These Highlights Do Not Include All The Information Needed To Use Clindamycin Phosphate And Benzoyl Peroxide Gel Safely And Effectively. See Full Prescribing Information For Clindamycin Phosphate And Benzoyl Peroxide Gel.

These Highlights Do Not Include All The Information Needed To Use Clindamycin Phosphate And Benzoyl Peroxide Gel Safely And Effectively. See Full Prescribing Information For Clindamycin Phosphate And Benzoyl Peroxide Gel.
SPL v4
SPL
SPL Set ID 449884c1-cf3b-4e2c-b8a0-82442ea8523a
Route
TOPICAL
Published
Effective Date 2023-01-27
Document Type 34391-3 HUMAN PRESCRIPTION DRUG LABEL

Drug Facts

Composition & Product

Active Ingredients
Clindamycin (10 mg) Benzoyl Peroxide (50 mg)
Inactive Ingredients
Carbomer Homopolymer Type C (allyl Pentaerythritol Crosslinked) Potassium Hydroxide Propylene Glycol Water

Identifiers & Packaging

Pill Appearance
Color: white
Marketing Status
ANDA Active Since 2018-06-05

Description

Clindamycin phosphate and benzoyl peroxide gel, 1.2%/3.75% is indicated for the topical treatment of acne vulgaris in patients 12 years of age and older.

Indications and Usage

Clindamycin phosphate and benzoyl peroxide gel, 1.2%/3.75% is indicated for the topical treatment of acne vulgaris in patients 12 years of age and older.

Dosage and Administration

Before applying clindamycin phosphate and benzoyl peroxide gel, wash the face gently with a mild soap, rinse with warm water, and pat the skin dry. Apply a pea-sized amount of clindamycin phosphate and benzoyl peroxide gel to the face once daily. Avoid the eyes, mouth, mucous membranes, or areas of broken skin. Use of clindamycin phosphate and benzoyl peroxide gel beyond 12 weeks has not been evaluated. Clindamycin phosphate and benzoyl peroxide gel is not for oral, ophthalmic, or intravaginal use.

Warnings and Precautions

Colitis: Clindamycin can cause severe colitis, which may result in death. Diarrhea, bloody diarrhea, and colitis (including pseudomembranous colitis) have been reported with the use of clindamycin. Clindamycin phosphate and benzoyl peroxide gel should be discontinued if significant diarrhea occurs. ( 5.1 ) Ultraviolet Light and Environmental Exposure: Minimize sun exposure following drug application. ( 5.2 )

Contraindications

Clindamycin phosphate and benzoyl peroxide gel is contraindicated in: Patients who have demonstrated hypersensitivity (e.g., anaphylaxis) to clindamycin, benzoyl peroxide, any components of the formulation, or lincomycin. ( 4.1 ) Patients with a history of regional enteritis, ulcerative colitis, or antibiotic-associated colitis. ( 4.2 )

Adverse Reactions

The following adverse reaction is described in more detail in the Warnings and Precautions section of the label: Colitis [see Warnings and Precautions (5.1) ].

Drug Interactions

Avoid using clindamycin phosphate and benzoyl peroxide gel in combination with topical or oral erythromycin-containing products because of its clindamycin component. ( 7.1 )

Storage and Handling

PHARMACIST: Prior to Dispensing: Store in a refrigerator, 2°C to 8°C (36°F to 46°F). PATIENT: Store at 20° to 25°C (68° to 77°F) [see USP Controlled Room Temperature]. Protect from freezing. Store pump upright. Keep out of the reach of children Keep container tightly closed.

How Supplied

Clindamycin Phosphate and Benzoyl Peroxide Gel 1.2%/3.75% is a white to off-white smooth gel supplied as a 50 g pump (NDC 51672-1403-4)


Medication Information

Warnings and Precautions

Colitis: Clindamycin can cause severe colitis, which may result in death. Diarrhea, bloody diarrhea, and colitis (including pseudomembranous colitis) have been reported with the use of clindamycin. Clindamycin phosphate and benzoyl peroxide gel should be discontinued if significant diarrhea occurs. ( 5.1 ) Ultraviolet Light and Environmental Exposure: Minimize sun exposure following drug application. ( 5.2 )

Indications and Usage

Clindamycin phosphate and benzoyl peroxide gel, 1.2%/3.75% is indicated for the topical treatment of acne vulgaris in patients 12 years of age and older.

Dosage and Administration

Before applying clindamycin phosphate and benzoyl peroxide gel, wash the face gently with a mild soap, rinse with warm water, and pat the skin dry. Apply a pea-sized amount of clindamycin phosphate and benzoyl peroxide gel to the face once daily. Avoid the eyes, mouth, mucous membranes, or areas of broken skin. Use of clindamycin phosphate and benzoyl peroxide gel beyond 12 weeks has not been evaluated. Clindamycin phosphate and benzoyl peroxide gel is not for oral, ophthalmic, or intravaginal use.

Contraindications

Clindamycin phosphate and benzoyl peroxide gel is contraindicated in: Patients who have demonstrated hypersensitivity (e.g., anaphylaxis) to clindamycin, benzoyl peroxide, any components of the formulation, or lincomycin. ( 4.1 ) Patients with a history of regional enteritis, ulcerative colitis, or antibiotic-associated colitis. ( 4.2 )

Adverse Reactions

The following adverse reaction is described in more detail in the Warnings and Precautions section of the label: Colitis [see Warnings and Precautions (5.1) ].

Drug Interactions

Avoid using clindamycin phosphate and benzoyl peroxide gel in combination with topical or oral erythromycin-containing products because of its clindamycin component. ( 7.1 )

Storage and Handling

PHARMACIST: Prior to Dispensing: Store in a refrigerator, 2°C to 8°C (36°F to 46°F). PATIENT: Store at 20° to 25°C (68° to 77°F) [see USP Controlled Room Temperature]. Protect from freezing. Store pump upright. Keep out of the reach of children Keep container tightly closed.

How Supplied

Clindamycin Phosphate and Benzoyl Peroxide Gel 1.2%/3.75% is a white to off-white smooth gel supplied as a 50 g pump (NDC 51672-1403-4)

Description

Clindamycin phosphate and benzoyl peroxide gel, 1.2%/3.75% is indicated for the topical treatment of acne vulgaris in patients 12 years of age and older.

Section 42229-5

Risk Summary

There are no available data on clindamycin phosphate and benzoyl peroxide gel use in pregnant women to evaluate a drug-associated risk of major birth defects, miscarriage, or adverse maternal or fetal outcomes. The limited published data on use of clindamycin in pregnant women with exposure during the first trimester are insufficient to inform a drug-associated risk of pregnancy-related adverse outcomes (see Data). In limited published clinical trials with pregnant women, the systemic administration of clindamycin during the second and third trimesters has not been associated with an increased frequency of major birth defects.

In animal reproduction studies, clindamycin did not cause malformations or embryo-fetal development toxicity in pregnant rats and mice when administered during the period of organogenesis at systemic doses up to 240 times the maximum recommended human dose (MRHD) of 2.5 g clindamycin phosphate and benzoyl peroxide gel, based on body surface area (BSA) comparisons (see Data) .

The estimated background risk of major birth defects and miscarriage for the indicated population is unknown. All pregnancies have a background risk of major birth defects, loss, and other adverse outcomes. In the U.S. general population, the estimated background risk of major birth defects and miscarriage in clinically recognized pregnancies is 2 to 4% and 15 to 20%, respectively.

