Clindamycin Phosphate Topical Solution Usp, 1%

Clindamycin Phosphate Topical Solution Usp, 1%
SPL v13
SPL
SPL Set ID 461ab478-3cf6-4e9b-ba7d-0331b379cacf
Route
TOPICAL
Published
Effective Date 2026-02-02
Document Type 34391-3 HUMAN PRESCRIPTION DRUG LABEL

Drug Facts

Composition & Product

Active Ingredients
Clindamycin (10 mg)
Inactive Ingredients
Isopropyl Alcohol Propylene Glycol Water Sodium Hydroxide

Identifiers & Packaging

Marketing Status
ANDA Active Since 2013-09-17

Description

Rx Only

Indications and Usage

Clindamycin Phosphate Topical Solution USP, 1% is indicated in the treatment of acne vulgaris. In view of the potential for diarrhea, bloody diarrhea and pseudomembranous colitis, the physician should consider whether other agents are more appropriate (see CONTRAINDICATIONS , WARNINGS and ADVERSE REACTIONS ).

Dosage and Administration

Apply a thin film of Clindamycin Phosphate Topical Solution USP, 1% twice daily to affected area. Clindamycin Phosphate Topical Solution USP, 1% is flammable. Avoid fire, flame, and smoking during and immediately following application. Keep container tightly closed.

Contraindications

Clindamycin Phosphate Topical Solution USP, 1% is contraindicated in individuals with a history of hypersensitivity to preparations containing clindamycin or lincomycin, a history of regional enteritis or ulcerative colitis, or a history of antibiotic-associated colitis.

Adverse Reactions

In 18 clinical studies of various formulations of topical clindamycin phosphate using placebo vehicle and/or active comparator drugs as controls, patients experienced a number of treatment emergent adverse dermatologic events [see table below]. Number of Patients Reporting Events Treatment Emergent Adverse Event Solution n=553 (%) Gel n=148 (%) Lotion n=160 (%) Burning 62 (11) 15 (10) 17 (11) Itching 36 (7) 15 (10) 17 (11) Burning/Itching 60 (11) # (-) # (-) Dryness 105 (19) 34 (23) 29 (18) Erythema 86 (16) 10 (7) 22 (14) Oiliness/Oily Skin 8 (1) 26 (18) 12* (10) Peeling 61 (11) # (-) 11 (7) # not recorded * of 126 subjects Orally and parenterally administered clindamycin has been associated with severe colitis which may end fatally. Cases of diarrhea, bloody diarrhea and colitis (including pseudomembranous colitis) have been reported as adverse reactions in patients treated with oral and parenteral formulations of clindamycin and rarely with topical clindamycin (see WARNINGS ). Abdominal pain, gastrointestinal disturbances, gram-negative folliculitis, eye pain and contact dermatitis have also been reported in association with the use of topical formulations of clindamycin.

Drug Interactions

Clindamycin has been shown to have neuromuscular blocking properties that may enhance the action of other neuromuscular blocking agents. Therefore, it should be used with caution in patients receiving such agents.

How Supplied

Clindamycin Phosphate Topical Solution USP, 1% containing clindamycin phosphate equivalent to 10 mg clindamycin per milliliter is available in the following sizes: 30 mL applicator bottle (NDC 45802- 562 -01) 60 mL applicator bottle (NDC 45802- 562 -02)


Medication Information

Indications and Usage

Clindamycin Phosphate Topical Solution USP, 1% is indicated in the treatment of acne vulgaris. In view of the potential for diarrhea, bloody diarrhea and pseudomembranous colitis, the physician should consider whether other agents are more appropriate (see CONTRAINDICATIONS, WARNINGS and ADVERSE REACTIONS ).

Dosage and Administration

Apply a thin film of Clindamycin Phosphate Topical Solution USP, 1% twice daily to affected area. Clindamycin Phosphate Topical Solution USP, 1% is flammable. Avoid fire, flame, and smoking during and immediately following application. Keep container tightly closed.

Contraindications

Clindamycin Phosphate Topical Solution USP, 1% is contraindicated in individuals with a history of hypersensitivity to preparations containing clindamycin or lincomycin, a history of regional enteritis or ulcerative colitis, or a history of antibiotic-associated colitis.

Adverse Reactions

In 18 clinical studies of various formulations of topical clindamycin phosphate using placebo vehicle and/or active comparator drugs as controls, patients experienced a number of treatment emergent adverse dermatologic events [see table below].

