These Highlights Do Not Include All The Information Needed To Use Amoxicillin And Clavulanate Potassium Extended Release Tablets

These Highlights Do Not Include All The Information Needed To Use Amoxicillin And Clavulanate Potassium Extended Release Tablets
SPL v1
SPL
SPL Set ID 45c60b69-1b65-01ed-e063-6294a90a57be
Route
ORAL
Published
Effective Date 2025-12-12
Document Type 34391-3 HUMAN PRESCRIPTION DRUG LABEL

Drug Facts

Composition & Product

Active Ingredients
Amoxicillin Anhydrous (562.5 mg) Clavulanic Acid (62.5 mg)
Inactive Ingredients
Citric Acid Monohydrate Silicon Dioxide Hypromelloses Magnesium Stearate Microcrystalline Cellulose Polyethylene Glycol, Unspecified Sodium Starch Glycolate Type A Potato Titanium Dioxide Xanthan Gum

Identifiers & Packaging

Pill Appearance
Imprint: AUGMENTIN;XR Shape: oval Color: white Size: 22 mm Score: 2
Marketing Status
NDA AUTHORIZED GENERIC Active Since 2025-12-15

Description

Indications and Usage (1) 12/2024 Dosage and Administration, Dosage in Pediatric Patients (2.3) 12/2024 Warnings and Precautions, Drug-induced Enterocolitis Syndrome (DIES) (5.3) 5/2024

Indications and Usage

Amoxicillin and Clavulanate Potassium Extended Release Tablets is indicated for the treatment of infections in adults and pediatric patients weighing greater than or equal to 40 kg who are able to swallow tablets with: community-acquired pneumonia or acute bacterial sinusitis due to confirmed, or suspected beta-lactamase-producing pathogens (i.e., H. influenzae , M. catarrhalis , H. parainfluenzae , K. pneumoniae , or methicillin-susceptible S. aureus ) and S. pneumoniae with reduced susceptibility to penicillin (i.e., penicillin MICs equal to 2 mcg/mL). Limitations of Use Amoxicillin and Clavulanate Potassium Extended Release Tablets is not indicated for the treatment of infections due to S. pneumoniae with penicillin MICs greater than or equal to 4 mcg/mL. Data are limited with regard to infections due to S. pneumoniae with penicillin MICs greater than or equal to 4 mcg/ mL [see Clinical Studies (14) ]. Usage To reduce the development of drug-resistant bacteria and maintain the effectiveness of Amoxicillin and Clavulanate Potassium Extended Release Tablets and other antibacterial drugs, Amoxicillin and Clavulanate Potassium Extended Release Tablets should be used only to treat or prevent infections that are proven or strongly suspected to be caused by susceptible bacteria. When culture and susceptibility information are available, they should be considered in selecting or modifying antibacterial therapy. In the absence of such data, local epidemiology and susceptibility patterns may contribute to the empiric selection of therapy. In patients with community-acquired pneumonia in whom penicillin-resistant S. pneumoniae is suspected, bacteriological studies should be performed to determine the causative organisms and their susceptibility when Amoxicillin and Clavulanate Potassium Extended Release Tablets is prescribed. Acute bacterial sinusitis or community-acquired pneumonia due to a penicillin-susceptible strain of S. pneumoniae plus a beta-lactamase-producing pathogen can be treated with another amoxicillin and clavulanate potassium product containing lower daily doses of amoxicillin (i.e., 500 mg every 8 hours or 875 mg every 12 hours). Acute bacterial sinusitis or community-acquired pneumonia due to S. pneumoniae alone can be treated with amoxicillin.

Dosage and Administration

Adults and Pediatric Patients weighing greater than or equal to 40 kg who are able to swallow tablets: The recommended dosage of Amoxicillin and Clavulanate Potassium Extended Release Tablets is 4,000 mg/250 mg daily in divided doses at the start of a meal according to the following table. (2) Indication Dose Duration Acute bacterial sinusitis Two (1,000 mg/62.5 mg) tablets every 12 hours 10 days Community-acquired pneumonia Two (1,000 mg/62.5 mg) tablets every 12 hours 7 to 10 days

Warnings and Precautions

Serious (including fatal) hypersensitivity reactions: Discontinue Amoxicillin and Clavulanate Potassium Extended Release Tablets if a reaction occurs and institute appropriate therapy. (5.1) Severe cutaneous adverse reactions (SCAR): Monitor closely. Discontinue if rash progresses. (5.2) Drug-induced enterocolitis syndrome (DIES) has been reported with use of amoxicillin, a component of Amoxicillin and Clavulanate Potassium Extended Release Tablets. If this occurs, discontinue Amoxicillin and Clavulanate Potassium Extended Release Tablets and institute appropriate therapy. (5.3) Hepatic dysfunction and cholestatic jaundice: Discontinue if signs/symptoms of hepatitis occur. Monitor liver function tests in patients with hepatic impairment. (5.4) Clostridioides difficile -associated diarrhea (CDAD): Evaluate patients if diarrhea occurs. (5.5) Patients with mononucleosis who receive Amoxicillin and Clavulanate Potassium Extended Release Tablets develop skin rash. Avoid Amoxicillin and Clavulanate Potassium Extended Release Tablets use in these patients. (5.6)

Contraindications

History of a serious hypersensitivity reaction (e.g., anaphylaxis or Stevens-Johnson syndrome) to AUGMENTIN or to other beta‑lactams (e.g., penicillins or cephalosporins). (4.1) History of cholestatic jaundice/hepatic dysfunction associated with AUGMENTIN. (4.2) In patients with severe renal impairment (creatinine clearance less than 30 mL/min) and in hemodialysis patients. (4.3)

Adverse Reactions

Amoxicillin and Clavulanate Potassium Extended Release Tablets may cause severe cutaneous adverse reactions (SCAR), such as Stevens-Johnson syndrome (SJS), toxic epidermal necrolysis (TEN), drug reaction with eosinophilia and systemic symptoms (DRESS), and acute generalized exanthematous pustulosis (AGEP). If patients develop a skin rash, they should be monitored closely, and Amoxicillin and Clavulanate Potassium Extended Release Tablets discontinued if lesions progress.

Drug Interactions

Co-administration with probenecid is not recommended. (7.1) Concomitant use Amoxicillin and Clavulanate Potassium Extended Release Tablets and oral anticoagulants may increase the prolongation of prothrombin time. (7.2) Co-administration with allopurinol increases the risk of rash. (7.3) Amoxicillin and Clavulanate Potassium Extended Release Tablets may reduce efficacy of oral contraceptives. (7.4)

Storage and Handling

How Supplied Amoxicillin and Clavulanate Potassium Extended Release Tablets are white, oval film-coated bilayer scored tablets debossed with "AUGMENTIN XR". Each tablet contains 1,000 mg of amoxicillin (as amoxicillin sodium and amoxicillin trihydrate) and 62.5 mg clavulanic acid as the potassium salt. Amoxicillin and Clavulanate Potassium Extended Release Tablets are supplied as follows: NDC 81964‑220‑28 Bottles of 28 (7-day XR pack) NDC 81964‑220‑40 Bottles of 40 (10-day XR pack) Storage Store tablets at or below 25°C (77°F). Dispense in original container.

How Supplied

How Supplied Amoxicillin and Clavulanate Potassium Extended Release Tablets are white, oval film-coated bilayer scored tablets debossed with "AUGMENTIN XR". Each tablet contains 1,000 mg of amoxicillin (as amoxicillin sodium and amoxicillin trihydrate) and 62.5 mg clavulanic acid as the potassium salt. Amoxicillin and Clavulanate Potassium Extended Release Tablets are supplied as follows: NDC 81964‑220‑28 Bottles of 28 (7-day XR pack) NDC 81964‑220‑40 Bottles of 40 (10-day XR pack) Storage Store tablets at or below 25°C (77°F). Dispense in original container.


Medication Information

Warnings and Precautions

Serious (including fatal) hypersensitivity reactions: Discontinue Amoxicillin and Clavulanate Potassium Extended Release Tablets if a reaction occurs and institute appropriate therapy. (5.1) Severe cutaneous adverse reactions (SCAR): Monitor closely. Discontinue if rash progresses. (5.2) Drug-induced enterocolitis syndrome (DIES) has been reported with use of amoxicillin, a component of Amoxicillin and Clavulanate Potassium Extended Release Tablets. If this occurs, discontinue Amoxicillin and Clavulanate Potassium Extended Release Tablets and institute appropriate therapy. (5.3) Hepatic dysfunction and cholestatic jaundice: Discontinue if signs/symptoms of hepatitis occur. Monitor liver function tests in patients with hepatic impairment. (5.4) Clostridioides difficile -associated diarrhea (CDAD): Evaluate patients if diarrhea occurs. (5.5) Patients with mononucleosis who receive Amoxicillin and Clavulanate Potassium Extended Release Tablets develop skin rash. Avoid Amoxicillin and Clavulanate Potassium Extended Release Tablets use in these patients. (5.6)

Indications and Usage

Amoxicillin and Clavulanate Potassium Extended Release Tablets is indicated for the treatment of infections in adults and pediatric patients weighing greater than or equal to 40 kg who are able to swallow tablets with: community-acquired pneumonia or acute bacterial sinusitis due to confirmed, or suspected beta-lactamase-producing pathogens (i.e., H. influenzae , M. catarrhalis , H. parainfluenzae , K. pneumoniae , or methicillin-susceptible S. aureus ) and S. pneumoniae with reduced susceptibility to penicillin (i.e., penicillin MICs equal to 2 mcg/mL). Limitations of Use Amoxicillin and Clavulanate Potassium Extended Release Tablets is not indicated for the treatment of infections due to S. pneumoniae with penicillin MICs greater than or equal to 4 mcg/mL. Data are limited with regard to infections due to S. pneumoniae with penicillin MICs greater than or equal to 4 mcg/ mL [see Clinical Studies (14) ]. Usage To reduce the development of drug-resistant bacteria and maintain the effectiveness of Amoxicillin and Clavulanate Potassium Extended Release Tablets and other antibacterial drugs, Amoxicillin and Clavulanate Potassium Extended Release Tablets should be used only to treat or prevent infections that are proven or strongly suspected to be caused by susceptible bacteria. When culture and susceptibility information are available, they should be considered in selecting or modifying antibacterial therapy. In the absence of such data, local epidemiology and susceptibility patterns may contribute to the empiric selection of therapy. In patients with community-acquired pneumonia in whom penicillin-resistant S. pneumoniae is suspected, bacteriological studies should be performed to determine the causative organisms and their susceptibility when Amoxicillin and Clavulanate Potassium Extended Release Tablets is prescribed. Acute bacterial sinusitis or community-acquired pneumonia due to a penicillin-susceptible strain of S. pneumoniae plus a beta-lactamase-producing pathogen can be treated with another amoxicillin and clavulanate potassium product containing lower daily doses of amoxicillin (i.e., 500 mg every 8 hours or 875 mg every 12 hours). Acute bacterial sinusitis or community-acquired pneumonia due to S. pneumoniae alone can be treated with amoxicillin.

Dosage and Administration

Adults and Pediatric Patients weighing greater than or equal to 40 kg who are able to swallow tablets: The recommended dosage of Amoxicillin and Clavulanate Potassium Extended Release Tablets is 4,000 mg/250 mg daily in divided doses at the start of a meal according to the following table. (2) Indication Dose Duration Acute bacterial sinusitis Two (1,000 mg/62.5 mg) tablets every 12 hours 10 days Community-acquired pneumonia Two (1,000 mg/62.5 mg) tablets every 12 hours 7 to 10 days

Contraindications

History of a serious hypersensitivity reaction (e.g., anaphylaxis or Stevens-Johnson syndrome) to AUGMENTIN or to other beta‑lactams (e.g., penicillins or cephalosporins). (4.1) History of cholestatic jaundice/hepatic dysfunction associated with AUGMENTIN. (4.2) In patients with severe renal impairment (creatinine clearance less than 30 mL/min) and in hemodialysis patients. (4.3)

Adverse Reactions

Amoxicillin and Clavulanate Potassium Extended Release Tablets may cause severe cutaneous adverse reactions (SCAR), such as Stevens-Johnson syndrome (SJS), toxic epidermal necrolysis (TEN), drug reaction with eosinophilia and systemic symptoms (DRESS), and acute generalized exanthematous pustulosis (AGEP). If patients develop a skin rash, they should be monitored closely, and Amoxicillin and Clavulanate Potassium Extended Release Tablets discontinued if lesions progress.