Section 42230-3
PATIENT INFORMATION

Clindamycin Phosphate

(klin'' da mye' sin fos' fate) and

Benzoyl Peroxide (BEN-zoe-il per-OX-ide) Gel, 1.2%/3.75%
This Patient Information has been approved by the U.S. Food and Drug Administration.
Revised: January 2023
Important information: Clindamycin phosphate and benzoyl peroxide gel is for use on skin only (topical use).Do not use clindamycin phosphate and benzoyl peroxide gel in your mouth, eyes, or vagina.
What is Clindamycin Phosphate and Benzoyl Peroxide Gel?
Clindamycin phosphate and benzoyl peroxide gel is a prescription medicine used on the skin (topical) to treat acne vulgaris in people 12 years of age and older.
It is not known if clindamycin phosphate and benzoyl peroxide gel is safe and effective for use longer than 12 weeks.
It is not known if clindamycin phosphate and benzoyl peroxide gel is safe and effective in children under 12 years of age.
Do not use Clindamycin Phosphate and Benzoyl Peroxide Gel if you have:
  • had an allergic reaction to clindamycin, benzoyl peroxide, lincomycin, or any of the ingredients in clindamycin phosphate and benzoyl peroxide gel. See the end of this leaflet for a complete list of ingredients in clindamycin phosphate and benzoyl peroxide gel.
  • Crohn's disease or ulcerative colitis.
  • had inflammation of the colon (colitis) or severe diarrhea with past antibiotic use.
Talk with your doctor if you are not sure if you have any of the conditions listed above.
Before using Clindamycin Phosphate and Benzoyl Peroxide Gel, tell your doctor about all of your medical conditions, including if you:
  • plan to have surgery. Clindamycin phosphate and benzoyl peroxide gel may affect how certain medicines work that may be given during surgery.
  • are pregnant or plan to become pregnant. It is not known if clindamycin phosphate and benzoyl peroxide gel will harm your unborn baby.
  • are breastfeeding or plan to breastfeed. It is not known if clindamycin phosphate and benzoyl peroxide passes into your breast milk. Clindamycin when taken by mouth or by injection has been reported to appear in breast milk. Talk to your doctor about the best way to feed your baby during treatment with clindamycin phosphate and benzoyl peroxide gel.
Tell your doctor about all the medicines you take,including prescription and over-the-counter medicines, vitamins and herbal supplements. Clindamycin phosphate and benzoyl peroxide gel may affect the way other medicines work and other medicines may affect how clindamycin phosphate and benzoyl peroxide gel works.
  • Especially tell your doctor if you take medicine by mouth that contains erythromycin or use products on your skin that contain erythromycin. Clindamycin phosphate and benzoyl peroxide gel should not be used with products that contain erythromycin.
  • Tell your doctor about any skin products you use. Other skin and topical acne products may increase the irritation of your skin when used with clindamycin phosphate and benzoyl peroxide gel. Know the medicines you take. Keep a list of them and show it to your doctor and pharmacist when you get a new medicine.
How should I use Clindamycin Phosphate and Benzoyl Peroxide Gel?
  • Use clindamycin phosphate and benzoyl peroxide gel exactly as your doctor tells you to use it. See the detailed " Instructions for Use" for directions about how to apply clindamycin phosphate and benzoyl peroxide gel.
  • Your doctor will tell you how long to use clindamycin phosphate and benzoyl peroxide gel.
  • Apply clindamycin phosphate and benzoyl peroxide gel to your face 1 time each day. Before you apply clindamycin phosphate and benzoyl peroxide gel, wash your face gently with a mild soap, rinse with warm water, and pat your skin dry.
What should I avoid while using Clindamycin Phosphate and Benzoyl Peroxide Gel?
  • Limit your time in sunlight. You should avoid using tanning beds or sun lamps during treatment with clindamycin phosphate and benzoyl peroxide gel. If you have to be in sunlight, wear a wide-brimmed hat or other protective clothing, and use sunscreen to cover the treated areas.
  • Avoid getting clindamycin phosphate and benzoyl peroxide gel in your hair or on colored fabric. Clindamycin phosphate and benzoyl peroxide gel may bleach hair or colored fabric.
What are possible side effects of Clindamycin Phosphate and Benzoyl Peroxide Gel? Clindamycin phosphate and benzoyl peroxide gel can cause serious side effects including:
  • Inflammation of the colon (colitis).Stop using clindamycin phosphate and benzoyl peroxide gel and call your doctor right away if you have severe stomach (abdominal) cramps watery diarrhea, or bloody diarrhea during treatment, and within several weeks after treatment with clindamycin phosphate and benzoyl peroxide gel.
  • Allergic reactions.Stop using clindamycin phosphate and benzoyl peroxide gel, call your doctor and get help right away if you have any of the following symptoms during treatment with clindamycin phosphate and benzoyl peroxide gel:
    • severe itching
    • swelling of your face, eyes, lips, tongue or throat
    • trouble breathing
The most common side effects of clindamycin phosphate and benzoyl peroxide gel includeburning sensation, skin redness or swelling, itching and rash. Stop using clindamycin phosphate and benzoyl peroxide gel and call your doctor if you have a skin rash or your skin becomes very red, itchy or swollen. Talk to your doctor about any side effect that bothers you or that does not go away.
These are not all of the possible side effects with clindamycin phosphate and benzoyl peroxide gel.
Call your doctor for medical advice about side effects. You may report side effects to FDA at 1-800-FDA-1088.
How should I store Clindamycin Phosphate and Benzoyl Peroxide Gel?
  • Store clindamycin phosphate and benzoyl peroxide gel at room temperature at or below 77°F (25°C).
  • Do not freeze clindamycin phosphate and benzoyl peroxide gel.
  • Throw away (discard) clindamycin phosphate and benzoyl peroxide gel that has passed the expiration date.
  • Store pump upright.
  • Keep the container tightly closed.
Keep clindamycin phosphate and benzoyl peroxide gel and all medicines out of the reach of children.
General information about the safe and effective use of Clindamycin Phosphate and Benzoyl Peroxide Gel.
Medicines are sometimes prescribed for purposes other than those listed in a Patient Information leaflet. Do not use clindamycin phosphate and benzoyl peroxide gel for a condition for which it was not prescribed. Do not give clindamycin phosphate and benzoyl peroxide gel to other people, even if they have the same condition you have. It may harm them. You can also ask your doctor or pharmacist for information about clindamycin phosphate and benzoyl peroxide gel that is written for healthcare professionals.
What are the ingredients in Clindamycin Phosphate and Benzoyl Peroxide Gel?
Active ingredients:clindamycin phosphate and benzoyl peroxide
Inactive ingredients:carbomer homopolymer type C, poloxamer 124, potassium hydroxide, propylene glycol, and purified water.
Manufactured by: Taro Pharmaceuticals Inc., Brampton, Ontario, Canada L6T 1C1
Distributed by: Taro Pharmaceuticals U.S.A., Inc., Hawthorne, NY 10532
For more information about clindamycin phosphate and benzoyl peroxide gel, call 1-866-923-4914 or visit www.taro.com.
Section 59845-8
INSTRUCTIONS FOR USE

Clindamycin Phosphate

(klin'' da mye' sin fos' fate) and

Benzoyl Peroxide (BEN-zoe-il per-OX-ide) Gel, 1.2%/3.75%
The Patient Information and Instructions for Use have been approved by the U.S. Food and Drug Administration.
Revised: January 2023
Important Information: Clindamycin phosphate and benzoyl peroxide gel is for use on skin only (topical use). Clindamycin phosphate and benzoyl peroxide gel is not for use in your mouth, eyes or vagina.
Read this Instructions for Use before you start using clindamycin phosphate and benzoyl peroxide gel and each time you get a refill. There may be new information. This information does not take the place of talking with your doctor about your medical condition or treatment.
  • Apply clindamycin phosphate and benzoyl peroxide gel to your face 1 time each day as prescribed.
  • Before you apply clindamycin phosphate and benzoyl peroxide gel, wash your face gently with a mild soap, rinse with warm water, and pat your skin dry.
  • To apply clindamycin phosphate and benzoyl peroxide gel to your face, use the pump to dispense one pea-sized amount of clindamycin phosphate and benzoyl peroxide gel onto your fingertip. See Figure 1.
  • One pea-sized amount of clindamycin phosphate and benzoyl peroxide gel should be enough to cover your entire face.

