Azithromycin For Oral Suspension Usp

Azithromycin For Oral Suspension Usp
SPL v6
SPL
SPL Set ID 44134421-cb0b-4e85-a3c8-d58bdb476fad
Route
ORAL
Published
Effective Date 2024-04-01
Document Type 34391-3 HUMAN PRESCRIPTION DRUG LABEL

Drug Facts

Composition & Product

Active Ingredients
Azithromycin Anhydrous (200 mg)
Inactive Ingredients
Dimethylaminoethyl Methacrylate - Butyl Methacrylate - Methyl Methacrylate Copolymer Silicon Dioxide Fd&c Red No. 40 Hydroxypropyl Cellulose (1600000 Wamw) Sucrose Sodium Phosphate, Tribasic, Anhydrous Xanthan Gum

Identifiers & Packaging

Marketing Status
ANDA Active Since 2010-12-17

Description

To reduce the development of drug-resistant bacteria and maintain the effectiveness of azithromycin and other antibacterial drugs, azithromycin for oral suspension should be used only to treat or prevent infections that are proven or strongly suspected to be caused by bacteria.

Indications and Usage

Azithromycin for oral suspension USP is indicated for the treatment of patients with mild to moderate infections (pneumonia: see WARNINGS ) caused by susceptible strains of the designated microorganisms in the specific conditions listed below. As recommended dosages, durations of therapy and applicable patient populations vary among these infections, please see DOSAGE AND ADMINISTRATION for specific dosing recommendations.

Dosage and Administration

See INDICATIONS AND USAGE and CLINICAL PHARMACOLOGY .

Contraindications

Azithromycin is contraindicated in patients with known hypersensitivity to azithromycin, erythromycin any macrolide or ketolide antibiotic. Azithromycin is contraindicated in patients with a history of cholestatic jaundice/hepatic dysfunction associated with prior use of azithromycin.

Adverse Reactions

In clinical trials, most of the reported side effects were mild to moderate in severity and were reversible upon discontinuation of the drug. Potentially serious side effects of angioedema and cholestatic jaundice were reported rarely. Approximately 0.7% of the patients (adults and pediatric patients) from the 5 day multiple-dose clinical trials discontinued azithromycin therapy because of treatment-related side effects. In adults given 500 mg/day for 3 days, the discontinuation rate due to treatment-related side effects was 0.6%. In clinical trials in pediatric patients given 30 mg/kg, either as a single dose or over 3 days, discontinuation from the trials due to treatment-related side effects was approximately 1% (see DOSAGE AND ADMINISTRATION ). Most of the side effects leading to discontinuation were related to the gastrointestinal tract, e.g., nausea, vomiting, diarrhea, or abdominal pain (see CLINICAL STUDIES, Pediatric Patients ).

Drug Interactions

Drug interaction studies were performed with azithromycin and other drugs likely to be coadministered. The effects of coadministration of azithromycin on the pharmacokinetics of other drugs are shown in Table 1 and the effect of other drugs on the pharmacokinetics of azithromycin are shown in Table 2 . Coadministration of azithromycin at therapeutic doses had a modest effect on the pharmacokinetics of the drugs listed in Table 1 . No dosage adjustment of drugs listed in Table 1 is recommended when coadministered with azithromycin. Coadministration of azithromycin with efavirenz or fluconazole had a modest effect on the pharmacokinetics of azithromycin. Nelfinavir significantly increased the C max and AUC of azithromycin. No dosage adjustment of azithromycin is recommended when administered with drugs listed in Table 2 (see PRECAUTIONS, Drug Interactions ). Table 1. Drug Interactions: Pharmacokinetic Parameters for Coadministered Drugs in the Presence of Azithromycin NA - Not Available Mean rifabutin concentrations one-half day after the last dose of rifabutin were 60 ng/mL when coadministered with azithromycin and 71 ng/mL when coadministered with placebo. Coadministered Drug Dose of Coadministered Drug Dose of Azithromycin n Ratio (with/without azithromycin) of Coadministered Drug Pharmacokinetic Parameters (90% CI); No Effect = 1 Mean C max Mean AUC Atorvastatin 10 mg/day x 8 days 500 mg/day PO on days 6 to 8 12 0.83 (0.63 to 1.08) 1.01 (0.81 to 1.25) Carbamazepine 200 mg/day x 2 days, then 200 mg BID x 18 days 500 mg/day PO for days 16 to 18 7 0.97 (0.88 to 1.06) 0.96 (0.88 to 1.06) Cetirizine 20 mg/day x 11 days 500 mg PO on day 7, then 250 mg/day on days 8 to 11 14 1.03 (0.93 to 1.14) 1.02 (0.92 to 1.13) Didanosine 200 mg PO BID x 21 days 1,200 mg/day PO on days 8 to 21 6 1.44 (0.85 to 2.43) 1.14 (0.83 to 1.57) Efavirenz 400 mg/day x 7 days 600 mg PO on day 7 14 1.04 0.95 Fluconazole 200 mg PO single dose 1,200 mg PO single dose 18 1.04 (0.98 to 1.11) 1.01 (0.97 to 1.05) Indinavir 800 mg TID x 5 days 1,200 mg PO on day 5 18 0.96 (0.86 to 1.08) 0.9 (0.81 to 1) Midazolam 15 mg PO on day 3 500 mg/day PO x 3 days 12 1.27 (0.89 to 1.81) 1.26 (1.01 to 1.56) Nelfinavir 750 mg TID x 11 days 1,200 mg PO on day 9 14 0.90 (0.81 to 1.01) 0.85 (0.78 to 0.93) Rifabutin 300 mg/day x 10 days 500 mg PO on day 1, then 250 mg/day on days 2 to 10 6 See footnote below NA Sildenafil 100 mg on days 1 and 4 500 mg/day PO x 3 days 12 1.16 (0.86 to 1.57) 0.92 (0.75 to 1.12) Theophylline 4 mg/kg I.V. on days 1, 11, 25 500 mg PO on day 7, then 250 mg/day on days 8 to 11 10 1.19 (1.02 to 1.40) 1.02 (0.86 to 1.22) Theophylline 300 mg PO BID x 15 days 500 mg PO on day 6, then 250 mg/day on days 7 to 10 8 1.09 (0.92 to 1.29) 1.08 (0.89 to 1.31) Triazolam 0.125 mg on day 2 500 mg PO on day1, then 250 mg/day on day 2 12 1.06 1.02 Trimethoprim/ Sulfamethoxazole 160 mg/800 mg/day PO x 7 days 1,200 mg PO on day 7 12 0.85 (0.75 to 0.97) /0.90 (0.78 to 1.03) 0.87 (0.80 to 0.95) /0.96 (0.88 to 1.03) Zidovudine 500 mg/day PO x 21 days 600 mg/day PO x 14 days 5 1.12 (0.42 to 3.02) 0.94 (0.52 to 1.70) Zidovudine 500 mg/day PO x 21 days 1,200 mg/day PO x 14 days 4 1.31 (0.43 to 3.97) 1.30 (0.69 to 2.43) Table 2. Drug Interactions: Pharmacokinetic Parameters for Azithromycin in the Presence of Coadministered Drugs (see PRECAUTIONS, Drug Interactions ) NA - Not available Coadministered Drug Dose of Coadministered Drug Dose of Azithromycin n Ratio (with/without coadministered drug) of Azithromycin Pharmacokinetic Parameters (90% CI); No Effect = 1 Mean C max Mean AUC Efavirenz 400 mg/day x 7 days 600 mg PO on day 7 14 1.22 (1.04 to 1.42) 0.92 Fluconazole 200 mg PO single dose 1,200 mg PO single dose 18 0.82 (0.66 to 1.02) 1.07 (0.94 to 1.22) Nelfinavir 750 mg TID x 11 days 1,200 mg PO on day 9 14 2.36 (1.77 to 3.15) 2.12 (1.80 to 2.50) Rifabutin 300 mg/day x 10 days 500 mg PO on day 1, then 250 mg/day on days 2 to 10 6 See footnote below NA Mean azithromycin concentrations one day after the last dose were 53 ng/mL when coadministered with 300 mg daily rifabutin and 49 ng/mL when coadministered with placebo.

How Supplied

Azithromycin for oral suspension USP after constitution contains a flavored pink suspension. Azithromycin for oral suspension USP is supplied to provide 200 mg/5 mL suspension in bottles as follows: 200mg/5ml Suspension 15ml NDC (63187-093-15) 200mg/5ml Suspension 22.5ml NDC (63187-093-22) 200mg/5ml Suspension 30ml NDC (63187-093-30)


Medication Information

Recent Major Changes

Azithromycin contents per bottle

600 mg

Indications and Usage

Azithromycin for oral suspension USP is indicated for the treatment of patients with mild to moderate infections (pneumonia: see WARNINGS ) caused by susceptible strains of the designated microorganisms in the specific conditions listed below. As recommended dosages, durations of therapy and applicable patient populations vary among these infections, please see DOSAGE AND ADMINISTRATION for specific dosing recommendations.

Dosage and Administration
Contraindications

Azithromycin is contraindicated in patients with known hypersensitivity to azithromycin, erythromycin any macrolide or ketolide antibiotic. Azithromycin is contraindicated in patients with a history of cholestatic jaundice/hepatic dysfunction associated with prior use of azithromycin.

Adverse Reactions

In clinical trials, most of the reported side effects were mild to moderate in severity and were reversible upon discontinuation of the drug. Potentially serious side effects of angioedema and cholestatic jaundice were reported rarely. Approximately 0.7% of the patients (adults and pediatric patients) from the 5 day multiple-dose clinical trials discontinued azithromycin therapy because of treatment-related side effects. In adults given 500 mg/day for 3 days, the discontinuation rate due to treatment-related side effects was 0.6%. In clinical trials in pediatric patients given 30 mg/kg, either as a single dose or over 3 days, discontinuation from the trials due to treatment-related side effects was approximately 1% (see DOSAGE AND ADMINISTRATION ). Most of the side effects leading to discontinuation were related to the gastrointestinal tract, e.g., nausea, vomiting, diarrhea, or abdominal pain (see CLINICAL STUDIES, Pediatric Patients ).

Drug Interactions

Coadministration of nelfinavir at steady-state with a single oral dose of azithromycin resulted in increased azithromycin serum concentrations. Although a dose adjustment of azithromycin is not recommended when administered in combination with nelfinavir, close monitoring for known side effects of azithromycin, such as liver enzyme abnormalities and hearing impairment, is warranted (see ADVERSE REACTIONS ).

Although, in a study of 22 healthy men, a 5 day course of azithromycin did not affect the prothrombin time from a subsequently administered dose of warfarin, spontaneous postmarketing reports suggest that concomitant administration of azithromycin may potentiate the effects of oral anticoagulants. Prothrombin times should be carefully monitored while patients are receiving azithromycin and oral anticoagulants concomitantly.

Drug interaction studies were performed with azithromycin and other drugs likely to be coadministered (see CLINICAL PHARMACOLOGY, Drug-Drug Interactions ). When used in therapeutic doses, azithromycin had a modest effect on the pharmacokinetics of atorvastatin, carbamazepine, cetirizine, didanosine, efavirenz, fluconazole, indinavir, midazolam, rifabutin, sildenafil, theophylline (intravenous and oral), triazolam, trimethoprim/sulfamethoxazole or zidovudine. Coadministration with efavirenz, or fluconazole had a modest effect on the pharmacokinetics of azithromycin. No dosage adjustment of either drug is recommended when azithromycin is coadministered with any of the above agents.

Interactions with the drugs listed below have not been reported in clinical trials with azithromycin; however, no specific drug interaction studies have been performed to evaluate potential drug-drug interaction. Nonetheless, they have been observed with macrolide products. Until further data are developed regarding drug interactions when azithromycin and these drugs are used concomitantly, careful monitoring of patients is advised:

Digoxin–elevated digoxin concentrations.

Ergotamine or dihydroergotamine–acute ergot toxicity characterized by severe peripheral vasospasm and dysesthesia.

Terfenadine, cyclosporine, hexobarbital and phenytoin concentrations.

How Supplied

Azithromycin for oral suspension USP after constitution contains a flavored pink suspension. Azithromycin for oral suspension USP is supplied to provide 200 mg/5 mL suspension in bottles as follows:

200mg/5ml Suspension 15ml NDC (63187-093-15)

200mg/5ml Suspension 22.5ml NDC (63187-093-22)

200mg/5ml Suspension 30ml NDC (63187-093-30)

Description

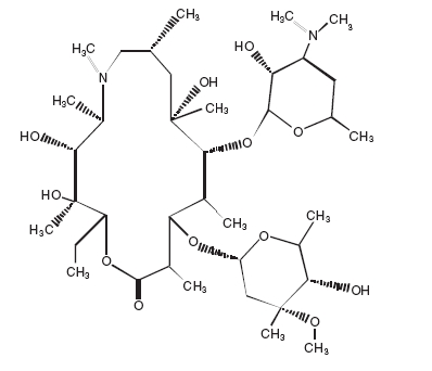
Azithromycin for oral suspension USP contains the active ingredient azithromycin, USP, an azalide, a subclass of macrolide antibiotics, for oral administration. Azithromycin, USP has the chemical name (2R,3S,4R,5R,8R, 10R,11R,12S,13S,14R)-13-[(2,6-dideoxy-3-C-methyl-3-O-methyl-α-L-ribo-hexopyranosyl) oxy]-2-ethyl-3,4,10-trihydroxy-3,5,6,8,10,12,14-heptamethyl-11-[[3,4,6-trideoxy-3- (dimethylamino)-β-D-xylo-hexopyranosyl]oxy]-1-oxa-6-azacyclopentadecan-15-one. Azithromycin, USP is derived from erythromycin; however, it differs chemically from erythromycin in that a methyl-substituted nitrogen atom is incorporated into the lactone ring.

Azithromycin, USP has the following structural formula:

C38H72N2O12 M.W. 749.0

Azithromycin, USP, as the monohydrate, is a white crystalline powder with a molecular formula of C38H72N2O12•H2O and a molecular weight of 767.0.

