Elimite®

Elimite®
SPL v1
SPL
SPL Set ID 443c0446-ccba-4f52-83ed-4c3163f35807
Route
TOPICAL
Published
Effective Date 2024-01-24
Document Type 34391-3 Human Prescription Drug Label

Drug Facts

Composition & Product

Active Ingredients
Permethrin (50 mg)
Inactive Ingredients
Butylated Hydroxytoluene Carbomer Homopolymer Type B (allyl Pentaerythritol Crosslinked) Ceteth-2 Ceteth-20 Glycerin Isopropyl Myristate Lanolin Alcohols Medium-chain Triglycerides Mineral Oil Glyceryl Mono And Dipalmitostearate Water Sodium Hydroxide Formaldehyde

Identifiers & Packaging

Marketing Status
NDA Active Since 2024-01-22

Description

(PERMETHRIN) 5%* *W/W Rx only

Indications and Usage

ELIMITE ® (permethrin) 5% Cream is indicated for the treatment of infestation with Sarcoptes scabiei (scabies).

Dosage and Administration

Adults and Children - Thoroughly massage ELIMITE ® (permethrin) 5% Cream into the skin from the head to the soles of the feet. Scabies rarely infests the scalp of adults, although the hairline, neck, temple, and forehead may be infested in infants and geriatric patients. Usually 30 grams is sufficient for an average adult. The cream should be removed by washing (shower or bath) after 8 to 14 hours. Infants should be treated on the scalp, temple, and forehead. ONE APPLICATION IS GENERALLY CURATIVE. Patients may experience persistent pruritus after treatment. This is rarely a sign of treatment failure and is not an indication for retreatment. Demonstrable living mites after 14 days indicate that retreatment is necessary.

Contraindications

ELIMITE ® (permethrin) 5% Cream is contraindicated in patients with known hypersensitivity to any of its components, to any synthetic pyrethroid or pyrethrin.

Adverse Reactions

In clinical trials, generally mild and transient burning and stinging followed application with ELIMITE ® (permethrin) 5% Cream in 10% of patients and was associated with the severity of infestation. Pruritus was reported in 7% of patients at various times post-application. Erythema, numbness, tingling, and rash were reported in 1 to 2% or less of patients (see PRECAUTIONS: General ). Other adverse events reported since marketing ELIMITE ® (permethrin) 5% Cream include: headache, fever, dizziness, abdominal pain, diarrhea and nausea and/or vomiting. Although extremely uncommon and not expected when used as directed (see DOSAGE AND ADMINISTRATION ), rare occurrences of seizure have been reported. None have been medically confirmed as associated with ELIMITE ® treatment.

How Supplied

ELIMITE ® Cream, 5% contains 50 mg permethrin per gram. The off-white, greaseless, uniform mass is available as follows: Carton containing one 60 g tube                                 NDC 59651-834-60 STORAGE: Store at 20° to 25°C (68° to 77°F) [see USP Controlled Room Temperature.] Distributed by: Aurobindo Pharma USA, Inc. 279 Princeton-Hightstown Road East Windsor, NJ 08520 Manufactured by: Aurobindo Pharma Limited Hyderabad-500 032, India Revised: 11/2023


Medication Information

Indications and Usage

ELIMITE® (permethrin) 5% Cream is indicated for the treatment of infestation with Sarcoptes scabiei (scabies).

Dosage and Administration

Adults and Children - Thoroughly massage ELIMITE® (permethrin) 5% Cream into the skin from the head to the soles of the feet. Scabies rarely infests the scalp of adults, although the hairline, neck, temple, and forehead may be infested in infants and geriatric patients. Usually 30 grams is sufficient for an average adult. The cream should be removed by washing (shower or bath) after 8 to 14 hours. Infants should be treated on the scalp, temple, and forehead. ONE APPLICATION IS GENERALLY CURATIVE.



Patients may experience persistent pruritus after treatment. This is rarely a sign of treatment failure and is not an indication for retreatment. Demonstrable living mites after 14 days indicate that retreatment is necessary.

Contraindications

ELIMITE® (permethrin) 5% Cream is contraindicated in patients with known hypersensitivity to any of its components, to any synthetic pyrethroid or pyrethrin.