Number of Patients Reporting Events

Treatment Emergent Adverse Event

Solution

n=553 (%)

Gel

n=148 (%)

Lotion

n=160 (%)

Burning

62 (11)

15 (10)

17 (11)

Itching

36 (7)

15 (10)

17 (11)

Burning/Itching

60 (11)

# (-)

# (-)

Dryness

105 (19)

34 (23)

29 (18)

Erythema

86 (16)

10 (7)

22 (14)

Oiliness/Oily Skin

8 (1)

26 (18)

12* (10)

Peeling

61 (11)

# (-)

11 (7)

# not recorded

* of 126 subjects

Orally and parenterally administered clindamycin has been associated with severe colitis which may end fatally.

Cases of diarrhea, bloody diarrhea and colitis (including pseudomembranous colitis) have been reported as adverse reactions in patients treated with oral and parenteral formulations of clindamycin and rarely with topical clindamycin (see WARNINGS ).

Abdominal pain, gastrointestinal disturbances, gram-negative folliculitis, eye pain and contact dermatitis have also been reported in association with the use of topical formulations of clindamycin.

Drug Interactions

Clindamycin has been shown to have neuromuscular blocking properties that may enhance the action of other neuromuscular blocking agents. Therefore, it should be used with caution in patients receiving such agents.

How Supplied

Clindamycin Phosphate Topical Solution USP, 1% containing clindamycin phosphate equivalent to 10 mg clindamycin per milliliter is available in the following sizes:

30 mL applicator bottle (NDC 45802-562-01)

60 mL applicator bottle (NDC 45802-562-02)

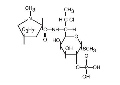
Description

Clindamycin Phosphate Topical Solution USP, 1% contains clindamycin phosphate, USP at a concentration equivalent to 10 mg clindamycin per milliliter.

Clindamycin phosphate is a water soluble ester of the semi-synthetic antibacterial drug produced by a 7(S)-chloro-substitution of the 7(R)-hydroxyl group of the parent compound lincomycin.

The solution contains isopropyl alcohol 50% v/v, propylene glycol, purified water, and sodium hydroxide (to adjust the pH to between 4.0 - 7.0).

The structural formula is represented below:

The chemical name for clindamycin phosphate is Methyl 7-chloro-6,7,8-trideoxy-6-(1-methyl-trans-4-propyl-L-2-pyrrolidinecarboxamido)-1-thio-L-threo- α-D-galacto-octopyranoside 2-(dihydrogen phosphate).

Section 42229-5

Manufactured by Padagis®

Yeruham, Israel

www.padagis.com

Rev 01-26

15G00 RC PH4

Storage

Store at 20-25°C (68-77°F) [see USP Controlled Room Temperature]. Protect from freezing.

Clindamycin Phosphate Topical Solution USP, 1% is flammable. Keep away from heat, sparks or open flames.

Warnings

Orally and parenterally administered clindamycin has been associated with severe colitis which may result in patient death. Use of the topical formulation of clindamycin results in systemic absorption from the skin surface. Diarrhea, bloody diarrhea, and colitis (including pseudomembranous colitis) have been reported with the use of topical and systemic clindamycin.

Studies indicate a toxin(s) produced by clostridia is one primary cause of antibiotic-associated colitis. The colitis is usually characterized by severe persistent diarrhea and severe abdominal cramps and may be associated with the passage of blood and mucus. Endoscopic examination may reveal pseudomembranous colitis. Stool culture for Clostridioides difficile and stool assay for C. difficile toxin may be helpful diagnostically.

When significant diarrhea occurs, the drug should be discontinued. Large bowel endoscopy should be considered to establish a definitive diagnosis in cases of severe diarrhea.

Antiperistaltic agents such as opiates and diphenoxylate with atropine may prolong and/or worsen the condition. Vancomycin has been found to be effective in the treatment of antibiotic-associated pseudomembranous colitis produced by Clostridioides difficile. The usual adult dosage is 500 milligrams to 2 grams of vancomycin orally per day in three to four divided doses administered for 7 to 10 days. Cholestyramine or colestipol resins bind vancomycin in vitro. If both a resin and vancomycin are to be administered concurrently, it may be advisable to separate the time of administration of each drug.

Diarrhea, colitis, and pseudomembranous colitis have been observed to begin up to several weeks following cessation of oral and parenteral therapy with clindamycin.

