosterone levels, administer 450 international units per week (225 international units twice weekly or 150 international units three times weekly) of FOLLISTIM AQ Cartridge subcutaneously with the same pre-treatment hCG dose used to normalize testosterone levels.

Warnings and Precautions

FOLLISTIM AQ Cartridge should be used only by physicians who are experienced in infertility treatment. FOLLISTIM AQ Cartridge contains a potent gonadotropic substance capable of causing Ovarian Hyperstimulation Syndrome (OHSS) [see Warnings and Precautions (5.2) ] with or without pulmonary or vascular complications [see Warnings and Precautions (5.3) ] and multiple births [see Warnings and Precautions (5.5) ] . Gonadotropin therapy requires the availability of appropriate monitoring facilities [see Warnings and Precautions (5.10) ] . Careful attention should be given to the diagnosis of infertility and in the selection of candidates for FOLLISTIM AQ Cartridge therapy [see Indications and Usage (1.1 , 1.2 , 1.3) and Dosage and Administration (2.2 , 2.3 , 2.4) ] . Switching to FOLLISTIM AQ Cartridge from other brands (manufacturer), types (recombinant, urinary), and/or methods of administration (FOLLISTIM Pen, conventional syringe) may necessitate an adjustment of the dose [see Dosage and Administration (2) ] .

Contraindications

FOLLISTIM AQ Cartridge is contraindicated in women and men who exhibit: Prior hypersensitivity to recombinant hFSH products or any component of FOLLISTIM AQ Cartridge. Reactions including anaphylaxis have been reported [see Adverse Reactions (6.2) ] High levels of FSH indicating primary gonadal failure Presence of uncontrolled non-gonadal endocrinopathies (e.g., thyroid, adrenal, or pituitary disorders) [see Indications and Usage (1.1 , 1.2 , 1.3) ] Hypersensitivity reactions to streptomycin or neomycin. FOLLISTIM AQ may contain traces of these antibiotics Tumors of the ovary, breast, uterus, testis, hypothalamus or pituitary gland FOLLISTIM AQ Cartridge is also contraindicated in women who exhibit: Pregnancy [see Use in Specific Populations (8.1) ] Heavy or irregular vaginal bleeding of undetermined origin Ovarian cysts or enlargement not due to polycystic ovary syndrome (PCOS)

Adverse Reactions

The following serious adverse reactions are discussed elsewhere in the labeling: Abnormal Ovarian Enlargement [see Warnings and Precautions (5.1) ] Ovarian Hyperstimulation Syndrome [see Warnings and Precautions (5.2) ] Atelectasis [see Warnings and Precautions (5.3) ] Thromboembolism [see Warnings and Precautions (5.3) ] Ovarian Torsion [see Warnings and Precautions (5.4) ] Multi-fetal Gestation and Birth [see Warnings and Precautions (5.5) ] Congenital Anomalies [see Warnings and Precautions (5.6) ] Ectopic Pregnancy [see Warnings and Precautions (5.7) ] Spontaneous Abortion [see Warnings and Precautions (5.8) ] Ovarian Neoplasms [see Warnings and Precautions (5.9) ]

Drug Interactions

No drug-drug interaction studies have been performed.

Storage and Handling

FOLLISTIM AQ Cartridge (follitropin beta) injection is a clear and colorless solution in a disposable, prefilled single-patient-use glass cartridge with grey rubber piston and an aluminum crimp-cap with grey rubber inlay supplied in a box containing disposable, 29 gauge, ultra-fine, ½-inch, sterile BD Micro-Fine™ Pen Needles (for use with FOLLISTIM Pen available separately) and in the following presentations: NDC 78206-129-01 FOLLISTIM AQ Cartridge 300 international units per 0.36 mL with silver crimp-caps and 5 BD Micro-Fine Pen Needles NDC 78206-130-01 FOLLISTIM AQ Cartridge 600 international units per 0.72 mL with gold crimp-caps and 7 BD Micro-Fine Pen Needles NDC 78206-131-01 FOLLISTIM AQ Cartridge 900 international units per 1.08 mL with blue crimp-caps and 10 BD Micro-Fine Pen Needles

How Supplied

FOLLISTIM AQ Cartridge (follitropin beta) injection is a clear and colorless solution in a disposable, prefilled single-patient-use glass cartridge with grey rubber piston and an aluminum crimp-cap with grey rubber inlay supplied in a box containing disposable, 29 gauge, ultra-fine, ½-inch, sterile BD Micro-Fine™ Pen Needles (for use with FOLLISTIM Pen available separately) and in the following presentations: NDC 78206-129-01 FOLLISTIM AQ Cartridge 300 international units per 0.36 mL with silver crimp-caps and 5 BD Micro-Fine Pen Needles NDC 78206-130-01 FOLLISTIM AQ Cartridge 600 international units per 0.72 mL with gold crimp-caps and 7 BD Micro-Fine Pen Needles NDC 78206-131-01 FOLLISTIM AQ Cartridge 900 international units per 1.08 mL with blue crimp-caps and 10 BD Micro-Fine Pen Needles


Medication Information

Warnings and Precautions

FOLLISTIM AQ Cartridge should be used only by physicians who are experienced in infertility treatment. FOLLISTIM AQ Cartridge contains a potent gonadotropic substance capable of causing Ovarian Hyperstimulation Syndrome (OHSS) [see Warnings and Precautions (5.2) ] with or without pulmonary or vascular complications [see Warnings and Precautions (5.3) ] and multiple births [see Warnings and Precautions (5.5) ] . Gonadotropin therapy requires the availability of appropriate monitoring facilities [see Warnings and Precautions (5.10) ] . Careful attention should be given to the diagnosis of infertility and in the selection of candidates for FOLLISTIM AQ Cartridge therapy [see Indications and Usage (1.1 , 1.2 , 1.3) and Dosage and Administration (2.2 , 2.3 , 2.4) ] . Switching to FOLLISTIM AQ Cartridge from other brands (manufacturer), types (recombinant, urinary), and/or methods of administration (FOLLISTIM Pen, conventional syringe) may necessitate an adjustment of the dose [see Dosage and Administration (2) ] .

Indications and Usage

FOLLISTIM ® AQ Cartridge (follitropin beta) injection, is indicated: In Women for:

Dosage and Administration

See Dose Conversion Table 1 for FOLLISTIM AQ Cartridge with Pen Injector ( 2.1 ) In Anovulatory Women Undergoing Ovulation Induction ( 2.2 ): Starting daily dose of 50 international units of FOLLISTIM AQ Cartridge is administered subcutaneously for at least the first 7 days. The dose is increased by 25 or 50 international units at weekly intervals until follicular growth and/or serum estradiol levels indicate an adequate response. When an acceptable pre-ovulatory state is achieved, final oocyte maturation is achieved with 5,000 to 10,000 international units of urinary human chorionic gonadotropin (hCG). The woman and her partner should have intercourse daily, beginning on the day prior to the administration of hCG and until ovulation becomes apparent. In Normal Ovulatory Women Undergoing Controlled Ovarian Stimulation as Part of an In Vitro Fertilization or Intracytoplasmic Sperm Injection Cycle ( 2.3 ): Starting dose of 200 international units (actual cartridge doses) of FOLLISTIM AQ Cartridge is administered subcutaneously for at least the first 7 days of treatment. Subsequent doses can be adjusted down or up based upon ovarian response as determined by ultrasound evaluation of follicular growth and serum estradiol levels. Dosage reduction in high responders can be considered from the 6th day of treatment onward according to individual response. Final oocyte maturation is induced with a dose of 5,000-10,000 international units of urinary hCG. Oocyte (egg) retrieval is performed 34 to 36 hours later. Induction of Spermatogenesis in Men ( 2.4 ): Pretreatment with urinary hCG alone (1,500 international units twice weekly) is required. If serum testosterone levels have not normalized after 8 weeks of hCG treatment, the dose may be increased to 3,000 international units twice a week. After normalization of serum testosterone levels, administer 450 international units per week (225 international units twice weekly or 150 international units three times weekly) of FOLLISTIM AQ Cartridge subcutaneously with the same pre-treatment hCG dose used to normalize testosterone levels.

Contraindications

FOLLISTIM AQ Cartridge is contraindicated in women and men who exhibit: Prior hypersensitivity to recombinant hFSH products or any component of FOLLISTIM AQ Cartridge. Reactions including anaphylaxis have been reported [see Adverse Reactions (6.2) ] High levels of FSH indicating primary gonadal failure Presence of uncontrolled non-gonadal endocrinopathies (e.g., thyroid, adrenal, or pituitary disorders) [see Indications and Usage (1.1 , 1.2 , 1.3) ] Hypersensitivity reactions to streptomycin or neomycin. FOLLISTIM AQ may contain traces of these antibiotics Tumors of the ovary, breast, uterus, testis, hypothalamus or pituitary gland FOLLISTIM AQ Cartridge is also contraindicated in women who exhibit: Pregnancy [see Use in Specific Populations (8.1) ] Heavy or irregular vaginal bleeding of undetermined origin Ovarian cysts or enlargement not due to polycystic ovary syndrome (PCOS)

Adverse Reactions

The following serious adverse reactions are discussed elsewhere in the labeling: Abnormal Ovarian Enlargement [see Warnings and Precautions (5.1) ] Ovarian Hyperstimulation Syndrome [see Warnings and Precautions (5.2) ] Atelectasis [see Warnings and Precautions (5.3) ] Thromboembolism [see Warnings and Precautions (5.3) ] Ovarian Torsion [see Warnings and Precautions (5.4) ] Multi-fetal Gestation and Birth [see Warnings and Precautions (5.5) ] Congenital Anomalies [see Warnings and Precautions (5.6) ] Ectopic Pregnancy [see Warnings and Precautions (5.7) ] Spontaneous Abortion [see Warnings and Precautions (5.8) ] Ovarian Neoplasms [see Warnings and Precautions (5.9) ]

Drug Interactions

No drug-drug interaction studies have been performed.

Storage and Handling

FOLLISTIM AQ Cartridge (follitropin beta) injection is a clear and colorless solution in a disposable, prefilled single-patient-use glass cartridge with grey rubber piston and an aluminum crimp-cap with grey rubber inlay supplied in a box containing disposable, 29 gauge, ultra-fine, ½-inch, sterile BD Micro-Fine™ Pen Needles (for use with FOLLISTIM Pen available separately) and in the following presentations: NDC 78206-129-01 FOLLISTIM AQ Cartridge 300 international units per 0.36 mL with silver crimp-caps and 5 BD Micro-Fine Pen Needles NDC 78206-130-01 FOLLISTIM AQ Cartridge 600 international units per 0.72 mL with gold crimp-caps and 7 BD Micro-Fine Pen Needles NDC 78206-131-01 FOLLISTIM AQ Cartridge 900 international units per 1.08 mL with blue crimp-caps and 10 BD Micro-Fine Pen Needles

How Supplied

FOLLISTIM AQ Cartridge (follitropin beta) injection is a clear and colorless solution in a disposable, prefilled single-patient-use glass cartridge with grey rubber piston and an aluminum crimp-cap with grey rubber inlay supplied in a box containing disposable, 29 gauge, ultra-fine, ½-inch, sterile BD Micro-Fine™ Pen Needles (for use with FOLLISTIM Pen available separately) and in the following presentations: NDC 78206-129-01 FOLLISTIM AQ Cartridge 300 international units per 0.36 mL with silver crimp-caps and 5 BD Micro-Fine Pen Needles NDC 78206-130-01 FOLLISTIM AQ Cartridge 600 international units per 0.72 mL with gold crimp-caps and 7 BD Micro-Fine Pen Needles NDC 78206-131-01 FOLLISTIM AQ Cartridge 900 international units per 1.08 mL with blue crimp-caps and 10 BD Micro-Fine Pen Needles

Description

FOLLISTIM ® AQ Cartridge (follitropin beta) injection, is indicated: In Women for:

Section 42229-5

For Women:

In most instances, treatment with FOLLISTIM AQ Cartridge will result only in follicular growth and maturation. In order to complete the final phase of follicular maturation and to induce ovulation, hCG must be given following the administration of FOLLISTIM AQ Cartridge or when clinical assessment indicates that sufficient follicular maturation has occurred. The degree of follicular maturation and the timing of hCG administration can both be determined with the use of sonographic visualization of the ovaries and endometrial lining in conjunction with measurement of serum estradiol levels. The combination of transvaginal ultrasonography and measurement of serum estradiol levels is also useful for minimizing the risk of OHSS and multi-fetal gestations.

The clinical confirmation of ovulation is obtained by the following direct or indirect indices of progesterone production as well as sonographic evidence of ovulation.

Direct or indirect indices of progesterone production are:

  • Urinary or serum luteinizing hormone (LH) rise
  • A rise in basal body temperature
  • Increase in serum progesterone
  • Menstruation following the shift in basal body temperature

The following provide sonographic evidence of ovulation:

  • Collapsed follicle
  • Fluid in the cul-de-sac
  • Features consistent with corpus luteum formation

Sonographic evaluation of the early pregnancy is also important to rule out ectopic pregnancy.

Section 42230-3
This Patient Information has been approved by the U.S. Food and Drug Administration Revised: February 2026
PATIENT INFORMATION

FOLLISTIM
® (Fol-lis-tim) AQ Cartridge

(follitropin beta)

injection, for subcutaneous use
Read this Patient Information before you start using FOLLISTIM® AQ Cartridge and each time you get a refill. There may be new information. This information does not take the place of talking with your healthcare provider about your medical condition or treatment.
What is FOLLISTIM AQ Cartridge?