                                                Figure 1
  • Dot the one pea-sized amount of clindamycin phosphate and benzoyl peroxide gel onto six areas of your face (chin, left cheek, right cheek, nose, left forehead, right forehead). See Figure 2.
                 Figure 2

  • Spread the gel over your face and gently rub it in. It is important to spread the gel over your entire face. If your doctor tells you to put clindamycin phosphate and benzoyl peroxide gel on other areas of your skin with acne, be sure to ask how much you should use.
  • Wash your hands with soap and water after applying clindamycin phosphate and benzoyl peroxide gel.
How should I store Clindamycin Phosphate and Benzoyl Peroxide Gel?
  • Store clindamycin phosphate and benzoyl peroxide gel at room temperature at or below 77°F (25°C).
  • Do not freeze clindamycin phosphate and benzoyl peroxide gel.
  • Throw away (discard) clindamycin phosphate and benzoyl peroxide gel that has passed the expiration date.
  • Store pump upright.
  • Keep the container tightly closed
Keep clindamycin phosphate and benzoyl peroxide gel and all medicines out of the reach of children.
5.1 Colitis

Systemic absorption of clindamycin has been demonstrated following topical use of clindamycin. Diarrhea, bloody diarrhea, and colitis (including pseudomembranous colitis) have been reported with the use of topical and systemic clindamycin. If significant diarrhea occurs, clindamycin phosphate and benzoyl peroxide gel should be discontinued.

Severe colitis has occurred following oral and parenteral administration of clindamycin with an onset of up to several weeks following cessation of therapy. Antiperistaltic agents such as opiates and diphenoxylate with atropine may prolong and/or worsen severe colitis. Severe colitis may result in death.

Studies indicate toxin(s) produced by Clostridia is one primary cause of antibiotic-associated colitis. The colitis is usually characterized by severe persistent diarrhea and severe abdominal cramps and may be associated with the passage of blood and mucus. Stool cultures for Clostridium difficileand stool assay for C. difficiletoxin may be helpful diagnostically.

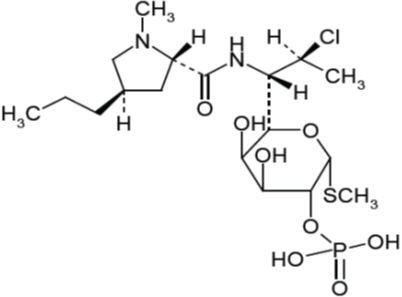
11 Description

Clindamycin Phosphate and Benzoyl Peroxide Gel is a combination product with two active ingredients in a white to off-white, opaque, smooth, aqueous gel formulation intended for topical use. Clindamycin phosphate is a water-soluble ester of the semisynthetic antibiotic produced by a 7(S)-chloro-substitution of the 7(R)-hydroxyl group of the parent antibiotic lincomycin.

The chemical name for clindamycin phosphate is Methyl 7-chloro-6,7,8-trideoxy-6-(1-methyl-trans-4-propyl-L-2-pyrrolidinecarboxamido)-1-thio-L-threo-α-D-galacto-octopyranoside 2-(dihydrogen phosphate). The structural formula for clindamycin phosphate is represented below:

Clindamycin phosphate:

Molecular Formula: C 18H 34ClN 2O 8PS

Molecular Weight: 504.97

Benzoyl peroxide is an antibacterial and keratolytic agent. The structural formula for benzoyl peroxide is represented below:

Benzoyl peroxide:

Molecular Formula: C 14H 10O 4                        Molecular Weight: 242.23

Clindamycin Phosphate and Benzoyl Peroxide Gel contains the following inactive ingredients: carbomer homopolymer type C, poloxamer 124, potassium hydroxide, propylene glycol, and purified water. Each gram of Clindamycin Phosphate and Benzoyl Peroxide Gel contains 12 mg (1.2%) clindamycin phosphate, equivalent to 10 mg (1%) clindamycin, and 37.5 mg (3.75%) benzoyl peroxide.

7.1 Erythromycin

Avoid using clindamycin phosphate and benzoyl peroxide gel in combination with topical or oral erythromycin-containing products due to its clindamycin component. In vitrostudies have shown antagonism between erythromycin and clindamycin. The clinical significance of this in vitroantagonism is not known.

12.4 Microbiology

Clindamycin binds to the 50S ribosomal subunits of susceptible bacteria and prevents elongation of peptide chains by interfering with peptidyl transfer, thereby suppressing bacterial protein synthesis.

Clindamycin and benzoyl peroxide individually have been shown to have in vitroactivity against Propionibacterium acnes, an organism which has been associated with acne vulgaris. In an in vitrostudy, the minimum inhibitory concentration (MIC) for benzoyl peroxide against Propionibacterium acnesis 128 mg/L. The clinical significance of this activity against P. acnesis not known.

P. acnesresistance to clindamycin has been documented. Resistance to clindamycin is often associated with resistance to erythromycin.

16.1 How Supplied

Clindamycin Phosphate and Benzoyl Peroxide Gel 1.2%/3.75% is a white to off-white smooth gel supplied as a 50 g pump (NDC 51672-1403-4)

8.4 Pediatric Use

Safety and effectiveness of clindamycin phosphate and benzoyl peroxide gel in pediatric patients under the age of 12 years have not been evaluated.

8.5 Geriatric Use

Clinical trials of clindamycin phosphate and benzoyl peroxide gel did not include sufficient numbers of subjects age 65 years and older to determine whether they respond differently from younger subjects.

14 Clinical Studies

The safety and efficacy of once-daily use of clindamycin phosphate and benzoyl peroxide gel was assessed in a 12-week multi-center, randomized, blinded trial in subjects 12 years and older with moderate to severe acne vulgaris. This trial evaluated clindamycin phosphate and benzoyl peroxide gel compared to vehicle gel.

The co-primary efficacy variables for this trial were:

  • Mean absolute change from baseline at Week 12 in:
    • Inflammatory lesion counts
    • Non-inflammatory lesion counts
  • Percent of subjects who had a 2-grade reduction from baseline on an Evaluator's Global Severity (EGS) score.

The EGS scoring scale used in the clinical trial for clindamycin phosphate and benzoyl peroxide gel is as follows:

Table 2: EGS Scoring Scale
Grade Description
Clear Normal, clear skin with no evidence of acne
Almost Clear Rare non-inflammatory lesions present, with rare non-inflamed papules (papules must be resolving and may be hyperpigmented, though not pink-red)
Mild Some non-inflammatory lesions are present, with few inflammatory lesions (papules/pustules only; no nodulocystic lesions)
Moderate Non-inflammatory lesions predominate, with multiple inflammatory lesions evident: several to many comedones and papules/pustules, and there may or may not be one small nodulocystic lesion
Severe Inflammatory lesions are more apparent, many comedones and papules/pustules, there may or may not be up to 2 nodulocystic lesions
Very Severe Highly inflammatory lesions predominate, variable number of comedones, many papules/pustules and more than 2 nodulocystic lesions

The results of the trial at Week 12 are presented in Table 3:

Table 3: Results of Phase 3 Trial at Week 12
Clindamycin Phosphate and Benzoyl Peroxide Gel

N = 253
Vehicle Gel

N = 245
EGSS:
Clear or Almost Clear 29% 15%
2-grade reduction from baseline 35% 17%
Inflammatory Lesions:
Mean absolute reduction 16.3 8.2
Mean percent (%) reduction 60.4% 31.3%
Non-Inflammatory Lesions:
Mean absolute reduction 19.2 9.6
Mean percent (%) reduction 51.8% 27.6%
4 Contraindications

Clindamycin phosphate and benzoyl peroxide gel is contraindicated in:

  • Patients who have demonstrated hypersensitivity (e.g., anaphylaxis) to clindamycin, benzoyl peroxide, any components of the formulation, or lincomycin. ( 4.1)
  • Patients with a history of regional enteritis, ulcerative colitis, or antibiotic-associated colitis. ( 4.2)
6 Adverse Reactions

The following adverse reaction is described in more detail in the Warnings and Precautionssection of the label:

7 Drug Interactions
  • Avoid using clindamycin phosphate and benzoyl peroxide gel in combination with topical or oral erythromycin-containing products because of its clindamycin component. ( 7.1)
4.1 Hypersensitivity

Clindamycin phosphate and benzoyl peroxide gel is contraindicated in those individuals who have shown hypersensitivity to clindamycin, benzoyl peroxide, any components of the formulation, or lincomycin. Anaphylaxis, as well as allergic reactions leading to hospitalization, has been reported in postmarketing use with clindamycin phosphate and benzoyl peroxide gel [see Postmarketing Experience (6.2)] .