Adverse Reactions

In clinical trials, generally mild and transient burning and stinging followed application with ELIMITE® (permethrin) 5% Cream in 10% of patients and was associated with the severity of infestation. Pruritus was reported in 7% of patients at various times post-application. Erythema, numbness, tingling, and rash were reported in 1 to 2% or less of patients (see PRECAUTIONS: General ). Other adverse events reported since marketing ELIMITE® (permethrin) 5% Cream include: headache, fever, dizziness, abdominal pain, diarrhea and nausea and/or vomiting. Although extremely uncommon and not expected when used as directed (see DOSAGE AND ADMINISTRATION ), rare occurrences of seizure have been reported. None have been medically confirmed as associated with ELIMITE® treatment.

How Supplied

ELIMITE® Cream, 5% contains 50 mg permethrin per gram. The off-white, greaseless, uniform mass is available as follows:



Carton containing one 60 g tube                                 NDC 59651-834-60



STORAGE: Store at 20° to 25°C (68° to 77°F) [see USP Controlled Room Temperature.]



Distributed by:

Aurobindo Pharma USA, Inc.

279 Princeton-Hightstown Road

East Windsor, NJ 08520



Manufactured by:

Aurobindo Pharma Limited

Hyderabad-500 032, India



Revised: 11/2023

Description

ELIMITE® (permethrin) 5% Cream is a topical scabicidal agent for the treatment of infestation with Sarcoptes scabiei (scabies). It is available in an off-white, greaseless, uniform mass. ELIMITE® (permethrin) 5% Cream is for topical use only.







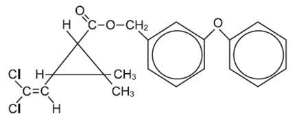
Chemical Name - The permethrin used is an approximate 1:3 mixture of the cis and trans isomers of the pyrethroid 3-(2,2-dichloroethenyl)-2,2-dimethylcyclopropanecarboxylic acid, (3-phenoxyphenyl) methyl ester. Permethrin has a molecular formula of C21H20CI2O3 and a molecular weight of 391.29. It is a colorless or slightly brownish viscous liquid, semi-solid or crystalline solid.



Active Ingredient - Each gram contains permethrin 50 mg (5%).



Inactive Ingredients - Butylated hydroxytoluene, carbomer homopolymer type B, ceteth-2, ceteth-20, glycerin, isopropyl myristate, lanolin alcohols, medium chain triglycerides, mineral oil, mono and di-glycerides, purified water, and sodium hydroxide. Formaldehyde 1 mg (0.1%) is added as a preservative.

Section 34072-9

General - Scabies infestation is often accompanied by pruritus, edema, and erythema. Treatment with ELIMITE® (permethrin) 5% Cream may temporarily exacerbate these conditions.

Section 34076-0

Information for Patients - Patients with scabies should be advised that itching, mild burning and/or stinging may occur after application of ELIMITE® (permethrin) 5% Cream. In clinical trials, approximately 75% of patients treated with ELIMITE® (permethrin) 5% Cream who continued to manifest pruritus at 2 weeks had cessation by 4 weeks. If irritation persists, they should consult their physician. ELIMITE® (permethrin) 5% Cream may be very mildly irritating to the eyes. Patients should be advised to avoid contact with eyes during application and to flush with water immediately if ELIMITE® (permethrin) 5% Cream gets in the eyes.

Section 34080-2

Nursing Mothers - It is not known whether this drug is excreted in human milk. Because many drugs are excreted in human milk and because of the evidence for tumorigenic potential of permethrin in animal studies, consideration should be given to discontinuing nursing temporarily or withholding the drug while the mother is nursing.

Section 34081-0

Pediatric Use - ELIMITE® (permethrin) 5% Cream is safe and effective in pediatric patients two months of age and older. Safety and effectiveness in infants less than two months of age have not been established.