FOLLISTIM AQ Cartridge is a prescription medicine that contains follicle-stimulating hormone (FSH). The medicine is taken with the FOLLISTIM Pen.

FOLLISTIM AQ Cartridge is used:

In women:
  • to help healthy ovaries to develop (mature) and release eggs
  • as part of Assisted Reproductive Treatment programs that use special techniques (skills) to help women get pregnant by causing their ovaries to produce more mature eggs
In men:
  • to help produce and develop mature sperm
FOLLISTIM AQ Cartridge is not for use in children.
Do not use FOLLISTIM AQ Cartridge if you are a woman or man who:
  • is allergic to recombinant human FSH products or any of the ingredients in FOLLISTIM AQ Cartridge. See the end of this leaflet for a complete list of ingredients in FOLLISTIM AQ Cartridge.
  • has a high level of FSH in your blood that show your ovaries (women only) or testes (men only) may be permanently damaged and do not work at all.
  • has uncontrolled thyroid, adrenal, or pituitary problems.
  • is allergic to streptomycin or neomycin which are antibiotics that may be found in small amounts in FOLLISTIM AQ Cartridge.
  • has a tumor in your sex organs (uterus, ovaries, breasts, testes).
  • has a tumor in your brain (hypothalamus), or in your pituitary gland.
Do not use FOLLISTIM AQ Cartridge if you are a woman that:
  • is pregnant or thinks they may be pregnant.
  • has abnormal bleeding from your uterus or vagina from an unknown cause.
  • has or have had ovarian cysts or large ovaries from an unknown cause.
Before using FOLLISTIM AQ Cartridge, tell your healthcare provider about all of your medical conditions, including if you:
  • have an increased risk of blood clots (thrombosis).
  • have ever had a blood clot (thrombosis), or anyone in your immediate family has ever had a blood clot (thrombosis).
  • had stomach (abdominal) surgery.
  • had twisting of your ovary (ovarian torsion).
  • have polycystic ovary disease.
  • are pregnant or think you may be pregnant. Your healthcare provider will give you a pregnancy test before you start using FOLLISTIM AQ Cartridge. FOLLISTIM AQ Cartridge is not for pregnant women.
  • are breastfeeding or plan to breastfeed. It is not known if the medicine in FOLLISTIM AQ Cartridge passes into your breast milk. You and your healthcare provider should decide if you will take FOLLISTIM AQ Cartridge or breastfeed.
Tell your healthcare provider about all the medicines you take, including prescription and non-prescription medicines, vitamins, and herbal supplements. Keep a list of your medicines and show it to your healthcare provider and pharmacist when you get a new medicine.
How should I use FOLLISTIM AQ Cartridge?
  • Read the Instructions for Use that comes with FOLLISTIM AQ Cartridge about the right way to use FOLLISTIM AQ Cartridge.
  • Use FOLLISTIM AQ Cartridge exactly as your healthcare provider tells you to.
  • FOLLISTIM AQ Cartridge is injected subcutaneously (beneath the skin) only.
  • Your healthcare provider will tell you how much FOLLISTIM AQ Cartridge to use, how to inject it, and how often it should be injected.
  • Use FOLLISTIM AQ Cartridge only with the FOLLISTIM Pen.
  • FOLLISTIM Pen is not recommended for use if you are blind or visually impaired without the help of a person trained to use the pen.
  • Do not inject FOLLISTIM AQ Cartridge at home until your healthcare provider has taught you the right way to put the FOLLISTIM AQ Cartridge and FOLLISTIM Pen device together and to inject yourself.
  • Do not add any other medicines into the FOLLISTIM AQ Cartridge.
  • Do not change your dose of FOLLISTIM AQ Cartridge unless your healthcare provider tells you to.
  • Call your healthcare provider immediately if you use too much FOLLISTIM AQ Cartridge.
  • If you miss or forget to take a dose, do not double your next dose. Ask your healthcare provider for instructions.
  • Do not re-use the Pen Needle.
  • Your healthcare provider will do blood and urine hormone tests while you are using FOLLISTIM AQ Cartridge. Make sure you follow-up with your healthcare provider to have your blood and urine tested when told to do so.
Women:
  • Your healthcare provider may do ultrasound scans of your ovaries. Make sure you follow-up with your healthcare provider to have your ultrasound scans.
Men:
  • Your healthcare provider may test your semen while you are using FOLLISTIM AQ Cartridge. Make sure you follow-up with your healthcare provider to give a semen sample for testing.
What are the possible side effects of FOLLISTIM AQ Cartridge?

FOLLISTIM AQ Cartridge may cause serious side effects in women, including:
  • Ovarian enlargement. FOLLISTIM AQ may cause your ovaries to be abnormally large. Symptoms of large ovaries include bloating or pain in your lower stomach (pelvic) area.
  • Ovarian hyperstimulation syndrome (OHSS). OHSS is a serious side effect that can happen when the ovaries produce too many eggs (overstimulated). In rare cases it has caused death. OHSS causes fluid to build up suddenly in your stomach and chest areas and can cause blood clots to form. OHSS may also happen after you stop using FOLLISTIM AQ Cartridge. Stop using FOLLISTIM AQ Cartridge and call your healthcare provider right away if you have symptoms of OHSS, including:
  • severe lower stomach (pelvic) area pain
  • nausea
  • vomiting
  • weight gain
  • stomach (abdomen) pain
  • bloating
  • diarrhea
  • trouble breathing
  • decreased urine output
  • Lung problems. FOLLISTIM AQ Cartridge may cause you to have fluid in your lungs (atelectasis) and trouble breathing (acute respiratory distress syndrome).
  • Blood clots. FOLLISTIM AQ Cartridge may increase your chance of having blood clots in your blood vessels. Blood clots can cause:
    • blood vessel problems (thrombophlebitis)
    • stroke
    • loss of your arm or leg
    • blood clot in your lungs (pulmonary embolus)
    • heart attack
  • Ovarian torsion. FOLLISTIM AQ Cartridge may increase the chance of twisting of the ovaries in women with certain conditions such as OHSS, pregnancy and previous abdominal surgery. Twisting of the ovary could cause the blood flow to the ovary to be cut off.
  • Pregnancy and birth of multiple babies. Having a pregnancy with more than one baby at a time increases the health risk for you and your babies. Discuss your chances of multiple births with your healthcare provider.
  • Birth defects. A woman’s age, certain sperm problems, genetic background of both parents and a pregnancy with multiple babies can increase the chance that your baby might have birth defects.
  • Ectopic pregnancy (pregnancy outside of the womb). The chance of a pregnancy outside of the womb is increased in women with damaged fallopian tubes.
  • Miscarriage. The chance of loss of an early pregnancy may be increased in women who have difficulty with becoming pregnant at all.
  • Tumors of the ovary. There have been infrequent reports of ovarian tumors in women who have had multiple ovarian stimulation treatments, however there is no confirmed direct link with FOLLISTIM AQ Cartridge.
The most common side effects of FOLLISTIM AQ Cartridge include:

In women:
  • cyst (closed sac) in the ovary
  • stomach discomfort or pain
  • discomfort or pain in the lower stomach (pelvic) area
  • headache
  • nausea
  • feeling tired
In men:
  • headache
  • acne
  • pain at the injection site
  • bruising, swelling or redness at the injection site
  • breast enlargement
  • rash
  • testicular dermoid cyst (closed sac under the skin)
Tell your healthcare provider if you have any side effects that bothers you or that does not go away.



These are not all the possible side effects of FOLLISTIM AQ Cartridge. For more information, ask your healthcare provider or pharmacist. Call your doctor for medical advice about side effects. You may report side effects to FDA at 1-800-FDA-1088.
How should I store FOLLISTIM AQ Cartridge?
  • Store unused FOLLISTIM AQ Cartridge in the refrigerator between 36°F to 46°F (2°C to 8°C) until the expiration date, or at room temperature up to 77°F (25°C) for 3 months or until the expiration date, whichever comes first.
  • After first use store FOLLISTIM AQ Cartridge either in the refrigerator or at room temperature between 36°F to 77°F (2°C to 25°C) and throw away (discard) after 28 days.
  • Keep FOLLISTIM AQ Cartridge in the original carton to protect from light.
  • Do not freeze.
Keep FOLLISTIM AQ Cartridge and all medicines out of the reach of children.
General information about the safe and effective use of FOLLISTIM AQ Cartridge.

Medicines are sometimes prescribed for purposes other than those listed in the Patient Information leaflet. Do not use FOLLISTIM AQ Cartridge for a condition for which it was not prescribed. Do not give FOLLISTIM AQ Cartridge to other people, even if they have the same condition that you have. It may harm them. You can ask your pharmacist or healthcare provider for more information about FOLLISTIM AQ Cartridge that is written for healthcare professionals.
What are the ingredients in FOLLISTIM AQ Cartridge?

Active ingredient: follitropin beta



Inactive ingredients: benzyl alcohol, methionine, polysorbate 20, sodium citrate, sucrose, Water for Injection USP. Hydrochloric acid NF and/or sodium hydroxide NF are used to adjust the pH.



 Manufactured by: Organon USA LLC, a subsidiary of

 ORGANON & Co.,

 Jersey City, NJ 07302, USA

U.S. License No. 2331

BD, BD Logo and BD Micro-Fine are trademarks of Becton, Dickinson and Company.

For patent information: www.organon.com/our-solutions/patent/

© 2026 Organon group of companies. All rights reserved.

For more information, go to www.follistim.com or call 1-844-674-3200.

usppi-og8328-SOi-2602r002
Section 44425-7

Pharmacy Storage: Store refrigerated 36°F to 46°F (2°C to 8°C) until dispensed. Do not freeze.

Patient Storage: Store unused cartridge refrigerated at 36°F to 46°F (2°C to 8°C) until the expiration date, or at room temperature at up to 77°F (25°C) for 3 months or until expiration date, whichever occurs first. After first use, store at 36°F to 77°F (2°C to 25°C) and discard after 28 days. Store in the original carton to protect from light. Do not freeze.

Section 51945-4

PRINCIPAL DISPLAY PANEL - 300 IU Kit Carton

NDC 78206-129-01

Rx only

Follistim® AQ Cartridge 300 IU

(follitropin beta) injection

For use only with Follistim Pen®,

available separately

For Subcutaneous Use

For Single Patient Use Only

Contents:

1 Sterile Prefilled Cartridge containing 0.36 mL Follistim®

5 BD Micro-Fine™ Pen Needles

Dispense with Full Prescribing Information

10 Overdosage

Aside from the possibility of Ovarian Hyperstimulation Syndrome [see Warnings and Precautions (5.2, 5.3)] and multiple gestations [see Warnings and Precautions (5.5)], there is no additional information concerning the consequences of acute overdosage with FOLLISTIM AQ Cartridge.

8.1 Pregnancy

Risk Summary

FOLLISTIM AQ Cartridge is contraindicated for use in pregnant women.

The incidence of congenital malformations after some Assisted Reproductive Technology, specifically in vitro fertilization (IVF) or intracytoplasmic sperm injection (ICSI)], may be slightly higher than that after spontaneous conception. This slightly higher incidence is thought to be related to differences in parental characteristics (e.g., maternal age, maternal and paternal genetic background, sperm characteristics) and to a higher incidence of multi-fetal gestations after IVF or ICSI [see Warnings and Precautions (5.6)]. There is no human data that the use of gonadotropins (including FOLLISTIM AQ Cartridge) alone or as part of IVF or ICSI cycles, increases the risk of congenital malformations.

The risk of spontaneous abortion (miscarriage) is increased in women who have used gonadotropins products to achieve pregnancy [see Warnings and Precautions (5.8)].

In the US general population, the estimated background risk of major birth defects and miscarriage in clinically recognized pregnancies is 2 to 4% and 15 to 20%, respectively.

8.2 Lactation

Risk Summary

It is not known whether this drug is excreted in human milk. The developmental and health benefits of breastfeeding should be considered along with the mother’s clinical need for FOLLISTIM AQ Cartridge and any potential adverse effects on the breastfed child from FOLLISTIM AQ Cartridge or from the underlying maternal condition.

11 Description

Follitropin beta, a gonadotropin [human follicle-stimulating hormone (hFSH)], is a glycoprotein hormone produced by recombinant DNA technology in a Chinese hamster ovary (CHO) cell line. It has a dimeric structure containing two glycoprotein subunits (alpha and beta). The alpha and beta subunits have 92 and 111 amino acids, respectively, and their primary and tertiary structures are indistinguishable from that of hFSH. The molecular weight is approximately 40 kDa.

FOLLISTIM AQ Cartridge (follitropin beta) injection is a sterile clear and colorless solution, containing either 300 International Units, 600 International Units, or 900 International Units of follitropin beta in disposable single-patient-use cartridges for subcutaneous use only with the FOLLISTIM Pen.

Each cartridge delivers 300 International Units in 0.36 mL and the inactive ingredients: benzyl alcohol (3.6 mg; preservative), methionine (0.18 mg), polysorbate 20 (0.072 mg), sodium citrate (4.64 mg), sucrose (18 mg), and Water for Injection USP. Hydrochloric acid NF and/or sodium hydroxide NF are used to adjust the pH to 7.

Each cartridge delivers 600 International Units in 0.72 mL and the inactive ingredients: benzyl alcohol (7.2 mg; preservative), methionine (0.36 mg), polysorbate 20 (0.144 mg), sodium citrate (9.3 mg), sucrose (36 mg), and Water for Injection USP. Hydrochloric acid NF and/or sodium hydroxide NF are used to adjust the pH to 7.

