These Highlights Do Not Include All The Information Needed To Use Fluticasone Propionate And Salmeterol Inhalation Powder Safely And Effectively. See Full Prescribing Information For Fluticasone Propionate And Salmeterol Inhalation Powder.

These Highlights Do Not Include All The Information Needed To Use Fluticasone Propionate And Salmeterol Inhalation Powder Safely And Effectively. See Full Prescribing Information For Fluticasone Propionate And Salmeterol Inhalation Powder.
SPL v18
SPL
SPL Set ID 43a27267-2f2b-410d-9c30-9cb95f35d9a1
Route
RESPIRATORY (INHALATION)
Published
Effective Date 2024-02-09
Document Type 34391-3 HUMAN PRESCRIPTION DRUG LABEL

Drug Facts

Composition & Product

Active Ingredients
Fluticasone (55 ug) Salmeterol (14 ug)
Inactive Ingredients
Lactose Monohydrate

Identifiers & Packaging

Marketing Status
NDA AUTHORIZED GENERIC Active Since 2017-04-28

Description

Fluticasone Propionate/Salmeterol Multidose Dry Powder Inhaler (FS MDPI) is indicated for the treatment of asthma in adult and pediatric patients aged 12 years and older. Fluticasone Propionate/Salmeterol MDPI should be used for patients not adequately controlled on a long term asthma control medication such as an inhaled corticosteroid or whose disease warrants initiation of treatment with both an inhaled corticosteroid and long acting beta 2 -adrenergic agonist (LABA). Limitations of Use : Fluticasone Propionate/Salmeterol MDPI is not indicated for the relief of acute bronchospasm.

Indications and Usage

Fluticasone Propionate/Salmeterol Multidose Dry Powder Inhaler (FS MDPI) is indicated for the treatment of asthma in adult and pediatric patients aged 12 years and older. Fluticasone Propionate/Salmeterol MDPI should be used for patients not adequately controlled on a long term asthma control medication such as an inhaled corticosteroid or whose disease warrants initiation of treatment with both an inhaled corticosteroid and long acting beta 2 -adrenergic agonist (LABA). Limitations of Use : Fluticasone Propionate/Salmeterol MDPI is not indicated for the relief of acute bronchospasm.

Dosage and Administration

For oral inhalation only. ( 2.1 ) Starting dosage is based on prior asthma therapy and disease severity. ( 2.2 ) 1 inhalation of Fluticasone Propionate/Salmeterol 55 mcg/14 mcg, 113 mcg/14 mcg, or 232 mcg/14 mcg twice daily. ( 2.2 ) Do not use with a spacer or volume holding chamber. ( 2.2 )

Warnings and Precautions

LABA monotherapy increases the risk of serious asthma-related events. ( 5.1 ) Deterioration of asthma and acute episodes: Do not use for relief of acute symptoms. Patients require immediate re-evaluation during rapidly deteriorating asthma. ( 5.2 ) Do not use in combination with an additional medicine containing LABA because of risk of overdose. ( 5.3 ) Localized infections: Candida albicans infection of the mouth and pharynx may occur. Monitor patients periodically. Advise the patient to rinse his/her mouth with water without swallowing after inhalation to help reduce the risk. ( 5.4 ) Immunosuppression: Potential worsening of existing tuberculosis, fungal, bacterial, viral, parasitic infection, or ocular herpes simplex. Use with caution in patients with these infections. More serious or even fatal course of chickenpox or measles can occur in susceptible patients. ( 5.5 ) Transferring patients from systemic corticosteroids: Risk of impaired adrenal function when transferring from systemic corticosteroids. Taper patients slowly from systemic corticosteroids if transferring to Fluticasone Propionate/Salmeterol. ( 5.6 ) Hypercorticism and adrenal suppression: May occur with very high dosages or at the regular dosage in susceptible individuals. If such changes occur, discontinue Fluticasone Propionate/Salmeterol slowly. ( 5.7 ) Paradoxical bronchospasm: Discontinue Fluticasone Propionate/Salmeterol and institute alternative therapy if paradoxical bronchospasm occurs. ( 5.9 ) Use with caution in patients with cardiovascular or central nervous system disorders because of beta adrenergic stimulation. ( 5.11 ) Decreases in bone mineral density: Monitor patients with major risk factors for decreased bone mineral content. ( 5.12 ) Monitor growth of pediatric patients. ( 5.13 ) Close monitoring for glaucoma and cataracts is warranted. ( 5.14 ) Be alert to eosinophilic conditions, hypokalemia, and hyperglycemia. ( 5.15 , 5.17 ) Use with caution in patients with convulsive disorders, thyrotoxicosis, diabetes mellitus, and ketoacidosis. ( 5.16 )

Contraindications

Fluticasone Propionate/Salmeterol MDPI is contraindicated in: the primary treatment of status asthmaticus or other acute episodes of asthma where intensive measures are required  [see Warnings and Precautions  ( 5.2 )] . patients with known severe hypersensitivity to milk proteins or who have demonstrated hypersensitivity to fluticasone propionate or any of the excipients  [see Warnings and Precautions ( 5.10 ) and Description ( 11 )] .

Adverse Reactions

The following clinically significant adverse reactions are described elsewhere in the labeling: Serious asthma-related events – hospitalizations, intubations, death [see Warnings and Precautions ( 5.1 )] Oropharyngeal candidiasis  [see Warnings and Precautions ( 5.4 )] Immunosuppression and risk of infections  [see Warnings and Precautions ( 5.5 )] Hypercorticism and adrenal suppression [see Warnings and Precautions ( 5.7 )] Cardiovascular and central nervous system effects  [see Warnings and Precautions ( 5.11 )] Reduction in bone mineral density [see Warnings and Precautions ( 5.12 )] Growth effects in pediatrics [see Warnings and Precautions ( 5.13 )] Glaucoma and cataracts [see Warnings and Precautions ( 5.14 )]

Drug Interactions

The use of strong cytochrome P450 3A4 (CYP3A4) inhibitors (e.g., ritonavir, atazanavir, clarithromycin, indinavir, itraconazole, nefazodone, nelfinavir, saquinavir, ketoconazole, telithromycin) with Fluticasone Propionate/Salmeterol MDPI is not recommended because increased systemic corticosteroid and increased cardiovascular adverse effects may occur [see Drug Interactions ( 7.1 ) and Clinical Pharmacology ( 12.3 )].

Storage and Handling

How Supplied Fluticasone Propionate/Salmeterol MDPI inhalation powder: a multidose, dry-powder inhaler (MDPI) each inhaler is white, has a yellow cap and is packaged individually in a foil pouch with a dessicant, each pouch is packed in a carton each inhaler contains 0.45 grams of the formulation and provides 60 actuations available in 3 strengths STRENGTH NDC CODE Fluticasone Propionate/Salmeterol 55 mcg/14 mcg (low) NDC 0093-3607-82 Fluticasone Propionate/Salmeterol 113 mcg/14 mcg (medium) NDC 0093-3608-82 Fluticasone Propionate/Salmeterol 232 mcg/14 mcg (high) NDC 0093-3609-82 Each Fluticasone Propionate/Salmeterol MDPI has a dose counter attached to the actuator. Patients should never try to alter the numbers for the dose counter. Discard the inhaler when the counter displays 0, 30 days after opening the foil pouch or after the expiration date on the product, whichever comes first. The labeled amount of medication in each actuation cannot be assured after the counter displays 0, even though the inhaler is not completely empty and will continue to operate [see Patient Counseling Information ( 17 )] . Storage and Handling Store at room temperature (between 15ºC and 25ºC; 59ºF and 77ºF) in a dry place; excursions permitted from 59º F to 86º F (15ºC to 30ºC). Avoid exposure to extreme heat, cold, or humidity. Store Fluticasone Propionate/Salmeterol MDPI inside the unopened moisture‑protective foil pouch until initial use. Discard the product 30 days after opening the foil pouch or when the counter reads 0, whichever comes first. The inhaler is not reusable. Do not attempt to take the inhaler apart.

How Supplied

How Supplied Fluticasone Propionate/Salmeterol MDPI inhalation powder: a multidose, dry-powder inhaler (MDPI) each inhaler is white, has a yellow cap and is packaged individually in a foil pouch with a dessicant, each pouch is packed in a carton each inhaler contains 0.45 grams of the formulation and provides 60 actuations available in 3 strengths STRENGTH NDC CODE Fluticasone Propionate/Salmeterol 55 mcg/14 mcg (low) NDC 0093-3607-82 Fluticasone Propionate/Salmeterol 113 mcg/14 mcg (medium) NDC 0093-3608-82 Fluticasone Propionate/Salmeterol 232 mcg/14 mcg (high) NDC 0093-3609-82 Each Fluticasone Propionate/Salmeterol MDPI has a dose counter attached to the actuator. Patients should never try to alter the numbers for the dose counter. Discard the inhaler when the counter displays 0, 30 days after opening the foil pouch or after the expiration date on the product, whichever comes first. The labeled amount of medication in each actuation cannot be assured after the counter displays 0, even though the inhaler is not completely empty and will continue to operate [see Patient Counseling Information ( 17 )] . Storage and Handling Store at room temperature (between 15ºC and 25ºC; 59ºF and 77ºF) in a dry place; excursions permitted from 59º F to 86º F (15ºC to 30ºC). Avoid exposure to extreme heat, cold, or humidity. Store Fluticasone Propionate/Salmeterol MDPI inside the unopened moisture‑protective foil pouch until initial use. Discard the product 30 days after opening the foil pouch or when the counter reads 0, whichever comes first. The inhaler is not reusable. Do not attempt to take the inhaler apart.

Patient Information

PATIENT INFORMATION Fluticasone Propionate and Salmeterol inhalation powder 55 mcg/14 mcg Fluticasone Propionate and Salmeterol inhalation powder 113 mcg/14 mcg Fluticasone Propionate and Salmeterol inhalation powder 232 mcg/14 mcg for oral inhalation use   What is fluticasone propionate/salmeterol inhalation powder? ● Fluticasone Propionate/salmeterol inhalation powder combines the inhaled corticosteroid (ICS) medicine fluticasone propionate and the LABA medicine salmeterol. ● ICS medicines such as fluticasone propionate help to decrease inflammation in the lungs. Inflammation in the lungs can lead to breathing problems. ● LABA medicines such as salmeterol help the muscles around the airways in your lungs stay relaxed to prevent symptoms, such as wheezing, cough, chest tightness, and shortness of breath. These symptoms can happen when the muscles around the airways tighten. This makes it hard to breathe. ● Fluticasone Propionate/Salmeterol inhalation powder is a prescription medicine used to control symptoms of asthma and to prevent symptoms such as wheezing in people 12 years of age and older.  ●  This product contains salmeterol. LABA medicines such as salmeterol when used alone increase the risk of hospitalizations and death from asthma problems. Fluticasone Propionate/Salmeterol inhalation powder contains an ICS and a LABA. When an ICS and LABA are used together, there is not a significant increased risk in hospitalizations and death from asthma problems. ●  Fluticasone Propionate/Salmeterol inhalation powder is not for people 12 years of age and older with asthma who are well controlled with an asthma control medicine, such as a low or medium dose of an inhaled corticosteroid medicine. Fluticasone Propionate/Salmeterol inhalation powder is for people 12 years of age and older with asthma who need both an ICS and LABA medicine. ●  Fluticasone Propionate/Salmeterol inhalation powder is not used to relieve sudden breathing problems and will not replace a rescue inhaler. ●  It is not known if Fluticasone Propionate/Salmeterol inhalation powder is safe and effective in children younger than 12 years of age.   Do not use Fluticasone Propionate/Salmeterol inhalation powder: ● to treat sudden, severe symptoms of asthma. ● if you have a severe allergy to milk proteins. Ask your healthcare provider if you are not sure. ● if you are allergic to fluticasone propionate or any of the inactive ingredients in Fluticasone Propionate/Salmeterol inhalation powder. See the end of this leaflet for a complete list of ingredients in this product.   Tell your healthcare provider about all of your medical conditions, including if you: ● have heart problems. ● have high blood pressure. ● have seizures. ● have thyroid problems. ● have diabetes. ● have liver problems. ● have weak bones (osteoporosis). ● have an immune system problem. ● have eye problems, such as glaucoma or cataracts. ● are allergic to milk proteins. ● have any type of viral, bacterial, fungal, or parasitic infection. ● are exposed to chickenpox or measles. ● are pregnant or plan to become pregnant. It is not known if Fluticasone Propionate/Salmeterol inhalation powder may harm your unborn baby. ● are breastfeeding. It is not known if the medicines in Fluticasone Propionate/Salmeterol inhalation powder pass into your breast milk and if they can harm your baby. Tell your healthcare provider about all the medicines you take, including prescription and over-the-counter medicines, vitamins, and herbal supplements. Fluticasone Propionate/Salmeterol inhalation powder and certain other medicines may interact with each other. This may cause serious side effects. Especially, tell your healthcare provider if you take antifungal or anti-HIV medicines.   How should I use Fluticasone Propionate/Salmeterol inhalation powder? Read the step-by-step instructions for using Fluticasone Propionate/Salmeterol inhalation powder at the end of this Patient Information leaflet. Fluticasone Propionate/Salmeterol inhalation powder is for oral inhalation only. Rinse your mouth with water without swallowing after each dose of Fluticasone Propionate/Salmeterol inhalation powder. Fluticasone Propionate/Salmeterol inhalation powder comes in 3 different strengths. Your healthcare provider prescribed the strength that is best for you. Use Fluticasone Propionate/Salmeterol inhalation powder exactly as your healthcare provider tells you to use it. Do not use Fluticasone Propionate/Salmeterol inhalation powder more often than prescribed. Use 1 inhalation of Fluticasone Propionate/Salmeterol inhalation powder 2 times each day. Use Fluticasone Propionate/Salmeterol inhalation powder at the same time each day, about 12 hours apart. If you miss a dose of Fluticasone Propionate/Salmeterol inhalation powder, just skip that dose. Take your next dose at your usual time. Do not take 2 doses at one time. Fluticasone Propionate/Salmeterol inhalation powder does not need priming. Do not use a spacer or volume holding chamber with Fluticasone Propionate/Salmeterol inhalation powder. Do not open the cap on your Fluticasone Propionate/Salmeterol inhalation powder inhaler until you are ready for your dose because this will waste your medicine or may damage your inhaler. If you take too much Fluticasone Propionate/Salmeterol inhalation powder, call your healthcare provider or go to the nearest hospital emergency room right away if you have any unusual symptoms, such as worsening shortness of breath, chest pain, increased heart rate, or shakiness. Do not use other medicines that contain a LABA for any reason. Examples of other medicines that contain a LABA include salmeterol, formoterol fumarate, arformoterol tartrate, and indacaterol. Ask your healthcare provider or pharmacist if any of your other medicines are LABA medicines. Do not stop using Fluticasone Propionate/Salmeterol inhalation powder unless told to do so by your healthcare provider because your symptoms might get worse. Your healthcare provider will change your medicines as needed. Fluticasone Propionate/Salmeterol inhalation powder does not relieve sudden asthma symptoms. You should not take extra doses of Fluticasone Propionate/Salmeterol inhalation powder to relieve sudden asthma symptoms. Always have a rescue inhaler with you to treat sudden asthma symptoms. If you do not have a rescue inhaler, call your healthcare provider to have one prescribed for you. Call your healthcare provider or get medical care right away if: your breathing problems get worse. you need to use your rescue inhaler more often than usual. your rescue inhaler does not work as well to relieve your symptoms. your peak flow meter results decrease. Your healthcare provider will tell you the numbers that are right for you. you have asthma and your symptoms do not improve after using Fluticasone Propionate/Salmeterol inhalation powder regularly for one week.   What are the possible side effects with Fluticasone Propionate/Salmeterol inhalation powder? Fluticasone Propionate/Salmeterol inhalation powder can cause serious side effects, including: ● fungal infection in your mouth and throat (thrush). Rinse your mouth with water without swallowing after using Fluticasone Propionate/Salmeterol inhalation powder to help reduce your chance of getting thrush. ● weakened immune system and increased chance of getting infections (immunosuppression). ● reduced adrenal function (adrenal insufficiency). Adrenal insufficiency is a condition where the adrenal glands do not make enough steroid hormones. This can happen when you stop taking oral corticosteroid medicines (such as prednisone) and start taking a medicine containing an inhaled steroid (such as Fluticasone Propionate/Salmeterol inhalation powder). When your body is under stress such as from fever, trauma (such as a car accident), infection, or surgery, adrenal insufficiency can get worse and may cause death. Symptoms of adrenal insufficiency include: ○ feeling tired ○ nausea and vomiting ○ lack of energy ○ low blood pressure ○ weakness ● sudden breathing problems immediately after inhaling your medicine. If you have sudden breathing problems immediately after inhaling your medicine, stop using Fluticasone Propionate/Salmeterol inhalation powder and call your healthcare provider right away. ● serious allergic reactions. Stop using Fluticasone Propionate/Salmeterol inhalation powder and call your healthcare provider or get emergency medical help if you get any of the following symptoms of a serious allergic reaction: ○ rash                          ○ swelling of your face, mouth, and tongue ○ hives                        ○ breathing problems ● effects on heart. ○ increased blood pressure ○ chest pain ○ a fast or irregular heartbeat ● effects on nervous system. ○ tremor ○ nervousness ● bone thinning or weakness (osteoporosis). ● slowed growth in children. The growth of a child should be checked often. ● eye problems including glaucoma and cataracts. You should have regular eye exams while using Fluticasone Propionate/Salmeterol inhalation    powder. ● changes in laboratory blood values (sugar, potassium, certain types of white blood cells). Common side effects of Fluticasone Propionate/Salmeterol inhalation powder in patients ages 12 years and older include: ● infection of nose and throat                                            ● back pain ● thrush in your mouth or throat. Rinse your mouth          ● headache    with water without swallowing after use to help              ● cough    prevent this. These are not all the possible side effects of Fluticasone Propionate/Salmeterol inhalation powder. Call your healthcare provider for medical advice about side effects. You may report side effects to FDA at 1-800-FDA-1088.   How should I store Fluticasone Propionate/Salmeterol inhalation powder? ● Store Fluticasone Propionate/Salmeterol inhalation powder at room temperature between 59ºF and 77ºF (15ºC and 25ºC). ● Store Fluticasone Propionate/Salmeterol inhalation powder in a dry place. Avoid exposure to extreme heat, cold, or humidity. ● Store Fluticasone Propionate/Salmeterol inhalation powder in the unopened foil pouch and only open when ready for use. ● Do not take your Fluticasone Propionate/Salmeterol inhalation powder apart. ● Keep the yellow cap on the inhaler closed during storage. ● Keep your Fluticasone Propionate/Salmeterol inhalation powder inhaler dry and clean at all times. ● Throw away Fluticasone Propionate/Salmeterol inhalation powder inhaler 30 days after opening the foil pouch, when the dose counter displays ‘0’, or after the expiration date on the product, whichever comes first. Keep Fluticasone Propionate/Salmeterol inhalation powder and all medicines out of the reach of children.   General information about the safe and effective use of Fluticasone Propionate/Salmeterol inhalation powder. Medicines are sometimes prescribed for purposes other than those listed in a Patient Information leaflet. Do not use Fluticasone Propionate/Salmeterol inhalation powder for a condition for which it was not prescribed. Do not give Fluticasone Propionate/Salmeterol inhalation powder to other people, even if they have the same symptoms that you have. It may harm them. You can ask your healthcare provider or pharmacist for information about Fluticasone Propionate/Salmeterol inhalation powder that is written for health professionals.   What are the ingredients in Fluticasone Propionate/Salmeterol inhalation powder? Active ingredients: fluticasone propionate, salmeterol xinafoate Inactive ingredient: lactose monohydrate (may contain milk proteins) Distributed by: Teva Pharmaceuticals USA, Inc. Parsippany, NJ 07054 ©2021 Teva Respiratory, LLC.  All rights reserved. For more information about Fluticasone Propionate/Salmeterol inhalation powder, call 1-888-482-9522 or visit the reference branded product website at www.MYAIRDUO.com.         This Patient Information leaflet has been approved by the U.S. Food and Drug Administration. FPSPL-005 Revised: July 2021


Medication Information

Warnings and Precautions

LABA monotherapy increases the risk of serious asthma-related events. ( 5.1 ) Deterioration of asthma and acute episodes: Do not use for relief of acute symptoms. Patients require immediate re-evaluation during rapidly deteriorating asthma. ( 5.2 ) Do not use in combination with an additional medicine containing LABA because of risk of overdose. ( 5.3 ) Localized infections: Candida albicans infection of the mouth and pharynx may occur. Monitor patients periodically. Advise the patient to rinse his/her mouth with water without swallowing after inhalation to help reduce the risk. ( 5.4 ) Immunosuppression: Potential worsening of existing tuberculosis, fungal, bacterial, viral, parasitic infection, or ocular herpes simplex. Use with caution in patients with these infections. More serious or even fatal course of chickenpox or measles can occur in susceptible patients. ( 5.5 ) Transferring patients from systemic corticosteroids: Risk of impaired adrenal function when transferring from systemic corticosteroids. Taper patients slowly from systemic corticosteroids if transferring to Fluticasone Propionate/Salmeterol. ( 5.6 ) Hypercorticism and adrenal suppression: May occur with very high dosages or at the regular dosage in susceptible individuals. If such changes occur, discontinue Fluticasone Propionate/Salmeterol slowly. ( 5.7 ) Paradoxical bronchospasm: Discontinue Fluticasone Propionate/Salmeterol and institute alternative therapy if paradoxical bronchospasm occurs. ( 5.9 ) Use with caution in patients with cardiovascular or central nervous system disorders because of beta adrenergic stimulation. ( 5.11 ) Decreases in bone mineral density: Monitor patients with major risk factors for decreased bone mineral content. ( 5.12 ) Monitor growth of pediatric patients. ( 5.13 ) Close monitoring for glaucoma and cataracts is warranted. ( 5.14 ) Be alert to eosinophilic conditions, hypokalemia, and hyperglycemia. ( 5.15 , 5.17 ) Use with caution in patients with convulsive disorders, thyrotoxicosis, diabetes mellitus, and ketoacidosis. ( 5.16 )

Indications and Usage

Fluticasone Propionate/Salmeterol Multidose Dry Powder Inhaler (FS MDPI) is indicated for the treatment of asthma in adult and pediatric patients aged 12 years and older. Fluticasone Propionate/Salmeterol MDPI should be used for patients not adequately controlled on a long term asthma control medication such as an inhaled corticosteroid or whose disease warrants initiation of treatment with both an inhaled corticosteroid and long acting beta 2 -adrenergic agonist (LABA). Limitations of Use : Fluticasone Propionate/Salmeterol MDPI is not indicated for the relief of acute bronchospasm.

Dosage and Administration

For oral inhalation only. ( 2.1 ) Starting dosage is based on prior asthma therapy and disease severity. ( 2.2 ) 1 inhalation of Fluticasone Propionate/Salmeterol 55 mcg/14 mcg, 113 mcg/14 mcg, or 232 mcg/14 mcg twice daily. ( 2.2 ) Do not use with a spacer or volume holding chamber. ( 2.2 )

Contraindications

Fluticasone Propionate/Salmeterol MDPI is contraindicated in: the primary treatment of status asthmaticus or other acute episodes of asthma where intensive measures are required  [see Warnings and Precautions  ( 5.2 )] . patients with known severe hypersensitivity to milk proteins or who have demonstrated hypersensitivity to fluticasone propionate or any of the excipients  [see Warnings and Precautions ( 5.10 ) and Description ( 11 )] .

Adverse Reactions

The following clinically significant adverse reactions are described elsewhere in the labeling: Serious asthma-related events – hospitalizations, intubations, death [see Warnings and Precautions ( 5.1 )] Oropharyngeal candidiasis  [see Warnings and Precautions ( 5.4 )] Immunosuppression and risk of infections  [see Warnings and Precautions ( 5.5 )] Hypercorticism and adrenal suppression [see Warnings and Precautions ( 5.7 )] Cardiovascular and central nervous system effects  [see Warnings and Precautions ( 5.11 )] Reduction in bone mineral density [see Warnings and Precautions ( 5.12 )] Growth effects in pediatrics [see Warnings and Precautions ( 5.13 )] Glaucoma and cataracts [see Warnings and Precautions ( 5.14 )]

Drug Interactions

The use of strong cytochrome P450 3A4 (CYP3A4) inhibitors (e.g., ritonavir, atazanavir, clarithromycin, indinavir, itraconazole, nefazodone, nelfinavir, saquinavir, ketoconazole, telithromycin) with Fluticasone Propionate/Salmeterol MDPI is not recommended because increased systemic corticosteroid and increased cardiovascular adverse effects may occur [see Drug Interactions ( 7.1 ) and Clinical Pharmacology ( 12.3 )].

Storage and Handling

How Supplied Fluticasone Propionate/Salmeterol MDPI inhalation powder: a multidose, dry-powder inhaler (MDPI) each inhaler is white, has a yellow cap and is packaged individually in a foil pouch with a dessicant, each pouch is packed in a carton each inhaler contains 0.45 grams of the formulation and provides 60 actuations available in 3 strengths STRENGTH NDC CODE Fluticasone Propionate/Salmeterol 55 mcg/14 mcg (low) NDC 0093-3607-82 Fluticasone Propionate/Salmeterol 113 mcg/14 mcg (medium) NDC 0093-3608-82 Fluticasone Propionate/Salmeterol 232 mcg/14 mcg (high) NDC 0093-3609-82 Each Fluticasone Propionate/Salmeterol MDPI has a dose counter attached to the actuator. Patients should never try to alter the numbers for the dose counter. Discard the inhaler when the counter displays 0, 30 days after opening the foil pouch or after the expiration date on the product, whichever comes first. The labeled amount of medication in each actuation cannot be assured after the counter displays 0, even though the inhaler is not completely empty and will continue to operate [see Patient Counseling Information ( 17 )] . Storage and Handling Store at room temperature (between 15ºC and 25ºC; 59ºF and 77ºF) in a dry place; excursions permitted from 59º F to 86º F (15ºC to 30ºC). Avoid exposure to extreme heat, cold, or humidity. Store Fluticasone Propionate/Salmeterol MDPI inside the unopened moisture‑protective foil pouch until initial use. Discard the product 30 days after opening the foil pouch or when the counter reads 0, whichever comes first. The inhaler is not reusable. Do not attempt to take the inhaler apart.

How Supplied

How Supplied Fluticasone Propionate/Salmeterol MDPI inhalation powder: a multidose, dry-powder inhaler (MDPI) each inhaler is white, has a yellow cap and is packaged individually in a foil pouch with a dessicant, each pouch is packed in a carton each inhaler contains 0.45 grams of the formulation and provides 60 actuations available in 3 strengths STRENGTH NDC CODE Fluticasone Propionate/Salmeterol 55 mcg/14 mcg (low) NDC 0093-3607-82 Fluticasone Propionate/Salmeterol 113 mcg/14 mcg (medium) NDC 0093-3608-82 Fluticasone Propionate/Salmeterol 232 mcg/14 mcg (high) NDC 0093-3609-82 Each Fluticasone Propionate/Salmeterol MDPI has a dose counter attached to the actuator. Patients should never try to alter the numbers for the dose counter. Discard the inhaler when the counter displays 0, 30 days after opening the foil pouch or after the expiration date on the product, whichever comes first. The labeled amount of medication in each actuation cannot be assured after the counter displays 0, even though the inhaler is not completely empty and will continue to operate [see Patient Counseling Information ( 17 )] . Storage and Handling Store at room temperature (between 15ºC and 25ºC; 59ºF and 77ºF) in a dry place; excursions permitted from 59º F to 86º F (15ºC to 30ºC). Avoid exposure to extreme heat, cold, or humidity. Store Fluticasone Propionate/Salmeterol MDPI inside the unopened moisture‑protective foil pouch until initial use. Discard the product 30 days after opening the foil pouch or when the counter reads 0, whichever comes first. The inhaler is not reusable. Do not attempt to take the inhaler apart.

Patient Information

PATIENT INFORMATION

Fluticasone Propionate and Salmeterol inhalation powder 55 mcg/14 mcg



Fluticasone Propionate and Salmeterol inhalation powder 113 mcg/14 mcg



Fluticasone Propionate and Salmeterol inhalation powder 232 mcg/14 mcg

for oral inhalation use

 

What is fluticasone propionate/salmeterol inhalation powder?

Fluticasone Propionate/salmeterol inhalation powder combines the inhaled corticosteroid (ICS) medicine fluticasone propionate and the LABA medicine salmeterol.

ICS medicines such as fluticasone propionate help to decrease inflammation in the lungs. Inflammation in the lungs can lead to breathing problems.

● LABA medicines such as salmeterol help the muscles around the airways in your lungs stay relaxed to prevent symptoms, such as wheezing, cough, chest tightness, and shortness of breath. These symptoms can happen when the muscles around the airways tighten. This makes it hard to breathe.

● Fluticasone Propionate/Salmeterol inhalation powder is a prescription medicine used to control symptoms of asthma and to prevent symptoms such as wheezing in people 12 years of age and older. 

● This product contains salmeterol. LABA medicines such as salmeterol when used alone increase the risk of hospitalizations and death from asthma problems. Fluticasone Propionate/Salmeterol inhalation powder contains an ICS and a LABA. When an ICS and LABA are used together, there is not a significant increased risk in hospitalizations and death from asthma problems.

● Fluticasone Propionate/Salmeterol inhalation powder is not for people 12 years of age and older with asthma who are well controlled with an asthma control medicine, such as a low or medium dose of an inhaled corticosteroid medicine. Fluticasone Propionate/Salmeterol inhalation powder is for people 12 years of age and older with asthma who need both an ICS and LABA medicine.

● Fluticasone Propionate/Salmeterol inhalation powder is not used to relieve sudden breathing problems and will not replace a rescue inhaler.

● It is not known if Fluticasone Propionate/Salmeterol inhalation powder is safe and effective in children younger than 12 years of age.

 

Do not use Fluticasone Propionate/Salmeterol inhalation powder:

to treat sudden, severe symptoms of asthma.

● if you have a severe allergy to milk proteins. Ask your healthcare provider if you are not sure.