Azithromycin for oral suspension USP is supplied in bottles containing azithromycin monohydrate powder equivalent to 300 mg, 600 mg, 900 mg or 1200 mg azithromycin, USP per bottle and the following inactive ingredients: ammonio methacrylate copolymer, banana flavor, cherry flavor, colloidal silicon dioxide, FD&C Red No. 40, hydroxypropyl cellulose, sucrose, tribasic sodium phosphate anhydrous, vanilla flavor, and xanthan gum. After constitution, each 5 mL of suspension contains 100 mg or 200 mg of azithromycin, USP.

Adults

Acute bacterial exacerbations of chronic obstructive pulmonary disease due to Haemophilus influenzae, Moraxella catarrhalis or Streptococcus pneumoniae.

Acute bacterial sinusitis due to Haemophilus influenzae, Moraxella catarrhalis or Streptococcus pneumoniae.

Community-acquired pneumonia due to Chlamydophila pneumoniae, Haemophilus influenzae, Mycoplasma pneumoniae or Streptococcus pneumoniae in patients appropriate for oral therapy.

NOTE: Azithromycin should not be used in patients with pneumonia who are judged to be inappropriate for oral therapy because of moderate to severe illness or risk factors such as any of the following:

patients with cystic fibrosis,

patients with nosocomially acquired infections,

patients with known or suspected bacteremia,

patients requiring hospitalization,

elderly or debilitated patients, or

patients with significant underlying health problems that may compromise their ability

to respond to their illness (including immunodeficiency or functional asplenia).

Pharyngitis/tonsillitis caused by Streptococcus pyogenes as an alternative to first-line therapy in individuals who cannot use first-line therapy.

NOTE: Penicillin by the intramuscular route is the usual drug of choice in the treatment of Streptococcus pyogenes infection and the prophylaxis of rheumatic fever. Azithromycin for oral suspension USP is often effective in the  eradication of susceptible strains of Streptococcus pyogenes from the nasopharynx. Because some  strains are resistant to azithromycin for oral suspension USP, susceptibility tests should be performed when patients are treated with azithromycin for oral suspension USP. Data establishing efficacy of azithromycin in subsequent prevention of rheumatic fever are not available.

Uncomplicated skin and skin structure infections due to Staphylococcus aureus, Streptococcus pyogenes, or Streptococcus agalactiae. Abscesses usually require surgical drainage.

Urethritis and cervicitis due to Chlamydia trachomatis or Neisseria gonorrhoeae.

Genital ulcer disease in men due to Haemophilus ducreyi (chancroid). Due to the small number of women included in clinical trials, the efficacy of azithromycin in the treatment of chancroid in women has not been established.

Azithromycin for oral suspension USP, at the recommended dose, should not be relied upon to treat syphilis. Antimicrobial agents used in high doses for short periods of time to treat non-gonococcal urethritis may mask or delay the symptoms of incubating syphilis. All patients with sexually-transmitted urethritis or cervicitis should have a serologic test for syphilis and appropriate cultures for gonorrhea performed at the time of diagnosis. Appropriate antimicrobial therapy and follow-up tests for these diseases should be initiated if infection is confirmed.

Appropriate culture and susceptibility tests should be performed before treatment to determine the causative organism and its susceptibility to azithromycin, USP. Therapy with azithromycin for oral suspension USP may be initiated before results of these tests are known; once the results become available, antimicrobial therapy should be adjusted accordingly.

To reduce the development of drug-resistant bacteria and maintain the effectiveness of azithromycin for oral suspension USP and other antibacterial drugs, azithromycin for oral suspension USP should be used only to treat or prevent infections that are proven or strongly suspected to be caused by susceptible bacteria. When culture and susceptibility information are available, they should be considered in selecting or modifying antibacterial therapy. In the absence of such data, local epidemiology and susceptibility patterns may contribute to the empiric selection of therapy.

Gender

There are no significant differences in the disposition of azithromycin between male and female subjects. No dosage adjustment is recommended based on gender.

Section 42229-5

To reduce the development of drug-resistant bacteria and maintain the effectiveness of azithromycin and other antibacterial drugs, azithromycin for oral suspension should be used only to treat or prevent infections that are proven or strongly suspected to be caused by bacteria.

General

Because azithromycin is principally eliminated via the liver, caution should be exercised when azithromycin is administered to patients with impaired hepatic function. Due to the limited data in subjects with GFR < 10 mL/min, caution should be exercised when prescribing azithromycin in these patients (see CLINICAL PHARMACOLOGY, Special Populations, Renal Insufficiency ).

Exacerbation of symptoms of myasthenia gravis and new onset of myasthenic syndrome have been reported in patients receiving azithromycin therapy.

Prescribing azithromycin in the absence of a proven or strongly suspected bacterial infection or a prophylactic indication is unlikely to provide benefit to the patient and increases the risk of the development of drug-resistant bacteria.

Absorption

The absolute bioavailability of azithromycin 250 mg capsules is 38%.

In a two-way crossover study in which 12 healthy subjects received a single 500 mg dose of azithromycin (two 250 mg tablets) with or without a high fat meal, food was shown to increase Cmax by 23% but had no effect on AUC.

When azithromycin suspension was administered with food to 28 adult healthy male subjects, Cmax increased by 56% and AUC was unchanged.

The AUC of azithromycin was unaffected by coadministration of an antacid containing aluminum and magnesium hydroxide with azithromycin capsules; however, the Cmax was reduced by 24%. Administration of cimetidine (800 mg) two hours prior to azithromycin had no effect on azithromycin absorption.

Metabolism

In vitro and in vivo studies to assess the metabolism of azithromycin have not been performed.

References
  • Clinical and Laboratory Standards Institute (CLSI). Methods for Dilution Antimicrobial Susceptibility Tests for Bacteria that Grow Aerobically; Approved Standard - Ninth Edition. CLSI document M07-A9. CLSI 950 West Valley Rd, Suite 250, Wayne, PA 19087, 2012.
  • CLSI, Performance Standards for Antimicrobial Susceptibility Testing; Twenty-Second Informational Supplement. CLSI document M100-S22. CLSI, Wayne, PA 19087, 2012.
  • CLSI. Performance Standards for Antimicrobial Disk Susceptibility Tests; Approved Standard - Eleventh Edition. CLSI document M02-A11. CLSI, Wayne, PA 19087, 2012.

Manufactured In Croatia By:

PLIVA HRVATSKA d.o.o.

Zagreb, Croatia

Manufactured For:

TEVA PHARMACEUTICALS USA

Sellersville, PA 18960

Rev. E 2/2013

Relabeled by:

PROFICIENT RX LP

Thousand Oaks, CA 91320

Elimination

Plasma concentrations of azithromycin following single 500 mg oral and i.v. doses declined in a polyphasic pattern with a mean apparent plasma clearance of 630 mL/min and terminal elimination half-life of 68 hours. The prolonged terminal half-life is thought to be due to extensive uptake and subsequent release of drug from tissues.

Biliary excretion of azithromycin, predominantly as unchanged drug, is a major route of elimination. Over the course of a week, approximately 6% of the administered dose appears as unchanged drug in urine.

Distribution

The serum protein binding of azithromycin is variable in the concentration range approximating human exposure, decreasing from 51% at 0.02 mcg/mL to 7% at 2 mcg/mL.

Following oral administration, azithromycin is widely distributed throughout the body with an apparent steady-state volume of distribution of 31.1 L/kg. Greater azithromycin concentrations in tissues than in plasma or serum were observed. High tissue concentrations should not be interpreted to be quantitatively related to clinical efficacy. The antimicrobial activity of azithromycin is pH related and appears to be reduced with decreasing pH. However, the extensive distribution of drug to tissues may be relevant to clinical activity.

Selected tissue (or fluid) concentration and tissue (or fluid) to plasma/serum concentration ratios are shown in the following table:

AZITHROMYCIN CONCENTRATIONS FOLLOWING A 500 mg DOSE (TWO 250 mg CAPSULES) IN ADULTS 

TISSUE OR FLUID

TIME AFTER

DOSE (h)

TISSUE OR FLUID CONCENTRATION

(mcg/g or mcg/mL)

CORRESPONDING PLASMA OR SERUM

LEVEL (mcg/mL)

TISSUE (FLUID)

PLASMA (SERUM)

RATIO

SKIN

72 to 96

0.4

0.012

35

LUNG

72 to 96

4

0.012

> 100

SPUTUM

2 to 4

1

0.64

2

SPUTUM

10 to 12

2.9

0.1

30

TONSIL

9 to 18

4.5

0.03

> 100

TONSIL

180

0.9

0.006

> 100

CERVIX

19

2.8

0.04

70

The extensive tissue distribution was confirmed by examination of additional tissues and fluids (bone, ejaculum, prostate, ovary, uterus, salpinx, stomach, liver, and gallbladder). As there are no data from adequate and well-controlled studies of azithromycin treatment of infections in these additional body sites, the clinical importance of these tissue concentration data is unknown.

Following a regimen of 500 mg on the first day and 250 mg daily for 4 days, only very low concentrations were noted in cerebrospinal fluid (less than 0.01 mcg/mL) in the presence of non-inflamed meninges.

Geriatric Use

Pharmacokinetic parameters in older volunteers (65 to 85 years old) were similar to those in younger volunteers (18 to 40 years old) for the 5 day therapeutic regimen. Dosage adjustment does not appear to be necessary for older patients with normal renal and hepatic function receiving treatment with this dosage regimen (see CLINICAL PHARMACOLOGY ).

In multiple-dose clinical trials of oral azithromycin, 9% of patients were at least 65 years of age (458/4949) and 3% of patients (144/4949) were at least 75 years of age. No overall differences in safety or effectiveness were observed between these subjects and younger subjects, and other reported clinical experience has not identified differences in response between the elderly and younger patients, but greater sensitivity of some older individuals cannot be ruled out.

Elderly patients may be more susceptible to development of torsade de pointes arrhythmia than younger patients (see WARNINGS ).

Azithromycin for oral suspension USP, 100 mg/5 mL contains 8.8 mg of sodium per 5 mL of constituted solution.

Azithromycin for oral suspension USP, 200 mg/5 mL contains 8.8 mg of sodium per 5 mL of constituted solution.

Pediatric Use

See CLINICAL PHARMACOLOGY, INDICATIONS AND USAGE, and DOSAGE AND ADMINISTRATION.

Acute Otitis Media (total dosage regimen: 30 mg/kg, see DOSAGE AND ADMINISTRATION ): Safety and effectiveness in the treatment of pediatric patients with otitis media under 6 months of age have not been established.

Acute Bacterial Sinusitis (dosage regimen: 10 mg/kg on Days 1 to 3): Safety and effectiveness in the treatment of pediatric patients with acute bacterial sinusitis under 6 months of age have not been established. Use of azithromycin for the treatment of acute bacterial sinusitis in pediatric patients (6 months of age or greater) is supported by adequate and well-controlled studies in adults, similar pathophysiology of acute sinusitis in adults and pediatric patients, and studies of acute otitis media in pediatric patients.

Community-Acquired Pneumonia (dosage regimen: 10 mg/kg on Day 1 followed by 5 mg/kg on Days 2 to 5): Safety and effectiveness in the treatment of pediatric patients with community-acquired pneumonia under 6 months of age have not been established. Safety and effectiveness for pneumonia due to Chlamydophilapneumoniae and Mycoplasma pneumoniae were documented in pediatric clinical trials. Safety and effectiveness for pneumonia due to Haemophilus influenzae and Streptococcus pneumoniae were not documented bacteriologically in the pediatric clinical trial due to difficulty in obtaining specimens. Use of azithromycin for these two microorganisms is supported, however, by evidence from adequate and well-controlled studies in adults.

Pharyngitis/Tonsillitis (dosage regimen: 12 mg/kg on Days 1 to 5): Safety and effectiveness in the treatment of pediatric patients with pharyngitis/tonsillitis under 2 years of age have not been established.  

Studies evaluating the use of repeated courses of therapy have not been conducted (see CLINICAL PHARMACOLOGY and ANIMAL TOXICOLOGY ).

Hepatotoxicity

Abnormal liver function, hepatitis, cholestatic jaundice, hepatic necrosis, and hepatic failure have been reported, some of which have resulted in death. Discontinue azithromycin immediately if signs and symptoms of hepatitis occur.

Nursing Mothers

It is not known whether azithromycin is excreted in human milk. Because many drugs are excreted in human milk, caution should be exercised when azithromycin is administered to a nursing woman.

Qt Prolongation

Prolonged cardiac repolarization and QT interval, imparting a risk of developing cardiac arrhythmia and torsade de pointes, have been seen in treatment with macrolides, including azithromycin. Cases of torsade de pointes have been spontaneously reported during postmarketing surveillance in patients receiving azithromycin. Providers should consider the risk of QT prolongation which can be fatal when weighing the risks and benefits of azithromycin for at-risk groups including:

  • patients with known prolongation of the QT interval, a history of torsade de pointes, congenital long QT syndrome, bradyarrhythmias or uncompensated heart failure
  • patients on drugs known to prolong the QT interval
  • patients with ongoing proarrhythmic conditions such as uncorrected hypokalemia or hypomagnesemia, clinically significant bradycardia, and in patients receiving Class IA (quinidine, procainamide) or Class III (dofetilide, amiodarone, sotalol) antiarrhythmic agents.

Elderly patients may be more susceptible to drug-associated effects on the QT interval.

Quality Control

Standardized susceptibility test procedures require the use of laboratory controls to monitor and ensure the accuracy and precision of supplies and reagents used in the assay, and the techniques of the individual performing the test. Standard azithromycin powder should provide the following range of MIC values noted in Table 4. For the diffusion technique using the azithromycin 15 mcg disk, the criteria in Table 4 should be achieved.

Table 4. Acceptable Quality Control Ranges for Azithromycin

QC Strain

Minimum Inhibitory Concentrations (mcg/mL)

Disk Diffusion

(zone diameters in mm)

Haemophilus influenzae

ATCC

ATCC = American Type Culture Collection
49247

1 to 4

13 to 21

Staphylococcus aureus ATCC 29213

0.5 to 2

•••

Staphylococcus aureus

ATCC 25923

•••

21 to 26

Streptococcus pneumoniae

ATCC 49619

0.06 to 0.25

19 to 25

Susceptibility to azithromycin must be tested in ambient air

Clinical Studies
Hypersensitivity

Serious allergic reactions, including angioedema, anaphylaxis, and dermatologic reactions including Stevens-Johnson syndrome and toxic epidermal necrolysis have been reported rarely in patients on azithromycin therapy. Although rare, fatalities have been reported (see CONTRAINDICATIONS ). Despite initially successful symptomatic treatment of the allergic symptoms, when symptomatic therapy was discontinued, the allergic symptoms recurred soon thereafter in some patients without further azithromycin exposure. These patients required prolonged periods of observation and symptomatic treatment. The relationship of these episodes to the long tissue half-life of azithromycin and subsequent prolonged exposure to antigen is unknown at present.