12.3 Pharmacokinetics

The systemic absorption of clindamycin phosphate and benzoyl peroxide gel has not been evaluated. The systemic absorption of clindamycin was investigated in an open-label, multiple-dose trial in 16 adult subjects with moderate to severe acne vulgaris treated with 1 gram of a marketed gel containing clindamycin 1%/benzoyl peroxide 2.5% applied to the face once daily for 30 days.

This product has the same formulation as clindamycin phosphate and benzoyl peroxide gel but with a lower concentration of benzoyl peroxide. Twelve subjects (75%) had at least one quantifiable clindamycin plasma concentration above the lower limit of quantification (LOQ = 0.5 ng/mL) on Day 1 or Day 30. On Day 1, the mean (± standard deviation) peak plasma concentrations (C max) was 0.78 ± 0.22 ng/mL (n=9 with measurable concentrations), and the mean AUC 0-twas 5.29 ± 0.81 h∙ng/mL (n=4). On Day 30, the mean C maxwas 1.22 ± 0.88 ng/mL (n=10), and the mean AUC 0-twas 8.42 ± 6.01 h∙ng/mL (n=6). Clindamycin plasma concentrations were below LOQ in all subjects at 24 hours post-dose on the three tested days (Day 1, 15, and 30).

Benzoyl peroxide has been shown to be absorbed by the skin where it is converted to benzoic acid.

4.2 Colitis/enteritis

Clindamycin phosphate and benzoyl peroxide gel is contraindicated in patients with a history of regional enteritis, ulcerative colitis, or antibiotic-associated colitis [see Warnings and Precautions (5.1)] .

1 Indications and Usage

Clindamycin phosphate and benzoyl peroxide gel, 1.2%/3.75% is indicated for the topical treatment of acne vulgaris in patients 12 years of age and older.

16.3 Storage and Handling
  • PHARMACIST: Prior to Dispensing: Store in a refrigerator, 2°C to 8°C (36°F to 46°F).
  • PATIENT: Store at 20° to 25°C (68° to 77°F)[see USP Controlled Room Temperature].
  • Protect from freezing.
  • Store pump upright.
  • Keep out of the reach of children
  • Keep container tightly closed.
5 Warnings and Precautions
  • Colitis:Clindamycin can cause severe colitis, which may result in death. Diarrhea, bloody diarrhea, and colitis (including pseudomembranous colitis) have been reported with the use of clindamycin. Clindamycin phosphate and benzoyl peroxide gel should be discontinued if significant diarrhea occurs. ( 5.1)
  • Ultraviolet Light and Environmental Exposure:Minimize sun exposure following drug application. ( 5.2)
2 Dosage and Administration

Before applying clindamycin phosphate and benzoyl peroxide gel, wash the face gently with a mild soap, rinse with warm water, and pat the skin dry. Apply a pea-sized amount of clindamycin phosphate and benzoyl peroxide gel to the face once daily. Avoid the eyes, mouth, mucous membranes, or areas of broken skin.

Use of clindamycin phosphate and benzoyl peroxide gel beyond 12 weeks has not been evaluated.

Clindamycin phosphate and benzoyl peroxide gel is not for oral, ophthalmic, or intravaginal use.

3 Dosage Forms and Strengths

Gel, 1.2%/3.75%

Each gram of clindamycin phosphate and benzoyl peroxide gel contains 12 mg (1.2%) clindamycin phosphate, equivalent to 10 mg (1%) clindamycin, and 37.5 mg (3.75%) benzoyl peroxide in a white to off-white, opaque, smooth gel.

6.2 Postmarketing Experience

Because postmarketing adverse reactions are reported voluntarily from a population of uncertain size, it is not always possible to reliably estimate their frequency or establish a causal relationship to drug exposure.

Anaphylaxis, as well as allergic reactions leading to hospitalizations, has been reported in postmarketing use of products containing clindamycin phosphate/benzoyl peroxide.

6.1 Clinical Trials Experience

Because clinical trials are conducted under widely varying conditions, adverse reaction rates observed in clinical trials of a drug cannot be directly compared to rates observed in clinical trials of another drug and may not reflect the rates observed in clinical practice.

These adverse reactions occurred in less than 0.5% of subjects treated with clindamycin phosphate and benzoyl peroxide gel: burning sensation (0.4%); contact dermatitis (0.4%); pruritus (0.4%); and rash (0.4%).

During the clinical trial, subjects were assessed for local cutaneous signs and symptoms of erythema, scaling, itching, burning and stinging. Most local skin reactions either were the same as baseline or increased and peaked around Week 4 and were near or improved from baseline levels by Week 12. The percentage of subjects that had symptoms present before treatment (at baseline), during treatment, and the percent with symptoms present at Week 12 are shown in Table 1.

Table 1: Percent of Subjects with Local Skin Reactions. Results from the Phase 3 Trial (N = 243)
Before Treatment

(Baseline)
During Treatment End of Treatment

(Week 12)
Mild Mod.
Mod. = Moderate
Severe Mild Mod.
Severe Mild Mod.
Severe
Erythema 20 6 0 28 5 <1 15 2 0
Scaling 10 1 0 19 3 0 10 <1 0
Itching 14 3 <1 15 3 0 7 2 0
Burning 5 <1 <1 7 1 <1 3 <1 0
Stinging 5 <1 0 7 0 <1 3 0 <1
17 Patient Counseling Information

Advise the patient to read the FDA-approved patient labeling (Patient Information).

  • Patients who develop allergic reactions, such as severe swelling or shortness of breath, should discontinue use and contact their physician immediately.
  • Clindamycin phosphate and benzoyl peroxide gel may cause irritation, such as erythema, scaling, itching, or burning, especially when used in combination with other topical acne therapies.
  • Patients should limit excessive or prolonged exposure to sunlight. To minimize exposure to sunlight, a hat or other clothing should be worn. Sunscreen may also be used.
  • Clindamycin phosphate and benzoyl peroxide gel may bleach hair or colored fabric.
7.2 Neuromuscular Blocking Agents

Clindamycin has been shown to have neuromuscular blocking properties that may enhance the action of other neuromuscular blocking agents. Clindamycin phosphate and benzoyl peroxide gel should be used with caution in patients receiving such agents.

5.3 Concomitant Topical Medications

Concomitant topical acne therapy should be used with caution since a possible cumulative irritancy effect may occur, especially with the use of peeling, desquamating, or abrasive agents. If irritancy or dermatitis occurs, reduce frequency of application or temporarily interrupt treatment and resume once the irritation subsides. Treatment should be discontinued if the irritation persists.