● if you are allergic to fluticasone propionate or any of the inactive ingredients in Fluticasone Propionate/Salmeterol inhalation powder. See the end of this leaflet for a complete list of ingredients in this product.

 

Tell your healthcare provider about all of your medical conditions, including if you:

● have heart problems.

● have high blood pressure.

● have seizures.

● have thyroid problems.

● have diabetes.

● have liver problems.

● have weak bones (osteoporosis).

● have an immune system problem.

● have eye problems, such as glaucoma or cataracts.

● are allergic to milk proteins.

● have any type of viral, bacterial, fungal, or parasitic infection.

● are exposed to chickenpox or measles.

● are pregnant or plan to become pregnant. It is not known if Fluticasone Propionate/Salmeterol inhalation powder may harm your unborn baby.

● are breastfeeding. It is not known if the medicines in Fluticasone Propionate/Salmeterol inhalation powder pass into your breast milk and if they can harm your baby.

Tell your healthcare provider about all the medicines you take, including prescription and over-the-counter medicines, vitamins, and herbal supplements. Fluticasone Propionate/Salmeterol inhalation powder and certain other medicines may interact with each other. This may cause serious side effects. Especially, tell your healthcare provider if you take antifungal or anti-HIV medicines.

 

How should I use Fluticasone Propionate/Salmeterol inhalation powder?

Read the step-by-step instructions for using Fluticasone Propionate/Salmeterol inhalation powder at the end of this Patient Information leaflet.

  • Fluticasone Propionate/Salmeterol inhalation powder is for oral inhalation only.
  • Rinse your mouth with water without swallowing after each dose of Fluticasone Propionate/Salmeterol inhalation powder.
  • Fluticasone Propionate/Salmeterol inhalation powder comes in 3 different strengths. Your healthcare provider prescribed the strength that is best for you.
  • Use Fluticasone Propionate/Salmeterol inhalation powder exactly as your healthcare provider tells you to use it. Do not use Fluticasone Propionate/Salmeterol inhalation powder more often than prescribed.
  • Use 1 inhalation of Fluticasone Propionate/Salmeterol inhalation powder 2 times each day. Use Fluticasone Propionate/Salmeterol inhalation powder at the same time each day, about 12 hours apart. If you miss a dose of Fluticasone Propionate/Salmeterol inhalation powder, just skip that dose. Take your next dose at your usual time. Do not take 2 doses at one time.
  • Fluticasone Propionate/Salmeterol inhalation powder does not need priming. Do not use a spacer or volume holding chamber with Fluticasone Propionate/Salmeterol inhalation powder.
  • Do not open the cap on your Fluticasone Propionate/Salmeterol inhalation powder inhaler until you are ready for your dose because this will waste your medicine or may damage your inhaler.
  • If you take too much Fluticasone Propionate/Salmeterol inhalation powder, call your healthcare provider or go to the nearest hospital emergency room right away if you have any unusual symptoms, such as worsening shortness of breath, chest pain, increased heart rate, or shakiness.
  • Do not use other medicines that contain a LABA for any reason. Examples of other medicines that contain a LABA include salmeterol, formoterol fumarate, arformoterol tartrate, and indacaterol. Ask your healthcare provider or pharmacist if any of your other medicines are LABA medicines.
  • Do not stop using Fluticasone Propionate/Salmeterol inhalation powder unless told to do so by your healthcare provider because your symptoms might get worse. Your healthcare provider will change your medicines as needed.
  • Fluticasone Propionate/Salmeterol inhalation powder does not relieve sudden asthma symptoms. You should not take extra doses of Fluticasone Propionate/Salmeterol inhalation powder to relieve sudden asthma symptoms. Always have a rescue inhaler with you to treat sudden asthma symptoms. If you do not have a rescue inhaler, call your healthcare provider to have one prescribed for you.
  • Call your healthcare provider or get medical care right away if:
  • your breathing problems get worse.
  • you need to use your rescue inhaler more often than usual.
  • your rescue inhaler does not work as well to relieve your symptoms.
  • your peak flow meter results decrease. Your healthcare provider will tell you the numbers that are right for you.
  • you have asthma and your symptoms do not improve after using Fluticasone Propionate/Salmeterol inhalation powder regularly for one week.
 

What are the possible side effects with Fluticasone Propionate/Salmeterol inhalation powder?

Fluticasone Propionate/Salmeterol inhalation powder can cause serious side effects, including:

fungal infection in your mouth and throat (thrush). Rinse your mouth with water without swallowing after using Fluticasone Propionate/Salmeterol inhalation powder to help reduce your chance of getting thrush.

weakened immune system and increased chance of getting infections (immunosuppression).

reduced adrenal function (adrenal insufficiency). Adrenal insufficiency is a condition where the adrenal glands do not make enough steroid hormones. This can happen when you stop taking oral corticosteroid medicines (such as prednisone) and start taking a medicine containing an inhaled steroid (such as Fluticasone Propionate/Salmeterol inhalation powder). When your body is under stress such as from fever, trauma (such as a car accident), infection, or surgery, adrenal insufficiency can get worse and may cause death.

Symptoms of adrenal insufficiency include:

○ feeling tired ○ nausea and vomiting

○ lack of energy ○ low blood pressure

○ weakness

sudden breathing problems immediately after inhaling your medicine. If you have sudden breathing problems immediately after inhaling your medicine, stop using Fluticasone Propionate/Salmeterol inhalation powder and call your healthcare provider right away.

serious allergic reactions. Stop using Fluticasone Propionate/Salmeterol inhalation powder and call your healthcare provider or get emergency medical help if you get any of the following symptoms of a serious allergic reaction:

○ rash                          ○ swelling of your face, mouth, and tongue

○ hives                        ○ breathing problems

effects on heart.

○ increased blood pressure ○ chest pain

○ a fast or irregular heartbeat

effects on nervous system.

○ tremor ○ nervousness

bone thinning or weakness (osteoporosis).

slowed growth in children. The growth of a child should be checked often.

eye problems including glaucoma and cataracts. You should have regular eye exams while using Fluticasone Propionate/Salmeterol inhalation

   powder.

changes in laboratory blood values (sugar, potassium, certain types of white blood cells).

Common side effects of Fluticasone Propionate/Salmeterol inhalation powder in patients ages 12 years and older include:

● infection of nose and throat                                            ● back pain

● thrush in your mouth or throat. Rinse your mouth          ● headache

   with water without swallowing after use to help              ● cough

   prevent this.

These are not all the possible side effects of Fluticasone Propionate/Salmeterol inhalation powder.

Call your healthcare provider for medical advice about side effects. You may report side effects to FDA at 1-800-FDA-1088.

 How should I store Fluticasone Propionate/Salmeterol inhalation powder?

● Store Fluticasone Propionate/Salmeterol inhalation powder at room temperature between 59ºF and 77ºF (15ºC and 25ºC).

● Store Fluticasone Propionate/Salmeterol inhalation powder in a dry place. Avoid exposure to extreme heat, cold, or humidity.

● Store Fluticasone Propionate/Salmeterol inhalation powder in the unopened foil pouch and only open when ready for use.

● Do not take your Fluticasone Propionate/Salmeterol inhalation powder apart.

● Keep the yellow cap on the inhaler closed during storage.

● Keep your Fluticasone Propionate/Salmeterol inhalation powder inhaler dry and clean at all times.

● Throw away Fluticasone Propionate/Salmeterol inhalation powder inhaler 30 days after opening the foil pouch, when the dose counter displays ‘0’, or after the expiration date on the product, whichever comes first.

Keep Fluticasone Propionate/Salmeterol inhalation powder and all medicines out of the reach of children.

 General information about the safe and effective use of Fluticasone Propionate/Salmeterol inhalation powder.

Medicines are sometimes prescribed for purposes other than those listed in a Patient Information leaflet. Do not use Fluticasone Propionate/Salmeterol inhalation powder for a condition for which it was not prescribed. Do not give Fluticasone Propionate/Salmeterol inhalation powder to other people, even if they have the same symptoms that you have. It may harm them.

You can ask your healthcare provider or pharmacist for information about Fluticasone Propionate/Salmeterol inhalation powder that is written for health professionals.

 What are the ingredients in Fluticasone Propionate/Salmeterol inhalation powder?

Active ingredients: fluticasone propionate, salmeterol xinafoate

Inactive ingredient: lactose monohydrate (may contain milk proteins)

Distributed by:

Teva Pharmaceuticals USA, Inc.

Parsippany, NJ 07054

©2021 Teva Respiratory, LLC.  All rights reserved.

For more information about Fluticasone Propionate/Salmeterol inhalation powder, call 1-888-482-9522 or visit the reference branded product website at www.MYAIRDUO.com.        

This Patient Information leaflet has been approved by the U.S. Food and Drug Administration.

FPSPL-005

Revised: July 2021

Description

Fluticasone Propionate/Salmeterol Multidose Dry Powder Inhaler (FS MDPI) is indicated for the treatment of asthma in adult and pediatric patients aged 12 years and older. Fluticasone Propionate/Salmeterol MDPI should be used for patients not adequately controlled on a long term asthma control medication such as an inhaled corticosteroid or whose disease warrants initiation of treatment with both an inhaled corticosteroid and long acting beta 2 -adrenergic agonist (LABA). Limitations of Use : Fluticasone Propionate/Salmeterol MDPI is not indicated for the relief of acute bronchospasm.

10 Overdosage

This product contains both fluticasone propionate and salmeterol; therefore, the risks associated with overdosage for the individual components described below apply to Fluticasone Propionate/Salmeterol MDPI. Treatment of overdosage consists of discontinuation of Fluticasone Propionate/Salmeterol MDPI together with institution of appropriate symptomatic and/or supportive therapy. The judicious use of a cardioselective beta‑receptor blocker may be considered, bearing in mind that such medication can produce bronchospasm. Cardiac monitoring is recommended in cases of overdosage.

Fluticasone propionate

Chronic overdosage of fluticasone propionate may result in signs/symptoms of hypercorticism [see Warnings and Precautions (5.7)]

Salmeterol

 The expected signs and symptoms with overdosage of salmeterol are those of excessive beta‑adrenergic stimulation and/or occurrence or exaggeration of any of the signs and symptoms of beta‑adrenergic stimulation (e.g., seizures, angina, hypertension or hypotension, tachycardia with rates up to 200 beats/min, arrhythmias, nervousness, headache, tremor, muscle cramps, dry mouth, palpitation, nausea, dizziness, fatigue, malaise, insomnia, hyperglycemia, hypokalemia, metabolic acidosis). Overdosage with salmeterol can lead to clinically significant prolongation of the QTc interval, which can produce ventricular arrhythmias.

As with all inhaled sympathomimetic medicines, cardiac arrest and even death may be associated with an overdose of salmeterol.

8.1 Pregnancy

Risk Summary

There are no randomized clinical studies of fluticasone propionate/salmeterol MDPI or individual monoproducts, fluticasone propionate and salmeterol, in pregnant women. There are clinical considerations with the use of Fluticasone Propionate/Salmeterol MDPI in pregnant women [see Clinical Considerations]. Animal reproduction studies are available with the combination of fluticasone propionate and salmeterol as well as individual components. In animals, teratogenicity characteristic of corticosteroids, decreased fetal body weight and/or skeletal variations, in rats, mice, and rabbits were observed with subcutaneously administered maternal toxic doses of fluticasone propionate less than the maximum recommended human daily inhaled dose (MRHDID) on a mcg/m2 basis [see Data]. However, fluticasone propionate administered via inhalation to rats decreased fetal body weight, but did not induce teratogenicity at a maternal toxic dose less than the MRHDID on a mcg/m2 basis [see Data]. Experience with oral corticosteroids suggests that rodents are more prone to teratogenic effects from corticosteroids than humans. Oral administration of salmeterol to pregnant rabbits caused teratogenicity characteristic of beta-adrenoceptor stimulation at maternal doses approximately 700 times the MRHDID on a mcg/m2 basis. These adverse effects generally occurred at large multiples of the MRHDID when salmeterol was administered by the oral route to achieve high systemic exposures. No such effects occurred at an oral salmeterol dose approximately 420 times the MRHDID [see Data].

The estimated risk of major birth defects and miscarriage for the indicated population is unknown. In the U.S. general population, the estimated risk of major birth defects and miscarriage in clinically recognized pregnancies is 2% to 4% and 15% to 20%, respectively.

Clinical Considerations

Disease‑Associated Maternal and/or Embryo/Fetal Risk

In women with poorly or moderately controlled asthma, there is an increased risk of several perinatal adverse outcomes such as preeclampsia in the mother and prematurity, low birth weight, and small for gestational age in the neonate. Pregnant women with asthma should be closely monitored and medication adjusted as necessary to maintain optimal asthma control.

Data

Animal Data

Fluticasone Propionate and Salmeterol:  In an embryo/fetal development study with pregnant rats that received the combination of subcutaneous administration of fluticasone propionate and oral administration of salmeterol at doses of 0/1000, 30/0, 10/100, 30/1000, and 100/10,000 mcg/kg/day (as fluticasone propionate/salmeterol) during the period of organogenesis, findings were generally consistent with the individual monoproducts and there was no exacerbation of expected fetal effects. Omphalocele, increased embryo/fetal deaths, decreased body weight, and skeletal variations were observed in rat fetuses, in the presence of maternal toxicity, when combining fluticasone propionate at a dose approximately 2 times the MRHDID (on a mcg/m2 basis at a maternal subcutaneous dose of 100 mcg/kg/day) and a dose of salmeterol at approximately 3500 times the MRHDID (on a mcg/m2 basis at a maternal oral dose of 10,000 mcg/kg/day). The rat no observed adverse effect level (NOAEL) was observed when combining fluticasone propionate at a dose 0.6 times the MRHDID (on a mcg/m2 basis at a maternal subcutaneous dose of 30 mcg/kg/day) and a dose of salmeterol at approximately 350 times the MRHDID (on a mcg/m2 basis at a maternal oral dose of 1000 mcg/kg/day).

In an embryo/fetal development study with pregnant mice that received the combination of subcutaneous administration of fluticasone propionate and oral administration of salmeterol at doses of 0/1400, 40/0, 10/200, 40/1400, or 150/10,000 mcg/kg/day (as fluticasone propionate/salmeterol) during the period of organogenesis, findings were generally consistent with the individual monoproducts and there was no exacerbation of expected fetal effects. Cleft palate, fetal death, increased implantation loss, and delayed ossification were observed in mouse fetuses when combining fluticasone propionate at a dose approximately 1.4 times the MRHDID (on a mcg/m2 basis at a maternal subcutaneous dose of 150 mcg/kg/day) and salmeterol at a dose approximately 1470 times the MRHDID (on a mcg/m2 basis at a maternal oral dose of 10,000 mcg/kg/day). No developmental toxicity was observed at combination doses of fluticasone propionate up to approximately 0.8 times the MRHDID (on a mcg/m2 basis at a maternal subcutaneous dose of 40 mcg/kg) and doses of salmeterol up to approximately 420 times the MRHDID (on a mcg/m2 basis at a maternal oral dose of 1400 mcg/kg).

Fluticasone Propionate:  In embryo/fetal development studies with pregnant rats and mice dosed by the subcutaneous route throughout the period of organogenesis, fluticasone propionate was teratogenic in both species. Omphalocele, decreased body weight, and skeletal variations were observed in rat fetuses, in the presence of maternal toxicity, at a dose approximately 2 times the MRHDID (on a mcg/m2 basis with a maternal subcutaneous dose of 100 mcg/kg/day). The rat NOAEL was observed at approximately 0.6 times the MRHDID (on a mcg/m2 basis with a maternal subcutaneous dose of 30 mcg/kg/day). Cleft palate and fetal skeletal variations were observed in mouse fetuses at a dose approximately 0.5 times the MRHDID (on a mcg/m2 basis with a maternal subcutaneous dose of 45 mcg/kg/day). The mouse NOAEL was observed with a dose approximately 0.16 times the MRHDID (on a mcg/m2 basis with a maternal subcutaneous dose of 15 mcg/kg/day).

In an embryo/fetal development study with pregnant rats dosed by the inhalation route throughout the period of organogenesis, fluticasone propionate produced decreased fetal body weights and skeletal variations, in the presence of maternal toxicity, at a dose approximately 0.5 times the MRHDID (on a mcg/m2 basis with a maternal inhalation dose of 25.7 mcg/kg/day); however, there was no evidence of teratogenicity. The NOAEL was observed with a dose approximately 0.1 times the MRHDID (on a mcg/m2 basis with a maternal inhalation dose of 5.5 mcg/kg/day).

In an embryo/fetal development study in pregnant rabbits that were dosed by the subcutaneous route throughout organogenesis, fluticasone propionate produced reductions of fetal body weights, in the presence of maternal toxicity at doses approximately 0.02 times the MRHDID and higher (on a mcg/m2 basis with a maternal subcutaneous dose of 0.57 mcg/kg/day). Teratogenicity was evident based upon a finding of cleft palate for 1 fetus at a dose approximately 0.2 times the MRHDID (on a mcg/m2 basis with a maternal subcutaneous dose of 4 mcg/kg/day). The NOAEL was observed in rabbit fetuses with a dose approximately 0.004 times the MRHDID (on a mcg/m2 basis with a maternal subcutaneous dose of 0.08 mcg/kg/day).

In a pre- and post-natal development study in pregnant rats dosed by the subcutaneous route from late gestation through delivery and lactation (Gestation Day 17 to Postpartum Day 22), fluticasone propionate was not associated with decreases in pup body weight, and had no effects on developmental landmarks, learning, memory, reflexes, or fertility at doses up to approximate equivalence to the MRHDID (on a mcg/m2 basis with maternal subcutaneous doses up to 50 mcg/kg/day).

Fluticasone propionate crossed the placenta following subcutaneous administration to mice and rats and oral administration to rabbits.

Salmeterol: In three embryo/fetal development studies, pregnant rabbits received oral administration of salmeterol at doses ranging from 100 to 10,000 mcg/kg/day during the period of organogenesis. In pregnant Dutch rabbits administered salmeterol doses approximately 700 times the MRHDID (on a mcg/m2 basis at maternal oral doses of 1000 mcg/kg/day and higher), fetal toxic effects were observed characteristically resulting from beta‑adrenoceptor stimulation. These included precocious eyelid openings, cleft palate, sternebral fusion, limb and paw flexures, and delayed ossification of the frontal cranial bones. No such effects occurred at a salmeterol dose approximately 420 times the MRHDID (on a mcg/m2 basis at a maternal oral dose of 600 mcg/kg/day). New Zealand White rabbits were less sensitive since only delayed ossification of the frontal cranial bones was seen at a salmeterol dose approximately 7,000 times the MRHDID (on a mcg/m2 basis at a maternal oral dose of 10,000 mcg/kg/day).

In two embryo/fetal development studies, pregnant rats received salmeterol by oral administration at doses ranging from 100 to 10,000 mcg/kg/day during the period of organogenesis. Salmeterol produced no maternal toxicity or embryo/fetal effects at doses up to 3500 times the MRHDID (on a mcg/m2 basis at maternal oral doses up to 10,000 mcg/kg/day).

In a peri-and post-natal development study in pregnant rats dosed by the oral route from late gestation through delivery and lactation, salmeterol at a dose 3500 times the MRHDID (on mcg/m2 basis with a maternal oral dose of 10,000 mcg/kg/day) was fetotoxic and decreased the fertility of survivors.

Salmeterol xinafoate crossed the placenta following oral administration to mice and rats.

8.2 Lactation

Risk Summary

There are no available data on the presence of fluticasone propionate or salmeterol in human milk, the effects on the breastfed child, or the effects on milk production. Other corticosteroids have been detected in human milk. However, fluticasone propionate and salmeterol concentrations in plasma after inhaled therapeutic doses are low and therefore concentrations in human breast milk are likely to be correspondingly low [see Clinical Pharmacology (12.3)]. The developmental and health benefits of breastfeeding should be considered along with the mother’s clinical need for Fluticasone Propionate/Salmeterol MDPI and any potential adverse effects on the breastfed child from Fluticasone Propionate/Salmeterol MDPI or from the underlying maternal condition.

Data

Animal Data

Subcutaneous administration of tritiated fluticasone propionate at a dose in lactating rats approximately 0.2 times the MRHDID for adults (on a mcg/m2 basis) resulted in measurable levels in milk.  Oral administration of salmeterol at a dose in lactating rats approximately 2900 times the MRHDID for adults (on a mcg/m2 basis) resulted in measurable levels in milk.

11 Description

Fluticasone Propionate/Salmeterol MDPI 55 mcg/14 mcg, 113 mcg/14 mcg and 232 mcg/14 mcg are combinations of fluticasone propionate and salmeterol.

Fluticasone Propionate

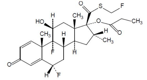
One active component of this product is fluticasone propionate, a corticosteroid having the chemical name S-(fluoromethyl) 6α,9-difluoro-11ß,17-dihydroxy-16α-methyl-3-oxoandrosta-1,4-diene-17ß-carbothioate, 17-propionate, and the following chemical structure:

Fluticasone propionate is a white powder with a molecular weight of 500.6, and the empirical formula is C25H31F3O5S. It is practically insoluble in water, freely soluble in dimethyl sulfoxide and dimethylformamide, and slightly soluble in methanol and 95% ethanol.

Salmeterol Xinafoate

The other active component of this product is salmeterol xinafoate, a beta2–adrenergic bronchodilator. Salmeterol xinafoate is the racemic form of the 1‑hydroxy‑2‑naphthoic acid salt of salmeterol. It has the chemical name 4-hydroxy-α -[[[6-(4-phenylbutoxy)hexyl]amino]methyl]-1,3-benzenedimethanol, 1-hydroxy-2-naphthalenecarboxylate and the following chemical structure:

Salmeterol xinafoate is a white powder with a molecular weight of 603.8, and the empirical formula is C25H37NO4•C11H8O3. It is freely soluble in methanol; slightly soluble in ethanol, chloroform, and isopropanol; and sparingly soluble in water.

Fluticasone Propionate/Salmeterol MDPI

Fluticasone Propionate/Salmeterol MDPI is a multidose dry powder inhaler (MDPI) for oral inhalation only. It contains fluticasone propionate, salmeterol xinafoate, and lactose monohydrate (which may contain milk proteins). The opening of the mouthpiece cover meters 5.5 mg of the formulation from the device reservoir, which contains 55 mcg, 113 mcg, or 232 mcg of fluticasone propionate, and 14 mcg of salmeterol base (equivalent to 20.3 mcg of salmeterol xinafoate). Patient inhalation through the mouthpiece causes the deagglomeration and aerosolization of the drug particles as the formulation moves through the cyclone component of the device. This is followed by dispersion into the airstream.

Under standardized in vitro test conditions, the Fluticasone Propionate/Salmeterol MDPI delivers 49 mcg, 100 mcg, or 202 mcg of fluticasone propionate and 12.75 mcg of salmeterol base (equivalent to 18.5 mcg of salmeterol xinafoate), with lactose from the mouthpiece when tested at a flow rate of 85 L/min for 1.4 seconds.

The amount of drug delivered to the lung will depend on patient factors such as inspiratory flow profiles. In adult subjects (N=50, aged 18 to 45 years) with asthma, mean peak inspiratory flow (PIF) through the Fluticasone Propionate/Salmeterol MDPI  was 108.28 L/min (range: 70.37 to 129.24 L/min). In adolescent subjects (N=50, aged 12 to 17 years) with asthma, mean peak inspiratory flow (PIF) through the Fluticasone Propionate/Salmeterol MDPI was 106.72 L/min (range: 73.64 to 125.51 L/min).

2.4 Dose Counter

The Fluticasone Propionate/Salmeterol MDPI has a dose counter:

  • The number 60 is displayed (prior to use).

  • The dose counter will count down each time the mouthpiece is opened and closed [see Patient Counseling Information (17)].

8.4 Pediatric Use

The safety and effectiveness of Fluticasone Propionate/Salmeterol MDPI have been established for the treatment of asthma in pediatric patients aged 12 years and older whose asthma (1) is inadequately controlled on a long term asthma control medication or (2) warrants initiation of treatment with both an ICS and a LABA. 

Use of Fluticasone Propionate/Salmeterol MDPI in pediatric patients aged 12 to 17 years for this indication is supported by evidence from two adequate and well-controlled trials in pediatric patients 12 years old and older with persistent symptomatic asthma despite ICS or ICS/LABA therapy (Trials 1 and 2) [see Clinical Studies (14)]. In these trials, 58 adolescents received Fluticasone Propionate/Salmeterol MDPI one inhalation twice daily.

The safety and effectiveness of Fluticasone Propionate/Salmeterol MDPI have not been established in pediatric patients younger than 12 years of age for the treatment of asthma. Effectiveness was not demonstrated in one adequate and well-controlled study conducted in 211 patients aged 4 to 11 years with persistent asthma on a stable asthma regimen who were treated with Fluticasone Propionate/Salmeterol MDPI 55 mcg/14 mcg one inhalation twice daily.

Effect on Growth

Inhaled corticosteroids, including fluticasone propionate, a component of this product, may cause a reduction in growth velocity in adolescents [see Warning and Precautions (5.13)]. The growth of pediatric patients receiving ICS, including Fluticasone Propionate/Salmeterol MDPI, should be monitored.

If an adolescent on any corticosteroid appears to have growth suppression, the possibility that he/she is particularly sensitive to this effect of corticosteroids should be considered. In such patients, the potential growth effects of prolonged ICS treatment should be weighed against the clinical benefits obtained. To minimize the systemic effects of ICS, including Fluticasone Propionate/Salmeterol MDPI, each patient should be titrated to the lowest strength that effectively controls his/her asthma [see Dosage and Administration (2)].

8.5 Geriatric Use

No overall differences in safety or effectiveness were observed in data collected in 54 subjects aged 65 years and older versus younger subjects who were treated with Fluticasone Propionate/Salmeterol MDPI in placebo-controlled Phase 2 and 3 asthma studies.

14 Clinical Studies

The safety and efficacy of Fluticasone Propionate/Salmeterol Multidose Dry Powder Inhaler (FS MDPI) were evaluated in 3004 patients with asthma.  The development program included 2 confirmatory trials of 12 weeks duration, a 26 week safety trial and three dose-ranging trials. The efficacy of Fluticasone Propionate/Salmeterol MDPI is based primarily on the dose-ranging trials and the confirmatory trials described below.

4 Contraindications

Fluticasone Propionate/Salmeterol MDPI is contraindicated in:

  • the primary treatment of status asthmaticus or other acute episodes of asthma where intensive measures are required [see Warnings and Precautions  (5.2)].
  • patients with known severe hypersensitivity to milk proteins or who have demonstrated hypersensitivity to fluticasone propionate or any of the excipients [see Warnings and Precautions (5.10) and Description (11)].
6 Adverse Reactions

The following clinically significant adverse reactions are described elsewhere in the labeling:

  • Serious asthma-related events – hospitalizations, intubations, death [see Warnings and Precautions (5.1)]
  • Oropharyngeal candidiasis [see Warnings and Precautions (5.4)]
  • Immunosuppression and risk of infections [see Warnings and Precautions (5.5)]
  • Hypercorticism and adrenal suppression [see Warnings and Precautions (5.7)]
  • Cardiovascular and central nervous system effects [see Warnings and Precautions (5.11)]
  • Reduction in bone mineral density [see Warnings and Precautions (5.12)]
  • Growth effects in pediatrics [see Warnings and Precautions (5.13)]
  • Glaucoma and cataracts [see Warnings and Precautions (5.14)]
7 Drug Interactions

Fluticasone Propionate/Salmeterol MDPI has been used concomitantly with other drugs, including short‑acting beta2‑agonists, and intranasal corticosteroids, commonly used in patients with asthma without adverse drug reactions [see Clinical Pharmacology (12.2)]. No formal drug interaction trials have been performed with Fluticasone Propionate/Salmeterol MDPI.

8.7 Renal Impairment

Formal pharmacokinetic studies using Fluticasone Propionate/Salmeterol MDPI have not been conducted in patients with renal impairment.

Instructions for Use

Instructions for Use

Fluticasone Propionate and Salmeterol inhalation powder 55 mcg/14 mcg

Fluticasone Propionate and Salmeterol inhalation powder 113 mcg/14 mcg

Fluticasone Propionate and Salmeterol inhalation powder 232 mcg/14 mcg

for oral inhalation use

 

Your Fluticasone Propionate/Salmeterol inhalation powder inhaler

When you are ready to use your inhaler for the first time, remove the inhaler from the foil pouch.

There are 2 main parts of your inhaler including the:

  • white inhaler with the mouthpiece. See Figure A.
  • yellow cap that covers the mouthpiece of the inhaler. See Figure A.

There is a dose counter in the back of the inhaler with a viewing window that shows you how many doses of medicine you have left. See Figure A.

Figure A

 

  • Your inhaler contains 60 doses (inhalations). See Figure B.
  • The dose counter shows the number of doses left in your inhaler.
  • When there are 20 doses left, the color of the numbers on the dose counter will change to red and you should refill your prescription or ask your healthcare provider for another prescription.
  • When the dose counter displays ‘0’ your inhaler is empty and you should stop using the inhaler and throw it away. See Figure B.

Figure B

Important:

  • Always close the cap after each inhalation so your inhaler will be ready for you to take your next dose. Do not open the cap unless you are ready for your next dose.
  • You will hear a “click” sound when the cap is opened all the way. If you do not hear the “click” sound the inhaler may not be activated to give you a dose of medicine.
  • This inhaler does not have an activation button or medicine canister. When you open the cap, a dose of Fluticasone Propionate/Salmeterol inhalation powder will be activated for delivery of the medicine.
  • Do not use a spacer or volume holding chamber with the inhaler. This inhaler does not need priming.

Using your Fluticasone Propionate/Salmeterol inhalation powder inhaler:

Important: Make sure the cap is closed before you start using your inhaler.

Step 1. Open

  • Hold the inhaler upright and open the yellow cap all the way until it “clicks”. See Figure C.
  • Each time you open the yellow cap and it “clicks”, 1 dose of Fluticasone Propionate/Salmeterol inhalation powder is ready to be inhaled.

