etodolac

etodolac
SPL v3
SPL
SPL Set ID 449b273a-936a-4c49-b0c8-d0daa47733ae
Route
oral
Published
Effective Date 2018-12-01
Document Type 34391-3 HUMAN PRESCRIPTION DRUG LABEL

Drug Facts

Composition & Product

Active Ingredients
etodolac (400 mg)
Inactive Ingredients
hypromellose, unspecified anhydrous lactose magnesium stearate microcrystalline cellulose polyethylene glycol 8000 polydextrose povidone, unspecified titanium dioxide triacetin fd&c red no. 40 fd&c yellow no. 6 aluminum oxide

Identifiers & Packaging

Pill Appearance
Imprint: T400 Shape: round Color: pink Size: 11 mm Score: 1
Marketing Status
anda active Since 2003-03-13

Indications and Usage

Carefully consider the potential benefits and risks of etodolac extended-release tablets and other treatment options before deciding to use etodolac extended-release tablets. Use the lowest effective dose for the shortest duration consistent with individual patient treatment goals (see WARNINGS ). Etodolac extended-release tablets are indicated: • For relief of signs and symptoms of juvenile arthritis • For relief of the signs and symptoms of rheumatoid arthritis • For relief of the signs and symptoms of osteoarthritis

Dosage and Administration

Carefully consider the potential benefits and risks of etodolac extended-release tablets and other treatment options before deciding to use etodolac extended-release tablets. Use the lowest effective dose for the shortest duration consistent with individual patient treatment goals (see WARNINGS ). After observing the response to initial therapy with etodolac extended-release tablets, the dose and frequency should be adjusted to suit an individual patient's needs.

Contraindications

Etodolac extended-release tablets are contraindicated in patients with known hypersensitivity to etodolac. Etodolac extended-release tablets should not be given to patients who have experienced asthma, urticaria, or allergic-type reactions after taking aspirin or other NSAIDs. Severe, rarely fatal, anaphylactic-like reactions to NSAIDs have been reported in such patients (see WARNINGS, Anaphylactoid Reactions and PRECAUTIONS, Preexisting Asthma ). Etodolac extended-release tablets are contraindicated in the setting of coronary artery bypass graft (CABG) surgery (see WARNINGS ).

Adverse Reactions

Body as a whole - anaphylactic reactions, appetite changes, death Cardiovascular system - arrhythmia, cerebrovascular accident, hypotension, myocardial infarction Digestive system - colitis, esophagitis with or without stricture or cardiospasm, thirst, ulcerative stomatitis Hemic and lymphatic system - aplastic anemia, lymphadenopathy Metabolic and nutritional - change in weight Nervous system - coma, convulsions, hallucinations, meningitis Respiratory - bronchitis, pneumonia, respiratory depression, sinusitis Skin and appendages - alopecia, exfoliative dermatitis, maculopapular rash, photosensitivity, skin peeling, Stevens-Johnson syndrome, toxic epidermal necrosis Special senses - conjunctivitis, deafness, hearing impairment, taste perversion Urogenital system - cystitis, hematuria, interstitial nephritis, leukorrhea, renal calculus, uterine bleeding irregularities

How Supplied

Etodolac extended-release tablets are available as: 400 mg tablets (pink, round, bi-convex, film coated tablet engraved with "T400" on one side and plain on the other side). 1. in bottles of 20, NDC 63187-793-20 2. in bottles of 30, NDC 63187-793-30 3. in bottles of 60, NDC 63187-793-60 4. in bottles of 90, NDC 63187-793-90

Description

Rx only


Medication Information

Indications and Usage

Carefully consider the potential benefits and risks of etodolac extended-release tablets and other treatment options before deciding to use etodolac extended-release tablets. Use the lowest effective dose for the shortest duration consistent with individual patient treatment goals (see WARNINGS ).

Etodolac extended-release tablets are indicated:

  • For relief of signs and symptoms of juvenile arthritis
  • For relief of the signs and symptoms of rheumatoid arthritis
  • For relief of the signs and symptoms of osteoarthritis
Dosage and Administration

Carefully consider the potential benefits and risks of etodolac extended-release tablets and other treatment options before deciding to use etodolac extended-release tablets. Use the lowest effective dose for the shortest duration consistent with individual patient treatment goals (see WARNINGS ).

After observing the response to initial therapy with etodolac extended-release tablets, the dose and frequency should be adjusted to suit an individual patient's needs.

Contraindications

Etodolac extended-release tablets are contraindicated in patients with known hypersensitivity to etodolac.

Etodolac extended-release tablets should not be given to patients who have experienced asthma, urticaria, or allergic-type reactions after taking aspirin or other NSAIDs. Severe, rarely fatal, anaphylactic-like reactions to NSAIDs have been reported in such patients (see WARNINGS, Anaphylactoid Reactions and PRECAUTIONS, Preexisting Asthma ). Etodolac extended-release tablets are contraindicated in the setting of coronary artery bypass graft (CABG) surgery (see WARNINGS ).

Adverse Reactions

A total of 1552 patients were exposed to etodolac extended-release tablets in controlled clinical studies of at least 4 weeks in length and using daily doses in the range of 400 to 1200 mg. In the tabulations below, adverse event rates are generally categorized based on the incidence of events in the first 30 days of treatment with etodolac extended-release tablets. As with other NSAIDs, the cumulative adverse event rates may increase significantly over time with extended therapy.

In patients taking NSAIDs, including etodolac extended-release tablets, the most frequently reported adverse experiences occurring in approximately 1 to 10% of patients are: gastrointestinal experiences including:

abdominal pain

constipation

diarrhea

dyspepsia

flatulence

GI ulcers (gastric/duodenal)

Adverse events that were observed in < 1% of patients in the first 30 days of treatment with etodolac extended-release tablets in clinical trials.

gross bleeding/perforation

nausea

vomiting

other events including:

abnormal renal function

anemia

asthenia

dizziness

edema

elevated liver enzymes

headaches

hypertension

increased bleeding time

infection

pharyngitis

pruritus

rashes

rhinitis

tinnitus

How Supplied

Etodolac extended-release tablets are available as:

400 mg tablets (pink, round, bi-convex, film coated tablet engraved with "T400" on one side and plain on the other side).

  • 1.
    in bottles of 20, NDC 63187-793-20
  • 2.
    in bottles of 30, NDC 63187-793-30
  • 3.
    in bottles of 60, NDC 63187-793-60
  • 4.
    in bottles of 90, NDC 63187-793-90
Description

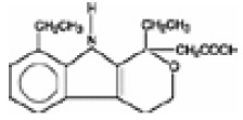
Etodolac Extended-Release Tablets contain etodolac, which is a member of the pyranocarboxylic acid group of nonsteroidal anti-inflammatory drugs (NSAIDs). Each tablet contains etodolac for oral administration. Etodolac is a racemic mixture of [+]S and [-]R-enantiomers. It is a white crystalline compound, insoluble in water, but soluble in alcohols, chloroform, dimethyl sulfoxide, and aqueous polyethylene glycol.

The chemical name is (±) 1,8-diethyl-1,3,4,9-tetrahydropyrano-[3,4-b]indole-1-acetic acid. The molecular weight is 287.37. Its molecular formula is C17H21NO3 and it has the following structural formula:

The inactive ingredients in etodolac extended-release tablets include: HPMC 2910, hydroxypropyl methylcellulose, lactose anhydrous, magnesium stearate, microcrystalline cellulose, PEG 8000, polydextrose FCC, povidone, titanium dioxide and triacetin. In addition, the 500 mg and 600 mg tablets contain Indigo Carmine Lake and the 400 mg and 600 mg tablets contain Allura Red AC Lake and Sunset Yellow F.C.F. Lake. In addition, the 500 mg tablets contain yellow iron oxide.

Meets USP Dissolution Test 4.

Race

Pharmacokinetic differences due to race have not been identified. Clinical studies included patients of many races, all of whom responded in a similar fashion.

Section 42229-5

Rx only

Section 44425-7

Store at 20° to 25°C (68° to 77°F) [See USP Controlled Room Temperature].

Protect from excessive heat and humidity.

Dispense in a tight, light-resistant container as defined in the USP, with a child-resistant closure (as required).

Aspirin

When etodolac extended-release tablets are administered with aspirin, its protein binding is reduced, although the clearance of free etodolac is not altered. The clinical significance of this interaction is not known; however, as with other NSAIDs, concomitant administration of etodolac extended-release tablets and aspirin is not generally recommended because of the potential of increased adverse effects.

General

Etodolac extended-release tablets cannot be expected to substitute for corticosteroids or to treat corticosteroid insufficiency. Abrupt discontinuation of corticosteroids may lead to disease exacerbation. Patients on prolonged corticosteroid therapy should have their therapy tapered slowly if a decision is made to discontinue corticosteroids.

The pharmacological activity of etodolac extended-release tablets in reducing fever and inflammation may diminish the utility of these diagnostic signs in detecting complications of presumed noninfectious, painful conditions.

Lithium

NSAIDs have produced an elevation of plasma lithium levels and a reduction in renal lithium clearance. The mean minimum lithium concentration increased 15% and the renal clearance was decreased by approximately 20%. These effects have been attributed to inhibition of renal prostaglandin synthesis by the NSAID. Thus, when NSAIDs and lithium are administered concurrently, subjects should be observed carefully for signs of lithium toxicity.

Warfarin

The effects of warfarin and NSAIDs on GI bleeding are synergistic, such that users of both drugs together have a risk of serious GI bleeding higher than users of either drug alone.

Arthritis

The use of etodolac extended-release tablets in managing the signs and symptoms of osteoarthritis of the knee and rheumatoid arthritis was assessed in double-blind, randomized, parallel, controlled clinical trials in 1552 patients. In these trials, etodolac extended-release tablets, given once daily, provided efficacy comparable to immediate-release etodolac.

The safety, efficacy, and pharmacokinetics of etodolac extended-release tablets were assessed in an open-label, 12-week clinical trial. Seventy-two (72) patients, 6 to 16 years of age, with juvenile rheumatoid arthritis, received etodolac extended-release tablets in doses of 400 to 1000 mg (13.3 to 21.3 mg/kg body weight) once daily. At these doses, etodolac extended-release tablets controlled the signs and symptoms of juvenile rheumatoid arthritis. Based on the results of this study, the safety profile of etodolac extended-release tablets (at doses not exceeding 20 mg/kg) appeared to be similar to that observed in the adult arthritic patients in clinical trials. (See PRECAUTIONS, Pediatric Use ).

