Corphona

Corphona
SPL v1
SPL
SPL Set ID 4694616b-4ef4-28a4-e063-6394a90ac5f6
Route
ORAL
Published
Effective Date 2025-12-22
Document Type 34391-3 HUMAN PRESCRIPTION DRUG LABEL

Drug Facts

Composition & Product

Active Ingredients
Dexchlorpheniramine (2 mg)
Inactive Ingredients
Citric Acid Monohydrate Fd&c Red No. 40 Glycerin Menthol, Unspecified Form Methylparaben Propylene Glycol Propylparaben Water Trisodium Citrate Dihydrate Sucrose Cherry

Identifiers & Packaging

Pill Appearance
Color: red
Marketing Status
ANDA Active Since 2025-10-22

Description

Rx only

Indications and Usage

Perennial and seasonal allergic rhinitis Vasomotor rhinitis Allergic conjunctivitis due to inhalant allergens and foods Mild, uncomplicated allergic skin manifestations of urticaria and angioedema Amelioration of allergic reactions to blood or plasma Dermographism As therapy for anaphylactic reactions adjunctive to epinephrine and other standard measures after the acute manifestations have been controlled.

Dosage and Administration

DOSAGE SHOULD BE INDIVIDUALIZED ACCORDING TO THE NEEDS AND THE RESPONSE OF THE PATIENT.

Contraindications

-

Adverse Reactions

General: Urticaria, drug rash, anaphylactic shock, photosensitivity, excessive perspiration, chills, dryness of mouth, nose and the throat. Cardiovascular System: Hemolytic anemia, thrombocytopenia, agranulocytosis. Hematologic System: Hemolytic anemia, thrombocytopenia, agranulocytosis. Nervous System: Sedation, sleepiness, dizziness, disturbed coordination, fatigue, confusion, restlessness, excitation, nervousness, tremor, irritability, insomnia, euphoria, paresthesias, blurred vision, diplopia, vertigo, tinnitus, acute labyrinthitis, hysteria, neuritis, convulsions. G.I. System: Epigastric distress, anorexia, nausea, vomiting, diarrhea, constipation. G.U. System: Urinary frequency, difficult urination, urinary retention, early menses. Respiratory System: Thickening of bronchial secretions, tightness of chest and wheezing, nasal stuffiness. Call your doctor for medical advice about side effects. You may voluntarily report side effects to FDA at 1-800-FDA-1088. Questions or comments? Call BluCrest Pharmaceuticals, LLC at 1-844-700-5011.

How Supplied

CORPHENA Oral Solution is supplied as a red colored, cherry flavored liquid in the following sizes: 8 fl oz (237 mL), NDC 73684-300-08


Medication Information

Indications and Usage

Perennial and seasonal allergic rhinitis

Vasomotor rhinitis

Allergic conjunctivitis due to inhalant allergens and foods

Mild, uncomplicated allergic skin manifestations of urticaria and angioedema

Amelioration of allergic reactions to blood or plasma

Dermographism

As therapy for anaphylactic reactions adjunctive to epinephrine and other standard measures after the acute manifestations have been controlled.

Dosage and Administration

DOSAGE SHOULD BE INDIVIDUALIZED ACCORDING TO THE NEEDS AND THE RESPONSE OF THE PATIENT.

Contraindications

-

Adverse Reactions
  • General:Urticaria, drug rash, anaphylactic shock, photosensitivity, excessive perspiration, chills, dryness of mouth, nose and the throat.
  • Cardiovascular System:Hemolytic anemia, thrombocytopenia, agranulocytosis.
  • Hematologic System:Hemolytic anemia, thrombocytopenia, agranulocytosis.
  • Nervous System:Sedation, sleepiness, dizziness, disturbed coordination, fatigue, confusion, restlessness, excitation, nervousness, tremor, irritability, insomnia, euphoria, paresthesias, blurred vision, diplopia, vertigo, tinnitus, acute labyrinthitis, hysteria, neuritis, convulsions.
  • G.I. System:Epigastric distress, anorexia, nausea, vomiting, diarrhea, constipation.
  • G.U. System:Urinary frequency, difficult urination, urinary retention, early menses.
  • Respiratory System:Thickening of bronchial secretions, tightness of chest and wheezing, nasal stuffiness.