 

Figure C

 

Remember:

  • For the correct use of your inhaler, hold it upright as you open the yellow cap. See Figure D.
  • Do not hold the inhaler in any other way as you open the yellow cap.
  • Do not open the yellow cap until you are ready to take a dose of Fluticasone Propionate/Salmeterol inhalation powder.



Figure D

 

Step 2. Inhale

  • Before you inhale, breathe out (exhale) through your mouth and push as much air from your lungs as you can. See Figure E.
  • Do not exhale into the inhaler mouthpiece.

Figure E

  • Put the mouthpiece in your mouth and close your lips tightly around it. See Figure F.

 

Figure F

  • Do not block the vent above the mouthpiece with your lips or fingers. See Figure G.

 

Figure G

 

  • Breathe in quickly and deeply through your mouth to deliver the dose of medicine to your lungs.
  • Remove the inhaler from your mouth.
  • Hold your breath for about 10 seconds or for as long as you comfortably can.
  • Your inhaler delivers your dose of medicine as a very fine powder that you may or may not taste or feel. Do not take an extra dose from the inhaler even if you do not taste or feel the medicine.

 

Step 3.  Close

Figure H

  • Close the yellow cap firmly over the mouthpiece. See Figure H.
  • Make sure you close the yellow cap after each inhalation so that the inhaler will be ready for your next dose.
  • Rinse your mouth with water without swallowing after each inhalation.

 

How should I store the Fluticasone Propionate/Salmeterol inhalation powder inhaler?

  • Store your inhaler at room temperature between 59ºF and 77ºF (15ºC and 25ºC).
  • Avoid exposure to extreme heat, cold, or humidity.
  • Store your inhaler in the unopened foil pouch and only open when ready for use.
  • Keep the yellow cap on the inhaler closed during storage.
  • Keep your inhaler dry and clean at all times.
  • Keep your inhaler and all medicines out of the reach of children.

 

Cleaning your Fluticasone Propionate/Salmeterol inhalation powder inhaler

  • Do not wash or put any part of your inhaler in water. Replace your inhaler if washed or placed in water.
  • Your inhaler contains a powder and must be kept clean and dry at all times.
  • You can clean the mouthpiece if needed using a dry cloth or tissue. Routine cleaning is not required.

 

Replacing your Fluticasone Propionate/Salmeterol inhalation powder inhaler

  • Immediately replace your inhaler if the mouthpiece cover is damaged or broken. Never take the inhaler apart.
  • The dose counter on the back of your inhaler shows how many doses you have left.
  • When there are 20 doses left, the color of the numbers on the dose counter will change to red and you should refill your prescription or ask your healthcare provider for another prescription.
  • When the counter displays ‘0’ your inhaler is empty and you should stop using the inhaler and throw it away.
  • Throw away your inhaler 30 days after opening the foil pouch, when the dose counter displays ‘0’, or after the expiration date on the product, whichever comes first.

 

Important information

  • Do not open the yellow cap unless you are taking a dose. Repeatedly opening and closing the cap without inhaling a dose will waste the medicine and may damage your inhaler.
  • Your inhaler contains dry powder so it is important that you do not blow or breathe into it.

 

Support

  • If you have any questions about your Fluticasone Propionate/Salmeterol inhalation powder inhaler or how to use your inhaler, go to the reference branded product website at www.MYAIRDUO.com, or call 1-888-482-9522.

These Instructions for Use have been approved by the U.S. Food and Drug Administration.

Distributed by:

Teva Pharmaceuticals USA, Inc.

Parsippany, NJ 07054

©2021 Teva Respiratory, LLC. All rights reserved.

FPSIFU-005

Revised: July 2021

12.2 Pharmacodynamics

Hypothalamic Pituitary Adrenal Axis Effects (HPA)

There are no HPA data from controlled trials of the Fluticasone Propionate/Salmeterol MDPI in healthy subjects or subjects with asthma.

Cardiovascular Effects and Effects on Potassium and Glucose

Fluticasone Propionate/Salmeterol MDPI in Healthy Subjects

There were no clinical trials conducted with Fluticasone Propionate/Salmeterol MDPI that assessed cardiovascular (CV) effects in healthy subjects.

Other Fluticasone Propionate and Salmeterol Dry Powder Inhaler (DPI)  Products in Healthy Subjects

Since systemic pharmacodynamic effects of salmeterol are not normally seen at the maximum approved salmeterol dosage, higher doses were used to produce measurable effects. Four trials were conducted with healthy adult subjects to assess CV effects:

  • Single‑dose crossover trial using 2 inhalations of  fluticasone propionate and salmeterol DPI (500 mcg/50 mcg) (two times the maximum approved salmeterol dosage for that DPI per dosing interval), fluticasone propionate DPI 500 mcg and salmeterol DPI 50 mcg given concurrently, or fluticasone propionate DPI 500 mcg given alone,

  • Cumulative dose trial using 50 to 400 mcg of salmeterol DPI (1 time to 8 times the maximum approved salmeterol dosage per dosing interval for that DPI, respectively) given alone, or fluticasone propionate and salmeterol DPI (500 mcg/50 mcg),

  • Repeat‑dose trial for 11 days using 2 inhalations twice daily of fluticasone propionate and salmeterol DPI (250 mcg/50 mcg) (two times the maximum approved salmeterol dosage for that DPI per dosing interval), fluticasone propionate DPI 250 mcg, or salmeterol DPI 50 mcg, and

  • Single-dose trial using 5 inhalations of fluticasone propionate and salmeterol DPI (100 mcg/50 mcg) (five times the maximum approved salmeterol dosage for that DPI per dosing interval), fluticasone propionate DPI 100 mcg alone, or placebo.

    In these trials, no significant differences were observed in the pharmacodynamic effects of salmeterol (pulse rate, blood pressure, QTc interval, potassium, and glucose) whether the salmeterol was given as fluticasone propionate and salmeterol DPI, concurrently with fluticasone propionate from separate inhalers, or as salmeterol alone. The systemic pharmacodynamic effects of salmeterol were not altered by the presence of fluticasone propionate in the fluticasone propionate and salmeterol DPI product.

    Other Salmeterol Products in Subjects with Asthma:

    Inhaled salmeterol, like other beta‑adrenergic agonist drugs, can produce dose‑related CV effects and effects on blood glucose and/or serum potassium [see Warnings and Precautions (5.115.17)]. The CV effects (heart rate, blood pressure) associated with salmeterol inhalation aerosol occurred with similar frequency, and are of similar type and severity, as those noted following albuterol administration.

    The effects of rising inhaled doses of salmeterol and standard inhaled doses of albuterol were studied in volunteers and in subjects with asthma. Salmeterol doses up to 84 mcg administered as inhalation aerosol resulted in heart rate increases of 3 to 16 beats/minute, about the same as albuterol dosed at 180 mcg by inhalation aerosol (4 to 10 beats/minute). Adult and adolescent subjects receiving 50 mcg doses of salmeterol MDPI (N=60) underwent continuous electrocardiographic monitoring during two 12‑hour periods after the first dose and after 1 month of therapy, and no clinically significant dysrhythmias were noted.

    Concomitant Use of Fluticasone Propionate/Salmeterol MDPI With Other Respiratory Medications:

    Short-Acting Beta2‑Agonists: In clinical trials in subjects with asthma, the mean daily need for albuterol by 166 adult and adolescent subjects aged 12 years and older using another fluticasone propionate/salmeterol DPI product was approximately 1.3 inhalations/day and ranged from 0 to 9 inhalations/day (0 to about 4.5 times the maximum approved salmeterol dosage for that DPI per dosing interval). Five percent (5%) of subjects using another fluticasone propionate/salmeterol DPI product in these trials averaged 6 or more inhalations per day (3 times the maximum approved salmeterol dosage for that DPI per dosing interval) over the course of the 12-week trials. No increase in frequency of CV adverse events was observed among subjects who averaged 6 or more inhalations per day.

Methylxanthines: In clinical trials in subjects with asthma, 39 subjects receiving another fluticasone propionate/salmeterol MDPI product, fluticasone propionate 100 mcg and salmeterol  50 mcg, fluticasone propionate 250 mcg and salmeterol 50 mcg, or fluticasone propionate  500 mcg and salmeterol 50 mcg twice daily concurrently with a theophylline product had adverse event rates similar to those in 304 subjects receiving another fluticasone propionate/salmeterol product without theophylline. Similar results were observed in subjects receiving salmeterol 50 mcg plus fluticasone propionate 500 mcg twice daily concurrently with a theophylline product (n = 39) or without theophylline (n = 132).

12.3 Pharmacokinetics

Absorption

Fluticasone Propionate:

Fluticasone Propionate/Salmeterol MDPI acts locally in the lung; therefore, plasma levels may not predict therapeutic effect. Trials using oral dosing of labeled and unlabeled drug have demonstrated that the oral systemic bioavailability of fluticasone propionate was negligible (<1%), primarily due to incomplete absorption and presystemic metabolism in the gut and liver. In contrast, the majority of the fluticasone propionate delivered to the lung was systemically absorbed.

After administration of 232 mcg/14 mcg Fluticasone Propionate/Salmeterol MDPI to patients aged 12 years and older with persistent asthma in a clinical trial, the mean Cmax value of fluticasone propionate was 66 pg/mL with a median tmax value of approximately 2 hours.

Salmeterol:

After administration of 232 mcg/14 mcg Fluticasone Propionate/Salmeterol MDPI to patients aged 12 years and older with persistent asthma, the mean Cmax values of salmeterol was 60 pg/mL. The median tmax was 5 minutes.

Distribution

Fluticasone Propionate:

Following intravenous administration, the initial disposition phase for fluticasone propionate was rapid and consistent with its high lipid solubility and tissue binding. The volume of distribution averaged 4.2 L/kg.

The percentage of fluticasone propionate bound to human plasma proteins averages 99%. Fluticasone propionate is weakly and reversibly bound to erythrocytes and is not significantly bound to human transcortin.

Salmeterol:

Volume of distribution data are not available for salmeterol.

The percentage of salmeterol bound to human plasma proteins averages 96% in vitro over the concentration range of 8 to 7,722 ng of salmeterol base per milliliter, much higher concentrations than those achieved following therapeutic doses of salmeterol.

Elimination

Fluticasone Propionate:

Following intravenous dosing, fluticasone propionate showed polyexponential kinetics and had a terminal elimination half-life of approximately 7.8 hours. Terminal half-life estimates of fluticasone propionate following oral inhalation administration of Fluticasone Propionate/Salmeterol MDPI were approximately 10.8 hours.

Metabolism

The total clearance of fluticasone propionate is high (average, 1,093 mL/minute), with renal clearance accounting for less than 0.02% of the total. The only circulating metabolite detected in humans is the 17β carboxylic acid derivative of fluticasone propionate, which is formed through the CYP3A4 pathway. This metabolite has less affinity (approximately 1/2,000) than the parent drug for the glucocorticoid receptor of human lung cytosol in vitro and negligible pharmacological activity in animal studies. Other metabolites detected in vitro using cultured human hepatoma cells have not been detected in humans.

Excretion

Less than 5% of a radiolabeled oral dose was excreted in the urine as metabolites, with the remainder excreted in the feces as parent drug and metabolites.

Salmeterol:

Terminal half-life estimates for salmeterol for Fluticasone Propionate/Salmeterol MDPI were approximately 12.6 hours.

The xinafoate moiety has no apparent pharmacologic activity. The xinafoate moiety is highly protein bound (greater than 99%) and has a long elimination half-life of 11 days.

Metabolism

Salmeterol base is extensively metabolized by hydroxylation.

An in vitro study using human liver microsomes showed that salmeterol is extensively metabolized to α hydroxysalmeterol (aliphatic oxidation) by CYP3A4. Ketoconazole, a strong inhibitor of CYP3A4, essentially completely inhibited the formation of α hydroxysalmeterol in vitro.

Excretion

In 2 healthy adult subjects who received 1 mg of radiolabeled salmeterol (as salmeterol xinafoate) orally, approximately 25% and 60% of the radiolabeled salmeterol was eliminated in urine and feces, respectively, over a period of 7 days.

Specific Populations

A population pharmacokinetic analysis was performed for fluticasone propionate and salmeterol utilizing data from 9 controlled clinical trials that included 350 subjects with asthma aged 4 to 77 years who received treatment with another fluticasone propionate and salmeterol MDPI product, the combination of HFA‑propelled fluticasone propionate and salmeterol inhalation aerosol, fluticasone propionate MDPI, HFA‑propelled fluticasone propionate inhalation aerosol, or CFC‑propelled fluticasone propionate inhalation aerosol. The population pharmacokinetic analyses for fluticasone propionate and salmeterol showed no clinically relevant effects of age, gender, race, body weight, body mass index, or percent of predicted FEV1 on apparent clearance and apparent volume of distribution. Fluticasone Propionate/Salmeterol MDPI is not approved in pediatric patients younger than 12 years.

Age:

 No pharmacokinetic studies have been performed with Fluticasone Propionate/Salmeterol MDPI in geriatric patients.

Adolescents Aged 12 to 17 Years:

 A subgroup analysis was conducted to compare patients aged 12 to 17 (n=15) and ≥18 (n=23) years following administration of 232 mcg/14 mcg Fluticasone Propionate/Salmeterol MDPI. No overall differences in fluticasone propionate and salmeterol pharmacokinetics were observed.  

Male and Female Patients: A subgroup analysis was conducted to compare male (n=21) and female (n=16) adolescent and adult patients following administration of 232 mcg/14 mcg Fluticasone Propionate/Salmeterol MDPI. No overall differences in fluticasone propionate and salmeterol pharmacokinetics were observed.

Patients with Renal Impairment: The effect of renal impairment of the pharmacokinetics of Fluticasone Propionate/Salmeterol MDPI has not been evaluated.

Patients with Hepatic Impairment: Formal pharmacokinetic studies using Fluticasone Propionate/Salmeterol MDPI have not been conducted in patients with hepatic impairment. However, since both fluticasone propionate and salmeterol are predominantly cleared by hepatic metabolism, impairment of liver function may lead to accumulation of fluticasone propionate and salmeterol in plasma [see Use in Specific Populations (8.6)].

Drug Interaction Studies

In a single-dose trial, the presence of salmeterol did not alter fluticasone propionate exposure.

No studies have been performed with Fluticasone Propionate/Salmeterol MDPI to investigate the effect of fluticasone propionate on salmeterol pharmacokinetics when given in combination.

Drug Interaction Studies with Another Fluticasone Propionate/Salmeterol MDPI Product:

The population pharmacokinetic analysis from 9 controlled clinical trials in 350 subjects with asthma showed no significant effects on fluticasone propionate or salmeterol pharmacokinetics following co-administration with beta2-agonists, corticosteroids, antihistamines, or theophyllines.

Strong CYP3A4 Inhibitors: Fluticasone propionate is a substrate of CYP3A4. Coadministration of fluticasone propionate and ritonavir, a strong CYP3A4 inhibitor, is not recommended based upon a multiple-dose, crossover drug interaction trial in 18 healthy subjects [see Drug Interactions (7.1)]. Plasma fluticasone propionate concentrations following fluticasone propionate aqueous nasal spray alone were undetectable (<10 pg/mL) in most subjects, and when concentrations were detectable, peak levels (Cmax) averaged 11.9 pg/mL (range: 10.8 to 14.1 pg/mL) and AUC0-τ averaged 8.43 pg•h/mL (range: 4.2 to 18.8 pg•h/mL). However, the fluticasone propionate Cmax and AUC0-τ increased to 318 pg/mL (range: 110 to 648 pg/mL) and 3,102.6 pg•h/mL (range: 1,207.1 to 5,662.0 pg•h/mL), respectively, after 7 days of coadministration of ritonavir (100 mg twice daily) with fluticasone propionate aqueous nasal spray (200 mcg once daily). This significant increase in plasma fluticasone propionate exposure resulted in a significant decrease (86%) in serum cortisol AUC.

Ketoconazole: In a placebo-controlled crossover trial in 8 healthy adult volunteers, coadministration of a single dose of orally inhaled fluticasone propionate (1,000 mcg) with multiple doses of ketoconazole (200 mg) to steady state resulted in increased plasma fluticasone propionate exposure, a reduction in plasma cortisol AUC, and no effect on urinary excretion of cortisol.

In a placebo-controlled, crossover drug interaction trial in 20 healthy male and female subjects, coadministration of salmeterol (50 mcg twice daily) and ketoconazole, a strong CYP3A4 inhibitor, (400 mg once daily) for 7 days resulted in a significant increase in plasma salmeterol exposure as determined by a 16-fold increase in AUC (ratio with and without ketoconazole 15.76 [90% CI: 10.66, 23.31]) mainly due to increased bioavailability of the swallowed portion of the dose. Peak plasma salmeterol concentrations were increased by 1.4-fold (90% CI: 1.23, 1.68). Three (3) out of 20 subjects (15%) were withdrawn from salmeterol and ketoconazole coadministration due to beta-agonist-mediated systemic effects (2 with QTc prolongation and 1 with palpitations and sinus tachycardia). Coadministration of salmeterol and ketoconazole did not result in a clinically significant effect on mean heart rate, mean blood potassium, or mean blood glucose. Although there was no statistical effect on the mean QTc, coadministration of salmeterol and ketoconazole was associated with more frequent increases in QTc duration compared with salmeterol administration alone and placebo administration.

Erythromycin:  In a multiple-dose drug interaction trial, coadministration of orally inhaled fluticasone propionate (500 mcg twice daily) and erythromycin (333 mg 3 times daily) did not affect fluticasone propionate pharmacokinetics.

In a repeat-dose trial in 13 healthy subjects, concomitant administration of erythromycin (a moderate CYP3A4 inhibitor) and salmeterol inhalation aerosol resulted in a 40% increase in salmeterol Cmax at steady state (ratio with and without erythromycin 1.4 [90% CI: 0.96, 2.03], P = 0.12), a 3.6-beat/min increase in heart rate ([95% CI: 0.19, 7.03], P<0.04), a 5.8-msec increase in QTc interval ([95% CI: -6.14, 17.77], P = 0.34), and no change in plasma potassium.

5.13 Effect On Growth

Orally inhaled corticosteroids, including Fluticasone Propionate/Salmeterol MDPI, may cause a reduction in growth velocity when administered to pediatric patients. Monitor the growth of pediatric patients receiving Fluticasone Propionate/Salmeterol MDPI routinely (e.g., via stadiometry). To minimize the systemic effects of orally inhaled corticosteroids, including Fluticasone Propionate/Salmeterol MDPI, titrate each patient’s dosage to the lowest dosage that effectively controls his/her symptoms [see Dosage and Administration (2), Use in Specific Populations (8.4)].

2.2 Recommended Dosage

Administer 1 inhalation of Fluticasone Propionate/Salmeterol MDPI twice daily by oral inhalation (approximately 12 hours apart at the same time every day). Rinse the mouth with water without swallowing after each inhalation.

Dosage Selection

The recommended starting dosage for Fluticasone Propionate/Salmeterol MDPI is based on asthma severity and current inhaled corticosteroid use and strength.

  • Patients not taking inhaled corticosteroids (ICS) (with less severe asthma):
    • 1 inhalation of 55 mcg/14 mcg Fluticasone Propionate/Salmeterol MDPI dose strength (55 mcg of fluticasone propionate and 14 mcg of salmeterol), twice daily by oral inhalation.
  • Patients with greater asthma severity, use the higher dose strengths:
    • 1 inhalation of 113 mcg/14 mcg Fluticasone Propionate/Salmeterol MDPI (113 mcg of fluticasone propionate and 14 mcg of salmeterol) twice daily; or
    • 1 inhalation of 232 mcg/14 mcg Fluticasone Propionate/Salmeterol MDPI (232 mcg of fluticasone propionate and 14 mcg of salmeterol) twice daily
  • Patients switching to Fluticasone Propionate/Salmeterol MDPI from another inhaled corticosteroid or combination product:
    • 1 inhalation of low (55 mcg/14 mcg), medium (113 mcg/14 mcg) or high (232 mcg/14 mcg) Fluticasone Propionate/Salmeterol MDPI twice daily by oral inhalation based on the strength of the previous inhaled corticosteroid product, or the strength of the inhaled corticosteroid from a combination product, and disease severity.
  • The maximum recommended dosage of Fluticasone Propionate/Salmeterol MDPI is 232 mcg/14 mcg twice daily.

General Dosing Information

Improvement in asthma control following Fluticasone Propionate/Salmeterol MDPI administration can occur within 15 minutes of beginning treatment; although maximum benefit may not be achieved for 1 week or longer after starting treatment. Individual patients will experience a variable time to onset and degree of symptom relief. For patients who do not respond adequately to the starting dose of Fluticasone Propionate/Salmeterol MDPI after 2 weeks of therapy, consider increasing the strength (replace with higher strength) to possibly provide additional improvement in asthma control.

If a previously effective dosage regimen fails to provide adequate improvement in asthma control, re-evaluate the therapeutic regimen, including patient compliance and inhaler technique, and consider additional therapeutic options (e.g., increasing the dose of Fluticasone Propionate/Salmeterol MDPI with a higher strength, adding additional controller therapies).  After asthma stability has been achieved, it is desirable to titrate to the lowest effective dosage to reduce the risk of adverse reactions.

8.6 Hepatic Impairment

Formal pharmacokinetic studies using Fluticasone Propionate/Salmeterol MDPI have not been conducted in patients with hepatic impairment. However, since both fluticasone propionate and salmeterol are predominantly cleared by hepatic metabolism [see Clinical Pharmacology (12.3)], impairment of liver function may lead to accumulation of fluticasone propionate and salmeterol in plasma. Therefore, patients with hepatic impairment should be closely monitored.

1 Indications and Usage

Fluticasone Propionate/Salmeterol Multidose Dry Powder Inhaler (FS MDPI) is indicated for the treatment of asthma in adult and pediatric patients aged 12 years and older. Fluticasone Propionate/Salmeterol MDPI should be used for patients not adequately controlled on a long term asthma control medication such as an inhaled corticosteroid or whose disease warrants initiation of treatment with both an inhaled corticosteroid and long acting beta2-adrenergic agonist (LABA).

Limitations of Use:

Fluticasone Propionate/Salmeterol MDPI is not indicated for the relief of acute bronchospasm.

12.1 Mechanism of Action

This product contains both fluticasone propionate and salmeterol. The mechanisms of action described below for the individual components apply to this combination product. These drugs represent 2 different classes of medications (a synthetic corticosteroid and a LABA) that have different effects on clinical, physiologic, and inflammatory indices.

Fluticasone Propionate: Fluticasone propionate is a synthetic trifluorinated corticosteroid with anti-inflammatory activity. Fluticasone propionate has been shown in vitro to exhibit a binding affinity for the human glucocorticoid receptor that is 18 times that of dexamethasone, almost twice that of beclomethasone-17-monopropionate (BMP), the active metabolite of beclomethasone dipropionate, and over 3 times that of budesonide. Data from the McKenzie vasoconstrictor assay in humans are consistent with these results. The clinical significance of these findings is unknown.

Inflammation is an important component in the pathogenesis of asthma. Corticosteroids have been shown to have a wide range of actions on multiple cell types (e.g., mast cells, eosinophils, neutrophils, macrophages, and lymphocytes) and mediators (e.g., histamine, eicosanoids, leukotrienes, and cytokines) involved in inflammation. These anti-inflammatory actions of corticosteroids contribute to their efficacy in the treatment of asthma.

Salmeterol: Salmeterol is a selective LABA. In vitro studies show salmeterol to be at least 50 times more selective for beta2‑adrenoceptors than albuterol. Although beta2‑adrenoceptors are the predominant adrenergic receptors in bronchial smooth muscle and beta1‑adrenoceptors are the predominant receptors in the heart, there are also beta2‑adrenoceptors in the human heart comprising 10% to 50% of the total beta‑adrenoceptors. The precise function of these receptors has not been established, but their presence raises the possibility that even selective beta2‑agonists may have cardiac effects.

The pharmacologic effects of beta2‑adrenoceptor agonist drugs, including salmeterol, are at least in part attributable to stimulation of intracellular adenyl cyclase, the enzyme that catalyzes the conversion of adenosine triphosphate (ATP) to cyclic-3′,5′-adenosine monophosphate (cyclic AMP). Increased cyclic AMP levels cause relaxation of bronchial smooth muscle and inhibition of release of mediators of immediate hypersensitivity from cells, especially from mast cells.

In vitro tests show that salmeterol is a potent and long‑lasting inhibitor of the release of mast cell mediators, such as histamine, leukotrienes, and prostaglandin D2, from human lung. Salmeterol inhibits histamine‑induced plasma protein extravasation and inhibits platelet‑activating factor‑induced eosinophil accumulation in the lungs of guinea pigs when administered by the inhaled route. In humans, single doses of salmeterol administered via inhalation aerosol attenuate allergen‑induced bronchial hyperresponsiveness.

5 Warnings and Precautions
  • LABA monotherapy increases the risk of serious asthma-related events. (5.1)
  • Deterioration of asthma and acute episodes: Do not use for relief of acute symptoms. Patients require immediate re-evaluation during rapidly deteriorating asthma. (5.2)
  • Do not use in combination with an additional medicine containing LABA because of risk of overdose. (5.3)
  • Localized infections: Candida albicans infection of the mouth and pharynx may occur. Monitor patients periodically. Advise the patient to rinse his/her mouth with water without swallowing after inhalation to help reduce the risk. (5.4)
  • Immunosuppression: Potential worsening of existing tuberculosis, fungal, bacterial, viral, parasitic infection, or ocular herpes simplex. Use with caution in patients with these infections. More serious or even fatal course of chickenpox or measles can occur in susceptible patients. (5.5)
  • Transferring patients from systemic corticosteroids: Risk of impaired adrenal function when transferring from systemic corticosteroids. Taper patients slowly from systemic corticosteroids if transferring to Fluticasone Propionate/Salmeterol. (5.6)
  • Hypercorticism and adrenal suppression: May occur with very high dosages or at the regular dosage in susceptible individuals. If such changes occur, discontinue Fluticasone Propionate/Salmeterol slowly. (5.7)
  • Paradoxical bronchospasm: Discontinue Fluticasone Propionate/Salmeterol and institute alternative therapy if paradoxical bronchospasm occurs. (5.9)
  • Use with caution in patients with cardiovascular or central nervous system disorders because of beta adrenergic stimulation. (5.11)
  • Decreases in bone mineral density: Monitor patients with major risk factors for decreased bone mineral content. (5.12)
  • Monitor growth of pediatric patients. (5.13)
  • Close monitoring for glaucoma and cataracts is warranted. (5.14)
  • Be alert to eosinophilic conditions, hypokalemia, and hyperglycemia. (5.15, 5.17)
  • Use with caution in patients with convulsive disorders, thyrotoxicosis, diabetes mellitus, and ketoacidosis. (5.16)
5.16 Coexisting Conditions

Fluticasone Propionate/Salmeterol MDPI, like all medicines containing sympathomimetic amines, should be used with caution in patients with convulsive disorders or thyrotoxicosis and in those who are unusually responsive to sympathomimetic amines. Doses of the related beta2‑adrenoceptor agonist albuterol, when administered intravenously, have been reported to aggravate preexisting diabetes mellitus and ketoacidosis.

2 Dosage and Administration

For oral inhalation only. (2.1)

  • Starting dosage is based on prior asthma therapy and disease severity. (2.2)
  • 1 inhalation of Fluticasone Propionate/Salmeterol 55 mcg/14 mcg, 113 mcg/14 mcg, or 232 mcg/14 mcg twice daily. (2.2)
  • Do not use with a spacer or volume holding chamber. (2.2)
5.14 Glaucoma and Cataracts

Glaucoma, increased intraocular pressure, and cataracts have been reported in patients following the long-term administration of inhaled corticosteroids, including fluticasone propionate, a component of Fluticasone Propionate/Salmeterol MDPI. Therefore, close monitoring is warranted in patients with a change in vision or with a history of increased intraocular pressure, glaucoma, and/or cataracts.

Effects of treatment with other fluticasone propionate and salmeterol inhalation powder 500 mcg/50 mcg, fluticasone propionate 500 mcg, salmeterol 50 mcg, or placebo on development of cataracts or glaucoma was evaluated in a subset of 658 subjects with COPD in the 3-year survival trial. Ophthalmic examinations were conducted at baseline and at 48, 108, and 158 weeks. Conclusions about cataracts cannot be drawn from this trial because the high incidence of cataracts at baseline (61% to 71%) resulted in an inadequate number of subjects treated with other fluticasone propionate and salmeterol inhalation powder 500 mcg/50 mcg who were eligible and available for evaluation of cataracts at the end of the trial (n = 53). The incidence of newly diagnosed glaucoma was 2% with other fluticasone propionate and salmeterol inhalation powder 500 mcg/50 mcg, 5% with fluticasone propionate, 0% with salmeterol, and 2% with placebo.

Package/label Display Panel

NDC 0093-3607-82

Fluticasone Propionate

and Salmeterol

Inhalation Powder

55 mcg / 14 mcg

FOR ORAL INHALATION ONLY

ATTENTION: Dispense with enclosed Medication

Guide.

With Dose Counter

Refer to enclosed Medication Guide and

Instructions for Use for detailed

information on product use and handling.

Rx only

60 METERED INHALATIONS

0.45 g NET CONTENTS

TEVA

 

3 Dosage Forms and Strengths

Inhalation powder: an inhalation-driven, multidose, dry powder inhaler (MDPI) for oral inhalation that meters 55 mcg, 113 mcg, or 232 mcg of fluticasone propionate with 14 mcg of salmeterol from the device reservoir and delivers 49 mcg, 100 mcg, or 202 mcg of fluticasone propionate with 12.75 mcg of salmeterol, respectively, from the mouthpiece per actuation. The Fluticasone Propionate/Salmeterol MDPI is a white inhaler with a yellow cap, and is provided in a sealed foil pouch with desiccant [see How Supplied/Storage and Handling (16)].

6.2 Postmarketing Experience

In addition to adverse reactions reported from clinical trials, the following adverse reactions have been identified during post approval use of fluticasone propionate and/or salmeterol regardless of indication. Because these reactions are reported voluntarily from a population of uncertain size, it is not always possible to reliably estimate their frequency or establish a causal relationship to drug exposure. These events have been chosen for inclusion due to either their seriousness, frequency of reporting, or causal connection to fluticasone propionate and/or salmeterol or a combination of these factors.