Section 34082-8

Geriatric Use - Clinical studies of ELIMITE® (permethrin) 5% Cream did not identify sufficient numbers of subjects aged 65 and over to allow a definitive statement regarding whether elderly subjects respond differently from younger subjects. Other reported clinical experience has not identified differences in responses between the elderly and younger patients. This drug is known to be substantially excreted by the kidney. However, since topical permethrin is metabolized in the liver and excreted in the urine as inactive metabolites, there does not appear to be an increased risk of toxic reactions in patients with impaired renal function when used as labeled.

Section 34083-6

Carcinogenesis, Mutagenesis, Impairment of Fertility - Six carcinogenicity bioassays were evaluated with permethrin, three each in rats and mice. No tumorigenicity was seen in the rat studies. However, species-specific increases in pulmonary adenomas, a common benign tumor of mice of high spontaneous background incidence, were seen in the three mouse studies. In one of these studies there was an increased incidence of pulmonary alveolar-cell carcinomas and benign liver adenomas only in female mice when permethrin was given in their food at a concentration of 5000 ppm. Mutagenicity assays, which give useful correlative data for interpreting results from carcinogenicity bioassays in rodents, were negative. Permethrin showed no evidence of mutagenic potential in a battery of in vitro and in vivo genetic toxicity studies.



Permethrin did not have any adverse effect on reproductive function at a dose of 180 mg/kg/day orally in a three-generation rat study.

Section 42228-7

Pregnancy - Reproduction studies have been performed in mice, rats, and rabbits (200 to 400 mg/kg/day orally) and have revealed no evidence of impaired fertility or harm to the fetus due to permethrin. There are, however, no adequate and well-controlled studies in pregnant women. Because animal reproduction studies are not always predictive of human response, this drug should be used during pregnancy only if clearly needed.

Section 42229-5

(PERMETHRIN) 5%* *W/W

Rx only



Warnings

If hypersensitivity to ELIMITE® (permethrin) 5% Cream occurs, discontinue use.

Overdosage

No instance of accidental ingestion of ELIMITE® (permethrin) 5% Cream has been reported. If ingested, gastric lavage and general supportive measures should be employed. Excessive topical use (see DOSAGE AND ADMINISTRATION ) may result in increased irritation and erythema.

Clinical Pharmacology

Permethrin, a pyrethroid, is active against a broad range of pests including lice, ticks, fleas, mites, and other arthropods. It acts on the nerve cell membrane to disrupt the sodium channel current by which the polarization of the membrane is regulated. Delayed repolarization and paralysis of the pests are the consequences of this disturbance.



Permethrin is rapidly metabolized by ester hydrolysis to inactive metabolites which are excreted primarily in the urine. Although the amount of permethrin absorbed after a single application of the 5% cream has not been determined precisely, data from studies with 14C-labeled permethrin and absorption studies of the cream applied to patients with moderate to severe scabies indicate it is 2% or less of the amount applied.

Package Label Principal Display Panel 5% Container Label (60 G Tube)

NDC 59651-834-60



Rx only



ELIMITE® CREAM

(PERMETHRIN)

5%*



*W/W

FOR EXTERNAL USE ONLY. NOT FOR USE IN EYES.



AUROBINDO                                    60 g



Package Label Principal Display Panel 5% Container Carton Label (60 G Tube)

NDC 59651-834-60



Rx only



ELIMITE® CREAM

(PERMETHRIN)

5%*



*W/W

FOR EXTERNAL USE ONLY. NOT FOR USE IN EYES.



AUROBINDO                                    60 g




Structured Label Content

Section 34072-9 (34072-9)

General - Scabies infestation is often accompanied by pruritus, edema, and erythema. Treatment with ELIMITE® (permethrin) 5% Cream may temporarily exacerbate these conditions.

Section 34076-0 (34076-0)

Information for Patients - Patients with scabies should be advised that itching, mild burning and/or stinging may occur after application of ELIMITE® (permethrin) 5% Cream. In clinical trials, approximately 75% of patients treated with ELIMITE® (permethrin) 5% Cream who continued to manifest pruritus at 2 weeks had cessation by 4 weeks. If irritation persists, they should consult their physician. ELIMITE® (permethrin) 5% Cream may be very mildly irritating to the eyes. Patients should be advised to avoid contact with eyes during application and to flush with water immediately if ELIMITE® (permethrin) 5% Cream gets in the eyes.