General

Clindamycin Phosphate Topical Solution USP, 1% contains an alcohol base which will cause burning and irritation of the eye. In the event of accidental contact with sensitive surfaces (eye, abraded skin, mucous membranes), bathe with copious amounts of cool tap water. The solution has an unpleasant taste and caution should be exercised when applying medication around the mouth.

Clindamycin phosphate topical products should be prescribed with caution in atopic individuals.

Overdosage

Topically applied Clindamycin Phosphate Topical Solution USP, 1% can be absorbed in sufficient amounts to produce systemic effects (see WARNINGS ).

Pregnancy:

Teratogenic effects: In clinical trials with pregnant women, the systemic administration of clindamycin during the second and third trimesters has not been associated with an increased frequency of congenital abnormalities. There are no adequate studies in pregnant women during the first trimester of pregnancy. Clindamycin should be used during the first trimester of pregnancy only if clearly needed.

Microbiology

Clindamycin inhibits bacterial protein synthesis by binding to the 23S RNA of the 50S subunit of the ribosome. Clindamycin is bacteriostatic.

Antimicrobial Activity

Clindamycin is active in vitro against most isolates of Propionibacterium acnes; however, the clinical significance is unknown.

Resistance

Resistance to clindamycin is most often caused by modification of specific bases of the 23S ribosomal RNA. Cross-resistance between clindamycin and lincomycin is complete. Because the binding sites for these antibacterial drugs overlap, cross-resistance is sometimes observed among lincosamides, macrolides and streptogramin B. Macrolide-inducible resistance to clindamycin occurs in some isolates of macrolide-resistant bacteria.

Geriatric Use

Clinical studies for clindamycin phosphate topical solution USP, 1% did not include sufficient numbers of subjects aged 65 and over to determine whether they respond differently from younger subjects. Other reported clinical experience has not identified differences in responses between the elderly and younger patients.

Pediatric Use

Safety and effectiveness in pediatric patients under the age of 12 have not been established.

For External Use

Rx Only

Pharmacokinetics

Following multiple topical applications of clindamycin phosphate at a concentration equivalent to 10 mg clindamycin per mL in an isopropyl alcohol and water solution, very low levels of clindamycin are present in the serum (0–3 ng/mL) and less than 0.2% of the dose is recovered in urine as clindamycin.

Although clindamycin phosphate is inactive in vitro, rapid in vivo hydrolysis converts this compound to the antibacterially active clindamycin.

Nursing Mothers

It is not known whether clindamycin is excreted in breast milk following use of Clindamycin Phosphate Topical Solution USP, 1%. However, orally and parenterally administered clindamycin has been reported to appear in breast milk. Clindamycin has the potential to cause adverse effects on the breast-fed infant's gastrointestinal flora. Monitor the breast-fed infant for possible adverse effects on the gastrointestinal flora, such as diarrhea, candidiasis (thrush, diaper rash) or rarely, blood in the stool indicating possible antibiotic-associated colitis.

The developmental and health benefits of breastfeeding should be considered along with the mother's clinical need for clindamycin and any potential adverse effects on the breast-fed child from clindamycin or from the underlying maternal condition.

Clinical Considerations

If used during lactation and Clindamycin Phosphate Topical Solution USP, 1% is applied to the chest, care should be taken to avoid accidental ingestion by the infant.

Mechanism of Action

The mechanism of action of clindamycin in treating acne vulgaris is unknown.

Package/label Principal Display Panel Carton

NDC 45802-562-02

Rx Only

Clindamycin Phosphate Topical Solution USP, 1%

For Topical Use Only

60 mL


Structured Label Content

Section 42229-5 (42229-5)

Manufactured by Padagis®

Yeruham, Israel

www.padagis.com

Rev 01-26

15G00 RC PH4

Storage (STORAGE)

Store at 20-25°C (68-77°F) [see USP Controlled Room Temperature]. Protect from freezing.

Clindamycin Phosphate Topical Solution USP, 1% is flammable. Keep away from heat, sparks or open flames.

Warnings (WARNINGS)

Orally and parenterally administered clindamycin has been associated with severe colitis which may result in patient death. Use of the topical formulation of clindamycin results in systemic absorption from the skin surface. Diarrhea, bloody diarrhea, and colitis (including pseudomembranous colitis) have been reported with the use of topical and systemic clindamycin.