Cardiac Disorders: Arrhythmias (including atrial fibrillation, extrasystoles, supraventricular tachycardia), ventricular tachycardia.

Endocrine Disorders: Cushing’s syndrome, Cushingoid features, growth velocity reduction in children/adolescents, hypercorticism.

Eye Disorders: Glaucoma, blurred vision and central serous chorioretinopathy.

Gastrointestinal Disorders: Abdominal pain, dyspepsia, xerostomia.

Immune System Disorders: Immediate and delayed hypersensitivity reaction (including very rare anaphylactic reaction). Very rare anaphylactic reaction in patients with severe milk protein allergy.

Infections and Infestations: Esophageal candidiasis.

Metabolic and Nutrition Disorders: Hyperglycemia, weight gain.

Musculoskeletal, Connective Tissue, and Bone Disorders: Arthralgia, cramps, myositis, osteoporosis.

Nervous System Disorders: Paresthesia, restlessness.

Psychiatric Disorders: Agitation, aggression, depression. Behavioral changes, including hyperactivity and irritability, have been reported very rarely and primarily in children.

Reproductive System and Breast Disorders: Dysmenorrhea.

Respiratory, Thoracic, and Mediastinal Disorders: Chest congestion; chest tightness, dyspnea; facial and oropharyngeal edema, immediate bronchospasm; paradoxical bronchospasm; tracheitis; wheezing; reports of upper respiratory symptoms of laryngeal spasm, irritation, or swelling such as stridor or choking.

Skin and Subcutaneous Tissue Disorders: Ecchymoses, photodermatitis.

Vascular Disorders: Pallor.

5.4 Oropharyngeal Candidiasis

In clinical trials, the development of localized infections of the mouth and pharynx with Candida albicans has occurred in subjects treated with Fluticasone Propionate/Salmeterol MDPI. When such an infection develops, it should be treated with appropriate local or systemic (i.e., oral) antifungal therapy while treatment with Fluticasone Propionate/Salmeterol MDPI continues, but at times therapy with Fluticasone Propionate/Salmeterol MDPI may need to be interrupted. Advise the patient to rinse his/her mouth with water without swallowing following inhalation to help reduce the risk of oropharyngeal candidiasis.

8 Use in Specific Populations

Hepatic impairment: Monitor for systemic corticosteroid effects. (8.6)

2.1 Administration Instructions
  • Fluticasone Propionate/Salmeterol MDPI is for oral inhalation and does not require priming.
  • Do not use Fluticasone Propionate/Salmeterol MDPI with a spacer or volume holding chamber.
  • Do not use more than two times every 24 hours. More frequent administration or a greater number of daily inhalations (more than one inhalation twice daily) is not recommended as some patients are more likely to experience adverse reactions with higher salmeterol dosages.
  • Avoid the concomitant use of other long acting beta2-adrenergic agonist (LABAs) [see Warnings and Precautions (5.3, 5.11)].
  • If asthma symptoms arise in the period between doses, an inhaled, short-acting beta2-agonist should be taken for immediate relief.
17 Patient Counseling Information

Advise the patient to read the FDA-approved patient labeling (Patient Information and Instructions for Use).

Patients should be given the following information:

Serious Asthma Events

Inform patients with asthma that LABA when used alone increases the risk of asthma-related hospitalization and asthma-related death. Available data show that when ICS and LABA are used together, such as with Fluticasone Propionate/Salmeterol MDPI, there is not a significant increase in the risk of these events [see Warnings and Precautions (5.1)].

Not for Acute Symptoms

Inform patients that Fluticasone Propionate/Salmeterol MDPI is not meant to relieve acute asthma symptoms and extra doses should not be used for that purpose. Advise patients to treat acute asthma symptoms with an inhaled, short‑acting beta2‑agonist such as albuterol. Provide patients with such medication and instruct them in how it should be used [see Warnings and Precautions (5.2)].

Instruct patients to seek medical attention if they experience any of the following:

  • Decreasing effectiveness of inhaled, short‑acting beta2‑agonists

  • Need for more inhalations than usual of inhaled, short‑acting beta2‑agonists

  • Significant decrease in lung function as outlined by the physician

Tell patients they should not stop therapy with Fluticasone Propionate/Salmeterol without physician/provider guidance since symptoms may recur after discontinuation.

Avoid Use Additional Long-Acting Beta2‑Agonists

Instruct patients not to use other LABA for asthma [see Warnings and Precautions (5.3)].

Oropharyngeal Candidiasis

Inform patients that localized infections with Candida albicans occurred in the mouth and pharynx in some patients. If oropharyngeal candidiasis develops, treat it with appropriate local or systemic (i.e., oral) antifungal therapy while still continuing therapy with Fluticasone Propionate/Salmeterol MDPI, but at times therapy with Fluticasone Propionate/Salmeterol MDPI may need to be temporarily interrupted under close medical supervision. Rinsing the mouth with water without swallowing after inhalation is advised to help reduce the risk of thrush [see Warnings and Precautions (5.4)].

Immunosuppression and Infections

Warn patients who are on immunosuppressant doses of corticosteroids to avoid exposure to chickenpox or measles and, if exposed, to consult their physicians without delay. Inform patients of potential worsening of existing tuberculosis, fungal, bacterial, viral, or parasitic infections; or ocular herpes simplex [see Warnings and Precautions (5.5)].

Hypercorticism and Adrenal Suppression

Advise patients that Fluticasone Propionate/Salmeterol MDPI may cause systemic corticosteroid effects of hypercorticism and adrenal suppression. Additionally, inform patients that deaths due to adrenal insufficiency have occurred during and after transfer from systemic corticosteroids. Patients should taper slowly from systemic corticosteroids if transferring to Fluticasone Propionate/Salmeterol MDPI [see Warnings and Precautions (5.7)].

Immediate Hypersensitivity Reactions

Advise patients that immediate hypersensitivity reactions (e.g., urticaria, angioedema, rash, bronchospasm, hypotension), including anaphylaxis, may occur after administration of Fluticasone Propionate/Salmeterol MDPI. Patients should discontinue Fluticasone Propionate/Salmeterol MDPI if such reactions occur and contact their healthcare provider or get emergency medical help. There have been reports of anaphylactic reactions in patients with severe milk protein allergy after inhalation of powder products containing lactose; therefore, patients with severe milk protein allergy should not take Fluticasone Propionate/Salmeterol MDPI [see Warnings and Precautions (5.10)].

Reduction in Bone Mineral Density

Advise patients who are at an increased risk for decreased BMD that the use of corticosteroids may pose an additional risk [see Warnings and Precautions (5.12)].

Reduced Growth Velocity

Inform patients that orally inhaled corticosteroids, including fluticasone propionate, may cause a reduction in growth velocity when administered to adolescent patients. Physicians should closely follow the growth of adolescents taking corticosteroids by any route [see Warnings and Precautions (5.13)].

Ocular Effects

Long-term use of inhaled corticosteroids may increase the risk of some eye problems (cataracts or glaucoma); consider regular eye examinations [see Warnings and Precautions (5.14)].

Risks Associated with Beta‑Agonist Therapy

Inform patients of adverse effects associated with beta2‑agonists, such as palpitations, chest pain, rapid heart rate, tremor, or nervousness [see Warnings and Precautions (5.11)].

Pregnancy

Inform patients who are pregnant or nursing that they should contact their physician about the use of Fluticasone Propionate/Salmeterol MDPI [see Use in Specific Populations (8.1)].

Use Daily for Best Effect

Patients should use Fluticasone Propionate/Salmeterol MDPI at regular intervals as directed. The daily dosage of Fluticasone Propionate/Salmeterol MDPI should not exceed 1 inhalation twice a day. Advise patients, if they miss a dose, to take their next dose at the same time they normally do and to not take 2 doses at one time. Individual patients will experience a variable time to onset and degree of symptom relief and full benefit may not be achieved until treatment has been administered for 1 to 2 weeks or longer. Patients should not increase the prescribed dosage but should contact their physicians if symptoms do not improve or if the condition worsens. Instruct patients not to stop use of Fluticasone Propionate/Salmeterol MDPI abruptly. Patients should contact their physicians immediately if they discontinue use of Fluticasone Propionate/Salmeterol MDPI.

Dose Counter

Instruct patients that Fluticasone Propionate/Salmeterol MDPI has a dose counter that displays the number of actuations (inhalations) left in the inhaler.  When the patient receives a new inhaler, the number 60 will be displayed.  The dose counter will count down each time the mouthpiece is opened and closed.  When the dose counter reaches 20, the color of the numbers will change to red to remind the patient to contact their pharmacist or healthcare provider for a refill of their medication.  When the dose counter reaches 0, the patient should stop using the inhaler, and dispose of it in accordance with state and local regulations.

Caring for and Storing the Inhaler

Instruct patients to not open their inhaler unless they are taking a dose. Repeated opening and closing the cover without taking medication will waste medication and may damage the inhaler.

Advise patients to keep their inhaler dry and clean at all times. Never wash or put any part of the inhaler in water. Patient should replace inhaler if washed or placed in water. Advise patients to immediately replace inhaler if mouthpiece cover is damaged or broken.

Gently wipe the mouthpiece with a dry cloth or tissue as needed.

Instruct patients to store the inhaler at room temperature and to avoid exposure to extreme heat, cold, or humidity.

Instruct patients to never take the inhaler apart.

Inform patients to discard this product when the dose counter displays 0, 30 days after opening the foil pouch or after the expiration date on the product, whichever comes first.

Distributed by:

Teva Pharmaceuticals USA, Inc.

Parsippany, NJ 07054

©2021 Teva Respiratory,  LLC. All rights reserved.

United States Patent Nos. 6701917, 6718972, 6748947, 6871646, 7540282, 8006690, 8651103, 8714149, 8978966, 9066957, 9216260, 9415008, 9463288, 9616024, 9731087,  9987229, 10022510, 10124131, 10195375, 10561808, 10765820.

FPSPI-005

Revised: July 2021

5.17 Hypokalemia and Hyperglycemia

Beta‑adrenergic agonist medicines may produce significant hypokalemia in some patients, possibly through intracellular shunting, which has the potential to produce adverse cardiovascular effects [see Clinical Pharmacology (12.2)]. The decrease in serum potassium is usually transient, not requiring supplementation. Clinically significant changes in blood glucose and/or serum potassium were seen infrequently during clinical trials with Fluticasone Propionate/Salmeterol MDPI at recommended doses.

7.4 Non Potassium Sparing Diuretics

The ECG changes and/or hypokalemia that may result from the administration of non–potassium‑sparing diuretics (such as loop or thiazide diuretics) can be acutely worsened by beta‑agonists, such as salmeterol, a component of this product, especially when the recommended dose of the beta‑agonist is exceeded. Although the clinical significance of these effects is not known, caution is advised in the coadministration of Fluticasone Propionate/Salmeterol MDPI with non-potassium‑sparing diuretics.

16 How Supplied/storage and Handling

How Supplied

Fluticasone Propionate/Salmeterol MDPI inhalation powder:

  • a multidose, dry-powder inhaler (MDPI)
  • each inhaler is white, has a yellow cap and is packaged individually in a foil pouch with a dessicant, each pouch is packed in a carton
  • each inhaler contains 0.45 grams of the formulation and provides 60 actuations
  • available in 3 strengths
STRENGTH NDC CODE

Fluticasone Propionate/Salmeterol 55 mcg/14 mcg (low)

NDC 0093-3607-82

Fluticasone Propionate/Salmeterol 113 mcg/14 mcg (medium)

NDC 0093-3608-82

Fluticasone Propionate/Salmeterol 232 mcg/14 mcg (high)

NDC 0093-3609-82

Each Fluticasone Propionate/Salmeterol MDPI has a dose counter attached to the actuator. Patients should never try to alter the numbers for the dose counter. Discard the inhaler when the counter displays 0, 30 days after opening the foil pouch or after the expiration date on the product, whichever comes first. The labeled amount of medication in each actuation cannot be assured after the counter displays 0, even though the inhaler is not completely empty and will continue to operate [see Patient Counseling Information (17)].

Storage and Handling

Store at room temperature (between 15ºC and 25ºC; 59ºF and 77ºF) in a dry place; excursions permitted from 59º F to 86º F (15ºC to 30ºC). Avoid exposure to extreme heat, cold, or humidity.

Store Fluticasone Propionate/Salmeterol MDPI inside the unopened moisture‑protective foil pouch until initial use. Discard the product 30 days after opening the foil pouch or when the counter reads 0, whichever comes first. The inhaler is not reusable. Do not attempt to take the inhaler apart.

2.3 Storing and Cleaning the Inhaler
  • Keep the inhaler in a cool dry place.

  • Routine maintenance is not required. If the mouthpiece needs cleaning, gently wipe the mouthpiece with a dry cloth or tissue as needed.

  • Never wash or put any part of the inhaler in water.

7.1 Inhibitors of Cytochrome P450 3a4

Fluticasone propionate and salmeterol, the individual components of this product, are substrates of CYP3A4. The use of strong CYP3A4 inhibitors (e.g., ritonavir, atazanavir, clarithromycin, indinavir, itraconazole, nefazodone, nelfinavir, saquinavir, ketoconazole, telithromycin) with Fluticasone Propionate/Salmeterol MDPI is not recommended because increased systemic corticosteroid and increased cardiovascular adverse effects may occur.

Ritonavir: Fluticasone Propionate: A drug interaction trial with fluticasone propionate aqueous nasal spray in healthy subjects has shown that ritonavir (a strong CYP3A4 inhibitor) can significantly increase plasma fluticasone propionate exposure, resulting in significantly reduced serum cortisol concentrations [see Clinical Pharmacology (12.3)]. During postmarketing use, there have been reports of clinically significant drug interactions in patients receiving fluticasone propionate and ritonavir, resulting in systemic corticosteroid effects including Cushing’s syndrome and adrenal suppression.

Ketoconazole: Fluticasone Propionate: Coadministration of orally inhaled fluticasone propionate (1,000 mcg) and ketoconazole (200 mg once daily) resulted in a 1.9‑fold increase in plasma fluticasone propionate exposure and a 45% decrease in plasma cortisol area under the curve (AUC) but had no effect on urinary excretion of cortisol.

Salmeterol: In a drug interaction trial in 20 healthy subjects, coadministration of inhaled salmeterol (50 mcg twice daily) and oral ketoconazole (400 mg once daily) for 7 days resulted in greater systemic exposure to salmeterol (AUC increased 16‑fold and Cmax increased 1.4‑fold). Three (3) subjects were withdrawn due to beta2‑agonist side effects (2 with prolonged QTc and 1 with palpitations and sinus tachycardia). Although there was no statistical effect on the mean QTc, coadministration of salmeterol and ketoconazole was associated with more frequent increases in QTc duration compared with salmeterol and placebo administration [see Clinical Pharmacology (12.3)].

5.12 Reduction in Bone Mineral Density

Decreases in bone mineral density (BMD) have been observed with long‑term administration of products containing inhaled corticosteroids. The clinical significance of small changes in BMD with regard to long‑term consequences such as fracture is unknown. Patients with major risk factors for decreased bone mineral content, such as prolonged immobilization, family history of osteoporosis, or chronic use of drugs that can reduce bone mass (e.g., anticonvulsants, oral corticosteroids) should be monitored and treated with established standards of care.

14.2 Trials in The treatment of Asthma

Adult and Adolescent Patients Aged 12 Years and Older:

Two 12-week randomized, double-blind, placebo-controlled, parallel-group, global clinical trials (Trials 1 and 2) were conducted in 1375  adult and adolescent patients (aged 12 years and older, with baseline FEV1 40% to 85% of predicted normal) with asthma that was not optimally controlled on their current therapy. Patients were randomized to receive 1 inhalation twice a day of Fluticasone Propionate/Salmeterol MDPI, fluticasone propionate MDPI alone, or placebo.  Maintenance asthma therapies were discontinued at randomization.

Trial 1: In this trial, adolescents and adult patients with persistent symptomatic asthma despite low-dose or mid-dose inhaled corticosteroid (ICS) or ICS/LABA therapy were included.  After completing a run-in period where patients were treated with beclomethasone dipropionate inhalation aerosol 40 mcg twice daily and a single blind placebo MDPI, the patients who met the randomization criteria were randomized to 1 inhalation twice a day of the following treatments:

  • Placebo MDPI (n=130)

  • Fluticasone propionate MDPI 55 mcg (n=129)

  • Fluticasone propionate MDPI 113 mcg (n=130)

  • Fluticasone Propionate/Salmeterol MDPI 55 mcg/14 mcg (n=129), or

  • Fluticasone Propionate/Salmeterol MDPI 113 mcg/14 mcg (n=129)

    Baseline FEV1 measurements were similar across treatments: fluticasone propionate MDPI 55 mcg 2.132 L, fluticasone propionate MDPI 113 mcg 2.166 L, Fluticasone Propionate/Salmeterol MDPI 55 mcg/14 mcg 2.302 L, Fluticasone Propionate/Salmeterol MDPI 113 mcg/14 mcg 2.162 L, and placebo 2.188 L.

    The primary endpoints for this trial were the change from baseline in trough FEV1 at week 12 for all patients and standardized baseline-adjusted FEV1 AUEC0-12h at week 12 analyzed for a subset of 312 patients who performed postdose serial spirometry.

    Patients in both Fluticasone Propionate/Salmeterol MDPI treatment groups had significantly greater improvements in trough FEV1 compared with both Fluticasone Propionate MDPI treatment groups and the placebo group.

  • Fluticasone Propionate/Salmeterol MDPI 113 mcg/14 mcg: LS mean change of 0.315 L at 12 weeks

  • Fluticasone Propionate/Salmeterol MDPI 55 mcg/14 mcg: LS mean change of 0.319 L at 12 weeks

  • Fluticasone propionate MDPI 113 mcg: LS mean change of 0.204 L at 12 weeks

  • Fluticasone propionate MDPI 55 mcg: LS mean change of 0.172 L at 12 weeks

  • Placebo: LS mean change of 0.053 L at 12 weeks

    The estimated mean differences between:

  • Fluticasone Propionate/Salmeterol MDPI 55 mcg/14 mcg and Fluticasone Propionate/Salmeterol MDPI 113 mcg/14 mcg compared to placebo were 0.266 L (95% CI: 0.172, 0.360) and 0.262 L (95% CI: 0.168, 0.356), respectively.

  • Fluticasone propionate MDPI 55 mcg and fluticasone propionate MDPI 113 mcg compared to placebo were 0.119 L (95% CI: 0.025, 0.212) and 0.151 L (95% CI: 0.057, 0.244), respectively.

  • Fluticasone Propionate/Salmeterol MDPI 113 mcg/14 mcg and Fluticasone Propionate MDPI 113 mcg was 0.111 L (95% CI: 0.017, 0.206).

  • Fluticasone Propionate/Salmeterol MDPI 55 mcg/14 mcg and Fluticasone Propionate MDPI 55 mcg was 0.147 L (95% CI: 0.053, 0.242).

     In addition, the mean FEV1 results at each visit are displayed in Figure 3.

Figure 3: Mean Change from Baseline in Trough FEV1 at Each Visit by Treatment Group Trial 1 (FAS)

FAS = full analysis set; FEV1 = forced expiratory volume in 1 second; Placebo = placebo MDPI

Supportive evidence of efficacy for Fluticasone Propionate/Salmeterol MDPI compared with placebo was derived from secondary endpoints such as the weekly average of daily trough morning peak expiratory flow and total daily use of rescue medication. The Asthma Quality of Life Questionnaire (AQLQ) for patients age ≥ 18 years or the pediatric AQLQ (PAQLQ) for patients aged 12-17 were assessed in Trial 1. The responder rate for both measures was defined as an improvement in score of 0.5 or more as threshold. In Trial 1, the responder rate for patients receiving Fluticasone Propionate/Salmeterol MDPI 55 mcg/14 mcg and Fluticasone Propionate/Salmeterol MDPI 113 mcg/14 mcg was 51% and 57%, respectively, compared to 40% for patients receiving placebo, with an odds ratio of 1.53 (95% CI: 0.93, 2.55) and 2.04 (95% CI: 1.23, 3.41), respectively.

Improvements in lung function occurred within 15 minutes of the first dose (15 minutes postdose). Compared to placebo the difference in LS mean change from baseline in FEV1 for Fluticasone Propionate/Salmeterol MDPI 55 mcg/14 mcg and 113 mcg/14 mcg was 0.216 and 0.164 L, respectively (unadjusted p-value <0.0001 for both dosages compared with placebo). Refer to Figure 4 below. Maximum improvement in FEV1 generally occurred within 3 hours for Fluticasone Propionate/Salmeterol MDPI 55 mcg/14 mcg and within 6 hours for Fluticasone Propionate/Salmeterol MDPI 113 mcg/14 mcg and improvements were sustained over the 12 hours of testing at weeks 1 and 12 (Figure 4 and Figure 5). Following the initial dose, predose FEV1 relative to day 1 baseline improved markedly over the first week of treatment and the improvement was sustained over the 12 weeks of treatment in the trial. No diminution in the 12 hour bronchodilator effect was observed with either Fluticasone Propionate/Salmeterol MDPI dose as assessed by FEV1 following 12 weeks of therapy.

Figure 4: Serial Spirometry: Mean Change from Baseline in FEV1 (L) at Day 1 by Time Point and Treatment Group Trial 1 (FAS; Serial Spirometry Subset)

FAS = full analysis set; FEV1 = forced expiratory volume in 1 second; Placebo = placebo MDPI

Figure 5: Serial Spirometry: Mean Change from Baseline in FEV1 (L) at Week 12 by Time Point and Treatment Group Trial 1 (FAS; Serial Spirometry Subset)

FAS = full analysis set; FEV1 = forced expiratory volume in 1 second; Placebo = placebo MDPI

Trial 2: In this trial, adolescents and adult patients with persistent symptomatic asthma despite inhaled corticosteroid (ICS) or ICS/LABA therapy were included.  After completing a run-in period where patients were treated with single-blind Fluticasone Propionate MDPI 55 mcg twice daily replacing their current asthma therapy, patients who met the randomization criteria were randomized to 1 inhalation twice a day of the following treatments:

  • Placebo MDPI (n=145)

  • Fluticasone propionate MDPI 113 mcg (n=146)

  • Fluticasone propionate MDPI 232 mcg (n=146)

  • Fluticasone Propionate/Salmeterol MDPI 113 mcg/14 mcg (n=145)

  • Fluticasone Propionate/Salmeterol MDPI 232 mcg/14 mcg (n=146)

    Baseline FEV1 measurements were similar across treatments: fluticasone propionate MDPI 113 mcg 2.069 L, fluticasone propionate MDPI 232 mcg 2.075 L, Fluticasone Propionate/Salmeterol MDPI 113 mcg/14 mcg 2.157 L, Fluticasone Propionate/Salmeterol MDPI 232 mcg/14 mcg 2.083 L and placebo 2.141 L.

    The primary endpoints for this trial were the change from baseline in trough FEV1 at week 12 for all patients and standardized baseline-adjusted FEV1 AUEC0-12h at week 12 analyzed for a subset of 312 patients who performed postdose serial spirometry.

    Efficacy results in this trial were similar to those observed in Trial 1. Patients in both Fluticasone Propionate/Salmeterol MDPI groups had significantly greater improvements in trough FEV1 compared with the fluticasone propionate MDPI groups and the placebo group:

  • Fluticasone Propionate/Salmeterol MDPI 113 mcg/14 mcg: LS mean change of 0.271 L at 12 weeks

  • Fluticasone Propionate/Salmeterol MDPI 232 mcg/14 mcg: LS mean change of 0.272 L at 12 weeks

  • Fluticasone propionate MDPI 113 mcg: LS mean change of 0.119 L at 12 weeks

  • Fluticasone propionate MDPI 232 mcg: LS mean change of 0.179 L at 12 weeks, and

  • Placebo: LS mean change of -0.004 L at 12 weeks.

    Estimated mean differences between:

  • Fluticasone Propionate/Salmeterol MDPI 113 mcg/14 mcg and Fluticasone Propionate/Salmeterol MDPI 232 mcg/14 mcg compared to placebo were 0.274 L (95% CI: 0.189, 0.360) and 0.276 L (95% CI: 0.191, 0.361), respectively.

  • Fluticasone propionate MDPI 113 mcg and fluticasone propionate MDPI 232 mcg compared to placebo were 0.123 L (95% CI: 0.038, 0.208) and 0.183 L (95% CI: 0.098, 0.268), respectively.

  • Fluticasone Propionate/Salmeterol MDPI 232 mcg/14 mcg and fluticasone propionate MDPI 232 mcg was 0.093 L (95% CI: 0.009, 0.178).

  • Fluticasone Propionate/Salmeterol MDPI 113 mcg/14 mcg and fluticasone propionate MDPI 113 mcg was 0.152 L (95% CI: 0.066, 0.237).

    In addition, the mean FEV1 results at each visit are displayed in Figure 6.

Figure 6: Mean Change from Baseline in Trough FEV1 at Each Visit by Treatment Group Trial 2 (FAS)

FAS = full analysis set; FEV1 = forced expiratory volume in 1 second; Placebo = placebo MDPI

Supportive evidence of efficacy for Fluticasone Propionate/Salmeterol MDPI compared with placebo was derived from secondary endpoints such as the weekly average of daily trough morning peak expiratory flow and total daily use of rescue medication. There were fewer withdrawals due to worsening asthma in patients treated with Fluticasone Propionate/Salmeterol MDPI than with placebo. The AQLQ for patients age ≥ 18 years or the PAQLQ for patients aged 12-17 were assessed in Trial 2. The responder rate for both measures was defined as an improvement in score of 0.5 or more as threshold. In Trial 2, the responder rate for patients receiving Fluticasone Propionate/Salmeterol MDPI 113 mcg/14 mcg and Fluticasone Propionate/Salmeterol MDPI 232 mcg/14 mcg was 48% and 41%, respectively, compared to 27% for patients receiving placebo, with an odds ratio of 2.59 (95% CI: 1.56, 4.31) and 1.94 (95% CI: 1.16, 3.23), respectively.

Improvements in lung function occurred within 15 minutes of the first dose (15 minutes postdose). Compared with placebo, for Fluticasone Propionate/Salmeterol MDPI 113 mcg/14 mcg and 232 mcg/14 mcg the difference in LS mean change from baseline in FEV1 was 0.160 L and 0.187 L, respectively (unadjusted p-value <0.0001 for both doses compared with placebo). Maximum improvement in FEV1 generally occurred within 3 hours for both Fluticasone Propionate/Salmeterol MDPI dose groups, and improvements were sustained over the 12 hours of testing at weeks 1 and 12 (Figure 7 and Figure 8). Following the initial dose, predose FEV1 relative to day 1 baseline improved markedly over the first week of treatment and the improvement was sustained over the 12 weeks of treatment in the trial. No diminution in the 12 hour bronchodilator effect was observed with either Fluticasone Propionate/Salmeterol MDPI dose as assessed by FEV1 following 12 weeks of therapy.

Figure 7: Serial Spirometry: Mean Change from Baseline in FEV1 (L) at Day 1 by Time Point and Treatment Group Trial 2 (FAS; Serial Spirometry Subset)

FAS = full analysis set; FEV1 = forced expiratory volume in 1 second; Placebo = placebo MDPI

Figure 8: Serial Spirometry: Mean Change from Baseline in FEV1 (L) at Week 12 by Time Point and Treatment Group Trial 2 (FAS; Serial Spirometry Subset)

FAS = full analysis set; FEV1 = forced expiratory volume in 1 second; Placebo = placebo MDPI

6.1 Clinical Trials Experience in Asthma

Because clinical trials are conducted under widely varying conditions, adverse reaction rates observed in the clinical trials of a drug cannot be directly compared to rates in the clinical trials of another drug and may not reflect the rates observed in practice.

In two placebo-controlled, 12-week, clinical studies (Trials 1 and 2) [see Clinical Studies (14)], a total of 1,364 adolescent and adult patients with persistent symptomatic asthma despite ICS or ICS/LABA therapy were treated twice daily with either placebo; fluticasone propionate MDPI 55 mcg, 113 mcg, 232 mcg; or fluticasone propionate/salmeterol MDPI 55 mcg/14 mcg, 113 mcg/14 mcg, 232 mcg/14 mcg. Sixty percent of patients were female and 80% of patients were white. The average duration of exposure was 82 to 84 days in the fluticasone propionate MDPI and fluticasone propionate/salmeterol MDPI treatment groups compared with 75 days in the placebo group. Table 2 displays the incidence of most common adverse reactions in pooled Trials 1 and 2.

Table 2: Adverse Reactions with ≥3% Incidence with Fluticasone Propionate/Salmeterol MDPI, and More Common than Placebo in Subjects with Asthma (Trials 1 and 2)

Adverse Reaction Fluticasone Propionate MDPI 55 mcg(n=129)% Fluticasone Propionate MDPI 113 mcg(n=274)% Fluticasone Propionate MDPI 232 mcg(n=146)% Fluticasone Propionate /Salmeterol MDPI 55 mcg/14 mcg(n=128)% Fluticasone Propionate /Salmeterol MDPI 113 mcg/14 mcg(n=269)% Fluticasone Propionate /Salmeterol MDPI232 mcg/14 mcg (n=145)% Placebo(n=273)%

Nasopharyngitis

5.4

5.8

4.8

8.6

4.8

6.9

4.4

Oral candidiasis*

3.1

2.9

4.8

1.6

2.2

3.4

0.7

Headache

1.6

7.3

4.8

5.5

4.8

2.8

4.4

Cough

1.6

1.8

3.4

2.3

3.7

0.7

2.6

Back pain

0

1.5

1.4

3.1

0.7

0

1.8

*Oral candidiasis includes oropharyngeal candidiasis, oral fungal infection, and oropharyngitis fungal

Other adverse reactions not previously listed (and occurring in <3% of patients and in three or more patients on Fluticasone Propionate/Salmeterol MDPI) that were reported more frequently by patients with asthma treated with Fluticasone Propionate/Salmeterol MDPI compared with patients treated with placebo include the following:

Sinusitis, oropharyngeal pain, pharyngitis, dizziness, influenza, rhinitis allergic, respiratory tract infection, rhinitis, nasal congestion, abdominal pain upper, myalgia, pain in extremity, dyspepsia, laceration, dermatitis contact, and palpitations.

