These Highlights Do Not Include All The Information Needed To Use Clindamycin Phosphate In Sodium Chloride Injection

These Highlights Do Not Include All The Information Needed To Use Clindamycin Phosphate In Sodium Chloride Injection
SPL v17
SPL
SPL Set ID 44fa506b-90ac-42de-831b-5f3f1a500fc0
Route
INTRAVENOUS
Published
Effective Date 2024-03-22
Document Type 34391-3 HUMAN PRESCRIPTION DRUG LABEL

Drug Facts

Composition & Product

Active Ingredients
Clindamycin (300 mg)
Inactive Ingredients
Edetate Disodium Sodium Chloride Sodium Hydroxide Hydrochloric Acid Water

Identifiers & Packaging

Marketing Status
NDA Active Since 2017-04-20

Description

Dosage and Administration ( 2 ) 9/2022 Warnings and Precautions ( 5 ) 9/2022

Indications and Usage

Clindamycin Phosphate in Sodium Chloride Injection contains clindamycin, a lincosamide antibacterial indicated for the treatment of the following in adult and pediatric patients for whom appropriate dosing with this formulation can be achieved: • Serious infections caused by susceptible anaerobic bacteria ( 1.1 ) • Infections Due to Susceptible Isolates of Streptococci, Pneumococci and Staphylococci. ( 1.2 ) • Lower Respiratory Tract Infections. ( 1.3 ) • Skin and Skin Structure Infections. ( 1.4 ) • Gynecological Infections. ( 1.5 ) • Intra-abdominal Infections. ( 1.6 ) • Septicemia. ( 1.7 ) • Bone and Joint Infections. ( 1.8 ) Limitation of use Since clindamycin does not diffuse adequately into the cerebrospinal fluid, Clindamycin Phosphate in Sodium Chloride Injection should not be used in the treatment of meningitis ( 1.9 ) Usage To reduce the development of drug-resistant bacteria and maintain the effectiveness of Clindamycin Phosphate in Sodium Chloride Injection and other antibacterial drugs, Clindamycin Phosphate in Sodium Chloride Injection should be used only to treat or prevent infections that are proven or strongly suspected to be caused by susceptible bacteria. ( 1.10 )

Dosage and Administration

• If a dose of Clindamycin Phosphate in Sodium Chloride Injection is required that does not equal 300 mg 600 mg or 900 mg, this product is not recommended for use and an alternative formulation of clindamycin should be considered. ( 2.1 ) • Recommended Adult Dosage: Serious infections due to aerobic gram-positive cocci and the more susceptible anaerobes (NOT generally including Bacteroides fragilis , Peptococcus species and Clostridioides species other than Clostridium perfringens ): 600–1200 mg/day in 2, 3 or 4 equal doses by intravenous infusion. ( 2.2 ) • More severe infections, particularly those due to proven or suspected Bacteroides fragilis , Peptococcus species, or Clostridium species other than Clostridium perfringens : 1200–2700 mg/day in 2, 3 or 4 equal doses by intravenous infusion. ( 2.2 ) • Dosage in Pediatric Patients (1 Month of Age to 16 Years): 20 to 40 mg/kg/day in 3 or 4 equal doses by intravenous infusion. ( 2.3 ) • Alternative Pediatric Patients Dosing: 350 mg/m 2 /day for serious infections and 450 mg/m2/day for more severe infections. ( 2.3 ) • Dosage in Neonates (Less than 1 Month of Age): 15 to 20 mg/kg/day in 3 to 4 equal doses by intravenous infusion. ( 2.3 )

Warnings and Precautions

• Anaphylactic shock, anaphylactic reactions and severe hypersensitivity reactions have been reported. Discontinue treatment if such reactions occur. ( 5.2 ) • Cases with acute kidney injury (AKI) have been reported during treatment with clindamycin. Consider renal function monitoring, particularly in certain patients (e.g., those with pre-existing renal dysfunction). Discontinue treatment, if AKI occurs and no other etiology is identified. ( 5.3 ) • Elderly patients with associated severe illness may have a greater risk of developing adverse reactions from diarrhea. Monitor these patients carefully for change in bowel frequency. ( 5.4 ) • Avoid use of Clindamycin Phosphate in Sodium Chloride Injection in individuals with a history of gastrointestinal disease, particularly colitis. ( 5.5 ) • Avoid use of Clindamycin Phosphate in Sodium Chloride Injection in atopic individuals. ( 5.6 ) • During prolonged therapy, perform periodic liver and kidney function tests and blood counts. ( 5.7 ) • The use of Clindamycin Phosphate in Sodium Chloride Injection may result in overgrowth of nonsusceptible organisms-particularly yeasts. Take appropriate measures, if this occurs. ( 5.8 )

Contraindications

Clindamycin Phosphate in Sodium Chloride Injection is contraindicated in individuals with a history of hypersensitivity to preparations containing clindamycin or lincomycin.

Adverse Reactions

The following serious adverse reactions to clindamycin are described below and elsewhere in the labeling: • Clostridioides difficile- Associated Diarrhea [see Warnings and Precautions (5.1) ] • Anaphylactic and Severe Hypersensitivity Reactions [see Warnings and Precautions (5.2) ] • Nephrotoxicity [see Warnings and Precautions (5.3) ] The following adverse reactions associated with the use of clindamycin were identified in clinical trials or postmarketing reports. Because these reactions were reported voluntarily from a population of uncertain size, it is not always possible to estimate their frequency reliably, or to establish a causal relationship to drug exposure. Infections and Infestations Clostridioides difficile colitis Gastrointestinal Antibacterial-associated colitis [see Warnings and Precautions (5.1) ] , pseudomembranous colitis, abdominal pain, nausea, and vomiting. The onset of pseudomembranous colitis symptoms may occur during or after antibacterial treatment [see Warnings and Precautions (5.1) ] . An unpleasant or metallic taste has been reported after intravenous administration of the higher doses of clindamycin phosphate. Hypersensitivity Reactions Maculopapular rash and urticaria have been observed during drug therapy. Generalized mild to moderate morbilliform-like skin rashes are the most frequently reported of all adverse reactions. Severe skin reactions such as Toxic Epidermal Necrolysis, some with fatal outcome, have been reported [see Warnings and Precautions (5.2) ] . Cases of Acute Generalized Exanthematous Pustulosis (AGEP), erythema multiforme, some resembling Stevens-Johnson syndrome, have been associated with clindamycin. Anaphylactic shock, anaphylactic reaction and hypersensitivity have also been reported [see Warnings and Precautions (5.2) ]. Skin and Mucous Membranes Pruritus, vaginitis, angioedema and rare instances of exfoliative dermatitis have been reported [see Warnings and Precautions (5.2) ]. Liver Jaundice and abnormalities in liver function tests have been observed during clindamycin therapy. Renal Acute kidney injury [see Warnings and Precautions (5.3) ]. Hematopoietic Transient neutropenia (leukopenia) and eosinophilia have been reported. Reports of agranulocytosis and thrombocytopenia have been made. Immune System Drug reaction with eosinophilia and systemic symptoms (DRESS) cases have been reported. Local Reactions Thrombophlebitis has been reported after intravenous infusion. Avoid prolonged use of indwelling intravenous catheters. Musculoskeletal Polyarthritis cases have been reported. Cardiovascular Cardiopulmonary arrest and hypotension have been reported following too rapid intravenous administration [see Dosage and Administration (2) ] .

Drug Interactions

• Neuromuscular blocking properties that may enhance the action of other neuromuscular blocking agents. ( 7.1 ) • Monitor for adverse reactions when strong CYP3A4 and/or CYP3A5 inhibitors are coadministered with clindamycin. ( 7.2 ) • In the presence of strong CYP3A4 and/or CYP3A5 inducers such as rifampicin, monitor for loss of effectiveness. ( 7.3 )

Storage and Handling

Clindamycin Phosphate in Sodium Chloride Injection is a clear, colorless and sterile solution for intravenous infusion. Each 50 mL of Clindamycin in Phosphate in Sodium Chloride Injection, 300 mg/50 mL, 600mg/50mL, and 900 mg/50 mL, contains 300 mg, 600 mg, or 900 mg clindamycin, respectively (as clindamycin phosphate, USP) in 0.9% sodium chloride solution. Clindamycin in Phosphate in Sodium Chloride Injection in single-dose GALAXY containers is available as follows: 2G3455 Twenty-four (24)-300 mg/50 mL containers NDC 0338-9545-24 2G3456 Twenty-four (24)-600 mg/50 mL containers NDC 0338-9549-24 2G3457 Twenty-four (24)-900 mg/50 mL containers NDC 0338-9553-24 Exposure of pharmaceutical products, including clindamycin phosphate in sodium chloride, to heat should be minimized. It is recommended that GALAXY plastic containers be stored at 20°C to 25°C (68°F to 77°F) excursions permitted to 15°C to 30°C (59°F to 86°F) [see USP Controlled Room Temperature]. Avoid temperatures above 30°C.

How Supplied

Clindamycin Phosphate in Sodium Chloride Injection is a clear, colorless and sterile solution for intravenous infusion. Each 50 mL of Clindamycin in Phosphate in Sodium Chloride Injection, 300 mg/50 mL, 600mg/50mL, and 900 mg/50 mL, contains 300 mg, 600 mg, or 900 mg clindamycin, respectively (as clindamycin phosphate, USP) in 0.9% sodium chloride solution. Clindamycin in Phosphate in Sodium Chloride Injection in single-dose GALAXY containers is available as follows: 2G3455 Twenty-four (24)-300 mg/50 mL containers NDC 0338-9545-24 2G3456 Twenty-four (24)-600 mg/50 mL containers NDC 0338-9549-24 2G3457 Twenty-four (24)-900 mg/50 mL containers NDC 0338-9553-24 Exposure of pharmaceutical products, including clindamycin phosphate in sodium chloride, to heat should be minimized. It is recommended that GALAXY plastic containers be stored at 20°C to 25°C (68°F to 77°F) excursions permitted to 15°C to 30°C (59°F to 86°F) [see USP Controlled Room Temperature]. Avoid temperatures above 30°C.


Medication Information

Warnings and Precautions

• Anaphylactic shock, anaphylactic reactions and severe hypersensitivity reactions have been reported. Discontinue treatment if such reactions occur. ( 5.2 ) • Cases with acute kidney injury (AKI) have been reported during treatment with clindamycin. Consider renal function monitoring, particularly in certain patients (e.g., those with pre-existing renal dysfunction). Discontinue treatment, if AKI occurs and no other etiology is identified. ( 5.3 ) • Elderly patients with associated severe illness may have a greater risk of developing adverse reactions from diarrhea. Monitor these patients carefully for change in bowel frequency. ( 5.4 ) • Avoid use of Clindamycin Phosphate in Sodium Chloride Injection in individuals with a history of gastrointestinal disease, particularly colitis. ( 5.5 ) • Avoid use of Clindamycin Phosphate in Sodium Chloride Injection in atopic individuals. ( 5.6 ) • During prolonged therapy, perform periodic liver and kidney function tests and blood counts. ( 5.7 ) • The use of Clindamycin Phosphate in Sodium Chloride Injection may result in overgrowth of nonsusceptible organisms-particularly yeasts. Take appropriate measures, if this occurs. ( 5.8 )

Indications and Usage

Clindamycin Phosphate in Sodium Chloride Injection contains clindamycin, a lincosamide antibacterial indicated for the treatment of the following in adult and pediatric patients for whom appropriate dosing with this formulation can be achieved: • Serious infections caused by susceptible anaerobic bacteria ( 1.1 ) • Infections Due to Susceptible Isolates of Streptococci, Pneumococci and Staphylococci. ( 1.2 ) • Lower Respiratory Tract Infections. ( 1.3 ) • Skin and Skin Structure Infections. ( 1.4 ) • Gynecological Infections. ( 1.5 ) • Intra-abdominal Infections. ( 1.6 ) • Septicemia. ( 1.7 ) • Bone and Joint Infections. ( 1.8 ) Limitation of use Since clindamycin does not diffuse adequately into the cerebrospinal fluid, Clindamycin Phosphate in Sodium Chloride Injection should not be used in the treatment of meningitis ( 1.9 ) Usage To reduce the development of drug-resistant bacteria and maintain the effectiveness of Clindamycin Phosphate in Sodium Chloride Injection and other antibacterial drugs, Clindamycin Phosphate in Sodium Chloride Injection should be used only to treat or prevent infections that are proven or strongly suspected to be caused by susceptible bacteria. ( 1.10 )

Dosage and Administration

• If a dose of Clindamycin Phosphate in Sodium Chloride Injection is required that does not equal 300 mg 600 mg or 900 mg, this product is not recommended for use and an alternative formulation of clindamycin should be considered. ( 2.1 ) • Recommended Adult Dosage: Serious infections due to aerobic gram-positive cocci and the more susceptible anaerobes (NOT generally including Bacteroides fragilis , Peptococcus species and Clostridioides species other than Clostridium perfringens ): 600–1200 mg/day in 2, 3 or 4 equal doses by intravenous infusion. ( 2.2 ) • More severe infections, particularly those due to proven or suspected Bacteroides fragilis , Peptococcus species, or Clostridium species other than Clostridium perfringens : 1200–2700 mg/day in 2, 3 or 4 equal doses by intravenous infusion. ( 2.2 ) • Dosage in Pediatric Patients (1 Month of Age to 16 Years): 20 to 40 mg/kg/day in 3 or 4 equal doses by intravenous infusion. ( 2.3 ) • Alternative Pediatric Patients Dosing: 350 mg/m 2 /day for serious infections and 450 mg/m2/day for more severe infections. ( 2.3 ) • Dosage in Neonates (Less than 1 Month of Age): 15 to 20 mg/kg/day in 3 to 4 equal doses by intravenous infusion. ( 2.3 )

Contraindications

Clindamycin Phosphate in Sodium Chloride Injection is contraindicated in individuals with a history of hypersensitivity to preparations containing clindamycin or lincomycin.