Each cartridge delivers 900 International Units in 1.08 mL and the inactive ingredients: benzyl alcohol (10.8 mg; preservative), methionine (0.54 mg), polysorbate 20 (0.216 mg), sodium citrate (13.9 mg), sucrose (54 mg), and Water for Injection USP. Hydrochloric acid NF and/or sodium hydroxide NF are used to adjust the pH to 7.

Under current storage conditions, FOLLISTIM AQ may contain up to 11% of oxidized follitropin beta.

8.4 Pediatric Use

FOLLISTIM AQ Cartridge is not indicated for use in pediatric patients. Clinical studies have not been conducted in the pediatric population.

8.5 Geriatric Use

Clinical studies of FOLLISTIM AQ Cartridge have not been conducted in patients 65 years of age and older.

5.11 Follistim Pen

The FOLLISTIM Pen is intended only for use with FOLLISTIM AQ Cartridge. The FOLLISTIM Pen is not recommended for the blind or visually impaired without the assistance of an individual with good vision who is trained in the proper use of the injection device.

4 Contraindications

FOLLISTIM AQ Cartridge is contraindicated in women and men who exhibit:

  • Prior hypersensitivity to recombinant hFSH products or any component of FOLLISTIM AQ Cartridge. Reactions including anaphylaxis have been reported [see Adverse Reactions (6.2)]
  • High levels of FSH indicating primary gonadal failure
  • Presence of uncontrolled non-gonadal endocrinopathies (e.g., thyroid, adrenal, or pituitary disorders) [see Indications and Usage (1.1, 1.2, 1.3)]
  • Hypersensitivity reactions to streptomycin or neomycin. FOLLISTIM AQ may contain traces of these antibiotics
  • Tumors of the ovary, breast, uterus, testis, hypothalamus or pituitary gland

FOLLISTIM AQ Cartridge is also contraindicated in women who exhibit:

  • Pregnancy [see Use in Specific Populations (8.1)]
  • Heavy or irregular vaginal bleeding of undetermined origin
  • Ovarian cysts or enlargement not due to polycystic ovary syndrome (PCOS)
5.4 Ovarian Torsion

Ovarian torsion has been reported after treatment with FOLLISTIM AQ Cartridge and after intervention with other gonadotropins. This may be related to OHSS, pregnancy, previous abdominal surgery, past history of ovarian torsion, previous or current ovarian cyst and polycystic ovaries. Damage to the ovary due to reduced blood supply can be limited by early diagnosis and immediate detorsion.

6 Adverse Reactions

The following serious adverse reactions are discussed elsewhere in the labeling:

7 Drug Interactions

No drug-drug interaction studies have been performed.

12.3 Pharmacokinetics

Pharmacokinetic parameters for FOLLISTIM AQ Cartridge were evaluated in an open-label, single-center, randomized study in 20 healthy women. Serum FSH values from a single subcutaneous injection of reconstituted FOLLISTIM lyophilized powder administered by conventional syringe were compared to those values following a single subcutaneous injection of FOLLISTIM AQ Cartridge administered with the FOLLISTIM Pen injector. Administration of follitropin beta with the FOLLISTIM Pen resulted an 18% increase in AUC0–∞ and Cmax. The 18% difference in serum FSH concentrations resulting from administration of the two formulations was due to differences between the anticipated and actual volume delivered with the conventional syringe. The pharmacokinetic parameters for FOLLISTIM AQ Cartridge are as follows:

Table 5: Mean (SD) Pharmacokinetic Parameters of a Single Subcutaneous Injection of 150 IU of FOLLISTIM AQ Cartridge (n=20)
AUC0–∞

(IU/L*h)
Cmax

(IU/L)
tmax

(h)
t½

(h)
CLapp

(L/h/kg)
AUC0–∞ Area under the curve

Cmax Maximum concentration

tmax Time to maximum concentration

t½ Elimination half-life

CLapp Clearance
FOLLISTIM AQ 215.1 3.4 12.9 33.4 0.01
Cartridge (45.8) (0.7) (6.2) (4.2) (0.003)
5.7 Ectopic Pregnancy

Since infertile women undergoing IVF or ICSI often have tubal abnormalities, the incidence of ectopic pregnancies might be increased. Early confirmation of an intrauterine pregnancy should be determined by β-hCG testing and transvaginal ultrasound.

5.9 Ovarian Neoplasms

There have been infrequent reports of ovarian neoplasms, both benign and malignant, in women who have undergone multiple drug regimens for controlled ovarian stimulation; however, a causal relationship has not been established.

1 Indications and Usage

FOLLISTIM® AQ Cartridge (follitropin beta) injection, is indicated:

In Women for:

14.1 Ovulation Induction

The efficacy of FOLLISTIM for ovulation induction was evaluated in a randomized, assessor-blind, parallel-group comparative, multicenter safety and efficacy study of 172 chronic anovulatory women (105 subjects on FOLLISTIM) who had previously failed to ovulate and/or conceive during clomiphene citrate treatment. The study results for ovulation rates are summarized in Table 6 and those for pregnancy rates are summarized in Table 7.

Table 6: Cumulative Ovulation Rates
Cycle FOLLISTIM

(n=105)
First treatment cycle 72%
Second treatment cycle 82%
Third treatment cycle 85%
Table 7: Cumulative Ongoing
All ongoing pregnancies were confirmed after at least 12 weeks after the hCG injection.
, 
Study was not powered to demonstrate this outcome.
Pregnancy Rates
Cycle FOLLISTIM

(n=105)
First treatment cycle 14%
Second treatment cycle 19%
Third treatment cycle 23%
5.6 Congenital Anomalies

The incidence of congenital malformations after IVF or ICSI may be slightly higher than after spontaneous conception. This slightly higher incidence is thought to be related to differences in parental characteristics (e.g., maternal age, sperm characteristics) and to the higher incidence of multi-fetal gestations after IVF or ICSI. There are no indications that the use of gonadotropins during IVF or ICSI is associated with an increased risk of congenital malformations.

5.8 Spontaneous Abortion

The risk of spontaneous abortions (miscarriage) is increased with gonadotropin products. However, causality has not been established. The increased risk may be a factor of the underlying infertility.

5 Warnings and Precautions

FOLLISTIM AQ Cartridge should be used only by physicians who are experienced in infertility treatment. FOLLISTIM AQ Cartridge contains a potent gonadotropic substance capable of causing Ovarian Hyperstimulation Syndrome (OHSS) [see Warnings and Precautions (5.2)] with or without pulmonary or vascular complications [see Warnings and Precautions (5.3)] and multiple births [see Warnings and Precautions (5.5)]. Gonadotropin therapy requires the availability of appropriate monitoring facilities [see Warnings and Precautions (5.10)].

Careful attention should be given to the diagnosis of infertility and in the selection of candidates for FOLLISTIM AQ Cartridge therapy [see Indications and Usage (1.1, 1.2, 1.3) and Dosage and Administration (2.2, 2.3, 2.4)].

Switching to FOLLISTIM AQ Cartridge from other brands (manufacturer), types (recombinant, urinary), and/or methods of administration (FOLLISTIM Pen, conventional syringe) may necessitate an adjustment of the dose [see Dosage and Administration (2)].

2 Dosage and Administration

See Dose Conversion Table 1 for FOLLISTIM AQ Cartridge with Pen Injector (2.1)

In Anovulatory Women Undergoing Ovulation Induction (2.2):

  • Starting daily dose of 50 international units of FOLLISTIM AQ Cartridge is administered subcutaneously for at least the first 7 days. The dose is increased by 25 or 50 international units at weekly intervals until follicular growth and/or serum estradiol levels indicate an adequate response.
    • When an acceptable pre-ovulatory state is achieved, final oocyte maturation is achieved with 5,000 to 10,000 international units of urinary human chorionic gonadotropin (hCG).
    • The woman and her partner should have intercourse daily, beginning on the day prior to the administration of hCG and until ovulation becomes apparent.

In Normal Ovulatory Women Undergoing Controlled Ovarian Stimulation as Part of an In Vitro Fertilization or Intracytoplasmic Sperm Injection Cycle (2.3):

  • Starting dose of 200 international units (actual cartridge doses) of FOLLISTIM AQ Cartridge is administered subcutaneously for at least the first 7 days of treatment. Subsequent doses can be adjusted down or up based upon ovarian response as determined by ultrasound evaluation of follicular growth and serum estradiol levels. Dosage reduction in high responders can be considered from the 6th day of treatment onward according to individual response.
    • Final oocyte maturation is induced with a dose of 5,000-10,000 international units of urinary hCG.
    • Oocyte (egg) retrieval is performed 34 to 36 hours later.

Induction of Spermatogenesis in Men (2.4):

  • Pretreatment with urinary hCG alone (1,500 international units twice weekly) is required. If serum testosterone levels have not normalized after 8 weeks of hCG treatment, the dose may be increased to 3,000 international units twice a week.
  • After normalization of serum testosterone levels, administer 450 international units per week (225 international units twice weekly or 150 international units three times weekly) of FOLLISTIM AQ Cartridge subcutaneously with the same pre-treatment hCG dose used to normalize testosterone levels.
3 Dosage Forms and Strengths

FOLLISTIM AQ Cartridge is a clear and colorless solution available as:

Injection: 300 international units per 0.36 mL in a single-patient-use cartridge

Injection: 600 international units per 0.72 mL in a single-patient-use cartridge

Injection: 900 international units per 1.08 mL in a single-patient-use cartridge

6.2 Postmarketing Experience

The following adverse reactions have been identified during post-approval use of FOLLISTIM and/or FOLLISTIM AQ Cartridge. Because these reactions are reported voluntarily from a population of uncertain size, it is not always possible to reliably estimate their frequency or establish a causal relationship to drug exposure.

Gastrointestinal disorders

Abdominal distension, abdominal pain, constipation, diarrhea

General disorders and administration site conditions

Injection site reaction

Immune system disorders

Hypersensitivity reactions including anaphylaxis, pruritus, rash, and urticaria

Reproductive system and breast disorders

Breast tenderness, metrorrhagia, ovarian enlargement, vaginal hemorrhage

Skin and subcutaneous tissue disorders

Rash

Vascular disorders

Thromboembolism [see Warnings and Precautions (5.3)]

6.1 Clinical Study Experience

Because clinical trials are conducted under widely varying conditions, adverse reactions rates observed in the clinical trials of a drug cannot be directly compared to rates in the clinical trial of another drug and may not reflect the rates observed in practice.

8 Use in Specific Populations

Lactation: It is not known whether this drug is excreted in human milk. (8.2)

2.1 General Dosing Information
  • Parenteral drug products should be inspected visually for particulate matter and discoloration prior to administration, whenever solution and container permit. If the solution is not clear and colorless or has particles in it, the solution should not be used.
  • Do not add any other medicines into the FOLLISTIM AQ Cartridge.
  • FOLLISTIM AQ Cartridge with the pen injector device delivers on average an 18% higher amount of follitropin beta when compared to reconstituted FOLLISTIM delivered with a conventional syringe and needle. When administering FOLLISTIM AQ Cartridge, a lower starting dose and lower dose adjustments (as compared to reconstituted FOLLISTIM) should be considered. For that purpose the following Dose Conversion Table is provided:
Table 1: FOLLISTIM AQ Cartridge Administered Subcutaneously with the FOLLISTIM Pen Dose Conversion Table
Each value represents an 18% difference rounded to the nearest 25 IU increment.
Lyophilized recombinant FSH dosing with

ampules or vials, using conventional syringe
FOLLISTIM AQ Cartridge

dosing with the FOLLISTIM Pen
75 IU 50 IU
150 IU 125 IU
225 IU 175 IU
300 IU 250 IU
375 IU 300 IU
450 IU 375 IU
5.1 Abnormal Ovarian Enlargement

In order to minimize the hazards associated with abnormal ovarian enlargement that may occur with FOLLISTIM AQ therapy, treatment should be individualized and the lowest effective dose should be used [see Dosage and Administration (2.2, 2.3) ]. Use of ultrasound monitoring of ovarian response and/or measurement of serum estradiol levels is important to minimize the risk of overstimulation [see Warnings and Precautions (5.8)].

If the ovaries are abnormally enlarged on the last day of FOLLISTIM AQ therapy, hCG should not be administered in order to reduce the chances of developing Ovarian Hyperstimulation Syndrome (OHSS). Intercourse should be prohibited in patients with significant ovarian enlargement after ovulation because of the danger of hemoperitoneum resulting from ruptured ovarian cysts [see Warnings and Precautions (5.3)].

14.3 Induction of Spermatogenesis

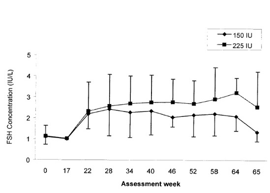
The safety and efficacy of FOLLISTIM administered by subcutaneous injection concomitantly with chorionic gonadotropin for injection (hCG) has been examined in a multicenter, open-label, non-comparator clinical study for induction of spermatogenesis in hypogonadotropic hypogonadal men. The study compared the effects of two different FOLLISTIM dosing schedules on semen parameters and serum levels of follicle stimulating hormone (FSH). The multicenter study involved a 16-week pretreatment phase with urinary hCG at a dosage of 1,500 international units twice a week to normalize serum testosterone levels. If serum testosterone levels did not normalize after 8 weeks of hCG treatment, the urinary hCG dose could have been increased to 3,000 international units twice a week. This phase was followed by a 48-week treatment phase. Men who were still azoospermic after the pretreatment phase were randomized to receive either 225 international units FOLLISTIM together with 1,500 international units urinary hCG twice a week or 150 international units FOLLISTIM three times a week together with 1,500 international units urinary hCG twice weekly. Men who required 3,000 international units of urinary hCG twice a week in the pretreatment phase were continued on that dosage during the treatment phase. The mean age of patients in both treatment groups was approximately 30 years (range 18 to 47 years). At baseline, mean left and right testis volumes were 4.61 ± 2.94 mL and 4.57 ± 3.00 mL, respectively, in the group receiving three weekly injections of FOLLISTIM. For the group receiving two weekly injections of FOLLISTIM, the mean left and right testis volumes were 6.54 ± 2.45 mL and 7.21 ± 2.94 mL, respectively, at baseline. The primary efficacy endpoint was the FOLLISTIM percentage of patients with a mean sperm density of ≥1 × 106/mL on their last two treatment assessments. The outcomes of treatment in the 30 men enrolled in the treatment phase are summarized in Table 9.