Principal Display Panel 50 G Bottle Carton

NDC 51672-1403-4

Clindamycin Phosphate

and Benzoyl Peroxide

Gel 1.2%/3.75%

50 g

FOR TOPICAL USE ONLY. Not for ophthalmic, oral or intravaginal use

One premixed 50 gram pump dispenser

Rx only

TARO

Keep this and all medications out of the reach of children.

16.2 Dispensing Instructions for the Pharmacist
  • Dispense clindamycin phosphate and benzoyl peroxide gel with a 10-week expiration date.
  • Specify " Store at 20° to 25°C (68° to 77°F)[see USP Controlled Room Temperature]. Do not freeze."
5.2 Ultraviolet Light and Environmental Exposure

Minimize sun exposure (including use of tanning beds or sun lamps) following drug application.

13.1 Carcinogenesis, Mutagenesis, Impairment of Fertility

Carcinogenicity, mutagenicity, and impairment of fertility testing of clindamycin phosphate and benzoyl peroxide gel have not been performed.

Benzoyl peroxide has been shown to be a tumor promoter and progression agent in a number of animal studies. Benzoyl peroxide in acetone at doses of 5 and 10 mg administered topically twice per week for 20 weeks induced skin tumors in transgenic Tg∙AC mice. The clinical significance of this is unknown.

Carcinogenicity studies have been conducted with a gel formulation containing 1% clindamycin and 5% benzoyl peroxide. In a 2-year dermal carcinogenicity study in mice, treatment with the gel formulation at doses of 900, 2700, and 15000 mg/kg/day (1.8, 5.4, and 30 times the MRHD for clindamycin and 2.4, 7.2, and 40 times the MRHD for benzoyl peroxide, respectively, based on BSA comparisons) did not cause any increase in tumors.

However, topical treatment with a different gel formulation containing 1% clindamycin and 5% benzoyl peroxide at doses of 100, 500, and 2000 mg/kg/day caused a dose-dependent increase in the incidence of keratoacanthoma at the treated skin site of male rats in a 2-year dermal carcinogenicity study in rats.

In an oral (gavage) carcinogenicity study in rats, treatment with the gel formulation at doses of 300, 900, and 3000 mg/kg/day (1.2, 3.6, and 12 times the MRHD for clindamycin and 1.6, 4.8, and 16 times the MRHD for benzoyl peroxide, respectively, based on BSA comparisons) for up to 97 weeks did not cause any increase in tumors.

Clindamycin phosphate was not genotoxic in the human lymphocyte chromosome aberration assay. Benzoyl peroxide has been found to cause DNA strand breaks in a variety of mammalian cell types, to be mutagenic in S. typhimuriumtests by some but not all investigators, and to cause sister chromatid exchanges in Chinese hamster ovary cells.

Fertility studies have not been performed with clindamycin phosphate and benzoyl peroxide gel or benzoyl peroxide, but fertility and mating ability have been studied with clindamycin. Fertility studies in rats treated orally with up to 300 mg/kg/day of clindamycin (approximately 120 times the MRHD for clindamycin based on BSA comparisons) revealed no effects on fertility or mating ability.


Structured Label Content

Section 42229-5 (42229-5)

Risk Summary

There are no available data on clindamycin phosphate and benzoyl peroxide gel use in pregnant women to evaluate a drug-associated risk of major birth defects, miscarriage, or adverse maternal or fetal outcomes. The limited published data on use of clindamycin in pregnant women with exposure during the first trimester are insufficient to inform a drug-associated risk of pregnancy-related adverse outcomes (see Data). In limited published clinical trials with pregnant women, the systemic administration of clindamycin during the second and third trimesters has not been associated with an increased frequency of major birth defects.

In animal reproduction studies, clindamycin did not cause malformations or embryo-fetal development toxicity in pregnant rats and mice when administered during the period of organogenesis at systemic doses up to 240 times the maximum recommended human dose (MRHD) of 2.5 g clindamycin phosphate and benzoyl peroxide gel, based on body surface area (BSA) comparisons (see Data) .

The estimated background risk of major birth defects and miscarriage for the indicated population is unknown. All pregnancies have a background risk of major birth defects, loss, and other adverse outcomes. In the U.S. general population, the estimated background risk of major birth defects and miscarriage in clinically recognized pregnancies is 2 to 4% and 15 to 20%, respectively.