Adverse Reactions

The following serious adverse reactions to clindamycin are described below and elsewhere in the labeling: • Clostridioides difficile- Associated Diarrhea [see Warnings and Precautions (5.1) ] • Anaphylactic and Severe Hypersensitivity Reactions [see Warnings and Precautions (5.2) ] • Nephrotoxicity [see Warnings and Precautions (5.3) ] The following adverse reactions associated with the use of clindamycin were identified in clinical trials or postmarketing reports. Because these reactions were reported voluntarily from a population of uncertain size, it is not always possible to estimate their frequency reliably, or to establish a causal relationship to drug exposure. Infections and Infestations Clostridioides difficile colitis Gastrointestinal Antibacterial-associated colitis [see Warnings and Precautions (5.1) ] , pseudomembranous colitis, abdominal pain, nausea, and vomiting. The onset of pseudomembranous colitis symptoms may occur during or after antibacterial treatment [see Warnings and Precautions (5.1) ] . An unpleasant or metallic taste has been reported after intravenous administration of the higher doses of clindamycin phosphate. Hypersensitivity Reactions Maculopapular rash and urticaria have been observed during drug therapy. Generalized mild to moderate morbilliform-like skin rashes are the most frequently reported of all adverse reactions. Severe skin reactions such as Toxic Epidermal Necrolysis, some with fatal outcome, have been reported [see Warnings and Precautions (5.2) ] . Cases of Acute Generalized Exanthematous Pustulosis (AGEP), erythema multiforme, some resembling Stevens-Johnson syndrome, have been associated with clindamycin. Anaphylactic shock, anaphylactic reaction and hypersensitivity have also been reported [see Warnings and Precautions (5.2) ]. Skin and Mucous Membranes Pruritus, vaginitis, angioedema and rare instances of exfoliative dermatitis have been reported [see Warnings and Precautions (5.2) ]. Liver Jaundice and abnormalities in liver function tests have been observed during clindamycin therapy. Renal Acute kidney injury [see Warnings and Precautions (5.3) ]. Hematopoietic Transient neutropenia (leukopenia) and eosinophilia have been reported. Reports of agranulocytosis and thrombocytopenia have been made. Immune System Drug reaction with eosinophilia and systemic symptoms (DRESS) cases have been reported. Local Reactions Thrombophlebitis has been reported after intravenous infusion. Avoid prolonged use of indwelling intravenous catheters. Musculoskeletal Polyarthritis cases have been reported. Cardiovascular Cardiopulmonary arrest and hypotension have been reported following too rapid intravenous administration [see Dosage and Administration (2) ] .

Drug Interactions

• Neuromuscular blocking properties that may enhance the action of other neuromuscular blocking agents. ( 7.1 ) • Monitor for adverse reactions when strong CYP3A4 and/or CYP3A5 inhibitors are coadministered with clindamycin. ( 7.2 ) • In the presence of strong CYP3A4 and/or CYP3A5 inducers such as rifampicin, monitor for loss of effectiveness. ( 7.3 )

Storage and Handling

Clindamycin Phosphate in Sodium Chloride Injection is a clear, colorless and sterile solution for intravenous infusion. Each 50 mL of Clindamycin in Phosphate in Sodium Chloride Injection, 300 mg/50 mL, 600mg/50mL, and 900 mg/50 mL, contains 300 mg, 600 mg, or 900 mg clindamycin, respectively (as clindamycin phosphate, USP) in 0.9% sodium chloride solution. Clindamycin in Phosphate in Sodium Chloride Injection in single-dose GALAXY containers is available as follows: 2G3455 Twenty-four (24)-300 mg/50 mL containers NDC 0338-9545-24 2G3456 Twenty-four (24)-600 mg/50 mL containers NDC 0338-9549-24 2G3457 Twenty-four (24)-900 mg/50 mL containers NDC 0338-9553-24 Exposure of pharmaceutical products, including clindamycin phosphate in sodium chloride, to heat should be minimized. It is recommended that GALAXY plastic containers be stored at 20°C to 25°C (68°F to 77°F) excursions permitted to 15°C to 30°C (59°F to 86°F) [see USP Controlled Room Temperature]. Avoid temperatures above 30°C.

How Supplied

Clindamycin Phosphate in Sodium Chloride Injection is a clear, colorless and sterile solution for intravenous infusion. Each 50 mL of Clindamycin in Phosphate in Sodium Chloride Injection, 300 mg/50 mL, 600mg/50mL, and 900 mg/50 mL, contains 300 mg, 600 mg, or 900 mg clindamycin, respectively (as clindamycin phosphate, USP) in 0.9% sodium chloride solution. Clindamycin in Phosphate in Sodium Chloride Injection in single-dose GALAXY containers is available as follows: 2G3455 Twenty-four (24)-300 mg/50 mL containers NDC 0338-9545-24 2G3456 Twenty-four (24)-600 mg/50 mL containers NDC 0338-9549-24 2G3457 Twenty-four (24)-900 mg/50 mL containers NDC 0338-9553-24 Exposure of pharmaceutical products, including clindamycin phosphate in sodium chloride, to heat should be minimized. It is recommended that GALAXY plastic containers be stored at 20°C to 25°C (68°F to 77°F) excursions permitted to 15°C to 30°C (59°F to 86°F) [see USP Controlled Room Temperature]. Avoid temperatures above 30°C.

Description

Dosage and Administration ( 2 ) 9/2022 Warnings and Precautions ( 5 ) 9/2022

Data

Human Data

In limited published trials in pregnant women administered clindamycin during the first trimester of pregnancy, there was no difference in the rate of major birth defects reported among in utero exposed infants compared to unexposed infants. From these observational data, it is not possible to draw any conclusions on the rate of specific major birth defects associated with clindamycin. These data cannot definitely establish or exclude any clindamycin-associated risk during pregnancy.

Animal Data

Reproduction studies performed during organogenesis (gestational days 6-15) in pregnant rats and mice that were administered oral doses of clindamycin up to 600 mg/kg/day (twice or equivalent to the highest recommended adult human dose based on a body surface area comparison, respectively) or subcutaneous doses of clindamycin up to 250 mg/kg/day (equivalent to or half the highest recommended adult human dose based on a body surface area comparison, respectively) revealed no evidence of teratogenicity.

Section 43683-2

Dosage and Administration (2) 9/2022

Warnings and Precautions (5) 9/2022

1.10 Usage

To reduce the development of drug-resistant bacteria and maintain the effectiveness of Clindamycin Phosphate in Sodium Chloride Injection and other antibacterial drugs, Clindamycin Phosphate in Sodium Chloride Injection should be used only to treat or prevent infections that are proven or strongly suspected to be caused by susceptible bacteria. When culture and susceptibility information are available, they should be considered in selecting or modifying antibacterial therapy. In the absence of such data, local epidemiology and susceptibility patterns may contribute to the empiric selection of therapy.

Resistance

Resistance to clindamycin is most often caused by modification of specific bases of the 23S ribosomal RNA. Cross-resistance between clindamycin and lincomycin is complete. Because the binding sites for these antibacterial drugs overlap, cross-resistance is sometimes observed among lincosamides, macrolides and streptogramin B. Macrolide-inducible resistance to clindamycin occurs in some isolates of macrolide-resistant bacteria. Macrolide-resistant isolates of staphylococci and beta-hemolytic streptococci should be screened for induction of clindamycin resistance using the D-zone test.

Elimination

Clindamycin is metabolized predominantly by CYP3A4, and to a lesser extent by CYP3A5, to the major metabolite clindamycin sulfoxide and minor metabolite N-desmethylclindamycin. Biologically inactive clindamycin phosphate disappears from the serum with 6 minutes of the average elimination half-life; however, the average serum elimination half-life of active clindamycin is about 3 hours in adults and 2.5 hours in pediatric patients.

Distribution

No significant concentrations of clindamycin are attained in the cerebrospinal fluid even in the presence of inflamed meninges.

Risk Summary

In limited published clinical trials with pregnant women, the systemic administration of clindamycin during the second and third trimesters, has not been associated with an increased frequency of major birth defects.

The limited published data on use of clindamycin in pregnant women with exposure during the first trimester are insufficient to inform a drug-associated risk of pregnancy-related adverse outcomes [see Data]. In animal reproduction studies, no evidence of any adverse developmental outcomes was observed when oral or subcutaneous doses of clindamycin were administered to pregnant rats and mice during organogenesis at doses half to twice the highest clinically relevant dose based on body surface area comparison [see Data]. The estimated background risk of major birth defects and miscarriage for the indicated population is unknown. All pregnancies have a background risk of birth defect, loss, or other adverse outcomes. In the U.S. general population, the estimated background risk of major birth defects and miscarriage in clinically recognized pregnancies is 2-4% and 15-20%, respectively.

10 Overdosage

Significant mortality was observed in mice at an intravenous dose of 855 mg/kg (~3 times the human dose based on body surface area) and in rats at an oral or subcutaneous dose of approximately 2618 mg/kg (~18 times the human dose based on body surface area). In the mice, convulsions and depression were observed and in rats depression was observed prior to death.

Hemodialysis and peritoneal dialysis are not effective in removing clindamycin from the serum.

15 References
  •  
    1. Smith RB, Phillips JP: Evaluation of CLEOCIN HCl and CLEOCIN Phosphate in an Aged Population. Upjohn TR 8147-82-9122-021, December 1982.
1.7 Septicemia

Clindamycin Phosphate in Sodium Chloride Injection is indicated for the treatment of serious septicemia caused by susceptible isolates of Staphylococcus aureus, streptococci (except Enterococcus faecalis), and susceptible anaerobes in adults and pediatric patients for whom appropriate dosing with this formulation can be achieved.

11 Description

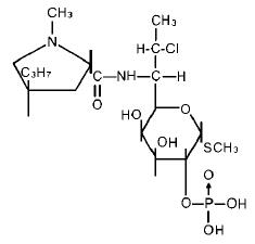
Clindamycin Phosphate in Sodium Chloride Injection contains clindamycin phosphate, a water-soluble ester of clindamycin. Clindamycin is a semisynthetic antibacterial produced by a 7(S)-chloro-substitution of the 7(R)-hydroxyl group of the parent antibacterial lincomycin.

The chemical name of clindamycin phosphate is L-threo-α-D-galacto-Octopyranoside, methyl-7-chloro-6,7,8-trideoxy-6-[[(1-methyl-4-propyl-2-pyrrolidinyl)carbonyl]amino]01-thio-, 2-(dihydrogen phosphate), (2S-trans)-.

The molecular formula is C18H34CIN2O8PS and the molecular weight is 504.96.

The structural formula is represented below:

Clindamycin Phosphate in Sodium Chloride Injection is a clear, colorless and sterile solution for intravenous infusion available in three strengths, 300 mg/50 mL, 600 mg/50 mL, and 900 mg/50 mL, containing 300 mg, 600 mg or 900 mg clindamycin, respectively (as clindamycin phosphate, USP). Each 50 mL of all the strengths of Clindamycin Phosphate in Sodium Chloride Injection also contains, 450 mg of sodium chloride USP, 2 mg of edetate disodium dihydrate USP, and water for Injection USP. The pH is adjusted with sodium hydroxide and /or hydrochloric acid. Clindamycin Phosphate in Sodium Chloride Injection is filled in GALAXY plastic container fabricated from a specially designed multilayer plastic. Solutions in contact with the plastic container can leach out certain of its chemical components in very small amounts within the expiration period. The suitability of the plastic has been confirmed in tests in animals according to the USP biological tests for plastic containers, as well as by tissue culture toxicity studies.

8.4 Pediatric Use

Clindamycin Phosphate in Sodium Chloride Injection is indicated for the treatment of serious infections caused by susceptible anaerobic bacteria, infections due to susceptible isolates of streptococci, pneumococci and staphylococci, lower respiratory tract Infections, skin and skin structure infections, gynecological infections, intra-abdominal infections, septicemia and bone and joint infections in pediatric patients for whom appropriate dosing with this formulation can be achieved [see Indications and Usage (1.1-1.8)] and Dosage and Administration (2.3)].

When Clindamycin Phosphate in Sodium Chloride Injection is administered to the pediatric population (less than 1 month to 16 years old) appropriate dosing and monitoring of organ system functions is desirable. Because of the limitations of the available strengths and administration requirements (i.e., administration of fractional doses is not recommended) of Clindamycin Phosphate in Sodium Chloride Injection, and to avoid unintentional overdose, this product is not recommended for use if a dose of Clindamycin Phosphate in Sodium Chloride Injection is required that does not equal 300 mg 600 mg or 900 mg is required and an alternative formulation of clindamycin should be considered [see Dosage and Administration (2.3)].

The potential for the toxic effect in the pediatric population from chemicals that may leach from the single dose premixed Clindamycin Phosphate in Sodium Chloride Injection preparation in plastic has not been evaluated.

8.5 Geriatric Use

Clinical studies of clindamycin did not include sufficient numbers of patients age 65 and over to determine whether they respond differently from younger patients. However, other reported clinical experience indicates that antibacterial-associated colitis and diarrhea (due to Clostridioides difficile) seen in association with most antibacterial drugs occur more frequently in the elderly (>60 years) and may be more severe. These patients should be carefully monitored for the development of diarrhea.

Pharmacokinetic studies with clindamycin have shown no clinically important differences between young and elderly subjects with normal hepatic function and normal (age-adjusted) renal function after oral or intravenous administration [see Clinical Pharmacology (12.3) ].

5.3 Nephrotoxicity

Clindamycin is potentially nephrotoxic and cases with acute kidney injury have been reported. Consider monitoring of renal function particularly in patients with pre-existing renal dysfunction or those taking concomitant nephrotoxic drugs. In case of acute kidney injury, discontinue Clindamycin Phosphate in Sodium Chloride Injection when no other etiology is identified [see Adverse Reactions (6)].

4 Contraindications

Clindamycin Phosphate in Sodium Chloride Injection is contraindicated in individuals with a history of hypersensitivity to preparations containing clindamycin or lincomycin.