Excretion

The mean oral clearance of etodolac following oral etodolac extended-release tablets dosing is 47 (±17) mL/h/kg. The terminal half-life (t½) of etodolac after etodolac extended-release tablets administration is 8.4 hours compared to 6.4 hours for etodolac tablets. Approximately 1% of an etodolac tablet dose is excreted unchanged in the urine, with 72% of the dose excreted into the urine as parent drug plus metabolites:

-etodolac, unchanged

1%

-etodolac glucuronide

13%

-hydroxylated metabolites (6-, 7-, and 8-OH)

5%

-hydroxylated metabolite glucuronides

20%

-unidentified metabolites

33%

Fecal excretion accounted for 16% of the dose.

Geriatric

In clinical studies, age was not shown to have any effect on half-life or protein binding, and demonstrated no change in expected drug accumulation. No dosage adjustment is generally necessary in the elderly on the basis of pharmacokinetics. The elderly may need dosage adjustment, however, as they may be more sensitive to antiprostaglandin effects than younger patients (see PRECAUTIONS, Geriatric Use ).

Pediatric

The pharmacokinetics of etodolac extended-release tablets were assessed in an open-label, 12-week clinical trial which included plasma sampling for population pharmacokinetics. Seventy-two (72) patients, 6 to 16 years of age, with juvenile rheumatoid arthritis, received etodolac extended-release tablets in doses of 13.3 to 21.3 mg/kg given as 400 to 1000 mg once daily. The results from a population pharmacokinetic analysis based on the 59 subjects who completed the trial are as follows:

Table 3. Pharmacokinetic Parameter Estimates for Etodolac Extended-Release Tablets in Patients with Juvenile Rheumatoid Arthritis
Parameter JRA
Mean (CV) of parameter estimates predicted from population pharmacokinetics
(Age: 6 to 16)
Age range (years)


n = 59

Oral Clearance (CL/F), mL/h/kg

47.8 (38%)

Apparent Volume of Distribution (Vd/F), mL/kg

78.9 (61%)

Half-life (t½), h

12.1 (75%)

While similar, the pharmacokinetic parameters for children with juvenile rheumatoid arthritis did not directly correlate with adult pharmacokinetic data in rheumatoid arthritis. In the population pharmacokinetic analysis, body weights below 50 kg were found to correlate with CL/F (see DOSAGE AND ADMINISTRATION ).

Pregnancy

In late pregnancy, as with other NSAIDs, etodolac extended-release tablets should be avoided because it may cause premature closure of the ductus arteriosus.

Absorption

Etodolac extended-release tablets and etodolac tablets both contain etodolac, but differ in their release characteristics. The systemic availability of etodolac from etodolac extended-release tablets is generally greater than 80%. Etodolac does not undergo significant first-pass metabolism following oral administration. After oral administration of etodolac extended-release tablets in doses up to 800 mg once daily, peak concentrations occur approximately 6 hours after dosing and are dose proportional for both total and free etodolac.

Table 1 shows the comparison of etodolac pharmacokinetic parameters after the administration of etodolac tablets and etodolac extended-release tablets.

Table 2 shows the etodolac pharmacokinetic parameters in various populations. The data from patients with renal and hepatic impairment were obtained following administration of (immediate-release) etodolac tablets.

Table 1.
Mean (CV)%
% Coefficient of variation
Pharmacokinetic Parameters Etodolac Tablets Etodolac Extended-Release Tablets

Extent of Oral Absorption (Bioavailability) [F]

≥ 80%

≥ 80%

Time to Peak Concentration (Tmax), h

1.4 (61%)

6.7 (47%)

Oral Clearance (CL/F), mL/h/kg

49.1 (33%)

46.8 (37%)

Apparent Volume of Distribution (Vd/F), mL/kg

393 (29%)

566 (26%)

Terminal Half-Life (t½), h

6.4 (22%)

8.4 (30%)

Table 2. Mean (CV%)
% Coefficient
Pharmacokinetic Parameters of Etodolac in Normal Healthy Adults and Various Special Populations
Etodolac Extended-Release Tablets Etodolac Tablets
PK Parameters Normal Healthy Adults (18 to 44)
Age range (years)


(n=116)
Healthy Males (18 to 43)

(n=102)
Healthy Females (25 to 44)

(n=14)
Elderly (>65 yr) (66 to 88)

(n=24)
Hemodialysis
Pharmacokinetic parameters obtained following administration of etodolac tablets
(24 to 65)

(n=9)
Renal Impairment
(46 to 73)

(n=10)
Hepatic Impairment
(34 to 60)

(n=9)
Dialysis On Dialysis Off
NA = not available

Tmax, h

6.7

(47%)

6.8

(45%)

4.5

(56%)

6.2

(51%)

1.7

(88%)

0.9

(67%)

2.1

(46%)

1.1

(15%)

Oral Clearance, mL/h/kg (CL/F)

46.8

(37%)

46.8

(37%)

47.2

(38%)

51.6

(40%)

NA

NA

58.3

(19%)

42.0

(43%)

Apparent Volume of Distribution, mL/kg (Vd/F)

566

(26%)

580

(26%)

459

(28%)

552

(34%)

NA

NA

NA

NA

Terminal Half-Life, h

8.4

(30%)

8.4

(29%)

7.6

(45%)

7.8

(26%)

5.1

(22%)

7.5

(34%)

NA

5.7

(24%)

Furosemide

Clinical studies, as well as post marketing observations, have shown that etodolac extended-release tablets can reduce the natriuretic effect of furosemide and thiazides in some patients. This response has been attributed to inhibition of renal prostaglandin synthesis. During concomitant therapy with NSAIDs, the patient should be observed closely for signs of renal failure (see WARNINGS, Renal Effects ), as well as to assure diuretic efficacy.

Metabolism

Etodolac metabolites do not contribute significantly to the pharmacological activity of etodolac extended-release tablets.

Following administration of immediate-release etodolac, several metabolites have been identified in human plasma and urine. Other metabolites remain to be identified. The metabolites include 6-, 7-, and 8- hydroxylated etodolac and etodolac glucuronide. After a single dose of 14C-etodolac, hydroxylated metabolites accounted for less than 10% of total drug in serum. On chronic dosing, hydroxylated-etodolac metabolites do not accumulate in the plasma of patients with normal renal function. The extent of accumulation of hydroxylated-etodolac metabolites in patients with renal dysfunction has not been studied. The role, if any, of a specific cytochrome P450 system in the metabolism of etodolac is unknown. The hydroxylated-etodolac metabolites undergo further glucuronidation followed by renal excretion and partial elimination in the feces.

Overdosage

Symptoms following acute NSAID overdose are usually limited to lethargy, drowsiness, nausea, vomiting, and epigastric pain, which are generally reversible with supportive care. Gastrointestinal bleeding can occur. Hypertension, acute renal failure, respiratory depression and coma may occur, but are rare. Anaphylactoid reactions have been reported with therapeutic ingestion of NSAIDs, and may occur following an overdose.

Patients should be managed by symptomatic and supportive care following an NSAID overdose. There are no specific antidotes. Emesis and/or activated charcoal (60 to 100 g in adults, 1 to 2 g/kg in children) and/or osmotic cathartic may be indicated in patients seen within 4 hours of ingestion with symptoms or following a large overdose (5 to 10 times the usual dose). Forced diuresis, alkalinization of the urine, hemodialysis, or hemoperfusion may not be useful due to high protein binding.

Distribution

The mean apparent volume of distribution (Vd/F) of etodolac following administration of etodolac extended-release tablets is 566 mL/kg. Etodolac is more than 99% bound to plasma proteins, primarily to albumin, and is independent of etodolac concentration over the dose range studied. It is not known whether etodolac is excreted in human milk. However, based on its physical-chemical properties, excretion into breast milk is expected.

Hypertension

NSAIDs, including etodolac extended-release tablets, can lead to onset of new hypertension or worsening of preexisting hypertension, either of which may contribute to the increased incidence of CV events. Patients taking thiazides or loop diuretics may have impaired response to these therapies when taking NSAIDs. NSAIDs, including etodolac extended-release tablets, should be used with caution in patients with hypertension. Blood pressure (BP) should be monitored closely during the initiation of NSAID treatment and throughout the course of therapy.

Methotrexate

NSAIDs have been reported to competitively inhibit methotrexate accumulation in rabbit kidney slices.

This may indicate that they could enhance the toxicity of methotrexate. Caution should be used when NSAIDs are administered concomitantly with methotrexate.

Geriatric Use

As with any NSAIDs, caution should be exercised in treating the elderly (65 years and older).

Pediatric Use

Safety and effectiveness in pediatric patients below the age of 6 have not been established.

Renal Effects

Long-term administration of NSAIDs has resulted in renal papillary necrosis and other renal injury. Renal toxicity has also been seen in patients in whom renal prostaglandins have a compensatory role in the maintenance of renal perfusion. In these patients, administration of a nonsteroidal anti-inflammatory drug may cause a dose-dependent reduction in prostaglandin formation and, secondarily, in renal blood flow, which may precipitate overt renal decompensation. Patients at greatest risk of this reaction are those with impaired renal function, heart failure, liver dysfunction, those taking diuretics and ACE inhibitors, and the elderly. Discontinuation of NSAID therapy is usually followed by recovery to the pretreatment state.

Ace Inhibitors

Reports suggest that NSAIDs may diminish the antihypertensive effect of ACE-inhibitors. This interaction should be given consideration in patients taking NSAIDs concomitantly with ACE-inhibitors.

Phenylbutazone

Phenylbutazone causes an increase (by about 80%) in the free fraction of etodolac. Although in vivo studies have not been done to see if etodolac clearance is changed by coadministration of phenylbutazone, it is not recommended that they be coadministered.

Skin Reactions

NSAIDs, including etodolac extended-release tablets, can cause serious skin adverse events such as exfoliative dermatitis, Stevens-Johnson Syndrome (SJS), and toxic epidermal necrolysis (TEN), which can be fatal. These serious events may occur without warning. Patients should be informed about the signs and symptoms of serious skin manifestations and use of the drug should be discontinued at the first appearance of skin rash or any other sign of hypersensitivity.

Hepatic Effects

Borderline elevations of one or more liver tests may occur in up to 15% of patients taking NSAIDs including etodolac extended-release tablets. These laboratory abnormalities may progress, may remain unchanged, or may be transient with continuing therapy. Notable elevations of ALT or AST (approximately three or more times the upper limit of normal) have been reported in approximately 1% of patients in clinical trials with NSAIDs. In addition, rare cases of severe hepatic reactions, including jaundice and fatal fulminant hepatitis, liver necrosis and hepatic failure, some of them with fatal outcomes have been reported.

A patient with symptoms and/or signs suggesting liver dysfunction, or in whom an abnormal liver test has occurred, should be evaluated for evidence of the development of a more severe hepatic reaction while on therapy with etodolac extended-release tablets. If clinical signs and symptoms consistent with liver disease develop, or if systemic manifestations occur (e.g., eosinophilia, rash, etc.), etodolac extended-release tablets should be discontinued.