Drug Interactions

Co-administration with probenecid is not recommended. (7.1) Concomitant use Amoxicillin and Clavulanate Potassium Extended Release Tablets and oral anticoagulants may increase the prolongation of prothrombin time. (7.2) Co-administration with allopurinol increases the risk of rash. (7.3) Amoxicillin and Clavulanate Potassium Extended Release Tablets may reduce efficacy of oral contraceptives. (7.4)

Storage and Handling

How Supplied Amoxicillin and Clavulanate Potassium Extended Release Tablets are white, oval film-coated bilayer scored tablets debossed with "AUGMENTIN XR". Each tablet contains 1,000 mg of amoxicillin (as amoxicillin sodium and amoxicillin trihydrate) and 62.5 mg clavulanic acid as the potassium salt. Amoxicillin and Clavulanate Potassium Extended Release Tablets are supplied as follows: NDC 81964‑220‑28 Bottles of 28 (7-day XR pack) NDC 81964‑220‑40 Bottles of 40 (10-day XR pack) Storage Store tablets at or below 25°C (77°F). Dispense in original container.

How Supplied

How Supplied Amoxicillin and Clavulanate Potassium Extended Release Tablets are white, oval film-coated bilayer scored tablets debossed with "AUGMENTIN XR". Each tablet contains 1,000 mg of amoxicillin (as amoxicillin sodium and amoxicillin trihydrate) and 62.5 mg clavulanic acid as the potassium salt. Amoxicillin and Clavulanate Potassium Extended Release Tablets are supplied as follows: NDC 81964‑220‑28 Bottles of 28 (7-day XR pack) NDC 81964‑220‑40 Bottles of 40 (10-day XR pack) Storage Store tablets at or below 25°C (77°F). Dispense in original container.

Description

Indications and Usage (1) 12/2024 Dosage and Administration, Dosage in Pediatric Patients (2.3) 12/2024 Warnings and Precautions, Drug-induced Enterocolitis Syndrome (DIES) (5.3) 5/2024

Section 43683-2
Indications and Usage (1) 12/2024
Dosage and Administration, Dosage in Pediatric Patients (2.3) 12/2024
Warnings and Precautions, Drug-induced Enterocolitis Syndrome (DIES) (5.3) 5/2024

10 Overdosage

Following overdosage, patients have experienced primarily gastrointestinal symptoms including stomach and abdominal pain, vomiting, and diarrhea. Rash, hyperactivity, or drowsiness have also been observed in a small number of patients.

In the case of overdosage, discontinue Amoxicillin and Clavulanate Potassium Extended Release Tablets, treat symptomatically, and institute supportive measures as required. If the overdosage is very recent and there is no contraindication, an attempt at emesis or other means of removal of drug from the stomach may be performed. A prospective study of 51 pediatric patients at a poison control center suggested that overdosages of less than 250 mg/kg of amoxicillin are not associated with significant clinical symptoms and do not require gastric emptying. 1

Interstitial nephritis resulting in oliguric renal failure has been reported in a small number of patients after overdosage with amoxicillin.

Crystalluria, in some cases leading to renal failure, has also been reported after amoxicillin overdosage in adult and pediatric patients. In the case of overdosage, adequate fluid intake and diuresis should be maintained to reduce the risk of amoxicillin crystalluria.

Renal impairment appears to be reversible with cessation of drug administration. High blood levels may occur more readily in patients with impaired renal function because of decreased renal clearance of both amoxicillin and clavulanate. Both amoxicillin and clavulanate are removed from the circulation by hemodialysis.

15 References
  • Swanson-Biearman B, Dean BS, Lopez G, Krenzelok EP. The effects of penicillin and cephalosporin ingestions in children less than six years of age. Vet Hum Toxicol. 1988; 30:66-67.
8.1 Pregnancy

Risk Summary

Available data from published epidemiologic studies and pharmacovigilance case reports over several decades of use with amoxicillin and clavulanate during pregnancy have not established a drug-associated risk of major birth defects, miscarriage, or adverse maternal outcomes. A study in women with preterm prelabor rupture of membranes (PPROM) reported that prophylactic treatment with amoxicillin and clavulanate may be associated with an increased risk of necrotizing enterocolitis in neonates (see Data). Reproduction studies performed in pregnant rodents, given oral doses up to approximately 1.6 times the amount of amoxicillin and 13 times the amount of clavulanate in the Maximum Human Recommended Dose (MHRD) of Amoxicillin and Clavulanate Potassium Extended Release Tablets, revealed no evidence of harm to the fetus (see Data).

The background risk of major birth defects and miscarriage for the indicated populations is unknown. All pregnancies have a background risk of birth defect, loss, or other adverse outcomes. In the U.S. general population, the estimated background risk of major birth defects and miscarriage in clinically recognized pregnancies is 2 to 4% and 15 to 20%, respectively.

Data

Human Data

One randomized, controlled trial included 4,826 pregnant women with premature rupture of fetal membranes who were randomly assigned to 250 mg erythromycin (n=1,197), 250 mg amoxicillin and 125 mg clavulanic acid (amoxicillin and clavulanate, n=1,212), amoxicillin and clavulanate and erythromycin (n=1,192), or placebo (n=1,225) four times daily for 10 days or until delivery. Amoxicillin and clavulanate was associated with a significantly increased rate of proven neonatal necrotizing enterocolitis: 1.9% (n = 24) in the amoxicillin and clavulanate only group versus 0.5% (n = 6) in the placebo group (p = 0.001), and 1.8% (n = 44) in the any amoxicillin and clavulanate group versus 0.7% (n =17) in the no amoxicillin and clavulanate group (p = 0.0005).

Animal Data

Reproduction studies performed in pregnant rats and mice given amoxicillin and clavulanate (2:1 ratio formulation) at oral doses up to 1,200 mg/kg/day revealed no evidence of harm to the fetus due to amoxicillin and clavulanate. In terms of body surface area, the doses in rats were 1.6 times the Maximum Human Recommended Dose (MHRD) of amoxicillin and 13 times the MHRD for clavulanate in Amoxicillin and Clavulanate Potassium Extended Release Tablets. For mice, these doses were 0.9 and 7.4 times the MHRD of amoxicillin and clavulanate, respectively.

8.2 Lactation

Risk Summary

Data from a published clinical lactation study report that amoxicillin is present in human milk . There are reports of diarrhea, irritability, and rash in infants exposed to amoxicillin and clavulanate through breast milk; therefore, infants exposed to Amoxicillin and Clavulanate Potassium Extended Release Tablets should be monitored for these symptoms. There are no data on the effects of amoxicillin and clavulanate on milk production. The developmental and health benefits of breastfeeding should be considered along with the mother’s clinical need for Amoxicillin and Clavulanate Potassium Extended Release Tablets and any potential adverse effects on the breastfed child from Amoxicillin and Clavulanate Potassium Extended Release Tablets or from the underlying maternal condition.

11 Description

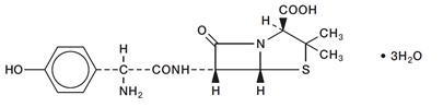
Amoxicillin and Clavulanate Potassium Extended Release Tablets is an oral antibacterial combination consisting of the semisynthetic antibacterial amoxicillin (present as amoxicillin sodium and amoxicillin trihydrate) and the beta-lactamase inhibitor clavulanate potassium (the potassium salt of clavulanic acid). Amoxicillin is an analog of ampicillin, derived from the basic penicillin nucleus, 6-aminopenicillanic acid. The amoxicillin trihydrate molecular formula is C16H19N3O5S•3H2O, and the molecular weight is 419.45.

Chemically, amoxicillin trihydrate is (2S,5R,6R)-6-[(R)-(-)-2-Amino-2-(p-hydroxyphenyl)acetamido]-3,3-dimethyl-7-oxo-4-thia-1-azabicyclo[3.2.0]heptane-2-carboxylic acid trihydrate and may be represented structurally as:

The amoxicillin sodium molecular formula is C16H18N3NaO5S, and the molecular weight is 387.39. Chemically, amoxicillin sodium is [2 -[2α,5α,6β(S*)]]-6-[[Amino (4-hydroxyphenyl)acetyl]amino]-3,3-dimethyl-7-oxo-4-thia-1-azabicyclo[3.2.0]heptane-2-carboxylic acid monosodium salt and may be represented structurally as:

Clavulanic acid is produced by the fermentation of Streptomyces clavuligerus. It is a beta-lactam structurally related to the penicillins and possesses the ability to inactivate a wide variety of beta-lactamases by blocking the active sites of these enzymes. Clavulanic acid is particularly active against the clinically important plasmid-mediated beta-lactamases frequently responsible for transferred drug resistance to penicillins and cephalosporins. The clavulanate potassium molecular formula is C8H8KNO5, and the molecular weight is 237.25.

Chemically, clavulanate potassium is potassium (Z)-(2R,5R)-3-(2-hydroxyethylidene)-7-oxo-4-oxa-1-azabicyclo[3.2.0]-heptane-2-carboxylate, and may be represented structurally as:

Each tablet of Amoxicillin and Clavulanate Potassium Extended Release Tablets contains 1,000 mg of amoxicillin (437.5 mg of amoxicillin equivalent to 463.8 mg of amoxicillin sodium and 562.5 mg of amoxicillin in the form of amoxicillin trihydrate), and 62.5 mg of clavulanic acid (equivalent to 74.5 mg of clavulanate potassium).

Inactive Ingredients: Citric acid, colloidal silicon dioxide, hypromellose, magnesium stearate, microcrystalline cellulose, polyethylene glycol, sodium starch glycolate, titanium dioxide, and xanthan gum.

Each tablet of Amoxicillin and Clavulanate Potassium Extended Release Tablets contains approximately 13 mg of potassium and 30 mg of sodium.

7.1 Probenecid

Probenecid decreases the renal tubular secretion of amoxicillin. Concurrent use with Amoxicillin and Clavulanate Potassium Extended Release Tablets may result in increased and prolonged blood levels of amoxicillin. Co-administration of probenecid is not recommended.

7.3 Allopurinol

The concurrent administration of allopurinol and amoxicillin substantially increases the incidence of rashes in patients receiving both drugs as compared to patients receiving amoxicillin alone. It is not known whether this potentiation of amoxicillin rashes is due to allopurinol or the hyperuricemia present in these patients. In controlled clinical trials of Amoxicillin and Clavulanate Potassium Extended Release Tablets, 25 patients received concomitant allopurinol and Amoxicillin and Clavulanate Potassium Extended Release Tablets. No rashes were reported in these patients. However, this sample size is too small to allow for any conclusions to be drawn regarding the risk of rashes with concomitant Amoxicillin and Clavulanate Potassium Extended Release Tablets and allopurinol use.

8.4 Pediatric Use

The safety and effectiveness of Amoxicillin and Clavulanate Potassium Extended Release Tablets have been established for pediatric patients weighing greater than or equal to 40 kg who are able to swallow tablets. Use of Amoxicillin and Clavulanate Potassium Extended Release Tablets in these pediatric patients is supported by evidence from adequate and well-controlled trials of adults with acute bacterial sinusitis and community-acquired pneumonia with additional data from a pediatric pharmacokinetic study.

A pharmacokinetic study in pediatric patients (7 to 15 years of age and weighing greater than or equal to 40 kg) was conducted [see Clinical Pharmacology (12.3) ]. The adverse event profile in 44 pediatric patients who received at least one dose of Amoxicillin and Clavulanate Potassium Extended Release Tablets was consistent with the established adverse event profile for the product in adults.

8.5 Geriatric Use

Of the total number of subjects in clinical studies of Amoxicillin and Clavulanate Potassium Extended Release Tablets, 18% were 65 years or older and 7% were 75 years or older. No overall differences in safety and effectiveness were observed between these subjects and younger subjects, and other clinical experience has not reported differences in responses between the elderly and younger patients, but a greater sensitivity of some older individuals cannot be ruled out.

Amoxicillin and Clavulanate Potassium Extended Release Tablets is known to be substantially excreted by the kidney, and the risk of dose dependent toxic reactions to this drug may be greater in patients with impaired renal function. Because elderly patients are more likely to have decreased renal function, it may be useful to monitor renal function.

14 Clinical Studies

4 Contraindications

6 Adverse Reactions

The following clinically significant adverse reactions are described elsewhere in the labeling:

  • Anaphylactic reactions [see Warnings and Precautions (5.1)]
  • Severe Cutaneous Adverse Reactions [see Warnings and Precautions (5.2)]
  • Drug-Induced Enterocolitis Syndrome (DIES) [see Warnings and Precautions (5.3)]
  • Hepatic Dysfunction [see Warnings and Precautions (5.4)]
  • Clostridioides difficile-associated diarrhea (CDAD) [see Warnings and Precautions (5.5)]
  • Skin Rash in Patients with Mononucleosis [see Warnings and Precautions (5.6)]
7 Drug Interactions

4.3 Renal Impairment

Amoxicillin and Clavulanate Potassium Extended Release Tablets is contraindicated in patients with severe renal impairment (creatinine clearance less than 30 mL/min) and in hemodialysis patients.