6 Adverse Reactions

The following serious adverse reactions to clindamycin are described below and elsewhere in the labeling:

The following adverse reactions associated with the use of clindamycin were identified in clinical trials or postmarketing reports. Because these reactions were reported voluntarily from a population of uncertain size, it is not always possible to estimate their frequency reliably, or to establish a causal relationship to drug exposure.

Infections and Infestations

Clostridioides difficile colitis

Gastrointestinal

Antibacterial-associated colitis [see Warnings and Precautions (5.1)], pseudomembranous colitis, abdominal pain, nausea, and vomiting. The onset of pseudomembranous colitis symptoms may occur during or after antibacterial treatment [see Warnings and Precautions (5.1)]. An unpleasant or metallic taste has been reported after intravenous administration of the higher doses of clindamycin phosphate.

Hypersensitivity Reactions

Maculopapular rash and urticaria have been observed during drug therapy. Generalized mild to moderate morbilliform-like skin rashes are the most frequently reported of all adverse reactions.

Severe skin reactions such as Toxic Epidermal Necrolysis, some with fatal outcome, have been reported [see Warnings and Precautions (5.2)]. Cases of Acute Generalized Exanthematous Pustulosis (AGEP), erythema multiforme, some resembling Stevens-Johnson syndrome, have been associated with clindamycin. Anaphylactic shock, anaphylactic reaction and hypersensitivity have also been reported [see Warnings and Precautions (5.2)].

Skin and Mucous Membranes

Pruritus, vaginitis, angioedema and rare instances of exfoliative dermatitis have been reported [see Warnings and Precautions (5.2)].

Liver

Jaundice and abnormalities in liver function tests have been observed during clindamycin therapy.

Renal

Acute kidney injury [see Warnings and Precautions (5.3)].

Hematopoietic

Transient neutropenia (leukopenia) and eosinophilia have been reported. Reports of agranulocytosis and thrombocytopenia have been made.

Immune System

Drug reaction with eosinophilia and systemic symptoms (DRESS) cases have been reported.

Local Reactions

Thrombophlebitis has been reported after intravenous infusion. Avoid prolonged use of indwelling intravenous catheters.

Musculoskeletal

Polyarthritis cases have been reported.

Cardiovascular

Cardiopulmonary arrest and hypotension have been reported following too rapid intravenous administration [see Dosage and Administration (2)].

7 Drug Interactions
  • Neuromuscular blocking properties that may enhance the action of other neuromuscular blocking agents. (7.1)
  • Monitor for adverse reactions when strong CYP3A4 and/or CYP3A5 inhibitors are coadministered with clindamycin. (7.2)
  • In the presence of strong CYP3A4 and/or CYP3A5 inducers such as rifampicin, monitor for loss of effectiveness. (7.3)
Mechanism of Action

Clindamycin inhibits bacterial protein synthesis by binding to the 23S RNA of the 50S subunit of the ribosome. Clindamycin is bacteriostatic.

Specific Populations

Patients with Renal/Hepatic Impairment

The elimination half-life of clindamycin is increased slightly in patients with markedly reduced renal or hepatic function. Hemodialysis and peritoneal dialysis are not effective in removing clindamycin from the serum. Dosage schedules do not need to be modified in patients with renal or hepatic disease.

Geriatric Patients

Pharmacokinetic studies in elderly volunteers (61-79 years) and younger adults (18-39 years) indicate that age alone does not alter clindamycin pharmacokinetics (clearance, elimination half-life, volume of distribution, and area under the serum concentration-time curve) after intravenous administration of clindamycin phosphate. After oral administration of clindamycin hydrochloride, the average elimination half-life is increased to approximately 4.0 hours (range 3.4-5.1 h) in the elderly, compared to 3.2 hours (range 2.1-4.2 h) in younger adults. The extent of absorption, however, is not different between age groups and no dosage alteration is necessary for the elderly with normal hepatic function and normal (age-adjusted) renal function1.

Pharmacokinetics in Pediatric Patients with PMA ≤ 32 weeks, or > 32 to ≤ 40 weeks

Systemic clearance (CL) in premature infants increases with increases in bodyweight (kg) and post-menstrual age (PMA). The dosing regimens for pediatric patients ≤ 32 weeks PMA (5 mg/kg) and 32 to ≤ 40 weeks PMA (7 mg/kg), both administered IV every 8 hours, achieve exposures comparable to therapeutic exposures in adults (weighing 70 kg) administered clindamycin 600 mg every 8 hours (Table 4).

Table 4: Predicted Drug Exposure (Mean ± SD) of Clindamycin in Adults and in Pediatric Patients with PMA ≤ 32 weeks, or > 32 to ≤ 40 weeks

Age

Adult (70 kg)

PMA ≤ 32 weeks

PMA > 32 - ≤ 40 weeks

Dose (every 8 hours)

600 mg

5 mg/kg

7 mg/kg

AUCss,0-8 hour

(mcg.h/mL)

50.5 (30.9)

52.5 (17.0)

55.9 (23.6)

Cmax,ss (mcg/mL)

12.0 (3.5)

9.0 (2.2)

10.5 (2.8)

Cmin,ss (mcg/mL)

3.1 (3.3)

4.6 (2.0)

4.4 (2.8)

PMA: post-menstrual age; AUCss,0-8 hour: area under the concentration-time curve during a dosing interval at steady state; Cmax,ss: maximum drug concentration at steady state; Cmin,ss: minimum or trough drug concentration at steady state

Obese Pediatric Patients Aged 2 to Less than 18 Years and Obese Adults Aged 18 to 20 Years

An analysis of pharmacokinetic data in obese pediatric patients aged 2 to less than 18 years and obese adults aged 18 to 20 years demonstrated that clindamycin clearance and volume of distribution, normalized by total body weight, are comparable regardless of obesity.

Drug Interaction Studies

In vitro studies indicate that clindamycin does not inhibit CYP1A2, CYP2C9, CYP2C19, CYP2E1 or CYP2D6 and only moderately inhibits CYP3A4.

12.3 Pharmacokinetics

Clindamycin phosphate is a water-soluble ester prodrug of clindamycin. Biologically inactive clindamycin phosphate is converted to active clindamycin. By the end of short-term intravenous infusion, peak serum concentrations of active clindamycin are reached.

After intramuscular injection of clindamycin phosphate, peak concentrations of active clindamycin are reached within 3 hours in adults and 1 hour in pediatric patients. Serum concentration-time curves may be constructed from intravenous peak serum concentrations by application of elimination half-lives described in the elimination section below.

Serum concentrations of clindamycin can be maintained above the in vitro minimum inhibitory concentrations for most indicated organisms by administration of clindamycin phosphate every 8 to 12 hours in adults and every 6 to 8 hours in pediatric patients, or by continuous intravenous infusion. An equilibrium state is reached by the third dose.

1.9 Limitations of Use

Since clindamycin does not diffuse adequately into the cerebrospinal fluid, Clindamycin Phosphate in Sodium Chloride Injection should not be used in the treatment of meningitis [see Clinical Pharmacology (12.3)].

Antimicrobial Activity

Clindamycin has been shown to be active against most isolates of the following microorganisms, both in vitro and in clinical infections [see Indications and Usage (1)].

  •  
    Aerobic bacteria
  •  
    Gram-positive bacteria

    Staphylococcus aureus (methicillin-susceptible isolates)

    Streptococcus pneumoniae (penicillin-susceptible isolates)

    Streptococcus pyogenes
  •  
    Anaerobic bacteria
  •  
    Gram-positive bacteria

    Clostridium perfringens

    Peptostreptococcus anaerobius

    Gram-negative bacteria

    Fusobacterium necrophorum

    Fusobacterium nucleatum

    Prevotella melaninogenica

The following in vitro data are available, but their clinical significance is unknown. At least 90 percent of the following bacteria exhibit an in vitro minimum inhibitory concentration (MIC) less than or equal to the susceptible breakpoint for clindamycin against isolates of similar genus or organism group. However, the efficacy of clindamycin in treating clinical infections caused by these bacteria has not been established in adequate and well-controlled clinical trials.

  •  
    Aerobic bacteria
  •  
    Gram-positive bacteria

    Staphylococcus epidermidis (methicillin-susceptible isolates)

    Streptococcus agalactiae

    Streptococcus anginosus

    Streptococcus mitis

    Streptococcus oralis
  •  
    Anaerobic bacteria
  •  
    Gram-positive bacteria

    Actinomyces israelii

    Clostridium clostridioforme

    Eggerthella lenta

    Finegoldia (Peptostreptococcus) magna

    Micromonas (Peptostreptococcus) micros

    Cutibacterium acnes


    Gram-negative bacteria

    Prevotella bivia

    Prevotella intermedia
Susceptibility Testing

For specific information regarding susceptibility test interpretive criteria, and associated test methods and quality control standards recognized by FDA for this drug, please see https://www.fda.gov/STIC.

1 Indications and Usage

Clindamycin Phosphate in Sodium Chloride Injection contains clindamycin, a lincosamide antibacterial indicated for the treatment of the following in adult and pediatric patients for whom appropriate dosing with this formulation can be achieved:

  • Serious infections caused by susceptible anaerobic bacteria (1.1)
  • Infections Due to Susceptible Isolates of Streptococci, Pneumococci and Staphylococci. (1.2)
  • Lower Respiratory Tract Infections. (1.3)
  • Skin and Skin Structure Infections. (1.4)
  • Gynecological Infections. (1.5)
  • Intra-abdominal Infections. (1.6)
  • Septicemia. (1.7)
  • Bone and Joint Infections. (1.8)

Limitation of use

Since clindamycin does not diffuse adequately into the cerebrospinal fluid, Clindamycin Phosphate in Sodium Chloride Injection should not be used in the treatment of meningitis (1.9)

Usage

To reduce the development of drug-resistant bacteria and maintain the effectiveness of Clindamycin Phosphate in Sodium Chloride Injection and other antibacterial drugs, Clindamycin Phosphate in Sodium Chloride Injection should be used only to treat or prevent infections that are proven or strongly suspected to be caused by susceptible bacteria. (1.10)

Clinical Considerations

If oral or intravenous clindamycin is required by a nursing mother, it is not a reason to discontinue breastfeeding, but an alternate drug may be preferred. Monitor the infant for possible adverse effects on the gastrointestinal flora, such as diarrhea, candidiasis (thrush, diaper rash) or blood in the stool indicating possible antibacterial-associated colitis.

12.1 Mechanism of Action

Clindamycin is an antibacterial drug [see Microbiology (12.4)].

5 Warnings and Precautions
  • Anaphylactic shock, anaphylactic reactions and severe hypersensitivity reactions have been reported. Discontinue treatment if such reactions occur. (5.2)
  • Cases with acute kidney injury (AKI) have been reported during treatment with clindamycin. Consider renal function monitoring, particularly in certain patients (e.g., those with pre-existing renal dysfunction). Discontinue treatment, if AKI occurs and no other etiology is identified. (5.3)
  • Elderly patients with associated severe illness may have a greater risk of developing adverse reactions from diarrhea. Monitor these patients carefully for change in bowel frequency. (5.4)
  • Avoid use of Clindamycin Phosphate in Sodium Chloride Injection in individuals with a history of gastrointestinal disease, particularly colitis. (5.5)
  • Avoid use of Clindamycin Phosphate in Sodium Chloride Injection in atopic individuals. (5.6)
  • During prolonged therapy, perform periodic liver and kidney function tests and blood counts. (5.7)
  • The use of Clindamycin Phosphate in Sodium Chloride Injection may result in overgrowth of nonsusceptible organisms-particularly yeasts. Take appropriate measures, if this occurs. (5.8)
2 Dosage and Administration
  • If a dose of Clindamycin Phosphate in Sodium Chloride Injection is required that does not equal 300 mg 600 mg or 900 mg, this product is not recommended for use and an alternative formulation of clindamycin should be considered. (2.1)
  • Recommended Adult Dosage: Serious infections due to aerobic gram-positive cocci and the more susceptible anaerobes (NOT generally including Bacteroides fragilis, Peptococcus species and Clostridioides species other than Clostridium perfringens): 600–1200 mg/day in 2, 3 or 4 equal doses by intravenous infusion. (2.2)
  • More severe infections, particularly those due to proven or suspected Bacteroides fragilis, Peptococcus species, or Clostridium species other than Clostridium perfringens: 1200–2700 mg/day in 2, 3 or 4 equal doses by intravenous infusion. (2.2)
  • Dosage in Pediatric Patients (1 Month of Age to 16 Years): 20 to 40 mg/kg/day in 3 or 4 equal doses by intravenous infusion. (2.3)
  • Alternative Pediatric Patients Dosing: 350 mg/m2/day for serious infections and 450 mg/m2/day for more severe infections. (2.3)
  • Dosage in Neonates (Less than 1 Month of Age): 15 to 20 mg/kg/day in 3 to 4 equal doses by intravenous infusion. (2.3)
1.5 Gynecological Infections

Clindamycin Phosphate in Sodium Chloride Injection is indicated for the treatment of serious gynecological infections including endometritis, nongonococcal tubo-ovarian abscess, pelvic cellulitis, and postsurgical vaginal cuff infection caused by susceptible anaerobes in adults and pediatric patients for whom appropriate dosing with this formulation can be achieved.

2.2 Recommended Adult Dosage

The recommended dosing regimen for Clindamycin Phosphate in Sodium Chloride Injection is 600-1200 mg/day in 2, 3, or 4 equal doses by intravenous infusion for serious infections due to aerobic gram-positive cocci and the more susceptible anaerobes (NOT generally including Bacteroides fragilis, Peptococcus species and Clostridium species other than Clostridium perfringens).

For more severe infections, particularly those due to proven or suspected Bacteroides fragilis, Peptococcus species, or Clostridium species other than Clostridium perfringens, the recommended dosing regimen is 1200-2700 mg/day in 2, 3, or 4 equal doses by intravenous infusion.

In life-threatening situations, these doses may be increased. Doses of as much as 4800 mg daily have been given intravenously to adults.