Nursing Mothers

It is not known whether this drug is excreted in human milk. Because many drugs are excreted in human milk and because of the potential for serious adverse reactions in nursing infants from etodolac extended-release tablets, a decision should be made whether to discontinue nursing or to discontinue the drug, taking into account the importance of the drug to the mother.

Laboratory Tests

Because serious GI tract ulcerations and bleeding can occur without warning symptoms, physicians should monitor for signs or symptoms of GI bleeding. Patients on long-term treatment with NSAIDs, should have their CBC and a chemistry profile checked periodically. If clinical signs and symptoms consistent with liver or renal disease develop, systemic manifestations occur (e.g., eosinophilia, rash, etc.) or if abnormal liver tests persist or worsen, etodolac extended-release tablets should be discontinued.

Pharmacodynamics

Etodolac extended-release tablets are a nonsteroidal anti-inflammatory drug (NSAID) that exhibits anti-inflammatory, analgesic, and antipyretic activities in animal models. The mechanism of action of etodolac extended-release tablets, like that of other NSAIDs, is not completely understood, but may be related to prostaglandin synthetase inhibition.

Post Mi Patients

Observational studies conducted in the Danish National Registry have demonstrated that patients treated with NSAIDs in the post-MI period were at increased risk of reinfarction, CV-related death, and all-cause mortality beginning in the first week of treatment. In this same cohort, the incidence of death in the first year post MI was 20 per 100 person years in NSAID-treated patients compared to 12 per 100 person years in non-NSAID exposed patients. Although the absolute rate of death declined somewhat after the first year post-MI, the increased relative risk of death in NSAID users persisted over at least the next four years of follow-up.

Avoid the use of etodolac extended-release tablets in patients with a recent MI unless the benefits are expected to outweigh the risk of recurrent CV thrombotic events. If etodolac extended-release tablets are used in patients with a recent MI, monitor patients for signs of cardiac ischemia.

Labor and Delivery

In rat studies with NSAIDs, as with other drugs known to inhibit prostaglandin synthesis, an increased incidence of dystocia, delayed parturition, and decreased pup survival occurred. The effects of etodolac extended-release tablets on labor and delivery in pregnant women are unknown.

Preexisting Asthma

Patients with asthma may have aspirin-sensitive asthma. The use of aspirin in patients with aspirin-sensitive asthma has been associated with severe bronchospasm which can be fatal. Since cross reactivity, including bronchospasm, between aspirin and other nonsteroidal anti-inflammatory drugs has been reported in such aspirin-sensitive patients, etodolac extended-release tablets should not be administered to patients with this form of aspirin sensitivity and should be used with caution in patients with preexisting asthma.

Renal Insufficiency

The pharmacokinetics of etodolac following administration of etodolac extended-release tablets have not been investigated in subjects with renal insufficiency. Etodolac renal clearance following administration of etodolac tablets was unchanged in the presence of mild-to-moderate renal failure (creatinine clearance, 37 to 88 mL/min). Although renal elimination is a significant pathway of excretion for etodolac metabolites, no dosing adjustment in patients with mild-to-moderate renal dysfunction is generally necessary. Etodolac plasma protein binding decreases in patients with severe renal deficiency. Etodolac should be used with caution in such patients because, as with other NSAIDs, it may further decrease renal function in some patients. Etodolac is not significantly removed from the blood in patients undergoing hemodialysis.

Food/antacid Effects

Food has no significant effect on the extent of etodolac extended-release tablets absorption, however, food significantly increased Cmax (54%) following a 600 mg dose.

The extent of absorption of etodolac is not affected when etodolac is administered with antacid. Coadministration, with an antacid, decreases the peak concentration reached by about 15 to 20% with no measurable effect on time-to-peak.

Pregnancy Category C

Reproductive studies conducted in rats and rabbits have not demonstrated evidence of developmental abnormalities. However, animal reproduction studies are not always predictive of human response. There are no adequate and well-controlled studies in pregnant women.

Gastrointestinal Risk
  • NSAIDs cause an increased risk of serious gastrointestinal adverse events including bleeding, ulceration, and perforation of the stomach or intestines, which can be fatal. These events can occur at any time during use and without warning symptoms. Elderly patients are at greater risk for serious gastrointestinal events. (See WARNINGS ).
Hematological Effects

Anemia is sometimes seen in patients receiving NSAIDs, including etodolac extended-release tablets. This may be due to fluid retention, occult or gross GI blood loss, or an incompletely described effect upon erythropoiesis. Patients on long-term treatment with NSAIDs, including etodolac extended-release tablets, should have their hemoglobin or hematocrit checked if they exhibit any signs or symptoms of anemia.

NSAIDs inhibit platelet aggregation and have been shown to prolong bleeding time in some patients.

Unlike aspirin, their effect on platelet function is quantitatively less, of shorter duration, and reversible.

Patients receiving etodolac extended-release tablets who may be adversely affected by alterations in platelet function, such as those with coagulation disorders or patients receiving anticoagulants, should be carefully monitored.

Hepatic Insufficiency

The pharmacokinetics of etodolac following administration of etodolac extended-release tablets have not been investigated in subjects with hepatic insufficiency. Following administration of etodolac tablets, the plasma protein binding and disposition of total and free etodolac were unchanged in the presence of compensated hepatic cirrhosis. Although no dosage adjustment is generally required in patients with chronic hepatic diseases, etodolac clearance is dependent on liver function and could be reduced in patients with severe hepatic failure.

Advanced Renal Disease

No information is available from controlled clinical studies regarding the use of etodolac extended-release tablets in patients with advanced renal disease. Therefore, treatment with etodolac extended-release tablets is not recommended in these patients with advanced renal disease. If etodolac extended-release tablet therapy must be initiated, close monitoring of the patient's renal function is advisable.

Nonteratogenic Effects

Because of the known effects of nonsteroidal anti-inflammatory drugs on the fetal cardiovascular system (closure of ductus arteriosus), use during pregnancy (particularly late pregnancy) should be avoided.

Anaphylactoid Reactions

As with other NSAIDs, anaphylactoid reactions may occur in patients without known prior exposure to etodolac extended-release tablets. Etodolac extended-release tablets should not be given to patients with the aspirin triad. This symptom complex typically occurs in asthmatic patients who experience rhinitis with or without nasal polyps, or who exhibit severe, potentially fatal bronchospasm after taking aspirin or other NSAIDs (see CONTRAINDICATIONS and PRECAUTIONS, Preexisting Asthma ). Emergency help should be sought in cases where an anaphylactoid reaction occurs.

Heart Failure and Edema

The Coxib and traditional NSAID Trialists' Collaboration meta-analysis of randomized controlled trials demonstrated an approximately two-fold increase in hospitalizations for heart failure in COX-2 selective-treated patients and nonselective NSAID-treated patients compared to placebo-treated patients. In a Danish National Registry study of patients with heart failure, NSAID use increased the risk of MI, hospitalization for heart failure, and death.

Additionally, fluid retention and edema have been observed in some patients treated with NSAIDs. Use of etodolac may blunt the CV effects of several therapeutic agents used to treat these medical conditions [e.g., diuretics, ACE inhibitors, or angiotensin receptor blockers (ARBs)] (see Drug Interactions ).

Avoid the use of etodolac extended-release tablets in patients with severe heart failure unless the benefits are expected to outweigh the risk of worsening heart failure. If etodolac extended-release tablets are used in patients with severe heart failure, monitor patients for signs of worsening heart failure.

Cyclosporine and Digoxin

Etodolac extended-release tablets, like other NSAIDs, through effects on renal prostaglandins, may cause changes in the elimination of these drugs, leading to elevated serum levels of cyclosporine and digoxin and increased toxicity. Nephrotoxicity associated with cyclosporine may also be enhanced. Patients receiving these drugs who are given etodolac extended-release tablets, or any other NSAID, and particularly those patients with altered renal function, should be observed for the development of the specific toxicities of these drugs.

Information for Patients

Patients should be informed of the following information before initiating therapy with an NSAID and periodically during the course of ongoing therapy. Patients should also be encouraged to read the NSAID Medication Guide that accompanies each prescription dispensed.

  • 1.
    Cardiovascular Thrombotic Events

    Advise patients to be alert for the symptoms of cardiovascular thrombotic events, including chest pain, shortness of breath, weakness, or slurring of speech, and to report any of these symptoms to their health care provider immediately (see WARNINGS ).
  • 2.
    Etodolac extended-release tablets, like other NSAIDs, can cause GI discomfort and, rarely, serious GI side effects, such as ulcers and bleeding, which may result in hospitalization and even death. Although serious GI tract ulcerations and bleeding can occur without warning symptoms, patients should be alert for the signs and symptoms of ulcerations and bleeding, and should ask for medical advice when observing any indicative sign or symptoms including epigastric pain, dyspepsia, melena, and hematemesis. Patients should be apprised of the importance of this follow-up (see WARNINGS, Gastrointestinal Effects - Risk of Ulceration, Bleeding, and Perforation ).
  • 3.
    Etodolac extended-release tablets, like other NSAIDs, can cause serious skin side effects such as exfoliative dermatitis, SJS, and TEN, which may result in hospitalizations and even death. Although serious skin reactions may occur without warning, patients should be alert for the signs and symptoms of skin rash and blisters, fever, or other signs of hypersensitivity such as itching, and should ask for medical advice when observing any indicative signs or symptoms. Patients should be advised to stop the drug immediately if they develop any type of rash and contact their physicians as soon as possible.
  • 4.
    Heart Failure and Edema

    Advise patients to be alert for the symptoms of congestive heart failure including shortness of breath, unexplained weight gain, or edema and to contact their healthcare provider if such symptoms occur (see WARNINGS ).
  • 5.
    Patients should be informed of the warning signs and symptoms of hepatotoxicity (e.g., nausea, fatigue, lethargy, pruritus, jaundice, right upper quadrant tenderness, and "flu-like" symptoms). If these occur, patients should be instructed to stop therapy and seek immediate medical therapy.
  • 6.
    Patients should be informed of the signs of an anaphylactoid reaction (e.g., difficulty breathing, swelling of the face or throat). If these occur, patients should be instructed to seek immediate emergency help (see WARNINGS ).
  • 7.
    In late pregnancy, as with other NSAIDs, etodolac extended-release tablets should be avoided because it will cause premature closure of the ductus arteriosus.
Juvenile Rheumatoid Arthritis

For the relief of the signs and symptoms of juvenile rheumatoid arthritis in patients 6 to 16 years of age, the recommended dose given orally once per day should be based on body weight, according to the following table:

Table 4.
Body Weight Range (kg) Dose

20 to 30

400 mg Tablet × 1

31 to 45

600 mg Tablet × 1

46 to 60

400 mg Tablet × 2

>60

500 mg Tablet × 2

Cardiovascular Thrombotic Events
  • Nonsteroidal anti-inflammatory drugs (NSAIDs) cause an increased risk of serious cardiovascular thrombotic events, including myocardial infarction and stroke, which can be fatal. This risk may occur early in treatment and may increase with duration of use (see WARNINGS and PRECAUTIONS ).
  • Etodolac Extended-Release Tablets, 400 mg, 500 mg and 600 mg are contraindicated in the setting of coronary artery bypass graft (CABG) surgery (see CONTRAINDICATIONS and WARNINGS ).
Drug/laboratory Test Interactions

The urine of patients who take etodolac can give a false-positive reaction for urinary bilirubin (urobilin) due to the presence of phenolic metabolites of etodolac. Diagnostic dip-stick methodology, used to detect ketone bodies in urine, has resulted in false-positive findings in some patients treated with etodolac. Generally, this phenomenon has not been associated with other clinically significant events. No dose relationship has been observed. Etodolac treatment is associated with a small decrease in serum uric acid levels. In clinical trials, mean decreases of 1 to 2 mg/dL were observed in arthritic patients receiving etodolac (600 mg to 1000 mg/day) after 4 weeks of therapy. These levels then remained stable for up to 1 year of therapy.