Long Term Safety Study: This was a 26-week, open labeled study of 674 patients previously treated with ICS who were treated twice daily with fluticasone propionate MDPI 113 mcg or 232 mcg; fluticasone propionate/salmeterol MDPI 113 mcg/14 mcg or 232 mcg/14 mcg; fluticasone propionate inhalation aerosol 110 mcg or 220 mcg; fluticasone propionate  and salmeterol inhalation powder (250 mcg/50 mcg), or fluticasone propionate and salmeterol inhalation powder (500 mcg/50 mcg). The types of adverse reactions were similar to those reported above in placebo controlled studies.

13.2 Animal Toxicology And/or Pharmacology

Studies in laboratory animals (minipigs, rodents, and dogs) have demonstrated the occurrence of cardiac arrhythmias and sudden death (with histologic evidence of myocardial necrosis) when beta‑agonists and methylxanthines are administered concurrently. The clinical relevance of these findings is unknown.

5.7 Hypercorticism and Adrenal Suppression

Fluticasone propionate, a component of Fluticasone Propionate/Salmeterol MDPI, will often help control asthma symptoms with less suppression of HPA function than therapeutically equivalent oral doses of prednisone. Since fluticasone propionate is absorbed into the circulation and can be systemically active at higher doses, the beneficial effects of Fluticasone Propionate/Salmeterol MDPI in minimizing HPA dysfunction may be expected only when recommended dosages are not exceeded and individual patients are titrated to the lowest effective dose. A relationship between plasma levels of fluticasone propionate and inhibitory effects on stimulated cortisol production has been shown after 4 weeks of treatment with fluticasone propionate inhalation aerosol. Since individual sensitivity to effects on cortisol production exists, physicians should consider this information when prescribing Fluticasone Propionate/Salmeterol MDPI.

Because of the possibility of significant systemic absorption of inhaled corticosteroids, patients treated with Fluticasone Propionate/Salmeterol MDPI should be observed carefully for any evidence of systemic corticosteroid effects. Particular care should be taken in observing patients postoperatively or during periods of stress for evidence of inadequate adrenal response.

It is possible that systemic corticosteroid effects such as hypercorticism and adrenal suppression (including adrenal crisis) may appear in a small number of patients who are sensitive to these effects. If such effects occur, Fluticasone Propionate/Salmeterol MDPI should be reduced slowly, consistent with accepted procedures for reducing systemic corticosteroids, and for management of asthma symptoms.

5.5 Immunosuppression and Risk of Infections

Persons who are using drugs that suppress the immune system are more susceptible to infections than healthy individuals. Chickenpox and measles, for example, can have a more serious or even fatal course in susceptible adolescents or adults using corticosteroids. In such patients who have not had these diseases or who have not been properly immunized, particular care should be taken to avoid exposure. How the dose, route and duration of corticosteroid administration affect the risk of developing a disseminated infection is not known. The contribution of the underlying disease and/or prior corticosteroid treatment to the risk is also not known. If a patient is exposed to chickenpox, prophylaxis with varicella-zoster immune globulin (VZIG) or pooled intravenous immunoglobulin (IVIG) may be indicated. If a patient is exposed to measles, prophylaxis with pooled intramuscular immunoglobulin (IG) may be indicated. (See the respective package inserts for complete VZIG and IG prescribing information.) If chickenpox develops, treatment with antiviral agents may be considered.

Inhaled corticosteroids should be used with caution, if at all, in patients with active or quiescent tuberculosis infections of the respiratory tract; systemic fungal, bacterial, viral, or parasitic infections; or ocular herpes simplex.

7.3 Beta Adrenergic Receptor Blocking Agents

Beta‑blockers not only block the pulmonary effect of beta‑agonists, such as salmeterol, a component of this product, but may also produce severe bronchospasm in patients with asthma. Therefore, patients with asthma should not normally be treated with beta‑blockers. However, under certain circumstances, there may be no acceptable alternatives to the use of beta‑adrenergic blocking agents for these patients; cardioselective beta‑blockers could be considered, although they should be administered with caution.

5.2 Deterioration of Disease and Acute Episodes

Fluticasone Propionate/Salmeterol MDPI should not be initiated in patients during rapidly deteriorating or potentially life‑threatening episodes of asthma. Fluticasone Propionate/Salmeterol MDPI has not been studied in subjects with acutely deteriorating asthma. The initiation of Fluticasone Propionate/Salmeterol MDPI in this setting is not appropriate.

Serious acute respiratory events, including fatalities, have been reported when salmeterol, a component of this product, has been initiated in patients with significantly worsening or acutely deteriorating asthma. In most cases, these have occurred in patients with severe asthma (e.g., patients with a history of corticosteroid dependence, low pulmonary function, intubation, mechanical ventilation, frequent hospitalizations, previous life‑threatening acute asthma exacerbations) and in some patients with acutely deteriorating asthma (e.g., patients with significantly increasing symptoms; increasing need for inhaled, short‑acting beta2‑agonists; decreasing response to usual medications; increasing need for systemic corticosteroids; recent emergency room visits; deteriorating lung function). However, these events have occurred in a few patients with less severe asthma as well. It was not possible from these reports to determine whether salmeterol contributed to these events.

Increasing use of inhaled, short‑acting beta2‑agonists is a marker of deteriorating asthma. In this situation, the patient requires immediate reevaluation with reassessment of the treatment regimen, giving special consideration to the possible need for replacing the current strength of Fluticasone Propionate/Salmeterol MDPI with a higher strength, adding additional inhaled corticosteroid, or initiating systemic corticosteroids. Patients should not use more than 1 inhalation twice daily of Fluticasone Propionate/Salmeterol MDPI.

Fluticasone Propionate/Salmeterol MDPI should not be used for the relief of acute symptoms, i.e., as rescue therapy for the treatment of acute episodes of bronchospasm. An inhaled, short‑acting beta2‑agonist, not Fluticasone Propionate/Salmeterol MDPI, should be used to relieve acute symptoms such as shortness of breath. When prescribing Fluticasone Propionate/Salmeterol MDPI, the healthcare provider should also prescribe an inhaled, short‑acting beta2-agonist (e.g., albuterol) for treatment of acute symptoms, despite regular twice‑daily use of Fluticasone Propionate/Salmeterol MDPI.

When beginning treatment with Fluticasone Propionate/Salmeterol MDPI, patients who have been taking oral or inhaled, short‑acting beta2‑agonists on a regular basis (e.g., 4 times a day) should be instructed to discontinue the regular use of these drugs.

14.1 Dose Ranging Studies in Patients With Asthma

Six doses of fluticasone propionate ranging from 16 mcg to 434 mcg (expressed as metered doses) administered twice daily via MDPI were evaluated in 2 randomized, double-blind, placebo-controlled 12 week trials in patients with asthma.

  • Trial 201 was conducted in patients whose asthma was uncontrolled at baseline and had been treated by short-acting beta2-agonist alone or in combination with non-corticosteroid asthma medication. Low dose inhaled corticosteroids (ICS)-treated patients may have been included after a minimum of 2 weeks washout. This trial contained an open-label active comparator fluticasone propionate inhalation powder 100 mcg administered twice daily.

  • Trial 202 was conducted in patients whose asthma was uncontrolled at baseline and had been treated with high dose ICS with or without a LABA. This study contained an open-label active comparator fluticasone propionate inhalation powder 250 mcg twice daily.

    The trials were dose-ranging trials of fluticasone propionate MDPI not designed to provide comparative effectiveness data and should not be interpreted as evidence of superiority/inferiority to fluticasone propionate inhalation powder. The metered doses for fluticasone MDPI (16, 28, 59, 118, 225, 434 mcg) used in Trial 201 and Trial 202 (see Figure 1) are slightly different from the metered doses for the comparator products (fluticasone inhalation powder) and the Phase 3 investigational products which are the basis of the proposed commercial labeled claim (55, 113, 232 mcg for fluticasone). The changes in doses between Phase 2 and 3 resulted from optimization of the manufacturing process.

Figure 1: Baseline Adjusted Least Square Mean Change in Trough Morning FEV1 (L) over 12 weeks (FAS)a

FAS = full analysis set; aTrials were not designed to provide comparative effectiveness data and should not be interpreted as superiority/inferiority to fluticasone propionate inhalation powder

The efficacy and safety of four doses of salmeterol xinafoate were evaluated in a double blind, 6-period crossover study compared with single dose fluticasone propionate MDPI and open label fluticasone propionate/salmeterol 100 mcg/50 mcg dry powder inhaler (DPI) as comparator in patients with persistent asthma. The trials were dose-ranging trials of the salmeterol component of Fluticasone Propionate/Salmeterol MDPI and not designed to provide comparative effectiveness data and should not be interpreted as evidence of superiority/inferiority to fluticasone propionate/salmeterol inhalation powder. The salmeterol doses studied were 6.8 mcg, 13.2 mcg, 26.8 mcg and 57.4 mcg in combination with fluticasone propionate 118 mcg delivered by MDPI (expressed as metered dose). The metered doses for salmeterol (6.8, 13.2, 26.8, 57.4 mcg) used in this study are slightly different from the metered doses for the comparator products (fluticasone/salmeterol inhalation powder) and the Phase 3 investigational products which are the basis of the proposed commercial labeled claim (55, 113, 232 mcg for fluticasone and 14 mcg for salmeterol). The phase 3 and commercial products were optimized to better match the strengths to the comparators. Plasma for pharmacokinetic characterization was obtained at each dosing period. Fluticasone propionate/salmeterol xinafoate MDPI 118 mcg/13.2 mcg had similar clinical efficacy with lower systemic exposure when compared to the 50 mcg of salmeterol in fluticasone propionate/salmeterol 100 mcg/50 mcg dry powder inhaler (Figure 2).

Figure 2: Mean Baseline Adjusted FEV1 (mL) over 12 Hours (FAS)a

FS MDPI = fluticasone propionate/salmeterol multidose dry powder inhaler; Fp MDPI = fluticasone propionate multidose dry powder inhaler; FS DPI = fluticasone propionate/salmeterol dry powder inhaler; FAS = full analysis set; FEV1 = forced expiratory volume in 1 second; aTrial was not designed to provide comparative effectiveness data and should not be interpreted as superiority/inferiority to fluticasone propionate/salmeterol inhalation powder.

5.10 Hypersensitivity Reactions, Including Anaphylaxis

Immediate hypersensitivity reactions (e.g., urticaria, angioedema, rash, bronchospasm, hypotension), including anaphylaxis, may occur after administration of Fluticasone Propionate/Salmeterol MDPI. There have been reports of anaphylactic reactions in patients with severe milk protein allergy after inhalation of other powder products containing lactose; therefore, patients with severe milk protein allergy should not use Fluticasone Propionate/Salmeterol MDPI [see Contraindications (4)].

5.11 Cardiovascular and Central Nervous System Effects

Excessive beta‑adrenergic stimulation has been associated with seizures, angina, hypertension or hypotension, tachycardia with rates up to 200 beats/min, arrhythmias, nervousness, headache, tremor, palpitation, nausea, dizziness, fatigue, malaise, and insomnia [see Overdosage ]. Therefore, Fluticasone Propionate/Salmeterol MDPI, like all products containing sympathomimetic amines, should be used with caution in patients with cardiovascular disorders, especially coronary insufficiency, cardiac arrhythmias, and hypertension.

Salmeterol, a component of Fluticasone Propionate/Salmeterol MDPI, can produce a clinically significant cardiovascular effect in some patients as measured by pulse rate, blood pressure, and/or symptoms. Although such effects are uncommon after administration of salmeterol at recommended doses, if they occur, the drug may need to be discontinued. In addition, beta‑agonists have been reported to produce electrocardiogram (ECG) changes, such as flattening of the T wave, prolongation of the QTc interval, and ST segment depression. The clinical significance of these findings is unknown. Large doses of inhaled or oral salmeterol (12 to 20 times the recommended dose) have been associated with clinically significant prolongation of the QTc interval, which has the potential for producing ventricular arrhythmias. Fatalities have been reported in association with excessive use of inhaled sympathomimetic drugs.

5.9 Paradoxical Bronchospasm and Upper Airway Symptoms

As with other inhaled medicines, Fluticasone Propionate/Salmeterol MDPI can produce paradoxical bronchospasm, which may be life‑threatening. If paradoxical bronchospasm occurs following dosing with inhaled fluticasone propionate/salmeterol medicines, it should be treated immediately with an inhaled, short-acting bronchodilator; inhaled fluticasone propionate/salmeterol medicines should be discontinued immediately; and alternative therapy should be instituted. Upper airway symptoms of laryngeal spasm, irritation, or swelling, such as stridor and choking, have been reported in patients receiving inhaled fluticasone propionate/salmeterol medicines.

5.15 Eosinophilic Conditions and Churg Strauss Syndrome

In rare cases, patients on inhaled fluticasone propionate, a component of Fluticasone Propionate/Salmeterol MDPI, may present with systemic eosinophilic conditions. Some of these patients have clinical features of vasculitis consistent with Churg‑Strauss syndrome, a condition that is often treated with systemic corticosteroid therapy. These events usually, but not always, have been associated with the reduction and/or withdrawal of oral corticosteroid therapy following the introduction of fluticasone propionate. Cases of serious eosinophilic conditions have also been reported with other inhaled corticosteroids in this clinical setting. Physicians should be alert to eosinophilia, vasculitic rash, worsening pulmonary symptoms, cardiac complications, and/or neuropathy presenting in their patients. A causal relationship between fluticasone propionate and these underlying conditions has not been established.

13.1 Carcinogenesis, Mutagenesis, Impairment of Fertility

Fluticasone propionate:

Fluticasone propionate demonstrated no tumorigenic potential in mice at oral doses up to 1000 mcg/kg (approximately 10 times the MRHDID for adults on a mcg/m2 basis) for 78 weeks or in rats at inhalation doses up to 57 mcg/kg (approximately equivalent to the MRHDID for adults on a mcg/m2 basis) for 104 weeks.

Fluticasone propionate did not induce gene mutation in prokaryotic or eukaryotic cells in vitro. No significant clastogenic effect was seen in cultured human peripheral lymphocytes in vitro or in the in vivo mouse micronucleus test.

Fertility and reproductive performance were unaffected in male and female rats at subcutaneous doses up to 50 mcg/kg (approximately equivalent to the MRHDID for adults on a mcg/m2 basis).

Salmeterol:

In an 18‑month carcinogenicity study in CD‑mice, salmeterol at oral doses of 1400 mcg/kg and above (approximately 240 times the MRHDID on a mcg/m2 basis) caused a dose‑related increase in the incidence of smooth muscle hyperplasia, cystic glandular hyperplasia, leiomyomas of the uterus, and ovarian cysts. No tumors were seen at 200 mcg/kg (approximately 35 times the MRHDID on a mcg/m2 basis).

In a 24 month oral and inhalation carcinogenicity study in Sprague Dawley rats, salmeterol caused a dose related increase in the incidence of mesovarian leiomyomas and ovarian cysts at doses of 680 mcg/kg and above (approximately 240 times the MRHDID on a mcg/m2 basis). No tumors were seen at 210 mcg/kg (approximately 75 times the MRHDID on a mcg/m2 basis). These findings in rodents are similar to those reported previously for other beta adrenergic agonist drugs. The relevance of these findings to human use is unknown.

Salmeterol produced no detectable or reproducible increases in microbial and mammalian gene mutation in vitro. No clastogenic activity occurred in vitro in human lymphocytes or in vivo in a rat micronucleus test.

Fertility and reproductive performance were unaffected in male and female rats at oral doses up to 2000 mcg/kg (approximately 690 times the MRHDID for adults on a mcg/m2 basis).

5.6 Transferring Patients From Systemic Corticosteroid Therapy

HPA Suppression/Adrenal Insufficiency

 Particular care is needed for patients who are transferred from systemically active corticosteroids to inhaled corticosteroids because deaths due to adrenal insufficiency have occurred in patients with asthma during and after transfer from systemic corticosteroids to less systemically available inhaled corticosteroids. After withdrawal from systemic corticosteroids, a number of months are required for recovery of hypothalamic‑pituitary‑adrenal (HPA) function.

Patients who have been previously maintained on 20 mg or more of prednisone (or its equivalent) may be most susceptible, particularly when their systemic corticosteroids have been almost completely withdrawn. During this period of HPA suppression, patients may exhibit signs and symptoms of adrenal insufficiency when exposed to trauma, surgery, or infection (particularly gastroenteritis) or other conditions associated with severe electrolyte loss. Although Fluticasone Propionate/Salmeterol MDPI may improve control of asthma symptoms during these episodes, in recommended doses it supplies less than normal physiological amounts of corticosteroid systemically and does NOT provide the mineralocorticoid activity that is necessary for coping with these emergencies.

During periods of stress or a severe asthmatic attack, patients who have been withdrawn from systemic corticosteroids should be instructed to resume oral corticosteroids (in large doses) immediately and to contact their physician for further instruction. These patients should also be instructed to carry a medical identification warning card indicating that they may need supplementary systemic corticosteroids during periods of stress or a severe asthma attack.

Patients requiring systemic corticosteroids should be weaned slowly from systemic corticosteroid use after transferring to Fluticasone Propionate/Salmeterol MDPI. Lung function (mean forced expiratory volume in 1 second [FEV1] or morning peak expiratory flow [AM PEF]), beta‑agonist use, and asthma symptoms should be carefully monitored during withdrawal of systemic corticosteroids. In addition to monitoring asthma signs and symptoms, patients should be observed for signs and symptoms of adrenal insufficiency, such as fatigue, lassitude, weakness, nausea and vomiting, and hypotension.

Unmasking of Allergic Conditions Previously Suppressed by Systemic Corticosteroids

Transfer of patients from systemic corticosteroid therapy to Fluticasone Propionate/Salmeterol MDPI may unmask allergic conditions previously suppressed by the systemic corticosteroid therapy (e.g., rhinitis, conjunctivitis, eczema, arthritis, eosinophilic conditions).

Corticosteroid Withdrawal Symptoms

During withdrawal from oral corticosteroids, some patients may experience symptoms of systemically active corticosteroid withdrawal (e.g., joint and/or muscular pain, lassitude, depression) despite maintenance or even improvement of respiratory function.

7.2 Monoamine Oxidase Inhibitors and Tricyclic Antidepressants

Fluticasone Propionate/Salmeterol MDPI should be administered with extreme caution to patients being treated with monoamine oxidase inhibitors or tricyclic antidepressants, or within 2 weeks of discontinuation of such agents, because the action of salmeterol, a component of this product, on the vascular system may be potentiated by these agents.

5.8 Drug Interactions With Strong Cytochrome P450 3a4 Inhibitors

The use of strong cytochrome P450 3A4 (CYP3A4) inhibitors (e.g., ritonavir, atazanavir, clarithromycin, indinavir, itraconazole, nefazodone, nelfinavir, saquinavir, ketoconazole, telithromycin) with Fluticasone Propionate/Salmeterol MDPI is not recommended because increased systemic corticosteroid and increased cardiovascular adverse effects may occur [see Drug Interactions (7.1) and Clinical Pharmacology (12.3)].

5.1 Serious Asthma Related Events – Hospitalizations, Intubations, Death

Use of LABA as monotherapy [without inhaled corticosteroids (ICS)] for asthma is associated with an increased risk of asthma-related death [see Salmeterol Multicenter Asthma Research Trial (SMART)]. Available data from controlled clinical trials also suggest that use of LABA as monotherapy increases the risk of asthma-related hospitalization in pediatric and adolescent patients. These findings are considered a class effect of LABA monotherapy. When LABA are used in fixed-dose combination with ICS, data from large clinical trials do not show a significant increase in the risk of serious asthma-related events (hospitalizations, intubations, death) compared with ICS alone [see Serious Asthma-Related Events with Inhaled Corticosteroid/Long-acting Beta2-adrenergic Agonists].

Serious Asthma-Related Events with Inhaled Corticosteroid/Long-acting Beta2-adrenergic Agonists

Four large, 26-week, randomized, blinded, active-controlled clinical safety trials were conducted to evaluate the risk of serious asthma-related events when LABA were used in fixed-dose combination with ICS compared with ICS alone in subjects with asthma. Three (3) trials included adult and adolescent subjects aged 12 years and older: 1 trial compared budesonide/formoterol to budesonide, 1 trial compared fluticasone propionate/salmeterol inhalation powder to fluticasone propionate inhalation powder, and 1 trial compared mometasone furoate/formoterol to mometasone furoate. The fourth trial included pediatric subjects aged 4 to 11 years and compared fluticasone propionate/salmeterol inhalation powder to fluticasone propionate inhalation powder. The primary safety endpoint for all 4 trials was serious asthma-related events (hospitalizations, intubations, death). A blinded adjudication committee determined whether events were asthma-related.

The 3 adult and adolescent trials were designed to rule out a risk margin of 2.0, and the pediatric trial was designed to rule out a risk margin of 2.7. Each individual trial met its pre-specified objective and demonstrated non-inferiority of ICS/LABA to ICS alone. A meta-analysis of the 3 adult and adolescent trials did not show a significant increase in risk of a serious asthma-related event with ICS/LABA fixed-dose combination compared with ICS alone (Table 1). These trials were not designed to rule out all risk for serious asthma-related events with ICS/LABA compared with ICS.

Table 1. Meta-analysis of Serious Asthma-Related Events in Subjects with Asthma Aged 12 Years and Older

ICS/LABA

(n =17,537)a
ICS

(n = 17,552)a
ICS/LABA vs. ICS

Hazard Ratio

(95% CI)b
 

Serious asthma-related eventc

 

116

 

105

 

1.10 (0.85, 1.44)

 

Asthma-related death

  2  

0

 
 Asthma-related intubation (endotracheal)  

1

 

2

 
 Asthma-related hospitalization (≥24-hour stay)  

115

 

105

 

ICS = Inhaled Corticosteroid; LABA = Long-acting Beta2-adrenergic Agonist.

a Randomized subjects who had taken at least 1 dose of study drug. Planned treatment used for analysis.

b Estimated using a Cox proportional hazards model for time to first event with baseline hazards stratified by each of the 3 trials.

c Number of subjects with events that occurred within 6 months after the first use of study drug or 7 days after the last date of study drug, whichever date was later. Subjects can have one or more events, but only the first event was counted for analysis.  A single, blinded, independent adjudication committee determined whether events were asthma related.  

The pediatric safety trial included 6,208 pediatric patients aged 4 to 11 years who received ICS/LABA (fluticasone propionate/salmeterol inhalation powder) or ICS (fluticasone propionate inhalation powder). In this trial 27/3,107 (0.9%) of patients treated with ICS/LABA and 21/3,101 (0.7%) of patients treated with ICS experienced a serious asthma‑related event. There were no asthma-related deaths or intubations. ICS/LABA did not show a significantly increased risk of a serious asthma-related event compared to ICS based on the prespecified risk margin (2.7), with an estimated hazard ratio of time to first event of 1.29 (95% CI: 0.73, 2.27).

Salmeterol Multicenter Asthma Research Trial (SMART)

A 28-week, placebo-controlled, U.S. trial that compared the safety of salmeterol with placebo, each added to usual asthma therapy, showed an increase in asthma-related deaths in subjects receiving salmeterol (13/13,176 in subjects treated with salmeterol versus 3/13,179 in subjects treated with placebo; relative risk: 4.37 [95% CI: 1.25, 15.34]). Use of background ICS was not required in SMART. The increased risk of asthma‑related death is considered a class effect of LABA monotherapy.

5.3 Avoid Excessive Use of Fluticasone Propionate/salmeterol and Avoid Use With Other Long Acting Beta2

Fluticasone Propionate/Salmeterol MDPI should not be used more often than recommended, at higher doses than recommended, or in conjunction with other medicines containing LABA, as an overdose may result. Clinically significant cardiovascular effects and fatalities have been reported in association with excessive use of inhaled sympathomimetic drugs. Patients using Fluticasone Propionate/Salmeterol MDPI should not use another medicine containing a LABA (e.g., salmeterol, formoterol fumarate, arformoterol tartrate, indacaterol) for any reason.


Structured Label Content

10 Overdosage (10 OVERDOSAGE)

This product contains both fluticasone propionate and salmeterol; therefore, the risks associated with overdosage for the individual components described below apply to Fluticasone Propionate/Salmeterol MDPI. Treatment of overdosage consists of discontinuation of Fluticasone Propionate/Salmeterol MDPI together with institution of appropriate symptomatic and/or supportive therapy. The judicious use of a cardioselective beta‑receptor blocker may be considered, bearing in mind that such medication can produce bronchospasm. Cardiac monitoring is recommended in cases of overdosage.

Fluticasone propionate

Chronic overdosage of fluticasone propionate may result in signs/symptoms of hypercorticism [see Warnings and Precautions (5.7)]

Salmeterol

 The expected signs and symptoms with overdosage of salmeterol are those of excessive beta‑adrenergic stimulation and/or occurrence or exaggeration of any of the signs and symptoms of beta‑adrenergic stimulation (e.g., seizures, angina, hypertension or hypotension, tachycardia with rates up to 200 beats/min, arrhythmias, nervousness, headache, tremor, muscle cramps, dry mouth, palpitation, nausea, dizziness, fatigue, malaise, insomnia, hyperglycemia, hypokalemia, metabolic acidosis). Overdosage with salmeterol can lead to clinically significant prolongation of the QTc interval, which can produce ventricular arrhythmias.

As with all inhaled sympathomimetic medicines, cardiac arrest and even death may be associated with an overdose of salmeterol.

8.1 Pregnancy

Risk Summary

There are no randomized clinical studies of fluticasone propionate/salmeterol MDPI or individual monoproducts, fluticasone propionate and salmeterol, in pregnant women. There are clinical considerations with the use of Fluticasone Propionate/Salmeterol MDPI in pregnant women [see Clinical Considerations]. Animal reproduction studies are available with the combination of fluticasone propionate and salmeterol as well as individual components. In animals, teratogenicity characteristic of corticosteroids, decreased fetal body weight and/or skeletal variations, in rats, mice, and rabbits were observed with subcutaneously administered maternal toxic doses of fluticasone propionate less than the maximum recommended human daily inhaled dose (MRHDID) on a mcg/m2 basis [see Data]. However, fluticasone propionate administered via inhalation to rats decreased fetal body weight, but did not induce teratogenicity at a maternal toxic dose less than the MRHDID on a mcg/m2 basis [see Data]. Experience with oral corticosteroids suggests that rodents are more prone to teratogenic effects from corticosteroids than humans. Oral administration of salmeterol to pregnant rabbits caused teratogenicity characteristic of beta-adrenoceptor stimulation at maternal doses approximately 700 times the MRHDID on a mcg/m2 basis. These adverse effects generally occurred at large multiples of the MRHDID when salmeterol was administered by the oral route to achieve high systemic exposures. No such effects occurred at an oral salmeterol dose approximately 420 times the MRHDID [see Data].

The estimated risk of major birth defects and miscarriage for the indicated population is unknown. In the U.S. general population, the estimated risk of major birth defects and miscarriage in clinically recognized pregnancies is 2% to 4% and 15% to 20%, respectively.

Clinical Considerations

Disease‑Associated Maternal and/or Embryo/Fetal Risk

In women with poorly or moderately controlled asthma, there is an increased risk of several perinatal adverse outcomes such as preeclampsia in the mother and prematurity, low birth weight, and small for gestational age in the neonate. Pregnant women with asthma should be closely monitored and medication adjusted as necessary to maintain optimal asthma control.

Data

Animal Data

Fluticasone Propionate and Salmeterol:  In an embryo/fetal development study with pregnant rats that received the combination of subcutaneous administration of fluticasone propionate and oral administration of salmeterol at doses of 0/1000, 30/0, 10/100, 30/1000, and 100/10,000 mcg/kg/day (as fluticasone propionate/salmeterol) during the period of organogenesis, findings were generally consistent with the individual monoproducts and there was no exacerbation of expected fetal effects. Omphalocele, increased embryo/fetal deaths, decreased body weight, and skeletal variations were observed in rat fetuses, in the presence of maternal toxicity, when combining fluticasone propionate at a dose approximately 2 times the MRHDID (on a mcg/m2 basis at a maternal subcutaneous dose of 100 mcg/kg/day) and a dose of salmeterol at approximately 3500 times the MRHDID (on a mcg/m2 basis at a maternal oral dose of 10,000 mcg/kg/day). The rat no observed adverse effect level (NOAEL) was observed when combining fluticasone propionate at a dose 0.6 times the MRHDID (on a mcg/m2 basis at a maternal subcutaneous dose of 30 mcg/kg/day) and a dose of salmeterol at approximately 350 times the MRHDID (on a mcg/m2 basis at a maternal oral dose of 1000 mcg/kg/day).

In an embryo/fetal development study with pregnant mice that received the combination of subcutaneous administration of fluticasone propionate and oral administration of salmeterol at doses of 0/1400, 40/0, 10/200, 40/1400, or 150/10,000 mcg/kg/day (as fluticasone propionate/salmeterol) during the period of organogenesis, findings were generally consistent with the individual monoproducts and there was no exacerbation of expected fetal effects. Cleft palate, fetal death, increased implantation loss, and delayed ossification were observed in mouse fetuses when combining fluticasone propionate at a dose approximately 1.4 times the MRHDID (on a mcg/m2 basis at a maternal subcutaneous dose of 150 mcg/kg/day) and salmeterol at a dose approximately 1470 times the MRHDID (on a mcg/m2 basis at a maternal oral dose of 10,000 mcg/kg/day). No developmental toxicity was observed at combination doses of fluticasone propionate up to approximately 0.8 times the MRHDID (on a mcg/m2 basis at a maternal subcutaneous dose of 40 mcg/kg) and doses of salmeterol up to approximately 420 times the MRHDID (on a mcg/m2 basis at a maternal oral dose of 1400 mcg/kg).