Table 9: Number of Men Receiving FOLLISTIM Who Achieved a Mean Sperm Density of ≥106/mL on Their Last Two Treatment Assessments
FOLLISTIM 150 international units three times a week

(n=15)
FOLLISTIM 225 international units twice a week

(n=15)
Overall

(n=30)
Sperm Density of ≥106/mL n % n % n %
Yes 6 40 7 47 13 43
No 9 60 8 53 17 57

Overall, the median time to reach a sperm concentration of 106 per mL was 165 days (range 25 to 327 days) in patients who demonstrated a sperm concentration of at least 106 per mL. The median time to reach a sperm concentration of at least 106 per mL was 186 days (range 25 to 327 days) for the 150 international units group and 141 days (range 43 to 204 days) for the 225 international units group. No pregnancy data were collected during the trial.

The local tolerance data were comparable between the two treatment groups. The mean percentage of days without pain calculated for all subjects in the treatment period was 91.3% for patients in the 150 international units (three times a week) and 76.0% for patients in the 225 international units (two times a week) FOLLISTIM treatment groups. In the 225 international units (twice per week) group, local symptoms judged as severe by the investigator were: itching in 1 patient (7%), pain in 2 patients (13%), bruising in 2 patients (13%), swelling in 2 patients (13%), and redness in 1 patient (7%). In the 150 international units (three times per week) group, 1 event in 1 patient (bruising, 7%) was judged as severe. No patient discontinued treatment due to injection site reaction or injection site pain.

17 Patient Counseling Information

Advise the patient to read the FDA-approved patient labeling (Patient Information).

Hypersensitivity Reactions and Anaphylaxis

Advise patients to discontinue FOLLISTIM AQ Cartridge and seek immediate medical attention if any signs or symptoms of a hypersensitivity reaction occur [see Contraindications (4) and Adverse Reactions (6.2)].

Dosing and Use of FOLLISTIM AQ Cartridge with Pen

Instruct women and men on the correct usage and dosing of FOLLISTIM AQ Cartridge in conjunction with the FOLLISTIM Pen. Make sure that individuals who have used other gonadotropin products delivered by a syringe are aware of differences arising from use of the pen. Women and men should read and follow all instructions in the FOLLISTIM Pen "Instructions for Use" Manual prior to administration of FOLLISTIM AQ Cartridge.

Advise women and men of the number of doses which can be extracted from the full unused FOLLISTIM AQ Cartridge that you have prescribed.

Therapy Duration and Necessary Monitoring in Women and Men Undergoing Treatment

Prior to beginning therapy with FOLLISTIM AQ Cartridge, inform women and men about the time commitment and monitoring procedures necessary to undergo treatment [see Dosage and Administration (2), Warnings and Precautions (5.10)].

Instructions on a Missed Dose

Inform women and men that if they miss or forget to take a dose of FOLLISTIM AQ Cartridge, the next dose should not be doubled and they should call the healthcare provider for further dosing instructions.

Ovarian Hyperstimulation Syndrome

Inform women regarding the risks with use of FOLLISTIM AQ Cartridge of Ovarian Hyperstimulation Syndrome [see Warnings and Precautions (5.2)] and associated symptoms including lung and blood vessel problems [see Warnings and Precautions (5.3)] and ovarian torsion [see Warnings and Precautions (5.4)].

Multi-fetal Gestation and Birth

Inform women regarding the risk of multi-fetal gestations with the use of FOLLISTIM AQ Cartridge [see Warnings and Precautions (5.5)].

5.5 Multi Fetal Gestation and Birth

Multi-fetal gestation and births have been reported with all gonadotropin treatments including FOLLISTIM AQ Cartridge treatment. The woman and her partner should be advised of the potential risk of multi-fetal gestation and births before starting treatment.

16 How Supplied/storage and Handling

FOLLISTIM AQ Cartridge (follitropin beta) injection is a clear and colorless solution in a disposable, prefilled single-patient-use glass cartridge with grey rubber piston and an aluminum crimp-cap with grey rubber inlay supplied in a box containing disposable, 29 gauge, ultra-fine, ½-inch, sterile BD Micro-Fine™ Pen Needles (for use with FOLLISTIM Pen available separately) and in the following presentations:

NDC 78206-129-01 FOLLISTIM AQ Cartridge 300 international units per 0.36 mL with silver crimp-caps and 5 BD Micro-Fine Pen Needles

NDC 78206-130-01 FOLLISTIM AQ Cartridge 600 international units per 0.72 mL with gold crimp-caps and 7 BD Micro-Fine Pen Needles

NDC 78206-131-01 FOLLISTIM AQ Cartridge 900 international units per 1.08 mL with blue crimp-caps and 10 BD Micro-Fine Pen Needles

5.3 Pulmonary and Vascular Complications

Serious pulmonary conditions (e.g., atelectasis, acute respiratory distress syndrome) have been reported in women treated with gonadotropins. In addition, thromboembolic reactions both in association with, and separate from OHSS have been reported following gonadotropin therapy. Intravascular thrombosis, which may originate in venous or arterial vessels, can result in reduced blood flow to vital organs or the extremities. Women with generally recognized risk factors for thrombosis, such as a personal or family history, severe obesity, or thrombophilia, may have an increased risk of venous or arterial thromboembolic events, during or following treatment with gonadotropins. Sequelae of such reactions have included venous thrombophlebitis, pulmonary embolism, pulmonary infarction, cerebral vascular occlusion (stroke), and arterial occlusion resulting in loss of limb and rarely in myocardial infarction. In rare cases, pulmonary complications and/or thromboembolic reactions have resulted in death. In women with recognized risk factors, the benefits of ovulation induction, in vitro fertilization (IVF) or intracytoplasmic sperm injection (ICSI) treatment need to be weighed against the risks. It should be noted that pregnancy itself also carries an increased risk of thrombosis.

5.2 Ovarian Hyperstimulation Syndrome (ohss)

OHSS is a medical entity distinct from uncomplicated ovarian enlargement and may progress rapidly to become a serious medical condition. OHSS is characterized by a dramatic increase in vascular permeability, which can result in a rapid accumulation of fluid in the peritoneal cavity, thorax, and potentially, the pericardium. The early warning signs of OHSS developing are severe pelvic pain, nausea, vomiting, and weight gain. Abdominal pain, abdominal distension, gastrointestinal symptoms including nausea, vomiting and diarrhea, severe ovarian enlargement, weight gain, dyspnea, and oliguria have been reported with OHSS. Clinical evaluation may reveal hypovolemia, hemoconcentration, electrolyte imbalances, ascites, hemoperitoneum, pleural effusions, hydrothorax, acute pulmonary distress, and thromboembolic reactions [see Warnings and Precautions (5.3)]. Transient liver function test abnormalities suggestive of hepatic dysfunction with or without morphologic changes on liver biopsy have also been reported in association with OHSS.

OHSS occurs after gonadotropin treatment has been discontinued, and it can develop rapidly, reaching its maximum about seven to ten days following treatment. Usually, OHSS resolves spontaneously with the onset of menses. If there is a risk for OHSS evident prior to hCG administration [see Warnings and Precautions (5.1)], the hCG must be withheld. Cases of OHSS are more common, more severe, and more protracted if pregnancy occurs; therefore, women should be assessed for the development of OHSS for at least two weeks after hCG administration.

If serious OHSS occurs, gonadotropins, including hCG, should be stopped and consideration should be given as to whether the patient needs to be hospitalized. Treatment is primarily symptomatic and overall should consist of bed rest, fluid and electrolyte management, and analgesics (if needed). Because the use of diuretics can accentuate the diminished intravascular volume, diuretics should be avoided except in the late phase of resolution as described below. The management of OHSS may be divided into three phases as follows:

  • Acute Phase:
    •  
      Management should be directed at preventing hemoconcentration due to loss of intravascular volume to the third space and minimizing the risk of thromboembolic phenomena and kidney damage. Fluid intake and output, weight, hematocrit, serum and urinary electrolytes, urine specific gravity, BUN and creatinine, total proteins with albumin: globulin ratio, coagulation studies, electrocardiogram to monitor for hyperkalemia, and abdominal girth should be thoroughly assessed daily or more often based on the clinical need. Treatment, consisting of limited intravenous fluids, electrolytes, and human serum albumin is intended to normalize electrolytes while maintaining an acceptable but somewhat reduced intravascular volume. Full correction of the intravascular volume deficit may lead to an unacceptable increase in the amount of third space fluid accumulation.
  • Chronic Phase:
    •  
      After the acute phase is successfully managed as above, excessive fluid accumulation in the third space should be limited by instituting severe potassium, sodium, and fluid restriction.
  • Resolution Phase:
    •  
      As third space fluid returns to the intravascular compartment, a fall in hematocrit and increasing urinary output are observed in the absence of any increase in intake. Peripheral and/or pulmonary edema may result if the kidneys are unable to excrete third space fluid as rapidly as it is mobilized. Diuretics may be indicated during the resolution phase, if necessary, to combat pulmonary edema.

OHSS increases the risk of injury to the ovary. The ascitic, pleural, and pericardial fluid should not be removed unless there is the necessity to relieve symptoms such as pulmonary distress or cardiac tamponade. Pelvic examination may cause rupture of an ovarian cyst, which may result in hemoperitoneum, and should therefore be avoided. If bleeding occurs and requires surgical intervention, the clinical objective should be to control the bleeding and retain as much ovarian tissue as possible.

During clinical trials with FOLLISTIM or FOLLISTIM AQ Cartridge therapy, OHSS occurred in 7.6% of 105 women (OI) and 6.4% of 751 women (IVF or ICSI) treated with FOLLISTIM and FOLLISTIM AQ Cartridge, respectively.

13.1 Carcinogenesis, Mutagenesis, Impairment of Fertility

Long-term toxicity studies in animals have not been performed with FOLLISTIM to evaluate the carcinogenic potential of the drug. FOLLISTIM was not mutagenic in the Ames test using S. typhimurium and E. coli tester strains and did not produce chromosomal aberrations in an in vitro assay using human lymphocytes.

2.4 Recommended Dosing for Induction of Spermatogenesis in Men
  • Pretreatment with hCG is required prior to concomitant therapy with FOLLISTIM AQ Cartridge and hCG. An initial dosage of 1,500 international units of urinary hCG should be administered at twice weekly intervals to normalize serum testosterone levels. If serum testosterone levels have not normalized after 8 weeks of hCG treatment, the urinary hCG dose can be increased to 3,000 international units twice weekly [see Clinical Studies (14.3)].
  • After normal serum testosterone levels have been reached, FOLLISTIM AQ Cartridge should be administered by subcutaneous injection concomitantly with hCG treatment. FOLLISTIM is given at a dosage of 450 international units per week, as either 225 international units twice weekly or 150 international units three times per week, in combination with the same hCG dose used to normalize testosterone levels. Based on delivery of a higher dose of follitropin beta with the FOLLISTIM AQ Cartridge and pen injector [see Dosage and Administration (2.1)], a lower dose of FOLLISTIM AQ Cartridge may be considered.



    The concomitant therapy should be continued for at least 3 to 4 months before any improvement in spermatogenesis can be expected. If a man has not responded after this period, the combination therapy may be continued. Treatment response has been noted at up to 12 months.
2.2 Recommended Dosing in Anovulatory Women Undergoing Ovulation Induction

The dosing scheme is stepwise and is individualized for each woman [see Clinical Studies (14.1)].

  • A starting daily dose of 50 international units of FOLLISTIM AQ Cartridge is administered [see Dosage and Administration (2.1)] subcutaneously daily for at least the first 7 days.
  • Subsequent dosage adjustments are made at weekly intervals based upon ovarian response. If an increase in dose is indicated by the ovarian response, the increase should be made by 25 or 50 international units of FOLLISTIM AQ Cartridge at weekly intervals until follicular growth and/or serum estradiol levels indicate an adequate ovarian response.

    The following should be considered when planning the woman's individualized dose:
    • Appropriate FOLLISTIM AQ Cartridge dose adjustment(s) should be used to prevent multiple follicular growth and cycle cancellation.
    • The maximum, individualized, daily dose of FOLLISTIM AQ Cartridge is 250 international units.
  • Treatment should continue until ultrasonic visualizations and/or serum estradiol determinations approximate the pre-ovulatory conditions seen in normal individuals.
  • When pre-ovulatory conditions are reached, 5,000 to 10,000 international units of urinary hCG are used to induce final oocyte maturation and ovulation.

    The administration of hCG must be withheld in cases where the ovarian monitoring suggests an increased risk of OHSS on the last day of FOLLISTIM AQ Cartridge therapy [see Warnings and Precautions (5.1, 5.2, 5.10)].
  • The woman and her partner should be encouraged to have intercourse daily, beginning on the day prior to the administration of hCG and until ovulation becomes apparent [see Warnings and Precautions (5.10) ].
  • During treatment with FOLLISTIM AQ Cartridge and during a two-week post-treatment period, the woman should be assessed at least every other day for signs of excessive ovarian stimulation.