8.6 Renal Impairment

The pharmacokinetics of Amoxicillin and Clavulanate Potassium Extended Release Tablets have not been studied in patients with renal impairment. Amoxicillin and Clavulanate Potassium Extended Release Tablets is contraindicated in patients with a creatinine clearance of less than 30 mL/min and in hemodialysis patients [see Contraindications (4.3) ].

12.3 Pharmacokinetics

Amoxicillin and Clavulanate Potassium Extended Release Tablets is an extended-release formulation which provides sustained plasma concentrations of amoxicillin. Amoxicillin systemic exposure achieved with Amoxicillin and Clavulanate Potassium Extended Release Tablets is similar to that produced by the oral administration of equivalent doses of amoxicillin alone.

Absorption

Amoxicillin and clavulanate potassium are well absorbed from the gastrointestinal tract after oral administration of Amoxicillin and Clavulanate Potassium Extended Release Tablets.

In a study of healthy adult volunteers, the pharmacokinetics of Amoxicillin and Clavulanate Potassium Extended Release Tablets were compared when administered in a fasted state, at the start of a standardized meal (612 kcal, 89.3 g carb, 24.9 g fat, and 14 g protein), or 30 minutes after a high‑fat meal.

When the systemic exposure to both amoxicillin and clavulanate is taken into consideration, Amoxicillin and Clavulanate Potassium Extended Release Tablets is optimally administered at the start of a standardized meal. Absorption of amoxicillin is decreased in the fasted state. Amoxicillin and Clavulanate Potassium Extended Release Tablets is not recommended to be taken with a high‑fat meal, because clavulanate absorption is decreased. The pharmacokinetics of the components of Amoxicillin and Clavulanate Potassium Extended Release Tablets following administration of two Amoxicillin and Clavulanate Potassium Extended Release Tablets tablets at the start of a standardized meal are presented in Table 2.

Table 2: Mean (SD) Pharmacokinetic Parmameters for Amoxicillin and Clavulanate Following Oral Administration of Two Amoxicillin and Clavulanate Potassium Extended Release Tablets (2,000 mg/125 mg) to Healthy Adult Volunteers (n=55) Fed a Standardized Meal
Parameter (units) Amoxicillin Clavulanate
AUC (0‑inf)(mcg•hr/mL) 71.6 (16.5) 5.29 (1.55)
C max(mcg/mL) 17.0 (4.0) 2.05 (0.80)
T max(hours) a 1.50 (1.00 to 6.00) 1.03 (0.75 to 3.00)
T 1/2(hours) 1.27 (0.20) 1.03 (0.17)

aMedian (range)

The half-life of amoxicillin after the oral administration of Amoxicillin and Clavulanate Potassium Extended Release Tablets is approximately 1.3 hours, and that of clavulanate is approximately 1.0 hour.

Distribution

Neither component in Amoxicillin and Clavulanate Potassium Extended Release Tablets is highly protein‑bound; clavulanate has been found to be approximately 25% bound to human serum and amoxicillin approximately 18% bound.

Amoxicillin diffuses readily into most body tissues and fluids, with the exception of the brain and spinal fluid. The results of experiments involving the administration of clavulanic acid to animals suggest that this compound, like amoxicillin, is well distributed in body tissues.

Excretion

Clearance of amoxicillin is predominantly renal, with approximately 60% to 80% of the dose being excreted unchanged in urine, whereas clearance of clavulanate has both a renal (30% to 50%) and a non‑renal component.

Specific Populations

Pediatric Patients

In a study of pediatric patients with acute bacterial sinusitis, 7 to 15 years of age, and weighing at least 40 kg, the pharmacokinetics of amoxicillin and clavulanate were assessed following administration of Amoxicillin and Clavulanate Potassium Extended Release Tablets 2,000 mg/125 mg (as two 1,000 mg/62.5 mg tablets) every 12 hours with food (Table 3).

Table 3: Mean (SD) Pharmacokinetic Parameters for Amoxicillin and Clavulanate Following Oral Administration of Two Amoxicillin and Clavulanate Extended Release Tablets (2,000 mg/125 mg) Every 12 Hours with Food in Pediatric Patients (7 to 15 Years of Age and Weighing greater than or equal to 40 kg) With Acute Bacterial Sinusitis
Parameter (units) Amoxicillin (n = 24) Clavulanate (n = 23)
AUC (0-t)(mcg•hr/mL) 57.8 (15.6) 3.18 (1.37)
C max(mcg/mL) 11.0 (3.34) 1.17 (0.67)
T max (hours) a 2.0 (1.0 to 5.0) 1.1 (1.0 to 4.0)
T ½(hours) 3.32 (2.21) b 0.94 (0.13) c

a Median (range).

b n equals 18.

c n equals 17.

Drug Interaction Studies

Clinical Studies

Concurrent administration of probenecid delays amoxicillin excretion but does not delay renal excretion of clavulanate [see Drug Interactions (7.1)] .

In a study of adults, the pharmacokinetics of amoxicillin and clavulanate were not affected by administration of an antacid (MAALOX ®), either simultaneously with or 2 hours after Amoxicillin and Clavulanate Potassium Extended Release Tablets.

8.7 Hepatic Impairment

Hepatically impaired patients should be dosed with caution and hepatic function monitored at regular intervals [see Contraindications (4.2), Warnings and Precautions (5.4)] .

1 Indications and Usage

Amoxicillin and Clavulanate Potassium Extended Release Tablets is indicated for the treatment of infections in adults and pediatric patients weighing greater than or equal to 40 kg who are able to swallow tablets with:

  • community-acquired pneumonia or
  • acute bacterial sinusitis

due to confirmed, or suspected beta-lactamase-producing pathogens (i.e., H. influenzae, M. catarrhalis, H. parainfluenzae, K. pneumoniae, or methicillin-susceptible S. aureus) and S. pneumoniae with reduced susceptibility to penicillin (i.e., penicillin MICs equal to 2 mcg/mL).

Limitations of Use

Amoxicillin and Clavulanate Potassium Extended Release Tablets is not indicated for the treatment of infections due to S. pneumoniae with penicillin MICs greater than or equal to 4 mcg/mL. Data are limited with regard to infections due to S. pneumoniae with penicillin MICs greater than or equal to 4 mcg/ mL [see Clinical Studies (14) ].

Usage

To reduce the development of drug-resistant bacteria and maintain the effectiveness of Amoxicillin and Clavulanate Potassium Extended Release Tablets and other antibacterial drugs, Amoxicillin and Clavulanate Potassium Extended Release Tablets should be used only to treat or prevent infections that are proven or strongly suspected to be caused by susceptible bacteria. When culture and susceptibility information are available, they should be considered in selecting or modifying antibacterial therapy. In the absence of such data, local epidemiology and susceptibility patterns may contribute to the empiric selection of therapy.

In patients with community-acquired pneumonia in whom penicillin-resistant S. pneumoniae is suspected, bacteriological studies should be performed to determine the causative organisms and their susceptibility when Amoxicillin and Clavulanate Potassium Extended Release Tablets is prescribed.

Acute bacterial sinusitis or community-acquired pneumonia due to a penicillin-susceptible strain of S. pneumoniae plus a beta-lactamase-producing pathogen can be treated with another amoxicillin and clavulanate potassium product containing lower daily doses of amoxicillin (i.e., 500 mg every 8 hours or 875 mg every 12 hours). Acute bacterial sinusitis or community-acquired pneumonia due to S. pneumoniae alone can be treated with amoxicillin.

5.4 Hepatic Dysfunction

Use Amoxicillin and Clavulanate Potassium Extended Release Tablets with caution in patients with evidence of hepatic dysfunction. Hepatic toxicity associated with the use of Amoxicillin and Clavulanate Potassium is usually reversible. Deaths have been reported (fewer than one death reported per estimated four million prescriptions worldwide). These have generally been cases associated with serious underlying diseases or concomitant medications [see Contraindications (4.2) , and Adverse Reactions (6.2) ].

7.2 Oral Anticoagulants

Abnormal prolongation of prothrombin time (increased international normalized ratio [INR]) has been reported in patients receiving amoxicillin and oral anticoagulants. Appropriate monitoring should be undertaken when anticoagulants are prescribed concurrently. Adjustments in the dose of oral anticoagulants may be necessary to maintain the desired level of anticoagulation.

7.4 Oral Contraceptives

Amoxicillin and Clavulanate Potassium Extended Release Tablets may affect intestinal flora, leading to lower estrogen reabsorption and reduced efficacy of combined oral estrogen/progesterone contraceptives.

12 Clinical Pharmacology

12.1 Mechanism of Action

Amoxicillin and Clavulanate Potassium Extended Release Tablets is an antibacterial drug [see Clinical Pharmacology (12.4)] .

13 Nonclinical Toxicology

12.4 Clinical Pharmacology

Mechanism of Action

Amoxicillin binds to penicillin-binding proteins within the bacterial cell wall and inhibits bacterial cell wall synthesis.

Clavulanic acid is a beta-lactam, structurally related to penicillin, that may inactivate certain beta‑lactamase enzymes.

Resistance

Resistance to penicillins may be mediated by destruction of the beta-lactam ring by a beta-lactamase, altered affinity of penicillin for target, or decreased penetration of the antibacterial drug to reach the target site. Amoxicillin alone is susceptible to degradation by beta‑lactamases, and therefore its spectrum of activity does not include bacteria that produce these enzymes.

Antimicrobial Activity

Amoxicillin and clavulanic acid has been shown to be active against most isolates of the following microorganisms, both in vitro and in clinical infections [see Indications and Usage (1)] .



Gram-positive bacteria:

Staphylococcus aureus (methicillin-susceptible)

Streptococcus pneumoniae

Gram-negative bacteria:

Haemophilus influenzae

Haemophilus parainfluenzae

Klebsiella pneumoniae

Moraxella catarrhalis

The following in vitro data are available, but their clinical significance is unknown. At least 90 percent of the following bacteria exhibit in vitro minimum inhibitory concentration (MIC) less than or equal to the susceptible breakpoint for amoxicillin and clavulanic acid against isolates of similar genus or organism group. However, the efficacy of amoxicillin and clavulanic acid in treating clinical infections caused by these bacteria have not been established in adequate and well-controlled trials.

Gram-positive bacteria:

Streptococcus pyogenes

Susceptibility Testing:

For specific information regarding susceptibility test interpretive criteria and associated test methods and quality control standards recognized by FDA for this drug, please see https://www.fda.gov/STIC.

5 Warnings and Precautions

2 Dosage and Administration

3 Dosage Forms and Strengths
  • Amoxicillin and Clavulanate Potassium Extended Release Tablets; 1,000 mg/62.5 mg:

Each white, oval film-coated bilayer scored tablet, debossed with "AUGMENTIN XR", contains 1,000 mg of amoxicillin (as amoxicillin sodium and amoxicillin trihydrate) and 62.5 mg clavulanic acid as the potassium salt.

6.2 Postmarketing Experience

The following adverse reactions have been identified during postmarketing use of Amoxicillin and Clavulanate products, including Amoxicillin and Clavulanate Potassium Extended Release Tablets. Because these reactions are reported voluntarily from a population of uncertain size, it is not always possible to reliably estimate their frequency or establish a causal relationship to drug exposure.

Gastrointestinal: Drug-induced enterocolitis syndrome (DIES), diarrhea, nausea, vomiting, indigestion, gastritis, stomatitis, glossitis, black “hairy” tongue, mucocutaneous candidiasis, enterocolitis, and hemorrhagic/pseudomembranous colitis. Onset of pseudomembranous colitis symptoms may occur during or after antibacterial treatment [see Warnings and Precautions ( 5.3, 5.5)] .

Immune: Hypersensitivity reactions, anaphylactic/anaphylactoid reactions (including shock), angioedema, serum sickness-like reactions (urticaria or skin rash accompanied by arthritis, arthralgia, myalgia, and frequently fever), hypersensitivity vasculitis [see Warnings and Precautions (5.1)] .

Skin and Appendages: Rashes, pruritus, urticaria, erythema multiforme, SJS, TEN, DRESS, AGEP, exfoliative dermatitis, and linear IgA bullous dermatosis [see Warnings and Precautions ( 5.1, 5.2, 5.6)] .

Liver: A moderate rise in AST (SGOT) and/or ALT (SGPT) has been noted in patients treated with ampicillin-class antibacterials, but the significance of these findings is unknown. Hepatic dysfunction, including hepatitis and cholestatic jaundice, [see Contraindications (4.2)], increases in serum transaminases (AST and/or ALT), serum bilirubin, and/or alkaline phosphatase, has been reported with Amoxicillin and Clavulanate. It has been reported more commonly in the elderly, in males, or in patients on prolonged treatment. The histologic findings on liver biopsy have consisted of predominantly cholestatic, hepatocellular, or mixed cholestatic-hepatocellular changes. The onset of signs/symptoms of hepatic dysfunction may occur during or several weeks after therapy has been discontinued. The hepatic dysfunction, which may be severe, is usually reversible. Deaths have been reported [see Contraindications (4.2), Warnings and Precautions (5.4)] .