Section 34080-2 (34080-2)

Nursing Mothers - It is not known whether this drug is excreted in human milk. Because many drugs are excreted in human milk and because of the evidence for tumorigenic potential of permethrin in animal studies, consideration should be given to discontinuing nursing temporarily or withholding the drug while the mother is nursing.

Section 34081-0 (34081-0)

Pediatric Use - ELIMITE® (permethrin) 5% Cream is safe and effective in pediatric patients two months of age and older. Safety and effectiveness in infants less than two months of age have not been established.

Section 34082-8 (34082-8)

Geriatric Use - Clinical studies of ELIMITE® (permethrin) 5% Cream did not identify sufficient numbers of subjects aged 65 and over to allow a definitive statement regarding whether elderly subjects respond differently from younger subjects. Other reported clinical experience has not identified differences in responses between the elderly and younger patients. This drug is known to be substantially excreted by the kidney. However, since topical permethrin is metabolized in the liver and excreted in the urine as inactive metabolites, there does not appear to be an increased risk of toxic reactions in patients with impaired renal function when used as labeled.

Section 34083-6 (34083-6)

Carcinogenesis, Mutagenesis, Impairment of Fertility - Six carcinogenicity bioassays were evaluated with permethrin, three each in rats and mice. No tumorigenicity was seen in the rat studies. However, species-specific increases in pulmonary adenomas, a common benign tumor of mice of high spontaneous background incidence, were seen in the three mouse studies. In one of these studies there was an increased incidence of pulmonary alveolar-cell carcinomas and benign liver adenomas only in female mice when permethrin was given in their food at a concentration of 5000 ppm. Mutagenicity assays, which give useful correlative data for interpreting results from carcinogenicity bioassays in rodents, were negative. Permethrin showed no evidence of mutagenic potential in a battery of in vitro and in vivo genetic toxicity studies.



Permethrin did not have any adverse effect on reproductive function at a dose of 180 mg/kg/day orally in a three-generation rat study.

Section 42228-7 (42228-7)

Pregnancy - Reproduction studies have been performed in mice, rats, and rabbits (200 to 400 mg/kg/day orally) and have revealed no evidence of impaired fertility or harm to the fetus due to permethrin. There are, however, no adequate and well-controlled studies in pregnant women. Because animal reproduction studies are not always predictive of human response, this drug should be used during pregnancy only if clearly needed.

Section 42229-5 (42229-5)

(PERMETHRIN) 5%* *W/W

Rx only



Warnings (WARNINGS)

If hypersensitivity to ELIMITE® (permethrin) 5% Cream occurs, discontinue use.

Overdosage (OVERDOSAGE)

No instance of accidental ingestion of ELIMITE® (permethrin) 5% Cream has been reported. If ingested, gastric lavage and general supportive measures should be employed. Excessive topical use (see DOSAGE AND ADMINISTRATION ) may result in increased irritation and erythema.

Description (DESCRIPTION)

ELIMITE® (permethrin) 5% Cream is a topical scabicidal agent for the treatment of infestation with Sarcoptes scabiei (scabies). It is available in an off-white, greaseless, uniform mass. ELIMITE® (permethrin) 5% Cream is for topical use only.







Chemical Name - The permethrin used is an approximate 1:3 mixture of the cis and trans isomers of the pyrethroid 3-(2,2-dichloroethenyl)-2,2-dimethylcyclopropanecarboxylic acid, (3-phenoxyphenyl) methyl ester. Permethrin has a molecular formula of C21H20CI2O3 and a molecular weight of 391.29. It is a colorless or slightly brownish viscous liquid, semi-solid or crystalline solid.



Active Ingredient - Each gram contains permethrin 50 mg (5%).



Inactive Ingredients - Butylated hydroxytoluene, carbomer homopolymer type B, ceteth-2, ceteth-20, glycerin, isopropyl myristate, lanolin alcohols, medium chain triglycerides, mineral oil, mono and di-glycerides, purified water, and sodium hydroxide. Formaldehyde 1 mg (0.1%) is added as a preservative.