Alternatively, drug may be administered in the form of a single rapid infusion of the first dose followed by continuous intravenous infusion as follows:

Table 2: Infusion Rates for the Administration of Clindamycin Injection by Single Rapid Infusion followed by Continuous Intravenous Infusion for the Maintenance of Serum Clindamycin Levels

To maintain serum

clindamycin levels

Rapid infusion rate

Maintenance infusion rate

Above 4 mcg/mL

10 mg/min for 30 min

0.75 mg/min

Above 5 mcg/mL

15 mg/min for 30 min

1.00 mg/min

Above 6 mcg/mL

20 mg/min for 30 min

1.25 mg/min

3 Dosage Forms and Strengths

Injection: Clindamycin Phosphate in Sodium Chloride Injection is a clear, colorless and sterile solution available in three strengths:

  • 300 mg/50 mL (6 mg/mL): Each 50 mL single-dose GALAXY container contains 300 mg clindamycin (as clindamycin phosphate, USP) in 0.9% sodium chloride.
  • 600 mg/50 mL (12 mg/mL): Each 50 mL single-dose GALAXY container contains 600 mg clindamycin (as clindamycin phosphate, USP) in 0.9% sodium chloride.
  • 900 mg/50 mL (18 mg/mL): Each 50 mL single-dose GALAXY container contains 900 mg clindamycin (as clindamycin phosphate, USP) in 0.9% sodium chloride.
5.1 Clostridioides Difficile

Clostridioides difficile-associated diarrhea (CDAD) has been reported with use of nearly all antibacterial agents, including Clindamycin Phosphate in Sodium Chloride Injection, and may range in severity from mild diarrhea to fatal colitis. Treatment with antibacterial agents alters the normal flora of the colon leading to overgrowth of C. difficile.

C. difficile produces toxins A and B which contribute to the development of CDAD. Hypertoxin producing isolates of C. difficile cause increased morbidity and mortality, as these infections can be refractory to antimicrobial therapy and may require colectomy. CDAD must be considered in all patients who present with diarrhea following antibacterial use. Careful medical history is necessary since CDAD has been reported to occur over two months after the administration of antibacterial agents.

If CDAD is suspected or confirmed, ongoing antibacterial use not directed against C. difficile may need to be discontinued. Appropriate fluid and electrolyte management, protein supplementation, antibacterial treatment of C. difficile, and surgical evaluation should be instituted as clinically indicated [see Boxed Warning].

1.8 Bone and Joint Infections

Clindamycin Phosphate in Sodium Chloride Injection is indicated for the treatment of serious bone and joint infections including acute hematogenous osteomyelitis caused by susceptible isolates of Staphylococcus aureus and as adjunctive therapy in the surgical treatment of chronic bone and joint infections due to susceptible organisms in adults and pediatric patients for whom appropriate dosing with this formulation can be achieved.

5.6 Use in Atopic Individuals

Clindamycin Phosphate in Sodium Chloride Injection should be avoided in atopic individuals.

8 Use in Specific Populations
  • Pediatric Use: Appropriate monitoring of organ system functions is desirable. (8.4)
  • Geriatric Use: Monitor for development of diarrhea. (8.5)
1.6 Intra Abdominal Infections

Clindamycin Phosphate in Sodium Chloride Injection is indicated for the treatment of serious intra-abdominal infections including peritonitis and intra-abdominal abscess caused by susceptible anaerobic organisms in adults and pediatric patients for whom appropriate dosing with this formulation can be achieved.

2.3 Dosage in Pediatric Patients

If a dose of Clindamycin Phosphate in Sodium Chloride Injection is required that does not equal 300 mg, 600 mg or 900 mg, this product is not recommended for use and an alternative formulation of clindamycin should be considered. The recommended pediatric dosing regimen of Clindamycin Phosphate in Sodium Chloride Injection is as follows:

Pediatric patients (1 month of age to 16 years old):

The recommended dosage is 20 to 40 mg/kg/day in 3 or 4 equal doses.

The higher doses would be used for more severe infections. As an alternative to dosing on a body weight basis, pediatric patients may be dosed on the basis of square meters body surface: 350 mg/m2/day for serious infections and 450 mg/m2/day for more severe infections.

Parenteral therapy may be changed to oral formulations of clindamycin when the condition warrants and at the discretion of the physician.

In cases of β-hemolytic streptococcal infections, treatment should be continued for at least 10 days.

Pediatric Patients (less than 1 month):

The recommended dosage is 15 to 20 mg/kg/day in 3 to 4 equal doses. See Table 3 regarding the dosing regimen for pediatric patients with post-menstrual age (PMA) less than or equal to 32 weeks or greater than 32 weeks to less than or equal to 40 weeks.

Table 3: Dosing Regimens for Pediatric Patients with PMA less than or equal to 32 weeks, or greater than 32 weeks to less than or equal to 40 weeks

PMA (weeks)

Dose (mg/kg)

Dosing Interval (hours)

Less than or equal to 32

5

8

Greater than or equal to 32 weeks to less than or equal to 40

7

8

PMA: Post-Menstrual Age

17 Patient Counseling Information

C. difficile-Associated Diarrhea (CDAD)

Advise patients that diarrhea is a common problem caused by antibacterial drugs including Clindamycin Phosphate in Sodium Chloride Injection, that usually ends when the antibacterial is discontinued. Sometimes after starting treatment with antibacterial drugs, including Clindamycin Phosphate in Sodium Chloride Injection, patients can develop watery and bloody stools (with or without stomach cramps and fever) even as late as two or more months after having taken the last dose of the antibacterial drugs. If this occurs, contact physician as soon as possible [see Warnings and Precautions (5.1)].

Antibacterial Resistance

Patients should be counseled that antibacterial drugs including Clindamycin Phosphate in Sodium Chloride Injection should only be used to treat bacterial infections. They do not treat viral infections (e.g., the common cold). When Clindamycin Phosphate in Sodium Chloride Injection is prescribed to treat a bacterial infection, patients should be told that although it is common to feel better early in the course of therapy, the medication should be taken exactly as directed. Skipping doses or not completing the full course of therapy may (1) decrease the effectiveness of the immediate treatment and (2) increase the likelihood that bacteria will develop resistance and will not be treatable by Clindamycin Phosphate in Sodium Chloride Injection or other antibacterial drugs in the future.

Lactation

Advise a woman to monitor the breastfed infant for diarrhea and bloody stools [see Use in Specific Populations (8.2)].

Baxter Healthcare Corporation

Deerfield, IL 60015 USA

Made in USA.

Baxter and Galaxy are registered trademarks of Baxter International Inc.

07-19-09-273

7.1 Neuromuscular Blocking Agents

Clindamycin has been shown to have neuromuscular blocking properties that may enhance the action of other neuromuscular blocking agents. Therefore, it should be avoided in patients receiving such agents.

7.3 Inducers of Cyp3a4 and Cyp3a5

Inducers of CYP3A4 and/or CYP3A5 may reduce plasma concentrations of clindamycin. In the presence of strong CYP3A4 and/or CYP3A5 inducers such as rifampicin, monitor for loss of effectiveness.

7.2 Inhibitors of Cyp3a4 and Cyp3a5

Inhibitors of CYP3A4 and/or CYP3A5 may increase plasma concentrations of clindamycin [see Clinical Pharmacology (12.3) ]. Monitor for adverse reactions when strong CYP3A4 and/or CYP3A5 inhibitors are coadministered with clindamycin.

16 How Supplied/storage and Handling

Clindamycin Phosphate in Sodium Chloride Injection is a clear, colorless and sterile solution for intravenous infusion. Each 50 mL of Clindamycin in Phosphate in Sodium Chloride Injection, 300 mg/50 mL, 600mg/50mL, and 900 mg/50 mL, contains 300 mg, 600 mg, or 900 mg clindamycin, respectively (as clindamycin phosphate, USP) in 0.9% sodium chloride solution. Clindamycin in Phosphate in Sodium Chloride Injection in single-dose GALAXY containers is available as follows:

2G3455

Twenty-four (24)-300 mg/50 mL containers

NDC 0338-9545-24

2G3456

Twenty-four (24)-600 mg/50 mL containers

NDC 0338-9549-24

2G3457

Twenty-four (24)-900 mg/50 mL containers

NDC 0338-9553-24

Exposure of pharmaceutical products, including clindamycin phosphate in sodium chloride, to heat should be minimized. It is recommended that GALAXY plastic containers be stored at 20°C to 25°C (68°F to 77°F) excursions permitted to 15°C to 30°C (59°F to 86°F) [see USP Controlled Room Temperature]. Avoid temperatures above 30°C.

Package/label Principal Display Panel
Container Label

NDC 0338-9545-50

Clindamycin Phosphate

in 0.9% Sodium Chloride Injection

300 mg per 50 mL (6 mg / mL)

50 mL Single-Dose GALAXY Container

Code 2G3455

Discard unused portion

Sterile Nonpyrogenic

For Intravenous Infusion Only

Cautions: Do not add supplementary medication. Must not be used in

series connections. Check for minute leaks and solution clarity.

Each 50 mL contains: Clindamycin phosphate, USP equivalent to

300 mg clindamycin, 450 mg sodium chloride, USP, 2 mg edetate

disodium dihydrate, USP, and Water for Injection, USP. pH may have

been adjusted with sodium hydroxide and/or hydrochloric acid.

Dosage: See prescribing information.

Rx only

Store at 20°C to 25°C (68°F to 77°F)[see USP Controlled Room Temperature].

Avoid temperatures above 30°C.

BAXTER Logo

Baxter and Galaxy are registered trademarks of Baxter International Inc.

Baxter Healthcare Corporation, Deerfield, IL 60015 USA

Made in USA

07-34-00-2141

Bar Code Position Only

303389545507

Carton Label

GALAXY Container

BAXTER Logo

Baxter and Galaxy are registered trademarks of Baxter International Inc.

Baxter Healthcare Corporation, Deerfield, IL 60015 USA

Made in USA

07-04-00-1232

Clindamycin Phosphate in 0.9% Sodium Chloride Injection

300 mg per 50 mL
(6 mg / mL)

Contains 12 - 50 mL Single-Dose Containers

Store at 20°C to 25°C (68°F to 77°F) [see USP Controlled Room Temperature]. Avoid temperatures above 30°C.

Rx only

NDC 0338-9545-24

Code 2G3455

FOR BAR CODE POSITION ONLY

(01) 20303389545242

For Intravenous Infusion Only

Sterile Nonpyrogenic

Each 50 mL contains: Clindamycin phosphate, USP equivalent to 300 mg clindamycin,

450 mg sodium chloride, USP, 2 mg edetate disodium dihydrate, USP, and Water for Injection, USP.

pH may have been adjusted with sodium hydroxide and/or hydrochloric acid.

Dosage: See prescribing information.

Cautions: Do not add supplementary medication. Must not be used in series connections.

Check for minute leaks and solution clarity.

Container Label

NDC 0338-9549-50

Clindamycin Phosphate

in 0.9% Sodium Chloride Injection

600 mg per 50 mL (12 mg / mL)

50 mL Single-Dose GALAXY Container

Code 2G3456

Discard unused portion

For Intravenous Use Only

Sterile Nonpyrogenic

Cautions: Do not add supplementary medication. Must not be used in

series connections. Check for minute leaks and solution clarity.

Each 50 mL contains: Clindamycin phosphate, USP equivalent to

600 mg clindamycin, 450 mg sodium chloride, USP, 2 mg edetate

disodium dihydrate, USP, and Water for Injection, USP. pH may have

been adjusted with sodium hydroxide and/or hydrochloric acid.

Dosage: See prescribing information.

Rx only

Store at 20° to 25°C (68° to 77°F) [see USP Controlled Room Temperature].

Avoid temperatures above 30°C.

BAXTER Logo

Baxter and Galaxy are registered trademarks of Baxter International Inc.

Baxter Healthcare Corporation, Deerfield, IL 60015 USA

Made in USA

07-34-00-2158

BAR CODE POSTION ONLY

303389549505

Carton Label

GALAXY Container

BAXTER Logo

Baxter and Galaxy are registered trademarks of Baxter International Inc.

Baxter Healthcare Corporation, Deerfield, IL 60015 USA

Made in USA

07-04-00-1233

Clindamycin Phosphate in 0.9% Sodium Chloride Injection

600 mg per 50 mL
(12 mg / mL)

Contains 12 - 50 mL Single-Dose Containers

Store at 20°C to 25°C (68°F to 77°F)[see USP Controlled Room Temperature]. Avoid temperatures above 30°C.

Rx only

NDC 0338-9549-24

Code 2G3456

FOR BAR CODE POSITION ONLY

(01) 20303389549240

For Intravenous Infusion Only

Sterile Nonpyrogenic

Each 50 mL contains: Clindamycin phosphate, USP equivalent to 600 mg clindamycin,

450 mg sodium chloride, USP, 2 mg edetate disodium dihydrate, USP, and Water for Injection, USP.

pH may have been adjusted with sodium hydroxide and/or hydrochloric acid.

Dosage: See prescribing information.

Cautions: Do not add supplementary medication. Must not be used in series connections.

Check for minute leaks and solution clarity.

Container Label

NDC 0338-9553-50

Clindamycin Phosphate in 0.9% Sodium Chloride Injection

900 mg per 50 mL (18 mg / mL)

50 mL Single-Dose GALAXY Container

Code 2G3457

Discard unused portion

Sterile Nonpyrogenic

For Intravenous Infusion Only

Cautions: Do not add supplementary medication. Must not be used in

series connections. Check for minute leaks and solution clarity.

Each 50 mL contains: Clindamycin phosphate, USP equivalent to

900 mg clindamycin, 450 mg sodium chloride, USP, 2 mg edetate

disodium dihydrate, USP, and Water for Injection, USP. pH may have

been adjusted with sodium hydroxide and/or hydrochloric acid.

Dosage: See prescribing information.

Rx only

Store at 20° to 25°C (68° to 77°F) [see USP Controlled Room Temperature].

Avoid temperatures above 30°C.

BAXTER Logo

Baxter and Galaxy are registered trademarks of Baxter International Inc.