Fluticasone Propionate:  In embryo/fetal development studies with pregnant rats and mice dosed by the subcutaneous route throughout the period of organogenesis, fluticasone propionate was teratogenic in both species. Omphalocele, decreased body weight, and skeletal variations were observed in rat fetuses, in the presence of maternal toxicity, at a dose approximately 2 times the MRHDID (on a mcg/m2 basis with a maternal subcutaneous dose of 100 mcg/kg/day). The rat NOAEL was observed at approximately 0.6 times the MRHDID (on a mcg/m2 basis with a maternal subcutaneous dose of 30 mcg/kg/day). Cleft palate and fetal skeletal variations were observed in mouse fetuses at a dose approximately 0.5 times the MRHDID (on a mcg/m2 basis with a maternal subcutaneous dose of 45 mcg/kg/day). The mouse NOAEL was observed with a dose approximately 0.16 times the MRHDID (on a mcg/m2 basis with a maternal subcutaneous dose of 15 mcg/kg/day).

In an embryo/fetal development study with pregnant rats dosed by the inhalation route throughout the period of organogenesis, fluticasone propionate produced decreased fetal body weights and skeletal variations, in the presence of maternal toxicity, at a dose approximately 0.5 times the MRHDID (on a mcg/m2 basis with a maternal inhalation dose of 25.7 mcg/kg/day); however, there was no evidence of teratogenicity. The NOAEL was observed with a dose approximately 0.1 times the MRHDID (on a mcg/m2 basis with a maternal inhalation dose of 5.5 mcg/kg/day).

In an embryo/fetal development study in pregnant rabbits that were dosed by the subcutaneous route throughout organogenesis, fluticasone propionate produced reductions of fetal body weights, in the presence of maternal toxicity at doses approximately 0.02 times the MRHDID and higher (on a mcg/m2 basis with a maternal subcutaneous dose of 0.57 mcg/kg/day). Teratogenicity was evident based upon a finding of cleft palate for 1 fetus at a dose approximately 0.2 times the MRHDID (on a mcg/m2 basis with a maternal subcutaneous dose of 4 mcg/kg/day). The NOAEL was observed in rabbit fetuses with a dose approximately 0.004 times the MRHDID (on a mcg/m2 basis with a maternal subcutaneous dose of 0.08 mcg/kg/day).

In a pre- and post-natal development study in pregnant rats dosed by the subcutaneous route from late gestation through delivery and lactation (Gestation Day 17 to Postpartum Day 22), fluticasone propionate was not associated with decreases in pup body weight, and had no effects on developmental landmarks, learning, memory, reflexes, or fertility at doses up to approximate equivalence to the MRHDID (on a mcg/m2 basis with maternal subcutaneous doses up to 50 mcg/kg/day).

Fluticasone propionate crossed the placenta following subcutaneous administration to mice and rats and oral administration to rabbits.

Salmeterol: In three embryo/fetal development studies, pregnant rabbits received oral administration of salmeterol at doses ranging from 100 to 10,000 mcg/kg/day during the period of organogenesis. In pregnant Dutch rabbits administered salmeterol doses approximately 700 times the MRHDID (on a mcg/m2 basis at maternal oral doses of 1000 mcg/kg/day and higher), fetal toxic effects were observed characteristically resulting from beta‑adrenoceptor stimulation. These included precocious eyelid openings, cleft palate, sternebral fusion, limb and paw flexures, and delayed ossification of the frontal cranial bones. No such effects occurred at a salmeterol dose approximately 420 times the MRHDID (on a mcg/m2 basis at a maternal oral dose of 600 mcg/kg/day). New Zealand White rabbits were less sensitive since only delayed ossification of the frontal cranial bones was seen at a salmeterol dose approximately 7,000 times the MRHDID (on a mcg/m2 basis at a maternal oral dose of 10,000 mcg/kg/day).

In two embryo/fetal development studies, pregnant rats received salmeterol by oral administration at doses ranging from 100 to 10,000 mcg/kg/day during the period of organogenesis. Salmeterol produced no maternal toxicity or embryo/fetal effects at doses up to 3500 times the MRHDID (on a mcg/m2 basis at maternal oral doses up to 10,000 mcg/kg/day).

In a peri-and post-natal development study in pregnant rats dosed by the oral route from late gestation through delivery and lactation, salmeterol at a dose 3500 times the MRHDID (on mcg/m2 basis with a maternal oral dose of 10,000 mcg/kg/day) was fetotoxic and decreased the fertility of survivors.

Salmeterol xinafoate crossed the placenta following oral administration to mice and rats.

8.2 Lactation

Risk Summary

There are no available data on the presence of fluticasone propionate or salmeterol in human milk, the effects on the breastfed child, or the effects on milk production. Other corticosteroids have been detected in human milk. However, fluticasone propionate and salmeterol concentrations in plasma after inhaled therapeutic doses are low and therefore concentrations in human breast milk are likely to be correspondingly low [see Clinical Pharmacology (12.3)]. The developmental and health benefits of breastfeeding should be considered along with the mother’s clinical need for Fluticasone Propionate/Salmeterol MDPI and any potential adverse effects on the breastfed child from Fluticasone Propionate/Salmeterol MDPI or from the underlying maternal condition.

Data

Animal Data

Subcutaneous administration of tritiated fluticasone propionate at a dose in lactating rats approximately 0.2 times the MRHDID for adults (on a mcg/m2 basis) resulted in measurable levels in milk.  Oral administration of salmeterol at a dose in lactating rats approximately 2900 times the MRHDID for adults (on a mcg/m2 basis) resulted in measurable levels in milk.

11 Description (11 DESCRIPTION)

Fluticasone Propionate/Salmeterol MDPI 55 mcg/14 mcg, 113 mcg/14 mcg and 232 mcg/14 mcg are combinations of fluticasone propionate and salmeterol.

Fluticasone Propionate

One active component of this product is fluticasone propionate, a corticosteroid having the chemical name S-(fluoromethyl) 6α,9-difluoro-11ß,17-dihydroxy-16α-methyl-3-oxoandrosta-1,4-diene-17ß-carbothioate, 17-propionate, and the following chemical structure:

Fluticasone propionate is a white powder with a molecular weight of 500.6, and the empirical formula is C25H31F3O5S. It is practically insoluble in water, freely soluble in dimethyl sulfoxide and dimethylformamide, and slightly soluble in methanol and 95% ethanol.

Salmeterol Xinafoate

The other active component of this product is salmeterol xinafoate, a beta2–adrenergic bronchodilator. Salmeterol xinafoate is the racemic form of the 1‑hydroxy‑2‑naphthoic acid salt of salmeterol. It has the chemical name 4-hydroxy-α -[[[6-(4-phenylbutoxy)hexyl]amino]methyl]-1,3-benzenedimethanol, 1-hydroxy-2-naphthalenecarboxylate and the following chemical structure:

Salmeterol xinafoate is a white powder with a molecular weight of 603.8, and the empirical formula is C25H37NO4•C11H8O3. It is freely soluble in methanol; slightly soluble in ethanol, chloroform, and isopropanol; and sparingly soluble in water.

Fluticasone Propionate/Salmeterol MDPI

Fluticasone Propionate/Salmeterol MDPI is a multidose dry powder inhaler (MDPI) for oral inhalation only. It contains fluticasone propionate, salmeterol xinafoate, and lactose monohydrate (which may contain milk proteins). The opening of the mouthpiece cover meters 5.5 mg of the formulation from the device reservoir, which contains 55 mcg, 113 mcg, or 232 mcg of fluticasone propionate, and 14 mcg of salmeterol base (equivalent to 20.3 mcg of salmeterol xinafoate). Patient inhalation through the mouthpiece causes the deagglomeration and aerosolization of the drug particles as the formulation moves through the cyclone component of the device. This is followed by dispersion into the airstream.

Under standardized in vitro test conditions, the Fluticasone Propionate/Salmeterol MDPI delivers 49 mcg, 100 mcg, or 202 mcg of fluticasone propionate and 12.75 mcg of salmeterol base (equivalent to 18.5 mcg of salmeterol xinafoate), with lactose from the mouthpiece when tested at a flow rate of 85 L/min for 1.4 seconds.

The amount of drug delivered to the lung will depend on patient factors such as inspiratory flow profiles. In adult subjects (N=50, aged 18 to 45 years) with asthma, mean peak inspiratory flow (PIF) through the Fluticasone Propionate/Salmeterol MDPI  was 108.28 L/min (range: 70.37 to 129.24 L/min). In adolescent subjects (N=50, aged 12 to 17 years) with asthma, mean peak inspiratory flow (PIF) through the Fluticasone Propionate/Salmeterol MDPI was 106.72 L/min (range: 73.64 to 125.51 L/min).

2.4 Dose Counter

The Fluticasone Propionate/Salmeterol MDPI has a dose counter:

  • The number 60 is displayed (prior to use).

  • The dose counter will count down each time the mouthpiece is opened and closed [see Patient Counseling Information (17)].

8.4 Pediatric Use

The safety and effectiveness of Fluticasone Propionate/Salmeterol MDPI have been established for the treatment of asthma in pediatric patients aged 12 years and older whose asthma (1) is inadequately controlled on a long term asthma control medication or (2) warrants initiation of treatment with both an ICS and a LABA. 

Use of Fluticasone Propionate/Salmeterol MDPI in pediatric patients aged 12 to 17 years for this indication is supported by evidence from two adequate and well-controlled trials in pediatric patients 12 years old and older with persistent symptomatic asthma despite ICS or ICS/LABA therapy (Trials 1 and 2) [see Clinical Studies (14)]. In these trials, 58 adolescents received Fluticasone Propionate/Salmeterol MDPI one inhalation twice daily.

The safety and effectiveness of Fluticasone Propionate/Salmeterol MDPI have not been established in pediatric patients younger than 12 years of age for the treatment of asthma. Effectiveness was not demonstrated in one adequate and well-controlled study conducted in 211 patients aged 4 to 11 years with persistent asthma on a stable asthma regimen who were treated with Fluticasone Propionate/Salmeterol MDPI 55 mcg/14 mcg one inhalation twice daily.

Effect on Growth

Inhaled corticosteroids, including fluticasone propionate, a component of this product, may cause a reduction in growth velocity in adolescents [see Warning and Precautions (5.13)]. The growth of pediatric patients receiving ICS, including Fluticasone Propionate/Salmeterol MDPI, should be monitored.

If an adolescent on any corticosteroid appears to have growth suppression, the possibility that he/she is particularly sensitive to this effect of corticosteroids should be considered. In such patients, the potential growth effects of prolonged ICS treatment should be weighed against the clinical benefits obtained. To minimize the systemic effects of ICS, including Fluticasone Propionate/Salmeterol MDPI, each patient should be titrated to the lowest strength that effectively controls his/her asthma [see Dosage and Administration (2)].

8.5 Geriatric Use

No overall differences in safety or effectiveness were observed in data collected in 54 subjects aged 65 years and older versus younger subjects who were treated with Fluticasone Propionate/Salmeterol MDPI in placebo-controlled Phase 2 and 3 asthma studies.

14 Clinical Studies (14 CLINICAL STUDIES)

The safety and efficacy of Fluticasone Propionate/Salmeterol Multidose Dry Powder Inhaler (FS MDPI) were evaluated in 3004 patients with asthma.  The development program included 2 confirmatory trials of 12 weeks duration, a 26 week safety trial and three dose-ranging trials. The efficacy of Fluticasone Propionate/Salmeterol MDPI is based primarily on the dose-ranging trials and the confirmatory trials described below.

4 Contraindications (4 CONTRAINDICATIONS)

Fluticasone Propionate/Salmeterol MDPI is contraindicated in:

  • the primary treatment of status asthmaticus or other acute episodes of asthma where intensive measures are required [see Warnings and Precautions  (5.2)].
  • patients with known severe hypersensitivity to milk proteins or who have demonstrated hypersensitivity to fluticasone propionate or any of the excipients [see Warnings and Precautions (5.10) and Description (11)].
6 Adverse Reactions (6 ADVERSE REACTIONS)

The following clinically significant adverse reactions are described elsewhere in the labeling:

  • Serious asthma-related events – hospitalizations, intubations, death [see Warnings and Precautions (5.1)]
  • Oropharyngeal candidiasis [see Warnings and Precautions (5.4)]
  • Immunosuppression and risk of infections [see Warnings and Precautions (5.5)]
  • Hypercorticism and adrenal suppression [see Warnings and Precautions (5.7)]
  • Cardiovascular and central nervous system effects [see Warnings and Precautions (5.11)]
  • Reduction in bone mineral density [see Warnings and Precautions (5.12)]
  • Growth effects in pediatrics [see Warnings and Precautions (5.13)]
  • Glaucoma and cataracts [see Warnings and Precautions (5.14)]
7 Drug Interactions (7 DRUG INTERACTIONS)

Fluticasone Propionate/Salmeterol MDPI has been used concomitantly with other drugs, including short‑acting beta2‑agonists, and intranasal corticosteroids, commonly used in patients with asthma without adverse drug reactions [see Clinical Pharmacology (12.2)]. No formal drug interaction trials have been performed with Fluticasone Propionate/Salmeterol MDPI.

Patient Information (PATIENT INFORMATION)

PATIENT INFORMATION

Fluticasone Propionate and Salmeterol inhalation powder 55 mcg/14 mcg



Fluticasone Propionate and Salmeterol inhalation powder 113 mcg/14 mcg



Fluticasone Propionate and Salmeterol inhalation powder 232 mcg/14 mcg

for oral inhalation use

 

What is fluticasone propionate/salmeterol inhalation powder?

Fluticasone Propionate/salmeterol inhalation powder combines the inhaled corticosteroid (ICS) medicine fluticasone propionate and the LABA medicine salmeterol.

ICS medicines such as fluticasone propionate help to decrease inflammation in the lungs. Inflammation in the lungs can lead to breathing problems.

● LABA medicines such as salmeterol help the muscles around the airways in your lungs stay relaxed to prevent symptoms, such as wheezing, cough, chest tightness, and shortness of breath. These symptoms can happen when the muscles around the airways tighten. This makes it hard to breathe.

● Fluticasone Propionate/Salmeterol inhalation powder is a prescription medicine used to control symptoms of asthma and to prevent symptoms such as wheezing in people 12 years of age and older. 

● This product contains salmeterol. LABA medicines such as salmeterol when used alone increase the risk of hospitalizations and death from asthma problems. Fluticasone Propionate/Salmeterol inhalation powder contains an ICS and a LABA. When an ICS and LABA are used together, there is not a significant increased risk in hospitalizations and death from asthma problems.

● Fluticasone Propionate/Salmeterol inhalation powder is not for people 12 years of age and older with asthma who are well controlled with an asthma control medicine, such as a low or medium dose of an inhaled corticosteroid medicine. Fluticasone Propionate/Salmeterol inhalation powder is for people 12 years of age and older with asthma who need both an ICS and LABA medicine.

● Fluticasone Propionate/Salmeterol inhalation powder is not used to relieve sudden breathing problems and will not replace a rescue inhaler.

● It is not known if Fluticasone Propionate/Salmeterol inhalation powder is safe and effective in children younger than 12 years of age.

 

Do not use Fluticasone Propionate/Salmeterol inhalation powder:

to treat sudden, severe symptoms of asthma.

● if you have a severe allergy to milk proteins. Ask your healthcare provider if you are not sure.

● if you are allergic to fluticasone propionate or any of the inactive ingredients in Fluticasone Propionate/Salmeterol inhalation powder. See the end of this leaflet for a complete list of ingredients in this product.

 

Tell your healthcare provider about all of your medical conditions, including if you:

● have heart problems.

● have high blood pressure.

● have seizures.

● have thyroid problems.

● have diabetes.

● have liver problems.

● have weak bones (osteoporosis).

● have an immune system problem.

● have eye problems, such as glaucoma or cataracts.

● are allergic to milk proteins.

● have any type of viral, bacterial, fungal, or parasitic infection.

● are exposed to chickenpox or measles.

● are pregnant or plan to become pregnant. It is not known if Fluticasone Propionate/Salmeterol inhalation powder may harm your unborn baby.

● are breastfeeding. It is not known if the medicines in Fluticasone Propionate/Salmeterol inhalation powder pass into your breast milk and if they can harm your baby.

Tell your healthcare provider about all the medicines you take, including prescription and over-the-counter medicines, vitamins, and herbal supplements. Fluticasone Propionate/Salmeterol inhalation powder and certain other medicines may interact with each other. This may cause serious side effects. Especially, tell your healthcare provider if you take antifungal or anti-HIV medicines.

 

How should I use Fluticasone Propionate/Salmeterol inhalation powder?

Read the step-by-step instructions for using Fluticasone Propionate/Salmeterol inhalation powder at the end of this Patient Information leaflet.

  • Fluticasone Propionate/Salmeterol inhalation powder is for oral inhalation only.
  • Rinse your mouth with water without swallowing after each dose of Fluticasone Propionate/Salmeterol inhalation powder.
  • Fluticasone Propionate/Salmeterol inhalation powder comes in 3 different strengths. Your healthcare provider prescribed the strength that is best for you.
  • Use Fluticasone Propionate/Salmeterol inhalation powder exactly as your healthcare provider tells you to use it. Do not use Fluticasone Propionate/Salmeterol inhalation powder more often than prescribed.
  • Use 1 inhalation of Fluticasone Propionate/Salmeterol inhalation powder 2 times each day. Use Fluticasone Propionate/Salmeterol inhalation powder at the same time each day, about 12 hours apart. If you miss a dose of Fluticasone Propionate/Salmeterol inhalation powder, just skip that dose. Take your next dose at your usual time. Do not take 2 doses at one time.
  • Fluticasone Propionate/Salmeterol inhalation powder does not need priming. Do not use a spacer or volume holding chamber with Fluticasone Propionate/Salmeterol inhalation powder.
  • Do not open the cap on your Fluticasone Propionate/Salmeterol inhalation powder inhaler until you are ready for your dose because this will waste your medicine or may damage your inhaler.
  • If you take too much Fluticasone Propionate/Salmeterol inhalation powder, call your healthcare provider or go to the nearest hospital emergency room right away if you have any unusual symptoms, such as worsening shortness of breath, chest pain, increased heart rate, or shakiness.
  • Do not use other medicines that contain a LABA for any reason. Examples of other medicines that contain a LABA include salmeterol, formoterol fumarate, arformoterol tartrate, and indacaterol. Ask your healthcare provider or pharmacist if any of your other medicines are LABA medicines.
  • Do not stop using Fluticasone Propionate/Salmeterol inhalation powder unless told to do so by your healthcare provider because your symptoms might get worse. Your healthcare provider will change your medicines as needed.
  • Fluticasone Propionate/Salmeterol inhalation powder does not relieve sudden asthma symptoms. You should not take extra doses of Fluticasone Propionate/Salmeterol inhalation powder to relieve sudden asthma symptoms. Always have a rescue inhaler with you to treat sudden asthma symptoms. If you do not have a rescue inhaler, call your healthcare provider to have one prescribed for you.
  • Call your healthcare provider or get medical care right away if:
  • your breathing problems get worse.
  • you need to use your rescue inhaler more often than usual.
  • your rescue inhaler does not work as well to relieve your symptoms.
  • your peak flow meter results decrease. Your healthcare provider will tell you the numbers that are right for you.
  • you have asthma and your symptoms do not improve after using Fluticasone Propionate/Salmeterol inhalation powder regularly for one week.
 

What are the possible side effects with Fluticasone Propionate/Salmeterol inhalation powder?

Fluticasone Propionate/Salmeterol inhalation powder can cause serious side effects, including:

fungal infection in your mouth and throat (thrush). Rinse your mouth with water without swallowing after using Fluticasone Propionate/Salmeterol inhalation powder to help reduce your chance of getting thrush.

weakened immune system and increased chance of getting infections (immunosuppression).

reduced adrenal function (adrenal insufficiency). Adrenal insufficiency is a condition where the adrenal glands do not make enough steroid hormones. This can happen when you stop taking oral corticosteroid medicines (such as prednisone) and start taking a medicine containing an inhaled steroid (such as Fluticasone Propionate/Salmeterol inhalation powder). When your body is under stress such as from fever, trauma (such as a car accident), infection, or surgery, adrenal insufficiency can get worse and may cause death.

Symptoms of adrenal insufficiency include:

○ feeling tired ○ nausea and vomiting

○ lack of energy ○ low blood pressure

○ weakness

sudden breathing problems immediately after inhaling your medicine. If you have sudden breathing problems immediately after inhaling your medicine, stop using Fluticasone Propionate/Salmeterol inhalation powder and call your healthcare provider right away.

serious allergic reactions. Stop using Fluticasone Propionate/Salmeterol inhalation powder and call your healthcare provider or get emergency medical help if you get any of the following symptoms of a serious allergic reaction:

○ rash                          ○ swelling of your face, mouth, and tongue

○ hives                        ○ breathing problems

effects on heart.

○ increased blood pressure ○ chest pain

○ a fast or irregular heartbeat

effects on nervous system.

○ tremor ○ nervousness

bone thinning or weakness (osteoporosis).

slowed growth in children. The growth of a child should be checked often.

eye problems including glaucoma and cataracts. You should have regular eye exams while using Fluticasone Propionate/Salmeterol inhalation

   powder.

changes in laboratory blood values (sugar, potassium, certain types of white blood cells).

Common side effects of Fluticasone Propionate/Salmeterol inhalation powder in patients ages 12 years and older include:

● infection of nose and throat                                            ● back pain

● thrush in your mouth or throat. Rinse your mouth          ● headache

   with water without swallowing after use to help              ● cough

   prevent this.

These are not all the possible side effects of Fluticasone Propionate/Salmeterol inhalation powder.

Call your healthcare provider for medical advice about side effects. You may report side effects to FDA at 1-800-FDA-1088.

 How should I store Fluticasone Propionate/Salmeterol inhalation powder?

● Store Fluticasone Propionate/Salmeterol inhalation powder at room temperature between 59ºF and 77ºF (15ºC and 25ºC).

● Store Fluticasone Propionate/Salmeterol inhalation powder in a dry place. Avoid exposure to extreme heat, cold, or humidity.

● Store Fluticasone Propionate/Salmeterol inhalation powder in the unopened foil pouch and only open when ready for use.

● Do not take your Fluticasone Propionate/Salmeterol inhalation powder apart.

● Keep the yellow cap on the inhaler closed during storage.

● Keep your Fluticasone Propionate/Salmeterol inhalation powder inhaler dry and clean at all times.

● Throw away Fluticasone Propionate/Salmeterol inhalation powder inhaler 30 days after opening the foil pouch, when the dose counter displays ‘0’, or after the expiration date on the product, whichever comes first.

Keep Fluticasone Propionate/Salmeterol inhalation powder and all medicines out of the reach of children.

 General information about the safe and effective use of Fluticasone Propionate/Salmeterol inhalation powder.

Medicines are sometimes prescribed for purposes other than those listed in a Patient Information leaflet. Do not use Fluticasone Propionate/Salmeterol inhalation powder for a condition for which it was not prescribed. Do not give Fluticasone Propionate/Salmeterol inhalation powder to other people, even if they have the same symptoms that you have. It may harm them.

You can ask your healthcare provider or pharmacist for information about Fluticasone Propionate/Salmeterol inhalation powder that is written for health professionals.

 What are the ingredients in Fluticasone Propionate/Salmeterol inhalation powder?

Active ingredients: fluticasone propionate, salmeterol xinafoate

Inactive ingredient: lactose monohydrate (may contain milk proteins)

Distributed by:

Teva Pharmaceuticals USA, Inc.

Parsippany, NJ 07054

©2021 Teva Respiratory, LLC.  All rights reserved.

For more information about Fluticasone Propionate/Salmeterol inhalation powder, call 1-888-482-9522 or visit the reference branded product website at www.MYAIRDUO.com.        

This Patient Information leaflet has been approved by the U.S. Food and Drug Administration.

FPSPL-005

Revised: July 2021

8.7 Renal Impairment

Formal pharmacokinetic studies using Fluticasone Propionate/Salmeterol MDPI have not been conducted in patients with renal impairment.

Instructions for Use (INSTRUCTIONS FOR USE)

Instructions for Use

Fluticasone Propionate and Salmeterol inhalation powder 55 mcg/14 mcg

Fluticasone Propionate and Salmeterol inhalation powder 113 mcg/14 mcg

Fluticasone Propionate and Salmeterol inhalation powder 232 mcg/14 mcg

for oral inhalation use

 

Your Fluticasone Propionate/Salmeterol inhalation powder inhaler

When you are ready to use your inhaler for the first time, remove the inhaler from the foil pouch.

There are 2 main parts of your inhaler including the:

  • white inhaler with the mouthpiece. See Figure A.
  • yellow cap that covers the mouthpiece of the inhaler. See Figure A.

There is a dose counter in the back of the inhaler with a viewing window that shows you how many doses of medicine you have left. See Figure A.

Figure A

 

  • Your inhaler contains 60 doses (inhalations). See Figure B.
  • The dose counter shows the number of doses left in your inhaler.
  • When there are 20 doses left, the color of the numbers on the dose counter will change to red and you should refill your prescription or ask your healthcare provider for another prescription.
  • When the dose counter displays ‘0’ your inhaler is empty and you should stop using the inhaler and throw it away. See Figure B.

Figure B

Important:

  • Always close the cap after each inhalation so your inhaler will be ready for you to take your next dose. Do not open the cap unless you are ready for your next dose.
  • You will hear a “click” sound when the cap is opened all the way. If you do not hear the “click” sound the inhaler may not be activated to give you a dose of medicine.
  • This inhaler does not have an activation button or medicine canister. When you open the cap, a dose of Fluticasone Propionate/Salmeterol inhalation powder will be activated for delivery of the medicine.
  • Do not use a spacer or volume holding chamber with the inhaler. This inhaler does not need priming.

Using your Fluticasone Propionate/Salmeterol inhalation powder inhaler:

Important: Make sure the cap is closed before you start using your inhaler.

Step 1. Open

  • Hold the inhaler upright and open the yellow cap all the way until it “clicks”. See Figure C.
  • Each time you open the yellow cap and it “clicks”, 1 dose of Fluticasone Propionate/Salmeterol inhalation powder is ready to be inhaled.

 

Figure C

 

Remember:

  • For the correct use of your inhaler, hold it upright as you open the yellow cap. See Figure D.
  • Do not hold the inhaler in any other way as you open the yellow cap.
  • Do not open the yellow cap until you are ready to take a dose of Fluticasone Propionate/Salmeterol inhalation powder.



Figure D

 

Step 2. Inhale

  • Before you inhale, breathe out (exhale) through your mouth and push as much air from your lungs as you can. See Figure E.
  • Do not exhale into the inhaler mouthpiece.

Figure E

  • Put the mouthpiece in your mouth and close your lips tightly around it. See Figure F.

 

Figure F

  • Do not block the vent above the mouthpiece with your lips or fingers. See Figure G.

 

Figure G

 

  • Breathe in quickly and deeply through your mouth to deliver the dose of medicine to your lungs.
  • Remove the inhaler from your mouth.
  • Hold your breath for about 10 seconds or for as long as you comfortably can.
  • Your inhaler delivers your dose of medicine as a very fine powder that you may or may not taste or feel. Do not take an extra dose from the inhaler even if you do not taste or feel the medicine.

 

Step 3.  Close

Figure H

  • Close the yellow cap firmly over the mouthpiece. See Figure H.
  • Make sure you close the yellow cap after each inhalation so that the inhaler will be ready for your next dose.
  • Rinse your mouth with water without swallowing after each inhalation.

 

How should I store the Fluticasone Propionate/Salmeterol inhalation powder inhaler?

  • Store your inhaler at room temperature between 59ºF and 77ºF (15ºC and 25ºC).
  • Avoid exposure to extreme heat, cold, or humidity.
  • Store your inhaler in the unopened foil pouch and only open when ready for use.
  • Keep the yellow cap on the inhaler closed during storage.
  • Keep your inhaler dry and clean at all times.
  • Keep your inhaler and all medicines out of the reach of children.

 

Cleaning your Fluticasone Propionate/Salmeterol inhalation powder inhaler

  • Do not wash or put any part of your inhaler in water. Replace your inhaler if washed or placed in water.
  • Your inhaler contains a powder and must be kept clean and dry at all times.
  • You can clean the mouthpiece if needed using a dry cloth or tissue. Routine cleaning is not required.

 

Replacing your Fluticasone Propionate/Salmeterol inhalation powder inhaler

  • Immediately replace your inhaler if the mouthpiece cover is damaged or broken. Never take the inhaler apart.
  • The dose counter on the back of your inhaler shows how many doses you have left.
  • When there are 20 doses left, the color of the numbers on the dose counter will change to red and you should refill your prescription or ask your healthcare provider for another prescription.
  • When the counter displays ‘0’ your inhaler is empty and you should stop using the inhaler and throw it away.
  • Throw away your inhaler 30 days after opening the foil pouch, when the dose counter displays ‘0’, or after the expiration date on the product, whichever comes first.

 

Important information

  • Do not open the yellow cap unless you are taking a dose. Repeatedly opening and closing the cap without inhaling a dose will waste the medicine and may damage your inhaler.
  • Your inhaler contains dry powder so it is important that you do not blow or breathe into it.

 

Support

  • If you have any questions about your Fluticasone Propionate/Salmeterol inhalation powder inhaler or how to use your inhaler, go to the reference branded product website at www.MYAIRDUO.com, or call 1-888-482-9522.

These Instructions for Use have been approved by the U.S. Food and Drug Administration.

Distributed by:

Teva Pharmaceuticals USA, Inc.

Parsippany, NJ 07054

©2021 Teva Respiratory, LLC. All rights reserved.

FPSIFU-005

Revised: July 2021

12.2 Pharmacodynamics

Hypothalamic Pituitary Adrenal Axis Effects (HPA)

There are no HPA data from controlled trials of the Fluticasone Propionate/Salmeterol MDPI in healthy subjects or subjects with asthma.

Cardiovascular Effects and Effects on Potassium and Glucose

Fluticasone Propionate/Salmeterol MDPI in Healthy Subjects

There were no clinical trials conducted with Fluticasone Propionate/Salmeterol MDPI that assessed cardiovascular (CV) effects in healthy subjects.