Section 42230-3 (42230-3)
PATIENT INFORMATION

Clindamycin Phosphate

(klin'' da mye' sin fos' fate) and

Benzoyl Peroxide (BEN-zoe-il per-OX-ide) Gel, 1.2%/3.75%
This Patient Information has been approved by the U.S. Food and Drug Administration.
Revised: January 2023
Important information: Clindamycin phosphate and benzoyl peroxide gel is for use on skin only (topical use).Do not use clindamycin phosphate and benzoyl peroxide gel in your mouth, eyes, or vagina.
What is Clindamycin Phosphate and Benzoyl Peroxide Gel?
Clindamycin phosphate and benzoyl peroxide gel is a prescription medicine used on the skin (topical) to treat acne vulgaris in people 12 years of age and older.
It is not known if clindamycin phosphate and benzoyl peroxide gel is safe and effective for use longer than 12 weeks.
It is not known if clindamycin phosphate and benzoyl peroxide gel is safe and effective in children under 12 years of age.
Do not use Clindamycin Phosphate and Benzoyl Peroxide Gel if you have:
  • had an allergic reaction to clindamycin, benzoyl peroxide, lincomycin, or any of the ingredients in clindamycin phosphate and benzoyl peroxide gel. See the end of this leaflet for a complete list of ingredients in clindamycin phosphate and benzoyl peroxide gel.
  • Crohn's disease or ulcerative colitis.
  • had inflammation of the colon (colitis) or severe diarrhea with past antibiotic use.
Talk with your doctor if you are not sure if you have any of the conditions listed above.
Before using Clindamycin Phosphate and Benzoyl Peroxide Gel, tell your doctor about all of your medical conditions, including if you:
  • plan to have surgery. Clindamycin phosphate and benzoyl peroxide gel may affect how certain medicines work that may be given during surgery.
  • are pregnant or plan to become pregnant. It is not known if clindamycin phosphate and benzoyl peroxide gel will harm your unborn baby.
  • are breastfeeding or plan to breastfeed. It is not known if clindamycin phosphate and benzoyl peroxide passes into your breast milk. Clindamycin when taken by mouth or by injection has been reported to appear in breast milk. Talk to your doctor about the best way to feed your baby during treatment with clindamycin phosphate and benzoyl peroxide gel.
Tell your doctor about all the medicines you take,including prescription and over-the-counter medicines, vitamins and herbal supplements. Clindamycin phosphate and benzoyl peroxide gel may affect the way other medicines work and other medicines may affect how clindamycin phosphate and benzoyl peroxide gel works.
  • Especially tell your doctor if you take medicine by mouth that contains erythromycin or use products on your skin that contain erythromycin. Clindamycin phosphate and benzoyl peroxide gel should not be used with products that contain erythromycin.
  • Tell your doctor about any skin products you use. Other skin and topical acne products may increase the irritation of your skin when used with clindamycin phosphate and benzoyl peroxide gel. Know the medicines you take. Keep a list of them and show it to your doctor and pharmacist when you get a new medicine.
How should I use Clindamycin Phosphate and Benzoyl Peroxide Gel?
  • Use clindamycin phosphate and benzoyl peroxide gel exactly as your doctor tells you to use it. See the detailed " Instructions for Use" for directions about how to apply clindamycin phosphate and benzoyl peroxide gel.
  • Your doctor will tell you how long to use clindamycin phosphate and benzoyl peroxide gel.
  • Apply clindamycin phosphate and benzoyl peroxide gel to your face 1 time each day. Before you apply clindamycin phosphate and benzoyl peroxide gel, wash your face gently with a mild soap, rinse with warm water, and pat your skin dry.
What should I avoid while using Clindamycin Phosphate and Benzoyl Peroxide Gel?
  • Limit your time in sunlight. You should avoid using tanning beds or sun lamps during treatment with clindamycin phosphate and benzoyl peroxide gel. If you have to be in sunlight, wear a wide-brimmed hat or other protective clothing, and use sunscreen to cover the treated areas.
  • Avoid getting clindamycin phosphate and benzoyl peroxide gel in your hair or on colored fabric. Clindamycin phosphate and benzoyl peroxide gel may bleach hair or colored fabric.
What are possible side effects of Clindamycin Phosphate and Benzoyl Peroxide Gel? Clindamycin phosphate and benzoyl peroxide gel can cause serious side effects including:
  • Inflammation of the colon (colitis).Stop using clindamycin phosphate and benzoyl peroxide gel and call your doctor right away if you have severe stomach (abdominal) cramps watery diarrhea, or bloody diarrhea during treatment, and within several weeks after treatment with clindamycin phosphate and benzoyl peroxide gel.
  • Allergic reactions.Stop using clindamycin phosphate and benzoyl peroxide gel, call your doctor and get help right away if you have any of the following symptoms during treatment with clindamycin phosphate and benzoyl peroxide gel:
    • severe itching
    • swelling of your face, eyes, lips, tongue or throat
    • trouble breathing
The most common side effects of clindamycin phosphate and benzoyl peroxide gel includeburning sensation, skin redness or swelling, itching and rash. Stop using clindamycin phosphate and benzoyl peroxide gel and call your doctor if you have a skin rash or your skin becomes very red, itchy or swollen. Talk to your doctor about any side effect that bothers you or that does not go away.
These are not all of the possible side effects with clindamycin phosphate and benzoyl peroxide gel.
Call your doctor for medical advice about side effects. You may report side effects to FDA at 1-800-FDA-1088.
How should I store Clindamycin Phosphate and Benzoyl Peroxide Gel?
  • Store clindamycin phosphate and benzoyl peroxide gel at room temperature at or below 77°F (25°C).
  • Do not freeze clindamycin phosphate and benzoyl peroxide gel.
  • Throw away (discard) clindamycin phosphate and benzoyl peroxide gel that has passed the expiration date.
  • Store pump upright.
  • Keep the container tightly closed.
Keep clindamycin phosphate and benzoyl peroxide gel and all medicines out of the reach of children.
General information about the safe and effective use of Clindamycin Phosphate and Benzoyl Peroxide Gel.
Medicines are sometimes prescribed for purposes other than those listed in a Patient Information leaflet. Do not use clindamycin phosphate and benzoyl peroxide gel for a condition for which it was not prescribed. Do not give clindamycin phosphate and benzoyl peroxide gel to other people, even if they have the same condition you have. It may harm them. You can also ask your doctor or pharmacist for information about clindamycin phosphate and benzoyl peroxide gel that is written for healthcare professionals.
What are the ingredients in Clindamycin Phosphate and Benzoyl Peroxide Gel?
Active ingredients:clindamycin phosphate and benzoyl peroxide
Inactive ingredients:carbomer homopolymer type C, poloxamer 124, potassium hydroxide, propylene glycol, and purified water.
Manufactured by: Taro Pharmaceuticals Inc., Brampton, Ontario, Canada L6T 1C1
Distributed by: Taro Pharmaceuticals U.S.A., Inc., Hawthorne, NY 10532
For more information about clindamycin phosphate and benzoyl peroxide gel, call 1-866-923-4914 or visit www.taro.com.
Section 59845-8 (59845-8)
INSTRUCTIONS FOR USE

Clindamycin Phosphate

(klin'' da mye' sin fos' fate) and

Benzoyl Peroxide (BEN-zoe-il per-OX-ide) Gel, 1.2%/3.75%
The Patient Information and Instructions for Use have been approved by the U.S. Food and Drug Administration.
Revised: January 2023
Important Information: Clindamycin phosphate and benzoyl peroxide gel is for use on skin only (topical use). Clindamycin phosphate and benzoyl peroxide gel is not for use in your mouth, eyes or vagina.
Read this Instructions for Use before you start using clindamycin phosphate and benzoyl peroxide gel and each time you get a refill. There may be new information. This information does not take the place of talking with your doctor about your medical condition or treatment.
  • Apply clindamycin phosphate and benzoyl peroxide gel to your face 1 time each day as prescribed.
  • Before you apply clindamycin phosphate and benzoyl peroxide gel, wash your face gently with a mild soap, rinse with warm water, and pat your skin dry.
  • To apply clindamycin phosphate and benzoyl peroxide gel to your face, use the pump to dispense one pea-sized amount of clindamycin phosphate and benzoyl peroxide gel onto your fingertip. See Figure 1.
  • One pea-sized amount of clindamycin phosphate and benzoyl peroxide gel should be enough to cover your entire face.

                                                Figure 1
  • Dot the one pea-sized amount of clindamycin phosphate and benzoyl peroxide gel onto six areas of your face (chin, left cheek, right cheek, nose, left forehead, right forehead). See Figure 2.
                 Figure 2

  • Spread the gel over your face and gently rub it in. It is important to spread the gel over your entire face. If your doctor tells you to put clindamycin phosphate and benzoyl peroxide gel on other areas of your skin with acne, be sure to ask how much you should use.
  • Wash your hands with soap and water after applying clindamycin phosphate and benzoyl peroxide gel.
How should I store Clindamycin Phosphate and Benzoyl Peroxide Gel?
  • Store clindamycin phosphate and benzoyl peroxide gel at room temperature at or below 77°F (25°C).
  • Do not freeze clindamycin phosphate and benzoyl peroxide gel.
  • Throw away (discard) clindamycin phosphate and benzoyl peroxide gel that has passed the expiration date.
  • Store pump upright.
  • Keep the container tightly closed
Keep clindamycin phosphate and benzoyl peroxide gel and all medicines out of the reach of children.
5.1 Colitis

Systemic absorption of clindamycin has been demonstrated following topical use of clindamycin. Diarrhea, bloody diarrhea, and colitis (including pseudomembranous colitis) have been reported with the use of topical and systemic clindamycin. If significant diarrhea occurs, clindamycin phosphate and benzoyl peroxide gel should be discontinued.

Severe colitis has occurred following oral and parenteral administration of clindamycin with an onset of up to several weeks following cessation of therapy. Antiperistaltic agents such as opiates and diphenoxylate with atropine may prolong and/or worsen severe colitis. Severe colitis may result in death.

Studies indicate toxin(s) produced by Clostridia is one primary cause of antibiotic-associated colitis. The colitis is usually characterized by severe persistent diarrhea and severe abdominal cramps and may be associated with the passage of blood and mucus. Stool cultures for Clostridium difficileand stool assay for C. difficiletoxin may be helpful diagnostically.

11 Description (11 DESCRIPTION)

Clindamycin Phosphate and Benzoyl Peroxide Gel is a combination product with two active ingredients in a white to off-white, opaque, smooth, aqueous gel formulation intended for topical use. Clindamycin phosphate is a water-soluble ester of the semisynthetic antibiotic produced by a 7(S)-chloro-substitution of the 7(R)-hydroxyl group of the parent antibiotic lincomycin.