Baxter Healthcare Corporation, Deerfield, IL 60015 USA

Made in USA

07-34-00-2159

BAR CODE POSITION ONLY

303389553502

Carton Label

GALAXY Container

BAXTER Logo

Baxter and Galaxy are registered trademarks of Baxter International Inc.

Baxter Healthcare Corporation, Deerfield, IL 60015 USA

Made in USA

07-04-00-1234

Clindamycin Phosphate in 0.9% Sodium Chloride Injection

900 mg per 50 mL
(18 mg / mL)

Contains 12 - 50 mL Single-Dose Containers

Store at 20°C to 25°C (68°F to 77°F)[see USP Controlled Room Temperature]. Avoid temperatures above 30°C.

Rx only

NDC 0338-9553-24

Code 2G3457

FOR BAR CODE POSITION ONLY

(01) 20303389553247

For Intravenous Infusion Only

Sterile Nonpyrogenic

Each 50 mL contains: Clindamycin phosphate, USP equivalent to 900 mg clindamycin,

450 mg sodium chloride, USP, 2 mg edetate disodium dihydrate, USP, and Water for Injection, USP.

pH may have been adjusted with sodium hydroxide and/or hydrochloric acid.

Dosage: See prescribing information.

Caution: Do not add supplementary medication. Must not be used in series connections.

Check for minute leaks and solution clarity.

1.3 Lower Respiratory Tract Infections

Clindamycin Phosphate in Sodium Chloride Injection is indicated for the treatment of serious lower respiratory tract infections including pneumonia, empyema, and lung abscess caused by susceptible isolates of anaerobes, Streptococcus pneumoniae, other streptococci (except E. faecalis), and Staphylococcus aureus in adults and pediatric patients for whom appropriate dosing with this formulation can be achieved.

1.4 Skin and Skin Structure Infections

Clindamycin Phosphate in Sodium Chloride Injection is indicated for the treatment of serious skin and skin structure infections caused by susceptible isolates of Streptococcus pyogenes, Staphylococcus aureus, and anaerobes in adults and pediatric patients for whom appropriate dosing with this formulation can be achieved.

5.8 Overgrowth of Nonsusceptible Organisms

The use of Clindamycin Phosphate in Sodium Chloride Injection may result in overgrowth of nonsusceptible organisms-particularly yeasts. If such infections occur, appropriate measures should be taken as indicated by the clinical situation.

5.9 Development of Drug Resistant Bacteria

Prescribing Clindamycin Phosphate in Sodium Chloride Injection in the absence of a proven or strongly suspected bacterial infection or a prophylactic indication is unlikely to provide benefit to the patient and increases the risk of the development of drug-resistant bacteria.

5.5 Use in Patients With Gastrointestinal Disease

Clindamycin Phosphate in Sodium Chloride Injection products should be avoided in individuals with a history of gastrointestinal disease, particularly colitis.

5.7 Laboratory Tests: Monitoring to Assess Safety

During prolonged therapy periodic liver and kidney function tests and blood counts should be performed.

Clindamycin dosage modification is not necessary in patients with renal disease. In patients with moderate to severe liver disease, prolongation of clindamycin half-life has been found. However, it was postulated from studies that when given every eight hours, accumulation should rarely occur.

Therefore, dosage modification in patients with liver disease may not be necessary. However, periodic liver enzyme determinations should be made when treating patients with severe liver disease.

1.1 Infections Due to Susceptible Anaerobic Bacteria

Clindamycin Phosphate in Sodium Chloride Injection is indicated for the treatment of serious infections caused by susceptible anaerobic bacteria in adults and pediatric patients for whom appropriate dosing with this formulation can be achieved [see Indications and Usage (1.3 - 1.7)].

5.2 Anaphylactic and Severe Hypersensitivity Reactions

Anaphylactic shock and anaphylactic reactions have been reported [see Adverse Reactions (6)]. Severe hypersensitivity reactions, including severe skin reactions such as toxic epidermal necrolysis (TEN), drug reaction with eosinophilia and systemic symptoms (DRESS), and Stevens-Johnson syndrome (SJS), some with fatal outcome, have been reported [see Adverse Reactions (6)].

In case of such an anaphylactic or severe hypersensitivity reaction, discontinue treatment permanently and institute appropriate therapy.

A careful inquiry should be made concerning previous sensitivities to drugs and other allergens.

13.1 Carcinogenesis, Mutagenesis, Impairment of Fertility

Long term studies in animals have not been performed with clindamycin to evaluate carcinogenic potential. Genotoxicity tests performed included a rat micronucleus test and an Ames Salmonella reversion test. Both tests were negative.

Fertility studies in rats treated orally with up to 300 mg/kg/day (approximately 1.1 times the highest recommended adult human dose based on mg/m2) revealed no effects on fertility or mating ability.

2.1 Important Administration and Discontinuation Instructions

If a dose of Clindamycin Phosphate in Sodium Chloride Injection is required that does not equal 300 mg 600 mg or 900 mg, this product is not recommended for use and an alternative formulation of clindamycin should be considered.

Administer Clindamycin Phosphate in Sodium Chloride Injection by intravenous infusion over at least 10 minutes. Infusion rates should NOT exceed 30 mg per minute. The usual infusion rates are described in Table 1.

Table 1: Usual Infusion Rates for the Administration of Clindamycin Phosphate in Sodium Chloride Injection

Dose

Time

300 mg

10 min

600 mg

20 min

900 mg

30 min

Discontinue Clindamycin Phosphate in Sodium Chloride Injection if diarrhea occurs during therapy [see Boxed Warning].

5.4 Diarrhea in Elderly Patients With Associated Severe Illness

Elderly patients with associated severe illness may have a greater risk of developing adverse reactions from diarrhea. When clindamycin is indicated in these patients, they should be carefully monitored for change in bowel frequency [see Use in Specific Populations (8.5)].

Warning: Clostridioides Difficile Associated Diarrhea (cdad) and Colitis

Clostridioides difficile-associated diarrhea (CDAD) has been reported with use of nearly all antibacterial agents, including Clindamycin Phosphate in Sodium Chloride Injection and may range in severity from mild diarrhea to fatal colitis. Treatment with antibacterial agents alters the normal flora of the colon leading to overgrowth of C. difficile.

Because Clindamycin Phosphate in Sodium Chloride Injection therapy has been associated with severe colitis which may end fatally, it should be reserved for serious infections where less toxic antimicrobial agents are inappropriate [see Indications and Usage (1)]. It should not be used in patients with nonbacterial infections such as most upper respiratory tract infections. C. difficile produces toxins A and B which contribute to the development of CDAD. Hypertoxin producing strains of C. difficile cause increased morbidity and mortality, as these infections can be refractory to antimicrobial therapy and may require colectomy. CDAD must be considered in all patients who present with diarrhea following antibacterial use. Careful medical history is necessary since CDAD has been reported to occur over two months after the administration of antibacterial agents.

If CDAD is suspected or confirmed, ongoing antibacterial use not directed against C. difficile may need to be discontinued. Appropriate fluid and electrolyte management, protein supplementation, antibacterial treatment of C. difficile, and surgical evaluation should be instituted as clinically indicated [see Warnings and Precautions (5.1)].

1.2 Infections Due to Susceptible Isolates of Streptococci, Pneumococci and Staphylococci

Clindamycin Phosphate in Sodium Chloride Injection is indicated for the treatment of serious infections due to susceptible isolates of streptococci, pneumococci, and staphylococci in adults and pediatric patients for whom appropriate dosing with this formulation can be achieved. Its use should be reserved for penicillin-allergic patients or other patients for whom, in the judgment of the physician, a penicillin is inappropriate. Because of the risk of antibacterial-associated pseudomembranous colitis, [see Boxed Warning], before selecting clindamycin the physician should consider the nature of the infection and the suitability of less toxic alternatives (e.g., erythromycin).

Bacteriologic studies should be performed to determine the causative organisms and their susceptibility to clindamycin.

Indicated surgical procedures should be performed in conjunction with antibacterial therapy.

2.4 Directions for Use of Clindamycin Phosphate in Sodium Chloride Injection in Galaxy Plastic Container

Parenteral drug products should be inspected visually for particulate matter and discoloration prior to administration, whenever solution and container permit.

Premixed Clindamycin Phosphate in Sodium Chloride Injection is for intravenous infusion using sterile equipment. Check for minute leaks prior to use by squeezing bag firmly. If leaks are found, discard solution as sterility may be impaired. Do NOT add supplementary medication. Parenteral drug products should be inspected visually for particulate matter and discoloration prior to administration whenever solution and container permit. Do NOT use unless solution is clear and seal is intact.

Do NOT use plastic containers in series connections. Such use could result in air embolism due to residual air being drawn from the primary container before administration of the fluid from the secondary container is complete.

Clindamycin Phosphate in Sodium Chloride Injection should not be injected intravenously undiluted as a bolus, but should be infused over at least 10 minutes.

Preparation for Administration:

  • 1.
    Suspend container from eyelet support.
  • 2.
    Remove protector from outlet port at bottom of container.
  • 3.
    Attach administration set. Refer to complete directions accompanying set.

Structured Label Content

Data

Human Data

In limited published trials in pregnant women administered clindamycin during the first trimester of pregnancy, there was no difference in the rate of major birth defects reported among in utero exposed infants compared to unexposed infants. From these observational data, it is not possible to draw any conclusions on the rate of specific major birth defects associated with clindamycin. These data cannot definitely establish or exclude any clindamycin-associated risk during pregnancy.

Animal Data

Reproduction studies performed during organogenesis (gestational days 6-15) in pregnant rats and mice that were administered oral doses of clindamycin up to 600 mg/kg/day (twice or equivalent to the highest recommended adult human dose based on a body surface area comparison, respectively) or subcutaneous doses of clindamycin up to 250 mg/kg/day (equivalent to or half the highest recommended adult human dose based on a body surface area comparison, respectively) revealed no evidence of teratogenicity.

Section 43683-2 (43683-2)

Dosage and Administration (2) 9/2022

Warnings and Precautions (5) 9/2022

1.10 Usage

To reduce the development of drug-resistant bacteria and maintain the effectiveness of Clindamycin Phosphate in Sodium Chloride Injection and other antibacterial drugs, Clindamycin Phosphate in Sodium Chloride Injection should be used only to treat or prevent infections that are proven or strongly suspected to be caused by susceptible bacteria. When culture and susceptibility information are available, they should be considered in selecting or modifying antibacterial therapy. In the absence of such data, local epidemiology and susceptibility patterns may contribute to the empiric selection of therapy.

Resistance

Resistance to clindamycin is most often caused by modification of specific bases of the 23S ribosomal RNA. Cross-resistance between clindamycin and lincomycin is complete. Because the binding sites for these antibacterial drugs overlap, cross-resistance is sometimes observed among lincosamides, macrolides and streptogramin B. Macrolide-inducible resistance to clindamycin occurs in some isolates of macrolide-resistant bacteria. Macrolide-resistant isolates of staphylococci and beta-hemolytic streptococci should be screened for induction of clindamycin resistance using the D-zone test.

Elimination

Clindamycin is metabolized predominantly by CYP3A4, and to a lesser extent by CYP3A5, to the major metabolite clindamycin sulfoxide and minor metabolite N-desmethylclindamycin. Biologically inactive clindamycin phosphate disappears from the serum with 6 minutes of the average elimination half-life; however, the average serum elimination half-life of active clindamycin is about 3 hours in adults and 2.5 hours in pediatric patients.

Distribution

No significant concentrations of clindamycin are attained in the cerebrospinal fluid even in the presence of inflamed meninges.

Risk Summary

In limited published clinical trials with pregnant women, the systemic administration of clindamycin during the second and third trimesters, has not been associated with an increased frequency of major birth defects.

The limited published data on use of clindamycin in pregnant women with exposure during the first trimester are insufficient to inform a drug-associated risk of pregnancy-related adverse outcomes [see Data]. In animal reproduction studies, no evidence of any adverse developmental outcomes was observed when oral or subcutaneous doses of clindamycin were administered to pregnant rats and mice during organogenesis at doses half to twice the highest clinically relevant dose based on body surface area comparison [see Data]. The estimated background risk of major birth defects and miscarriage for the indicated population is unknown. All pregnancies have a background risk of birth defect, loss, or other adverse outcomes. In the U.S. general population, the estimated background risk of major birth defects and miscarriage in clinically recognized pregnancies is 2-4% and 15-20%, respectively.

10 Overdosage (10 OVERDOSAGE)

Significant mortality was observed in mice at an intravenous dose of 855 mg/kg (~3 times the human dose based on body surface area) and in rats at an oral or subcutaneous dose of approximately 2618 mg/kg (~18 times the human dose based on body surface area). In the mice, convulsions and depression were observed and in rats depression was observed prior to death.

Hemodialysis and peritoneal dialysis are not effective in removing clindamycin from the serum.

15 References (15 REFERENCES)
  •  
    1. Smith RB, Phillips JP: Evaluation of CLEOCIN HCl and CLEOCIN Phosphate in an Aged Population. Upjohn TR 8147-82-9122-021, December 1982.
1.7 Septicemia

Clindamycin Phosphate in Sodium Chloride Injection is indicated for the treatment of serious septicemia caused by susceptible isolates of Staphylococcus aureus, streptococci (except Enterococcus faecalis), and susceptible anaerobes in adults and pediatric patients for whom appropriate dosing with this formulation can be achieved.

11 Description (11 DESCRIPTION)

Clindamycin Phosphate in Sodium Chloride Injection contains clindamycin phosphate, a water-soluble ester of clindamycin. Clindamycin is a semisynthetic antibacterial produced by a 7(S)-chloro-substitution of the 7(R)-hydroxyl group of the parent antibacterial lincomycin.

The chemical name of clindamycin phosphate is L-threo-α-D-galacto-Octopyranoside, methyl-7-chloro-6,7,8-trideoxy-6-[[(1-methyl-4-propyl-2-pyrrolidinyl)carbonyl]amino]01-thio-, 2-(dihydrogen phosphate), (2S-trans)-.