Other Fluticasone Propionate and Salmeterol Dry Powder Inhaler (DPI)  Products in Healthy Subjects

Since systemic pharmacodynamic effects of salmeterol are not normally seen at the maximum approved salmeterol dosage, higher doses were used to produce measurable effects. Four trials were conducted with healthy adult subjects to assess CV effects:

  • Single‑dose crossover trial using 2 inhalations of  fluticasone propionate and salmeterol DPI (500 mcg/50 mcg) (two times the maximum approved salmeterol dosage for that DPI per dosing interval), fluticasone propionate DPI 500 mcg and salmeterol DPI 50 mcg given concurrently, or fluticasone propionate DPI 500 mcg given alone,

  • Cumulative dose trial using 50 to 400 mcg of salmeterol DPI (1 time to 8 times the maximum approved salmeterol dosage per dosing interval for that DPI, respectively) given alone, or fluticasone propionate and salmeterol DPI (500 mcg/50 mcg),

  • Repeat‑dose trial for 11 days using 2 inhalations twice daily of fluticasone propionate and salmeterol DPI (250 mcg/50 mcg) (two times the maximum approved salmeterol dosage for that DPI per dosing interval), fluticasone propionate DPI 250 mcg, or salmeterol DPI 50 mcg, and

  • Single-dose trial using 5 inhalations of fluticasone propionate and salmeterol DPI (100 mcg/50 mcg) (five times the maximum approved salmeterol dosage for that DPI per dosing interval), fluticasone propionate DPI 100 mcg alone, or placebo.

    In these trials, no significant differences were observed in the pharmacodynamic effects of salmeterol (pulse rate, blood pressure, QTc interval, potassium, and glucose) whether the salmeterol was given as fluticasone propionate and salmeterol DPI, concurrently with fluticasone propionate from separate inhalers, or as salmeterol alone. The systemic pharmacodynamic effects of salmeterol were not altered by the presence of fluticasone propionate in the fluticasone propionate and salmeterol DPI product.

    Other Salmeterol Products in Subjects with Asthma:

    Inhaled salmeterol, like other beta‑adrenergic agonist drugs, can produce dose‑related CV effects and effects on blood glucose and/or serum potassium [see Warnings and Precautions (5.115.17)]. The CV effects (heart rate, blood pressure) associated with salmeterol inhalation aerosol occurred with similar frequency, and are of similar type and severity, as those noted following albuterol administration.

    The effects of rising inhaled doses of salmeterol and standard inhaled doses of albuterol were studied in volunteers and in subjects with asthma. Salmeterol doses up to 84 mcg administered as inhalation aerosol resulted in heart rate increases of 3 to 16 beats/minute, about the same as albuterol dosed at 180 mcg by inhalation aerosol (4 to 10 beats/minute). Adult and adolescent subjects receiving 50 mcg doses of salmeterol MDPI (N=60) underwent continuous electrocardiographic monitoring during two 12‑hour periods after the first dose and after 1 month of therapy, and no clinically significant dysrhythmias were noted.

    Concomitant Use of Fluticasone Propionate/Salmeterol MDPI With Other Respiratory Medications:

    Short-Acting Beta2‑Agonists: In clinical trials in subjects with asthma, the mean daily need for albuterol by 166 adult and adolescent subjects aged 12 years and older using another fluticasone propionate/salmeterol DPI product was approximately 1.3 inhalations/day and ranged from 0 to 9 inhalations/day (0 to about 4.5 times the maximum approved salmeterol dosage for that DPI per dosing interval). Five percent (5%) of subjects using another fluticasone propionate/salmeterol DPI product in these trials averaged 6 or more inhalations per day (3 times the maximum approved salmeterol dosage for that DPI per dosing interval) over the course of the 12-week trials. No increase in frequency of CV adverse events was observed among subjects who averaged 6 or more inhalations per day.

Methylxanthines: In clinical trials in subjects with asthma, 39 subjects receiving another fluticasone propionate/salmeterol MDPI product, fluticasone propionate 100 mcg and salmeterol  50 mcg, fluticasone propionate 250 mcg and salmeterol 50 mcg, or fluticasone propionate  500 mcg and salmeterol 50 mcg twice daily concurrently with a theophylline product had adverse event rates similar to those in 304 subjects receiving another fluticasone propionate/salmeterol product without theophylline. Similar results were observed in subjects receiving salmeterol 50 mcg plus fluticasone propionate 500 mcg twice daily concurrently with a theophylline product (n = 39) or without theophylline (n = 132).

12.3 Pharmacokinetics

Absorption

Fluticasone Propionate:

Fluticasone Propionate/Salmeterol MDPI acts locally in the lung; therefore, plasma levels may not predict therapeutic effect. Trials using oral dosing of labeled and unlabeled drug have demonstrated that the oral systemic bioavailability of fluticasone propionate was negligible (<1%), primarily due to incomplete absorption and presystemic metabolism in the gut and liver. In contrast, the majority of the fluticasone propionate delivered to the lung was systemically absorbed.

After administration of 232 mcg/14 mcg Fluticasone Propionate/Salmeterol MDPI to patients aged 12 years and older with persistent asthma in a clinical trial, the mean Cmax value of fluticasone propionate was 66 pg/mL with a median tmax value of approximately 2 hours.

Salmeterol:

After administration of 232 mcg/14 mcg Fluticasone Propionate/Salmeterol MDPI to patients aged 12 years and older with persistent asthma, the mean Cmax values of salmeterol was 60 pg/mL. The median tmax was 5 minutes.

Distribution

Fluticasone Propionate:

Following intravenous administration, the initial disposition phase for fluticasone propionate was rapid and consistent with its high lipid solubility and tissue binding. The volume of distribution averaged 4.2 L/kg.

The percentage of fluticasone propionate bound to human plasma proteins averages 99%. Fluticasone propionate is weakly and reversibly bound to erythrocytes and is not significantly bound to human transcortin.

Salmeterol:

Volume of distribution data are not available for salmeterol.

The percentage of salmeterol bound to human plasma proteins averages 96% in vitro over the concentration range of 8 to 7,722 ng of salmeterol base per milliliter, much higher concentrations than those achieved following therapeutic doses of salmeterol.

Elimination

Fluticasone Propionate:

Following intravenous dosing, fluticasone propionate showed polyexponential kinetics and had a terminal elimination half-life of approximately 7.8 hours. Terminal half-life estimates of fluticasone propionate following oral inhalation administration of Fluticasone Propionate/Salmeterol MDPI were approximately 10.8 hours.

Metabolism

The total clearance of fluticasone propionate is high (average, 1,093 mL/minute), with renal clearance accounting for less than 0.02% of the total. The only circulating metabolite detected in humans is the 17β carboxylic acid derivative of fluticasone propionate, which is formed through the CYP3A4 pathway. This metabolite has less affinity (approximately 1/2,000) than the parent drug for the glucocorticoid receptor of human lung cytosol in vitro and negligible pharmacological activity in animal studies. Other metabolites detected in vitro using cultured human hepatoma cells have not been detected in humans.

Excretion

Less than 5% of a radiolabeled oral dose was excreted in the urine as metabolites, with the remainder excreted in the feces as parent drug and metabolites.

Salmeterol:

Terminal half-life estimates for salmeterol for Fluticasone Propionate/Salmeterol MDPI were approximately 12.6 hours.

The xinafoate moiety has no apparent pharmacologic activity. The xinafoate moiety is highly protein bound (greater than 99%) and has a long elimination half-life of 11 days.

Metabolism

Salmeterol base is extensively metabolized by hydroxylation.

An in vitro study using human liver microsomes showed that salmeterol is extensively metabolized to α hydroxysalmeterol (aliphatic oxidation) by CYP3A4. Ketoconazole, a strong inhibitor of CYP3A4, essentially completely inhibited the formation of α hydroxysalmeterol in vitro.

Excretion

In 2 healthy adult subjects who received 1 mg of radiolabeled salmeterol (as salmeterol xinafoate) orally, approximately 25% and 60% of the radiolabeled salmeterol was eliminated in urine and feces, respectively, over a period of 7 days.

Specific Populations

A population pharmacokinetic analysis was performed for fluticasone propionate and salmeterol utilizing data from 9 controlled clinical trials that included 350 subjects with asthma aged 4 to 77 years who received treatment with another fluticasone propionate and salmeterol MDPI product, the combination of HFA‑propelled fluticasone propionate and salmeterol inhalation aerosol, fluticasone propionate MDPI, HFA‑propelled fluticasone propionate inhalation aerosol, or CFC‑propelled fluticasone propionate inhalation aerosol. The population pharmacokinetic analyses for fluticasone propionate and salmeterol showed no clinically relevant effects of age, gender, race, body weight, body mass index, or percent of predicted FEV1 on apparent clearance and apparent volume of distribution. Fluticasone Propionate/Salmeterol MDPI is not approved in pediatric patients younger than 12 years.

Age:

 No pharmacokinetic studies have been performed with Fluticasone Propionate/Salmeterol MDPI in geriatric patients.

Adolescents Aged 12 to 17 Years:

 A subgroup analysis was conducted to compare patients aged 12 to 17 (n=15) and ≥18 (n=23) years following administration of 232 mcg/14 mcg Fluticasone Propionate/Salmeterol MDPI. No overall differences in fluticasone propionate and salmeterol pharmacokinetics were observed.  

Male and Female Patients: A subgroup analysis was conducted to compare male (n=21) and female (n=16) adolescent and adult patients following administration of 232 mcg/14 mcg Fluticasone Propionate/Salmeterol MDPI. No overall differences in fluticasone propionate and salmeterol pharmacokinetics were observed.

Patients with Renal Impairment: The effect of renal impairment of the pharmacokinetics of Fluticasone Propionate/Salmeterol MDPI has not been evaluated.

Patients with Hepatic Impairment: Formal pharmacokinetic studies using Fluticasone Propionate/Salmeterol MDPI have not been conducted in patients with hepatic impairment. However, since both fluticasone propionate and salmeterol are predominantly cleared by hepatic metabolism, impairment of liver function may lead to accumulation of fluticasone propionate and salmeterol in plasma [see Use in Specific Populations (8.6)].

Drug Interaction Studies

In a single-dose trial, the presence of salmeterol did not alter fluticasone propionate exposure.

No studies have been performed with Fluticasone Propionate/Salmeterol MDPI to investigate the effect of fluticasone propionate on salmeterol pharmacokinetics when given in combination.

Drug Interaction Studies with Another Fluticasone Propionate/Salmeterol MDPI Product:

The population pharmacokinetic analysis from 9 controlled clinical trials in 350 subjects with asthma showed no significant effects on fluticasone propionate or salmeterol pharmacokinetics following co-administration with beta2-agonists, corticosteroids, antihistamines, or theophyllines.

Strong CYP3A4 Inhibitors: Fluticasone propionate is a substrate of CYP3A4. Coadministration of fluticasone propionate and ritonavir, a strong CYP3A4 inhibitor, is not recommended based upon a multiple-dose, crossover drug interaction trial in 18 healthy subjects [see Drug Interactions (7.1)]. Plasma fluticasone propionate concentrations following fluticasone propionate aqueous nasal spray alone were undetectable (<10 pg/mL) in most subjects, and when concentrations were detectable, peak levels (Cmax) averaged 11.9 pg/mL (range: 10.8 to 14.1 pg/mL) and AUC0-τ averaged 8.43 pg•h/mL (range: 4.2 to 18.8 pg•h/mL). However, the fluticasone propionate Cmax and AUC0-τ increased to 318 pg/mL (range: 110 to 648 pg/mL) and 3,102.6 pg•h/mL (range: 1,207.1 to 5,662.0 pg•h/mL), respectively, after 7 days of coadministration of ritonavir (100 mg twice daily) with fluticasone propionate aqueous nasal spray (200 mcg once daily). This significant increase in plasma fluticasone propionate exposure resulted in a significant decrease (86%) in serum cortisol AUC.

Ketoconazole: In a placebo-controlled crossover trial in 8 healthy adult volunteers, coadministration of a single dose of orally inhaled fluticasone propionate (1,000 mcg) with multiple doses of ketoconazole (200 mg) to steady state resulted in increased plasma fluticasone propionate exposure, a reduction in plasma cortisol AUC, and no effect on urinary excretion of cortisol.

In a placebo-controlled, crossover drug interaction trial in 20 healthy male and female subjects, coadministration of salmeterol (50 mcg twice daily) and ketoconazole, a strong CYP3A4 inhibitor, (400 mg once daily) for 7 days resulted in a significant increase in plasma salmeterol exposure as determined by a 16-fold increase in AUC (ratio with and without ketoconazole 15.76 [90% CI: 10.66, 23.31]) mainly due to increased bioavailability of the swallowed portion of the dose. Peak plasma salmeterol concentrations were increased by 1.4-fold (90% CI: 1.23, 1.68). Three (3) out of 20 subjects (15%) were withdrawn from salmeterol and ketoconazole coadministration due to beta-agonist-mediated systemic effects (2 with QTc prolongation and 1 with palpitations and sinus tachycardia). Coadministration of salmeterol and ketoconazole did not result in a clinically significant effect on mean heart rate, mean blood potassium, or mean blood glucose. Although there was no statistical effect on the mean QTc, coadministration of salmeterol and ketoconazole was associated with more frequent increases in QTc duration compared with salmeterol administration alone and placebo administration.

Erythromycin:  In a multiple-dose drug interaction trial, coadministration of orally inhaled fluticasone propionate (500 mcg twice daily) and erythromycin (333 mg 3 times daily) did not affect fluticasone propionate pharmacokinetics.

In a repeat-dose trial in 13 healthy subjects, concomitant administration of erythromycin (a moderate CYP3A4 inhibitor) and salmeterol inhalation aerosol resulted in a 40% increase in salmeterol Cmax at steady state (ratio with and without erythromycin 1.4 [90% CI: 0.96, 2.03], P = 0.12), a 3.6-beat/min increase in heart rate ([95% CI: 0.19, 7.03], P<0.04), a 5.8-msec increase in QTc interval ([95% CI: -6.14, 17.77], P = 0.34), and no change in plasma potassium.

5.13 Effect On Growth (5.13 Effect on Growth)

Orally inhaled corticosteroids, including Fluticasone Propionate/Salmeterol MDPI, may cause a reduction in growth velocity when administered to pediatric patients. Monitor the growth of pediatric patients receiving Fluticasone Propionate/Salmeterol MDPI routinely (e.g., via stadiometry). To minimize the systemic effects of orally inhaled corticosteroids, including Fluticasone Propionate/Salmeterol MDPI, titrate each patient’s dosage to the lowest dosage that effectively controls his/her symptoms [see Dosage and Administration (2), Use in Specific Populations (8.4)].

2.2 Recommended Dosage

Administer 1 inhalation of Fluticasone Propionate/Salmeterol MDPI twice daily by oral inhalation (approximately 12 hours apart at the same time every day). Rinse the mouth with water without swallowing after each inhalation.

Dosage Selection

The recommended starting dosage for Fluticasone Propionate/Salmeterol MDPI is based on asthma severity and current inhaled corticosteroid use and strength.

  • Patients not taking inhaled corticosteroids (ICS) (with less severe asthma):
    • 1 inhalation of 55 mcg/14 mcg Fluticasone Propionate/Salmeterol MDPI dose strength (55 mcg of fluticasone propionate and 14 mcg of salmeterol), twice daily by oral inhalation.
  • Patients with greater asthma severity, use the higher dose strengths:
    • 1 inhalation of 113 mcg/14 mcg Fluticasone Propionate/Salmeterol MDPI (113 mcg of fluticasone propionate and 14 mcg of salmeterol) twice daily; or
    • 1 inhalation of 232 mcg/14 mcg Fluticasone Propionate/Salmeterol MDPI (232 mcg of fluticasone propionate and 14 mcg of salmeterol) twice daily
  • Patients switching to Fluticasone Propionate/Salmeterol MDPI from another inhaled corticosteroid or combination product:
    • 1 inhalation of low (55 mcg/14 mcg), medium (113 mcg/14 mcg) or high (232 mcg/14 mcg) Fluticasone Propionate/Salmeterol MDPI twice daily by oral inhalation based on the strength of the previous inhaled corticosteroid product, or the strength of the inhaled corticosteroid from a combination product, and disease severity.
  • The maximum recommended dosage of Fluticasone Propionate/Salmeterol MDPI is 232 mcg/14 mcg twice daily.

General Dosing Information

Improvement in asthma control following Fluticasone Propionate/Salmeterol MDPI administration can occur within 15 minutes of beginning treatment; although maximum benefit may not be achieved for 1 week or longer after starting treatment. Individual patients will experience a variable time to onset and degree of symptom relief. For patients who do not respond adequately to the starting dose of Fluticasone Propionate/Salmeterol MDPI after 2 weeks of therapy, consider increasing the strength (replace with higher strength) to possibly provide additional improvement in asthma control.

If a previously effective dosage regimen fails to provide adequate improvement in asthma control, re-evaluate the therapeutic regimen, including patient compliance and inhaler technique, and consider additional therapeutic options (e.g., increasing the dose of Fluticasone Propionate/Salmeterol MDPI with a higher strength, adding additional controller therapies).  After asthma stability has been achieved, it is desirable to titrate to the lowest effective dosage to reduce the risk of adverse reactions.

8.6 Hepatic Impairment

Formal pharmacokinetic studies using Fluticasone Propionate/Salmeterol MDPI have not been conducted in patients with hepatic impairment. However, since both fluticasone propionate and salmeterol are predominantly cleared by hepatic metabolism [see Clinical Pharmacology (12.3)], impairment of liver function may lead to accumulation of fluticasone propionate and salmeterol in plasma. Therefore, patients with hepatic impairment should be closely monitored.

1 Indications and Usage (1 INDICATIONS AND USAGE)

Fluticasone Propionate/Salmeterol Multidose Dry Powder Inhaler (FS MDPI) is indicated for the treatment of asthma in adult and pediatric patients aged 12 years and older. Fluticasone Propionate/Salmeterol MDPI should be used for patients not adequately controlled on a long term asthma control medication such as an inhaled corticosteroid or whose disease warrants initiation of treatment with both an inhaled corticosteroid and long acting beta2-adrenergic agonist (LABA).

Limitations of Use:

Fluticasone Propionate/Salmeterol MDPI is not indicated for the relief of acute bronchospasm.

12.1 Mechanism of Action

This product contains both fluticasone propionate and salmeterol. The mechanisms of action described below for the individual components apply to this combination product. These drugs represent 2 different classes of medications (a synthetic corticosteroid and a LABA) that have different effects on clinical, physiologic, and inflammatory indices.

Fluticasone Propionate: Fluticasone propionate is a synthetic trifluorinated corticosteroid with anti-inflammatory activity. Fluticasone propionate has been shown in vitro to exhibit a binding affinity for the human glucocorticoid receptor that is 18 times that of dexamethasone, almost twice that of beclomethasone-17-monopropionate (BMP), the active metabolite of beclomethasone dipropionate, and over 3 times that of budesonide. Data from the McKenzie vasoconstrictor assay in humans are consistent with these results. The clinical significance of these findings is unknown.

Inflammation is an important component in the pathogenesis of asthma. Corticosteroids have been shown to have a wide range of actions on multiple cell types (e.g., mast cells, eosinophils, neutrophils, macrophages, and lymphocytes) and mediators (e.g., histamine, eicosanoids, leukotrienes, and cytokines) involved in inflammation. These anti-inflammatory actions of corticosteroids contribute to their efficacy in the treatment of asthma.

Salmeterol: Salmeterol is a selective LABA. In vitro studies show salmeterol to be at least 50 times more selective for beta2‑adrenoceptors than albuterol. Although beta2‑adrenoceptors are the predominant adrenergic receptors in bronchial smooth muscle and beta1‑adrenoceptors are the predominant receptors in the heart, there are also beta2‑adrenoceptors in the human heart comprising 10% to 50% of the total beta‑adrenoceptors. The precise function of these receptors has not been established, but their presence raises the possibility that even selective beta2‑agonists may have cardiac effects.

The pharmacologic effects of beta2‑adrenoceptor agonist drugs, including salmeterol, are at least in part attributable to stimulation of intracellular adenyl cyclase, the enzyme that catalyzes the conversion of adenosine triphosphate (ATP) to cyclic-3′,5′-adenosine monophosphate (cyclic AMP). Increased cyclic AMP levels cause relaxation of bronchial smooth muscle and inhibition of release of mediators of immediate hypersensitivity from cells, especially from mast cells.

In vitro tests show that salmeterol is a potent and long‑lasting inhibitor of the release of mast cell mediators, such as histamine, leukotrienes, and prostaglandin D2, from human lung. Salmeterol inhibits histamine‑induced plasma protein extravasation and inhibits platelet‑activating factor‑induced eosinophil accumulation in the lungs of guinea pigs when administered by the inhaled route. In humans, single doses of salmeterol administered via inhalation aerosol attenuate allergen‑induced bronchial hyperresponsiveness.

5 Warnings and Precautions (5 WARNINGS AND PRECAUTIONS)
  • LABA monotherapy increases the risk of serious asthma-related events. (5.1)
  • Deterioration of asthma and acute episodes: Do not use for relief of acute symptoms. Patients require immediate re-evaluation during rapidly deteriorating asthma. (5.2)
  • Do not use in combination with an additional medicine containing LABA because of risk of overdose. (5.3)
  • Localized infections: Candida albicans infection of the mouth and pharynx may occur. Monitor patients periodically. Advise the patient to rinse his/her mouth with water without swallowing after inhalation to help reduce the risk. (5.4)
  • Immunosuppression: Potential worsening of existing tuberculosis, fungal, bacterial, viral, parasitic infection, or ocular herpes simplex. Use with caution in patients with these infections. More serious or even fatal course of chickenpox or measles can occur in susceptible patients. (5.5)
  • Transferring patients from systemic corticosteroids: Risk of impaired adrenal function when transferring from systemic corticosteroids. Taper patients slowly from systemic corticosteroids if transferring to Fluticasone Propionate/Salmeterol. (5.6)
  • Hypercorticism and adrenal suppression: May occur with very high dosages or at the regular dosage in susceptible individuals. If such changes occur, discontinue Fluticasone Propionate/Salmeterol slowly. (5.7)
  • Paradoxical bronchospasm: Discontinue Fluticasone Propionate/Salmeterol and institute alternative therapy if paradoxical bronchospasm occurs. (5.9)
  • Use with caution in patients with cardiovascular or central nervous system disorders because of beta adrenergic stimulation. (5.11)
  • Decreases in bone mineral density: Monitor patients with major risk factors for decreased bone mineral content. (5.12)
  • Monitor growth of pediatric patients. (5.13)
  • Close monitoring for glaucoma and cataracts is warranted. (5.14)
  • Be alert to eosinophilic conditions, hypokalemia, and hyperglycemia. (5.15, 5.17)
  • Use with caution in patients with convulsive disorders, thyrotoxicosis, diabetes mellitus, and ketoacidosis. (5.16)
5.16 Coexisting Conditions

Fluticasone Propionate/Salmeterol MDPI, like all medicines containing sympathomimetic amines, should be used with caution in patients with convulsive disorders or thyrotoxicosis and in those who are unusually responsive to sympathomimetic amines. Doses of the related beta2‑adrenoceptor agonist albuterol, when administered intravenously, have been reported to aggravate preexisting diabetes mellitus and ketoacidosis.

2 Dosage and Administration (2 DOSAGE AND ADMINISTRATION)

For oral inhalation only. (2.1)

  • Starting dosage is based on prior asthma therapy and disease severity. (2.2)
  • 1 inhalation of Fluticasone Propionate/Salmeterol 55 mcg/14 mcg, 113 mcg/14 mcg, or 232 mcg/14 mcg twice daily. (2.2)
  • Do not use with a spacer or volume holding chamber. (2.2)
5.14 Glaucoma and Cataracts

Glaucoma, increased intraocular pressure, and cataracts have been reported in patients following the long-term administration of inhaled corticosteroids, including fluticasone propionate, a component of Fluticasone Propionate/Salmeterol MDPI. Therefore, close monitoring is warranted in patients with a change in vision or with a history of increased intraocular pressure, glaucoma, and/or cataracts.

Effects of treatment with other fluticasone propionate and salmeterol inhalation powder 500 mcg/50 mcg, fluticasone propionate 500 mcg, salmeterol 50 mcg, or placebo on development of cataracts or glaucoma was evaluated in a subset of 658 subjects with COPD in the 3-year survival trial. Ophthalmic examinations were conducted at baseline and at 48, 108, and 158 weeks. Conclusions about cataracts cannot be drawn from this trial because the high incidence of cataracts at baseline (61% to 71%) resulted in an inadequate number of subjects treated with other fluticasone propionate and salmeterol inhalation powder 500 mcg/50 mcg who were eligible and available for evaluation of cataracts at the end of the trial (n = 53). The incidence of newly diagnosed glaucoma was 2% with other fluticasone propionate and salmeterol inhalation powder 500 mcg/50 mcg, 5% with fluticasone propionate, 0% with salmeterol, and 2% with placebo.

Package/label Display Panel (Package/Label Display Panel)

NDC 0093-3607-82

Fluticasone Propionate

and Salmeterol

Inhalation Powder

55 mcg / 14 mcg

FOR ORAL INHALATION ONLY

ATTENTION: Dispense with enclosed Medication

Guide.

With Dose Counter

Refer to enclosed Medication Guide and

Instructions for Use for detailed

information on product use and handling.

Rx only

60 METERED INHALATIONS

0.45 g NET CONTENTS

TEVA

 

3 Dosage Forms and Strengths (3 DOSAGE FORMS AND STRENGTHS)

Inhalation powder: an inhalation-driven, multidose, dry powder inhaler (MDPI) for oral inhalation that meters 55 mcg, 113 mcg, or 232 mcg of fluticasone propionate with 14 mcg of salmeterol from the device reservoir and delivers 49 mcg, 100 mcg, or 202 mcg of fluticasone propionate with 12.75 mcg of salmeterol, respectively, from the mouthpiece per actuation. The Fluticasone Propionate/Salmeterol MDPI is a white inhaler with a yellow cap, and is provided in a sealed foil pouch with desiccant [see How Supplied/Storage and Handling (16)].

6.2 Postmarketing Experience

In addition to adverse reactions reported from clinical trials, the following adverse reactions have been identified during post approval use of fluticasone propionate and/or salmeterol regardless of indication. Because these reactions are reported voluntarily from a population of uncertain size, it is not always possible to reliably estimate their frequency or establish a causal relationship to drug exposure. These events have been chosen for inclusion due to either their seriousness, frequency of reporting, or causal connection to fluticasone propionate and/or salmeterol or a combination of these factors.

Cardiac Disorders: Arrhythmias (including atrial fibrillation, extrasystoles, supraventricular tachycardia), ventricular tachycardia.

Endocrine Disorders: Cushing’s syndrome, Cushingoid features, growth velocity reduction in children/adolescents, hypercorticism.

Eye Disorders: Glaucoma, blurred vision and central serous chorioretinopathy.

Gastrointestinal Disorders: Abdominal pain, dyspepsia, xerostomia.

Immune System Disorders: Immediate and delayed hypersensitivity reaction (including very rare anaphylactic reaction). Very rare anaphylactic reaction in patients with severe milk protein allergy.

Infections and Infestations: Esophageal candidiasis.

Metabolic and Nutrition Disorders: Hyperglycemia, weight gain.

Musculoskeletal, Connective Tissue, and Bone Disorders: Arthralgia, cramps, myositis, osteoporosis.

Nervous System Disorders: Paresthesia, restlessness.

Psychiatric Disorders: Agitation, aggression, depression. Behavioral changes, including hyperactivity and irritability, have been reported very rarely and primarily in children.

Reproductive System and Breast Disorders: Dysmenorrhea.

Respiratory, Thoracic, and Mediastinal Disorders: Chest congestion; chest tightness, dyspnea; facial and oropharyngeal edema, immediate bronchospasm; paradoxical bronchospasm; tracheitis; wheezing; reports of upper respiratory symptoms of laryngeal spasm, irritation, or swelling such as stridor or choking.

Skin and Subcutaneous Tissue Disorders: Ecchymoses, photodermatitis.

Vascular Disorders: Pallor.

5.4 Oropharyngeal Candidiasis

In clinical trials, the development of localized infections of the mouth and pharynx with Candida albicans has occurred in subjects treated with Fluticasone Propionate/Salmeterol MDPI. When such an infection develops, it should be treated with appropriate local or systemic (i.e., oral) antifungal therapy while treatment with Fluticasone Propionate/Salmeterol MDPI continues, but at times therapy with Fluticasone Propionate/Salmeterol MDPI may need to be interrupted. Advise the patient to rinse his/her mouth with water without swallowing following inhalation to help reduce the risk of oropharyngeal candidiasis.

8 Use in Specific Populations (8 USE IN SPECIFIC POPULATIONS)

Hepatic impairment: Monitor for systemic corticosteroid effects. (8.6)

2.1 Administration Instructions
  • Fluticasone Propionate/Salmeterol MDPI is for oral inhalation and does not require priming.
  • Do not use Fluticasone Propionate/Salmeterol MDPI with a spacer or volume holding chamber.
  • Do not use more than two times every 24 hours. More frequent administration or a greater number of daily inhalations (more than one inhalation twice daily) is not recommended as some patients are more likely to experience adverse reactions with higher salmeterol dosages.
  • Avoid the concomitant use of other long acting beta2-adrenergic agonist (LABAs) [see Warnings and Precautions (5.3, 5.11)].
  • If asthma symptoms arise in the period between doses, an inhaled, short-acting beta2-agonist should be taken for immediate relief.
17 Patient Counseling Information (17 PATIENT COUNSELING INFORMATION)

Advise the patient to read the FDA-approved patient labeling (Patient Information and Instructions for Use).

Patients should be given the following information:

Serious Asthma Events

Inform patients with asthma that LABA when used alone increases the risk of asthma-related hospitalization and asthma-related death. Available data show that when ICS and LABA are used together, such as with Fluticasone Propionate/Salmeterol MDPI, there is not a significant increase in the risk of these events [see Warnings and Precautions (5.1)].

Not for Acute Symptoms

Inform patients that Fluticasone Propionate/Salmeterol MDPI is not meant to relieve acute asthma symptoms and extra doses should not be used for that purpose. Advise patients to treat acute asthma symptoms with an inhaled, short‑acting beta2‑agonist such as albuterol. Provide patients with such medication and instruct them in how it should be used [see Warnings and Precautions (5.2)].