    It is recommended that FOLLISTIM AQ Cartridge administration be stopped if the ovarian monitoring suggests an increased risk of OHSS or abdominal pain occurs. Most OHSS occurs after treatment has been discontinued and reaches its maximum at about seven to ten days post-ovulation.
14.2 Controlled Ovarian Stimulation As Part of An in Vitro Fertilization (ivf) Or Intracytoplasmic Sperm Injection (icsi) Cycle

The efficacy of FOLLISTIM AQ Cartridge was evaluated in a randomized, double-blind, active-controlled study of 1,509 healthy normal ovulatory women (mean age, body weight, and body mass index of 32 years, 68 kg and 25 kg/m2, respectively) treated for one cycle with controlled ovarian stimulation and pituitary suppression with a GnRH antagonist as part of an in vitro fertilization or intracytoplasmic sperm injection cycle. This 2008 study was conducted in Europe and North America (United States and Canada). Approximately 54% of the subjects were from North America. The overall results, as well as the results from North America only, for clinical pregnancy are summarized in Table 8.

Table 8: Pregnancy Results from Treatment With FOLLISTIM AQ Cartridge and a GnRH Antagonist in Normal Ovulatory Women Undergoing Controlled Ovarian Stimulation as Part of an In Vitro Fertilization or Intracytoplasmic Sperm Injection Cycle.
Single treatment cycle results.
Intent-to-Treat Population (ITT)
Parameter FOLLISTIM AQ Cartridge

Overall data

(n=750)
FOLLISTIM AQ Cartridge

North American data

(n=403)
Clinical pregnancy rate/cycle initiation
Clinical pregnancy was assessed ≥6 weeks after transfer of one or two embryos.
41.1% 48.9%
1.1 Induction of Ovulation and Pregnancy in Anovulatory Infertile Women in Whom the Cause of Infertility Is Functional and Not Due to Primary Ovarian Failure

Prior to initiation of treatment with FOLLISTIM AQ Cartridge:

  • Women should have a complete gynecologic and endocrinologic evaluation.
  • Primary ovarian failure should be excluded.
  • The possibility of pregnancy should be excluded.
  • Tubal patency should be demonstrated.
  • The fertility status of the male partner should be evaluated.
1.2 Pregnancy in Normal Ovulatory Women Undergoing Controlled Ovarian Stimulation As Part of An in Vitro Fertilization (ivf) Or Intracytoplasmic Sperm Injection (icsi) Cycle

Prior to initiation of treatment with FOLLISTIM AQ Cartridge:

  • Women should have a complete gynecologic and endocrinologic evaluation and diagnosis of cause of infertility.
  • The possibility of pregnancy should be excluded.
  • The fertility status of the male partner should be evaluated.

In Men for:

1.3 Induction of Spermatogenesis in Men With Primary and Secondary Hypogonadotropic Hypogonadism (hh) in Whom the Cause of Infertility Is Not Due to Primary Testicular Failure

Prior to initiation of treatment with FOLLISTIM AQ Cartridge:

  • Men should have a complete medical and endocrinologic evaluation.
  • Hypogonadotropic hypogonadism should be confirmed and primary testicular failure should be excluded.
  • Serum testosterone levels should be normalized with human chorionic gonadotropin (hCG) treatment.
  • The fertility status of the female partner should be evaluated.
2.3 Recommended Dosing in Normal Ovulatory Women Undergoing Controlled Ovarian Stimulation As Part of An in Vitro Fertilization (ivf) Or Intracytoplasmic Sperm Injection (icsi) Cycle

The dosing scheme follows a stepwise approach and is individualized for each woman.

  • A starting dose of 200 international units (actual cartridge doses) of FOLLISTIM AQ Cartridge is administered [see Dosage and Administration (2.1)] subcutaneously daily for at least the first 7 days of treatment.
  • Subsequent to the first 7 days of treatment, the dose can be adjusted down or up based upon the woman's ovarian response as determined by ultrasound evaluation of follicular growth and serum estradiol levels. Dosage reduction in high responders can be considered from the 6th day of treatment onward according to individual response.



    The following should be considered when planning the woman's individualized dose:
    • For most normal responding women, the daily starting dose can be continued until pre-ovulatory conditions are achieved (seven to twelve days).
    • For low or poor responding women, the daily dose should be increased according to the ovarian response. The maximum, individualized, daily dose of FOLLISTIM AQ Cartridge is 500 international units.
    • For high responding women [those at particular risk of abnormal ovarian enlargement and/or ovarian hyperstimulation syndrome (OHSS)], decrease or temporarily stop the daily dose, or discontinue the cycle according to individual response [see Warnings and Precautions (5.1, 5.2, 5.10)].
  • When a sufficient number of follicles of adequate size are present, dosing of FOLLISTIM AQ Cartridge is stopped and final maturation of the oocytes is induced by administering urinary hCG at a dose of 5,000 to 10,000 international units. The administration of hCG should be withheld in cases where the ovarian monitoring suggests an increased risk of OHSS on the last day of FOLLISTIM AQ Cartridge therapy [see Warnings and Precautions (5.1, 5.2, 5.10)].
  • Oocyte (egg) retrieval should be performed 34 to 36 hours following the administration of hCG.

Structured Label Content

Section 42229-5 (42229-5)

For Women:

In most instances, treatment with FOLLISTIM AQ Cartridge will result only in follicular growth and maturation. In order to complete the final phase of follicular maturation and to induce ovulation, hCG must be given following the administration of FOLLISTIM AQ Cartridge or when clinical assessment indicates that sufficient follicular maturation has occurred. The degree of follicular maturation and the timing of hCG administration can both be determined with the use of sonographic visualization of the ovaries and endometrial lining in conjunction with measurement of serum estradiol levels. The combination of transvaginal ultrasonography and measurement of serum estradiol levels is also useful for minimizing the risk of OHSS and multi-fetal gestations.

The clinical confirmation of ovulation is obtained by the following direct or indirect indices of progesterone production as well as sonographic evidence of ovulation.

Direct or indirect indices of progesterone production are:

  • Urinary or serum luteinizing hormone (LH) rise
  • A rise in basal body temperature
  • Increase in serum progesterone
  • Menstruation following the shift in basal body temperature

The following provide sonographic evidence of ovulation:

  • Collapsed follicle
  • Fluid in the cul-de-sac
  • Features consistent with corpus luteum formation

Sonographic evaluation of the early pregnancy is also important to rule out ectopic pregnancy.

Section 42230-3 (42230-3)
This Patient Information has been approved by the U.S. Food and Drug Administration Revised: February 2026
PATIENT INFORMATION

FOLLISTIM
® (Fol-lis-tim) AQ Cartridge

(follitropin beta)

injection, for subcutaneous use
Read this Patient Information before you start using FOLLISTIM® AQ Cartridge and each time you get a refill. There may be new information. This information does not take the place of talking with your healthcare provider about your medical condition or treatment.
What is FOLLISTIM AQ Cartridge?

FOLLISTIM AQ Cartridge is a prescription medicine that contains follicle-stimulating hormone (FSH). The medicine is taken with the FOLLISTIM Pen.

FOLLISTIM AQ Cartridge is used:

In women:
  • to help healthy ovaries to develop (mature) and release eggs
  • as part of Assisted Reproductive Treatment programs that use special techniques (skills) to help women get pregnant by causing their ovaries to produce more mature eggs
In men:
  • to help produce and develop mature sperm
FOLLISTIM AQ Cartridge is not for use in children.
Do not use FOLLISTIM AQ Cartridge if you are a woman or man who:
  • is allergic to recombinant human FSH products or any of the ingredients in FOLLISTIM AQ Cartridge. See the end of this leaflet for a complete list of ingredients in FOLLISTIM AQ Cartridge.
  • has a high level of FSH in your blood that show your ovaries (women only) or testes (men only) may be permanently damaged and do not work at all.
  • has uncontrolled thyroid, adrenal, or pituitary problems.
  • is allergic to streptomycin or neomycin which are antibiotics that may be found in small amounts in FOLLISTIM AQ Cartridge.
  • has a tumor in your sex organs (uterus, ovaries, breasts, testes).
  • has a tumor in your brain (hypothalamus), or in your pituitary gland.
Do not use FOLLISTIM AQ Cartridge if you are a woman that:
  • is pregnant or thinks they may be pregnant.
  • has abnormal bleeding from your uterus or vagina from an unknown cause.
  • has or have had ovarian cysts or large ovaries from an unknown cause.
Before using FOLLISTIM AQ Cartridge, tell your healthcare provider about all of your medical conditions, including if you:
  • have an increased risk of blood clots (thrombosis).
  • have ever had a blood clot (thrombosis), or anyone in your immediate family has ever had a blood clot (thrombosis).
  • had stomach (abdominal) surgery.
  • had twisting of your ovary (ovarian torsion).
  • have polycystic ovary disease.
  • are pregnant or think you may be pregnant. Your healthcare provider will give you a pregnancy test before you start using FOLLISTIM AQ Cartridge. FOLLISTIM AQ Cartridge is not for pregnant women.
  • are breastfeeding or plan to breastfeed. It is not known if the medicine in FOLLISTIM AQ Cartridge passes into your breast milk. You and your healthcare provider should decide if you will take FOLLISTIM AQ Cartridge or breastfeed.
Tell your healthcare provider about all the medicines you take, including prescription and non-prescription medicines, vitamins, and herbal supplements. Keep a list of your medicines and show it to your healthcare provider and pharmacist when you get a new medicine.
How should I use FOLLISTIM AQ Cartridge?
  • Read the Instructions for Use that comes with FOLLISTIM AQ Cartridge about the right way to use FOLLISTIM AQ Cartridge.
  • Use FOLLISTIM AQ Cartridge exactly as your healthcare provider tells you to.
  • FOLLISTIM AQ Cartridge is injected subcutaneously (beneath the skin) only.
  • Your healthcare provider will tell you how much FOLLISTIM AQ Cartridge to use, how to inject it, and how often it should be injected.
  • Use FOLLISTIM AQ Cartridge only with the FOLLISTIM Pen.
  • FOLLISTIM Pen is not recommended for use if you are blind or visually impaired without the help of a person trained to use the pen.
  • Do not inject FOLLISTIM AQ Cartridge at home until your healthcare provider has taught you the right way to put the FOLLISTIM AQ Cartridge and FOLLISTIM Pen device together and to inject yourself.
  • Do not add any other medicines into the FOLLISTIM AQ Cartridge.
  • Do not change your dose of FOLLISTIM AQ Cartridge unless your healthcare provider tells you to.
  • Call your healthcare provider immediately if you use too much FOLLISTIM AQ Cartridge.
  • If you miss or forget to take a dose, do not double your next dose. Ask your healthcare provider for instructions.
  • Do not re-use the Pen Needle.
  • Your healthcare provider will do blood and urine hormone tests while you are using FOLLISTIM AQ Cartridge. Make sure you follow-up with your healthcare provider to have your blood and urine tested when told to do so.
Women:
  • Your healthcare provider may do ultrasound scans of your ovaries. Make sure you follow-up with your healthcare provider to have your ultrasound scans.
Men:
  • Your healthcare provider may test your semen while you are using FOLLISTIM AQ Cartridge. Make sure you follow-up with your healthcare provider to give a semen sample for testing.
What are the possible side effects of FOLLISTIM AQ Cartridge?

FOLLISTIM AQ Cartridge may cause serious side effects in women, including:
  • Ovarian enlargement. FOLLISTIM AQ may cause your ovaries to be abnormally large. Symptoms of large ovaries include bloating or pain in your lower stomach (pelvic) area.
  • Ovarian hyperstimulation syndrome (OHSS). OHSS is a serious side effect that can happen when the ovaries produce too many eggs (overstimulated). In rare cases it has caused death. OHSS causes fluid to build up suddenly in your stomach and chest areas and can cause blood clots to form. OHSS may also happen after you stop using FOLLISTIM AQ Cartridge. Stop using FOLLISTIM AQ Cartridge and call your healthcare provider right away if you have symptoms of OHSS, including:
  • severe lower stomach (pelvic) area pain
  • nausea
  • vomiting
  • weight gain
  • stomach (abdomen) pain
  • bloating
  • diarrhea
  • trouble breathing
  • decreased urine output
  • Lung problems. FOLLISTIM AQ Cartridge may cause you to have fluid in your lungs (atelectasis) and trouble breathing (acute respiratory distress syndrome).
  • Blood clots. FOLLISTIM AQ Cartridge may increase your chance of having blood clots in your blood vessels. Blood clots can cause:
    • blood vessel problems (thrombophlebitis)
    • stroke
    • loss of your arm or leg
    • blood clot in your lungs (pulmonary embolus)
    • heart attack
  • Ovarian torsion. FOLLISTIM AQ Cartridge may increase the chance of twisting of the ovaries in women with certain conditions such as OHSS, pregnancy and previous abdominal surgery. Twisting of the ovary could cause the blood flow to the ovary to be cut off.
  • Pregnancy and birth of multiple babies. Having a pregnancy with more than one baby at a time increases the health risk for you and your babies. Discuss your chances of multiple births with your healthcare provider.
  • Birth defects. A woman’s age, certain sperm problems, genetic background of both parents and a pregnancy with multiple babies can increase the chance that your baby might have birth defects.
  • Ectopic pregnancy (pregnancy outside of the womb). The chance of a pregnancy outside of the womb is increased in women with damaged fallopian tubes.
  • Miscarriage. The chance of loss of an early pregnancy may be increased in women who have difficulty with becoming pregnant at all.
  • Tumors of the ovary. There have been infrequent reports of ovarian tumors in women who have had multiple ovarian stimulation treatments, however there is no confirmed direct link with FOLLISTIM AQ Cartridge.
The most common side effects of FOLLISTIM AQ Cartridge include:

In women:
  • cyst (closed sac) in the ovary
  • stomach discomfort or pain
  • discomfort or pain in the lower stomach (pelvic) area
  • headache
  • nausea
  • feeling tired
In men:
  • headache
  • acne
  • pain at the injection site
  • bruising, swelling or redness at the injection site
  • breast enlargement
  • rash
  • testicular dermoid cyst (closed sac under the skin)
Tell your healthcare provider if you have any side effects that bothers you or that does not go away.