The molecular formula is C18H34CIN2O8PS and the molecular weight is 504.96.

The structural formula is represented below:

Clindamycin Phosphate in Sodium Chloride Injection is a clear, colorless and sterile solution for intravenous infusion available in three strengths, 300 mg/50 mL, 600 mg/50 mL, and 900 mg/50 mL, containing 300 mg, 600 mg or 900 mg clindamycin, respectively (as clindamycin phosphate, USP). Each 50 mL of all the strengths of Clindamycin Phosphate in Sodium Chloride Injection also contains, 450 mg of sodium chloride USP, 2 mg of edetate disodium dihydrate USP, and water for Injection USP. The pH is adjusted with sodium hydroxide and /or hydrochloric acid. Clindamycin Phosphate in Sodium Chloride Injection is filled in GALAXY plastic container fabricated from a specially designed multilayer plastic. Solutions in contact with the plastic container can leach out certain of its chemical components in very small amounts within the expiration period. The suitability of the plastic has been confirmed in tests in animals according to the USP biological tests for plastic containers, as well as by tissue culture toxicity studies.

8.4 Pediatric Use

Clindamycin Phosphate in Sodium Chloride Injection is indicated for the treatment of serious infections caused by susceptible anaerobic bacteria, infections due to susceptible isolates of streptococci, pneumococci and staphylococci, lower respiratory tract Infections, skin and skin structure infections, gynecological infections, intra-abdominal infections, septicemia and bone and joint infections in pediatric patients for whom appropriate dosing with this formulation can be achieved [see Indications and Usage (1.1-1.8)] and Dosage and Administration (2.3)].

When Clindamycin Phosphate in Sodium Chloride Injection is administered to the pediatric population (less than 1 month to 16 years old) appropriate dosing and monitoring of organ system functions is desirable. Because of the limitations of the available strengths and administration requirements (i.e., administration of fractional doses is not recommended) of Clindamycin Phosphate in Sodium Chloride Injection, and to avoid unintentional overdose, this product is not recommended for use if a dose of Clindamycin Phosphate in Sodium Chloride Injection is required that does not equal 300 mg 600 mg or 900 mg is required and an alternative formulation of clindamycin should be considered [see Dosage and Administration (2.3)].

The potential for the toxic effect in the pediatric population from chemicals that may leach from the single dose premixed Clindamycin Phosphate in Sodium Chloride Injection preparation in plastic has not been evaluated.

8.5 Geriatric Use

Clinical studies of clindamycin did not include sufficient numbers of patients age 65 and over to determine whether they respond differently from younger patients. However, other reported clinical experience indicates that antibacterial-associated colitis and diarrhea (due to Clostridioides difficile) seen in association with most antibacterial drugs occur more frequently in the elderly (>60 years) and may be more severe. These patients should be carefully monitored for the development of diarrhea.

Pharmacokinetic studies with clindamycin have shown no clinically important differences between young and elderly subjects with normal hepatic function and normal (age-adjusted) renal function after oral or intravenous administration [see Clinical Pharmacology (12.3) ].

5.3 Nephrotoxicity

Clindamycin is potentially nephrotoxic and cases with acute kidney injury have been reported. Consider monitoring of renal function particularly in patients with pre-existing renal dysfunction or those taking concomitant nephrotoxic drugs. In case of acute kidney injury, discontinue Clindamycin Phosphate in Sodium Chloride Injection when no other etiology is identified [see Adverse Reactions (6)].

4 Contraindications (4 CONTRAINDICATIONS)

Clindamycin Phosphate in Sodium Chloride Injection is contraindicated in individuals with a history of hypersensitivity to preparations containing clindamycin or lincomycin.

6 Adverse Reactions (6 ADVERSE REACTIONS)

The following serious adverse reactions to clindamycin are described below and elsewhere in the labeling:

The following adverse reactions associated with the use of clindamycin were identified in clinical trials or postmarketing reports. Because these reactions were reported voluntarily from a population of uncertain size, it is not always possible to estimate their frequency reliably, or to establish a causal relationship to drug exposure.

Infections and Infestations

Clostridioides difficile colitis

Gastrointestinal

Antibacterial-associated colitis [see Warnings and Precautions (5.1)], pseudomembranous colitis, abdominal pain, nausea, and vomiting. The onset of pseudomembranous colitis symptoms may occur during or after antibacterial treatment [see Warnings and Precautions (5.1)]. An unpleasant or metallic taste has been reported after intravenous administration of the higher doses of clindamycin phosphate.

Hypersensitivity Reactions

Maculopapular rash and urticaria have been observed during drug therapy. Generalized mild to moderate morbilliform-like skin rashes are the most frequently reported of all adverse reactions.

Severe skin reactions such as Toxic Epidermal Necrolysis, some with fatal outcome, have been reported [see Warnings and Precautions (5.2)]. Cases of Acute Generalized Exanthematous Pustulosis (AGEP), erythema multiforme, some resembling Stevens-Johnson syndrome, have been associated with clindamycin. Anaphylactic shock, anaphylactic reaction and hypersensitivity have also been reported [see Warnings and Precautions (5.2)].

Skin and Mucous Membranes

Pruritus, vaginitis, angioedema and rare instances of exfoliative dermatitis have been reported [see Warnings and Precautions (5.2)].

Liver

Jaundice and abnormalities in liver function tests have been observed during clindamycin therapy.

Renal

Acute kidney injury [see Warnings and Precautions (5.3)].

Hematopoietic

Transient neutropenia (leukopenia) and eosinophilia have been reported. Reports of agranulocytosis and thrombocytopenia have been made.

Immune System

Drug reaction with eosinophilia and systemic symptoms (DRESS) cases have been reported.

Local Reactions

Thrombophlebitis has been reported after intravenous infusion. Avoid prolonged use of indwelling intravenous catheters.

Musculoskeletal

Polyarthritis cases have been reported.

Cardiovascular

Cardiopulmonary arrest and hypotension have been reported following too rapid intravenous administration [see Dosage and Administration (2)].

7 Drug Interactions (7 DRUG INTERACTIONS)
  • Neuromuscular blocking properties that may enhance the action of other neuromuscular blocking agents. (7.1)
  • Monitor for adverse reactions when strong CYP3A4 and/or CYP3A5 inhibitors are coadministered with clindamycin. (7.2)
  • In the presence of strong CYP3A4 and/or CYP3A5 inducers such as rifampicin, monitor for loss of effectiveness. (7.3)
Mechanism of Action

Clindamycin inhibits bacterial protein synthesis by binding to the 23S RNA of the 50S subunit of the ribosome. Clindamycin is bacteriostatic.

Specific Populations

Patients with Renal/Hepatic Impairment

The elimination half-life of clindamycin is increased slightly in patients with markedly reduced renal or hepatic function. Hemodialysis and peritoneal dialysis are not effective in removing clindamycin from the serum. Dosage schedules do not need to be modified in patients with renal or hepatic disease.

Geriatric Patients

Pharmacokinetic studies in elderly volunteers (61-79 years) and younger adults (18-39 years) indicate that age alone does not alter clindamycin pharmacokinetics (clearance, elimination half-life, volume of distribution, and area under the serum concentration-time curve) after intravenous administration of clindamycin phosphate. After oral administration of clindamycin hydrochloride, the average elimination half-life is increased to approximately 4.0 hours (range 3.4-5.1 h) in the elderly, compared to 3.2 hours (range 2.1-4.2 h) in younger adults. The extent of absorption, however, is not different between age groups and no dosage alteration is necessary for the elderly with normal hepatic function and normal (age-adjusted) renal function1.

Pharmacokinetics in Pediatric Patients with PMA ≤ 32 weeks, or > 32 to ≤ 40 weeks

Systemic clearance (CL) in premature infants increases with increases in bodyweight (kg) and post-menstrual age (PMA). The dosing regimens for pediatric patients ≤ 32 weeks PMA (5 mg/kg) and 32 to ≤ 40 weeks PMA (7 mg/kg), both administered IV every 8 hours, achieve exposures comparable to therapeutic exposures in adults (weighing 70 kg) administered clindamycin 600 mg every 8 hours (Table 4).

Table 4: Predicted Drug Exposure (Mean ± SD) of Clindamycin in Adults and in Pediatric Patients with PMA ≤ 32 weeks, or > 32 to ≤ 40 weeks

Age

Adult (70 kg)

PMA ≤ 32 weeks

PMA > 32 - ≤ 40 weeks

Dose (every 8 hours)

600 mg

5 mg/kg

7 mg/kg

AUCss,0-8 hour

(mcg.h/mL)

50.5 (30.9)

52.5 (17.0)

55.9 (23.6)

Cmax,ss (mcg/mL)

12.0 (3.5)

9.0 (2.2)

10.5 (2.8)

Cmin,ss (mcg/mL)

3.1 (3.3)

4.6 (2.0)

4.4 (2.8)

PMA: post-menstrual age; AUCss,0-8 hour: area under the concentration-time curve during a dosing interval at steady state; Cmax,ss: maximum drug concentration at steady state; Cmin,ss: minimum or trough drug concentration at steady state

Obese Pediatric Patients Aged 2 to Less than 18 Years and Obese Adults Aged 18 to 20 Years

An analysis of pharmacokinetic data in obese pediatric patients aged 2 to less than 18 years and obese adults aged 18 to 20 years demonstrated that clindamycin clearance and volume of distribution, normalized by total body weight, are comparable regardless of obesity.

Drug Interaction Studies

In vitro studies indicate that clindamycin does not inhibit CYP1A2, CYP2C9, CYP2C19, CYP2E1 or CYP2D6 and only moderately inhibits CYP3A4.

12.3 Pharmacokinetics

Clindamycin phosphate is a water-soluble ester prodrug of clindamycin. Biologically inactive clindamycin phosphate is converted to active clindamycin. By the end of short-term intravenous infusion, peak serum concentrations of active clindamycin are reached.

After intramuscular injection of clindamycin phosphate, peak concentrations of active clindamycin are reached within 3 hours in adults and 1 hour in pediatric patients. Serum concentration-time curves may be constructed from intravenous peak serum concentrations by application of elimination half-lives described in the elimination section below.

Serum concentrations of clindamycin can be maintained above the in vitro minimum inhibitory concentrations for most indicated organisms by administration of clindamycin phosphate every 8 to 12 hours in adults and every 6 to 8 hours in pediatric patients, or by continuous intravenous infusion. An equilibrium state is reached by the third dose.

1.9 Limitations of Use

Since clindamycin does not diffuse adequately into the cerebrospinal fluid, Clindamycin Phosphate in Sodium Chloride Injection should not be used in the treatment of meningitis [see Clinical Pharmacology (12.3)].

Antimicrobial Activity

Clindamycin has been shown to be active against most isolates of the following microorganisms, both in vitro and in clinical infections [see Indications and Usage (1)].

  •  
    Aerobic bacteria
  •  
    Gram-positive bacteria

    Staphylococcus aureus (methicillin-susceptible isolates)

    Streptococcus pneumoniae (penicillin-susceptible isolates)

    Streptococcus pyogenes
  •  
    Anaerobic bacteria
  •  
    Gram-positive bacteria

    Clostridium perfringens

    Peptostreptococcus anaerobius

    Gram-negative bacteria

    Fusobacterium necrophorum

    Fusobacterium nucleatum

    Prevotella melaninogenica

The following in vitro data are available, but their clinical significance is unknown. At least 90 percent of the following bacteria exhibit an in vitro minimum inhibitory concentration (MIC) less than or equal to the susceptible breakpoint for clindamycin against isolates of similar genus or organism group. However, the efficacy of clindamycin in treating clinical infections caused by these bacteria has not been established in adequate and well-controlled clinical trials.

  •  
    Aerobic bacteria
  •  
    Gram-positive bacteria

    Staphylococcus epidermidis (methicillin-susceptible isolates)

    Streptococcus agalactiae

    Streptococcus anginosus

    Streptococcus mitis

    Streptococcus oralis
  •  
    Anaerobic bacteria
  •  
    Gram-positive bacteria

    Actinomyces israelii

    Clostridium clostridioforme

    Eggerthella lenta

    Finegoldia (Peptostreptococcus) magna

    Micromonas (Peptostreptococcus) micros

    Cutibacterium acnes


    Gram-negative bacteria

    Prevotella bivia

    Prevotella intermedia
Susceptibility Testing

For specific information regarding susceptibility test interpretive criteria, and associated test methods and quality control standards recognized by FDA for this drug, please see https://www.fda.gov/STIC.

1 Indications and Usage (1 INDICATIONS AND USAGE)

Clindamycin Phosphate in Sodium Chloride Injection contains clindamycin, a lincosamide antibacterial indicated for the treatment of the following in adult and pediatric patients for whom appropriate dosing with this formulation can be achieved:

  • Serious infections caused by susceptible anaerobic bacteria (1.1)
  • Infections Due to Susceptible Isolates of Streptococci, Pneumococci and Staphylococci. (1.2)
  • Lower Respiratory Tract Infections. (1.3)
  • Skin and Skin Structure Infections. (1.4)
  • Gynecological Infections. (1.5)
  • Intra-abdominal Infections. (1.6)
  • Septicemia. (1.7)
  • Bone and Joint Infections. (1.8)

Limitation of use

Since clindamycin does not diffuse adequately into the cerebrospinal fluid, Clindamycin Phosphate in Sodium Chloride Injection should not be used in the treatment of meningitis (1.9)

Usage

To reduce the development of drug-resistant bacteria and maintain the effectiveness of Clindamycin Phosphate in Sodium Chloride Injection and other antibacterial drugs, Clindamycin Phosphate in Sodium Chloride Injection should be used only to treat or prevent infections that are proven or strongly suspected to be caused by susceptible bacteria. (1.10)

Clinical Considerations

If oral or intravenous clindamycin is required by a nursing mother, it is not a reason to discontinue breastfeeding, but an alternate drug may be preferred. Monitor the infant for possible adverse effects on the gastrointestinal flora, such as diarrhea, candidiasis (thrush, diaper rash) or blood in the stool indicating possible antibacterial-associated colitis.