Rheumatoid Arthritis and Osteoarthritis

For the relief of the signs and symptoms of osteoarthritis or rheumatoid arthritis, the recommended starting dose of etodolac extended-release tablets is 400 to 1000 mg given orally once per day.

As with other NSAIDs, the lowest effective dose should be sought for each patient. In chronic conditions, a therapeutic response to therapy with etodolac extended-release tablets is sometimes seen within one week of therapy, but most often is observed by two weeks.

Principal Display Panel 400 Mg Bottle Label

NDC 51672-4051-4

60 Tablets

Etodolac

Extended-Release

Tablets

400 mg

Pharmacist: Please dispense with

accompanying Medication Guide.

Rx only

Other Nsaid Adverse Reactions, Which Occur Rarely Are

Body as a whole - anaphylactic reactions, appetite changes, death

Cardiovascular system - arrhythmia, cerebrovascular accident, hypotension, myocardial infarction

Digestive system - colitis, esophagitis with or without stricture or cardiospasm, thirst, ulcerative stomatitis

Hemic and lymphatic system - aplastic anemia, lymphadenopathy

Metabolic and nutritional - change in weight

Nervous system - coma, convulsions, hallucinations, meningitis

Respiratory - bronchitis, pneumonia, respiratory depression, sinusitis

Skin and appendages - alopecia, exfoliative dermatitis, maculopapular rash, photosensitivity, skin peeling, Stevens-Johnson syndrome, toxic epidermal necrosis

Special senses - conjunctivitis, deafness, hearing impairment, taste perversion

Urogenital system - cystitis, hematuria, interstitial nephritis, leukorrhea, renal calculus, uterine bleeding irregularities

Status Post Coronary Artery Bypass Graft (cabg) Surgery

Two large, controlled clinical trials of a COX-2 selective NSAID for the treatment of pain in the first 10 to 14 days following CABG surgery found an increased incidence of myocardial infarction and stroke. NSAIDs are contraindicated in the setting of CABG (see CONTRAINDICATIONS ).

Carcinogenesis, Mutagenesis, and Impairment of Fertility

No carcinogenic effect of etodolac was observed in mice or rats receiving oral doses of 15 mg/kg/day (45 to 89 mg/m2, respectively) or less for periods of 18 months or 2 years, respectively. Etodolac was not mutagenic in in vitro tests performed with S. typhimurium and mouse lymphoma cells as well as in an in vivo mouse micronucleus test. However, data from the in vitro human peripheral lymphocyte test showed an increase in the number of gaps (3% to 5% unstained regions in the chromatid without dislocation) among the etodolac-treated cultures (50 to 200 g/mL) compared to negative controls (2%); no other difference was noted between the controls and drug-treated groups. Etodolac showed no impairment of fertility in male and female rats up to oral doses of 16 mg/kg (94 mg/m2). However, reduced implantation of fertilized eggs occurred in the 8 mg/kg group.

Medication Guide for Nonsteroidal Anti Inflammatory Drugs (nsaids)

What is the most important information I should know about medicines called Nonsteroidal Anti-inflammatory Drugs (NSAIDs)?

NSAIDs can cause serious side effects, including:

  • Increased risk of a heart attack or stroke that can lead to death. This risk may happen early in treatment and may increase: Do not take NSAIDs right before or after a heart surgery called a "coronary artery bypass graft (CABG)."

    Avoid taking NSAIDs after a recent heart attack, unless your healthcare provider tells you to. You may have an increased risk of another heart attack if you take NSAIDs after a recent heart attack.
    • with increasing doses of NSAIDs
    • with longer use of NSAIDs
  • Increased risk of bleeding, ulcers, and tears (perforation) of the esophagus (tube leading from the mouth to the stomach), stomach and intestines:The risk of getting an ulcer or bleeding increases with:
    • anytime during use
    • without warning symptoms
    • that may cause death
  • past history of stomach ulcers, or stomach or intestinal bleeding with use of NSAIDs
  • taking medicines called "corticosteroids", "anticoagulants", "SSRIs", or "SNRIs"
  • increasing doses of NSAIDs
  • longer use of NSAIDs
  • smoking
  • drinking alcohol
  • older age
  • poor health
  • advanced liver disease
  • bleeding problems

NSAIDs should only be used:

  •  
    • exactly as prescribed
    • at the lowest dose possible for your treatment
    • for the shortest time needed

What are NSAIDs?

NSAIDs are used to treat pain and redness, swelling, and heat (inflammation) from medical conditions such as different types of arthritis, menstrual cramps, and other types of short-term pain.

Who should not take NSAIDs?

Do not take NSAIDs:

  • if you have had an asthma attack, hives, or other allergic reaction with aspirin or any other NSAIDs.
  • right before or after heart bypass surgery.

Before taking NSAIDs, tell your healthcare provider about all of your medical conditions, including if you:

  • have liver or kidney problems
  • have high blood pressure
  • have asthma
  • are pregnant or plan to become pregnant. Talk to your healthcare provider if you are considering taking NSAIDs during pregnancy. You should not take NSAIDs after 29 weeks of pregnancy.
  • are breastfeeding or plan to breast feed.

Tell your healthcare provider about all of the medicines you take, including prescription or over-the-counter medicines, vitamins or herbal supplements. NSAIDs and some other medicines can interact with each other and cause serious side effects. Do not start taking any new medicine without talking to your healthcare provider first.

What are the possible side effects of NSAIDs?

NSAIDs can cause serious side effects, including:

See "What is the most important information I should know about medicines called Nonsteroidal Anti-inflammatory Drugs (NSAIDs)?

  • new or worse high blood pressure
  • heart failure
  • liver problems including liver failure
  • kidney problems including kidney failure
  • low red blood cells (anemia)
  • life-threatening skin reactions
  • life-threatening allergic reactions
  • Other side effects of NSAIDs include: stomach pain, constipation, diarrhea, gas, heartburn, nausea, vomiting, and dizziness.

Get emergency help right away if you get any of the following symptoms:

  • shortness of breath or trouble breathing
  • chest pain
  • weakness in one part or side of your body
  • slurred speech
  • swelling of the face or throat

Stop taking your NSAID and call your healthcare provider right away if you get any of the following symptoms:

  • nausea
  • more tired or weaker than usual
  • diarrhea
  • itching
  • your skin or eyes look yellow
  • indigestion or stomach pain
  • flu-like symptoms
  • vomit blood
  • there is blood in your bowel movement or it is black and sticky like tar
  • unusual weight gain
  • skin rash or blisters with fever
  • swelling of the arms, legs, hands and feet

If you take too much of your NSAID, call your healthcare provider or get medical help right away.

These are not all the possible side effects of NSAIDs. For more information, ask your healthcare provider or pharmacist about NSAIDs.

Call your doctor for medical advice about side effects. You may report side effects to FDA at 1-800-FDA-1088.

Other information about NSAIDs

  • Aspirin is an NSAID but it does not increase the chance of a heart attack. Aspirin can cause bleeding in the brain, stomach, and intestines. Aspirin can also cause ulcers in the stomach and intestines.
  • Some NSAIDs are sold in lower doses without a prescription (over-the-counter). Talk to your healthcare provider before using over-the-counter NSAIDs for more than 10 days.

General information about the safe and effective use of NSAIDs

Medicines are sometimes prescribed for purposes other than those listed in a Medication Guide. Do not use NSAIDs for a condition for which it was not prescribed. Do not give NSAIDs to other people, even if they have the same symptoms that you have. It may harm them.

If you would like more information about NSAIDs, talk with your healthcare provider. You can ask your pharmacist or healthcare provider for information about NSAIDs that is written for health professionals. This Medication Guide has been approved by the U.S. Food and Drug Administration.

Gastrointestinal Effects Risk of Ulceration, Bleeding, and Perforation

NSAIDs, including etodolac extended-release tablets, can cause serious gastrointestinal (GI) adverse events including inflammation, bleeding, ulceration, and perforation of the stomach, small intestine, or large intestine, which can be fatal. These serious adverse events can occur at any time, with or without warning symptoms, in patients treated with NSAIDs. Only one in five patients, who develop a serious upper GI adverse event on NSAID therapy, is symptomatic. Upper GI ulcers, gross bleeding, or perforation caused by NSAIDs occur in approximately 1% of patients treated for 3 to 6 months, and in about 2 to 4% of patients treated for one year. These trends continue with longer duration of use, increasing the likelihood of developing a serious GI event at some time during the course of therapy. However, even short-term therapy is not without risk.

NSAIDs should be prescribed with extreme caution in those with a prior history of ulcer disease or gastrointestinal bleeding. Patients with a prior history of peptic ulcer disease and/or gastrointestinal bleeding who use NSAIDs have a greater than 10-fold increased risk for developing a GI bleed compared to patients with neither of these risk factors. Other factors that increase the risk for GI bleeding in patients treated with NSAIDs include concomitant use of oral corticosteroids or anticoagulants, longer duration of NSAID therapy, smoking, use of alcohol, older age, and poor general health status. Most spontaneous reports of fatal GI events are in elderly or debilitated patients and therefore, special care should be taken in treating this population.

To minimize the potential risk for an adverse GI event in patients treated with an NSAID, the lowest effective dose should be used for the shortest possible duration. Patients and physicians should remain alert for signs and symptoms of GI ulceration and bleeding during NSAID therapy and promptly initiate additional evaluation and treatment if a serious GI adverse event is suspected. This should include discontinuation of the NSAID until a serious GI adverse event is ruled out. For high risk patients, alternate therapies that do not involve NSAIDs should be considered.