Call your doctor for medical advice about side effects. You may voluntarily report side effects to FDA at 1-800-FDA-1088.Questions or comments? Call BluCrest Pharmaceuticals, LLC at 1-844-700-5011.

How Supplied

CORPHENA Oral Solution is supplied as a red colored, cherry flavored liquid in the following sizes:

8 fl oz (237 mL), NDC 73684-300-08

Description
Each 5 mL (teaspoonful) contains:
Dexchlorpheniramine Maleate, USP 2 mg

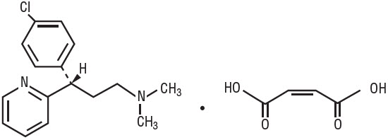
Dexchlorpheniramine Maleate, USP, an antihistamine agent, is a white, odorless crystalline powder that is freely soluble in water. The molecular formula is C 16H 19ClN 2∙ C 4H 4O 4, designated chemically as (+)-2-[p-Chloro-α-[2-(dimethylamino)ethyl]benzyl] pyridine maleate (1:1).

M.W. = 390.86

Inactive Ingredients:Citric acid, cherry flavoring, FD&C Red No. 40, glycerin, menthol, methylparaben, propylene glycol, propylparaben, purified water, sodium citrate dihydrate, and sugar.

Section 42229-5

Rx only

Warnings

Antihistamines should be used with considerable caution in patients with:

  • Narrow angle glaucoma
  • Stenosing peptic ulcer
  • Pyloroduodenal obstruction
  • Symptomatic prostatic hypertrophy
  • Bladder neck obstruction
Overdosage

Antihistamine overdosage reactions may vary from central nervous system depression to stimulation. Stimulation is particularly likely in children. Atropine-like signs and symptoms—dry mouth, fixed, dilated pupils, flushing, and gastrointestinal symptoms may also occur.

If vomiting has not occurred spontaneouslythe patient should be induced to vomit. This is best done by having the patient drink a glass of water or milk after which the patient should be made to gag. Precautions against aspiration must be taken, especially in infants and children.

Saline cathartics, such as milk of magnesia, draw water into the bowel by osmosis and therefore, are valuable for their action in rapid dilution of bowel content.

Stimulants should not be used.

Vasopressors may be used to treat hypotension.

Precautions

CORPHENA Oral Solution has an atropine-like action and, therefore, should be used with caution in patients with:

History of bronchial asthma

Increased intraocular pressure Hyperthyroidism

Cardiovascular disease

Hypertension

Use in Children

In infants and children, especially, antihistamines in overdosagemay cause hallucinations, convulsions, or death.

As in adults, antihistamines may diminish mental alertness in children. In the young child, particularly, they may produce excitation.

Drug Interaction

MAO inhibitors prolong and intensify the anticholinergic (drying) effects of antihistamines.

Use in Pregnancy

Experience with this drug in pregnant women is inadequate to determine whether there exists a potential for harm to the developing fetus.

Recommended Dosage

Adults and Children 12 years of age and older: 2 mg (1 teaspoonful)

Children 6 to 11 years: 1 mg (1/2 teaspoonful)

Children 2 to 5 years: 0.5 mg (1/4 teaspoonful)

Doses are generally given every 4 to 6 hours.

Recommended Storage

Store at 20° to 25°C (68° to 77°F) [see USP Controlled Room Temperature].

Dispense in a tight, light-resistant container as defined in the USP, with child-resistant closure.

Clinical Pharmacology

Dexchlorpheniramine maleate is an antihistamine with anticholinergic (drying) and sedative side effects. Antihistamines appear to compete with histamine for cell receptor sites on effector cells.