The chemical name for clindamycin phosphate is Methyl 7-chloro-6,7,8-trideoxy-6-(1-methyl-trans-4-propyl-L-2-pyrrolidinecarboxamido)-1-thio-L-threo-α-D-galacto-octopyranoside 2-(dihydrogen phosphate). The structural formula for clindamycin phosphate is represented below:

Clindamycin phosphate:

Molecular Formula: C 18H 34ClN 2O 8PS

Molecular Weight: 504.97

Benzoyl peroxide is an antibacterial and keratolytic agent. The structural formula for benzoyl peroxide is represented below:

Benzoyl peroxide:

Molecular Formula: C 14H 10O 4                        Molecular Weight: 242.23

Clindamycin Phosphate and Benzoyl Peroxide Gel contains the following inactive ingredients: carbomer homopolymer type C, poloxamer 124, potassium hydroxide, propylene glycol, and purified water. Each gram of Clindamycin Phosphate and Benzoyl Peroxide Gel contains 12 mg (1.2%) clindamycin phosphate, equivalent to 10 mg (1%) clindamycin, and 37.5 mg (3.75%) benzoyl peroxide.

7.1 Erythromycin

Avoid using clindamycin phosphate and benzoyl peroxide gel in combination with topical or oral erythromycin-containing products due to its clindamycin component. In vitrostudies have shown antagonism between erythromycin and clindamycin. The clinical significance of this in vitroantagonism is not known.

12.4 Microbiology

Clindamycin binds to the 50S ribosomal subunits of susceptible bacteria and prevents elongation of peptide chains by interfering with peptidyl transfer, thereby suppressing bacterial protein synthesis.

Clindamycin and benzoyl peroxide individually have been shown to have in vitroactivity against Propionibacterium acnes, an organism which has been associated with acne vulgaris. In an in vitrostudy, the minimum inhibitory concentration (MIC) for benzoyl peroxide against Propionibacterium acnesis 128 mg/L. The clinical significance of this activity against P. acnesis not known.

P. acnesresistance to clindamycin has been documented. Resistance to clindamycin is often associated with resistance to erythromycin.

16.1 How Supplied

Clindamycin Phosphate and Benzoyl Peroxide Gel 1.2%/3.75% is a white to off-white smooth gel supplied as a 50 g pump (NDC 51672-1403-4)

8.4 Pediatric Use

Safety and effectiveness of clindamycin phosphate and benzoyl peroxide gel in pediatric patients under the age of 12 years have not been evaluated.

8.5 Geriatric Use

Clinical trials of clindamycin phosphate and benzoyl peroxide gel did not include sufficient numbers of subjects age 65 years and older to determine whether they respond differently from younger subjects.

14 Clinical Studies (14 CLINICAL STUDIES)

The safety and efficacy of once-daily use of clindamycin phosphate and benzoyl peroxide gel was assessed in a 12-week multi-center, randomized, blinded trial in subjects 12 years and older with moderate to severe acne vulgaris. This trial evaluated clindamycin phosphate and benzoyl peroxide gel compared to vehicle gel.

The co-primary efficacy variables for this trial were:

  • Mean absolute change from baseline at Week 12 in:
    • Inflammatory lesion counts
    • Non-inflammatory lesion counts
  • Percent of subjects who had a 2-grade reduction from baseline on an Evaluator's Global Severity (EGS) score.

The EGS scoring scale used in the clinical trial for clindamycin phosphate and benzoyl peroxide gel is as follows:

Table 2: EGS Scoring Scale
Grade Description
Clear Normal, clear skin with no evidence of acne
Almost Clear Rare non-inflammatory lesions present, with rare non-inflamed papules (papules must be resolving and may be hyperpigmented, though not pink-red)
Mild Some non-inflammatory lesions are present, with few inflammatory lesions (papules/pustules only; no nodulocystic lesions)
Moderate Non-inflammatory lesions predominate, with multiple inflammatory lesions evident: several to many comedones and papules/pustules, and there may or may not be one small nodulocystic lesion
Severe Inflammatory lesions are more apparent, many comedones and papules/pustules, there may or may not be up to 2 nodulocystic lesions
Very Severe Highly inflammatory lesions predominate, variable number of comedones, many papules/pustules and more than 2 nodulocystic lesions

The results of the trial at Week 12 are presented in Table 3:

Table 3: Results of Phase 3 Trial at Week 12
Clindamycin Phosphate and Benzoyl Peroxide Gel

N = 253
Vehicle Gel

N = 245
EGSS:
Clear or Almost Clear 29% 15%
2-grade reduction from baseline 35% 17%
Inflammatory Lesions:
Mean absolute reduction 16.3 8.2
Mean percent (%) reduction 60.4% 31.3%
Non-Inflammatory Lesions:
Mean absolute reduction 19.2 9.6
Mean percent (%) reduction 51.8% 27.6%
4 Contraindications (4 CONTRAINDICATIONS)

Clindamycin phosphate and benzoyl peroxide gel is contraindicated in:

  • Patients who have demonstrated hypersensitivity (e.g., anaphylaxis) to clindamycin, benzoyl peroxide, any components of the formulation, or lincomycin. ( 4.1)
  • Patients with a history of regional enteritis, ulcerative colitis, or antibiotic-associated colitis. ( 4.2)
6 Adverse Reactions (6 ADVERSE REACTIONS)

The following adverse reaction is described in more detail in the Warnings and Precautionssection of the label:

7 Drug Interactions (7 DRUG INTERACTIONS)
  • Avoid using clindamycin phosphate and benzoyl peroxide gel in combination with topical or oral erythromycin-containing products because of its clindamycin component. ( 7.1)
4.1 Hypersensitivity

Clindamycin phosphate and benzoyl peroxide gel is contraindicated in those individuals who have shown hypersensitivity to clindamycin, benzoyl peroxide, any components of the formulation, or lincomycin. Anaphylaxis, as well as allergic reactions leading to hospitalization, has been reported in postmarketing use with clindamycin phosphate and benzoyl peroxide gel [see Postmarketing Experience (6.2)] .

12.3 Pharmacokinetics

The systemic absorption of clindamycin phosphate and benzoyl peroxide gel has not been evaluated. The systemic absorption of clindamycin was investigated in an open-label, multiple-dose trial in 16 adult subjects with moderate to severe acne vulgaris treated with 1 gram of a marketed gel containing clindamycin 1%/benzoyl peroxide 2.5% applied to the face once daily for 30 days.

This product has the same formulation as clindamycin phosphate and benzoyl peroxide gel but with a lower concentration of benzoyl peroxide. Twelve subjects (75%) had at least one quantifiable clindamycin plasma concentration above the lower limit of quantification (LOQ = 0.5 ng/mL) on Day 1 or Day 30. On Day 1, the mean (± standard deviation) peak plasma concentrations (C max) was 0.78 ± 0.22 ng/mL (n=9 with measurable concentrations), and the mean AUC 0-twas 5.29 ± 0.81 h∙ng/mL (n=4). On Day 30, the mean C maxwas 1.22 ± 0.88 ng/mL (n=10), and the mean AUC 0-twas 8.42 ± 6.01 h∙ng/mL (n=6). Clindamycin plasma concentrations were below LOQ in all subjects at 24 hours post-dose on the three tested days (Day 1, 15, and 30).

Benzoyl peroxide has been shown to be absorbed by the skin where it is converted to benzoic acid.

4.2 Colitis/enteritis (4.2 Colitis/Enteritis)

Clindamycin phosphate and benzoyl peroxide gel is contraindicated in patients with a history of regional enteritis, ulcerative colitis, or antibiotic-associated colitis [see Warnings and Precautions (5.1)] .

1 Indications and Usage (1 INDICATIONS AND USAGE)

Clindamycin phosphate and benzoyl peroxide gel, 1.2%/3.75% is indicated for the topical treatment of acne vulgaris in patients 12 years of age and older.