Additional Nsaid Adverse Experiences Reported Occasionally With Nsaids Or Etodolac Extended Release Tablets Include

Body as a whole - allergic reaction, anaphylactic/anaphylactoid reactions (including shock), chills, fever, sepsis

Cardiovascular system - congestive heart failure, flushing, palpitations, tachycardia, syncope, vasculitis (including necrotizing and allergic)

Digestive system - anorexia, cholestatic hepatitis, cholestatic jaundice, dry mouth, duodenitis, eructation, esophagitis, gastritis, gastric/peptic ulcers, glossitis, hepatic failure, hepatitis, hematemesis, intestinal ulceration, jaundice, liver necrosis, melena, pancreatitis, rectal bleeding, stomatitis

Hemic and lymphatic system - agranulocytosis, ecchymosis, eosinophilia, hemolytic anemia, leukopenia, neutropenia, pancytopenia, purpura, thrombocytopenia

Metabolic and nutritional - hyperglycemia in previously controlled diabetic patients

Nervous system - anxiety, confusion, depression, dream abnormalities, insomnia, nervousness, paresthesia, somnolence, tremors, vertigo

Respiratory system - asthma, dyspnea, pulmonary infiltration with eosinophilia

Skin and appendages - angioedema, cutaneous vasculitis with purpura, erythema multiforme, hyperpigmentation, sweating, urticaria, vesiculobullous rash

Special senses - blurred vision, photophobia, transient visual disturbances

Urogenital system - dysuria, elevated BUN, oliguria/polyuria, proteinuria, renal failure, renal insufficiency, renal papillary necrosis, serum creatinine increase, urinary frequency


Structured Label Content

Indications and Usage (INDICATIONS AND USAGE)

Carefully consider the potential benefits and risks of etodolac extended-release tablets and other treatment options before deciding to use etodolac extended-release tablets. Use the lowest effective dose for the shortest duration consistent with individual patient treatment goals (see WARNINGS ).

Etodolac extended-release tablets are indicated:

  • For relief of signs and symptoms of juvenile arthritis
  • For relief of the signs and symptoms of rheumatoid arthritis
  • For relief of the signs and symptoms of osteoarthritis
Dosage and Administration (DOSAGE AND ADMINISTRATION)

Carefully consider the potential benefits and risks of etodolac extended-release tablets and other treatment options before deciding to use etodolac extended-release tablets. Use the lowest effective dose for the shortest duration consistent with individual patient treatment goals (see WARNINGS ).

After observing the response to initial therapy with etodolac extended-release tablets, the dose and frequency should be adjusted to suit an individual patient's needs.

Contraindications (CONTRAINDICATIONS)

Etodolac extended-release tablets are contraindicated in patients with known hypersensitivity to etodolac.

Etodolac extended-release tablets should not be given to patients who have experienced asthma, urticaria, or allergic-type reactions after taking aspirin or other NSAIDs. Severe, rarely fatal, anaphylactic-like reactions to NSAIDs have been reported in such patients (see WARNINGS, Anaphylactoid Reactions and PRECAUTIONS, Preexisting Asthma ). Etodolac extended-release tablets are contraindicated in the setting of coronary artery bypass graft (CABG) surgery (see WARNINGS ).

Adverse Reactions (ADVERSE REACTIONS)

A total of 1552 patients were exposed to etodolac extended-release tablets in controlled clinical studies of at least 4 weeks in length and using daily doses in the range of 400 to 1200 mg. In the tabulations below, adverse event rates are generally categorized based on the incidence of events in the first 30 days of treatment with etodolac extended-release tablets. As with other NSAIDs, the cumulative adverse event rates may increase significantly over time with extended therapy.

In patients taking NSAIDs, including etodolac extended-release tablets, the most frequently reported adverse experiences occurring in approximately 1 to 10% of patients are: gastrointestinal experiences including:

abdominal pain

constipation

diarrhea

dyspepsia

flatulence

GI ulcers (gastric/duodenal)

Adverse events that were observed in < 1% of patients in the first 30 days of treatment with etodolac extended-release tablets in clinical trials.

gross bleeding/perforation

nausea

vomiting

other events including:

abnormal renal function

anemia

asthenia

dizziness

edema

elevated liver enzymes

headaches

hypertension

increased bleeding time

infection

pharyngitis

pruritus

rashes

rhinitis

tinnitus

How Supplied (HOW SUPPLIED)

Etodolac extended-release tablets are available as:

400 mg tablets (pink, round, bi-convex, film coated tablet engraved with "T400" on one side and plain on the other side).

  • 1.
    in bottles of 20, NDC 63187-793-20
  • 2.
    in bottles of 30, NDC 63187-793-30
  • 3.
    in bottles of 60, NDC 63187-793-60
  • 4.
    in bottles of 90, NDC 63187-793-90
Description (DESCRIPTION)

Etodolac Extended-Release Tablets contain etodolac, which is a member of the pyranocarboxylic acid group of nonsteroidal anti-inflammatory drugs (NSAIDs). Each tablet contains etodolac for oral administration. Etodolac is a racemic mixture of [+]S and [-]R-enantiomers. It is a white crystalline compound, insoluble in water, but soluble in alcohols, chloroform, dimethyl sulfoxide, and aqueous polyethylene glycol.

The chemical name is (±) 1,8-diethyl-1,3,4,9-tetrahydropyrano-[3,4-b]indole-1-acetic acid. The molecular weight is 287.37. Its molecular formula is C17H21NO3 and it has the following structural formula:

The inactive ingredients in etodolac extended-release tablets include: HPMC 2910, hydroxypropyl methylcellulose, lactose anhydrous, magnesium stearate, microcrystalline cellulose, PEG 8000, polydextrose FCC, povidone, titanium dioxide and triacetin. In addition, the 500 mg and 600 mg tablets contain Indigo Carmine Lake and the 400 mg and 600 mg tablets contain Allura Red AC Lake and Sunset Yellow F.C.F. Lake. In addition, the 500 mg tablets contain yellow iron oxide.

Meets USP Dissolution Test 4.

Race

Pharmacokinetic differences due to race have not been identified. Clinical studies included patients of many races, all of whom responded in a similar fashion.

Section 42229-5 (42229-5)

Rx only

Section 44425-7 (44425-7)

Store at 20° to 25°C (68° to 77°F) [See USP Controlled Room Temperature].

Protect from excessive heat and humidity.

Dispense in a tight, light-resistant container as defined in the USP, with a child-resistant closure (as required).

Aspirin

When etodolac extended-release tablets are administered with aspirin, its protein binding is reduced, although the clearance of free etodolac is not altered. The clinical significance of this interaction is not known; however, as with other NSAIDs, concomitant administration of etodolac extended-release tablets and aspirin is not generally recommended because of the potential of increased adverse effects.

General

Etodolac extended-release tablets cannot be expected to substitute for corticosteroids or to treat corticosteroid insufficiency. Abrupt discontinuation of corticosteroids may lead to disease exacerbation. Patients on prolonged corticosteroid therapy should have their therapy tapered slowly if a decision is made to discontinue corticosteroids.

The pharmacological activity of etodolac extended-release tablets in reducing fever and inflammation may diminish the utility of these diagnostic signs in detecting complications of presumed noninfectious, painful conditions.

Lithium

NSAIDs have produced an elevation of plasma lithium levels and a reduction in renal lithium clearance. The mean minimum lithium concentration increased 15% and the renal clearance was decreased by approximately 20%. These effects have been attributed to inhibition of renal prostaglandin synthesis by the NSAID. Thus, when NSAIDs and lithium are administered concurrently, subjects should be observed carefully for signs of lithium toxicity.

Warfarin

The effects of warfarin and NSAIDs on GI bleeding are synergistic, such that users of both drugs together have a risk of serious GI bleeding higher than users of either drug alone.

Arthritis

The use of etodolac extended-release tablets in managing the signs and symptoms of osteoarthritis of the knee and rheumatoid arthritis was assessed in double-blind, randomized, parallel, controlled clinical trials in 1552 patients. In these trials, etodolac extended-release tablets, given once daily, provided efficacy comparable to immediate-release etodolac.

The safety, efficacy, and pharmacokinetics of etodolac extended-release tablets were assessed in an open-label, 12-week clinical trial. Seventy-two (72) patients, 6 to 16 years of age, with juvenile rheumatoid arthritis, received etodolac extended-release tablets in doses of 400 to 1000 mg (13.3 to 21.3 mg/kg body weight) once daily. At these doses, etodolac extended-release tablets controlled the signs and symptoms of juvenile rheumatoid arthritis. Based on the results of this study, the safety profile of etodolac extended-release tablets (at doses not exceeding 20 mg/kg) appeared to be similar to that observed in the adult arthritic patients in clinical trials. (See PRECAUTIONS, Pediatric Use ).

Excretion

The mean oral clearance of etodolac following oral etodolac extended-release tablets dosing is 47 (±17) mL/h/kg. The terminal half-life (t½) of etodolac after etodolac extended-release tablets administration is 8.4 hours compared to 6.4 hours for etodolac tablets. Approximately 1% of an etodolac tablet dose is excreted unchanged in the urine, with 72% of the dose excreted into the urine as parent drug plus metabolites:

-etodolac, unchanged

1%

-etodolac glucuronide

13%

-hydroxylated metabolites (6-, 7-, and 8-OH)

5%

-hydroxylated metabolite glucuronides

20%

-unidentified metabolites

33%

Fecal excretion accounted for 16% of the dose.

Geriatric

In clinical studies, age was not shown to have any effect on half-life or protein binding, and demonstrated no change in expected drug accumulation. No dosage adjustment is generally necessary in the elderly on the basis of pharmacokinetics. The elderly may need dosage adjustment, however, as they may be more sensitive to antiprostaglandin effects than younger patients (see PRECAUTIONS, Geriatric Use ).

Pediatric

The pharmacokinetics of etodolac extended-release tablets were assessed in an open-label, 12-week clinical trial which included plasma sampling for population pharmacokinetics. Seventy-two (72) patients, 6 to 16 years of age, with juvenile rheumatoid arthritis, received etodolac extended-release tablets in doses of 13.3 to 21.3 mg/kg given as 400 to 1000 mg once daily. The results from a population pharmacokinetic analysis based on the 59 subjects who completed the trial are as follows:

Table 3. Pharmacokinetic Parameter Estimates for Etodolac Extended-Release Tablets in Patients with Juvenile Rheumatoid Arthritis
Parameter JRA
Mean (CV) of parameter estimates predicted from population pharmacokinetics
(Age: 6 to 16)
Age range (years)


n = 59

Oral Clearance (CL/F), mL/h/kg

47.8 (38%)

Apparent Volume of Distribution (Vd/F), mL/kg

78.9 (61%)

Half-life (t½), h

12.1 (75%)

While similar, the pharmacokinetic parameters for children with juvenile rheumatoid arthritis did not directly correlate with adult pharmacokinetic data in rheumatoid arthritis. In the population pharmacokinetic analysis, body weights below 50 kg were found to correlate with CL/F (see DOSAGE AND ADMINISTRATION ).

Pregnancy

In late pregnancy, as with other NSAIDs, etodolac extended-release tablets should be avoided because it may cause premature closure of the ductus arteriosus.