Use in Nursing Mothers

Because of the higher risk of antihistamines for infants generally and for newborns and prematures in particular, antihistamine therapy is contraindicated in nursing mothers.

Use With Cns Depressants

CORPHENA Oral Solution has additive effects with alcohol and other CNS depressants (hypnotics, sedatives, tranquilizers, etc.).

Use in Lower Respiratory Disease

Antihistamines should NOTbe used to treat lower respiratory tract symptoms including asthma.

Antihistamines are also contraindicated in the following conditions:

  • Hypersensitivity to dexchlorpheniramine maleate or other antihistamines of similar chemical structure
  • Monoamine oxidase inhibitor therapy (See Drug Interaction section)
Use in Newborn Or Premature Infants

This drug should not be used in newborn or premature infants.

Use in Activities Requiring Mental Alertness

Patients should be warned about engaging in activities requiring mental alertness such as driving a car or operating appliances, machinery, etc.

Principal Display Panel 237 Ml Bottle Label

Use in the Elderly (approximately 60 Years Or Older)

Antihistamines are more likely to cause dizziness, sedation, and hypotension in elderly patients.


Structured Label Content

Section 42229-5 (42229-5)

Rx only

Warnings (WARNINGS)

Antihistamines should be used with considerable caution in patients with:

  • Narrow angle glaucoma
  • Stenosing peptic ulcer
  • Pyloroduodenal obstruction
  • Symptomatic prostatic hypertrophy
  • Bladder neck obstruction
Overdosage (OVERDOSAGE)

Antihistamine overdosage reactions may vary from central nervous system depression to stimulation. Stimulation is particularly likely in children. Atropine-like signs and symptoms—dry mouth, fixed, dilated pupils, flushing, and gastrointestinal symptoms may also occur.

If vomiting has not occurred spontaneouslythe patient should be induced to vomit. This is best done by having the patient drink a glass of water or milk after which the patient should be made to gag. Precautions against aspiration must be taken, especially in infants and children.

Saline cathartics, such as milk of magnesia, draw water into the bowel by osmosis and therefore, are valuable for their action in rapid dilution of bowel content.

Stimulants should not be used.

Vasopressors may be used to treat hypotension.

Description (DESCRIPTION)
Each 5 mL (teaspoonful) contains:
Dexchlorpheniramine Maleate, USP 2 mg

Dexchlorpheniramine Maleate, USP, an antihistamine agent, is a white, odorless crystalline powder that is freely soluble in water. The molecular formula is C 16H 19ClN 2∙ C 4H 4O 4, designated chemically as (+)-2-[p-Chloro-α-[2-(dimethylamino)ethyl]benzyl] pyridine maleate (1:1).

M.W. = 390.86

Inactive Ingredients:Citric acid, cherry flavoring, FD&C Red No. 40, glycerin, menthol, methylparaben, propylene glycol, propylparaben, purified water, sodium citrate dihydrate, and sugar.

Precautions (PRECAUTIONS)

CORPHENA Oral Solution has an atropine-like action and, therefore, should be used with caution in patients with:

History of bronchial asthma

Increased intraocular pressure Hyperthyroidism

Cardiovascular disease

Hypertension

How Supplied (HOW SUPPLIED)

CORPHENA Oral Solution is supplied as a red colored, cherry flavored liquid in the following sizes:

8 fl oz (237 mL), NDC 73684-300-08

Use in Children

In infants and children, especially, antihistamines in overdosagemay cause hallucinations, convulsions, or death.

As in adults, antihistamines may diminish mental alertness in children. In the young child, particularly, they may produce excitation.

Drug Interaction

MAO inhibitors prolong and intensify the anticholinergic (drying) effects of antihistamines.

Use in Pregnancy

Experience with this drug in pregnant women is inadequate to determine whether there exists a potential for harm to the developing fetus.