Renal: Interstitial nephritis, hematuria, and crystalluria have been reported [see Overdosage (10)] .

Hemic and Lymphatic Systems: Anemia, including hemolytic anemia, thrombocytopenia, thrombocytopenic purpura, eosinophilia, leukopenia, and agranulocytosis have been reported during therapy with penicillins. These reactions are usually reversible on discontinuation of therapy and are believed to be hypersensitivity phenomena. There have been reports of increased prothrombin time in patients receiving Amoxicillin and Clavulanate and anticoagulant therapy concomitantly [see Drug Interactions (7.2)] .

Central Nervous System: Agitation, anxiety, behavioral changes, aseptic meningitis, confusion, convulsions, dizziness, headache, insomnia, and reversible hyperactivity have been reported.

Miscellaneous: Tooth discoloration (brown, yellow, or gray staining) has been reported. Most reports occurred in pediatric patients. Discoloration was reduced or eliminated with brushing or dental cleaning in most cases.

2.2 Dosage in Adults Patients

The recommended dosage of Amoxicillin and Clavulanate Potassium Extended Release Tablets is 4,000 mg/250 mg daily in divided doses according to the following table:

Table 1: Recommended Dosage of Amoxicillin and Clavulanate Potassium Extended Release Tablets in Adult Patients
Indication Dose Duration
Acute bacterial sinusitis Two (1,000 mg/62.5 mg) tablets every 12 hours 10 days
Community-acquired pneumonia Two (1,000 mg/62.5 mg) tablets every 12 hours 7 to 10 days

Amoxicillin and Clavulanate Potassium Extended Release Tablets can be split in half along the score line for patients with difficulty swallowing the tablets whole. Both halves of the tablet must be taken immediately.

8 Use in Specific Populations

14.1 Acute Bacterial Sinusitis

Adults with a diagnosis of acute bacterial sinusitis (ABS) were evaluated in 3 clinical studies. In one study, 363 patients were randomized to receive either Amoxicillin and Clavulanate Potassium Extended Release Tablets XR 2,000 mg/125 mg orally every 12 hours or levofloxacin 500 mg orally daily for 10 days in a double‑blind, multicenter, prospective trial. These patients were clinically and radiologically evaluated at the test of cure (day 17 to 28) visit. The combined clinical and radiological responses were 84% for Amoxicillin and Clavulanate Potassium Extended Release Tablets and 84% for levofloxacin at the test of cure visit in clinically evaluable patients (95% CI for the treatment difference equals ‑9.4, 8.3). The clinical response rates at the test of cure were 87% and 89%, respectively.

The other 2 trials were non‑comparative, multicenter studies designed to assess the bacteriological and clinical efficacy of Amoxicillin and Clavulanate Potassium Extended Release Tablets (2,000 mg/125 mg orally every 12 hours for 10 days) in the treatment of 2,288 patients with ABS. Evaluation timepoints were the same as in the prior study. Patients underwent maxillary sinus puncture for culture prior to receiving study medication. Patients with acute bacterial sinusitis due to S. pneumoniae with reduced susceptibility to penicillin were accrued through enrollment in these 2 open‑label non‑comparative clinical trials. Microbiologic eradication rates for key pathogens in these studies are shown in Table 4.

Table 4: Clinical Outcome for ABS

Penicillin MICs of S. pneumoniae

Isolates

Intent-To-Treat Clinically Evaluable
n/N a % 95% CI b n/N a % 95% CI b
All S. pneumoniae 344/370 93 318/326 98
MIC greater than or equal to

2.0 mcg/mL c
35/36 97 85.5, 99.9 30/31 96 83.3, 99.9
MIC equal to 2.0 mcg/mL 23/24 96 78.9, 99.9 19/20 95 75.1, 99.9
MIC greater than or equal to

4.0 mcg/mL d
12/12 100 73.5, 100 11/11 100 71.5, 100
H. influenzae 265/305 87 242/259 93
M. catarrhalis 94/105 90 86/90 96

a n/N equals patients with pathogen eradicated or presumed eradicated/total number of patients.

b Confidence limits calculated using exact probabilities.

c S. pneumoniae strains with penicillin MICs of greater than or equal to 2 mcg/mL are considered resistant to penicillin.

d Includes one patient each with S. pneumoniae penicillin MICs of 8 and 16 mcg/mL.

6.1 Clinical Trials Experience

Because clinical trials are conducted under widely varying conditions, adverse reaction rates observed in the clinical trials of a drug cannot be directly compared to rates in the clinical trials of another drug and may not reflect the rates observed in practice.

In clinical trials, 5,643 patients have been treated with Amoxicillin and Clavulanate Potassium Extended Release Tablets. The most frequently reported adverse reactions were diarrhea (15%), vaginal mycosis (3%), nausea (2%), and loose stools (2%). Amoxicillin and Clavulanate Potassium Extended Release Tablets had a higher rate of diarrhea which required corrective therapy (4% versus 3% for Amoxicillin and Clavulanate Potassium Extended Release Tablets and all comparators, respectively). Two percent of patients discontinued therapy due to adverse reactions.

7.5 Effects On Laboratory Tests

High urine concentrations of amoxicillin may result in false-positive reactions when testing for the presence of glucose in urine using CLINITEST ®, Benedict’s Solution, or Fehling’s Solution. Since this effect may also occur with Amoxicillin and Clavulanate Potassium Extended Release Tablets, it is recommended that glucose tests based on enzymatic glucose oxidase reactions be used. Following administration of amoxicillin to pregnant women, a transient decrease in plasma concentration of total conjugated estriol, estriol-glucuronide, conjugated estrone, and estradiol has been noted.

2.3 Dosage in Pediatric Patients

Pediatric patients who weigh 40 kg or more and can swallow tablets should receive the adult dose [see Dosage and Administration (2.2) and Use in Specific Populations (8.4) ].

14.2 Community Acquired Pneumonia

Four randomized, controlled, double‑blind clinical studies and one non‑comparative study were conducted in adults with community-acquired pneumonia (CAP). In comparative studies, 904 patients received Amoxicillin and Clavulanate Potassium Extended Release Tablets at a dose of 2,000 mg/125 mg orally every 12 hours for 7 or 10 days. In the non-comparative study to assess both clinical and bacteriological efficacy, 1,122 patients received Amoxicillin and Clavulanate Potassium Extended Release Tablets 2,000 mg/125 mg orally every 12 hours for 7 days. In the 4 comparative studies, the combined clinical success rate at test of cure ranged from 86% to 95% in clinically evaluable patients who received Amoxicillin and Clavulanate Potassium Extended Release Tablets.

Data on the efficacy of Amoxicillin and Clavulanate Potassium Extended Release Tablets in the treatment of community‑acquired pneumonia due to S. pneumoniae with reduced susceptibility to penicillin were accrued from the 4 controlled clinical studies and the 1 non‑comparative study. The majority of these cases were accrued from the non‑comparative study. Results are shown in Table 5.

Table 5: Clinical Outcome for CAP due to S. pneumoniae

Penicillin MICs of S. pneumoniae

Isolates

Intent-To-Treat Clinically Evaluable
n/N a % 95% CI b n/N a % 95% CI b
All S. pneumoniae 318/367 87 275/297 93
MIC greater than or equal to

2.0 mcg/mL c
30/35 86 69.7, 95.2 24/25 96 79.6, 99.9
MIC equal to 2.0 mcg/mL 22/24 92 73.0, 99.9 18/18 100 81.5, 100
MIC greater than or equal to

4.0 mcg/mL d
8/11 73 39.0, 94.0 6/7 86 42.1, 99.6

a. n/N equals patients with pathogen eradicated or presumed eradicated/total number of patients.

b. Confidence limits calculated using exact probabilities.

c. S. pneumoniae strains with penicillin MICs of greater than or equal to 2 mcg/mL are considered resistant to penicillin.

d. Includes one patient each with S. pneumoniae penicillin MICs of 8 and 16 mcg/mL in the Intent-To-Treat group only.

17 Patient Counseling Information

Administration Instructions

Counsel patients to take Amoxicillin and Clavulanate Potassium Extended Release Tablets every 12 hours with a low fat meal or snack to reduce the possibility of gastrointestinal upset. If diarrhea develops and is severe or lasts more than 2 or 3 days, they should call their doctor [see Dosage and Administration (2.1) , Warnings and Precautions (5.5) ].

Allergic Reactions

Counsel patients that Amoxicillin and Clavulante Potassium Extended Release Tablets contains a penicillin class drug product that can cause allergic reactions in some individuals [see Warnings and Precautions ( 5.1 , 5.3 )].

Severe Cutaneous Adverse Reactions (SCAR)

Advise patients about the signs and symptoms of serious skin manifestations. Instruct patients to stop taking Amoxicillin and Clavulanate Potassium Extended Release Tablets immediately and promptly report the first signs or symptoms of skin rash, mucosal lesions, or any other sign of hypersensitivity [see Warnings and Precautions (5.2) ].



Diarrhea

Counsel patients that diarrhea is a common problem caused by antibacterial drugs, including Amoxicillin and Clavulanate Potassium Extended Release Tablets, which usually ends when the antibacterial is discontinued. Sometimes after starting treatment with antibacterial drugs, patients can develop watery and bloody stools (with or without stomach cramps and fever) even as late as 2 or more months after having taken the last dose of the antibacterial drug. If diarrhea is severe or lasts more than 2 or 3 days, patients should contact their physician as soon as possible [see Warnings and Precautions (5.5) ].

Antibacterial Resistance

Patients should be counseled that antibacterial drugs, including Amoxicillin and Clavulanate Potassium Extended Release Tablets, should only be used to treat bacterial infections. Antibacterial drugs do not treat viral infections (e.g., the common cold). When Amoxicillin and Clavulanate Potassium Extended Release Tablets is prescribed to treat a bacterial infection, patients should be told that although it is common to feel better early in the course of therapy, the medication should be taken exactly as directed. Skipping doses or not completing the full course of therapy may: (1) decrease the effectiveness of the immediate treatment, and (2) increase the likelihood that bacteria will develop resistance and will not be treatable by Amoxicillin and Clavulanate Potassium Extended Release Tablets or other antibacterial drugs in the future [see Warnings and Precautions (5.8) ].

Manufactured by:

USAntibiotics, LLC

Bristol, TN 37620 (USA)

MAALOX is a registered trademark of Novartis Consumer Health, Inc.

CLINITEST is a registered trademark of Miles, Inc.

16 How Supplied/storage and Handling

How Supplied

Amoxicillin and Clavulanate Potassium Extended Release Tablets are white, oval film-coated bilayer scored tablets debossed with "AUGMENTIN XR". Each tablet contains 1,000 mg of amoxicillin (as amoxicillin sodium and amoxicillin trihydrate) and 62.5 mg clavulanic acid as the potassium salt.

Amoxicillin and Clavulanate Potassium Extended Release Tablets are supplied as follows:

  • NDC 81964‑220‑28 Bottles of 28 (7-day XR pack)
  • NDC 81964‑220‑40 Bottles of 40 (10-day XR pack)

Storage

Store tablets at or below 25°C (77°F). Dispense in original container.

4.1 Serious Hypersensitivity Reactions

Amoxicillin and Clavulanate Potassium Extended Release Tablets is contraindicated in patients with a history of serious hypersensitivity reactions (e.g., anaphylaxis or Stevens-Johnson syndrome) to amoxicillin, clavulanate or to other beta-lactam antibacterial drugs (e.g., penicillins and cephalosporins).

5.2 Severe Cutaneous Adverse Reactions

Amoxicillin and Clavulanate Potassium Extended Release Tablets may cause severe cutaneous adverse reactions (SCAR), such as Stevens-Johnson syndrome (SJS), toxic epidermal necrolysis (TEN), drug reaction with eosinophilia and systemic symptoms (DRESS), and acute generalized exanthematous pustulosis (AGEP). If patients develop a skin rash, they should be monitored closely, and Amoxicillin and Clavulanate Potassium Extended Release Tablets discontinued if lesions progress.

5.7 Potential for Microbial Overgrowth

The possibility of superinfections with mycotic or bacterial pathogens should be considered during therapy. If superinfections occur (commonly involving Pseudomonas spp. or Candida spp.), the drug should be discontinued and/or appropriate therapy instituted.