These are not all the possible side effects of FOLLISTIM AQ Cartridge. For more information, ask your healthcare provider or pharmacist. Call your doctor for medical advice about side effects. You may report side effects to FDA at 1-800-FDA-1088.
How should I store FOLLISTIM AQ Cartridge?
  • Store unused FOLLISTIM AQ Cartridge in the refrigerator between 36°F to 46°F (2°C to 8°C) until the expiration date, or at room temperature up to 77°F (25°C) for 3 months or until the expiration date, whichever comes first.
  • After first use store FOLLISTIM AQ Cartridge either in the refrigerator or at room temperature between 36°F to 77°F (2°C to 25°C) and throw away (discard) after 28 days.
  • Keep FOLLISTIM AQ Cartridge in the original carton to protect from light.
  • Do not freeze.
Keep FOLLISTIM AQ Cartridge and all medicines out of the reach of children.
General information about the safe and effective use of FOLLISTIM AQ Cartridge.

Medicines are sometimes prescribed for purposes other than those listed in the Patient Information leaflet. Do not use FOLLISTIM AQ Cartridge for a condition for which it was not prescribed. Do not give FOLLISTIM AQ Cartridge to other people, even if they have the same condition that you have. It may harm them. You can ask your pharmacist or healthcare provider for more information about FOLLISTIM AQ Cartridge that is written for healthcare professionals.
What are the ingredients in FOLLISTIM AQ Cartridge?

Active ingredient: follitropin beta



Inactive ingredients: benzyl alcohol, methionine, polysorbate 20, sodium citrate, sucrose, Water for Injection USP. Hydrochloric acid NF and/or sodium hydroxide NF are used to adjust the pH.



 Manufactured by: Organon USA LLC, a subsidiary of

 ORGANON & Co.,

 Jersey City, NJ 07302, USA

U.S. License No. 2331

BD, BD Logo and BD Micro-Fine are trademarks of Becton, Dickinson and Company.

For patent information: www.organon.com/our-solutions/patent/

© 2026 Organon group of companies. All rights reserved.

For more information, go to www.follistim.com or call 1-844-674-3200.

usppi-og8328-SOi-2602r002
Section 44425-7 (44425-7)

Pharmacy Storage: Store refrigerated 36°F to 46°F (2°C to 8°C) until dispensed. Do not freeze.

Patient Storage: Store unused cartridge refrigerated at 36°F to 46°F (2°C to 8°C) until the expiration date, or at room temperature at up to 77°F (25°C) for 3 months or until expiration date, whichever occurs first. After first use, store at 36°F to 77°F (2°C to 25°C) and discard after 28 days. Store in the original carton to protect from light. Do not freeze.

Section 51945-4 (51945-4)

PRINCIPAL DISPLAY PANEL - 300 IU Kit Carton

NDC 78206-129-01

Rx only

Follistim® AQ Cartridge 300 IU

(follitropin beta) injection

For use only with Follistim Pen®,

available separately

For Subcutaneous Use

For Single Patient Use Only

Contents:

1 Sterile Prefilled Cartridge containing 0.36 mL Follistim®

5 BD Micro-Fine™ Pen Needles

Dispense with Full Prescribing Information

10 Overdosage (10 OVERDOSAGE)

Aside from the possibility of Ovarian Hyperstimulation Syndrome [see Warnings and Precautions (5.2, 5.3)] and multiple gestations [see Warnings and Precautions (5.5)], there is no additional information concerning the consequences of acute overdosage with FOLLISTIM AQ Cartridge.

8.1 Pregnancy

Risk Summary

FOLLISTIM AQ Cartridge is contraindicated for use in pregnant women.

The incidence of congenital malformations after some Assisted Reproductive Technology, specifically in vitro fertilization (IVF) or intracytoplasmic sperm injection (ICSI)], may be slightly higher than that after spontaneous conception. This slightly higher incidence is thought to be related to differences in parental characteristics (e.g., maternal age, maternal and paternal genetic background, sperm characteristics) and to a higher incidence of multi-fetal gestations after IVF or ICSI [see Warnings and Precautions (5.6)]. There is no human data that the use of gonadotropins (including FOLLISTIM AQ Cartridge) alone or as part of IVF or ICSI cycles, increases the risk of congenital malformations.

The risk of spontaneous abortion (miscarriage) is increased in women who have used gonadotropins products to achieve pregnancy [see Warnings and Precautions (5.8)].

In the US general population, the estimated background risk of major birth defects and miscarriage in clinically recognized pregnancies is 2 to 4% and 15 to 20%, respectively.

8.2 Lactation

Risk Summary

It is not known whether this drug is excreted in human milk. The developmental and health benefits of breastfeeding should be considered along with the mother’s clinical need for FOLLISTIM AQ Cartridge and any potential adverse effects on the breastfed child from FOLLISTIM AQ Cartridge or from the underlying maternal condition.

11 Description (11 DESCRIPTION)

Follitropin beta, a gonadotropin [human follicle-stimulating hormone (hFSH)], is a glycoprotein hormone produced by recombinant DNA technology in a Chinese hamster ovary (CHO) cell line. It has a dimeric structure containing two glycoprotein subunits (alpha and beta). The alpha and beta subunits have 92 and 111 amino acids, respectively, and their primary and tertiary structures are indistinguishable from that of hFSH. The molecular weight is approximately 40 kDa.

FOLLISTIM AQ Cartridge (follitropin beta) injection is a sterile clear and colorless solution, containing either 300 International Units, 600 International Units, or 900 International Units of follitropin beta in disposable single-patient-use cartridges for subcutaneous use only with the FOLLISTIM Pen.

Each cartridge delivers 300 International Units in 0.36 mL and the inactive ingredients: benzyl alcohol (3.6 mg; preservative), methionine (0.18 mg), polysorbate 20 (0.072 mg), sodium citrate (4.64 mg), sucrose (18 mg), and Water for Injection USP. Hydrochloric acid NF and/or sodium hydroxide NF are used to adjust the pH to 7.

Each cartridge delivers 600 International Units in 0.72 mL and the inactive ingredients: benzyl alcohol (7.2 mg; preservative), methionine (0.36 mg), polysorbate 20 (0.144 mg), sodium citrate (9.3 mg), sucrose (36 mg), and Water for Injection USP. Hydrochloric acid NF and/or sodium hydroxide NF are used to adjust the pH to 7.

Each cartridge delivers 900 International Units in 1.08 mL and the inactive ingredients: benzyl alcohol (10.8 mg; preservative), methionine (0.54 mg), polysorbate 20 (0.216 mg), sodium citrate (13.9 mg), sucrose (54 mg), and Water for Injection USP. Hydrochloric acid NF and/or sodium hydroxide NF are used to adjust the pH to 7.

Under current storage conditions, FOLLISTIM AQ may contain up to 11% of oxidized follitropin beta.

8.4 Pediatric Use

FOLLISTIM AQ Cartridge is not indicated for use in pediatric patients. Clinical studies have not been conducted in the pediatric population.

8.5 Geriatric Use

Clinical studies of FOLLISTIM AQ Cartridge have not been conducted in patients 65 years of age and older.

5.11 Follistim Pen (5.11 FOLLISTIM Pen)

The FOLLISTIM Pen is intended only for use with FOLLISTIM AQ Cartridge. The FOLLISTIM Pen is not recommended for the blind or visually impaired without the assistance of an individual with good vision who is trained in the proper use of the injection device.

4 Contraindications (4 CONTRAINDICATIONS)

FOLLISTIM AQ Cartridge is contraindicated in women and men who exhibit:

  • Prior hypersensitivity to recombinant hFSH products or any component of FOLLISTIM AQ Cartridge. Reactions including anaphylaxis have been reported [see Adverse Reactions (6.2)]
  • High levels of FSH indicating primary gonadal failure
  • Presence of uncontrolled non-gonadal endocrinopathies (e.g., thyroid, adrenal, or pituitary disorders) [see Indications and Usage (1.1, 1.2, 1.3)]
  • Hypersensitivity reactions to streptomycin or neomycin. FOLLISTIM AQ may contain traces of these antibiotics
  • Tumors of the ovary, breast, uterus, testis, hypothalamus or pituitary gland

FOLLISTIM AQ Cartridge is also contraindicated in women who exhibit:

  • Pregnancy [see Use in Specific Populations (8.1)]
  • Heavy or irregular vaginal bleeding of undetermined origin
  • Ovarian cysts or enlargement not due to polycystic ovary syndrome (PCOS)
5.4 Ovarian Torsion

Ovarian torsion has been reported after treatment with FOLLISTIM AQ Cartridge and after intervention with other gonadotropins. This may be related to OHSS, pregnancy, previous abdominal surgery, past history of ovarian torsion, previous or current ovarian cyst and polycystic ovaries. Damage to the ovary due to reduced blood supply can be limited by early diagnosis and immediate detorsion.

6 Adverse Reactions (6 ADVERSE REACTIONS)

The following serious adverse reactions are discussed elsewhere in the labeling:

7 Drug Interactions (7 DRUG INTERACTIONS)

No drug-drug interaction studies have been performed.

12.3 Pharmacokinetics

Pharmacokinetic parameters for FOLLISTIM AQ Cartridge were evaluated in an open-label, single-center, randomized study in 20 healthy women. Serum FSH values from a single subcutaneous injection of reconstituted FOLLISTIM lyophilized powder administered by conventional syringe were compared to those values following a single subcutaneous injection of FOLLISTIM AQ Cartridge administered with the FOLLISTIM Pen injector. Administration of follitropin beta with the FOLLISTIM Pen resulted an 18% increase in AUC0–∞ and Cmax. The 18% difference in serum FSH concentrations resulting from administration of the two formulations was due to differences between the anticipated and actual volume delivered with the conventional syringe. The pharmacokinetic parameters for FOLLISTIM AQ Cartridge are as follows:

Table 5: Mean (SD) Pharmacokinetic Parameters of a Single Subcutaneous Injection of 150 IU of FOLLISTIM AQ Cartridge (n=20)
AUC0–∞

(IU/L*h)
Cmax

(IU/L)
tmax

(h)
t½

(h)
CLapp

(L/h/kg)
AUC0–∞ Area under the curve

Cmax Maximum concentration

tmax Time to maximum concentration

t½ Elimination half-life

CLapp Clearance
FOLLISTIM AQ 215.1 3.4 12.9 33.4 0.01
Cartridge (45.8) (0.7) (6.2) (4.2) (0.003)
5.7 Ectopic Pregnancy

Since infertile women undergoing IVF or ICSI often have tubal abnormalities, the incidence of ectopic pregnancies might be increased. Early confirmation of an intrauterine pregnancy should be determined by β-hCG testing and transvaginal ultrasound.

5.9 Ovarian Neoplasms

There have been infrequent reports of ovarian neoplasms, both benign and malignant, in women who have undergone multiple drug regimens for controlled ovarian stimulation; however, a causal relationship has not been established.

1 Indications and Usage (1 INDICATIONS AND USAGE)

FOLLISTIM® AQ Cartridge (follitropin beta) injection, is indicated:

In Women for:

14.1 Ovulation Induction

The efficacy of FOLLISTIM for ovulation induction was evaluated in a randomized, assessor-blind, parallel-group comparative, multicenter safety and efficacy study of 172 chronic anovulatory women (105 subjects on FOLLISTIM) who had previously failed to ovulate and/or conceive during clomiphene citrate treatment. The study results for ovulation rates are summarized in Table 6 and those for pregnancy rates are summarized in Table 7.

Table 6: Cumulative Ovulation Rates
Cycle FOLLISTIM

(n=105)
First treatment cycle 72%
Second treatment cycle 82%
Third treatment cycle 85%
Table 7: Cumulative Ongoing
All ongoing pregnancies were confirmed after at least 12 weeks after the hCG injection.
, 
Study was not powered to demonstrate this outcome.
Pregnancy Rates
Cycle FOLLISTIM

(n=105)
First treatment cycle 14%
Second treatment cycle 19%
Third treatment cycle 23%
5.6 Congenital Anomalies

The incidence of congenital malformations after IVF or ICSI may be slightly higher than after spontaneous conception. This slightly higher incidence is thought to be related to differences in parental characteristics (e.g., maternal age, sperm characteristics) and to the higher incidence of multi-fetal gestations after IVF or ICSI. There are no indications that the use of gonadotropins during IVF or ICSI is associated with an increased risk of congenital malformations.

5.8 Spontaneous Abortion

The risk of spontaneous abortions (miscarriage) is increased with gonadotropin products. However, causality has not been established. The increased risk may be a factor of the underlying infertility.

5 Warnings and Precautions (5 WARNINGS AND PRECAUTIONS)

FOLLISTIM AQ Cartridge should be used only by physicians who are experienced in infertility treatment. FOLLISTIM AQ Cartridge contains a potent gonadotropic substance capable of causing Ovarian Hyperstimulation Syndrome (OHSS) [see Warnings and Precautions (5.2)] with or without pulmonary or vascular complications [see Warnings and Precautions (5.3)] and multiple births [see Warnings and Precautions (5.5)]. Gonadotropin therapy requires the availability of appropriate monitoring facilities [see Warnings and Precautions (5.10)].