Studies indicate a toxin(s) produced by clostridia is one primary cause of antibiotic-associated colitis. The colitis is usually characterized by severe persistent diarrhea and severe abdominal cramps and may be associated with the passage of blood and mucus. Endoscopic examination may reveal pseudomembranous colitis. Stool culture for Clostridioides difficile and stool assay for C. difficile toxin may be helpful diagnostically.

When significant diarrhea occurs, the drug should be discontinued. Large bowel endoscopy should be considered to establish a definitive diagnosis in cases of severe diarrhea.

Antiperistaltic agents such as opiates and diphenoxylate with atropine may prolong and/or worsen the condition. Vancomycin has been found to be effective in the treatment of antibiotic-associated pseudomembranous colitis produced by Clostridioides difficile. The usual adult dosage is 500 milligrams to 2 grams of vancomycin orally per day in three to four divided doses administered for 7 to 10 days. Cholestyramine or colestipol resins bind vancomycin in vitro. If both a resin and vancomycin are to be administered concurrently, it may be advisable to separate the time of administration of each drug.

Diarrhea, colitis, and pseudomembranous colitis have been observed to begin up to several weeks following cessation of oral and parenteral therapy with clindamycin.

General (General -)

Clindamycin Phosphate Topical Solution USP, 1% contains an alcohol base which will cause burning and irritation of the eye. In the event of accidental contact with sensitive surfaces (eye, abraded skin, mucous membranes), bathe with copious amounts of cool tap water. The solution has an unpleasant taste and caution should be exercised when applying medication around the mouth.

Clindamycin phosphate topical products should be prescribed with caution in atopic individuals.

Overdosage (OVERDOSAGE)

Topically applied Clindamycin Phosphate Topical Solution USP, 1% can be absorbed in sufficient amounts to produce systemic effects (see WARNINGS ).

Pregnancy:

Teratogenic effects: In clinical trials with pregnant women, the systemic administration of clindamycin during the second and third trimesters has not been associated with an increased frequency of congenital abnormalities. There are no adequate studies in pregnant women during the first trimester of pregnancy. Clindamycin should be used during the first trimester of pregnancy only if clearly needed.

Description (DESCRIPTION)

Clindamycin Phosphate Topical Solution USP, 1% contains clindamycin phosphate, USP at a concentration equivalent to 10 mg clindamycin per milliliter.

Clindamycin phosphate is a water soluble ester of the semi-synthetic antibacterial drug produced by a 7(S)-chloro-substitution of the 7(R)-hydroxyl group of the parent compound lincomycin.

The solution contains isopropyl alcohol 50% v/v, propylene glycol, purified water, and sodium hydroxide (to adjust the pH to between 4.0 - 7.0).

The structural formula is represented below:

The chemical name for clindamycin phosphate is Methyl 7-chloro-6,7,8-trideoxy-6-(1-methyl-trans-4-propyl-L-2-pyrrolidinecarboxamido)-1-thio-L-threo- α-D-galacto-octopyranoside 2-(dihydrogen phosphate).

How Supplied (HOW SUPPLIED)

Clindamycin Phosphate Topical Solution USP, 1% containing clindamycin phosphate equivalent to 10 mg clindamycin per milliliter is available in the following sizes:

30 mL applicator bottle (NDC 45802-562-01)

60 mL applicator bottle (NDC 45802-562-02)

Microbiology

Clindamycin inhibits bacterial protein synthesis by binding to the 23S RNA of the 50S subunit of the ribosome. Clindamycin is bacteriostatic.

Antimicrobial Activity

Clindamycin is active in vitro against most isolates of Propionibacterium acnes; however, the clinical significance is unknown.

Resistance

Resistance to clindamycin is most often caused by modification of specific bases of the 23S ribosomal RNA. Cross-resistance between clindamycin and lincomycin is complete. Because the binding sites for these antibacterial drugs overlap, cross-resistance is sometimes observed among lincosamides, macrolides and streptogramin B. Macrolide-inducible resistance to clindamycin occurs in some isolates of macrolide-resistant bacteria.

Geriatric Use (Geriatric Use -)

Clinical studies for clindamycin phosphate topical solution USP, 1% did not include sufficient numbers of subjects aged 65 and over to determine whether they respond differently from younger subjects. Other reported clinical experience has not identified differences in responses between the elderly and younger patients.

Pediatric Use (Pediatric Use -)

Safety and effectiveness in pediatric patients under the age of 12 have not been established.