5.3 Drug Induced Enterocolitis Syndrome

Drug-induced enterocolitis syndrome (DIES) has been reported with use of amoxicillin, a component of Amoxicillin and Clavulanate Potassium Extended Release Tablets [see Adverse Reactions (6.2)] , with most cases occurring in pediatric patients </=18 years of age. DIES is a non-IgE mediated hypersensitivity reaction characterized by protracted vomiting occurring 1 to 4 hours after drug ingestion in the absence of skin or respiratory symptoms. DIES may be associated with pallor, lethargy, hypotension, shock, diarrhea within 24 hours after ingesting amoxicillin, and leukocytosis with neutrophilia. If DIES occurs, discontinue Amoxicillin and Clavulanate Potassium Extended Release Tablets and institute appropriate therapy.

2.1 Important Administration Instructions

Amoxicillin and Clavulanate Potassium Extended Release Tablets should be taken at the start of a meal to enhance the absorption of amoxicillin and to minimize the potential for gastrointestinal intolerance. Amoxicillin and Clavulanate Potassium Extended Release Tablets is not recommended to be taken with a high-fat meal because clavulanate absorption is decreased [see Clinical Pharmacology (12.3) ].

5.8 Development of Drug Resistant Bacteria

Prescribing Amoxicillin and Clavulanate Potassium Extended Release Tablets in the absence of a proven or strongly suspected bacterial infection or a prophylactic indication is unlikely to provide benefit to the patient and increases the risk of the development of drug-resistant bacteria.

Bottle Label (28s) Extended Release Tablets

NDC 81964- 220-28

1000 mg/62.5 mg

7 day XR pack

AMOXICILLIN AND

CLAVULANATE

POTASSIUM

extended-release tablets, USP



AMOXICILLIN, 1000 mg

(437.5 mg as amoxicillin sodium and

562.5 mg as amoxicillin trihydrate), and

CLAVULANIC ACID, 62.5 mg

(equivalent to 74.5 mg of clavulanate

potassium)

28 Scored Tablets

U

S

ANTIBIOTICS Rx only

Bottle Label (40s) Extended Release Tablets

NDC 81964- 220-40

1000 mg/62.5 mg

10 day XR pack

AMOXICILLIN AND

CLAVULANATE

POTASSIUM

extended-release tablets, USP



AMOXICILLIN, 1000 mg

(437.5 mg as amoxicillin sodium and

562.5 mg as amoxicillin trihydrate), and

CLAVULANIC ACID, 62.5 mg

(equivalent to 74.5 mg of clavulanate

potassium)

40 Scored Tablets

U

S

ANTIBIOTICS Rx only

4.2 Cholestatic Jaundice/hepatic Dysfunction

Amoxicillin and Clavulanate Potassium Extended Release Tablets is contraindicated in patients with a previous history of cholestatic jaundice/hepatic dysfunction associated with treatment with amoxicillin/clavulanate potassium.

5.6 Skin Rash in Patients With Mononucleosis

A high percentage of patients with mononucleosis who receive amoxicillin develop an erythematous skin rash. Avoid Amoxicillin and Clavulanate Potassium Extended Release Tablets use in patients with mononucleosis.

2.4 Dosage in Patients With Hepatic Impairment

Hepatically impaired patients should be dosed with caution and hepatic function monitored at regular intervals [see Warnings and Precautions (5.4) ].

2.5 Switching Between Dosage Forms and Strengths

Amoxicillin and Clavulanate Potassium Extended Release Tablets is NOT substitutable on a mg-to-mg basis with other formulations of Amoxicillin and Clavulanate. In addition, the extended-release tablets provide an extended time course of plasma amoxicillin concentrations compared to immediate-release tablets. Thus, two Amoxicillin and Clavulanate 500 mg tablets are not equivalent to one Amoxicillin and Clavulanate Potassium Extended Release Tablets 1,000 mg tablet.

5.1 Serious Allergic Reactions, Including Anaphylaxis

Serious and occasionally fatal hypersensitivity (anaphylactic) reactions have been reported in patients receiving Amoxicillin and Clavulanate Potassium Extended Release Tablets. These reactions are more likely to occur in individuals with a history of penicillin hypersensitivity and/or a history of sensitivity to multiple allergens. Before initiating therapy with Amoxicillin and Clavulanate Potassium Extended Release Tablets, careful inquiry should be made regarding previous hypersensitivity reactions to penicillins, cephalosporins, or other allergens. If an allergic reaction occurs, discontinue Amoxicillin and Clavulanate Potassium Extended Release Tablets and institute appropriate therapy.

5.5 Clostridioides Difficile Associated Diarrhea (cdad)

Clostridioides difficile-associated diarrhea (CDAD) has been reported with use of nearly all antibacterial agents, including Amoxicillin and Clavulanate Potassium Extended Release Tablets, and may range in severity from mild diarrhea to fatal colitis. Treatment with antibacterial agents alters the normal flora of the colon leading to overgrowth of C. difficile.

C. difficile produces toxins A and B which contribute to the development of CDAD. Hypertoxin-producing strains of C. difficile

cause increased morbidity and mortality, as these infections can be refractory to antimicrobial therapy and may require colectomy. CDAD must be considered in all patients who present with diarrhea following antibacterial drug use. Careful medical history is necessary since CDAD has been reported to occur over two months after the administration of antibacterial agents.

If CDAD is suspected or confirmed, ongoing antibacterial drug use not directed against C. difficile may need to be discontinued. Appropriate fluid and electrolyte management, protein supplementation, antibacterial treatment of C. difficile, and surgical evaluation should be instituted as clinically indicated.

13.1 Carcinogenesis, Mutagenesis, Impairment of Fertility

Long-term studies in animals have not been performed to evaluate carcinogenic potential. Amoxicillin and clavulanate (4:1 ratio formulation of amoxicillin:clavulanate) was non-mutagenic in the Ames bacterial mutation assay, and the yeast gene conversion assay. Amoxicillin and clavulanate was weakly positive in the mouse lymphoma assay, but the trend toward increased mutation frequencies in this assay occurred at concentrations that were also associated with decreased cell survival. Amoxicillin and clavulanate was negative in the mouse micronucleus test, and in the dominant lethal assay in mice. Potassium clavulanate alone was tested in the Ames bacterial mutation assay and in the mouse micronucleus test and was negative in each of these assays.

Amoxicillin and clavulanate (2:1 ratio formulation of amoxicillin:clavulanate) at oral doses of up to 1,200 mg/kg/day was found to have no effect on fertility and reproductive performance in rats. Based on body surface area, this dose of amoxicillin is approximately 1.6 times the Maximum Human Recommended Dose (MHRD) in Amoxicillin and Clavulanate Potassium Extended Release Tablets and the clavulanate dose multiple is approximately 13 times higher than the MHRD.


Structured Label Content

Section 43683-2 (43683-2)
Indications and Usage (1) 12/2024
Dosage and Administration, Dosage in Pediatric Patients (2.3) 12/2024
Warnings and Precautions, Drug-induced Enterocolitis Syndrome (DIES) (5.3) 5/2024

10 Overdosage (10 OVERDOSAGE)

Following overdosage, patients have experienced primarily gastrointestinal symptoms including stomach and abdominal pain, vomiting, and diarrhea. Rash, hyperactivity, or drowsiness have also been observed in a small number of patients.

In the case of overdosage, discontinue Amoxicillin and Clavulanate Potassium Extended Release Tablets, treat symptomatically, and institute supportive measures as required. If the overdosage is very recent and there is no contraindication, an attempt at emesis or other means of removal of drug from the stomach may be performed. A prospective study of 51 pediatric patients at a poison control center suggested that overdosages of less than 250 mg/kg of amoxicillin are not associated with significant clinical symptoms and do not require gastric emptying. 1

Interstitial nephritis resulting in oliguric renal failure has been reported in a small number of patients after overdosage with amoxicillin.

Crystalluria, in some cases leading to renal failure, has also been reported after amoxicillin overdosage in adult and pediatric patients. In the case of overdosage, adequate fluid intake and diuresis should be maintained to reduce the risk of amoxicillin crystalluria.

Renal impairment appears to be reversible with cessation of drug administration. High blood levels may occur more readily in patients with impaired renal function because of decreased renal clearance of both amoxicillin and clavulanate. Both amoxicillin and clavulanate are removed from the circulation by hemodialysis.

15 References (15 REFERENCES)
  • Swanson-Biearman B, Dean BS, Lopez G, Krenzelok EP. The effects of penicillin and cephalosporin ingestions in children less than six years of age. Vet Hum Toxicol. 1988; 30:66-67.
8.1 Pregnancy

Risk Summary

Available data from published epidemiologic studies and pharmacovigilance case reports over several decades of use with amoxicillin and clavulanate during pregnancy have not established a drug-associated risk of major birth defects, miscarriage, or adverse maternal outcomes. A study in women with preterm prelabor rupture of membranes (PPROM) reported that prophylactic treatment with amoxicillin and clavulanate may be associated with an increased risk of necrotizing enterocolitis in neonates (see Data). Reproduction studies performed in pregnant rodents, given oral doses up to approximately 1.6 times the amount of amoxicillin and 13 times the amount of clavulanate in the Maximum Human Recommended Dose (MHRD) of Amoxicillin and Clavulanate Potassium Extended Release Tablets, revealed no evidence of harm to the fetus (see Data).

The background risk of major birth defects and miscarriage for the indicated populations is unknown. All pregnancies have a background risk of birth defect, loss, or other adverse outcomes. In the U.S. general population, the estimated background risk of major birth defects and miscarriage in clinically recognized pregnancies is 2 to 4% and 15 to 20%, respectively.

Data

Human Data

One randomized, controlled trial included 4,826 pregnant women with premature rupture of fetal membranes who were randomly assigned to 250 mg erythromycin (n=1,197), 250 mg amoxicillin and 125 mg clavulanic acid (amoxicillin and clavulanate, n=1,212), amoxicillin and clavulanate and erythromycin (n=1,192), or placebo (n=1,225) four times daily for 10 days or until delivery. Amoxicillin and clavulanate was associated with a significantly increased rate of proven neonatal necrotizing enterocolitis: 1.9% (n = 24) in the amoxicillin and clavulanate only group versus 0.5% (n = 6) in the placebo group (p = 0.001), and 1.8% (n = 44) in the any amoxicillin and clavulanate group versus 0.7% (n =17) in the no amoxicillin and clavulanate group (p = 0.0005).

Animal Data

Reproduction studies performed in pregnant rats and mice given amoxicillin and clavulanate (2:1 ratio formulation) at oral doses up to 1,200 mg/kg/day revealed no evidence of harm to the fetus due to amoxicillin and clavulanate. In terms of body surface area, the doses in rats were 1.6 times the Maximum Human Recommended Dose (MHRD) of amoxicillin and 13 times the MHRD for clavulanate in Amoxicillin and Clavulanate Potassium Extended Release Tablets. For mice, these doses were 0.9 and 7.4 times the MHRD of amoxicillin and clavulanate, respectively.

8.2 Lactation

Risk Summary

Data from a published clinical lactation study report that amoxicillin is present in human milk . There are reports of diarrhea, irritability, and rash in infants exposed to amoxicillin and clavulanate through breast milk; therefore, infants exposed to Amoxicillin and Clavulanate Potassium Extended Release Tablets should be monitored for these symptoms. There are no data on the effects of amoxicillin and clavulanate on milk production. The developmental and health benefits of breastfeeding should be considered along with the mother’s clinical need for Amoxicillin and Clavulanate Potassium Extended Release Tablets and any potential adverse effects on the breastfed child from Amoxicillin and Clavulanate Potassium Extended Release Tablets or from the underlying maternal condition.

11 Description (11 DESCRIPTION)

Amoxicillin and Clavulanate Potassium Extended Release Tablets is an oral antibacterial combination consisting of the semisynthetic antibacterial amoxicillin (present as amoxicillin sodium and amoxicillin trihydrate) and the beta-lactamase inhibitor clavulanate potassium (the potassium salt of clavulanic acid). Amoxicillin is an analog of ampicillin, derived from the basic penicillin nucleus, 6-aminopenicillanic acid. The amoxicillin trihydrate molecular formula is C16H19N3O5S•3H2O, and the molecular weight is 419.45.