How Supplied (HOW SUPPLIED)

ELIMITE® Cream, 5% contains 50 mg permethrin per gram. The off-white, greaseless, uniform mass is available as follows:



Carton containing one 60 g tube                                 NDC 59651-834-60



STORAGE: Store at 20° to 25°C (68° to 77°F) [see USP Controlled Room Temperature.]



Distributed by:

Aurobindo Pharma USA, Inc.

279 Princeton-Hightstown Road

East Windsor, NJ 08520



Manufactured by:

Aurobindo Pharma Limited

Hyderabad-500 032, India



Revised: 11/2023

Adverse Reactions (ADVERSE REACTIONS)

In clinical trials, generally mild and transient burning and stinging followed application with ELIMITE® (permethrin) 5% Cream in 10% of patients and was associated with the severity of infestation. Pruritus was reported in 7% of patients at various times post-application. Erythema, numbness, tingling, and rash were reported in 1 to 2% or less of patients (see PRECAUTIONS: General ). Other adverse events reported since marketing ELIMITE® (permethrin) 5% Cream include: headache, fever, dizziness, abdominal pain, diarrhea and nausea and/or vomiting. Although extremely uncommon and not expected when used as directed (see DOSAGE AND ADMINISTRATION ), rare occurrences of seizure have been reported. None have been medically confirmed as associated with ELIMITE® treatment.

Contraindications (CONTRAINDICATIONS)

ELIMITE® (permethrin) 5% Cream is contraindicated in patients with known hypersensitivity to any of its components, to any synthetic pyrethroid or pyrethrin.

Clinical Pharmacology (CLINICAL PHARMACOLOGY)

Permethrin, a pyrethroid, is active against a broad range of pests including lice, ticks, fleas, mites, and other arthropods. It acts on the nerve cell membrane to disrupt the sodium channel current by which the polarization of the membrane is regulated. Delayed repolarization and paralysis of the pests are the consequences of this disturbance.



Permethrin is rapidly metabolized by ester hydrolysis to inactive metabolites which are excreted primarily in the urine. Although the amount of permethrin absorbed after a single application of the 5% cream has not been determined precisely, data from studies with 14C-labeled permethrin and absorption studies of the cream applied to patients with moderate to severe scabies indicate it is 2% or less of the amount applied.

Indications and Usage (INDICATIONS AND USAGE)

ELIMITE® (permethrin) 5% Cream is indicated for the treatment of infestation with Sarcoptes scabiei (scabies).

Dosage and Administration (DOSAGE AND ADMINISTRATION)

Adults and Children - Thoroughly massage ELIMITE® (permethrin) 5% Cream into the skin from the head to the soles of the feet. Scabies rarely infests the scalp of adults, although the hairline, neck, temple, and forehead may be infested in infants and geriatric patients. Usually 30 grams is sufficient for an average adult. The cream should be removed by washing (shower or bath) after 8 to 14 hours. Infants should be treated on the scalp, temple, and forehead. ONE APPLICATION IS GENERALLY CURATIVE.



Patients may experience persistent pruritus after treatment. This is rarely a sign of treatment failure and is not an indication for retreatment. Demonstrable living mites after 14 days indicate that retreatment is necessary.

Package Label Principal Display Panel 5% Container Label (60 G Tube) (PACKAGE LABEL-PRINCIPAL DISPLAY PANEL - 5% Container Label (60 g Tube))

NDC 59651-834-60



Rx only



ELIMITE® CREAM

(PERMETHRIN)

5%*



*W/W

FOR EXTERNAL USE ONLY. NOT FOR USE IN EYES.



AUROBINDO                                    60 g



Package Label Principal Display Panel 5% Container Carton Label (60 G Tube) (PACKAGE LABEL-PRINCIPAL DISPLAY PANEL - 5% Container Carton Label (60 g Tube))

NDC 59651-834-60



Rx only



ELIMITE® CREAM

(PERMETHRIN)

5%*



*W/W

FOR EXTERNAL USE ONLY. NOT FOR USE IN EYES.



AUROBINDO                                    60 g




Advanced Ingredient Data


Raw Label Data

All Sections (JSON)