If an allergic reaction occurs, the drug should be discontinued and appropriate therapy should be instituted. Physicians should be aware that reappearance of the allergic symptoms may occur when symptomatic therapy is discontinued.

Pharmacokinetics

Following oral administration of a single 500 mg dose (two 250 mg tablets) to 36 fasted healthy male volunteers, the mean (SD) pharmacokinetic parameters were AUC0-72 = 4.3 (1.2) mcg·h/mL; Cmax = 0.5 (0.2) mcg/mL; Tmax = 2.2 (0.9) hours.

With a regimen of 500 mg (two 250 mg capsules*) on day 1, followed by 250 mg daily (one 250 mg capsule) on days 2 through 5, the pharmacokinetic parameters of azithromycin in plasma in healthy young adults (18 to 40 years of age) are portrayed in the chart below. Cmin and Cmax remained essentially unchanged from day 2 through day 5 of therapy.

*Azithromycin 250 mg tablets are bioequivalent to 250 mg capsules in the fasted state. Azithromycin 250 mg capsules are no longer commercially available.

Pharmacokinetic Parameters (Mean)

Total n = 12

Day 1

 

Day 5

Cmax (mcg/mL)

0.41

0.24

Tmax (h)

2.5

3.2

AUC0-24 (mcg·h/mL)

2.6

2.1

Cmin (mcg/mL)

0.05

0.05

Urinary Excret. (% dose)

4.5

6.5

In a two-way crossover study, 12 adult healthy volunteers (6 males, 6 females) received 1,500 mg of azithromycin administered in single daily doses over either 5 days (two 250 mg tablets on day 1, followed by one 250 mg tablet on days 2 to 5) or 3 days (500 mg per day for days 1 to 3). Due to limited serum samples on day 2 (3 day regimen) and days 2 to 4 (5 day regimen), the serum concentration-time profile of each subject was fit to a 3 compartment model and the AUC0-∞ for the fitted concentration profile was comparable between the 5 day and 3 day regimens.

3 Day Regimen

5 Day Regimen

Pharmacokinetic Parameter

[mean (SD)]

Day 1

Day 3

Day 1

Day 5

Cmax (serum, mcg/mL)

0.44 (0.22)

0.54 (0.25)

0.43 (0.20)

0.24 (0.06)

Serum AUC0-∞ (mcg·hr/mL)

17.4 (6.2)

14.9 (3.1)

Serum T1/2

71.8 hr

68.9 hr

Median azithromycin exposure (AUC0-288) in mononuclear (MN) and polymorphonuclear (PMN) leukocytes following either the 5 day or 3 day regimen was more than a 1000 fold and 800 fold greater than in serum, respectively. Administration of the same total dose with either the 5 day or 3 day regimen may be expected to provide comparable concentrations of azithromycin within MN and PMN leukocytes.

Two azithromycin 250 mg tablets are bioequivalent to a single 500 mg tablet.

Animal Toxicology

Phospholipidosis (intracellular phospholipid accumulation) has been observed in some tissues of mice, rats, and dogs given multiple doses of azithromycin. It has been demonstrated in numerous organ systems (e.g., eye, dorsal root ganglia, liver, gallbladder, kidney, spleen, and pancreas) in dogs treated with azithromycin at doses which, expressed on the basis of mg/ m2, are approximately equal to the recommended adult human dose, and in rats treated at doses approximately one-sixth of the recommended adult human dose. This effect has been shown to be reversible after cessation of azithromycin treatment. Phospholipidosis has been observed to a similar extent in the tissues of neonatal rats and dogs given daily doses of azithromycin ranging from 10 days to 30 days. Based on the pharmacokinetic data, phospholipidosis has been seen in the rat (30 mg/kg dose) at observed Cmax value of 1.3 mcg/mL (six times greater than the observed Cmax of 0.216 mcg/mL at the pediatric dose of 10 mg/kg). Similarly, it has been shown in the dog (10 mg/kg dose) at observed Cmax value of 1.5 mcg/mL (seven times greater than the observed same Cmax and drug dose in the studied pediatric population). On a mg/m2 basis, 30 mg/kg dose in the neonatal rat (135 mg/m2) and 10 mg/kg dose in the neonatal dog (79 mg/m2) are approximately 0.5 and 0.3 times, respectively, the recommended dose in the pediatric patients with an average body weight of 25 kg. Phospholipidosis, similar to that seen in the adult animals, is reversible after cessation of azithromycin treatment. The significance of these findings for animals and for humans is unknown.

Anaerobic Bacteria

Peptostreptococcus species

Prevotella bivia

Geriatric Patients

When studied in healthy elderly subjects aged 65 to 85 years, the pharmacokinetic parameters of azithromycin in elderly men were similar to those in young adults; however, in elderly women, although higher peak concentrations (increased by 30 to 50%) were observed, no significant accumulation occurred.

Pediatric Patients

In two clinical studies, azithromycin for oral suspension was dosed at 10 mg/kg on day 1, followed by 5 mg/kg on days 2 through 5 to two groups of pediatric patients (aged 1 to 5 years and 5 to 15 years, respectively). The mean pharmacokinetic parameters on day 5 were Cmax = 0.216 mcg/mL, Tmax = 1.9 hours, and AUC0-24 = 1.822 mcg·hr/mL for the 1 to 5 year old group and were Cmax = 0.383 mcg/mL, Tmax = 2.4 hours, and AUC0-24 = 3.109 mcg·hr/mL for the 5 to 15 year old group.

Two clinical studies were conducted in 68 pediatric patients aged 3 to 16 years to determine the pharmacokinetics and safety of azithromycin for oral suspension. Azithromycin was administered following a low-fat breakfast.

The first study consisted of 35 pediatric patients treated with 20 mg/kg/day (maximum daily dose 500 mg) for 3 days of whom 34 patients were evaluated for pharmacokinetics.

In the second study, 33 pediatric patients received doses of 12 mg/kg/day (maximum daily dose 500 mg) for 5 days of whom 31 patients were evaluated for pharmacokinetics.

In both studies, azithromycin concentrations were determined over a 24 hour period following the last daily dose. Patients weighing above 25 kg in the 3 day study or 41.7 kg in the 5 day study received the maximum adult daily dose of 500 mg. Eleven patients (weighing 25 kg or less) in the first study and 17 patients (weighing 41.7 kg or less) in the second study received a total dose of 60 mg/kg. The following table shows pharmacokinetic data in the subset of pediatric patients who received a total dose of 60 mg/kg.

Pharmacokinetic Parameter

[mean (SD)]

3 Day Regimen

(20 mg/kg x 3 days)

5 Day Regimen

(12 mg/kg x 5 days)

n

11

17

Cmax (mcg/mL)

1.1 (0.4)

0.5 (0.4)

Tmax (hr)

2.7 (1.9)

2.2 (0.8)

AUC0-24 (mcg·hr/mL)

7.9 (2.9)

3.9 (1.9)

The similarity of the overall exposure (AUC0-∞) between the 3 day and 5 day regimens in pediatric patients is unknown.

Single dose pharmacokinetics in pediatric patients given doses of 30 mg/kg have not been studied (see DOSAGE AND ADMINISTRATION ).

Dilution Techniques

Quantitative methods are used to determine antimicrobial minimum inhibitory concentrations (MICs). These MICs provide estimates of the susceptibility of bacteria to antimicrobial compounds. The MICs should be determined using a standardized procedure. Standardized procedures are based on a dilution method1,2 (broth or agar) or equivalent with standardized inoculum concentration and standardized concentration of azithromycin powder. The MIC values should be interpreted according to criteria provided in Table 3.

Mechanism of Action

Azithromycin binds to the 23S rRNA of the bacterial 50S ribosomal subunit. It blocks protein synthesis by inhibiting the transpeptidation/translocation step of protein synthesis and by inhibiting the assembly of the 50S ribosomal subunit.

Azithromycin concentrates in phagocytes and fibroblasts as demonstrated by in vitro incubation techniques. The ratio of intracellular to extracellular concentration was > 30 after one hour incubation. In vivo studies suggest that concentration in phagocytes may contribute to drug distribution to inflamed tissues.

Renal Insufficiency

Azithromycin pharmacokinetics were investigated in 42 adults (21 to 85 years of age) with varying degrees of renal impairment. Following the oral administration of a single 1,000 mg dose of azithromycin, mean Cmax and AUC0-120 increased by 5.1% and 4.2%, respectively in subjects with mild to moderate renal impairment (GFR 10 to 80 mL/min) compared to subjects with normal renal function (GFR > 80 mL/min). The mean Cmax and AUC0-120 increased 61% and 35%, respectively in subjects with severe renal impairment (GFR < 10 mL/min) compared to subjects with normal renal function (GFR >80 mL/min) (see DOSAGE AND ADMINISTRATION ).

Teratogenic Effects

Pregnancy Category B

Reproduction studies have been performed in rats and mice at doses up to moderately maternally toxic dose concentrations (i.e., 200 mg/kg/day). These doses, based on a mg/m2 basis, are estimated to be 4 and 2 times, respectively, the human daily dose of 500 mg. In the animal studies, no evidence of harm to the fetus due to azithromycin was found. There are, however, no adequate and well-controlled studies in pregnant women. Because animal reproduction studies are not always predictive of human response, azithromycin should be used during pregnancy only if clearly needed.

Diffusion Techniques

Quantitative methods that require measurement of zone diameters also provide reproducible estimates of the susceptibility of bacteria to antimicrobial compounds. One such standardized procedure2,3 requires the use of standardized inoculum concentration. This procedure uses paper disks impregnated with 15 mcg azithromycin to test the susceptibility of bacteria to azithromycin. The disk diffusion interpretive criteria are provided in Table 3.

Table 3. Susceptibility Test Interpretive Criteria for Azithromycin Susceptibility Test Result Interpretive Criteria

Pathogen

Minimum Inhibitory Concentrations (mcg/mL)

Disk Diffusion

(zone diameters in mm)

S

I

R

S

I

R

Haemophilus influenzae 

≤ 4

--

--

≥ 12

--

--

Staphylococcus aureus

≤ 2

4

≥ 8

≥ 18

14 to 17

≤ 13

Streptococci including

S. pneumoniae

  ≤ 0.5

1

≥ 2

≥ 18

14 to 17

≤ 13

Susceptibility to azithromycin must be tested in ambient air.

The ability to correlate MIC values and plasma drug levels is difficult as azithromycin concentrates in macrophages and tissues (see Clinical Pharmacology ).

A report of “susceptible” indicates that the pathogen is likely to be inhibited if the antimicrobial compound reaches the concentrations usually achievable. A report of “intermediate” indicates that the result should be considered equivocal, and, if the microorganism is not fully susceptible to alternative, clinically feasible drugs, the test should be repeated. This category implies possible clinical applicability in body sites where the drug is physiologically concentrated or in situations where high dosage of drug can be used. This category also provides a buffer zone which prevents small uncontrolled technical factors from causing major discrepancies in interpretation. A report of “resistant” indicates that the pathogen is not likely to be inhibited if the antimicrobial compound reaches the concentrations usually achievable; other therapy should be selected.

“other” Bacteria

Chlamydophila pneumoniae

Chlamydia trachomatis

Mycoplasma pneumoniae

The following in vitro data are available, but their clinical significance is unknown.

At least 90% of the following bacteria exhibit an in vitro minimum inhibitory concentration (MIC) less than or equal to the azithromycin susceptible breakpoint of ≤ 4 mcg/mL. However, safety and effectiveness of azithromycin in treating clinical infections due to these bacteria have not been established in adequate and well-controlled trials.

Hepatic Insufficiency

The pharmacokinetics of azithromycin in subjects with hepatic impairment have not been established.

Drug Drug Interactions

Drug interaction studies were performed with azithromycin and other drugs likely to be coadministered. The effects of coadministration of azithromycin on the pharmacokinetics of other drugs are shown in Table 1 and the effect of other drugs on the pharmacokinetics of azithromycin are shown in Table 2.

Coadministration of azithromycin at therapeutic doses had a modest effect on the pharmacokinetics of the drugs listed in Table 1. No dosage adjustment of drugs listed in Table 1 is recommended when coadministered with azithromycin.

Coadministration of azithromycin with efavirenz or fluconazole had a modest effect on the pharmacokinetics of azithromycin. Nelfinavir significantly increased the Cmax and AUC of azithromycin. No dosage adjustment of azithromycin is recommended when administered with drugs listed in Table 2 (see PRECAUTIONS, Drug Interactions ).

Table 1. Drug Interactions: Pharmacokinetic Parameters for Coadministered Drugs in the Presence of Azithromycin
NA - Not Available

Mean rifabutin concentrations one-half day after the last dose of rifabutin were 60 ng/mL when coadministered with azithromycin and 71 ng/mL when coadministered with placebo.