Chemically, amoxicillin trihydrate is (2S,5R,6R)-6-[(R)-(-)-2-Amino-2-(p-hydroxyphenyl)acetamido]-3,3-dimethyl-7-oxo-4-thia-1-azabicyclo[3.2.0]heptane-2-carboxylic acid trihydrate and may be represented structurally as:

The amoxicillin sodium molecular formula is C16H18N3NaO5S, and the molecular weight is 387.39. Chemically, amoxicillin sodium is [2 -[2α,5α,6β(S*)]]-6-[[Amino (4-hydroxyphenyl)acetyl]amino]-3,3-dimethyl-7-oxo-4-thia-1-azabicyclo[3.2.0]heptane-2-carboxylic acid monosodium salt and may be represented structurally as:

Clavulanic acid is produced by the fermentation of Streptomyces clavuligerus. It is a beta-lactam structurally related to the penicillins and possesses the ability to inactivate a wide variety of beta-lactamases by blocking the active sites of these enzymes. Clavulanic acid is particularly active against the clinically important plasmid-mediated beta-lactamases frequently responsible for transferred drug resistance to penicillins and cephalosporins. The clavulanate potassium molecular formula is C8H8KNO5, and the molecular weight is 237.25.

Chemically, clavulanate potassium is potassium (Z)-(2R,5R)-3-(2-hydroxyethylidene)-7-oxo-4-oxa-1-azabicyclo[3.2.0]-heptane-2-carboxylate, and may be represented structurally as:

Each tablet of Amoxicillin and Clavulanate Potassium Extended Release Tablets contains 1,000 mg of amoxicillin (437.5 mg of amoxicillin equivalent to 463.8 mg of amoxicillin sodium and 562.5 mg of amoxicillin in the form of amoxicillin trihydrate), and 62.5 mg of clavulanic acid (equivalent to 74.5 mg of clavulanate potassium).

Inactive Ingredients: Citric acid, colloidal silicon dioxide, hypromellose, magnesium stearate, microcrystalline cellulose, polyethylene glycol, sodium starch glycolate, titanium dioxide, and xanthan gum.

Each tablet of Amoxicillin and Clavulanate Potassium Extended Release Tablets contains approximately 13 mg of potassium and 30 mg of sodium.

7.1 Probenecid

Probenecid decreases the renal tubular secretion of amoxicillin. Concurrent use with Amoxicillin and Clavulanate Potassium Extended Release Tablets may result in increased and prolonged blood levels of amoxicillin. Co-administration of probenecid is not recommended.

7.3 Allopurinol

The concurrent administration of allopurinol and amoxicillin substantially increases the incidence of rashes in patients receiving both drugs as compared to patients receiving amoxicillin alone. It is not known whether this potentiation of amoxicillin rashes is due to allopurinol or the hyperuricemia present in these patients. In controlled clinical trials of Amoxicillin and Clavulanate Potassium Extended Release Tablets, 25 patients received concomitant allopurinol and Amoxicillin and Clavulanate Potassium Extended Release Tablets. No rashes were reported in these patients. However, this sample size is too small to allow for any conclusions to be drawn regarding the risk of rashes with concomitant Amoxicillin and Clavulanate Potassium Extended Release Tablets and allopurinol use.

8.4 Pediatric Use

The safety and effectiveness of Amoxicillin and Clavulanate Potassium Extended Release Tablets have been established for pediatric patients weighing greater than or equal to 40 kg who are able to swallow tablets. Use of Amoxicillin and Clavulanate Potassium Extended Release Tablets in these pediatric patients is supported by evidence from adequate and well-controlled trials of adults with acute bacterial sinusitis and community-acquired pneumonia with additional data from a pediatric pharmacokinetic study.

A pharmacokinetic study in pediatric patients (7 to 15 years of age and weighing greater than or equal to 40 kg) was conducted [see Clinical Pharmacology (12.3) ]. The adverse event profile in 44 pediatric patients who received at least one dose of Amoxicillin and Clavulanate Potassium Extended Release Tablets was consistent with the established adverse event profile for the product in adults.

8.5 Geriatric Use

Of the total number of subjects in clinical studies of Amoxicillin and Clavulanate Potassium Extended Release Tablets, 18% were 65 years or older and 7% were 75 years or older. No overall differences in safety and effectiveness were observed between these subjects and younger subjects, and other clinical experience has not reported differences in responses between the elderly and younger patients, but a greater sensitivity of some older individuals cannot be ruled out.

Amoxicillin and Clavulanate Potassium Extended Release Tablets is known to be substantially excreted by the kidney, and the risk of dose dependent toxic reactions to this drug may be greater in patients with impaired renal function. Because elderly patients are more likely to have decreased renal function, it may be useful to monitor renal function.

14 Clinical Studies (14 CLINICAL STUDIES)

4 Contraindications (4 CONTRAINDICATIONS)

6 Adverse Reactions (6 ADVERSE REACTIONS)

The following clinically significant adverse reactions are described elsewhere in the labeling:

  • Anaphylactic reactions [see Warnings and Precautions (5.1)]
  • Severe Cutaneous Adverse Reactions [see Warnings and Precautions (5.2)]
  • Drug-Induced Enterocolitis Syndrome (DIES) [see Warnings and Precautions (5.3)]
  • Hepatic Dysfunction [see Warnings and Precautions (5.4)]
  • Clostridioides difficile-associated diarrhea (CDAD) [see Warnings and Precautions (5.5)]
  • Skin Rash in Patients with Mononucleosis [see Warnings and Precautions (5.6)]
7 Drug Interactions (7 DRUG INTERACTIONS)

4.3 Renal Impairment

Amoxicillin and Clavulanate Potassium Extended Release Tablets is contraindicated in patients with severe renal impairment (creatinine clearance less than 30 mL/min) and in hemodialysis patients.

8.6 Renal Impairment

The pharmacokinetics of Amoxicillin and Clavulanate Potassium Extended Release Tablets have not been studied in patients with renal impairment. Amoxicillin and Clavulanate Potassium Extended Release Tablets is contraindicated in patients with a creatinine clearance of less than 30 mL/min and in hemodialysis patients [see Contraindications (4.3) ].

12.3 Pharmacokinetics

Amoxicillin and Clavulanate Potassium Extended Release Tablets is an extended-release formulation which provides sustained plasma concentrations of amoxicillin. Amoxicillin systemic exposure achieved with Amoxicillin and Clavulanate Potassium Extended Release Tablets is similar to that produced by the oral administration of equivalent doses of amoxicillin alone.

Absorption

Amoxicillin and clavulanate potassium are well absorbed from the gastrointestinal tract after oral administration of Amoxicillin and Clavulanate Potassium Extended Release Tablets.

In a study of healthy adult volunteers, the pharmacokinetics of Amoxicillin and Clavulanate Potassium Extended Release Tablets were compared when administered in a fasted state, at the start of a standardized meal (612 kcal, 89.3 g carb, 24.9 g fat, and 14 g protein), or 30 minutes after a high‑fat meal.

When the systemic exposure to both amoxicillin and clavulanate is taken into consideration, Amoxicillin and Clavulanate Potassium Extended Release Tablets is optimally administered at the start of a standardized meal. Absorption of amoxicillin is decreased in the fasted state. Amoxicillin and Clavulanate Potassium Extended Release Tablets is not recommended to be taken with a high‑fat meal, because clavulanate absorption is decreased. The pharmacokinetics of the components of Amoxicillin and Clavulanate Potassium Extended Release Tablets following administration of two Amoxicillin and Clavulanate Potassium Extended Release Tablets tablets at the start of a standardized meal are presented in Table 2.

Table 2: Mean (SD) Pharmacokinetic Parmameters for Amoxicillin and Clavulanate Following Oral Administration of Two Amoxicillin and Clavulanate Potassium Extended Release Tablets (2,000 mg/125 mg) to Healthy Adult Volunteers (n=55) Fed a Standardized Meal
Parameter (units) Amoxicillin Clavulanate
AUC (0‑inf)(mcg•hr/mL) 71.6 (16.5) 5.29 (1.55)
C max(mcg/mL) 17.0 (4.0) 2.05 (0.80)
T max(hours) a 1.50 (1.00 to 6.00) 1.03 (0.75 to 3.00)
T 1/2(hours) 1.27 (0.20) 1.03 (0.17)

aMedian (range)

The half-life of amoxicillin after the oral administration of Amoxicillin and Clavulanate Potassium Extended Release Tablets is approximately 1.3 hours, and that of clavulanate is approximately 1.0 hour.

Distribution

Neither component in Amoxicillin and Clavulanate Potassium Extended Release Tablets is highly protein‑bound; clavulanate has been found to be approximately 25% bound to human serum and amoxicillin approximately 18% bound.

Amoxicillin diffuses readily into most body tissues and fluids, with the exception of the brain and spinal fluid. The results of experiments involving the administration of clavulanic acid to animals suggest that this compound, like amoxicillin, is well distributed in body tissues.

Excretion

Clearance of amoxicillin is predominantly renal, with approximately 60% to 80% of the dose being excreted unchanged in urine, whereas clearance of clavulanate has both a renal (30% to 50%) and a non‑renal component.

Specific Populations

Pediatric Patients

In a study of pediatric patients with acute bacterial sinusitis, 7 to 15 years of age, and weighing at least 40 kg, the pharmacokinetics of amoxicillin and clavulanate were assessed following administration of Amoxicillin and Clavulanate Potassium Extended Release Tablets 2,000 mg/125 mg (as two 1,000 mg/62.5 mg tablets) every 12 hours with food (Table 3).

Table 3: Mean (SD) Pharmacokinetic Parameters for Amoxicillin and Clavulanate Following Oral Administration of Two Amoxicillin and Clavulanate Extended Release Tablets (2,000 mg/125 mg) Every 12 Hours with Food in Pediatric Patients (7 to 15 Years of Age and Weighing greater than or equal to 40 kg) With Acute Bacterial Sinusitis
Parameter (units) Amoxicillin (n = 24) Clavulanate (n = 23)
AUC (0-t)(mcg•hr/mL) 57.8 (15.6) 3.18 (1.37)
C max(mcg/mL) 11.0 (3.34) 1.17 (0.67)
T max (hours) a 2.0 (1.0 to 5.0) 1.1 (1.0 to 4.0)
T ½(hours) 3.32 (2.21) b 0.94 (0.13) c

a Median (range).

b n equals 18.

c n equals 17.

Drug Interaction Studies

Clinical Studies

Concurrent administration of probenecid delays amoxicillin excretion but does not delay renal excretion of clavulanate [see Drug Interactions (7.1)] .

In a study of adults, the pharmacokinetics of amoxicillin and clavulanate were not affected by administration of an antacid (MAALOX ®), either simultaneously with or 2 hours after Amoxicillin and Clavulanate Potassium Extended Release Tablets.

8.7 Hepatic Impairment

Hepatically impaired patients should be dosed with caution and hepatic function monitored at regular intervals [see Contraindications (4.2), Warnings and Precautions (5.4)] .

1 Indications and Usage (1 INDICATIONS AND USAGE)

Amoxicillin and Clavulanate Potassium Extended Release Tablets is indicated for the treatment of infections in adults and pediatric patients weighing greater than or equal to 40 kg who are able to swallow tablets with:

  • community-acquired pneumonia or
  • acute bacterial sinusitis

due to confirmed, or suspected beta-lactamase-producing pathogens (i.e., H. influenzae, M. catarrhalis, H. parainfluenzae, K. pneumoniae, or methicillin-susceptible S. aureus) and S. pneumoniae with reduced susceptibility to penicillin (i.e., penicillin MICs equal to 2 mcg/mL).

Limitations of Use

Amoxicillin and Clavulanate Potassium Extended Release Tablets is not indicated for the treatment of infections due to S. pneumoniae with penicillin MICs greater than or equal to 4 mcg/mL. Data are limited with regard to infections due to S. pneumoniae with penicillin MICs greater than or equal to 4 mcg/ mL [see Clinical Studies (14) ].

Usage

To reduce the development of drug-resistant bacteria and maintain the effectiveness of Amoxicillin and Clavulanate Potassium Extended Release Tablets and other antibacterial drugs, Amoxicillin and Clavulanate Potassium Extended Release Tablets should be used only to treat or prevent infections that are proven or strongly suspected to be caused by susceptible bacteria. When culture and susceptibility information are available, they should be considered in selecting or modifying antibacterial therapy. In the absence of such data, local epidemiology and susceptibility patterns may contribute to the empiric selection of therapy.

In patients with community-acquired pneumonia in whom penicillin-resistant S. pneumoniae is suspected, bacteriological studies should be performed to determine the causative organisms and their susceptibility when Amoxicillin and Clavulanate Potassium Extended Release Tablets is prescribed.

Acute bacterial sinusitis or community-acquired pneumonia due to a penicillin-susceptible strain of S. pneumoniae plus a beta-lactamase-producing pathogen can be treated with another amoxicillin and clavulanate potassium product containing lower daily doses of amoxicillin (i.e., 500 mg every 8 hours or 875 mg every 12 hours). Acute bacterial sinusitis or community-acquired pneumonia due to S. pneumoniae alone can be treated with amoxicillin.