Absorption

Etodolac extended-release tablets and etodolac tablets both contain etodolac, but differ in their release characteristics. The systemic availability of etodolac from etodolac extended-release tablets is generally greater than 80%. Etodolac does not undergo significant first-pass metabolism following oral administration. After oral administration of etodolac extended-release tablets in doses up to 800 mg once daily, peak concentrations occur approximately 6 hours after dosing and are dose proportional for both total and free etodolac.

Table 1 shows the comparison of etodolac pharmacokinetic parameters after the administration of etodolac tablets and etodolac extended-release tablets.

Table 2 shows the etodolac pharmacokinetic parameters in various populations. The data from patients with renal and hepatic impairment were obtained following administration of (immediate-release) etodolac tablets.

Table 1.
Mean (CV)%
% Coefficient of variation
Pharmacokinetic Parameters Etodolac Tablets Etodolac Extended-Release Tablets

Extent of Oral Absorption (Bioavailability) [F]

≥ 80%

≥ 80%

Time to Peak Concentration (Tmax), h

1.4 (61%)

6.7 (47%)

Oral Clearance (CL/F), mL/h/kg

49.1 (33%)

46.8 (37%)

Apparent Volume of Distribution (Vd/F), mL/kg

393 (29%)

566 (26%)

Terminal Half-Life (t½), h

6.4 (22%)

8.4 (30%)

Table 2. Mean (CV%)
% Coefficient
Pharmacokinetic Parameters of Etodolac in Normal Healthy Adults and Various Special Populations
Etodolac Extended-Release Tablets Etodolac Tablets
PK Parameters Normal Healthy Adults (18 to 44)
Age range (years)


(n=116)
Healthy Males (18 to 43)

(n=102)
Healthy Females (25 to 44)

(n=14)
Elderly (>65 yr) (66 to 88)

(n=24)
Hemodialysis
Pharmacokinetic parameters obtained following administration of etodolac tablets
(24 to 65)

(n=9)
Renal Impairment
(46 to 73)

(n=10)
Hepatic Impairment
(34 to 60)

(n=9)
Dialysis On Dialysis Off
NA = not available

Tmax, h

6.7

(47%)

6.8

(45%)

4.5

(56%)

6.2

(51%)

1.7

(88%)

0.9

(67%)

2.1

(46%)

1.1

(15%)

Oral Clearance, mL/h/kg (CL/F)

46.8

(37%)

46.8

(37%)

47.2

(38%)

51.6

(40%)

NA

NA

58.3

(19%)

42.0

(43%)

Apparent Volume of Distribution, mL/kg (Vd/F)

566

(26%)

580

(26%)

459

(28%)

552

(34%)

NA

NA

NA

NA

Terminal Half-Life, h

8.4

(30%)

8.4

(29%)

7.6

(45%)

7.8

(26%)

5.1

(22%)

7.5

(34%)

NA

5.7

(24%)

Furosemide

Clinical studies, as well as post marketing observations, have shown that etodolac extended-release tablets can reduce the natriuretic effect of furosemide and thiazides in some patients. This response has been attributed to inhibition of renal prostaglandin synthesis. During concomitant therapy with NSAIDs, the patient should be observed closely for signs of renal failure (see WARNINGS, Renal Effects ), as well as to assure diuretic efficacy.

Metabolism

Etodolac metabolites do not contribute significantly to the pharmacological activity of etodolac extended-release tablets.

Following administration of immediate-release etodolac, several metabolites have been identified in human plasma and urine. Other metabolites remain to be identified. The metabolites include 6-, 7-, and 8- hydroxylated etodolac and etodolac glucuronide. After a single dose of 14C-etodolac, hydroxylated metabolites accounted for less than 10% of total drug in serum. On chronic dosing, hydroxylated-etodolac metabolites do not accumulate in the plasma of patients with normal renal function. The extent of accumulation of hydroxylated-etodolac metabolites in patients with renal dysfunction has not been studied. The role, if any, of a specific cytochrome P450 system in the metabolism of etodolac is unknown. The hydroxylated-etodolac metabolites undergo further glucuronidation followed by renal excretion and partial elimination in the feces.

Overdosage (OVERDOSAGE)

Symptoms following acute NSAID overdose are usually limited to lethargy, drowsiness, nausea, vomiting, and epigastric pain, which are generally reversible with supportive care. Gastrointestinal bleeding can occur. Hypertension, acute renal failure, respiratory depression and coma may occur, but are rare. Anaphylactoid reactions have been reported with therapeutic ingestion of NSAIDs, and may occur following an overdose.

Patients should be managed by symptomatic and supportive care following an NSAID overdose. There are no specific antidotes. Emesis and/or activated charcoal (60 to 100 g in adults, 1 to 2 g/kg in children) and/or osmotic cathartic may be indicated in patients seen within 4 hours of ingestion with symptoms or following a large overdose (5 to 10 times the usual dose). Forced diuresis, alkalinization of the urine, hemodialysis, or hemoperfusion may not be useful due to high protein binding.

Distribution

The mean apparent volume of distribution (Vd/F) of etodolac following administration of etodolac extended-release tablets is 566 mL/kg. Etodolac is more than 99% bound to plasma proteins, primarily to albumin, and is independent of etodolac concentration over the dose range studied. It is not known whether etodolac is excreted in human milk. However, based on its physical-chemical properties, excretion into breast milk is expected.

Hypertension

NSAIDs, including etodolac extended-release tablets, can lead to onset of new hypertension or worsening of preexisting hypertension, either of which may contribute to the increased incidence of CV events. Patients taking thiazides or loop diuretics may have impaired response to these therapies when taking NSAIDs. NSAIDs, including etodolac extended-release tablets, should be used with caution in patients with hypertension. Blood pressure (BP) should be monitored closely during the initiation of NSAID treatment and throughout the course of therapy.

Methotrexate

NSAIDs have been reported to competitively inhibit methotrexate accumulation in rabbit kidney slices.

This may indicate that they could enhance the toxicity of methotrexate. Caution should be used when NSAIDs are administered concomitantly with methotrexate.

Geriatric Use

As with any NSAIDs, caution should be exercised in treating the elderly (65 years and older).

Pediatric Use

Safety and effectiveness in pediatric patients below the age of 6 have not been established.

Renal Effects

Long-term administration of NSAIDs has resulted in renal papillary necrosis and other renal injury. Renal toxicity has also been seen in patients in whom renal prostaglandins have a compensatory role in the maintenance of renal perfusion. In these patients, administration of a nonsteroidal anti-inflammatory drug may cause a dose-dependent reduction in prostaglandin formation and, secondarily, in renal blood flow, which may precipitate overt renal decompensation. Patients at greatest risk of this reaction are those with impaired renal function, heart failure, liver dysfunction, those taking diuretics and ACE inhibitors, and the elderly. Discontinuation of NSAID therapy is usually followed by recovery to the pretreatment state.

Ace Inhibitors (ACE-inhibitors)

Reports suggest that NSAIDs may diminish the antihypertensive effect of ACE-inhibitors. This interaction should be given consideration in patients taking NSAIDs concomitantly with ACE-inhibitors.

Phenylbutazone

Phenylbutazone causes an increase (by about 80%) in the free fraction of etodolac. Although in vivo studies have not been done to see if etodolac clearance is changed by coadministration of phenylbutazone, it is not recommended that they be coadministered.

Skin Reactions

NSAIDs, including etodolac extended-release tablets, can cause serious skin adverse events such as exfoliative dermatitis, Stevens-Johnson Syndrome (SJS), and toxic epidermal necrolysis (TEN), which can be fatal. These serious events may occur without warning. Patients should be informed about the signs and symptoms of serious skin manifestations and use of the drug should be discontinued at the first appearance of skin rash or any other sign of hypersensitivity.

Hepatic Effects

Borderline elevations of one or more liver tests may occur in up to 15% of patients taking NSAIDs including etodolac extended-release tablets. These laboratory abnormalities may progress, may remain unchanged, or may be transient with continuing therapy. Notable elevations of ALT or AST (approximately three or more times the upper limit of normal) have been reported in approximately 1% of patients in clinical trials with NSAIDs. In addition, rare cases of severe hepatic reactions, including jaundice and fatal fulminant hepatitis, liver necrosis and hepatic failure, some of them with fatal outcomes have been reported.

A patient with symptoms and/or signs suggesting liver dysfunction, or in whom an abnormal liver test has occurred, should be evaluated for evidence of the development of a more severe hepatic reaction while on therapy with etodolac extended-release tablets. If clinical signs and symptoms consistent with liver disease develop, or if systemic manifestations occur (e.g., eosinophilia, rash, etc.), etodolac extended-release tablets should be discontinued.

Nursing Mothers

It is not known whether this drug is excreted in human milk. Because many drugs are excreted in human milk and because of the potential for serious adverse reactions in nursing infants from etodolac extended-release tablets, a decision should be made whether to discontinue nursing or to discontinue the drug, taking into account the importance of the drug to the mother.

Laboratory Tests

Because serious GI tract ulcerations and bleeding can occur without warning symptoms, physicians should monitor for signs or symptoms of GI bleeding. Patients on long-term treatment with NSAIDs, should have their CBC and a chemistry profile checked periodically. If clinical signs and symptoms consistent with liver or renal disease develop, systemic manifestations occur (e.g., eosinophilia, rash, etc.) or if abnormal liver tests persist or worsen, etodolac extended-release tablets should be discontinued.

Pharmacodynamics

Etodolac extended-release tablets are a nonsteroidal anti-inflammatory drug (NSAID) that exhibits anti-inflammatory, analgesic, and antipyretic activities in animal models. The mechanism of action of etodolac extended-release tablets, like that of other NSAIDs, is not completely understood, but may be related to prostaglandin synthetase inhibition.

Post Mi Patients (Post-MI Patients)

Observational studies conducted in the Danish National Registry have demonstrated that patients treated with NSAIDs in the post-MI period were at increased risk of reinfarction, CV-related death, and all-cause mortality beginning in the first week of treatment. In this same cohort, the incidence of death in the first year post MI was 20 per 100 person years in NSAID-treated patients compared to 12 per 100 person years in non-NSAID exposed patients. Although the absolute rate of death declined somewhat after the first year post-MI, the increased relative risk of death in NSAID users persisted over at least the next four years of follow-up.

Avoid the use of etodolac extended-release tablets in patients with a recent MI unless the benefits are expected to outweigh the risk of recurrent CV thrombotic events. If etodolac extended-release tablets are used in patients with a recent MI, monitor patients for signs of cardiac ischemia.

Labor and Delivery

In rat studies with NSAIDs, as with other drugs known to inhibit prostaglandin synthesis, an increased incidence of dystocia, delayed parturition, and decreased pup survival occurred. The effects of etodolac extended-release tablets on labor and delivery in pregnant women are unknown.