Coadministered

Drug

Dose of

Coadministered Drug

Dose of Azithromycin

n

Ratio (with/without azithromycin) of Coadministered Drug Pharmacokinetic Parameters

(90% CI); No Effect = 1

Mean Cmax

Mean AUC

Atorvastatin

10 mg/day x 8 days

500 mg/day PO on days 6 to 8

12

0.83

(0.63 to 1.08)

1.01

(0.81 to 1.25)

Carbamazepine

200 mg/day x 2 days, then 200 mg BID x 18 days

500 mg/day PO for days 16 to 18

7

0.97

(0.88 to 1.06)

0.96

(0.88 to 1.06)

Cetirizine

20 mg/day x 11 days

500 mg PO on day 7, then 250 mg/day on days 8 to 11

14

1.03

(0.93 to 1.14)

1.02

(0.92 to 1.13)

Didanosine

200 mg PO BID x 21 days

1,200 mg/day PO on days 8 to 21

6

1.44

(0.85 to 2.43)

1.14

(0.83 to 1.57)

Efavirenz

400 mg/day x 7 days

600 mg PO on day 7

14

1.04

0.95

Fluconazole

200 mg PO single dose

1,200 mg PO single dose

18

1.04

(0.98 to 1.11)

1.01

(0.97 to 1.05)

Indinavir

800 mg TID x 5 days

1,200 mg PO on day 5

18

0.96

(0.86 to 1.08)

0.9

(0.81 to 1)

Midazolam

15 mg PO on day 3

500 mg/day PO x 3 days

12

1.27

(0.89 to 1.81)

1.26

(1.01 to 1.56)

Nelfinavir

750 mg TID x 11 days

1,200 mg PO on day 9

14

0.90

(0.81 to 1.01)

0.85

(0.78 to 0.93)

Rifabutin

300 mg/day x 10 days

500 mg PO on day 1, then 250 mg/day on days 2 to 10

6

See footnote below

NA

Sildenafil

100 mg on days 1 and 4

500 mg/day PO x 3 days

12

1.16

(0.86 to 1.57)

0.92

(0.75 to 1.12)

Theophylline

4 mg/kg I.V. on days 1, 11, 25

500 mg PO on day 7, then 250 mg/day on days 8 to 11

10

1.19

(1.02 to 1.40)

1.02

(0.86 to 1.22)

Theophylline

300 mg PO BID x 15 days

500 mg PO on day 6, then 250 mg/day on days 7 to 10

8

1.09

(0.92 to 1.29)

1.08

(0.89 to 1.31)

Triazolam

0.125 mg on day 2

500 mg PO on day1, then 250 mg/day

on day 2

12

1.06

1.02

Trimethoprim/ Sulfamethoxazole

160 mg/800 mg/day PO x 7 days

1,200 mg PO on day 7

12

0.85

(0.75 to 0.97)

/0.90

(0.78 to 1.03)

0.87

(0.80 to 0.95)

/0.96

(0.88 to 1.03)

Zidovudine

500 mg/day PO x 21 days

600 mg/day PO x 14 days

5

1.12

(0.42 to 3.02)

0.94

(0.52 to 1.70)

Zidovudine

500 mg/day PO x 21 days

1,200 mg/day PO x 14 days

4

1.31

(0.43 to 3.97)

1.30

(0.69 to 2.43)

Table 2. Drug Interactions: Pharmacokinetic Parameters for Azithromycin in the Presence of Coadministered Drugs (see PRECAUTIONS, Drug Interactions)
NA - Not available

Coadministered Drug

Dose of Coadministered Drug

Dose of Azithromycin

n

Ratio (with/without

coadministered drug) of Azithromycin Pharmacokinetic

Parameters (90% CI);

No Effect = 1

Mean Cmax

Mean AUC

Efavirenz

400 mg/day x 7 days

600 mg PO on day 7

14

1.22

(1.04 to 1.42)

0.92

Fluconazole

200 mg PO single dose

1,200 mg PO single dose

18

0.82

(0.66 to 1.02)

1.07

(0.94 to 1.22)

Nelfinavir

750 mg TID x 11 days

1,200 mg PO on day 9

14

2.36

(1.77 to 3.15)

2.12

(1.80 to 2.50)

Rifabutin

300 mg/day x 10 days

500 mg PO on day 1, then 250 mg/day on days 2 to 10

6

See footnote below

NA

Mean azithromycin concentrations one day after the last dose were 53 ng/mL when coadministered with 300 mg daily rifabutin and 49 ng/mL when coadministered with placebo.

Gram Negative Bacteria

Haemophilus ducreyi

Haemophilus influenzae

Moraxella catarrhalis

Neisseria gonorrhoeae

Gram Positive Bacteria

Staphylococcus aureus

Streptococcus agalactiae

Streptococcus pneumoniae

Streptococcus pyogenes

Treatment of Pneumonia

In the treatment of pneumonia, azithromycin has only been shown to be safe and effective in the treatment of community-acquired pneumonia due to Chlamydia pneumoniae, Haemophilusinfluenzae, Mycoplasma pneumoniae or Streptococcus pneumoniae in patients appropriate for oral therapy. Azithromycin should not be used in patients with pneumonia who are judged to be inappropriate for oral therapy because of moderate to severe illness or risk factors such as any of thefollowing: patients with cystic fibrosis, patients with nosocomially acquired infections, patients with known or suspected bacteremia, patients requiring hospitalization, elderly or debilitated patients, or patients with significant underlying health problems that may compromise their ability to respond totheir illness (including immunodeficiency or functional asplenia).

Clostridium Difficile-associated Diarrhea

Clostridium difficile-associated diarrhea (CDAD) has been reported with use of nearly all antibacterial agents, including azithromycin, and may range in severity from mild diarrhea to fatal colitis. Treatment with antibacterial agents alters the normal flora of the colon leading to overgrowth of C. difficile.

C. difficile produces toxins A and B which contribute to the development of CDAD. Hypertoxin producing strains of C. difficile cause increased morbidity and mortality, as these infections can be refractory to antimicrobial therapy and may require colectomy. CDAD must be considered in all patients who present with diarrhea following antibiotic use. Careful medical history is necessary since CDAD has been reported to occur over two months after the administration of antibacterial agents.

If CDAD is suspected or confirmed, ongoing antibiotic use not directed against C. difficile may need to be discontinued. Appropriate fluid and electrolyte management, protein supplementation, antibiotic treatment of C. difficile, and surgical evaluation should be instituted as clinically indicated.

Mechanism of Resistance

The most frequently encountered mechanism of resistance to azithromycin is modification of the 23S rRNA at positions corresponding to A2058 and A2059 in the Escherichia coli numbering system. In addition to cross resistance with other macrolides (erythromycin and clarithromycin), ribosomal modification may determine resistance to other antibiotic classes (lincosamides and streptogramins B) that bind to overlapping ribosomal sites.

Azithromycin has been shown to be active against most isolates of the following bacteria, both in vitro and in clinical infections (see INDICATIONS AND USAGE ).

Principal Display Panel
Information for Patients

Azithromycin for oral suspension can be taken with or without food.

Patients should also be cautioned not to take aluminum- and magnesium-containing antacids and azithromycin simultaneously.

The patient should be directed to discontinue azithromycin immediately and contact a physician if any signs of an allergic reaction occur.

Patients should be counseled that antibacterial drugs including azithromycin should only be used to treat bacterial infections. They do not treat viral infections (e.g., the common cold). When azithromycin is prescribed to treat a bacterial infection, patients should be told that although it is common to feel better early in the course of the therapy, the medication should be taken exactly as directed. Skipping doses or not completing the full course of therapy may (1) decrease the effectiveness of the immediate treatment and (2) increase the likelihood that bacteria will develop resistance and will not be treatable by azithromycin or other antibacterial drugs in the future.

Diarrhea is a common problem caused by antibiotics which usually ends when the antibiotic is discontinued. Sometimes after starting treatment with antibiotics, patients can develop watery and bloody stools (with or without stomach cramps and fever) even as late as two or more months after having taken the last dose of the antibiotic. If this occurs, patients should contact their physician as soon as possible.

Postmarketing Experience

Adverse events reported with azithromycin during the postmarketing period in adult and/or pediatric patients for which a causal relationship may not be established include:

Allergic: Arthralgia, edema, urticaria and angioedema.

Cardiovascular: Arrhythmias including ventricular tachycardia and hypotension. There have been rare reports of QT prolongation and torsade de pointes.

Gastrointestinal: Anorexia, constipation, dyspepsia, flatulence, vomiting/diarrhea rarely resulting in dehydration, pseudomembranous colitis, pancreatitis, oral candidiasis, pyloric stenosis, and rare reports of tongue discoloration.

General: Asthenia, paresthesia, fatigue, malaise and anaphylaxis (rarely fatal).

Genitourinary: Interstitial nephritis and acute renal failure and vaginitis.

Hematopoietic: Thrombocytopenia.

Liver/Biliary: Adverse reactions related to hepatic dysfunction have been reported in

postmarketing experience with azithromycin (see WARNINGS, Hepatotoxicity).

Nervous System: Convulsions, dizziness/vertigo, headache, somnolence, hyperactivity, nervousness, agitation and syncope.

Psychiatric: Aggressive reaction and anxiety.

Skin/Appendages: Pruritus, rarely serious skin reactions including erythema multiforme, Stevens-Johnson syndrome and toxic epidermal necrolysis.

Special Senses: Hearing disturbances including hearing loss, deafness and/or tinnitus and reports of taste/smell perversion and/or loss.

Acute Bacterial Sinusitis

In a randomized, double-blind, double-dummy controlled clinical trial of acute bacterial sinusitis, azithromycin (500 mg once daily for 3 days) was compared with amoxicillin/clavulanate (500/125 mg tid for 10 days). Clinical response assessments were made at Day 10 and Day 28. The primary endpoint of this trial was prospectively defined as the clinical cure rate at Day 28. For the 594 patients analyzed in the modified intent to treat analysis at the Day 10 visit, the clinical cure rate for 3 days of azithromycin was 88% (268/303) compared to 85% (248/291) for 10 days of amoxicillin/clavulanate. For the 586 patients analyzed in the modified intent to treat analysis at the Day 28 visit, the clinical cure rate for 3 days of azithromycin was 71.5% (213/298) compared to 71.5% (206/288), with a 97.5% confidence interval of -8.4 to 8.3, for 10 days of amoxicillin/clavulanate.

In the safety analysis of this study, the overall incidence of treatment-related adverse events, primarily gastrointestinal, was lower in the azithromycin treatment arm (31%) than in the amoxicillin/clavulanate arm (51%). The most common side effects were diarrhea (17% in the azithromycin arm vs. 32% in the amoxicillin/clavulanate arm), and nausea (7% in the azithromycin arm vs. 12% in the amoxicillin/clavulanate arm) (see ADVERSE REACTIONS ).

In an open label, noncomparative study requiring baseline transantral sinus punctures the following outcomes were the clinical success rates at the Day 7 and Day 28 visits for the modified intent to treat patients administered 500 mg of azithromycin once daily for 3 days with the following pathogens:



Pathogen

Azithromycin

(500 mg per day for 3 Days)

Day 7

Day 28

S. pneumoniae

23/26 (88%)

21/25 (84%)

H. influenzae

28/32 (87%)

24/32 (75%)

M. catarrhalis

14/15 (93%)

13/15 (87%)

The overall incidence of treatment-related adverse events in the noncomparative study was 21% in modified intent to treat patients treated with azithromycin at 500 mg once daily for 3 days with the most common side effects being diarrhea (9%), abdominal pain (4%) and nausea (3%) (see ADVERSE REACTIONS ).

Cardiac Electrophysiology

QTc interval prolongation was studied in a randomized, placebo-controlled parallel trial in 116 healthy subjects who received either chloroquine (1000 mg) alone or in combination with azithromycin (500 mg, 1000 mg, and 1500 mg once daily). Coadministration of azithromycin increased the QTc interval in a dose-and concentration-dependent manner. In comparison to chloroquine alone, the maximum mean (95% upper confidence bound) increases in QTcF were 5

(10) ms, 7 (12) ms and 9 (14) ms with the coadministration of 500 mg, 1000 mg and 1500 mg azithromycin, respectively.

Laboratory Test Interactions

There are no reported laboratory test interactions.

Susceptibility Testing Methods

When available, the results of in vitro susceptibility test results for antimicrobial drugs used in resident hospitals should be provided to the physician as periodic reports which describe the susceptibility profile of nosocomial and community-acquired pathogens. These reports may differ from susceptibility data obtained from outpatient use, but could aid the physician in selecting the most effective antimicrobial.

Patient Summary of Information About

Azithromycin For Oral Suspension USP

Cherry-flavored suspension

Rx Only

This summary contains important information about azithromycin. It is not meant to take the place of your child’s doctor’s instructions. Read this information carefully before you give azithromycin to your child. Ask your child’s doctor, nurse or pharmacist if you do not understand any of this information or if you want to know more about azithromycin.

• What Is Azithromycin?

Azithromycin is an antibiotic medicine that is taken only once a day to treat the following types of infections in children: ear infections, pneumonia, and throat infections.

• Can Antibiotics Cure A Cold Or Flu?

No. Antibiotics work only on infections caused by bacteria. They do not kill viruses. No antibiotic, including azithromycin, can treat viral infections such as the common cold and the flu.

• What To Tell Your Child’s Doctor Before You Start Azithromycin

Only your child’s doctor can decide if azithromycin is right for your child. Before you start azithromycin, be sure to tell the doctor if your child:

  • is being given any prescription medicines, including those for asthma
  • is being given any over-the-counter medicines you can buy without a prescription, including natural/herbal remedies
  • has ever had any liver or kidney problems
  • has any other medical problems
  • is allergic to any medicines
  • is allergic to certain antibiotics such as erythromycin
  • is allergic to azithromycin or any of the ingredients of azithromycin suspension. Your doctor or pharmacist can give you a list of these ingredients.

• Azithromycin And Other Medicines

Some medicines can affect how well azithromycin works. Check with your child’s doctor before giving your child any new medicines.

• What Is The Right Amount Of Azithromycin To Give To My Child?

Azithromycin gets deep into infected tissue where it is released slowly over time so the medicine keeps fighting bacteria for many days after the last dose is taken. This is why azithromycin may be taken for as short a time as one day. Your child’s doctor will decide the total amount of azithromycin to give to your child, depending on your child’s weight and on the specific infection your child has. In addition to deciding the total amount of azithromycin to give to your child, the doctor will tell you to give all the medicine to your child in 1 day or to divide it over 3 days or over 5 days.

For Ear lnfections

For ear infections, your child’s doctor will tell you to give azithromycin to your child in one of the following ways: the total amount as 1 dose on 1 day, or the total amount divided into 1 dose per-day for 3 days or the total amount divided into 1 dose-per-day for 5 days, with a double dose on the first day. Whether given all on 1 day, or divided over 3 days or over 5 days, the total amount of azithromycin you give to your child should be the same.

For Pneumonia

For pneumonia, your child’s doctor will tell you to give azithromycin to your child by dividing the total amount into 1 dose-per-day for 5 days, with a double dose on the first day.

For Throat lnfections (“strep throat”)

For throat infections, your child’s doctor will tell you to give azithromycin to your child by dividing the total amount into 1 dose-per-day for 5 days. When you give azithromycin for 5 days for throat infections, you do not need to give a double dose on the first day (as you would with ear infections).