5.4 Hepatic Dysfunction

Use Amoxicillin and Clavulanate Potassium Extended Release Tablets with caution in patients with evidence of hepatic dysfunction. Hepatic toxicity associated with the use of Amoxicillin and Clavulanate Potassium is usually reversible. Deaths have been reported (fewer than one death reported per estimated four million prescriptions worldwide). These have generally been cases associated with serious underlying diseases or concomitant medications [see Contraindications (4.2) , and Adverse Reactions (6.2) ].

7.2 Oral Anticoagulants

Abnormal prolongation of prothrombin time (increased international normalized ratio [INR]) has been reported in patients receiving amoxicillin and oral anticoagulants. Appropriate monitoring should be undertaken when anticoagulants are prescribed concurrently. Adjustments in the dose of oral anticoagulants may be necessary to maintain the desired level of anticoagulation.

7.4 Oral Contraceptives

Amoxicillin and Clavulanate Potassium Extended Release Tablets may affect intestinal flora, leading to lower estrogen reabsorption and reduced efficacy of combined oral estrogen/progesterone contraceptives.

12 Clinical Pharmacology (12 CLINICAL PHARMACOLOGY)

12.1 Mechanism of Action

Amoxicillin and Clavulanate Potassium Extended Release Tablets is an antibacterial drug [see Clinical Pharmacology (12.4)] .

13 Nonclinical Toxicology (13 NONCLINICAL TOXICOLOGY)

12.4 Clinical Pharmacology

Mechanism of Action

Amoxicillin binds to penicillin-binding proteins within the bacterial cell wall and inhibits bacterial cell wall synthesis.

Clavulanic acid is a beta-lactam, structurally related to penicillin, that may inactivate certain beta‑lactamase enzymes.

Resistance

Resistance to penicillins may be mediated by destruction of the beta-lactam ring by a beta-lactamase, altered affinity of penicillin for target, or decreased penetration of the antibacterial drug to reach the target site. Amoxicillin alone is susceptible to degradation by beta‑lactamases, and therefore its spectrum of activity does not include bacteria that produce these enzymes.

Antimicrobial Activity

Amoxicillin and clavulanic acid has been shown to be active against most isolates of the following microorganisms, both in vitro and in clinical infections [see Indications and Usage (1)] .



Gram-positive bacteria:

Staphylococcus aureus (methicillin-susceptible)

Streptococcus pneumoniae

Gram-negative bacteria:

Haemophilus influenzae

Haemophilus parainfluenzae

Klebsiella pneumoniae

Moraxella catarrhalis

The following in vitro data are available, but their clinical significance is unknown. At least 90 percent of the following bacteria exhibit in vitro minimum inhibitory concentration (MIC) less than or equal to the susceptible breakpoint for amoxicillin and clavulanic acid against isolates of similar genus or organism group. However, the efficacy of amoxicillin and clavulanic acid in treating clinical infections caused by these bacteria have not been established in adequate and well-controlled trials.

Gram-positive bacteria:

Streptococcus pyogenes

Susceptibility Testing:

For specific information regarding susceptibility test interpretive criteria and associated test methods and quality control standards recognized by FDA for this drug, please see https://www.fda.gov/STIC.

5 Warnings and Precautions (5 WARNINGS AND PRECAUTIONS)

2 Dosage and Administration (2 DOSAGE AND ADMINISTRATION)

3 Dosage Forms and Strengths (3 DOSAGE FORMS AND STRENGTHS)
  • Amoxicillin and Clavulanate Potassium Extended Release Tablets; 1,000 mg/62.5 mg:

Each white, oval film-coated bilayer scored tablet, debossed with "AUGMENTIN XR", contains 1,000 mg of amoxicillin (as amoxicillin sodium and amoxicillin trihydrate) and 62.5 mg clavulanic acid as the potassium salt.

6.2 Postmarketing Experience

The following adverse reactions have been identified during postmarketing use of Amoxicillin and Clavulanate products, including Amoxicillin and Clavulanate Potassium Extended Release Tablets. Because these reactions are reported voluntarily from a population of uncertain size, it is not always possible to reliably estimate their frequency or establish a causal relationship to drug exposure.

Gastrointestinal: Drug-induced enterocolitis syndrome (DIES), diarrhea, nausea, vomiting, indigestion, gastritis, stomatitis, glossitis, black “hairy” tongue, mucocutaneous candidiasis, enterocolitis, and hemorrhagic/pseudomembranous colitis. Onset of pseudomembranous colitis symptoms may occur during or after antibacterial treatment [see Warnings and Precautions ( 5.3, 5.5)] .

Immune: Hypersensitivity reactions, anaphylactic/anaphylactoid reactions (including shock), angioedema, serum sickness-like reactions (urticaria or skin rash accompanied by arthritis, arthralgia, myalgia, and frequently fever), hypersensitivity vasculitis [see Warnings and Precautions (5.1)] .

Skin and Appendages: Rashes, pruritus, urticaria, erythema multiforme, SJS, TEN, DRESS, AGEP, exfoliative dermatitis, and linear IgA bullous dermatosis [see Warnings and Precautions ( 5.1, 5.2, 5.6)] .

Liver: A moderate rise in AST (SGOT) and/or ALT (SGPT) has been noted in patients treated with ampicillin-class antibacterials, but the significance of these findings is unknown. Hepatic dysfunction, including hepatitis and cholestatic jaundice, [see Contraindications (4.2)], increases in serum transaminases (AST and/or ALT), serum bilirubin, and/or alkaline phosphatase, has been reported with Amoxicillin and Clavulanate. It has been reported more commonly in the elderly, in males, or in patients on prolonged treatment. The histologic findings on liver biopsy have consisted of predominantly cholestatic, hepatocellular, or mixed cholestatic-hepatocellular changes. The onset of signs/symptoms of hepatic dysfunction may occur during or several weeks after therapy has been discontinued. The hepatic dysfunction, which may be severe, is usually reversible. Deaths have been reported [see Contraindications (4.2), Warnings and Precautions (5.4)] .

Renal: Interstitial nephritis, hematuria, and crystalluria have been reported [see Overdosage (10)] .

Hemic and Lymphatic Systems: Anemia, including hemolytic anemia, thrombocytopenia, thrombocytopenic purpura, eosinophilia, leukopenia, and agranulocytosis have been reported during therapy with penicillins. These reactions are usually reversible on discontinuation of therapy and are believed to be hypersensitivity phenomena. There have been reports of increased prothrombin time in patients receiving Amoxicillin and Clavulanate and anticoagulant therapy concomitantly [see Drug Interactions (7.2)] .

Central Nervous System: Agitation, anxiety, behavioral changes, aseptic meningitis, confusion, convulsions, dizziness, headache, insomnia, and reversible hyperactivity have been reported.

Miscellaneous: Tooth discoloration (brown, yellow, or gray staining) has been reported. Most reports occurred in pediatric patients. Discoloration was reduced or eliminated with brushing or dental cleaning in most cases.

2.2 Dosage in Adults Patients

The recommended dosage of Amoxicillin and Clavulanate Potassium Extended Release Tablets is 4,000 mg/250 mg daily in divided doses according to the following table:

Table 1: Recommended Dosage of Amoxicillin and Clavulanate Potassium Extended Release Tablets in Adult Patients
Indication Dose Duration
Acute bacterial sinusitis Two (1,000 mg/62.5 mg) tablets every 12 hours 10 days
Community-acquired pneumonia Two (1,000 mg/62.5 mg) tablets every 12 hours 7 to 10 days

Amoxicillin and Clavulanate Potassium Extended Release Tablets can be split in half along the score line for patients with difficulty swallowing the tablets whole. Both halves of the tablet must be taken immediately.

8 Use in Specific Populations (8 USE IN SPECIFIC POPULATIONS)

14.1 Acute Bacterial Sinusitis

Adults with a diagnosis of acute bacterial sinusitis (ABS) were evaluated in 3 clinical studies. In one study, 363 patients were randomized to receive either Amoxicillin and Clavulanate Potassium Extended Release Tablets XR 2,000 mg/125 mg orally every 12 hours or levofloxacin 500 mg orally daily for 10 days in a double‑blind, multicenter, prospective trial. These patients were clinically and radiologically evaluated at the test of cure (day 17 to 28) visit. The combined clinical and radiological responses were 84% for Amoxicillin and Clavulanate Potassium Extended Release Tablets and 84% for levofloxacin at the test of cure visit in clinically evaluable patients (95% CI for the treatment difference equals ‑9.4, 8.3). The clinical response rates at the test of cure were 87% and 89%, respectively.

The other 2 trials were non‑comparative, multicenter studies designed to assess the bacteriological and clinical efficacy of Amoxicillin and Clavulanate Potassium Extended Release Tablets (2,000 mg/125 mg orally every 12 hours for 10 days) in the treatment of 2,288 patients with ABS. Evaluation timepoints were the same as in the prior study. Patients underwent maxillary sinus puncture for culture prior to receiving study medication. Patients with acute bacterial sinusitis due to S. pneumoniae with reduced susceptibility to penicillin were accrued through enrollment in these 2 open‑label non‑comparative clinical trials. Microbiologic eradication rates for key pathogens in these studies are shown in Table 4.

Table 4: Clinical Outcome for ABS

Penicillin MICs of S. pneumoniae

Isolates

Intent-To-Treat Clinically Evaluable
n/N a % 95% CI b n/N a % 95% CI b
All S. pneumoniae 344/370 93 318/326 98
MIC greater than or equal to

2.0 mcg/mL c
35/36 97 85.5, 99.9 30/31 96 83.3, 99.9
MIC equal to 2.0 mcg/mL 23/24 96 78.9, 99.9 19/20 95 75.1, 99.9
MIC greater than or equal to

4.0 mcg/mL d
12/12 100 73.5, 100 11/11 100 71.5, 100
H. influenzae 265/305 87 242/259 93
M. catarrhalis 94/105 90 86/90 96

a n/N equals patients with pathogen eradicated or presumed eradicated/total number of patients.

b Confidence limits calculated using exact probabilities.

c S. pneumoniae strains with penicillin MICs of greater than or equal to 2 mcg/mL are considered resistant to penicillin.

d Includes one patient each with S. pneumoniae penicillin MICs of 8 and 16 mcg/mL.

6.1 Clinical Trials Experience

Because clinical trials are conducted under widely varying conditions, adverse reaction rates observed in the clinical trials of a drug cannot be directly compared to rates in the clinical trials of another drug and may not reflect the rates observed in practice.

In clinical trials, 5,643 patients have been treated with Amoxicillin and Clavulanate Potassium Extended Release Tablets. The most frequently reported adverse reactions were diarrhea (15%), vaginal mycosis (3%), nausea (2%), and loose stools (2%). Amoxicillin and Clavulanate Potassium Extended Release Tablets had a higher rate of diarrhea which required corrective therapy (4% versus 3% for Amoxicillin and Clavulanate Potassium Extended Release Tablets and all comparators, respectively). Two percent of patients discontinued therapy due to adverse reactions.

7.5 Effects On Laboratory Tests (7.5 Effects on Laboratory Tests)

High urine concentrations of amoxicillin may result in false-positive reactions when testing for the presence of glucose in urine using CLINITEST ®, Benedict’s Solution, or Fehling’s Solution. Since this effect may also occur with Amoxicillin and Clavulanate Potassium Extended Release Tablets, it is recommended that glucose tests based on enzymatic glucose oxidase reactions be used. Following administration of amoxicillin to pregnant women, a transient decrease in plasma concentration of total conjugated estriol, estriol-glucuronide, conjugated estrone, and estradiol has been noted.

2.3 Dosage in Pediatric Patients

Pediatric patients who weigh 40 kg or more and can swallow tablets should receive the adult dose [see Dosage and Administration (2.2) and Use in Specific Populations (8.4) ].

14.2 Community Acquired Pneumonia (14.2 Community-Acquired Pneumonia)

Four randomized, controlled, double‑blind clinical studies and one non‑comparative study were conducted in adults with community-acquired pneumonia (CAP). In comparative studies, 904 patients received Amoxicillin and Clavulanate Potassium Extended Release Tablets at a dose of 2,000 mg/125 mg orally every 12 hours for 7 or 10 days. In the non-comparative study to assess both clinical and bacteriological efficacy, 1,122 patients received Amoxicillin and Clavulanate Potassium Extended Release Tablets 2,000 mg/125 mg orally every 12 hours for 7 days. In the 4 comparative studies, the combined clinical success rate at test of cure ranged from 86% to 95% in clinically evaluable patients who received Amoxicillin and Clavulanate Potassium Extended Release Tablets.

Data on the efficacy of Amoxicillin and Clavulanate Potassium Extended Release Tablets in the treatment of community‑acquired pneumonia due to S. pneumoniae with reduced susceptibility to penicillin were accrued from the 4 controlled clinical studies and the 1 non‑comparative study. The majority of these cases were accrued from the non‑comparative study. Results are shown in Table 5.