Careful attention should be given to the diagnosis of infertility and in the selection of candidates for FOLLISTIM AQ Cartridge therapy [see Indications and Usage (1.1, 1.2, 1.3) and Dosage and Administration (2.2, 2.3, 2.4)].

Switching to FOLLISTIM AQ Cartridge from other brands (manufacturer), types (recombinant, urinary), and/or methods of administration (FOLLISTIM Pen, conventional syringe) may necessitate an adjustment of the dose [see Dosage and Administration (2)].

2 Dosage and Administration (2 DOSAGE AND ADMINISTRATION)

See Dose Conversion Table 1 for FOLLISTIM AQ Cartridge with Pen Injector (2.1)

In Anovulatory Women Undergoing Ovulation Induction (2.2):

  • Starting daily dose of 50 international units of FOLLISTIM AQ Cartridge is administered subcutaneously for at least the first 7 days. The dose is increased by 25 or 50 international units at weekly intervals until follicular growth and/or serum estradiol levels indicate an adequate response.
    • When an acceptable pre-ovulatory state is achieved, final oocyte maturation is achieved with 5,000 to 10,000 international units of urinary human chorionic gonadotropin (hCG).
    • The woman and her partner should have intercourse daily, beginning on the day prior to the administration of hCG and until ovulation becomes apparent.

In Normal Ovulatory Women Undergoing Controlled Ovarian Stimulation as Part of an In Vitro Fertilization or Intracytoplasmic Sperm Injection Cycle (2.3):

  • Starting dose of 200 international units (actual cartridge doses) of FOLLISTIM AQ Cartridge is administered subcutaneously for at least the first 7 days of treatment. Subsequent doses can be adjusted down or up based upon ovarian response as determined by ultrasound evaluation of follicular growth and serum estradiol levels. Dosage reduction in high responders can be considered from the 6th day of treatment onward according to individual response.
    • Final oocyte maturation is induced with a dose of 5,000-10,000 international units of urinary hCG.
    • Oocyte (egg) retrieval is performed 34 to 36 hours later.

Induction of Spermatogenesis in Men (2.4):

  • Pretreatment with urinary hCG alone (1,500 international units twice weekly) is required. If serum testosterone levels have not normalized after 8 weeks of hCG treatment, the dose may be increased to 3,000 international units twice a week.
  • After normalization of serum testosterone levels, administer 450 international units per week (225 international units twice weekly or 150 international units three times weekly) of FOLLISTIM AQ Cartridge subcutaneously with the same pre-treatment hCG dose used to normalize testosterone levels.
3 Dosage Forms and Strengths (3 DOSAGE FORMS AND STRENGTHS)

FOLLISTIM AQ Cartridge is a clear and colorless solution available as:

Injection: 300 international units per 0.36 mL in a single-patient-use cartridge

Injection: 600 international units per 0.72 mL in a single-patient-use cartridge

Injection: 900 international units per 1.08 mL in a single-patient-use cartridge

6.2 Postmarketing Experience

The following adverse reactions have been identified during post-approval use of FOLLISTIM and/or FOLLISTIM AQ Cartridge. Because these reactions are reported voluntarily from a population of uncertain size, it is not always possible to reliably estimate their frequency or establish a causal relationship to drug exposure.

Gastrointestinal disorders

Abdominal distension, abdominal pain, constipation, diarrhea

General disorders and administration site conditions

Injection site reaction

Immune system disorders

Hypersensitivity reactions including anaphylaxis, pruritus, rash, and urticaria

Reproductive system and breast disorders

Breast tenderness, metrorrhagia, ovarian enlargement, vaginal hemorrhage

Skin and subcutaneous tissue disorders

Rash

Vascular disorders

Thromboembolism [see Warnings and Precautions (5.3)]

6.1 Clinical Study Experience

Because clinical trials are conducted under widely varying conditions, adverse reactions rates observed in the clinical trials of a drug cannot be directly compared to rates in the clinical trial of another drug and may not reflect the rates observed in practice.

8 Use in Specific Populations (8 USE IN SPECIFIC POPULATIONS)

Lactation: It is not known whether this drug is excreted in human milk. (8.2)

2.1 General Dosing Information
  • Parenteral drug products should be inspected visually for particulate matter and discoloration prior to administration, whenever solution and container permit. If the solution is not clear and colorless or has particles in it, the solution should not be used.
  • Do not add any other medicines into the FOLLISTIM AQ Cartridge.
  • FOLLISTIM AQ Cartridge with the pen injector device delivers on average an 18% higher amount of follitropin beta when compared to reconstituted FOLLISTIM delivered with a conventional syringe and needle. When administering FOLLISTIM AQ Cartridge, a lower starting dose and lower dose adjustments (as compared to reconstituted FOLLISTIM) should be considered. For that purpose the following Dose Conversion Table is provided:
Table 1: FOLLISTIM AQ Cartridge Administered Subcutaneously with the FOLLISTIM Pen Dose Conversion Table
Each value represents an 18% difference rounded to the nearest 25 IU increment.
Lyophilized recombinant FSH dosing with

ampules or vials, using conventional syringe
FOLLISTIM AQ Cartridge

dosing with the FOLLISTIM Pen
75 IU 50 IU
150 IU 125 IU
225 IU 175 IU
300 IU 250 IU
375 IU 300 IU
450 IU 375 IU
5.1 Abnormal Ovarian Enlargement

In order to minimize the hazards associated with abnormal ovarian enlargement that may occur with FOLLISTIM AQ therapy, treatment should be individualized and the lowest effective dose should be used [see Dosage and Administration (2.2, 2.3) ]. Use of ultrasound monitoring of ovarian response and/or measurement of serum estradiol levels is important to minimize the risk of overstimulation [see Warnings and Precautions (5.8)].

If the ovaries are abnormally enlarged on the last day of FOLLISTIM AQ therapy, hCG should not be administered in order to reduce the chances of developing Ovarian Hyperstimulation Syndrome (OHSS). Intercourse should be prohibited in patients with significant ovarian enlargement after ovulation because of the danger of hemoperitoneum resulting from ruptured ovarian cysts [see Warnings and Precautions (5.3)].

14.3 Induction of Spermatogenesis

The safety and efficacy of FOLLISTIM administered by subcutaneous injection concomitantly with chorionic gonadotropin for injection (hCG) has been examined in a multicenter, open-label, non-comparator clinical study for induction of spermatogenesis in hypogonadotropic hypogonadal men. The study compared the effects of two different FOLLISTIM dosing schedules on semen parameters and serum levels of follicle stimulating hormone (FSH). The multicenter study involved a 16-week pretreatment phase with urinary hCG at a dosage of 1,500 international units twice a week to normalize serum testosterone levels. If serum testosterone levels did not normalize after 8 weeks of hCG treatment, the urinary hCG dose could have been increased to 3,000 international units twice a week. This phase was followed by a 48-week treatment phase. Men who were still azoospermic after the pretreatment phase were randomized to receive either 225 international units FOLLISTIM together with 1,500 international units urinary hCG twice a week or 150 international units FOLLISTIM three times a week together with 1,500 international units urinary hCG twice weekly. Men who required 3,000 international units of urinary hCG twice a week in the pretreatment phase were continued on that dosage during the treatment phase. The mean age of patients in both treatment groups was approximately 30 years (range 18 to 47 years). At baseline, mean left and right testis volumes were 4.61 ± 2.94 mL and 4.57 ± 3.00 mL, respectively, in the group receiving three weekly injections of FOLLISTIM. For the group receiving two weekly injections of FOLLISTIM, the mean left and right testis volumes were 6.54 ± 2.45 mL and 7.21 ± 2.94 mL, respectively, at baseline. The primary efficacy endpoint was the FOLLISTIM percentage of patients with a mean sperm density of ≥1 × 106/mL on their last two treatment assessments. The outcomes of treatment in the 30 men enrolled in the treatment phase are summarized in Table 9.

Table 9: Number of Men Receiving FOLLISTIM Who Achieved a Mean Sperm Density of ≥106/mL on Their Last Two Treatment Assessments
FOLLISTIM 150 international units three times a week

(n=15)
FOLLISTIM 225 international units twice a week

(n=15)
Overall

(n=30)
Sperm Density of ≥106/mL n % n % n %
Yes 6 40 7 47 13 43
No 9 60 8 53 17 57

Overall, the median time to reach a sperm concentration of 106 per mL was 165 days (range 25 to 327 days) in patients who demonstrated a sperm concentration of at least 106 per mL. The median time to reach a sperm concentration of at least 106 per mL was 186 days (range 25 to 327 days) for the 150 international units group and 141 days (range 43 to 204 days) for the 225 international units group. No pregnancy data were collected during the trial.

The local tolerance data were comparable between the two treatment groups. The mean percentage of days without pain calculated for all subjects in the treatment period was 91.3% for patients in the 150 international units (three times a week) and 76.0% for patients in the 225 international units (two times a week) FOLLISTIM treatment groups. In the 225 international units (twice per week) group, local symptoms judged as severe by the investigator were: itching in 1 patient (7%), pain in 2 patients (13%), bruising in 2 patients (13%), swelling in 2 patients (13%), and redness in 1 patient (7%). In the 150 international units (three times per week) group, 1 event in 1 patient (bruising, 7%) was judged as severe. No patient discontinued treatment due to injection site reaction or injection site pain.

17 Patient Counseling Information (17 PATIENT COUNSELING INFORMATION)

Advise the patient to read the FDA-approved patient labeling (Patient Information).

Hypersensitivity Reactions and Anaphylaxis

Advise patients to discontinue FOLLISTIM AQ Cartridge and seek immediate medical attention if any signs or symptoms of a hypersensitivity reaction occur [see Contraindications (4) and Adverse Reactions (6.2)].

Dosing and Use of FOLLISTIM AQ Cartridge with Pen

Instruct women and men on the correct usage and dosing of FOLLISTIM AQ Cartridge in conjunction with the FOLLISTIM Pen. Make sure that individuals who have used other gonadotropin products delivered by a syringe are aware of differences arising from use of the pen. Women and men should read and follow all instructions in the FOLLISTIM Pen "Instructions for Use" Manual prior to administration of FOLLISTIM AQ Cartridge.

Advise women and men of the number of doses which can be extracted from the full unused FOLLISTIM AQ Cartridge that you have prescribed.

Therapy Duration and Necessary Monitoring in Women and Men Undergoing Treatment

Prior to beginning therapy with FOLLISTIM AQ Cartridge, inform women and men about the time commitment and monitoring procedures necessary to undergo treatment [see Dosage and Administration (2), Warnings and Precautions (5.10)].

Instructions on a Missed Dose

Inform women and men that if they miss or forget to take a dose of FOLLISTIM AQ Cartridge, the next dose should not be doubled and they should call the healthcare provider for further dosing instructions.

Ovarian Hyperstimulation Syndrome

Inform women regarding the risks with use of FOLLISTIM AQ Cartridge of Ovarian Hyperstimulation Syndrome [see Warnings and Precautions (5.2)] and associated symptoms including lung and blood vessel problems [see Warnings and Precautions (5.3)] and ovarian torsion [see Warnings and Precautions (5.4)].

Multi-fetal Gestation and Birth

Inform women regarding the risk of multi-fetal gestations with the use of FOLLISTIM AQ Cartridge [see Warnings and Precautions (5.5)].

5.5 Multi Fetal Gestation and Birth (5.5 Multi-fetal Gestation and Birth)

Multi-fetal gestation and births have been reported with all gonadotropin treatments including FOLLISTIM AQ Cartridge treatment. The woman and her partner should be advised of the potential risk of multi-fetal gestation and births before starting treatment.

16 How Supplied/storage and Handling (16 HOW SUPPLIED/STORAGE AND HANDLING)

FOLLISTIM AQ Cartridge (follitropin beta) injection is a clear and colorless solution in a disposable, prefilled single-patient-use glass cartridge with grey rubber piston and an aluminum crimp-cap with grey rubber inlay supplied in a box containing disposable, 29 gauge, ultra-fine, ½-inch, sterile BD Micro-Fine™ Pen Needles (for use with FOLLISTIM Pen available separately) and in the following presentations:

NDC 78206-129-01 FOLLISTIM AQ Cartridge 300 international units per 0.36 mL with silver crimp-caps and 5 BD Micro-Fine Pen Needles

NDC 78206-130-01 FOLLISTIM AQ Cartridge 600 international units per 0.72 mL with gold crimp-caps and 7 BD Micro-Fine Pen Needles

NDC 78206-131-01 FOLLISTIM AQ Cartridge 900 international units per 1.08 mL with blue crimp-caps and 10 BD Micro-Fine Pen Needles

5.3 Pulmonary and Vascular Complications

Serious pulmonary conditions (e.g., atelectasis, acute respiratory distress syndrome) have been reported in women treated with gonadotropins. In addition, thromboembolic reactions both in association with, and separate from OHSS have been reported following gonadotropin therapy. Intravascular thrombosis, which may originate in venous or arterial vessels, can result in reduced blood flow to vital organs or the extremities. Women with generally recognized risk factors for thrombosis, such as a personal or family history, severe obesity, or thrombophilia, may have an increased risk of venous or arterial thromboembolic events, during or following treatment with gonadotropins. Sequelae of such reactions have included venous thrombophlebitis, pulmonary embolism, pulmonary infarction, cerebral vascular occlusion (stroke), and arterial occlusion resulting in loss of limb and rarely in myocardial infarction. In rare cases, pulmonary complications and/or thromboembolic reactions have resulted in death. In women with recognized risk factors, the benefits of ovulation induction, in vitro fertilization (IVF) or intracytoplasmic sperm injection (ICSI) treatment need to be weighed against the risks. It should be noted that pregnancy itself also carries an increased risk of thrombosis.