If you have questions about how to give azithromycin to your child, please ask your child’s doctor, nurse or pharmacist.

• How And When To Give Azithromycin

Azithromycin may be taken with or without food and may be taken at any time of day.

Shake the bottle well just before you give a dose.

Give azithromycin for the full number of days prescribed by the doctor, even if your child feels better before finishing all the medicine as prescribed.

If you forget to give your child a dose, call the doctor.

• When Can I Expect My Child To Begin Feeling Better?

Although azithromycin’s dosing is short and you may be able to give all the medicine to your child more easily, you should not expect azithromycin to work faster than other antibiotics which are dosed for up to 10 days.

Your child’s doctor or nurse can advise you when your child should begin feeling better.

• Possible Side Effects

Like all medicines, azithromycin may cause side effects in some children that are usually mild to moderate and go away after the medicine is stopped. The most common ones are diarrhea, abdominal (“tummy”) pain, vomiting and nausea.

As with other antibiotics, if your child develops diarrhea that becomes severe and watery or does not go away, stop taking the medicine and call the doctor or nurse. This could be a sign of a serious medical problem.

Allergic reactions to azithromycin are rare, but these can be very serious if not treated right away by a doctor. If you think your child might be having an allergic reaction to azithromycin, stop the medicine and call the doctor right away. If you cannot reach the doctor, go to the nearest hospital emergency room. Symptoms of a severe allergic reaction may include trouble breathing; swelling of the face, mouth and neck; or severe skin rash or blisters.

Azithromycin may cause other less common side effects besides those listed here. For a list of all the side effects that have been reported, ask the doctor, nurse or pharmacist for the Azithromycin Professional Package Insert.

• What Should I Do If My Child Vomits (Spits Up) The 1 Day Treatment of Azithromycin?

If your child vomits within 30 minutes after the 1 day treatment for an ear infection, please call your child’s doctor.

• What To Do For An Overdose

In case of accidental overdose, call your child’s doctor right away or go to the nearest emergency room.

• How To Store Azithromycin

Keep azithromycin out of the reach of children. Azithromycin can be stored at room temperature. You do not have to keep it in the refrigerator. Throw away any medicine that is left over after treatment.

Manufactured in Croatia By: 

PLIVA HRVATSKA d.o.o.

Zagreb, Croatia

Manufactured For: 

TEVA PHARMACEUTICALS USA

Sellersville, PA 18960

Rev. A 6/2012

Relabeled by:

PROFICIENT RX LP

Thousand Oaks, CA 91320

Carcinogenesis, Mutagenesis, Impairment of Fertility

Long-term studies in animals have not been performed to evaluate carcinogenic potential. Azithromycin has shown no mutagenic potential in standard laboratory tests: mouse lymphoma assay, human lymphocyte clastogenic assay, and mouse bone marrow clastogenic assay. No evidence of impaired fertility due to azithromycin was found.

Acute Bacterial Exacerbations of Chronic Obstructive Pulmonary Disease

In a randomized, double-blind controlled clinical trial of acute exacerbation of chronic bronchitis (AECB), azithromycin (500 mg once daily for 3 days) was compared with clarithromycin (500 mg twice daily for 10 days). The primary endpoint of this trial was the clinical cure rate at Day 21 to 24. For the 304 patients analyzed in the modified intent to treat analysis at the Day 21 to 24 visit, the clinical cure rate for 3 days of azithromycin was 85% (125/147) compared to 82% (129/157) for 10 days of clarithromycin.

The following outcomes were the clinical cure rates at the Day 21 to 24 visit for the bacteriologically evaluable patients by pathogen:

Pathogen

Azithromycin

Clarithromycin

(3 Days)

(10 Days)

S. pneumoniae

29/32 (91%)

21/27 (78%)

H. influenzae

12/14 (86%)

14/16 (88%)

M. catarrhalis

11/12 (92%)

12/15 (80%)

In the safety analysis of this study, the incidence of treatment-related adverse events, primarily gastrointestinal, were comparable between treatment arms (25% with azithromycin and 29% with clarithromycin). The most common side effects were diarrhea, nausea and abdominal pain with comparable incidence rates for each symptom of 5 to 9% between the two treatment arms (see ADVERSE REACTIONS ).


Structured Label Content

Adults

Acute bacterial exacerbations of chronic obstructive pulmonary disease due to Haemophilus influenzae, Moraxella catarrhalis or Streptococcus pneumoniae.

Acute bacterial sinusitis due to Haemophilus influenzae, Moraxella catarrhalis or Streptococcus pneumoniae.

Community-acquired pneumonia due to Chlamydophila pneumoniae, Haemophilus influenzae, Mycoplasma pneumoniae or Streptococcus pneumoniae in patients appropriate for oral therapy.

NOTE: Azithromycin should not be used in patients with pneumonia who are judged to be inappropriate for oral therapy because of moderate to severe illness or risk factors such as any of the following:

patients with cystic fibrosis,

patients with nosocomially acquired infections,

patients with known or suspected bacteremia,

patients requiring hospitalization,

elderly or debilitated patients, or

patients with significant underlying health problems that may compromise their ability

to respond to their illness (including immunodeficiency or functional asplenia).

Pharyngitis/tonsillitis caused by Streptococcus pyogenes as an alternative to first-line therapy in individuals who cannot use first-line therapy.

NOTE: Penicillin by the intramuscular route is the usual drug of choice in the treatment of Streptococcus pyogenes infection and the prophylaxis of rheumatic fever. Azithromycin for oral suspension USP is often effective in the  eradication of susceptible strains of Streptococcus pyogenes from the nasopharynx. Because some  strains are resistant to azithromycin for oral suspension USP, susceptibility tests should be performed when patients are treated with azithromycin for oral suspension USP. Data establishing efficacy of azithromycin in subsequent prevention of rheumatic fever are not available.

Uncomplicated skin and skin structure infections due to Staphylococcus aureus, Streptococcus pyogenes, or Streptococcus agalactiae. Abscesses usually require surgical drainage.

Urethritis and cervicitis due to Chlamydia trachomatis or Neisseria gonorrhoeae.

Genital ulcer disease in men due to Haemophilus ducreyi (chancroid). Due to the small number of women included in clinical trials, the efficacy of azithromycin in the treatment of chancroid in women has not been established.

Azithromycin for oral suspension USP, at the recommended dose, should not be relied upon to treat syphilis. Antimicrobial agents used in high doses for short periods of time to treat non-gonococcal urethritis may mask or delay the symptoms of incubating syphilis. All patients with sexually-transmitted urethritis or cervicitis should have a serologic test for syphilis and appropriate cultures for gonorrhea performed at the time of diagnosis. Appropriate antimicrobial therapy and follow-up tests for these diseases should be initiated if infection is confirmed.

Appropriate culture and susceptibility tests should be performed before treatment to determine the causative organism and its susceptibility to azithromycin, USP. Therapy with azithromycin for oral suspension USP may be initiated before results of these tests are known; once the results become available, antimicrobial therapy should be adjusted accordingly.

To reduce the development of drug-resistant bacteria and maintain the effectiveness of azithromycin for oral suspension USP and other antibacterial drugs, azithromycin for oral suspension USP should be used only to treat or prevent infections that are proven or strongly suspected to be caused by susceptible bacteria. When culture and susceptibility information are available, they should be considered in selecting or modifying antibacterial therapy. In the absence of such data, local epidemiology and susceptibility patterns may contribute to the empiric selection of therapy.

Gender

There are no significant differences in the disposition of azithromycin between male and female subjects. No dosage adjustment is recommended based on gender.

Recent Major Changes (34066-1)

Azithromycin contents per bottle

600 mg

Section 42229-5 (42229-5)

To reduce the development of drug-resistant bacteria and maintain the effectiveness of azithromycin and other antibacterial drugs, azithromycin for oral suspension should be used only to treat or prevent infections that are proven or strongly suspected to be caused by bacteria.

General

Because azithromycin is principally eliminated via the liver, caution should be exercised when azithromycin is administered to patients with impaired hepatic function. Due to the limited data in subjects with GFR < 10 mL/min, caution should be exercised when prescribing azithromycin in these patients (see CLINICAL PHARMACOLOGY, Special Populations, Renal Insufficiency ).

Exacerbation of symptoms of myasthenia gravis and new onset of myasthenic syndrome have been reported in patients receiving azithromycin therapy.

Prescribing azithromycin in the absence of a proven or strongly suspected bacterial infection or a prophylactic indication is unlikely to provide benefit to the patient and increases the risk of the development of drug-resistant bacteria.

Absorption

The absolute bioavailability of azithromycin 250 mg capsules is 38%.

In a two-way crossover study in which 12 healthy subjects received a single 500 mg dose of azithromycin (two 250 mg tablets) with or without a high fat meal, food was shown to increase Cmax by 23% but had no effect on AUC.

When azithromycin suspension was administered with food to 28 adult healthy male subjects, Cmax increased by 56% and AUC was unchanged.

The AUC of azithromycin was unaffected by coadministration of an antacid containing aluminum and magnesium hydroxide with azithromycin capsules; however, the Cmax was reduced by 24%. Administration of cimetidine (800 mg) two hours prior to azithromycin had no effect on azithromycin absorption.

Metabolism

In vitro and in vivo studies to assess the metabolism of azithromycin have not been performed.

References (REFERENCES)
  • Clinical and Laboratory Standards Institute (CLSI). Methods for Dilution Antimicrobial Susceptibility Tests for Bacteria that Grow Aerobically; Approved Standard - Ninth Edition. CLSI document M07-A9. CLSI 950 West Valley Rd, Suite 250, Wayne, PA 19087, 2012.
  • CLSI, Performance Standards for Antimicrobial Susceptibility Testing; Twenty-Second Informational Supplement. CLSI document M100-S22. CLSI, Wayne, PA 19087, 2012.
  • CLSI. Performance Standards for Antimicrobial Disk Susceptibility Tests; Approved Standard - Eleventh Edition. CLSI document M02-A11. CLSI, Wayne, PA 19087, 2012.

Manufactured In Croatia By:

PLIVA HRVATSKA d.o.o.

Zagreb, Croatia

Manufactured For:

TEVA PHARMACEUTICALS USA

Sellersville, PA 18960

Rev. E 2/2013

Relabeled by:

PROFICIENT RX LP

Thousand Oaks, CA 91320

Description (DESCRIPTION)

Azithromycin for oral suspension USP contains the active ingredient azithromycin, USP, an azalide, a subclass of macrolide antibiotics, for oral administration. Azithromycin, USP has the chemical name (2R,3S,4R,5R,8R, 10R,11R,12S,13S,14R)-13-[(2,6-dideoxy-3-C-methyl-3-O-methyl-α-L-ribo-hexopyranosyl) oxy]-2-ethyl-3,4,10-trihydroxy-3,5,6,8,10,12,14-heptamethyl-11-[[3,4,6-trideoxy-3- (dimethylamino)-β-D-xylo-hexopyranosyl]oxy]-1-oxa-6-azacyclopentadecan-15-one. Azithromycin, USP is derived from erythromycin; however, it differs chemically from erythromycin in that a methyl-substituted nitrogen atom is incorporated into the lactone ring.

Azithromycin, USP has the following structural formula:

C38H72N2O12 M.W. 749.0

Azithromycin, USP, as the monohydrate, is a white crystalline powder with a molecular formula of C38H72N2O12•H2O and a molecular weight of 767.0.

Azithromycin for oral suspension USP is supplied in bottles containing azithromycin monohydrate powder equivalent to 300 mg, 600 mg, 900 mg or 1200 mg azithromycin, USP per bottle and the following inactive ingredients: ammonio methacrylate copolymer, banana flavor, cherry flavor, colloidal silicon dioxide, FD&C Red No. 40, hydroxypropyl cellulose, sucrose, tribasic sodium phosphate anhydrous, vanilla flavor, and xanthan gum. After constitution, each 5 mL of suspension contains 100 mg or 200 mg of azithromycin, USP.

Elimination

Plasma concentrations of azithromycin following single 500 mg oral and i.v. doses declined in a polyphasic pattern with a mean apparent plasma clearance of 630 mL/min and terminal elimination half-life of 68 hours. The prolonged terminal half-life is thought to be due to extensive uptake and subsequent release of drug from tissues.

Biliary excretion of azithromycin, predominantly as unchanged drug, is a major route of elimination. Over the course of a week, approximately 6% of the administered dose appears as unchanged drug in urine.

Distribution

The serum protein binding of azithromycin is variable in the concentration range approximating human exposure, decreasing from 51% at 0.02 mcg/mL to 7% at 2 mcg/mL.

Following oral administration, azithromycin is widely distributed throughout the body with an apparent steady-state volume of distribution of 31.1 L/kg. Greater azithromycin concentrations in tissues than in plasma or serum were observed. High tissue concentrations should not be interpreted to be quantitatively related to clinical efficacy. The antimicrobial activity of azithromycin is pH related and appears to be reduced with decreasing pH. However, the extensive distribution of drug to tissues may be relevant to clinical activity.

Selected tissue (or fluid) concentration and tissue (or fluid) to plasma/serum concentration ratios are shown in the following table:

AZITHROMYCIN CONCENTRATIONS FOLLOWING A 500 mg DOSE (TWO 250 mg CAPSULES) IN ADULTS 

TISSUE OR FLUID

TIME AFTER

DOSE (h)

TISSUE OR FLUID CONCENTRATION

(mcg/g or mcg/mL)

CORRESPONDING PLASMA OR SERUM

LEVEL (mcg/mL)

TISSUE (FLUID)

PLASMA (SERUM)

RATIO

SKIN

72 to 96

0.4

0.012

35

LUNG

72 to 96

4

0.012

> 100

SPUTUM

2 to 4

1

0.64

2

SPUTUM

10 to 12

2.9

0.1

30

TONSIL

9 to 18

4.5

0.03

> 100

TONSIL

180

0.9

0.006

> 100

CERVIX

19

2.8

0.04

70

The extensive tissue distribution was confirmed by examination of additional tissues and fluids (bone, ejaculum, prostate, ovary, uterus, salpinx, stomach, liver, and gallbladder). As there are no data from adequate and well-controlled studies of azithromycin treatment of infections in these additional body sites, the clinical importance of these tissue concentration data is unknown.