16.3 Storage and Handling
  • PHARMACIST: Prior to Dispensing: Store in a refrigerator, 2°C to 8°C (36°F to 46°F).
  • PATIENT: Store at 20° to 25°C (68° to 77°F)[see USP Controlled Room Temperature].
  • Protect from freezing.
  • Store pump upright.
  • Keep out of the reach of children
  • Keep container tightly closed.
5 Warnings and Precautions (5 WARNINGS AND PRECAUTIONS)
  • Colitis:Clindamycin can cause severe colitis, which may result in death. Diarrhea, bloody diarrhea, and colitis (including pseudomembranous colitis) have been reported with the use of clindamycin. Clindamycin phosphate and benzoyl peroxide gel should be discontinued if significant diarrhea occurs. ( 5.1)
  • Ultraviolet Light and Environmental Exposure:Minimize sun exposure following drug application. ( 5.2)
2 Dosage and Administration (2 DOSAGE AND ADMINISTRATION)

Before applying clindamycin phosphate and benzoyl peroxide gel, wash the face gently with a mild soap, rinse with warm water, and pat the skin dry. Apply a pea-sized amount of clindamycin phosphate and benzoyl peroxide gel to the face once daily. Avoid the eyes, mouth, mucous membranes, or areas of broken skin.

Use of clindamycin phosphate and benzoyl peroxide gel beyond 12 weeks has not been evaluated.

Clindamycin phosphate and benzoyl peroxide gel is not for oral, ophthalmic, or intravaginal use.

3 Dosage Forms and Strengths (3 DOSAGE FORMS AND STRENGTHS)

Gel, 1.2%/3.75%

Each gram of clindamycin phosphate and benzoyl peroxide gel contains 12 mg (1.2%) clindamycin phosphate, equivalent to 10 mg (1%) clindamycin, and 37.5 mg (3.75%) benzoyl peroxide in a white to off-white, opaque, smooth gel.

6.2 Postmarketing Experience

Because postmarketing adverse reactions are reported voluntarily from a population of uncertain size, it is not always possible to reliably estimate their frequency or establish a causal relationship to drug exposure.

Anaphylaxis, as well as allergic reactions leading to hospitalizations, has been reported in postmarketing use of products containing clindamycin phosphate/benzoyl peroxide.

6.1 Clinical Trials Experience

Because clinical trials are conducted under widely varying conditions, adverse reaction rates observed in clinical trials of a drug cannot be directly compared to rates observed in clinical trials of another drug and may not reflect the rates observed in clinical practice.

These adverse reactions occurred in less than 0.5% of subjects treated with clindamycin phosphate and benzoyl peroxide gel: burning sensation (0.4%); contact dermatitis (0.4%); pruritus (0.4%); and rash (0.4%).

During the clinical trial, subjects were assessed for local cutaneous signs and symptoms of erythema, scaling, itching, burning and stinging. Most local skin reactions either were the same as baseline or increased and peaked around Week 4 and were near or improved from baseline levels by Week 12. The percentage of subjects that had symptoms present before treatment (at baseline), during treatment, and the percent with symptoms present at Week 12 are shown in Table 1.

Table 1: Percent of Subjects with Local Skin Reactions. Results from the Phase 3 Trial (N = 243)
Before Treatment

(Baseline)
During Treatment End of Treatment

(Week 12)
Mild Mod.
Mod. = Moderate
Severe Mild Mod.
Severe Mild Mod.
Severe
Erythema 20 6 0 28 5 <1 15 2 0
Scaling 10 1 0 19 3 0 10 <1 0
Itching 14 3 <1 15 3 0 7 2 0
Burning 5 <1 <1 7 1 <1 3 <1 0
Stinging 5 <1 0 7 0 <1 3 0 <1
17 Patient Counseling Information (17 PATIENT COUNSELING INFORMATION)

Advise the patient to read the FDA-approved patient labeling (Patient Information).

  • Patients who develop allergic reactions, such as severe swelling or shortness of breath, should discontinue use and contact their physician immediately.
  • Clindamycin phosphate and benzoyl peroxide gel may cause irritation, such as erythema, scaling, itching, or burning, especially when used in combination with other topical acne therapies.
  • Patients should limit excessive or prolonged exposure to sunlight. To minimize exposure to sunlight, a hat or other clothing should be worn. Sunscreen may also be used.
  • Clindamycin phosphate and benzoyl peroxide gel may bleach hair or colored fabric.
7.2 Neuromuscular Blocking Agents

Clindamycin has been shown to have neuromuscular blocking properties that may enhance the action of other neuromuscular blocking agents. Clindamycin phosphate and benzoyl peroxide gel should be used with caution in patients receiving such agents.

5.3 Concomitant Topical Medications

Concomitant topical acne therapy should be used with caution since a possible cumulative irritancy effect may occur, especially with the use of peeling, desquamating, or abrasive agents. If irritancy or dermatitis occurs, reduce frequency of application or temporarily interrupt treatment and resume once the irritation subsides. Treatment should be discontinued if the irritation persists.

Principal Display Panel 50 G Bottle Carton (PRINCIPAL DISPLAY PANEL - 50 g Bottle Carton)

NDC 51672-1403-4

Clindamycin Phosphate

and Benzoyl Peroxide

Gel 1.2%/3.75%

50 g

FOR TOPICAL USE ONLY. Not for ophthalmic, oral or intravaginal use

One premixed 50 gram pump dispenser

Rx only

TARO

Keep this and all medications out of the reach of children.

16.2 Dispensing Instructions for the Pharmacist
  • Dispense clindamycin phosphate and benzoyl peroxide gel with a 10-week expiration date.
  • Specify " Store at 20° to 25°C (68° to 77°F)[see USP Controlled Room Temperature]. Do not freeze."
5.2 Ultraviolet Light and Environmental Exposure

Minimize sun exposure (including use of tanning beds or sun lamps) following drug application.

13.1 Carcinogenesis, Mutagenesis, Impairment of Fertility

Carcinogenicity, mutagenicity, and impairment of fertility testing of clindamycin phosphate and benzoyl peroxide gel have not been performed.

Benzoyl peroxide has been shown to be a tumor promoter and progression agent in a number of animal studies. Benzoyl peroxide in acetone at doses of 5 and 10 mg administered topically twice per week for 20 weeks induced skin tumors in transgenic Tg∙AC mice. The clinical significance of this is unknown.

Carcinogenicity studies have been conducted with a gel formulation containing 1% clindamycin and 5% benzoyl peroxide. In a 2-year dermal carcinogenicity study in mice, treatment with the gel formulation at doses of 900, 2700, and 15000 mg/kg/day (1.8, 5.4, and 30 times the MRHD for clindamycin and 2.4, 7.2, and 40 times the MRHD for benzoyl peroxide, respectively, based on BSA comparisons) did not cause any increase in tumors.

However, topical treatment with a different gel formulation containing 1% clindamycin and 5% benzoyl peroxide at doses of 100, 500, and 2000 mg/kg/day caused a dose-dependent increase in the incidence of keratoacanthoma at the treated skin site of male rats in a 2-year dermal carcinogenicity study in rats.

In an oral (gavage) carcinogenicity study in rats, treatment with the gel formulation at doses of 300, 900, and 3000 mg/kg/day (1.2, 3.6, and 12 times the MRHD for clindamycin and 1.6, 4.8, and 16 times the MRHD for benzoyl peroxide, respectively, based on BSA comparisons) for up to 97 weeks did not cause any increase in tumors.

Clindamycin phosphate was not genotoxic in the human lymphocyte chromosome aberration assay. Benzoyl peroxide has been found to cause DNA strand breaks in a variety of mammalian cell types, to be mutagenic in S. typhimuriumtests by some but not all investigators, and to cause sister chromatid exchanges in Chinese hamster ovary cells.

Fertility studies have not been performed with clindamycin phosphate and benzoyl peroxide gel or benzoyl peroxide, but fertility and mating ability have been studied with clindamycin. Fertility studies in rats treated orally with up to 300 mg/kg/day of clindamycin (approximately 120 times the MRHD for clindamycin based on BSA comparisons) revealed no effects on fertility or mating ability.


Advanced Ingredient Data


Raw Label Data

All Sections (JSON)