5.2 Ovarian Hyperstimulation Syndrome (ohss) (5.2 Ovarian Hyperstimulation Syndrome (OHSS))

OHSS is a medical entity distinct from uncomplicated ovarian enlargement and may progress rapidly to become a serious medical condition. OHSS is characterized by a dramatic increase in vascular permeability, which can result in a rapid accumulation of fluid in the peritoneal cavity, thorax, and potentially, the pericardium. The early warning signs of OHSS developing are severe pelvic pain, nausea, vomiting, and weight gain. Abdominal pain, abdominal distension, gastrointestinal symptoms including nausea, vomiting and diarrhea, severe ovarian enlargement, weight gain, dyspnea, and oliguria have been reported with OHSS. Clinical evaluation may reveal hypovolemia, hemoconcentration, electrolyte imbalances, ascites, hemoperitoneum, pleural effusions, hydrothorax, acute pulmonary distress, and thromboembolic reactions [see Warnings and Precautions (5.3)]. Transient liver function test abnormalities suggestive of hepatic dysfunction with or without morphologic changes on liver biopsy have also been reported in association with OHSS.

OHSS occurs after gonadotropin treatment has been discontinued, and it can develop rapidly, reaching its maximum about seven to ten days following treatment. Usually, OHSS resolves spontaneously with the onset of menses. If there is a risk for OHSS evident prior to hCG administration [see Warnings and Precautions (5.1)], the hCG must be withheld. Cases of OHSS are more common, more severe, and more protracted if pregnancy occurs; therefore, women should be assessed for the development of OHSS for at least two weeks after hCG administration.

If serious OHSS occurs, gonadotropins, including hCG, should be stopped and consideration should be given as to whether the patient needs to be hospitalized. Treatment is primarily symptomatic and overall should consist of bed rest, fluid and electrolyte management, and analgesics (if needed). Because the use of diuretics can accentuate the diminished intravascular volume, diuretics should be avoided except in the late phase of resolution as described below. The management of OHSS may be divided into three phases as follows:

  • Acute Phase:
    •  
      Management should be directed at preventing hemoconcentration due to loss of intravascular volume to the third space and minimizing the risk of thromboembolic phenomena and kidney damage. Fluid intake and output, weight, hematocrit, serum and urinary electrolytes, urine specific gravity, BUN and creatinine, total proteins with albumin: globulin ratio, coagulation studies, electrocardiogram to monitor for hyperkalemia, and abdominal girth should be thoroughly assessed daily or more often based on the clinical need. Treatment, consisting of limited intravenous fluids, electrolytes, and human serum albumin is intended to normalize electrolytes while maintaining an acceptable but somewhat reduced intravascular volume. Full correction of the intravascular volume deficit may lead to an unacceptable increase in the amount of third space fluid accumulation.
  • Chronic Phase:
    •  
      After the acute phase is successfully managed as above, excessive fluid accumulation in the third space should be limited by instituting severe potassium, sodium, and fluid restriction.
  • Resolution Phase:
    •  
      As third space fluid returns to the intravascular compartment, a fall in hematocrit and increasing urinary output are observed in the absence of any increase in intake. Peripheral and/or pulmonary edema may result if the kidneys are unable to excrete third space fluid as rapidly as it is mobilized. Diuretics may be indicated during the resolution phase, if necessary, to combat pulmonary edema.

OHSS increases the risk of injury to the ovary. The ascitic, pleural, and pericardial fluid should not be removed unless there is the necessity to relieve symptoms such as pulmonary distress or cardiac tamponade. Pelvic examination may cause rupture of an ovarian cyst, which may result in hemoperitoneum, and should therefore be avoided. If bleeding occurs and requires surgical intervention, the clinical objective should be to control the bleeding and retain as much ovarian tissue as possible.

During clinical trials with FOLLISTIM or FOLLISTIM AQ Cartridge therapy, OHSS occurred in 7.6% of 105 women (OI) and 6.4% of 751 women (IVF or ICSI) treated with FOLLISTIM and FOLLISTIM AQ Cartridge, respectively.

13.1 Carcinogenesis, Mutagenesis, Impairment of Fertility

Long-term toxicity studies in animals have not been performed with FOLLISTIM to evaluate the carcinogenic potential of the drug. FOLLISTIM was not mutagenic in the Ames test using S. typhimurium and E. coli tester strains and did not produce chromosomal aberrations in an in vitro assay using human lymphocytes.

2.4 Recommended Dosing for Induction of Spermatogenesis in Men
  • Pretreatment with hCG is required prior to concomitant therapy with FOLLISTIM AQ Cartridge and hCG. An initial dosage of 1,500 international units of urinary hCG should be administered at twice weekly intervals to normalize serum testosterone levels. If serum testosterone levels have not normalized after 8 weeks of hCG treatment, the urinary hCG dose can be increased to 3,000 international units twice weekly [see Clinical Studies (14.3)].
  • After normal serum testosterone levels have been reached, FOLLISTIM AQ Cartridge should be administered by subcutaneous injection concomitantly with hCG treatment. FOLLISTIM is given at a dosage of 450 international units per week, as either 225 international units twice weekly or 150 international units three times per week, in combination with the same hCG dose used to normalize testosterone levels. Based on delivery of a higher dose of follitropin beta with the FOLLISTIM AQ Cartridge and pen injector [see Dosage and Administration (2.1)], a lower dose of FOLLISTIM AQ Cartridge may be considered.



    The concomitant therapy should be continued for at least 3 to 4 months before any improvement in spermatogenesis can be expected. If a man has not responded after this period, the combination therapy may be continued. Treatment response has been noted at up to 12 months.
2.2 Recommended Dosing in Anovulatory Women Undergoing Ovulation Induction

The dosing scheme is stepwise and is individualized for each woman [see Clinical Studies (14.1)].

  • A starting daily dose of 50 international units of FOLLISTIM AQ Cartridge is administered [see Dosage and Administration (2.1)] subcutaneously daily for at least the first 7 days.
  • Subsequent dosage adjustments are made at weekly intervals based upon ovarian response. If an increase in dose is indicated by the ovarian response, the increase should be made by 25 or 50 international units of FOLLISTIM AQ Cartridge at weekly intervals until follicular growth and/or serum estradiol levels indicate an adequate ovarian response.

    The following should be considered when planning the woman's individualized dose:
    • Appropriate FOLLISTIM AQ Cartridge dose adjustment(s) should be used to prevent multiple follicular growth and cycle cancellation.
    • The maximum, individualized, daily dose of FOLLISTIM AQ Cartridge is 250 international units.
  • Treatment should continue until ultrasonic visualizations and/or serum estradiol determinations approximate the pre-ovulatory conditions seen in normal individuals.
  • When pre-ovulatory conditions are reached, 5,000 to 10,000 international units of urinary hCG are used to induce final oocyte maturation and ovulation.

    The administration of hCG must be withheld in cases where the ovarian monitoring suggests an increased risk of OHSS on the last day of FOLLISTIM AQ Cartridge therapy [see Warnings and Precautions (5.1, 5.2, 5.10)].
  • The woman and her partner should be encouraged to have intercourse daily, beginning on the day prior to the administration of hCG and until ovulation becomes apparent [see Warnings and Precautions (5.10) ].
  • During treatment with FOLLISTIM AQ Cartridge and during a two-week post-treatment period, the woman should be assessed at least every other day for signs of excessive ovarian stimulation.

    It is recommended that FOLLISTIM AQ Cartridge administration be stopped if the ovarian monitoring suggests an increased risk of OHSS or abdominal pain occurs. Most OHSS occurs after treatment has been discontinued and reaches its maximum at about seven to ten days post-ovulation.
14.2 Controlled Ovarian Stimulation As Part of An in Vitro Fertilization (ivf) Or Intracytoplasmic Sperm Injection (icsi) Cycle (14.2 Controlled Ovarian Stimulation as Part of an In Vitro Fertilization (IVF) or Intracytoplasmic Sperm Injection (ICSI) Cycle)

The efficacy of FOLLISTIM AQ Cartridge was evaluated in a randomized, double-blind, active-controlled study of 1,509 healthy normal ovulatory women (mean age, body weight, and body mass index of 32 years, 68 kg and 25 kg/m2, respectively) treated for one cycle with controlled ovarian stimulation and pituitary suppression with a GnRH antagonist as part of an in vitro fertilization or intracytoplasmic sperm injection cycle. This 2008 study was conducted in Europe and North America (United States and Canada). Approximately 54% of the subjects were from North America. The overall results, as well as the results from North America only, for clinical pregnancy are summarized in Table 8.

Table 8: Pregnancy Results from Treatment With FOLLISTIM AQ Cartridge and a GnRH Antagonist in Normal Ovulatory Women Undergoing Controlled Ovarian Stimulation as Part of an In Vitro Fertilization or Intracytoplasmic Sperm Injection Cycle.
Single treatment cycle results.
Intent-to-Treat Population (ITT)
Parameter FOLLISTIM AQ Cartridge

Overall data

(n=750)
FOLLISTIM AQ Cartridge

North American data

(n=403)
Clinical pregnancy rate/cycle initiation
Clinical pregnancy was assessed ≥6 weeks after transfer of one or two embryos.
41.1% 48.9%
1.1 Induction of Ovulation and Pregnancy in Anovulatory Infertile Women in Whom the Cause of Infertility Is Functional and Not Due to Primary Ovarian Failure (1.1 Induction of Ovulation and Pregnancy in Anovulatory Infertile Women in Whom the Cause of Infertility is Functional and Not Due to Primary Ovarian Failure)

Prior to initiation of treatment with FOLLISTIM AQ Cartridge:

  • Women should have a complete gynecologic and endocrinologic evaluation.
  • Primary ovarian failure should be excluded.
  • The possibility of pregnancy should be excluded.
  • Tubal patency should be demonstrated.
  • The fertility status of the male partner should be evaluated.
1.2 Pregnancy in Normal Ovulatory Women Undergoing Controlled Ovarian Stimulation As Part of An in Vitro Fertilization (ivf) Or Intracytoplasmic Sperm Injection (icsi) Cycle (1.2 Pregnancy in Normal Ovulatory Women Undergoing Controlled Ovarian Stimulation as Part of an In Vitro Fertilization (IVF) or Intracytoplasmic Sperm Injection (ICSI) Cycle)

Prior to initiation of treatment with FOLLISTIM AQ Cartridge:

  • Women should have a complete gynecologic and endocrinologic evaluation and diagnosis of cause of infertility.
  • The possibility of pregnancy should be excluded.
  • The fertility status of the male partner should be evaluated.

In Men for:

1.3 Induction of Spermatogenesis in Men With Primary and Secondary Hypogonadotropic Hypogonadism (hh) in Whom the Cause of Infertility Is Not Due to Primary Testicular Failure (1.3 Induction of Spermatogenesis in Men with Primary and Secondary Hypogonadotropic Hypogonadism (HH) in Whom the Cause of Infertility is Not Due to Primary Testicular Failure)

Prior to initiation of treatment with FOLLISTIM AQ Cartridge:

  • Men should have a complete medical and endocrinologic evaluation.
  • Hypogonadotropic hypogonadism should be confirmed and primary testicular failure should be excluded.
  • Serum testosterone levels should be normalized with human chorionic gonadotropin (hCG) treatment.
  • The fertility status of the female partner should be evaluated.
2.3 Recommended Dosing in Normal Ovulatory Women Undergoing Controlled Ovarian Stimulation As Part of An in Vitro Fertilization (ivf) Or Intracytoplasmic Sperm Injection (icsi) Cycle (2.3 Recommended Dosing in Normal Ovulatory Women Undergoing Controlled Ovarian Stimulation as Part of an In Vitro Fertilization (IVF) or Intracytoplasmic Sperm Injection (ICSI) Cycle)

The dosing scheme follows a stepwise approach and is individualized for each woman.

  • A starting dose of 200 international units (actual cartridge doses) of FOLLISTIM AQ Cartridge is administered [see Dosage and Administration (2.1)] subcutaneously daily for at least the first 7 days of treatment.
  • Subsequent to the first 7 days of treatment, the dose can be adjusted down or up based upon the woman's ovarian response as determined by ultrasound evaluation of follicular growth and serum estradiol levels. Dosage reduction in high responders can be considered from the 6th day of treatment onward according to individual response.



    The following should be considered when planning the woman's individualized dose:
    • For most normal responding women, the daily starting dose can be continued until pre-ovulatory conditions are achieved (seven to twelve days).
    • For low or poor responding women, the daily dose should be increased according to the ovarian response. The maximum, individualized, daily dose of FOLLISTIM AQ Cartridge is 500 international units.
    • For high responding women [those at particular risk of abnormal ovarian enlargement and/or ovarian hyperstimulation syndrome (OHSS)], decrease or temporarily stop the daily dose, or discontinue the cycle according to individual response [see Warnings and Precautions (5.1, 5.2, 5.10)].
  • When a sufficient number of follicles of adequate size are present, dosing of FOLLISTIM AQ Cartridge is stopped and final maturation of the oocytes is induced by administering urinary hCG at a dose of 5,000 to 10,000 international units. The administration of hCG should be withheld in cases where the ovarian monitoring suggests an increased risk of OHSS on the last day of FOLLISTIM AQ Cartridge therapy [see Warnings and Precautions (5.1, 5.2, 5.10)].
  • Oocyte (egg) retrieval should be performed 34 to 36 hours following the administration of hCG.

Advanced Ingredient Data


Raw Label Data

All Sections (JSON)