Following a regimen of 500 mg on the first day and 250 mg daily for 4 days, only very low concentrations were noted in cerebrospinal fluid (less than 0.01 mcg/mL) in the presence of non-inflamed meninges.

How Supplied (HOW SUPPLIED)

Azithromycin for oral suspension USP after constitution contains a flavored pink suspension. Azithromycin for oral suspension USP is supplied to provide 200 mg/5 mL suspension in bottles as follows:

200mg/5ml Suspension 15ml NDC (63187-093-15)

200mg/5ml Suspension 22.5ml NDC (63187-093-22)

200mg/5ml Suspension 30ml NDC (63187-093-30)

Geriatric Use

Pharmacokinetic parameters in older volunteers (65 to 85 years old) were similar to those in younger volunteers (18 to 40 years old) for the 5 day therapeutic regimen. Dosage adjustment does not appear to be necessary for older patients with normal renal and hepatic function receiving treatment with this dosage regimen (see CLINICAL PHARMACOLOGY ).

In multiple-dose clinical trials of oral azithromycin, 9% of patients were at least 65 years of age (458/4949) and 3% of patients (144/4949) were at least 75 years of age. No overall differences in safety or effectiveness were observed between these subjects and younger subjects, and other reported clinical experience has not identified differences in response between the elderly and younger patients, but greater sensitivity of some older individuals cannot be ruled out.

Elderly patients may be more susceptible to development of torsade de pointes arrhythmia than younger patients (see WARNINGS ).

Azithromycin for oral suspension USP, 100 mg/5 mL contains 8.8 mg of sodium per 5 mL of constituted solution.

Azithromycin for oral suspension USP, 200 mg/5 mL contains 8.8 mg of sodium per 5 mL of constituted solution.

Pediatric Use

See CLINICAL PHARMACOLOGY, INDICATIONS AND USAGE, and DOSAGE AND ADMINISTRATION.

Acute Otitis Media (total dosage regimen: 30 mg/kg, see DOSAGE AND ADMINISTRATION ): Safety and effectiveness in the treatment of pediatric patients with otitis media under 6 months of age have not been established.

Acute Bacterial Sinusitis (dosage regimen: 10 mg/kg on Days 1 to 3): Safety and effectiveness in the treatment of pediatric patients with acute bacterial sinusitis under 6 months of age have not been established. Use of azithromycin for the treatment of acute bacterial sinusitis in pediatric patients (6 months of age or greater) is supported by adequate and well-controlled studies in adults, similar pathophysiology of acute sinusitis in adults and pediatric patients, and studies of acute otitis media in pediatric patients.

Community-Acquired Pneumonia (dosage regimen: 10 mg/kg on Day 1 followed by 5 mg/kg on Days 2 to 5): Safety and effectiveness in the treatment of pediatric patients with community-acquired pneumonia under 6 months of age have not been established. Safety and effectiveness for pneumonia due to Chlamydophilapneumoniae and Mycoplasma pneumoniae were documented in pediatric clinical trials. Safety and effectiveness for pneumonia due to Haemophilus influenzae and Streptococcus pneumoniae were not documented bacteriologically in the pediatric clinical trial due to difficulty in obtaining specimens. Use of azithromycin for these two microorganisms is supported, however, by evidence from adequate and well-controlled studies in adults.

Pharyngitis/Tonsillitis (dosage regimen: 12 mg/kg on Days 1 to 5): Safety and effectiveness in the treatment of pediatric patients with pharyngitis/tonsillitis under 2 years of age have not been established.  

Studies evaluating the use of repeated courses of therapy have not been conducted (see CLINICAL PHARMACOLOGY and ANIMAL TOXICOLOGY ).

Hepatotoxicity

Abnormal liver function, hepatitis, cholestatic jaundice, hepatic necrosis, and hepatic failure have been reported, some of which have resulted in death. Discontinue azithromycin immediately if signs and symptoms of hepatitis occur.

Nursing Mothers

It is not known whether azithromycin is excreted in human milk. Because many drugs are excreted in human milk, caution should be exercised when azithromycin is administered to a nursing woman.

Qt Prolongation (QT Prolongation)

Prolonged cardiac repolarization and QT interval, imparting a risk of developing cardiac arrhythmia and torsade de pointes, have been seen in treatment with macrolides, including azithromycin. Cases of torsade de pointes have been spontaneously reported during postmarketing surveillance in patients receiving azithromycin. Providers should consider the risk of QT prolongation which can be fatal when weighing the risks and benefits of azithromycin for at-risk groups including:

  • patients with known prolongation of the QT interval, a history of torsade de pointes, congenital long QT syndrome, bradyarrhythmias or uncompensated heart failure
  • patients on drugs known to prolong the QT interval
  • patients with ongoing proarrhythmic conditions such as uncorrected hypokalemia or hypomagnesemia, clinically significant bradycardia, and in patients receiving Class IA (quinidine, procainamide) or Class III (dofetilide, amiodarone, sotalol) antiarrhythmic agents.

Elderly patients may be more susceptible to drug-associated effects on the QT interval.

Quality Control

Standardized susceptibility test procedures require the use of laboratory controls to monitor and ensure the accuracy and precision of supplies and reagents used in the assay, and the techniques of the individual performing the test. Standard azithromycin powder should provide the following range of MIC values noted in Table 4. For the diffusion technique using the azithromycin 15 mcg disk, the criteria in Table 4 should be achieved.

Table 4. Acceptable Quality Control Ranges for Azithromycin

QC Strain

Minimum Inhibitory Concentrations (mcg/mL)

Disk Diffusion

(zone diameters in mm)

Haemophilus influenzae

ATCC

ATCC = American Type Culture Collection
49247

1 to 4

13 to 21

Staphylococcus aureus ATCC 29213

0.5 to 2

•••

Staphylococcus aureus

ATCC 25923

•••

21 to 26

Streptococcus pneumoniae

ATCC 49619

0.06 to 0.25

19 to 25

Susceptibility to azithromycin must be tested in ambient air

Clinical Studies (CLINICAL STUDIES)
Hypersensitivity

Serious allergic reactions, including angioedema, anaphylaxis, and dermatologic reactions including Stevens-Johnson syndrome and toxic epidermal necrolysis have been reported rarely in patients on azithromycin therapy. Although rare, fatalities have been reported (see CONTRAINDICATIONS ). Despite initially successful symptomatic treatment of the allergic symptoms, when symptomatic therapy was discontinued, the allergic symptoms recurred soon thereafter in some patients without further azithromycin exposure. These patients required prolonged periods of observation and symptomatic treatment. The relationship of these episodes to the long tissue half-life of azithromycin and subsequent prolonged exposure to antigen is unknown at present.

If an allergic reaction occurs, the drug should be discontinued and appropriate therapy should be instituted. Physicians should be aware that reappearance of the allergic symptoms may occur when symptomatic therapy is discontinued.

Pharmacokinetics

Following oral administration of a single 500 mg dose (two 250 mg tablets) to 36 fasted healthy male volunteers, the mean (SD) pharmacokinetic parameters were AUC0-72 = 4.3 (1.2) mcg·h/mL; Cmax = 0.5 (0.2) mcg/mL; Tmax = 2.2 (0.9) hours.

With a regimen of 500 mg (two 250 mg capsules*) on day 1, followed by 250 mg daily (one 250 mg capsule) on days 2 through 5, the pharmacokinetic parameters of azithromycin in plasma in healthy young adults (18 to 40 years of age) are portrayed in the chart below. Cmin and Cmax remained essentially unchanged from day 2 through day 5 of therapy.

*Azithromycin 250 mg tablets are bioequivalent to 250 mg capsules in the fasted state. Azithromycin 250 mg capsules are no longer commercially available.

Pharmacokinetic Parameters (Mean)

Total n = 12

Day 1

 

Day 5

Cmax (mcg/mL)

0.41

0.24

Tmax (h)

2.5

3.2

AUC0-24 (mcg·h/mL)

2.6

2.1

Cmin (mcg/mL)

0.05

0.05

Urinary Excret. (% dose)

4.5

6.5

In a two-way crossover study, 12 adult healthy volunteers (6 males, 6 females) received 1,500 mg of azithromycin administered in single daily doses over either 5 days (two 250 mg tablets on day 1, followed by one 250 mg tablet on days 2 to 5) or 3 days (500 mg per day for days 1 to 3). Due to limited serum samples on day 2 (3 day regimen) and days 2 to 4 (5 day regimen), the serum concentration-time profile of each subject was fit to a 3 compartment model and the AUC0-∞ for the fitted concentration profile was comparable between the 5 day and 3 day regimens.

3 Day Regimen

5 Day Regimen

Pharmacokinetic Parameter

[mean (SD)]

Day 1

Day 3

Day 1

Day 5

Cmax (serum, mcg/mL)

0.44 (0.22)

0.54 (0.25)

0.43 (0.20)

0.24 (0.06)

Serum AUC0-∞ (mcg·hr/mL)

17.4 (6.2)

14.9 (3.1)

Serum T1/2

71.8 hr

68.9 hr

Median azithromycin exposure (AUC0-288) in mononuclear (MN) and polymorphonuclear (PMN) leukocytes following either the 5 day or 3 day regimen was more than a 1000 fold and 800 fold greater than in serum, respectively. Administration of the same total dose with either the 5 day or 3 day regimen may be expected to provide comparable concentrations of azithromycin within MN and PMN leukocytes.

Two azithromycin 250 mg tablets are bioequivalent to a single 500 mg tablet.

Adverse Reactions (ADVERSE REACTIONS)

In clinical trials, most of the reported side effects were mild to moderate in severity and were reversible upon discontinuation of the drug. Potentially serious side effects of angioedema and cholestatic jaundice were reported rarely. Approximately 0.7% of the patients (adults and pediatric patients) from the 5 day multiple-dose clinical trials discontinued azithromycin therapy because of treatment-related side effects. In adults given 500 mg/day for 3 days, the discontinuation rate due to treatment-related side effects was 0.6%. In clinical trials in pediatric patients given 30 mg/kg, either as a single dose or over 3 days, discontinuation from the trials due to treatment-related side effects was approximately 1% (see DOSAGE AND ADMINISTRATION ). Most of the side effects leading to discontinuation were related to the gastrointestinal tract, e.g., nausea, vomiting, diarrhea, or abdominal pain (see CLINICAL STUDIES, Pediatric Patients ).

Animal Toxicology (ANIMAL TOXICOLOGY)

Phospholipidosis (intracellular phospholipid accumulation) has been observed in some tissues of mice, rats, and dogs given multiple doses of azithromycin. It has been demonstrated in numerous organ systems (e.g., eye, dorsal root ganglia, liver, gallbladder, kidney, spleen, and pancreas) in dogs treated with azithromycin at doses which, expressed on the basis of mg/ m2, are approximately equal to the recommended adult human dose, and in rats treated at doses approximately one-sixth of the recommended adult human dose. This effect has been shown to be reversible after cessation of azithromycin treatment. Phospholipidosis has been observed to a similar extent in the tissues of neonatal rats and dogs given daily doses of azithromycin ranging from 10 days to 30 days. Based on the pharmacokinetic data, phospholipidosis has been seen in the rat (30 mg/kg dose) at observed Cmax value of 1.3 mcg/mL (six times greater than the observed Cmax of 0.216 mcg/mL at the pediatric dose of 10 mg/kg). Similarly, it has been shown in the dog (10 mg/kg dose) at observed Cmax value of 1.5 mcg/mL (seven times greater than the observed same Cmax and drug dose in the studied pediatric population). On a mg/m2 basis, 30 mg/kg dose in the neonatal rat (135 mg/m2) and 10 mg/kg dose in the neonatal dog (79 mg/m2) are approximately 0.5 and 0.3 times, respectively, the recommended dose in the pediatric patients with an average body weight of 25 kg. Phospholipidosis, similar to that seen in the adult animals, is reversible after cessation of azithromycin treatment. The significance of these findings for animals and for humans is unknown.

Contraindications (CONTRAINDICATIONS)

Azithromycin is contraindicated in patients with known hypersensitivity to azithromycin, erythromycin any macrolide or ketolide antibiotic. Azithromycin is contraindicated in patients with a history of cholestatic jaundice/hepatic dysfunction associated with prior use of azithromycin.

Drug Interactions

Coadministration of nelfinavir at steady-state with a single oral dose of azithromycin resulted in increased azithromycin serum concentrations. Although a dose adjustment of azithromycin is not recommended when administered in combination with nelfinavir, close monitoring for known side effects of azithromycin, such as liver enzyme abnormalities and hearing impairment, is warranted (see ADVERSE REACTIONS ).

Although, in a study of 22 healthy men, a 5 day course of azithromycin did not affect the prothrombin time from a subsequently administered dose of warfarin, spontaneous postmarketing reports suggest that concomitant administration of azithromycin may potentiate the effects of oral anticoagulants. Prothrombin times should be carefully monitored while patients are receiving azithromycin and oral anticoagulants concomitantly.

Drug interaction studies were performed with azithromycin and other drugs likely to be coadministered (see CLINICAL PHARMACOLOGY, Drug-Drug Interactions ). When used in therapeutic doses, azithromycin had a modest effect on the pharmacokinetics of atorvastatin, carbamazepine, cetirizine, didanosine, efavirenz, fluconazole, indinavir, midazolam, rifabutin, sildenafil, theophylline (intravenous and oral), triazolam, trimethoprim/sulfamethoxazole or zidovudine. Coadministration with efavirenz, or fluconazole had a modest effect on the pharmacokinetics of azithromycin. No dosage adjustment of either drug is recommended when azithromycin is coadministered with any of the above agents.

Interactions with the drugs listed below have not been reported in clinical trials with azithromycin; however, no specific drug interaction studies have been performed to evaluate potential drug-drug interaction. Nonetheless, they have been observed with macrolide products. Until further data are developed regarding drug interactions when azithromycin and these drugs are used concomitantly, careful monitoring of patients is advised:

Digoxin–elevated digoxin concentrations.

Ergotamine or dihydroergotamine–acute ergot toxicity characterized by severe peripheral vasospasm and dysesthesia.

Terfenadine, cyclosporine, hexobarbital and phenytoin concentrations.