For External Use

Rx Only

Pharmacokinetics

Following multiple topical applications of clindamycin phosphate at a concentration equivalent to 10 mg clindamycin per mL in an isopropyl alcohol and water solution, very low levels of clindamycin are present in the serum (0–3 ng/mL) and less than 0.2% of the dose is recovered in urine as clindamycin.

Although clindamycin phosphate is inactive in vitro, rapid in vivo hydrolysis converts this compound to the antibacterially active clindamycin.

Adverse Reactions (ADVERSE REACTIONS)

In 18 clinical studies of various formulations of topical clindamycin phosphate using placebo vehicle and/or active comparator drugs as controls, patients experienced a number of treatment emergent adverse dermatologic events [see table below].

Number of Patients Reporting Events

Treatment Emergent Adverse Event

Solution

n=553 (%)

Gel

n=148 (%)

Lotion

n=160 (%)

Burning

62 (11)

15 (10)

17 (11)

Itching

36 (7)

15 (10)

17 (11)

Burning/Itching

60 (11)

# (-)

# (-)

Dryness

105 (19)

34 (23)

29 (18)

Erythema

86 (16)

10 (7)

22 (14)

Oiliness/Oily Skin

8 (1)

26 (18)

12* (10)

Peeling

61 (11)

# (-)

11 (7)

# not recorded

* of 126 subjects

Orally and parenterally administered clindamycin has been associated with severe colitis which may end fatally.

Cases of diarrhea, bloody diarrhea and colitis (including pseudomembranous colitis) have been reported as adverse reactions in patients treated with oral and parenteral formulations of clindamycin and rarely with topical clindamycin (see WARNINGS ).

Abdominal pain, gastrointestinal disturbances, gram-negative folliculitis, eye pain and contact dermatitis have also been reported in association with the use of topical formulations of clindamycin.

Contraindications (CONTRAINDICATIONS)

Clindamycin Phosphate Topical Solution USP, 1% is contraindicated in individuals with a history of hypersensitivity to preparations containing clindamycin or lincomycin, a history of regional enteritis or ulcerative colitis, or a history of antibiotic-associated colitis.

Nursing Mothers (Nursing Mothers -)

It is not known whether clindamycin is excreted in breast milk following use of Clindamycin Phosphate Topical Solution USP, 1%. However, orally and parenterally administered clindamycin has been reported to appear in breast milk. Clindamycin has the potential to cause adverse effects on the breast-fed infant's gastrointestinal flora. Monitor the breast-fed infant for possible adverse effects on the gastrointestinal flora, such as diarrhea, candidiasis (thrush, diaper rash) or rarely, blood in the stool indicating possible antibiotic-associated colitis.

The developmental and health benefits of breastfeeding should be considered along with the mother's clinical need for clindamycin and any potential adverse effects on the breast-fed child from clindamycin or from the underlying maternal condition.

Clinical Considerations

If used during lactation and Clindamycin Phosphate Topical Solution USP, 1% is applied to the chest, care should be taken to avoid accidental ingestion by the infant.

Drug Interactions (Drug Interactions -)

Clindamycin has been shown to have neuromuscular blocking properties that may enhance the action of other neuromuscular blocking agents. Therefore, it should be used with caution in patients receiving such agents.

Mechanism of Action

The mechanism of action of clindamycin in treating acne vulgaris is unknown.

Indications and Usage (INDICATIONS AND USAGE)

Clindamycin Phosphate Topical Solution USP, 1% is indicated in the treatment of acne vulgaris. In view of the potential for diarrhea, bloody diarrhea and pseudomembranous colitis, the physician should consider whether other agents are more appropriate (see CONTRAINDICATIONS, WARNINGS and ADVERSE REACTIONS ).

Dosage and Administration (DOSAGE AND ADMINISTRATION)

Apply a thin film of Clindamycin Phosphate Topical Solution USP, 1% twice daily to affected area. Clindamycin Phosphate Topical Solution USP, 1% is flammable. Avoid fire, flame, and smoking during and immediately following application. Keep container tightly closed.

Package/label Principal Display Panel Carton (PACKAGE/LABEL PRINCIPAL DISPLAY PANEL - CARTON)

NDC 45802-562-02

Rx Only

Clindamycin Phosphate Topical Solution USP, 1%

For Topical Use Only

60 mL


Advanced Ingredient Data


Raw Label Data

All Sections (JSON)