Adverse Reactions (ADVERSE REACTIONS)
  • General:Urticaria, drug rash, anaphylactic shock, photosensitivity, excessive perspiration, chills, dryness of mouth, nose and the throat.
  • Cardiovascular System:Hemolytic anemia, thrombocytopenia, agranulocytosis.
  • Hematologic System:Hemolytic anemia, thrombocytopenia, agranulocytosis.
  • Nervous System:Sedation, sleepiness, dizziness, disturbed coordination, fatigue, confusion, restlessness, excitation, nervousness, tremor, irritability, insomnia, euphoria, paresthesias, blurred vision, diplopia, vertigo, tinnitus, acute labyrinthitis, hysteria, neuritis, convulsions.
  • G.I. System:Epigastric distress, anorexia, nausea, vomiting, diarrhea, constipation.
  • G.U. System:Urinary frequency, difficult urination, urinary retention, early menses.
  • Respiratory System:Thickening of bronchial secretions, tightness of chest and wheezing, nasal stuffiness.

Call your doctor for medical advice about side effects. You may voluntarily report side effects to FDA at 1-800-FDA-1088.Questions or comments? Call BluCrest Pharmaceuticals, LLC at 1-844-700-5011.

Contraindications (CONTRAINDICATIONS)

-

Recommended Dosage

Adults and Children 12 years of age and older: 2 mg (1 teaspoonful)

Children 6 to 11 years: 1 mg (1/2 teaspoonful)

Children 2 to 5 years: 0.5 mg (1/4 teaspoonful)

Doses are generally given every 4 to 6 hours.

Recommended Storage (RECOMMENDED STORAGE)

Store at 20° to 25°C (68° to 77°F) [see USP Controlled Room Temperature].

Dispense in a tight, light-resistant container as defined in the USP, with child-resistant closure.

Clinical Pharmacology (CLINICAL PHARMACOLOGY)

Dexchlorpheniramine maleate is an antihistamine with anticholinergic (drying) and sedative side effects. Antihistamines appear to compete with histamine for cell receptor sites on effector cells.

Indications and Usage (INDICATIONS AND USAGE)

Perennial and seasonal allergic rhinitis

Vasomotor rhinitis

Allergic conjunctivitis due to inhalant allergens and foods

Mild, uncomplicated allergic skin manifestations of urticaria and angioedema

Amelioration of allergic reactions to blood or plasma

Dermographism

As therapy for anaphylactic reactions adjunctive to epinephrine and other standard measures after the acute manifestations have been controlled.

Use in Nursing Mothers

Because of the higher risk of antihistamines for infants generally and for newborns and prematures in particular, antihistamine therapy is contraindicated in nursing mothers.

Use With Cns Depressants (Use with CNS Depressants)

CORPHENA Oral Solution has additive effects with alcohol and other CNS depressants (hypnotics, sedatives, tranquilizers, etc.).

Dosage and Administration (DOSAGE AND ADMINISTRATION)

DOSAGE SHOULD BE INDIVIDUALIZED ACCORDING TO THE NEEDS AND THE RESPONSE OF THE PATIENT.

Use in Lower Respiratory Disease

Antihistamines should NOTbe used to treat lower respiratory tract symptoms including asthma.

Antihistamines are also contraindicated in the following conditions:

  • Hypersensitivity to dexchlorpheniramine maleate or other antihistamines of similar chemical structure
  • Monoamine oxidase inhibitor therapy (See Drug Interaction section)
Use in Newborn Or Premature Infants (Use in Newborn or Premature Infants)

This drug should not be used in newborn or premature infants.

Use in Activities Requiring Mental Alertness

Patients should be warned about engaging in activities requiring mental alertness such as driving a car or operating appliances, machinery, etc.

Principal Display Panel 237 Ml Bottle Label (PRINCIPAL DISPLAY PANEL - 237 mL Bottle Label)

Use in the Elderly (approximately 60 Years Or Older) (Use in the Elderly (approximately 60 years or older))

Antihistamines are more likely to cause dizziness, sedation, and hypotension in elderly patients.


Advanced Ingredient Data


Raw Label Data

All Sections (JSON)