Anaerobic Bacteria (Anaerobic bacteria)

Peptostreptococcus species

Prevotella bivia

Geriatric Patients

When studied in healthy elderly subjects aged 65 to 85 years, the pharmacokinetic parameters of azithromycin in elderly men were similar to those in young adults; however, in elderly women, although higher peak concentrations (increased by 30 to 50%) were observed, no significant accumulation occurred.

Pediatric Patients

In two clinical studies, azithromycin for oral suspension was dosed at 10 mg/kg on day 1, followed by 5 mg/kg on days 2 through 5 to two groups of pediatric patients (aged 1 to 5 years and 5 to 15 years, respectively). The mean pharmacokinetic parameters on day 5 were Cmax = 0.216 mcg/mL, Tmax = 1.9 hours, and AUC0-24 = 1.822 mcg·hr/mL for the 1 to 5 year old group and were Cmax = 0.383 mcg/mL, Tmax = 2.4 hours, and AUC0-24 = 3.109 mcg·hr/mL for the 5 to 15 year old group.

Two clinical studies were conducted in 68 pediatric patients aged 3 to 16 years to determine the pharmacokinetics and safety of azithromycin for oral suspension. Azithromycin was administered following a low-fat breakfast.

The first study consisted of 35 pediatric patients treated with 20 mg/kg/day (maximum daily dose 500 mg) for 3 days of whom 34 patients were evaluated for pharmacokinetics.

In the second study, 33 pediatric patients received doses of 12 mg/kg/day (maximum daily dose 500 mg) for 5 days of whom 31 patients were evaluated for pharmacokinetics.

In both studies, azithromycin concentrations were determined over a 24 hour period following the last daily dose. Patients weighing above 25 kg in the 3 day study or 41.7 kg in the 5 day study received the maximum adult daily dose of 500 mg. Eleven patients (weighing 25 kg or less) in the first study and 17 patients (weighing 41.7 kg or less) in the second study received a total dose of 60 mg/kg. The following table shows pharmacokinetic data in the subset of pediatric patients who received a total dose of 60 mg/kg.

Pharmacokinetic Parameter

[mean (SD)]

3 Day Regimen

(20 mg/kg x 3 days)

5 Day Regimen

(12 mg/kg x 5 days)

n

11

17

Cmax (mcg/mL)

1.1 (0.4)

0.5 (0.4)

Tmax (hr)

2.7 (1.9)

2.2 (0.8)

AUC0-24 (mcg·hr/mL)

7.9 (2.9)

3.9 (1.9)

The similarity of the overall exposure (AUC0-∞) between the 3 day and 5 day regimens in pediatric patients is unknown.

Single dose pharmacokinetics in pediatric patients given doses of 30 mg/kg have not been studied (see DOSAGE AND ADMINISTRATION ).

Dilution Techniques

Quantitative methods are used to determine antimicrobial minimum inhibitory concentrations (MICs). These MICs provide estimates of the susceptibility of bacteria to antimicrobial compounds. The MICs should be determined using a standardized procedure. Standardized procedures are based on a dilution method1,2 (broth or agar) or equivalent with standardized inoculum concentration and standardized concentration of azithromycin powder. The MIC values should be interpreted according to criteria provided in Table 3.

Mechanism of Action

Azithromycin binds to the 23S rRNA of the bacterial 50S ribosomal subunit. It blocks protein synthesis by inhibiting the transpeptidation/translocation step of protein synthesis and by inhibiting the assembly of the 50S ribosomal subunit.

Azithromycin concentrates in phagocytes and fibroblasts as demonstrated by in vitro incubation techniques. The ratio of intracellular to extracellular concentration was > 30 after one hour incubation. In vivo studies suggest that concentration in phagocytes may contribute to drug distribution to inflamed tissues.

Renal Insufficiency

Azithromycin pharmacokinetics were investigated in 42 adults (21 to 85 years of age) with varying degrees of renal impairment. Following the oral administration of a single 1,000 mg dose of azithromycin, mean Cmax and AUC0-120 increased by 5.1% and 4.2%, respectively in subjects with mild to moderate renal impairment (GFR 10 to 80 mL/min) compared to subjects with normal renal function (GFR > 80 mL/min). The mean Cmax and AUC0-120 increased 61% and 35%, respectively in subjects with severe renal impairment (GFR < 10 mL/min) compared to subjects with normal renal function (GFR >80 mL/min) (see DOSAGE AND ADMINISTRATION ).

Teratogenic Effects

Pregnancy Category B

Reproduction studies have been performed in rats and mice at doses up to moderately maternally toxic dose concentrations (i.e., 200 mg/kg/day). These doses, based on a mg/m2 basis, are estimated to be 4 and 2 times, respectively, the human daily dose of 500 mg. In the animal studies, no evidence of harm to the fetus due to azithromycin was found. There are, however, no adequate and well-controlled studies in pregnant women. Because animal reproduction studies are not always predictive of human response, azithromycin should be used during pregnancy only if clearly needed.

Diffusion Techniques

Quantitative methods that require measurement of zone diameters also provide reproducible estimates of the susceptibility of bacteria to antimicrobial compounds. One such standardized procedure2,3 requires the use of standardized inoculum concentration. This procedure uses paper disks impregnated with 15 mcg azithromycin to test the susceptibility of bacteria to azithromycin. The disk diffusion interpretive criteria are provided in Table 3.

Table 3. Susceptibility Test Interpretive Criteria for Azithromycin Susceptibility Test Result Interpretive Criteria

Pathogen

Minimum Inhibitory Concentrations (mcg/mL)

Disk Diffusion

(zone diameters in mm)

S

I

R

S

I

R

Haemophilus influenzae 

≤ 4

--

--

≥ 12

--

--

Staphylococcus aureus

≤ 2

4

≥ 8

≥ 18

14 to 17

≤ 13

Streptococci including

S. pneumoniae

  ≤ 0.5

1

≥ 2

≥ 18

14 to 17

≤ 13

Susceptibility to azithromycin must be tested in ambient air.

The ability to correlate MIC values and plasma drug levels is difficult as azithromycin concentrates in macrophages and tissues (see Clinical Pharmacology ).

A report of “susceptible” indicates that the pathogen is likely to be inhibited if the antimicrobial compound reaches the concentrations usually achievable. A report of “intermediate” indicates that the result should be considered equivocal, and, if the microorganism is not fully susceptible to alternative, clinically feasible drugs, the test should be repeated. This category implies possible clinical applicability in body sites where the drug is physiologically concentrated or in situations where high dosage of drug can be used. This category also provides a buffer zone which prevents small uncontrolled technical factors from causing major discrepancies in interpretation. A report of “resistant” indicates that the pathogen is not likely to be inhibited if the antimicrobial compound reaches the concentrations usually achievable; other therapy should be selected.

“other” Bacteria (“Other” bacteria)

Chlamydophila pneumoniae

Chlamydia trachomatis

Mycoplasma pneumoniae

The following in vitro data are available, but their clinical significance is unknown.

At least 90% of the following bacteria exhibit an in vitro minimum inhibitory concentration (MIC) less than or equal to the azithromycin susceptible breakpoint of ≤ 4 mcg/mL. However, safety and effectiveness of azithromycin in treating clinical infections due to these bacteria have not been established in adequate and well-controlled trials.

Hepatic Insufficiency

The pharmacokinetics of azithromycin in subjects with hepatic impairment have not been established.

Indications and Usage (INDICATIONS AND USAGE)

Azithromycin for oral suspension USP is indicated for the treatment of patients with mild to moderate infections (pneumonia: see WARNINGS ) caused by susceptible strains of the designated microorganisms in the specific conditions listed below. As recommended dosages, durations of therapy and applicable patient populations vary among these infections, please see DOSAGE AND ADMINISTRATION for specific dosing recommendations.

Drug Drug Interactions (Drug-Drug Interactions)

Drug interaction studies were performed with azithromycin and other drugs likely to be coadministered. The effects of coadministration of azithromycin on the pharmacokinetics of other drugs are shown in Table 1 and the effect of other drugs on the pharmacokinetics of azithromycin are shown in Table 2.

Coadministration of azithromycin at therapeutic doses had a modest effect on the pharmacokinetics of the drugs listed in Table 1. No dosage adjustment of drugs listed in Table 1 is recommended when coadministered with azithromycin.

Coadministration of azithromycin with efavirenz or fluconazole had a modest effect on the pharmacokinetics of azithromycin. Nelfinavir significantly increased the Cmax and AUC of azithromycin. No dosage adjustment of azithromycin is recommended when administered with drugs listed in Table 2 (see PRECAUTIONS, Drug Interactions ).

Table 1. Drug Interactions: Pharmacokinetic Parameters for Coadministered Drugs in the Presence of Azithromycin
NA - Not Available

Mean rifabutin concentrations one-half day after the last dose of rifabutin were 60 ng/mL when coadministered with azithromycin and 71 ng/mL when coadministered with placebo.

Coadministered

Drug

Dose of

Coadministered Drug

Dose of Azithromycin

n

Ratio (with/without azithromycin) of Coadministered Drug Pharmacokinetic Parameters

(90% CI); No Effect = 1

Mean Cmax

Mean AUC

Atorvastatin

10 mg/day x 8 days

500 mg/day PO on days 6 to 8

12

0.83

(0.63 to 1.08)

1.01

(0.81 to 1.25)

Carbamazepine

200 mg/day x 2 days, then 200 mg BID x 18 days

500 mg/day PO for days 16 to 18

7

0.97

(0.88 to 1.06)

0.96

(0.88 to 1.06)

Cetirizine

20 mg/day x 11 days

500 mg PO on day 7, then 250 mg/day on days 8 to 11

14

1.03

(0.93 to 1.14)

1.02

(0.92 to 1.13)

Didanosine

200 mg PO BID x 21 days

1,200 mg/day PO on days 8 to 21

6

1.44

(0.85 to 2.43)

1.14

(0.83 to 1.57)

Efavirenz

400 mg/day x 7 days

600 mg PO on day 7

14

1.04

0.95

Fluconazole

200 mg PO single dose

1,200 mg PO single dose

18

1.04

(0.98 to 1.11)

1.01

(0.97 to 1.05)

Indinavir

800 mg TID x 5 days

1,200 mg PO on day 5

18

0.96

(0.86 to 1.08)

0.9

(0.81 to 1)

Midazolam

15 mg PO on day 3

500 mg/day PO x 3 days

12

1.27

(0.89 to 1.81)

1.26

(1.01 to 1.56)

Nelfinavir

750 mg TID x 11 days

1,200 mg PO on day 9

14

0.90

(0.81 to 1.01)

0.85

(0.78 to 0.93)

Rifabutin

300 mg/day x 10 days

500 mg PO on day 1, then 250 mg/day on days 2 to 10

6

See footnote below

NA

Sildenafil

100 mg on days 1 and 4

500 mg/day PO x 3 days

12

1.16

(0.86 to 1.57)

0.92

(0.75 to 1.12)

Theophylline

4 mg/kg I.V. on days 1, 11, 25

500 mg PO on day 7, then 250 mg/day on days 8 to 11

10

1.19

(1.02 to 1.40)

1.02

(0.86 to 1.22)

Theophylline

300 mg PO BID x 15 days

500 mg PO on day 6, then 250 mg/day on days 7 to 10

8

1.09

(0.92 to 1.29)

1.08

(0.89 to 1.31)

Triazolam

0.125 mg on day 2

500 mg PO on day1, then 250 mg/day

on day 2

12

1.06

1.02

Trimethoprim/ Sulfamethoxazole

160 mg/800 mg/day PO x 7 days

1,200 mg PO on day 7

12

0.85

(0.75 to 0.97)

/0.90

(0.78 to 1.03)

0.87

(0.80 to 0.95)

/0.96

(0.88 to 1.03)

Zidovudine

500 mg/day PO x 21 days

600 mg/day PO x 14 days

5

1.12

(0.42 to 3.02)

0.94

(0.52 to 1.70)

Zidovudine

500 mg/day PO x 21 days

1,200 mg/day PO x 14 days

4

1.31

(0.43 to 3.97)

1.30

(0.69 to 2.43)

Table 2. Drug Interactions: Pharmacokinetic Parameters for Azithromycin in the Presence of Coadministered Drugs (see PRECAUTIONS, Drug Interactions)
NA - Not available

Coadministered Drug

Dose of Coadministered Drug

Dose of Azithromycin

n

Ratio (with/without

coadministered drug) of Azithromycin Pharmacokinetic

Parameters (90% CI);

No Effect = 1

Mean Cmax

Mean AUC

Efavirenz

400 mg/day x 7 days

600 mg PO on day 7

14

1.22

(1.04 to 1.42)

0.92

Fluconazole

200 mg PO single dose

1,200 mg PO single dose

18

0.82

(0.66 to 1.02)

1.07

(0.94 to 1.22)

Nelfinavir

750 mg TID x 11 days

1,200 mg PO on day 9

14

2.36

(1.77 to 3.15)

2.12

(1.80 to 2.50)

Rifabutin

300 mg/day x 10 days

500 mg PO on day 1, then 250 mg/day on days 2 to 10

6

See footnote below

NA

Mean azithromycin concentrations one day after the last dose were 53 ng/mL when coadministered with 300 mg daily rifabutin and 49 ng/mL when coadministered with placebo.

Gram Negative Bacteria (Gram-negative bacteria)

Haemophilus ducreyi

Haemophilus influenzae

Moraxella catarrhalis

Neisseria gonorrhoeae

Gram Positive Bacteria (Gram-positive bacteria)

Staphylococcus aureus

Streptococcus agalactiae

Streptococcus pneumoniae

Streptococcus pyogenes

Treatment of Pneumonia

In the treatment of pneumonia, azithromycin has only been shown to be safe and effective in the treatment of community-acquired pneumonia due to Chlamydia pneumoniae, Haemophilusinfluenzae, Mycoplasma pneumoniae or Streptococcus pneumoniae in patients appropriate for oral therapy. Azithromycin should not be used in patients with pneumonia who are judged to be inappropriate for oral therapy because of moderate to severe illness or risk factors such as any of thefollowing: patients with cystic fibrosis, patients with nosocomially acquired infections, patients with known or suspected bacteremia, patients requiring hospitalization, elderly or debilitated patients, or patients with significant underlying health problems that may compromise their ability to respond totheir illness (including immunodeficiency or functional asplenia).