Preexisting Asthma

Patients with asthma may have aspirin-sensitive asthma. The use of aspirin in patients with aspirin-sensitive asthma has been associated with severe bronchospasm which can be fatal. Since cross reactivity, including bronchospasm, between aspirin and other nonsteroidal anti-inflammatory drugs has been reported in such aspirin-sensitive patients, etodolac extended-release tablets should not be administered to patients with this form of aspirin sensitivity and should be used with caution in patients with preexisting asthma.

Renal Insufficiency

The pharmacokinetics of etodolac following administration of etodolac extended-release tablets have not been investigated in subjects with renal insufficiency. Etodolac renal clearance following administration of etodolac tablets was unchanged in the presence of mild-to-moderate renal failure (creatinine clearance, 37 to 88 mL/min). Although renal elimination is a significant pathway of excretion for etodolac metabolites, no dosing adjustment in patients with mild-to-moderate renal dysfunction is generally necessary. Etodolac plasma protein binding decreases in patients with severe renal deficiency. Etodolac should be used with caution in such patients because, as with other NSAIDs, it may further decrease renal function in some patients. Etodolac is not significantly removed from the blood in patients undergoing hemodialysis.

Food/antacid Effects (Food/Antacid Effects)

Food has no significant effect on the extent of etodolac extended-release tablets absorption, however, food significantly increased Cmax (54%) following a 600 mg dose.

The extent of absorption of etodolac is not affected when etodolac is administered with antacid. Coadministration, with an antacid, decreases the peak concentration reached by about 15 to 20% with no measurable effect on time-to-peak.

Pregnancy Category C (Pregnancy category C)

Reproductive studies conducted in rats and rabbits have not demonstrated evidence of developmental abnormalities. However, animal reproduction studies are not always predictive of human response. There are no adequate and well-controlled studies in pregnant women.

Gastrointestinal Risk
  • NSAIDs cause an increased risk of serious gastrointestinal adverse events including bleeding, ulceration, and perforation of the stomach or intestines, which can be fatal. These events can occur at any time during use and without warning symptoms. Elderly patients are at greater risk for serious gastrointestinal events. (See WARNINGS ).
Hematological Effects

Anemia is sometimes seen in patients receiving NSAIDs, including etodolac extended-release tablets. This may be due to fluid retention, occult or gross GI blood loss, or an incompletely described effect upon erythropoiesis. Patients on long-term treatment with NSAIDs, including etodolac extended-release tablets, should have their hemoglobin or hematocrit checked if they exhibit any signs or symptoms of anemia.

NSAIDs inhibit platelet aggregation and have been shown to prolong bleeding time in some patients.

Unlike aspirin, their effect on platelet function is quantitatively less, of shorter duration, and reversible.

Patients receiving etodolac extended-release tablets who may be adversely affected by alterations in platelet function, such as those with coagulation disorders or patients receiving anticoagulants, should be carefully monitored.

Hepatic Insufficiency

The pharmacokinetics of etodolac following administration of etodolac extended-release tablets have not been investigated in subjects with hepatic insufficiency. Following administration of etodolac tablets, the plasma protein binding and disposition of total and free etodolac were unchanged in the presence of compensated hepatic cirrhosis. Although no dosage adjustment is generally required in patients with chronic hepatic diseases, etodolac clearance is dependent on liver function and could be reduced in patients with severe hepatic failure.

Advanced Renal Disease

No information is available from controlled clinical studies regarding the use of etodolac extended-release tablets in patients with advanced renal disease. Therefore, treatment with etodolac extended-release tablets is not recommended in these patients with advanced renal disease. If etodolac extended-release tablet therapy must be initiated, close monitoring of the patient's renal function is advisable.

Nonteratogenic Effects

Because of the known effects of nonsteroidal anti-inflammatory drugs on the fetal cardiovascular system (closure of ductus arteriosus), use during pregnancy (particularly late pregnancy) should be avoided.

Anaphylactoid Reactions

As with other NSAIDs, anaphylactoid reactions may occur in patients without known prior exposure to etodolac extended-release tablets. Etodolac extended-release tablets should not be given to patients with the aspirin triad. This symptom complex typically occurs in asthmatic patients who experience rhinitis with or without nasal polyps, or who exhibit severe, potentially fatal bronchospasm after taking aspirin or other NSAIDs (see CONTRAINDICATIONS and PRECAUTIONS, Preexisting Asthma ). Emergency help should be sought in cases where an anaphylactoid reaction occurs.

Heart Failure and Edema

The Coxib and traditional NSAID Trialists' Collaboration meta-analysis of randomized controlled trials demonstrated an approximately two-fold increase in hospitalizations for heart failure in COX-2 selective-treated patients and nonselective NSAID-treated patients compared to placebo-treated patients. In a Danish National Registry study of patients with heart failure, NSAID use increased the risk of MI, hospitalization for heart failure, and death.

Additionally, fluid retention and edema have been observed in some patients treated with NSAIDs. Use of etodolac may blunt the CV effects of several therapeutic agents used to treat these medical conditions [e.g., diuretics, ACE inhibitors, or angiotensin receptor blockers (ARBs)] (see Drug Interactions ).

Avoid the use of etodolac extended-release tablets in patients with severe heart failure unless the benefits are expected to outweigh the risk of worsening heart failure. If etodolac extended-release tablets are used in patients with severe heart failure, monitor patients for signs of worsening heart failure.

Cyclosporine and Digoxin

Etodolac extended-release tablets, like other NSAIDs, through effects on renal prostaglandins, may cause changes in the elimination of these drugs, leading to elevated serum levels of cyclosporine and digoxin and increased toxicity. Nephrotoxicity associated with cyclosporine may also be enhanced. Patients receiving these drugs who are given etodolac extended-release tablets, or any other NSAID, and particularly those patients with altered renal function, should be observed for the development of the specific toxicities of these drugs.

Information for Patients

Patients should be informed of the following information before initiating therapy with an NSAID and periodically during the course of ongoing therapy. Patients should also be encouraged to read the NSAID Medication Guide that accompanies each prescription dispensed.

  • 1.
    Cardiovascular Thrombotic Events

    Advise patients to be alert for the symptoms of cardiovascular thrombotic events, including chest pain, shortness of breath, weakness, or slurring of speech, and to report any of these symptoms to their health care provider immediately (see WARNINGS ).
  • 2.
    Etodolac extended-release tablets, like other NSAIDs, can cause GI discomfort and, rarely, serious GI side effects, such as ulcers and bleeding, which may result in hospitalization and even death. Although serious GI tract ulcerations and bleeding can occur without warning symptoms, patients should be alert for the signs and symptoms of ulcerations and bleeding, and should ask for medical advice when observing any indicative sign or symptoms including epigastric pain, dyspepsia, melena, and hematemesis. Patients should be apprised of the importance of this follow-up (see WARNINGS, Gastrointestinal Effects - Risk of Ulceration, Bleeding, and Perforation ).
  • 3.
    Etodolac extended-release tablets, like other NSAIDs, can cause serious skin side effects such as exfoliative dermatitis, SJS, and TEN, which may result in hospitalizations and even death. Although serious skin reactions may occur without warning, patients should be alert for the signs and symptoms of skin rash and blisters, fever, or other signs of hypersensitivity such as itching, and should ask for medical advice when observing any indicative signs or symptoms. Patients should be advised to stop the drug immediately if they develop any type of rash and contact their physicians as soon as possible.
  • 4.
    Heart Failure and Edema

    Advise patients to be alert for the symptoms of congestive heart failure including shortness of breath, unexplained weight gain, or edema and to contact their healthcare provider if such symptoms occur (see WARNINGS ).
  • 5.
    Patients should be informed of the warning signs and symptoms of hepatotoxicity (e.g., nausea, fatigue, lethargy, pruritus, jaundice, right upper quadrant tenderness, and "flu-like" symptoms). If these occur, patients should be instructed to stop therapy and seek immediate medical therapy.
  • 6.
    Patients should be informed of the signs of an anaphylactoid reaction (e.g., difficulty breathing, swelling of the face or throat). If these occur, patients should be instructed to seek immediate emergency help (see WARNINGS ).
  • 7.
    In late pregnancy, as with other NSAIDs, etodolac extended-release tablets should be avoided because it will cause premature closure of the ductus arteriosus.
Juvenile Rheumatoid Arthritis

For the relief of the signs and symptoms of juvenile rheumatoid arthritis in patients 6 to 16 years of age, the recommended dose given orally once per day should be based on body weight, according to the following table:

Table 4.
Body Weight Range (kg) Dose

20 to 30

400 mg Tablet × 1

31 to 45

600 mg Tablet × 1

46 to 60

400 mg Tablet × 2

>60

500 mg Tablet × 2

Cardiovascular Thrombotic Events
  • Nonsteroidal anti-inflammatory drugs (NSAIDs) cause an increased risk of serious cardiovascular thrombotic events, including myocardial infarction and stroke, which can be fatal. This risk may occur early in treatment and may increase with duration of use (see WARNINGS and PRECAUTIONS ).
  • Etodolac Extended-Release Tablets, 400 mg, 500 mg and 600 mg are contraindicated in the setting of coronary artery bypass graft (CABG) surgery (see CONTRAINDICATIONS and WARNINGS ).
Drug/laboratory Test Interactions (Drug/Laboratory Test Interactions)

The urine of patients who take etodolac can give a false-positive reaction for urinary bilirubin (urobilin) due to the presence of phenolic metabolites of etodolac. Diagnostic dip-stick methodology, used to detect ketone bodies in urine, has resulted in false-positive findings in some patients treated with etodolac. Generally, this phenomenon has not been associated with other clinically significant events. No dose relationship has been observed. Etodolac treatment is associated with a small decrease in serum uric acid levels. In clinical trials, mean decreases of 1 to 2 mg/dL were observed in arthritic patients receiving etodolac (600 mg to 1000 mg/day) after 4 weeks of therapy. These levels then remained stable for up to 1 year of therapy.

Rheumatoid Arthritis and Osteoarthritis

For the relief of the signs and symptoms of osteoarthritis or rheumatoid arthritis, the recommended starting dose of etodolac extended-release tablets is 400 to 1000 mg given orally once per day.

As with other NSAIDs, the lowest effective dose should be sought for each patient. In chronic conditions, a therapeutic response to therapy with etodolac extended-release tablets is sometimes seen within one week of therapy, but most often is observed by two weeks.

Principal Display Panel 400 Mg Bottle Label (PRINCIPAL DISPLAY PANEL - 400 mg Bottle Label)

NDC 51672-4051-4

60 Tablets

Etodolac

Extended-Release

Tablets

400 mg

Pharmacist: Please dispense with

accompanying Medication Guide.