Table 5: Clinical Outcome for CAP due to S. pneumoniae

Penicillin MICs of S. pneumoniae

Isolates

Intent-To-Treat Clinically Evaluable
n/N a % 95% CI b n/N a % 95% CI b
All S. pneumoniae 318/367 87 275/297 93
MIC greater than or equal to

2.0 mcg/mL c
30/35 86 69.7, 95.2 24/25 96 79.6, 99.9
MIC equal to 2.0 mcg/mL 22/24 92 73.0, 99.9 18/18 100 81.5, 100
MIC greater than or equal to

4.0 mcg/mL d
8/11 73 39.0, 94.0 6/7 86 42.1, 99.6

a. n/N equals patients with pathogen eradicated or presumed eradicated/total number of patients.

b. Confidence limits calculated using exact probabilities.

c. S. pneumoniae strains with penicillin MICs of greater than or equal to 2 mcg/mL are considered resistant to penicillin.

d. Includes one patient each with S. pneumoniae penicillin MICs of 8 and 16 mcg/mL in the Intent-To-Treat group only.

17 Patient Counseling Information (17 PATIENT COUNSELING INFORMATION)

Administration Instructions

Counsel patients to take Amoxicillin and Clavulanate Potassium Extended Release Tablets every 12 hours with a low fat meal or snack to reduce the possibility of gastrointestinal upset. If diarrhea develops and is severe or lasts more than 2 or 3 days, they should call their doctor [see Dosage and Administration (2.1) , Warnings and Precautions (5.5) ].

Allergic Reactions

Counsel patients that Amoxicillin and Clavulante Potassium Extended Release Tablets contains a penicillin class drug product that can cause allergic reactions in some individuals [see Warnings and Precautions ( 5.1 , 5.3 )].

Severe Cutaneous Adverse Reactions (SCAR)

Advise patients about the signs and symptoms of serious skin manifestations. Instruct patients to stop taking Amoxicillin and Clavulanate Potassium Extended Release Tablets immediately and promptly report the first signs or symptoms of skin rash, mucosal lesions, or any other sign of hypersensitivity [see Warnings and Precautions (5.2) ].



Diarrhea

Counsel patients that diarrhea is a common problem caused by antibacterial drugs, including Amoxicillin and Clavulanate Potassium Extended Release Tablets, which usually ends when the antibacterial is discontinued. Sometimes after starting treatment with antibacterial drugs, patients can develop watery and bloody stools (with or without stomach cramps and fever) even as late as 2 or more months after having taken the last dose of the antibacterial drug. If diarrhea is severe or lasts more than 2 or 3 days, patients should contact their physician as soon as possible [see Warnings and Precautions (5.5) ].

Antibacterial Resistance

Patients should be counseled that antibacterial drugs, including Amoxicillin and Clavulanate Potassium Extended Release Tablets, should only be used to treat bacterial infections. Antibacterial drugs do not treat viral infections (e.g., the common cold). When Amoxicillin and Clavulanate Potassium Extended Release Tablets is prescribed to treat a bacterial infection, patients should be told that although it is common to feel better early in the course of therapy, the medication should be taken exactly as directed. Skipping doses or not completing the full course of therapy may: (1) decrease the effectiveness of the immediate treatment, and (2) increase the likelihood that bacteria will develop resistance and will not be treatable by Amoxicillin and Clavulanate Potassium Extended Release Tablets or other antibacterial drugs in the future [see Warnings and Precautions (5.8) ].

Manufactured by:

USAntibiotics, LLC

Bristol, TN 37620 (USA)

MAALOX is a registered trademark of Novartis Consumer Health, Inc.

CLINITEST is a registered trademark of Miles, Inc.

16 How Supplied/storage and Handling (16 HOW SUPPLIED/STORAGE AND HANDLING)

How Supplied

Amoxicillin and Clavulanate Potassium Extended Release Tablets are white, oval film-coated bilayer scored tablets debossed with "AUGMENTIN XR". Each tablet contains 1,000 mg of amoxicillin (as amoxicillin sodium and amoxicillin trihydrate) and 62.5 mg clavulanic acid as the potassium salt.

Amoxicillin and Clavulanate Potassium Extended Release Tablets are supplied as follows:

  • NDC 81964‑220‑28 Bottles of 28 (7-day XR pack)
  • NDC 81964‑220‑40 Bottles of 40 (10-day XR pack)

Storage

Store tablets at or below 25°C (77°F). Dispense in original container.

4.1 Serious Hypersensitivity Reactions

Amoxicillin and Clavulanate Potassium Extended Release Tablets is contraindicated in patients with a history of serious hypersensitivity reactions (e.g., anaphylaxis or Stevens-Johnson syndrome) to amoxicillin, clavulanate or to other beta-lactam antibacterial drugs (e.g., penicillins and cephalosporins).

5.2 Severe Cutaneous Adverse Reactions

Amoxicillin and Clavulanate Potassium Extended Release Tablets may cause severe cutaneous adverse reactions (SCAR), such as Stevens-Johnson syndrome (SJS), toxic epidermal necrolysis (TEN), drug reaction with eosinophilia and systemic symptoms (DRESS), and acute generalized exanthematous pustulosis (AGEP). If patients develop a skin rash, they should be monitored closely, and Amoxicillin and Clavulanate Potassium Extended Release Tablets discontinued if lesions progress.

5.7 Potential for Microbial Overgrowth

The possibility of superinfections with mycotic or bacterial pathogens should be considered during therapy. If superinfections occur (commonly involving Pseudomonas spp. or Candida spp.), the drug should be discontinued and/or appropriate therapy instituted.

5.3 Drug Induced Enterocolitis Syndrome (5.3 Drug-Induced Enterocolitis Syndrome)

Drug-induced enterocolitis syndrome (DIES) has been reported with use of amoxicillin, a component of Amoxicillin and Clavulanate Potassium Extended Release Tablets [see Adverse Reactions (6.2)] , with most cases occurring in pediatric patients </=18 years of age. DIES is a non-IgE mediated hypersensitivity reaction characterized by protracted vomiting occurring 1 to 4 hours after drug ingestion in the absence of skin or respiratory symptoms. DIES may be associated with pallor, lethargy, hypotension, shock, diarrhea within 24 hours after ingesting amoxicillin, and leukocytosis with neutrophilia. If DIES occurs, discontinue Amoxicillin and Clavulanate Potassium Extended Release Tablets and institute appropriate therapy.

2.1 Important Administration Instructions

Amoxicillin and Clavulanate Potassium Extended Release Tablets should be taken at the start of a meal to enhance the absorption of amoxicillin and to minimize the potential for gastrointestinal intolerance. Amoxicillin and Clavulanate Potassium Extended Release Tablets is not recommended to be taken with a high-fat meal because clavulanate absorption is decreased [see Clinical Pharmacology (12.3) ].

5.8 Development of Drug Resistant Bacteria (5.8 Development of Drug-Resistant Bacteria)

Prescribing Amoxicillin and Clavulanate Potassium Extended Release Tablets in the absence of a proven or strongly suspected bacterial infection or a prophylactic indication is unlikely to provide benefit to the patient and increases the risk of the development of drug-resistant bacteria.

Bottle Label (28s) Extended Release Tablets

NDC 81964- 220-28

1000 mg/62.5 mg

7 day XR pack

AMOXICILLIN AND

CLAVULANATE

POTASSIUM

extended-release tablets, USP



AMOXICILLIN, 1000 mg

(437.5 mg as amoxicillin sodium and

562.5 mg as amoxicillin trihydrate), and

CLAVULANIC ACID, 62.5 mg

(equivalent to 74.5 mg of clavulanate

potassium)

28 Scored Tablets

U

S

ANTIBIOTICS Rx only

Bottle Label (40s) Extended Release Tablets

NDC 81964- 220-40

1000 mg/62.5 mg

10 day XR pack

AMOXICILLIN AND

CLAVULANATE

POTASSIUM

extended-release tablets, USP



AMOXICILLIN, 1000 mg

(437.5 mg as amoxicillin sodium and

562.5 mg as amoxicillin trihydrate), and

CLAVULANIC ACID, 62.5 mg

(equivalent to 74.5 mg of clavulanate

potassium)

40 Scored Tablets

U

S

ANTIBIOTICS Rx only

4.2 Cholestatic Jaundice/hepatic Dysfunction (4.2 Cholestatic Jaundice/Hepatic Dysfunction)

Amoxicillin and Clavulanate Potassium Extended Release Tablets is contraindicated in patients with a previous history of cholestatic jaundice/hepatic dysfunction associated with treatment with amoxicillin/clavulanate potassium.

5.6 Skin Rash in Patients With Mononucleosis (5.6 Skin Rash in Patients with Mononucleosis)

A high percentage of patients with mononucleosis who receive amoxicillin develop an erythematous skin rash. Avoid Amoxicillin and Clavulanate Potassium Extended Release Tablets use in patients with mononucleosis.

2.4 Dosage in Patients With Hepatic Impairment (2.4 Dosage in Patients with Hepatic Impairment)

Hepatically impaired patients should be dosed with caution and hepatic function monitored at regular intervals [see Warnings and Precautions (5.4) ].

2.5 Switching Between Dosage Forms and Strengths

Amoxicillin and Clavulanate Potassium Extended Release Tablets is NOT substitutable on a mg-to-mg basis with other formulations of Amoxicillin and Clavulanate. In addition, the extended-release tablets provide an extended time course of plasma amoxicillin concentrations compared to immediate-release tablets. Thus, two Amoxicillin and Clavulanate 500 mg tablets are not equivalent to one Amoxicillin and Clavulanate Potassium Extended Release Tablets 1,000 mg tablet.

5.1 Serious Allergic Reactions, Including Anaphylaxis (5.1 Serious Allergic Reactions, including Anaphylaxis)

Serious and occasionally fatal hypersensitivity (anaphylactic) reactions have been reported in patients receiving Amoxicillin and Clavulanate Potassium Extended Release Tablets. These reactions are more likely to occur in individuals with a history of penicillin hypersensitivity and/or a history of sensitivity to multiple allergens. Before initiating therapy with Amoxicillin and Clavulanate Potassium Extended Release Tablets, careful inquiry should be made regarding previous hypersensitivity reactions to penicillins, cephalosporins, or other allergens. If an allergic reaction occurs, discontinue Amoxicillin and Clavulanate Potassium Extended Release Tablets and institute appropriate therapy.

5.5 Clostridioides Difficile Associated Diarrhea (cdad) (5.5 Clostridioides difficile-Associated Diarrhea (CDAD))

Clostridioides difficile-associated diarrhea (CDAD) has been reported with use of nearly all antibacterial agents, including Amoxicillin and Clavulanate Potassium Extended Release Tablets, and may range in severity from mild diarrhea to fatal colitis. Treatment with antibacterial agents alters the normal flora of the colon leading to overgrowth of C. difficile.

C. difficile produces toxins A and B which contribute to the development of CDAD. Hypertoxin-producing strains of C. difficile

cause increased morbidity and mortality, as these infections can be refractory to antimicrobial therapy and may require colectomy. CDAD must be considered in all patients who present with diarrhea following antibacterial drug use. Careful medical history is necessary since CDAD has been reported to occur over two months after the administration of antibacterial agents.

If CDAD is suspected or confirmed, ongoing antibacterial drug use not directed against C. difficile may need to be discontinued. Appropriate fluid and electrolyte management, protein supplementation, antibacterial treatment of C. difficile, and surgical evaluation should be instituted as clinically indicated.

13.1 Carcinogenesis, Mutagenesis, Impairment of Fertility

Long-term studies in animals have not been performed to evaluate carcinogenic potential. Amoxicillin and clavulanate (4:1 ratio formulation of amoxicillin:clavulanate) was non-mutagenic in the Ames bacterial mutation assay, and the yeast gene conversion assay. Amoxicillin and clavulanate was weakly positive in the mouse lymphoma assay, but the trend toward increased mutation frequencies in this assay occurred at concentrations that were also associated with decreased cell survival. Amoxicillin and clavulanate was negative in the mouse micronucleus test, and in the dominant lethal assay in mice. Potassium clavulanate alone was tested in the Ames bacterial mutation assay and in the mouse micronucleus test and was negative in each of these assays.

Amoxicillin and clavulanate (2:1 ratio formulation of amoxicillin:clavulanate) at oral doses of up to 1,200 mg/kg/day was found to have no effect on fertility and reproductive performance in rats. Based on body surface area, this dose of amoxicillin is approximately 1.6 times the Maximum Human Recommended Dose (MHRD) in Amoxicillin and Clavulanate Potassium Extended Release Tablets and the clavulanate dose multiple is approximately 13 times higher than the MHRD.


Advanced Ingredient Data


Raw Label Data

All Sections (JSON)