12.1 Mechanism of Action

Clindamycin is an antibacterial drug [see Microbiology (12.4)].

5 Warnings and Precautions (5 WARNINGS AND PRECAUTIONS)
  • Anaphylactic shock, anaphylactic reactions and severe hypersensitivity reactions have been reported. Discontinue treatment if such reactions occur. (5.2)
  • Cases with acute kidney injury (AKI) have been reported during treatment with clindamycin. Consider renal function monitoring, particularly in certain patients (e.g., those with pre-existing renal dysfunction). Discontinue treatment, if AKI occurs and no other etiology is identified. (5.3)
  • Elderly patients with associated severe illness may have a greater risk of developing adverse reactions from diarrhea. Monitor these patients carefully for change in bowel frequency. (5.4)
  • Avoid use of Clindamycin Phosphate in Sodium Chloride Injection in individuals with a history of gastrointestinal disease, particularly colitis. (5.5)
  • Avoid use of Clindamycin Phosphate in Sodium Chloride Injection in atopic individuals. (5.6)
  • During prolonged therapy, perform periodic liver and kidney function tests and blood counts. (5.7)
  • The use of Clindamycin Phosphate in Sodium Chloride Injection may result in overgrowth of nonsusceptible organisms-particularly yeasts. Take appropriate measures, if this occurs. (5.8)
2 Dosage and Administration (2 DOSAGE AND ADMINISTRATION)
  • If a dose of Clindamycin Phosphate in Sodium Chloride Injection is required that does not equal 300 mg 600 mg or 900 mg, this product is not recommended for use and an alternative formulation of clindamycin should be considered. (2.1)
  • Recommended Adult Dosage: Serious infections due to aerobic gram-positive cocci and the more susceptible anaerobes (NOT generally including Bacteroides fragilis, Peptococcus species and Clostridioides species other than Clostridium perfringens): 600–1200 mg/day in 2, 3 or 4 equal doses by intravenous infusion. (2.2)
  • More severe infections, particularly those due to proven or suspected Bacteroides fragilis, Peptococcus species, or Clostridium species other than Clostridium perfringens: 1200–2700 mg/day in 2, 3 or 4 equal doses by intravenous infusion. (2.2)
  • Dosage in Pediatric Patients (1 Month of Age to 16 Years): 20 to 40 mg/kg/day in 3 or 4 equal doses by intravenous infusion. (2.3)
  • Alternative Pediatric Patients Dosing: 350 mg/m2/day for serious infections and 450 mg/m2/day for more severe infections. (2.3)
  • Dosage in Neonates (Less than 1 Month of Age): 15 to 20 mg/kg/day in 3 to 4 equal doses by intravenous infusion. (2.3)
1.5 Gynecological Infections

Clindamycin Phosphate in Sodium Chloride Injection is indicated for the treatment of serious gynecological infections including endometritis, nongonococcal tubo-ovarian abscess, pelvic cellulitis, and postsurgical vaginal cuff infection caused by susceptible anaerobes in adults and pediatric patients for whom appropriate dosing with this formulation can be achieved.

2.2 Recommended Adult Dosage

The recommended dosing regimen for Clindamycin Phosphate in Sodium Chloride Injection is 600-1200 mg/day in 2, 3, or 4 equal doses by intravenous infusion for serious infections due to aerobic gram-positive cocci and the more susceptible anaerobes (NOT generally including Bacteroides fragilis, Peptococcus species and Clostridium species other than Clostridium perfringens).

For more severe infections, particularly those due to proven or suspected Bacteroides fragilis, Peptococcus species, or Clostridium species other than Clostridium perfringens, the recommended dosing regimen is 1200-2700 mg/day in 2, 3, or 4 equal doses by intravenous infusion.

In life-threatening situations, these doses may be increased. Doses of as much as 4800 mg daily have been given intravenously to adults.

Alternatively, drug may be administered in the form of a single rapid infusion of the first dose followed by continuous intravenous infusion as follows:

Table 2: Infusion Rates for the Administration of Clindamycin Injection by Single Rapid Infusion followed by Continuous Intravenous Infusion for the Maintenance of Serum Clindamycin Levels

To maintain serum

clindamycin levels

Rapid infusion rate

Maintenance infusion rate

Above 4 mcg/mL

10 mg/min for 30 min

0.75 mg/min

Above 5 mcg/mL

15 mg/min for 30 min

1.00 mg/min

Above 6 mcg/mL

20 mg/min for 30 min

1.25 mg/min

3 Dosage Forms and Strengths (3 DOSAGE FORMS AND STRENGTHS)

Injection: Clindamycin Phosphate in Sodium Chloride Injection is a clear, colorless and sterile solution available in three strengths:

  • 300 mg/50 mL (6 mg/mL): Each 50 mL single-dose GALAXY container contains 300 mg clindamycin (as clindamycin phosphate, USP) in 0.9% sodium chloride.
  • 600 mg/50 mL (12 mg/mL): Each 50 mL single-dose GALAXY container contains 600 mg clindamycin (as clindamycin phosphate, USP) in 0.9% sodium chloride.
  • 900 mg/50 mL (18 mg/mL): Each 50 mL single-dose GALAXY container contains 900 mg clindamycin (as clindamycin phosphate, USP) in 0.9% sodium chloride.
5.1 Clostridioides Difficile (5.1 Clostridioides difficile)

Clostridioides difficile-associated diarrhea (CDAD) has been reported with use of nearly all antibacterial agents, including Clindamycin Phosphate in Sodium Chloride Injection, and may range in severity from mild diarrhea to fatal colitis. Treatment with antibacterial agents alters the normal flora of the colon leading to overgrowth of C. difficile.

C. difficile produces toxins A and B which contribute to the development of CDAD. Hypertoxin producing isolates of C. difficile cause increased morbidity and mortality, as these infections can be refractory to antimicrobial therapy and may require colectomy. CDAD must be considered in all patients who present with diarrhea following antibacterial use. Careful medical history is necessary since CDAD has been reported to occur over two months after the administration of antibacterial agents.

If CDAD is suspected or confirmed, ongoing antibacterial use not directed against C. difficile may need to be discontinued. Appropriate fluid and electrolyte management, protein supplementation, antibacterial treatment of C. difficile, and surgical evaluation should be instituted as clinically indicated [see Boxed Warning].

1.8 Bone and Joint Infections

Clindamycin Phosphate in Sodium Chloride Injection is indicated for the treatment of serious bone and joint infections including acute hematogenous osteomyelitis caused by susceptible isolates of Staphylococcus aureus and as adjunctive therapy in the surgical treatment of chronic bone and joint infections due to susceptible organisms in adults and pediatric patients for whom appropriate dosing with this formulation can be achieved.

5.6 Use in Atopic Individuals

Clindamycin Phosphate in Sodium Chloride Injection should be avoided in atopic individuals.

8 Use in Specific Populations (8 USE IN SPECIFIC POPULATIONS)
  • Pediatric Use: Appropriate monitoring of organ system functions is desirable. (8.4)
  • Geriatric Use: Monitor for development of diarrhea. (8.5)
1.6 Intra Abdominal Infections (1.6 Intra-abdominal Infections)

Clindamycin Phosphate in Sodium Chloride Injection is indicated for the treatment of serious intra-abdominal infections including peritonitis and intra-abdominal abscess caused by susceptible anaerobic organisms in adults and pediatric patients for whom appropriate dosing with this formulation can be achieved.

2.3 Dosage in Pediatric Patients

If a dose of Clindamycin Phosphate in Sodium Chloride Injection is required that does not equal 300 mg, 600 mg or 900 mg, this product is not recommended for use and an alternative formulation of clindamycin should be considered. The recommended pediatric dosing regimen of Clindamycin Phosphate in Sodium Chloride Injection is as follows:

Pediatric patients (1 month of age to 16 years old):

The recommended dosage is 20 to 40 mg/kg/day in 3 or 4 equal doses.

The higher doses would be used for more severe infections. As an alternative to dosing on a body weight basis, pediatric patients may be dosed on the basis of square meters body surface: 350 mg/m2/day for serious infections and 450 mg/m2/day for more severe infections.

Parenteral therapy may be changed to oral formulations of clindamycin when the condition warrants and at the discretion of the physician.

In cases of β-hemolytic streptococcal infections, treatment should be continued for at least 10 days.

Pediatric Patients (less than 1 month):

The recommended dosage is 15 to 20 mg/kg/day in 3 to 4 equal doses. See Table 3 regarding the dosing regimen for pediatric patients with post-menstrual age (PMA) less than or equal to 32 weeks or greater than 32 weeks to less than or equal to 40 weeks.

Table 3: Dosing Regimens for Pediatric Patients with PMA less than or equal to 32 weeks, or greater than 32 weeks to less than or equal to 40 weeks

PMA (weeks)

Dose (mg/kg)

Dosing Interval (hours)

Less than or equal to 32

5

8

Greater than or equal to 32 weeks to less than or equal to 40

7

8

PMA: Post-Menstrual Age

17 Patient Counseling Information (17 PATIENT COUNSELING INFORMATION)

C. difficile-Associated Diarrhea (CDAD)

Advise patients that diarrhea is a common problem caused by antibacterial drugs including Clindamycin Phosphate in Sodium Chloride Injection, that usually ends when the antibacterial is discontinued. Sometimes after starting treatment with antibacterial drugs, including Clindamycin Phosphate in Sodium Chloride Injection, patients can develop watery and bloody stools (with or without stomach cramps and fever) even as late as two or more months after having taken the last dose of the antibacterial drugs. If this occurs, contact physician as soon as possible [see Warnings and Precautions (5.1)].

Antibacterial Resistance

Patients should be counseled that antibacterial drugs including Clindamycin Phosphate in Sodium Chloride Injection should only be used to treat bacterial infections. They do not treat viral infections (e.g., the common cold). When Clindamycin Phosphate in Sodium Chloride Injection is prescribed to treat a bacterial infection, patients should be told that although it is common to feel better early in the course of therapy, the medication should be taken exactly as directed. Skipping doses or not completing the full course of therapy may (1) decrease the effectiveness of the immediate treatment and (2) increase the likelihood that bacteria will develop resistance and will not be treatable by Clindamycin Phosphate in Sodium Chloride Injection or other antibacterial drugs in the future.

Lactation

Advise a woman to monitor the breastfed infant for diarrhea and bloody stools [see Use in Specific Populations (8.2)].

Baxter Healthcare Corporation

Deerfield, IL 60015 USA

Made in USA.

Baxter and Galaxy are registered trademarks of Baxter International Inc.

07-19-09-273

7.1 Neuromuscular Blocking Agents

Clindamycin has been shown to have neuromuscular blocking properties that may enhance the action of other neuromuscular blocking agents. Therefore, it should be avoided in patients receiving such agents.

7.3 Inducers of Cyp3a4 and Cyp3a5 (7.3 Inducers of CYP3A4 and CYP3A5)

Inducers of CYP3A4 and/or CYP3A5 may reduce plasma concentrations of clindamycin. In the presence of strong CYP3A4 and/or CYP3A5 inducers such as rifampicin, monitor for loss of effectiveness.

7.2 Inhibitors of Cyp3a4 and Cyp3a5 (7.2 Inhibitors of CYP3A4 and CYP3A5)

Inhibitors of CYP3A4 and/or CYP3A5 may increase plasma concentrations of clindamycin [see Clinical Pharmacology (12.3) ]. Monitor for adverse reactions when strong CYP3A4 and/or CYP3A5 inhibitors are coadministered with clindamycin.

16 How Supplied/storage and Handling (16 HOW SUPPLIED/STORAGE AND HANDLING)

Clindamycin Phosphate in Sodium Chloride Injection is a clear, colorless and sterile solution for intravenous infusion. Each 50 mL of Clindamycin in Phosphate in Sodium Chloride Injection, 300 mg/50 mL, 600mg/50mL, and 900 mg/50 mL, contains 300 mg, 600 mg, or 900 mg clindamycin, respectively (as clindamycin phosphate, USP) in 0.9% sodium chloride solution. Clindamycin in Phosphate in Sodium Chloride Injection in single-dose GALAXY containers is available as follows:

2G3455

Twenty-four (24)-300 mg/50 mL containers

NDC 0338-9545-24

2G3456

Twenty-four (24)-600 mg/50 mL containers

NDC 0338-9549-24

2G3457

Twenty-four (24)-900 mg/50 mL containers

NDC 0338-9553-24

Exposure of pharmaceutical products, including clindamycin phosphate in sodium chloride, to heat should be minimized. It is recommended that GALAXY plastic containers be stored at 20°C to 25°C (68°F to 77°F) excursions permitted to 15°C to 30°C (59°F to 86°F) [see USP Controlled Room Temperature]. Avoid temperatures above 30°C.

Package/label Principal Display Panel (PACKAGE/LABEL PRINCIPAL DISPLAY PANEL)
Container Label

NDC 0338-9545-50

Clindamycin Phosphate

in 0.9% Sodium Chloride Injection

300 mg per 50 mL (6 mg / mL)

50 mL Single-Dose GALAXY Container

Code 2G3455

Discard unused portion

Sterile Nonpyrogenic

For Intravenous Infusion Only

Cautions: Do not add supplementary medication. Must not be used in

series connections. Check for minute leaks and solution clarity.

Each 50 mL contains: Clindamycin phosphate, USP equivalent to

300 mg clindamycin, 450 mg sodium chloride, USP, 2 mg edetate

disodium dihydrate, USP, and Water for Injection, USP. pH may have

been adjusted with sodium hydroxide and/or hydrochloric acid.

Dosage: See prescribing information.

Rx only

Store at 20°C to 25°C (68°F to 77°F)[see USP Controlled Room Temperature].

Avoid temperatures above 30°C.

BAXTER Logo

Baxter and Galaxy are registered trademarks of Baxter International Inc.