Rx only

Other Nsaid Adverse Reactions, Which Occur Rarely Are (Other NSAID Adverse Reactions, Which Occur Rarely Are)

Body as a whole - anaphylactic reactions, appetite changes, death

Cardiovascular system - arrhythmia, cerebrovascular accident, hypotension, myocardial infarction

Digestive system - colitis, esophagitis with or without stricture or cardiospasm, thirst, ulcerative stomatitis

Hemic and lymphatic system - aplastic anemia, lymphadenopathy

Metabolic and nutritional - change in weight

Nervous system - coma, convulsions, hallucinations, meningitis

Respiratory - bronchitis, pneumonia, respiratory depression, sinusitis

Skin and appendages - alopecia, exfoliative dermatitis, maculopapular rash, photosensitivity, skin peeling, Stevens-Johnson syndrome, toxic epidermal necrosis

Special senses - conjunctivitis, deafness, hearing impairment, taste perversion

Urogenital system - cystitis, hematuria, interstitial nephritis, leukorrhea, renal calculus, uterine bleeding irregularities

Status Post Coronary Artery Bypass Graft (cabg) Surgery (Status Post Coronary Artery Bypass Graft (CABG) Surgery)

Two large, controlled clinical trials of a COX-2 selective NSAID for the treatment of pain in the first 10 to 14 days following CABG surgery found an increased incidence of myocardial infarction and stroke. NSAIDs are contraindicated in the setting of CABG (see CONTRAINDICATIONS ).

Carcinogenesis, Mutagenesis, and Impairment of Fertility

No carcinogenic effect of etodolac was observed in mice or rats receiving oral doses of 15 mg/kg/day (45 to 89 mg/m2, respectively) or less for periods of 18 months or 2 years, respectively. Etodolac was not mutagenic in in vitro tests performed with S. typhimurium and mouse lymphoma cells as well as in an in vivo mouse micronucleus test. However, data from the in vitro human peripheral lymphocyte test showed an increase in the number of gaps (3% to 5% unstained regions in the chromatid without dislocation) among the etodolac-treated cultures (50 to 200 g/mL) compared to negative controls (2%); no other difference was noted between the controls and drug-treated groups. Etodolac showed no impairment of fertility in male and female rats up to oral doses of 16 mg/kg (94 mg/m2). However, reduced implantation of fertilized eggs occurred in the 8 mg/kg group.

Medication Guide for Nonsteroidal Anti Inflammatory Drugs (nsaids) (Medication Guide for Nonsteroidal Anti-inflammatory Drugs (NSAIDs))

What is the most important information I should know about medicines called Nonsteroidal Anti-inflammatory Drugs (NSAIDs)?

NSAIDs can cause serious side effects, including:

  • Increased risk of a heart attack or stroke that can lead to death. This risk may happen early in treatment and may increase: Do not take NSAIDs right before or after a heart surgery called a "coronary artery bypass graft (CABG)."

    Avoid taking NSAIDs after a recent heart attack, unless your healthcare provider tells you to. You may have an increased risk of another heart attack if you take NSAIDs after a recent heart attack.
    • with increasing doses of NSAIDs
    • with longer use of NSAIDs
  • Increased risk of bleeding, ulcers, and tears (perforation) of the esophagus (tube leading from the mouth to the stomach), stomach and intestines:The risk of getting an ulcer or bleeding increases with:
    • anytime during use
    • without warning symptoms
    • that may cause death
  • past history of stomach ulcers, or stomach or intestinal bleeding with use of NSAIDs
  • taking medicines called "corticosteroids", "anticoagulants", "SSRIs", or "SNRIs"
  • increasing doses of NSAIDs
  • longer use of NSAIDs
  • smoking
  • drinking alcohol
  • older age
  • poor health
  • advanced liver disease
  • bleeding problems

NSAIDs should only be used:

  •  
    • exactly as prescribed
    • at the lowest dose possible for your treatment
    • for the shortest time needed

What are NSAIDs?

NSAIDs are used to treat pain and redness, swelling, and heat (inflammation) from medical conditions such as different types of arthritis, menstrual cramps, and other types of short-term pain.

Who should not take NSAIDs?

Do not take NSAIDs:

  • if you have had an asthma attack, hives, or other allergic reaction with aspirin or any other NSAIDs.
  • right before or after heart bypass surgery.

Before taking NSAIDs, tell your healthcare provider about all of your medical conditions, including if you:

  • have liver or kidney problems
  • have high blood pressure
  • have asthma
  • are pregnant or plan to become pregnant. Talk to your healthcare provider if you are considering taking NSAIDs during pregnancy. You should not take NSAIDs after 29 weeks of pregnancy.
  • are breastfeeding or plan to breast feed.

Tell your healthcare provider about all of the medicines you take, including prescription or over-the-counter medicines, vitamins or herbal supplements. NSAIDs and some other medicines can interact with each other and cause serious side effects. Do not start taking any new medicine without talking to your healthcare provider first.

What are the possible side effects of NSAIDs?

NSAIDs can cause serious side effects, including:

See "What is the most important information I should know about medicines called Nonsteroidal Anti-inflammatory Drugs (NSAIDs)?

  • new or worse high blood pressure
  • heart failure
  • liver problems including liver failure
  • kidney problems including kidney failure
  • low red blood cells (anemia)
  • life-threatening skin reactions
  • life-threatening allergic reactions
  • Other side effects of NSAIDs include: stomach pain, constipation, diarrhea, gas, heartburn, nausea, vomiting, and dizziness.

Get emergency help right away if you get any of the following symptoms:

  • shortness of breath or trouble breathing
  • chest pain
  • weakness in one part or side of your body
  • slurred speech
  • swelling of the face or throat

Stop taking your NSAID and call your healthcare provider right away if you get any of the following symptoms:

  • nausea
  • more tired or weaker than usual
  • diarrhea
  • itching
  • your skin or eyes look yellow
  • indigestion or stomach pain
  • flu-like symptoms
  • vomit blood
  • there is blood in your bowel movement or it is black and sticky like tar
  • unusual weight gain
  • skin rash or blisters with fever
  • swelling of the arms, legs, hands and feet

If you take too much of your NSAID, call your healthcare provider or get medical help right away.

These are not all the possible side effects of NSAIDs. For more information, ask your healthcare provider or pharmacist about NSAIDs.

Call your doctor for medical advice about side effects. You may report side effects to FDA at 1-800-FDA-1088.

Other information about NSAIDs

  • Aspirin is an NSAID but it does not increase the chance of a heart attack. Aspirin can cause bleeding in the brain, stomach, and intestines. Aspirin can also cause ulcers in the stomach and intestines.
  • Some NSAIDs are sold in lower doses without a prescription (over-the-counter). Talk to your healthcare provider before using over-the-counter NSAIDs for more than 10 days.

General information about the safe and effective use of NSAIDs

Medicines are sometimes prescribed for purposes other than those listed in a Medication Guide. Do not use NSAIDs for a condition for which it was not prescribed. Do not give NSAIDs to other people, even if they have the same symptoms that you have. It may harm them.

If you would like more information about NSAIDs, talk with your healthcare provider. You can ask your pharmacist or healthcare provider for information about NSAIDs that is written for health professionals. This Medication Guide has been approved by the U.S. Food and Drug Administration.

Gastrointestinal Effects Risk of Ulceration, Bleeding, and Perforation (Gastrointestinal Effects - Risk of Ulceration, Bleeding, and Perforation)

NSAIDs, including etodolac extended-release tablets, can cause serious gastrointestinal (GI) adverse events including inflammation, bleeding, ulceration, and perforation of the stomach, small intestine, or large intestine, which can be fatal. These serious adverse events can occur at any time, with or without warning symptoms, in patients treated with NSAIDs. Only one in five patients, who develop a serious upper GI adverse event on NSAID therapy, is symptomatic. Upper GI ulcers, gross bleeding, or perforation caused by NSAIDs occur in approximately 1% of patients treated for 3 to 6 months, and in about 2 to 4% of patients treated for one year. These trends continue with longer duration of use, increasing the likelihood of developing a serious GI event at some time during the course of therapy. However, even short-term therapy is not without risk.

NSAIDs should be prescribed with extreme caution in those with a prior history of ulcer disease or gastrointestinal bleeding. Patients with a prior history of peptic ulcer disease and/or gastrointestinal bleeding who use NSAIDs have a greater than 10-fold increased risk for developing a GI bleed compared to patients with neither of these risk factors. Other factors that increase the risk for GI bleeding in patients treated with NSAIDs include concomitant use of oral corticosteroids or anticoagulants, longer duration of NSAID therapy, smoking, use of alcohol, older age, and poor general health status. Most spontaneous reports of fatal GI events are in elderly or debilitated patients and therefore, special care should be taken in treating this population.

To minimize the potential risk for an adverse GI event in patients treated with an NSAID, the lowest effective dose should be used for the shortest possible duration. Patients and physicians should remain alert for signs and symptoms of GI ulceration and bleeding during NSAID therapy and promptly initiate additional evaluation and treatment if a serious GI adverse event is suspected. This should include discontinuation of the NSAID until a serious GI adverse event is ruled out. For high risk patients, alternate therapies that do not involve NSAIDs should be considered.

Additional Nsaid Adverse Experiences Reported Occasionally With Nsaids Or Etodolac Extended Release Tablets Include (Additional NSAID Adverse Experiences Reported Occasionally with NSAIDs or Etodolac Extended-Release Tablets Include)

Body as a whole - allergic reaction, anaphylactic/anaphylactoid reactions (including shock), chills, fever, sepsis

Cardiovascular system - congestive heart failure, flushing, palpitations, tachycardia, syncope, vasculitis (including necrotizing and allergic)

Digestive system - anorexia, cholestatic hepatitis, cholestatic jaundice, dry mouth, duodenitis, eructation, esophagitis, gastritis, gastric/peptic ulcers, glossitis, hepatic failure, hepatitis, hematemesis, intestinal ulceration, jaundice, liver necrosis, melena, pancreatitis, rectal bleeding, stomatitis

Hemic and lymphatic system - agranulocytosis, ecchymosis, eosinophilia, hemolytic anemia, leukopenia, neutropenia, pancytopenia, purpura, thrombocytopenia

Metabolic and nutritional - hyperglycemia in previously controlled diabetic patients

Nervous system - anxiety, confusion, depression, dream abnormalities, insomnia, nervousness, paresthesia, somnolence, tremors, vertigo

Respiratory system - asthma, dyspnea, pulmonary infiltration with eosinophilia

Skin and appendages - angioedema, cutaneous vasculitis with purpura, erythema multiforme, hyperpigmentation, sweating, urticaria, vesiculobullous rash

Special senses - blurred vision, photophobia, transient visual disturbances

Urogenital system - dysuria, elevated BUN, oliguria/polyuria, proteinuria, renal failure, renal insufficiency, renal papillary necrosis, serum creatinine increase, urinary frequency


Advanced Ingredient Data


Raw Label Data

All Sections (JSON)