Clostridium Difficile-associated Diarrhea

Clostridium difficile-associated diarrhea (CDAD) has been reported with use of nearly all antibacterial agents, including azithromycin, and may range in severity from mild diarrhea to fatal colitis. Treatment with antibacterial agents alters the normal flora of the colon leading to overgrowth of C. difficile.

C. difficile produces toxins A and B which contribute to the development of CDAD. Hypertoxin producing strains of C. difficile cause increased morbidity and mortality, as these infections can be refractory to antimicrobial therapy and may require colectomy. CDAD must be considered in all patients who present with diarrhea following antibiotic use. Careful medical history is necessary since CDAD has been reported to occur over two months after the administration of antibacterial agents.

If CDAD is suspected or confirmed, ongoing antibiotic use not directed against C. difficile may need to be discontinued. Appropriate fluid and electrolyte management, protein supplementation, antibiotic treatment of C. difficile, and surgical evaluation should be instituted as clinically indicated.

Mechanism of Resistance

The most frequently encountered mechanism of resistance to azithromycin is modification of the 23S rRNA at positions corresponding to A2058 and A2059 in the Escherichia coli numbering system. In addition to cross resistance with other macrolides (erythromycin and clarithromycin), ribosomal modification may determine resistance to other antibiotic classes (lincosamides and streptogramins B) that bind to overlapping ribosomal sites.

Azithromycin has been shown to be active against most isolates of the following bacteria, both in vitro and in clinical infections (see INDICATIONS AND USAGE ).

Principal Display Panel (PRINCIPAL DISPLAY PANEL)
Information for Patients

Azithromycin for oral suspension can be taken with or without food.

Patients should also be cautioned not to take aluminum- and magnesium-containing antacids and azithromycin simultaneously.

The patient should be directed to discontinue azithromycin immediately and contact a physician if any signs of an allergic reaction occur.

Patients should be counseled that antibacterial drugs including azithromycin should only be used to treat bacterial infections. They do not treat viral infections (e.g., the common cold). When azithromycin is prescribed to treat a bacterial infection, patients should be told that although it is common to feel better early in the course of the therapy, the medication should be taken exactly as directed. Skipping doses or not completing the full course of therapy may (1) decrease the effectiveness of the immediate treatment and (2) increase the likelihood that bacteria will develop resistance and will not be treatable by azithromycin or other antibacterial drugs in the future.

Diarrhea is a common problem caused by antibiotics which usually ends when the antibiotic is discontinued. Sometimes after starting treatment with antibiotics, patients can develop watery and bloody stools (with or without stomach cramps and fever) even as late as two or more months after having taken the last dose of the antibiotic. If this occurs, patients should contact their physician as soon as possible.

Postmarketing Experience

Adverse events reported with azithromycin during the postmarketing period in adult and/or pediatric patients for which a causal relationship may not be established include:

Allergic: Arthralgia, edema, urticaria and angioedema.

Cardiovascular: Arrhythmias including ventricular tachycardia and hypotension. There have been rare reports of QT prolongation and torsade de pointes.

Gastrointestinal: Anorexia, constipation, dyspepsia, flatulence, vomiting/diarrhea rarely resulting in dehydration, pseudomembranous colitis, pancreatitis, oral candidiasis, pyloric stenosis, and rare reports of tongue discoloration.

General: Asthenia, paresthesia, fatigue, malaise and anaphylaxis (rarely fatal).

Genitourinary: Interstitial nephritis and acute renal failure and vaginitis.

Hematopoietic: Thrombocytopenia.

Liver/Biliary: Adverse reactions related to hepatic dysfunction have been reported in

postmarketing experience with azithromycin (see WARNINGS, Hepatotoxicity).

Nervous System: Convulsions, dizziness/vertigo, headache, somnolence, hyperactivity, nervousness, agitation and syncope.

Psychiatric: Aggressive reaction and anxiety.

Skin/Appendages: Pruritus, rarely serious skin reactions including erythema multiforme, Stevens-Johnson syndrome and toxic epidermal necrolysis.

Special Senses: Hearing disturbances including hearing loss, deafness and/or tinnitus and reports of taste/smell perversion and/or loss.

Acute Bacterial Sinusitis

In a randomized, double-blind, double-dummy controlled clinical trial of acute bacterial sinusitis, azithromycin (500 mg once daily for 3 days) was compared with amoxicillin/clavulanate (500/125 mg tid for 10 days). Clinical response assessments were made at Day 10 and Day 28. The primary endpoint of this trial was prospectively defined as the clinical cure rate at Day 28. For the 594 patients analyzed in the modified intent to treat analysis at the Day 10 visit, the clinical cure rate for 3 days of azithromycin was 88% (268/303) compared to 85% (248/291) for 10 days of amoxicillin/clavulanate. For the 586 patients analyzed in the modified intent to treat analysis at the Day 28 visit, the clinical cure rate for 3 days of azithromycin was 71.5% (213/298) compared to 71.5% (206/288), with a 97.5% confidence interval of -8.4 to 8.3, for 10 days of amoxicillin/clavulanate.

In the safety analysis of this study, the overall incidence of treatment-related adverse events, primarily gastrointestinal, was lower in the azithromycin treatment arm (31%) than in the amoxicillin/clavulanate arm (51%). The most common side effects were diarrhea (17% in the azithromycin arm vs. 32% in the amoxicillin/clavulanate arm), and nausea (7% in the azithromycin arm vs. 12% in the amoxicillin/clavulanate arm) (see ADVERSE REACTIONS ).

In an open label, noncomparative study requiring baseline transantral sinus punctures the following outcomes were the clinical success rates at the Day 7 and Day 28 visits for the modified intent to treat patients administered 500 mg of azithromycin once daily for 3 days with the following pathogens:



Pathogen

Azithromycin

(500 mg per day for 3 Days)

Day 7

Day 28

S. pneumoniae

23/26 (88%)

21/25 (84%)

H. influenzae

28/32 (87%)

24/32 (75%)

M. catarrhalis

14/15 (93%)

13/15 (87%)

The overall incidence of treatment-related adverse events in the noncomparative study was 21% in modified intent to treat patients treated with azithromycin at 500 mg once daily for 3 days with the most common side effects being diarrhea (9%), abdominal pain (4%) and nausea (3%) (see ADVERSE REACTIONS ).

Cardiac Electrophysiology

QTc interval prolongation was studied in a randomized, placebo-controlled parallel trial in 116 healthy subjects who received either chloroquine (1000 mg) alone or in combination with azithromycin (500 mg, 1000 mg, and 1500 mg once daily). Coadministration of azithromycin increased the QTc interval in a dose-and concentration-dependent manner. In comparison to chloroquine alone, the maximum mean (95% upper confidence bound) increases in QTcF were 5

(10) ms, 7 (12) ms and 9 (14) ms with the coadministration of 500 mg, 1000 mg and 1500 mg azithromycin, respectively.

Dosage and Administration (DOSAGE AND ADMINISTRATION)
Laboratory Test Interactions

There are no reported laboratory test interactions.

Susceptibility Testing Methods

When available, the results of in vitro susceptibility test results for antimicrobial drugs used in resident hospitals should be provided to the physician as periodic reports which describe the susceptibility profile of nosocomial and community-acquired pathogens. These reports may differ from susceptibility data obtained from outpatient use, but could aid the physician in selecting the most effective antimicrobial.

Patient Summary of Information About (PATIENT SUMMARY OF INFORMATION ABOUT)

Azithromycin For Oral Suspension USP

Cherry-flavored suspension

Rx Only

This summary contains important information about azithromycin. It is not meant to take the place of your child’s doctor’s instructions. Read this information carefully before you give azithromycin to your child. Ask your child’s doctor, nurse or pharmacist if you do not understand any of this information or if you want to know more about azithromycin.

• What Is Azithromycin?

Azithromycin is an antibiotic medicine that is taken only once a day to treat the following types of infections in children: ear infections, pneumonia, and throat infections.

• Can Antibiotics Cure A Cold Or Flu?

No. Antibiotics work only on infections caused by bacteria. They do not kill viruses. No antibiotic, including azithromycin, can treat viral infections such as the common cold and the flu.

• What To Tell Your Child’s Doctor Before You Start Azithromycin

Only your child’s doctor can decide if azithromycin is right for your child. Before you start azithromycin, be sure to tell the doctor if your child:

  • is being given any prescription medicines, including those for asthma
  • is being given any over-the-counter medicines you can buy without a prescription, including natural/herbal remedies
  • has ever had any liver or kidney problems
  • has any other medical problems
  • is allergic to any medicines
  • is allergic to certain antibiotics such as erythromycin
  • is allergic to azithromycin or any of the ingredients of azithromycin suspension. Your doctor or pharmacist can give you a list of these ingredients.

• Azithromycin And Other Medicines

Some medicines can affect how well azithromycin works. Check with your child’s doctor before giving your child any new medicines.

• What Is The Right Amount Of Azithromycin To Give To My Child?

Azithromycin gets deep into infected tissue where it is released slowly over time so the medicine keeps fighting bacteria for many days after the last dose is taken. This is why azithromycin may be taken for as short a time as one day. Your child’s doctor will decide the total amount of azithromycin to give to your child, depending on your child’s weight and on the specific infection your child has. In addition to deciding the total amount of azithromycin to give to your child, the doctor will tell you to give all the medicine to your child in 1 day or to divide it over 3 days or over 5 days.

For Ear lnfections

For ear infections, your child’s doctor will tell you to give azithromycin to your child in one of the following ways: the total amount as 1 dose on 1 day, or the total amount divided into 1 dose per-day for 3 days or the total amount divided into 1 dose-per-day for 5 days, with a double dose on the first day. Whether given all on 1 day, or divided over 3 days or over 5 days, the total amount of azithromycin you give to your child should be the same.

For Pneumonia

For pneumonia, your child’s doctor will tell you to give azithromycin to your child by dividing the total amount into 1 dose-per-day for 5 days, with a double dose on the first day.

For Throat lnfections (“strep throat”)

For throat infections, your child’s doctor will tell you to give azithromycin to your child by dividing the total amount into 1 dose-per-day for 5 days. When you give azithromycin for 5 days for throat infections, you do not need to give a double dose on the first day (as you would with ear infections).

If you have questions about how to give azithromycin to your child, please ask your child’s doctor, nurse or pharmacist.

• How And When To Give Azithromycin

Azithromycin may be taken with or without food and may be taken at any time of day.

Shake the bottle well just before you give a dose.

Give azithromycin for the full number of days prescribed by the doctor, even if your child feels better before finishing all the medicine as prescribed.

If you forget to give your child a dose, call the doctor.

• When Can I Expect My Child To Begin Feeling Better?

Although azithromycin’s dosing is short and you may be able to give all the medicine to your child more easily, you should not expect azithromycin to work faster than other antibiotics which are dosed for up to 10 days.

Your child’s doctor or nurse can advise you when your child should begin feeling better.

• Possible Side Effects

Like all medicines, azithromycin may cause side effects in some children that are usually mild to moderate and go away after the medicine is stopped. The most common ones are diarrhea, abdominal (“tummy”) pain, vomiting and nausea.

As with other antibiotics, if your child develops diarrhea that becomes severe and watery or does not go away, stop taking the medicine and call the doctor or nurse. This could be a sign of a serious medical problem.

Allergic reactions to azithromycin are rare, but these can be very serious if not treated right away by a doctor. If you think your child might be having an allergic reaction to azithromycin, stop the medicine and call the doctor right away. If you cannot reach the doctor, go to the nearest hospital emergency room. Symptoms of a severe allergic reaction may include trouble breathing; swelling of the face, mouth and neck; or severe skin rash or blisters.

Azithromycin may cause other less common side effects besides those listed here. For a list of all the side effects that have been reported, ask the doctor, nurse or pharmacist for the Azithromycin Professional Package Insert.

• What Should I Do If My Child Vomits (Spits Up) The 1 Day Treatment of Azithromycin?

If your child vomits within 30 minutes after the 1 day treatment for an ear infection, please call your child’s doctor.

• What To Do For An Overdose

In case of accidental overdose, call your child’s doctor right away or go to the nearest emergency room.

• How To Store Azithromycin

Keep azithromycin out of the reach of children. Azithromycin can be stored at room temperature. You do not have to keep it in the refrigerator. Throw away any medicine that is left over after treatment.

Manufactured in Croatia By: 

PLIVA HRVATSKA d.o.o.

Zagreb, Croatia

Manufactured For: 

TEVA PHARMACEUTICALS USA

Sellersville, PA 18960

Rev. A 6/2012

Relabeled by:

PROFICIENT RX LP

Thousand Oaks, CA 91320

Carcinogenesis, Mutagenesis, Impairment of Fertility

Long-term studies in animals have not been performed to evaluate carcinogenic potential. Azithromycin has shown no mutagenic potential in standard laboratory tests: mouse lymphoma assay, human lymphocyte clastogenic assay, and mouse bone marrow clastogenic assay. No evidence of impaired fertility due to azithromycin was found.

Acute Bacterial Exacerbations of Chronic Obstructive Pulmonary Disease

In a randomized, double-blind controlled clinical trial of acute exacerbation of chronic bronchitis (AECB), azithromycin (500 mg once daily for 3 days) was compared with clarithromycin (500 mg twice daily for 10 days). The primary endpoint of this trial was the clinical cure rate at Day 21 to 24. For the 304 patients analyzed in the modified intent to treat analysis at the Day 21 to 24 visit, the clinical cure rate for 3 days of azithromycin was 85% (125/147) compared to 82% (129/157) for 10 days of clarithromycin.

The following outcomes were the clinical cure rates at the Day 21 to 24 visit for the bacteriologically evaluable patients by pathogen:

Pathogen

Azithromycin

Clarithromycin

(3 Days)

(10 Days)

S. pneumoniae

29/32 (91%)

21/27 (78%)

H. influenzae

12/14 (86%)

14/16 (88%)

M. catarrhalis

11/12 (92%)

12/15 (80%)

In the safety analysis of this study, the incidence of treatment-related adverse events, primarily gastrointestinal, were comparable between treatment arms (25% with azithromycin and 29% with clarithromycin). The most common side effects were diarrhea, nausea and abdominal pain with comparable incidence rates for each symptom of 5 to 9% between the two treatment arms (see ADVERSE REACTIONS ).


Advanced Ingredient Data


Raw Label Data

All Sections (JSON)