Baxter Healthcare Corporation, Deerfield, IL 60015 USA

Made in USA

07-34-00-2141

Bar Code Position Only

303389545507

Carton Label

GALAXY Container

BAXTER Logo

Baxter and Galaxy are registered trademarks of Baxter International Inc.

Baxter Healthcare Corporation, Deerfield, IL 60015 USA

Made in USA

07-04-00-1232

Clindamycin Phosphate in 0.9% Sodium Chloride Injection

300 mg per 50 mL
(6 mg / mL)

Contains 12 - 50 mL Single-Dose Containers

Store at 20°C to 25°C (68°F to 77°F) [see USP Controlled Room Temperature]. Avoid temperatures above 30°C.

Rx only

NDC 0338-9545-24

Code 2G3455

FOR BAR CODE POSITION ONLY

(01) 20303389545242

For Intravenous Infusion Only

Sterile Nonpyrogenic

Each 50 mL contains: Clindamycin phosphate, USP equivalent to 300 mg clindamycin,

450 mg sodium chloride, USP, 2 mg edetate disodium dihydrate, USP, and Water for Injection, USP.

pH may have been adjusted with sodium hydroxide and/or hydrochloric acid.

Dosage: See prescribing information.

Cautions: Do not add supplementary medication. Must not be used in series connections.

Check for minute leaks and solution clarity.

Container Label

NDC 0338-9549-50

Clindamycin Phosphate

in 0.9% Sodium Chloride Injection

600 mg per 50 mL (12 mg / mL)

50 mL Single-Dose GALAXY Container

Code 2G3456

Discard unused portion

For Intravenous Use Only

Sterile Nonpyrogenic

Cautions: Do not add supplementary medication. Must not be used in

series connections. Check for minute leaks and solution clarity.

Each 50 mL contains: Clindamycin phosphate, USP equivalent to

600 mg clindamycin, 450 mg sodium chloride, USP, 2 mg edetate

disodium dihydrate, USP, and Water for Injection, USP. pH may have

been adjusted with sodium hydroxide and/or hydrochloric acid.

Dosage: See prescribing information.

Rx only

Store at 20° to 25°C (68° to 77°F) [see USP Controlled Room Temperature].

Avoid temperatures above 30°C.

BAXTER Logo

Baxter and Galaxy are registered trademarks of Baxter International Inc.

Baxter Healthcare Corporation, Deerfield, IL 60015 USA

Made in USA

07-34-00-2158

BAR CODE POSTION ONLY

303389549505

Carton Label

GALAXY Container

BAXTER Logo

Baxter and Galaxy are registered trademarks of Baxter International Inc.

Baxter Healthcare Corporation, Deerfield, IL 60015 USA

Made in USA

07-04-00-1233

Clindamycin Phosphate in 0.9% Sodium Chloride Injection

600 mg per 50 mL
(12 mg / mL)

Contains 12 - 50 mL Single-Dose Containers

Store at 20°C to 25°C (68°F to 77°F)[see USP Controlled Room Temperature]. Avoid temperatures above 30°C.

Rx only

NDC 0338-9549-24

Code 2G3456

FOR BAR CODE POSITION ONLY

(01) 20303389549240

For Intravenous Infusion Only

Sterile Nonpyrogenic

Each 50 mL contains: Clindamycin phosphate, USP equivalent to 600 mg clindamycin,

450 mg sodium chloride, USP, 2 mg edetate disodium dihydrate, USP, and Water for Injection, USP.

pH may have been adjusted with sodium hydroxide and/or hydrochloric acid.

Dosage: See prescribing information.

Cautions: Do not add supplementary medication. Must not be used in series connections.

Check for minute leaks and solution clarity.

Container Label

NDC 0338-9553-50

Clindamycin Phosphate in 0.9% Sodium Chloride Injection

900 mg per 50 mL (18 mg / mL)

50 mL Single-Dose GALAXY Container

Code 2G3457

Discard unused portion

Sterile Nonpyrogenic

For Intravenous Infusion Only

Cautions: Do not add supplementary medication. Must not be used in

series connections. Check for minute leaks and solution clarity.

Each 50 mL contains: Clindamycin phosphate, USP equivalent to

900 mg clindamycin, 450 mg sodium chloride, USP, 2 mg edetate

disodium dihydrate, USP, and Water for Injection, USP. pH may have

been adjusted with sodium hydroxide and/or hydrochloric acid.

Dosage: See prescribing information.

Rx only

Store at 20° to 25°C (68° to 77°F) [see USP Controlled Room Temperature].

Avoid temperatures above 30°C.

BAXTER Logo

Baxter and Galaxy are registered trademarks of Baxter International Inc.

Baxter Healthcare Corporation, Deerfield, IL 60015 USA

Made in USA

07-34-00-2159

BAR CODE POSITION ONLY

303389553502

Carton Label

GALAXY Container

BAXTER Logo

Baxter and Galaxy are registered trademarks of Baxter International Inc.

Baxter Healthcare Corporation, Deerfield, IL 60015 USA

Made in USA

07-04-00-1234

Clindamycin Phosphate in 0.9% Sodium Chloride Injection

900 mg per 50 mL
(18 mg / mL)

Contains 12 - 50 mL Single-Dose Containers

Store at 20°C to 25°C (68°F to 77°F)[see USP Controlled Room Temperature]. Avoid temperatures above 30°C.

Rx only

NDC 0338-9553-24

Code 2G3457

FOR BAR CODE POSITION ONLY

(01) 20303389553247

For Intravenous Infusion Only

Sterile Nonpyrogenic

Each 50 mL contains: Clindamycin phosphate, USP equivalent to 900 mg clindamycin,

450 mg sodium chloride, USP, 2 mg edetate disodium dihydrate, USP, and Water for Injection, USP.

pH may have been adjusted with sodium hydroxide and/or hydrochloric acid.

Dosage: See prescribing information.

Caution: Do not add supplementary medication. Must not be used in series connections.

Check for minute leaks and solution clarity.

1.3 Lower Respiratory Tract Infections

Clindamycin Phosphate in Sodium Chloride Injection is indicated for the treatment of serious lower respiratory tract infections including pneumonia, empyema, and lung abscess caused by susceptible isolates of anaerobes, Streptococcus pneumoniae, other streptococci (except E. faecalis), and Staphylococcus aureus in adults and pediatric patients for whom appropriate dosing with this formulation can be achieved.

1.4 Skin and Skin Structure Infections

Clindamycin Phosphate in Sodium Chloride Injection is indicated for the treatment of serious skin and skin structure infections caused by susceptible isolates of Streptococcus pyogenes, Staphylococcus aureus, and anaerobes in adults and pediatric patients for whom appropriate dosing with this formulation can be achieved.

5.8 Overgrowth of Nonsusceptible Organisms

The use of Clindamycin Phosphate in Sodium Chloride Injection may result in overgrowth of nonsusceptible organisms-particularly yeasts. If such infections occur, appropriate measures should be taken as indicated by the clinical situation.

5.9 Development of Drug Resistant Bacteria (5.9 Development of Drug-Resistant Bacteria)

Prescribing Clindamycin Phosphate in Sodium Chloride Injection in the absence of a proven or strongly suspected bacterial infection or a prophylactic indication is unlikely to provide benefit to the patient and increases the risk of the development of drug-resistant bacteria.

5.5 Use in Patients With Gastrointestinal Disease (5.5 Use in Patients with Gastrointestinal Disease)

Clindamycin Phosphate in Sodium Chloride Injection products should be avoided in individuals with a history of gastrointestinal disease, particularly colitis.

5.7 Laboratory Tests: Monitoring to Assess Safety

During prolonged therapy periodic liver and kidney function tests and blood counts should be performed.

Clindamycin dosage modification is not necessary in patients with renal disease. In patients with moderate to severe liver disease, prolongation of clindamycin half-life has been found. However, it was postulated from studies that when given every eight hours, accumulation should rarely occur.

Therefore, dosage modification in patients with liver disease may not be necessary. However, periodic liver enzyme determinations should be made when treating patients with severe liver disease.

1.1 Infections Due to Susceptible Anaerobic Bacteria

Clindamycin Phosphate in Sodium Chloride Injection is indicated for the treatment of serious infections caused by susceptible anaerobic bacteria in adults and pediatric patients for whom appropriate dosing with this formulation can be achieved [see Indications and Usage (1.3 - 1.7)].

5.2 Anaphylactic and Severe Hypersensitivity Reactions

Anaphylactic shock and anaphylactic reactions have been reported [see Adverse Reactions (6)]. Severe hypersensitivity reactions, including severe skin reactions such as toxic epidermal necrolysis (TEN), drug reaction with eosinophilia and systemic symptoms (DRESS), and Stevens-Johnson syndrome (SJS), some with fatal outcome, have been reported [see Adverse Reactions (6)].

In case of such an anaphylactic or severe hypersensitivity reaction, discontinue treatment permanently and institute appropriate therapy.

A careful inquiry should be made concerning previous sensitivities to drugs and other allergens.

13.1 Carcinogenesis, Mutagenesis, Impairment of Fertility

Long term studies in animals have not been performed with clindamycin to evaluate carcinogenic potential. Genotoxicity tests performed included a rat micronucleus test and an Ames Salmonella reversion test. Both tests were negative.

Fertility studies in rats treated orally with up to 300 mg/kg/day (approximately 1.1 times the highest recommended adult human dose based on mg/m2) revealed no effects on fertility or mating ability.

2.1 Important Administration and Discontinuation Instructions

If a dose of Clindamycin Phosphate in Sodium Chloride Injection is required that does not equal 300 mg 600 mg or 900 mg, this product is not recommended for use and an alternative formulation of clindamycin should be considered.

Administer Clindamycin Phosphate in Sodium Chloride Injection by intravenous infusion over at least 10 minutes. Infusion rates should NOT exceed 30 mg per minute. The usual infusion rates are described in Table 1.

Table 1: Usual Infusion Rates for the Administration of Clindamycin Phosphate in Sodium Chloride Injection

Dose

Time

300 mg

10 min

600 mg

20 min

900 mg

30 min

Discontinue Clindamycin Phosphate in Sodium Chloride Injection if diarrhea occurs during therapy [see Boxed Warning].

5.4 Diarrhea in Elderly Patients With Associated Severe Illness (5.4 Diarrhea in Elderly Patients with Associated Severe Illness)

Elderly patients with associated severe illness may have a greater risk of developing adverse reactions from diarrhea. When clindamycin is indicated in these patients, they should be carefully monitored for change in bowel frequency [see Use in Specific Populations (8.5)].

Warning: Clostridioides Difficile Associated Diarrhea (cdad) and Colitis (WARNING: CLOSTRIDIOIDES DIFFICILE-ASSOCIATED DIARRHEA (CDAD) and COLITIS)

Clostridioides difficile-associated diarrhea (CDAD) has been reported with use of nearly all antibacterial agents, including Clindamycin Phosphate in Sodium Chloride Injection and may range in severity from mild diarrhea to fatal colitis. Treatment with antibacterial agents alters the normal flora of the colon leading to overgrowth of C. difficile.

Because Clindamycin Phosphate in Sodium Chloride Injection therapy has been associated with severe colitis which may end fatally, it should be reserved for serious infections where less toxic antimicrobial agents are inappropriate [see Indications and Usage (1)]. It should not be used in patients with nonbacterial infections such as most upper respiratory tract infections. C. difficile produces toxins A and B which contribute to the development of CDAD. Hypertoxin producing strains of C. difficile cause increased morbidity and mortality, as these infections can be refractory to antimicrobial therapy and may require colectomy. CDAD must be considered in all patients who present with diarrhea following antibacterial use. Careful medical history is necessary since CDAD has been reported to occur over two months after the administration of antibacterial agents.

If CDAD is suspected or confirmed, ongoing antibacterial use not directed against C. difficile may need to be discontinued. Appropriate fluid and electrolyte management, protein supplementation, antibacterial treatment of C. difficile, and surgical evaluation should be instituted as clinically indicated [see Warnings and Precautions (5.1)].

1.2 Infections Due to Susceptible Isolates of Streptococci, Pneumococci and Staphylococci

Clindamycin Phosphate in Sodium Chloride Injection is indicated for the treatment of serious infections due to susceptible isolates of streptococci, pneumococci, and staphylococci in adults and pediatric patients for whom appropriate dosing with this formulation can be achieved. Its use should be reserved for penicillin-allergic patients or other patients for whom, in the judgment of the physician, a penicillin is inappropriate. Because of the risk of antibacterial-associated pseudomembranous colitis, [see Boxed Warning], before selecting clindamycin the physician should consider the nature of the infection and the suitability of less toxic alternatives (e.g., erythromycin).

Bacteriologic studies should be performed to determine the causative organisms and their susceptibility to clindamycin.

Indicated surgical procedures should be performed in conjunction with antibacterial therapy.

2.4 Directions for Use of Clindamycin Phosphate in Sodium Chloride Injection in Galaxy Plastic Container (2.4 Directions for Use of Clindamycin Phosphate in Sodium Chloride Injection in GALAXY Plastic Container)

Parenteral drug products should be inspected visually for particulate matter and discoloration prior to administration, whenever solution and container permit.

Premixed Clindamycin Phosphate in Sodium Chloride Injection is for intravenous infusion using sterile equipment. Check for minute leaks prior to use by squeezing bag firmly. If leaks are found, discard solution as sterility may be impaired. Do NOT add supplementary medication. Parenteral drug products should be inspected visually for particulate matter and discoloration prior to administration whenever solution and container permit. Do NOT use unless solution is clear and seal is intact.

Do NOT use plastic containers in series connections. Such use could result in air embolism due to residual air being drawn from the primary container before administration of the fluid from the secondary container is complete.

Clindamycin Phosphate in Sodium Chloride Injection should not be injected intravenously undiluted as a bolus, but should be infused over at least 10 minutes.

Preparation for Administration:

  • 1.
    Suspend container from eyelet support.
  • 2.
    Remove protector from outlet port at bottom of container.
  • 3.
    Attach administration set. Refer to complete directions accompanying set.

Advanced Ingredient Data


Raw Label Data

All Sections (JSON)