Instruct patients to seek medical attention if they experience any of the following:

  • Decreasing effectiveness of inhaled, short‑acting beta2‑agonists

  • Need for more inhalations than usual of inhaled, short‑acting beta2‑agonists

  • Significant decrease in lung function as outlined by the physician

Tell patients they should not stop therapy with Fluticasone Propionate/Salmeterol without physician/provider guidance since symptoms may recur after discontinuation.

Avoid Use Additional Long-Acting Beta2‑Agonists

Instruct patients not to use other LABA for asthma [see Warnings and Precautions (5.3)].

Oropharyngeal Candidiasis

Inform patients that localized infections with Candida albicans occurred in the mouth and pharynx in some patients. If oropharyngeal candidiasis develops, treat it with appropriate local or systemic (i.e., oral) antifungal therapy while still continuing therapy with Fluticasone Propionate/Salmeterol MDPI, but at times therapy with Fluticasone Propionate/Salmeterol MDPI may need to be temporarily interrupted under close medical supervision. Rinsing the mouth with water without swallowing after inhalation is advised to help reduce the risk of thrush [see Warnings and Precautions (5.4)].

Immunosuppression and Infections

Warn patients who are on immunosuppressant doses of corticosteroids to avoid exposure to chickenpox or measles and, if exposed, to consult their physicians without delay. Inform patients of potential worsening of existing tuberculosis, fungal, bacterial, viral, or parasitic infections; or ocular herpes simplex [see Warnings and Precautions (5.5)].

Hypercorticism and Adrenal Suppression

Advise patients that Fluticasone Propionate/Salmeterol MDPI may cause systemic corticosteroid effects of hypercorticism and adrenal suppression. Additionally, inform patients that deaths due to adrenal insufficiency have occurred during and after transfer from systemic corticosteroids. Patients should taper slowly from systemic corticosteroids if transferring to Fluticasone Propionate/Salmeterol MDPI [see Warnings and Precautions (5.7)].

Immediate Hypersensitivity Reactions

Advise patients that immediate hypersensitivity reactions (e.g., urticaria, angioedema, rash, bronchospasm, hypotension), including anaphylaxis, may occur after administration of Fluticasone Propionate/Salmeterol MDPI. Patients should discontinue Fluticasone Propionate/Salmeterol MDPI if such reactions occur and contact their healthcare provider or get emergency medical help. There have been reports of anaphylactic reactions in patients with severe milk protein allergy after inhalation of powder products containing lactose; therefore, patients with severe milk protein allergy should not take Fluticasone Propionate/Salmeterol MDPI [see Warnings and Precautions (5.10)].

Reduction in Bone Mineral Density

Advise patients who are at an increased risk for decreased BMD that the use of corticosteroids may pose an additional risk [see Warnings and Precautions (5.12)].

Reduced Growth Velocity

Inform patients that orally inhaled corticosteroids, including fluticasone propionate, may cause a reduction in growth velocity when administered to adolescent patients. Physicians should closely follow the growth of adolescents taking corticosteroids by any route [see Warnings and Precautions (5.13)].

Ocular Effects

Long-term use of inhaled corticosteroids may increase the risk of some eye problems (cataracts or glaucoma); consider regular eye examinations [see Warnings and Precautions (5.14)].

Risks Associated with Beta‑Agonist Therapy

Inform patients of adverse effects associated with beta2‑agonists, such as palpitations, chest pain, rapid heart rate, tremor, or nervousness [see Warnings and Precautions (5.11)].

Pregnancy

Inform patients who are pregnant or nursing that they should contact their physician about the use of Fluticasone Propionate/Salmeterol MDPI [see Use in Specific Populations (8.1)].

Use Daily for Best Effect

Patients should use Fluticasone Propionate/Salmeterol MDPI at regular intervals as directed. The daily dosage of Fluticasone Propionate/Salmeterol MDPI should not exceed 1 inhalation twice a day. Advise patients, if they miss a dose, to take their next dose at the same time they normally do and to not take 2 doses at one time. Individual patients will experience a variable time to onset and degree of symptom relief and full benefit may not be achieved until treatment has been administered for 1 to 2 weeks or longer. Patients should not increase the prescribed dosage but should contact their physicians if symptoms do not improve or if the condition worsens. Instruct patients not to stop use of Fluticasone Propionate/Salmeterol MDPI abruptly. Patients should contact their physicians immediately if they discontinue use of Fluticasone Propionate/Salmeterol MDPI.

Dose Counter

Instruct patients that Fluticasone Propionate/Salmeterol MDPI has a dose counter that displays the number of actuations (inhalations) left in the inhaler.  When the patient receives a new inhaler, the number 60 will be displayed.  The dose counter will count down each time the mouthpiece is opened and closed.  When the dose counter reaches 20, the color of the numbers will change to red to remind the patient to contact their pharmacist or healthcare provider for a refill of their medication.  When the dose counter reaches 0, the patient should stop using the inhaler, and dispose of it in accordance with state and local regulations.

Caring for and Storing the Inhaler

Instruct patients to not open their inhaler unless they are taking a dose. Repeated opening and closing the cover without taking medication will waste medication and may damage the inhaler.

Advise patients to keep their inhaler dry and clean at all times. Never wash or put any part of the inhaler in water. Patient should replace inhaler if washed or placed in water. Advise patients to immediately replace inhaler if mouthpiece cover is damaged or broken.

Gently wipe the mouthpiece with a dry cloth or tissue as needed.

Instruct patients to store the inhaler at room temperature and to avoid exposure to extreme heat, cold, or humidity.

Instruct patients to never take the inhaler apart.

Inform patients to discard this product when the dose counter displays 0, 30 days after opening the foil pouch or after the expiration date on the product, whichever comes first.

Distributed by:

Teva Pharmaceuticals USA, Inc.

Parsippany, NJ 07054

©2021 Teva Respiratory,  LLC. All rights reserved.

United States Patent Nos. 6701917, 6718972, 6748947, 6871646, 7540282, 8006690, 8651103, 8714149, 8978966, 9066957, 9216260, 9415008, 9463288, 9616024, 9731087,  9987229, 10022510, 10124131, 10195375, 10561808, 10765820.

FPSPI-005

Revised: July 2021

5.17 Hypokalemia and Hyperglycemia

Beta‑adrenergic agonist medicines may produce significant hypokalemia in some patients, possibly through intracellular shunting, which has the potential to produce adverse cardiovascular effects [see Clinical Pharmacology (12.2)]. The decrease in serum potassium is usually transient, not requiring supplementation. Clinically significant changes in blood glucose and/or serum potassium were seen infrequently during clinical trials with Fluticasone Propionate/Salmeterol MDPI at recommended doses.

7.4 Non Potassium Sparing Diuretics (7.4 Non-Potassium-Sparing Diuretics)

The ECG changes and/or hypokalemia that may result from the administration of non–potassium‑sparing diuretics (such as loop or thiazide diuretics) can be acutely worsened by beta‑agonists, such as salmeterol, a component of this product, especially when the recommended dose of the beta‑agonist is exceeded. Although the clinical significance of these effects is not known, caution is advised in the coadministration of Fluticasone Propionate/Salmeterol MDPI with non-potassium‑sparing diuretics.

16 How Supplied/storage and Handling (16 HOW SUPPLIED/STORAGE AND HANDLING)

How Supplied

Fluticasone Propionate/Salmeterol MDPI inhalation powder:

  • a multidose, dry-powder inhaler (MDPI)
  • each inhaler is white, has a yellow cap and is packaged individually in a foil pouch with a dessicant, each pouch is packed in a carton
  • each inhaler contains 0.45 grams of the formulation and provides 60 actuations
  • available in 3 strengths
STRENGTH NDC CODE

Fluticasone Propionate/Salmeterol 55 mcg/14 mcg (low)

NDC 0093-3607-82

Fluticasone Propionate/Salmeterol 113 mcg/14 mcg (medium)

NDC 0093-3608-82

Fluticasone Propionate/Salmeterol 232 mcg/14 mcg (high)

NDC 0093-3609-82

Each Fluticasone Propionate/Salmeterol MDPI has a dose counter attached to the actuator. Patients should never try to alter the numbers for the dose counter. Discard the inhaler when the counter displays 0, 30 days after opening the foil pouch or after the expiration date on the product, whichever comes first. The labeled amount of medication in each actuation cannot be assured after the counter displays 0, even though the inhaler is not completely empty and will continue to operate [see Patient Counseling Information (17)].

Storage and Handling

Store at room temperature (between 15ºC and 25ºC; 59ºF and 77ºF) in a dry place; excursions permitted from 59º F to 86º F (15ºC to 30ºC). Avoid exposure to extreme heat, cold, or humidity.

Store Fluticasone Propionate/Salmeterol MDPI inside the unopened moisture‑protective foil pouch until initial use. Discard the product 30 days after opening the foil pouch or when the counter reads 0, whichever comes first. The inhaler is not reusable. Do not attempt to take the inhaler apart.

2.3 Storing and Cleaning the Inhaler
  • Keep the inhaler in a cool dry place.

  • Routine maintenance is not required. If the mouthpiece needs cleaning, gently wipe the mouthpiece with a dry cloth or tissue as needed.

  • Never wash or put any part of the inhaler in water.

7.1 Inhibitors of Cytochrome P450 3a4 (7.1 Inhibitors of Cytochrome P450 3A4)

Fluticasone propionate and salmeterol, the individual components of this product, are substrates of CYP3A4. The use of strong CYP3A4 inhibitors (e.g., ritonavir, atazanavir, clarithromycin, indinavir, itraconazole, nefazodone, nelfinavir, saquinavir, ketoconazole, telithromycin) with Fluticasone Propionate/Salmeterol MDPI is not recommended because increased systemic corticosteroid and increased cardiovascular adverse effects may occur.

Ritonavir: Fluticasone Propionate: A drug interaction trial with fluticasone propionate aqueous nasal spray in healthy subjects has shown that ritonavir (a strong CYP3A4 inhibitor) can significantly increase plasma fluticasone propionate exposure, resulting in significantly reduced serum cortisol concentrations [see Clinical Pharmacology (12.3)]. During postmarketing use, there have been reports of clinically significant drug interactions in patients receiving fluticasone propionate and ritonavir, resulting in systemic corticosteroid effects including Cushing’s syndrome and adrenal suppression.

Ketoconazole: Fluticasone Propionate: Coadministration of orally inhaled fluticasone propionate (1,000 mcg) and ketoconazole (200 mg once daily) resulted in a 1.9‑fold increase in plasma fluticasone propionate exposure and a 45% decrease in plasma cortisol area under the curve (AUC) but had no effect on urinary excretion of cortisol.

Salmeterol: In a drug interaction trial in 20 healthy subjects, coadministration of inhaled salmeterol (50 mcg twice daily) and oral ketoconazole (400 mg once daily) for 7 days resulted in greater systemic exposure to salmeterol (AUC increased 16‑fold and Cmax increased 1.4‑fold). Three (3) subjects were withdrawn due to beta2‑agonist side effects (2 with prolonged QTc and 1 with palpitations and sinus tachycardia). Although there was no statistical effect on the mean QTc, coadministration of salmeterol and ketoconazole was associated with more frequent increases in QTc duration compared with salmeterol and placebo administration [see Clinical Pharmacology (12.3)].

5.12 Reduction in Bone Mineral Density

Decreases in bone mineral density (BMD) have been observed with long‑term administration of products containing inhaled corticosteroids. The clinical significance of small changes in BMD with regard to long‑term consequences such as fracture is unknown. Patients with major risk factors for decreased bone mineral content, such as prolonged immobilization, family history of osteoporosis, or chronic use of drugs that can reduce bone mass (e.g., anticonvulsants, oral corticosteroids) should be monitored and treated with established standards of care.

14.2 Trials in The treatment of Asthma (14.2 Trials in the Treatment of Asthma)

Adult and Adolescent Patients Aged 12 Years and Older:

Two 12-week randomized, double-blind, placebo-controlled, parallel-group, global clinical trials (Trials 1 and 2) were conducted in 1375  adult and adolescent patients (aged 12 years and older, with baseline FEV1 40% to 85% of predicted normal) with asthma that was not optimally controlled on their current therapy. Patients were randomized to receive 1 inhalation twice a day of Fluticasone Propionate/Salmeterol MDPI, fluticasone propionate MDPI alone, or placebo.  Maintenance asthma therapies were discontinued at randomization.

Trial 1: In this trial, adolescents and adult patients with persistent symptomatic asthma despite low-dose or mid-dose inhaled corticosteroid (ICS) or ICS/LABA therapy were included.  After completing a run-in period where patients were treated with beclomethasone dipropionate inhalation aerosol 40 mcg twice daily and a single blind placebo MDPI, the patients who met the randomization criteria were randomized to 1 inhalation twice a day of the following treatments:

  • Placebo MDPI (n=130)

  • Fluticasone propionate MDPI 55 mcg (n=129)

  • Fluticasone propionate MDPI 113 mcg (n=130)

  • Fluticasone Propionate/Salmeterol MDPI 55 mcg/14 mcg (n=129), or

  • Fluticasone Propionate/Salmeterol MDPI 113 mcg/14 mcg (n=129)

    Baseline FEV1 measurements were similar across treatments: fluticasone propionate MDPI 55 mcg 2.132 L, fluticasone propionate MDPI 113 mcg 2.166 L, Fluticasone Propionate/Salmeterol MDPI 55 mcg/14 mcg 2.302 L, Fluticasone Propionate/Salmeterol MDPI 113 mcg/14 mcg 2.162 L, and placebo 2.188 L.

    The primary endpoints for this trial were the change from baseline in trough FEV1 at week 12 for all patients and standardized baseline-adjusted FEV1 AUEC0-12h at week 12 analyzed for a subset of 312 patients who performed postdose serial spirometry.

    Patients in both Fluticasone Propionate/Salmeterol MDPI treatment groups had significantly greater improvements in trough FEV1 compared with both Fluticasone Propionate MDPI treatment groups and the placebo group.

  • Fluticasone Propionate/Salmeterol MDPI 113 mcg/14 mcg: LS mean change of 0.315 L at 12 weeks

  • Fluticasone Propionate/Salmeterol MDPI 55 mcg/14 mcg: LS mean change of 0.319 L at 12 weeks

  • Fluticasone propionate MDPI 113 mcg: LS mean change of 0.204 L at 12 weeks

  • Fluticasone propionate MDPI 55 mcg: LS mean change of 0.172 L at 12 weeks

  • Placebo: LS mean change of 0.053 L at 12 weeks

    The estimated mean differences between:

  • Fluticasone Propionate/Salmeterol MDPI 55 mcg/14 mcg and Fluticasone Propionate/Salmeterol MDPI 113 mcg/14 mcg compared to placebo were 0.266 L (95% CI: 0.172, 0.360) and 0.262 L (95% CI: 0.168, 0.356), respectively.

  • Fluticasone propionate MDPI 55 mcg and fluticasone propionate MDPI 113 mcg compared to placebo were 0.119 L (95% CI: 0.025, 0.212) and 0.151 L (95% CI: 0.057, 0.244), respectively.

  • Fluticasone Propionate/Salmeterol MDPI 113 mcg/14 mcg and Fluticasone Propionate MDPI 113 mcg was 0.111 L (95% CI: 0.017, 0.206).

  • Fluticasone Propionate/Salmeterol MDPI 55 mcg/14 mcg and Fluticasone Propionate MDPI 55 mcg was 0.147 L (95% CI: 0.053, 0.242).

     In addition, the mean FEV1 results at each visit are displayed in Figure 3.

Figure 3: Mean Change from Baseline in Trough FEV1 at Each Visit by Treatment Group Trial 1 (FAS)

FAS = full analysis set; FEV1 = forced expiratory volume in 1 second; Placebo = placebo MDPI

Supportive evidence of efficacy for Fluticasone Propionate/Salmeterol MDPI compared with placebo was derived from secondary endpoints such as the weekly average of daily trough morning peak expiratory flow and total daily use of rescue medication. The Asthma Quality of Life Questionnaire (AQLQ) for patients age ≥ 18 years or the pediatric AQLQ (PAQLQ) for patients aged 12-17 were assessed in Trial 1. The responder rate for both measures was defined as an improvement in score of 0.5 or more as threshold. In Trial 1, the responder rate for patients receiving Fluticasone Propionate/Salmeterol MDPI 55 mcg/14 mcg and Fluticasone Propionate/Salmeterol MDPI 113 mcg/14 mcg was 51% and 57%, respectively, compared to 40% for patients receiving placebo, with an odds ratio of 1.53 (95% CI: 0.93, 2.55) and 2.04 (95% CI: 1.23, 3.41), respectively.

Improvements in lung function occurred within 15 minutes of the first dose (15 minutes postdose). Compared to placebo the difference in LS mean change from baseline in FEV1 for Fluticasone Propionate/Salmeterol MDPI 55 mcg/14 mcg and 113 mcg/14 mcg was 0.216 and 0.164 L, respectively (unadjusted p-value <0.0001 for both dosages compared with placebo). Refer to Figure 4 below. Maximum improvement in FEV1 generally occurred within 3 hours for Fluticasone Propionate/Salmeterol MDPI 55 mcg/14 mcg and within 6 hours for Fluticasone Propionate/Salmeterol MDPI 113 mcg/14 mcg and improvements were sustained over the 12 hours of testing at weeks 1 and 12 (Figure 4 and Figure 5). Following the initial dose, predose FEV1 relative to day 1 baseline improved markedly over the first week of treatment and the improvement was sustained over the 12 weeks of treatment in the trial. No diminution in the 12 hour bronchodilator effect was observed with either Fluticasone Propionate/Salmeterol MDPI dose as assessed by FEV1 following 12 weeks of therapy.

Figure 4: Serial Spirometry: Mean Change from Baseline in FEV1 (L) at Day 1 by Time Point and Treatment Group Trial 1 (FAS; Serial Spirometry Subset)

FAS = full analysis set; FEV1 = forced expiratory volume in 1 second; Placebo = placebo MDPI

Figure 5: Serial Spirometry: Mean Change from Baseline in FEV1 (L) at Week 12 by Time Point and Treatment Group Trial 1 (FAS; Serial Spirometry Subset)

FAS = full analysis set; FEV1 = forced expiratory volume in 1 second; Placebo = placebo MDPI

Trial 2: In this trial, adolescents and adult patients with persistent symptomatic asthma despite inhaled corticosteroid (ICS) or ICS/LABA therapy were included.  After completing a run-in period where patients were treated with single-blind Fluticasone Propionate MDPI 55 mcg twice daily replacing their current asthma therapy, patients who met the randomization criteria were randomized to 1 inhalation twice a day of the following treatments:

  • Placebo MDPI (n=145)

  • Fluticasone propionate MDPI 113 mcg (n=146)

  • Fluticasone propionate MDPI 232 mcg (n=146)

  • Fluticasone Propionate/Salmeterol MDPI 113 mcg/14 mcg (n=145)

  • Fluticasone Propionate/Salmeterol MDPI 232 mcg/14 mcg (n=146)

    Baseline FEV1 measurements were similar across treatments: fluticasone propionate MDPI 113 mcg 2.069 L, fluticasone propionate MDPI 232 mcg 2.075 L, Fluticasone Propionate/Salmeterol MDPI 113 mcg/14 mcg 2.157 L, Fluticasone Propionate/Salmeterol MDPI 232 mcg/14 mcg 2.083 L and placebo 2.141 L.

    The primary endpoints for this trial were the change from baseline in trough FEV1 at week 12 for all patients and standardized baseline-adjusted FEV1 AUEC0-12h at week 12 analyzed for a subset of 312 patients who performed postdose serial spirometry.

    Efficacy results in this trial were similar to those observed in Trial 1. Patients in both Fluticasone Propionate/Salmeterol MDPI groups had significantly greater improvements in trough FEV1 compared with the fluticasone propionate MDPI groups and the placebo group:

  • Fluticasone Propionate/Salmeterol MDPI 113 mcg/14 mcg: LS mean change of 0.271 L at 12 weeks

  • Fluticasone Propionate/Salmeterol MDPI 232 mcg/14 mcg: LS mean change of 0.272 L at 12 weeks

  • Fluticasone propionate MDPI 113 mcg: LS mean change of 0.119 L at 12 weeks

  • Fluticasone propionate MDPI 232 mcg: LS mean change of 0.179 L at 12 weeks, and

  • Placebo: LS mean change of -0.004 L at 12 weeks.

    Estimated mean differences between:

  • Fluticasone Propionate/Salmeterol MDPI 113 mcg/14 mcg and Fluticasone Propionate/Salmeterol MDPI 232 mcg/14 mcg compared to placebo were 0.274 L (95% CI: 0.189, 0.360) and 0.276 L (95% CI: 0.191, 0.361), respectively.

  • Fluticasone propionate MDPI 113 mcg and fluticasone propionate MDPI 232 mcg compared to placebo were 0.123 L (95% CI: 0.038, 0.208) and 0.183 L (95% CI: 0.098, 0.268), respectively.

  • Fluticasone Propionate/Salmeterol MDPI 232 mcg/14 mcg and fluticasone propionate MDPI 232 mcg was 0.093 L (95% CI: 0.009, 0.178).

  • Fluticasone Propionate/Salmeterol MDPI 113 mcg/14 mcg and fluticasone propionate MDPI 113 mcg was 0.152 L (95% CI: 0.066, 0.237).

    In addition, the mean FEV1 results at each visit are displayed in Figure 6.

Figure 6: Mean Change from Baseline in Trough FEV1 at Each Visit by Treatment Group Trial 2 (FAS)

FAS = full analysis set; FEV1 = forced expiratory volume in 1 second; Placebo = placebo MDPI

Supportive evidence of efficacy for Fluticasone Propionate/Salmeterol MDPI compared with placebo was derived from secondary endpoints such as the weekly average of daily trough morning peak expiratory flow and total daily use of rescue medication. There were fewer withdrawals due to worsening asthma in patients treated with Fluticasone Propionate/Salmeterol MDPI than with placebo. The AQLQ for patients age ≥ 18 years or the PAQLQ for patients aged 12-17 were assessed in Trial 2. The responder rate for both measures was defined as an improvement in score of 0.5 or more as threshold. In Trial 2, the responder rate for patients receiving Fluticasone Propionate/Salmeterol MDPI 113 mcg/14 mcg and Fluticasone Propionate/Salmeterol MDPI 232 mcg/14 mcg was 48% and 41%, respectively, compared to 27% for patients receiving placebo, with an odds ratio of 2.59 (95% CI: 1.56, 4.31) and 1.94 (95% CI: 1.16, 3.23), respectively.

Improvements in lung function occurred within 15 minutes of the first dose (15 minutes postdose). Compared with placebo, for Fluticasone Propionate/Salmeterol MDPI 113 mcg/14 mcg and 232 mcg/14 mcg the difference in LS mean change from baseline in FEV1 was 0.160 L and 0.187 L, respectively (unadjusted p-value <0.0001 for both doses compared with placebo). Maximum improvement in FEV1 generally occurred within 3 hours for both Fluticasone Propionate/Salmeterol MDPI dose groups, and improvements were sustained over the 12 hours of testing at weeks 1 and 12 (Figure 7 and Figure 8). Following the initial dose, predose FEV1 relative to day 1 baseline improved markedly over the first week of treatment and the improvement was sustained over the 12 weeks of treatment in the trial. No diminution in the 12 hour bronchodilator effect was observed with either Fluticasone Propionate/Salmeterol MDPI dose as assessed by FEV1 following 12 weeks of therapy.

Figure 7: Serial Spirometry: Mean Change from Baseline in FEV1 (L) at Day 1 by Time Point and Treatment Group Trial 2 (FAS; Serial Spirometry Subset)

FAS = full analysis set; FEV1 = forced expiratory volume in 1 second; Placebo = placebo MDPI

Figure 8: Serial Spirometry: Mean Change from Baseline in FEV1 (L) at Week 12 by Time Point and Treatment Group Trial 2 (FAS; Serial Spirometry Subset)

FAS = full analysis set; FEV1 = forced expiratory volume in 1 second; Placebo = placebo MDPI

6.1 Clinical Trials Experience in Asthma

Because clinical trials are conducted under widely varying conditions, adverse reaction rates observed in the clinical trials of a drug cannot be directly compared to rates in the clinical trials of another drug and may not reflect the rates observed in practice.

In two placebo-controlled, 12-week, clinical studies (Trials 1 and 2) [see Clinical Studies (14)], a total of 1,364 adolescent and adult patients with persistent symptomatic asthma despite ICS or ICS/LABA therapy were treated twice daily with either placebo; fluticasone propionate MDPI 55 mcg, 113 mcg, 232 mcg; or fluticasone propionate/salmeterol MDPI 55 mcg/14 mcg, 113 mcg/14 mcg, 232 mcg/14 mcg. Sixty percent of patients were female and 80% of patients were white. The average duration of exposure was 82 to 84 days in the fluticasone propionate MDPI and fluticasone propionate/salmeterol MDPI treatment groups compared with 75 days in the placebo group. Table 2 displays the incidence of most common adverse reactions in pooled Trials 1 and 2.

Table 2: Adverse Reactions with ≥3% Incidence with Fluticasone Propionate/Salmeterol MDPI, and More Common than Placebo in Subjects with Asthma (Trials 1 and 2)

Adverse Reaction Fluticasone Propionate MDPI 55 mcg(n=129)% Fluticasone Propionate MDPI 113 mcg(n=274)% Fluticasone Propionate MDPI 232 mcg(n=146)% Fluticasone Propionate /Salmeterol MDPI 55 mcg/14 mcg(n=128)% Fluticasone Propionate /Salmeterol MDPI 113 mcg/14 mcg(n=269)% Fluticasone Propionate /Salmeterol MDPI232 mcg/14 mcg (n=145)% Placebo(n=273)%

Nasopharyngitis

5.4

5.8

4.8

8.6

4.8

6.9

4.4

Oral candidiasis*

3.1

2.9

4.8

1.6

2.2

3.4

0.7

Headache

1.6

7.3

4.8

5.5

4.8

2.8

4.4

Cough

1.6

1.8

3.4

2.3

3.7

0.7

2.6

Back pain

0

1.5

1.4

3.1

0.7

0

1.8

*Oral candidiasis includes oropharyngeal candidiasis, oral fungal infection, and oropharyngitis fungal

Other adverse reactions not previously listed (and occurring in <3% of patients and in three or more patients on Fluticasone Propionate/Salmeterol MDPI) that were reported more frequently by patients with asthma treated with Fluticasone Propionate/Salmeterol MDPI compared with patients treated with placebo include the following:

Sinusitis, oropharyngeal pain, pharyngitis, dizziness, influenza, rhinitis allergic, respiratory tract infection, rhinitis, nasal congestion, abdominal pain upper, myalgia, pain in extremity, dyspepsia, laceration, dermatitis contact, and palpitations.

Long Term Safety Study: This was a 26-week, open labeled study of 674 patients previously treated with ICS who were treated twice daily with fluticasone propionate MDPI 113 mcg or 232 mcg; fluticasone propionate/salmeterol MDPI 113 mcg/14 mcg or 232 mcg/14 mcg; fluticasone propionate inhalation aerosol 110 mcg or 220 mcg; fluticasone propionate  and salmeterol inhalation powder (250 mcg/50 mcg), or fluticasone propionate and salmeterol inhalation powder (500 mcg/50 mcg). The types of adverse reactions were similar to those reported above in placebo controlled studies.

13.2 Animal Toxicology And/or Pharmacology (13.2 Animal Toxicology and/or Pharmacology)

Studies in laboratory animals (minipigs, rodents, and dogs) have demonstrated the occurrence of cardiac arrhythmias and sudden death (with histologic evidence of myocardial necrosis) when beta‑agonists and methylxanthines are administered concurrently. The clinical relevance of these findings is unknown.

5.7 Hypercorticism and Adrenal Suppression

Fluticasone propionate, a component of Fluticasone Propionate/Salmeterol MDPI, will often help control asthma symptoms with less suppression of HPA function than therapeutically equivalent oral doses of prednisone. Since fluticasone propionate is absorbed into the circulation and can be systemically active at higher doses, the beneficial effects of Fluticasone Propionate/Salmeterol MDPI in minimizing HPA dysfunction may be expected only when recommended dosages are not exceeded and individual patients are titrated to the lowest effective dose. A relationship between plasma levels of fluticasone propionate and inhibitory effects on stimulated cortisol production has been shown after 4 weeks of treatment with fluticasone propionate inhalation aerosol. Since individual sensitivity to effects on cortisol production exists, physicians should consider this information when prescribing Fluticasone Propionate/Salmeterol MDPI.

Because of the possibility of significant systemic absorption of inhaled corticosteroids, patients treated with Fluticasone Propionate/Salmeterol MDPI should be observed carefully for any evidence of systemic corticosteroid effects. Particular care should be taken in observing patients postoperatively or during periods of stress for evidence of inadequate adrenal response.

It is possible that systemic corticosteroid effects such as hypercorticism and adrenal suppression (including adrenal crisis) may appear in a small number of patients who are sensitive to these effects. If such effects occur, Fluticasone Propionate/Salmeterol MDPI should be reduced slowly, consistent with accepted procedures for reducing systemic corticosteroids, and for management of asthma symptoms.

5.5 Immunosuppression and Risk of Infections

Persons who are using drugs that suppress the immune system are more susceptible to infections than healthy individuals. Chickenpox and measles, for example, can have a more serious or even fatal course in susceptible adolescents or adults using corticosteroids. In such patients who have not had these diseases or who have not been properly immunized, particular care should be taken to avoid exposure. How the dose, route and duration of corticosteroid administration affect the risk of developing a disseminated infection is not known. The contribution of the underlying disease and/or prior corticosteroid treatment to the risk is also not known. If a patient is exposed to chickenpox, prophylaxis with varicella-zoster immune globulin (VZIG) or pooled intravenous immunoglobulin (IVIG) may be indicated. If a patient is exposed to measles, prophylaxis with pooled intramuscular immunoglobulin (IG) may be indicated. (See the respective package inserts for complete VZIG and IG prescribing information.) If chickenpox develops, treatment with antiviral agents may be considered.

Inhaled corticosteroids should be used with caution, if at all, in patients with active or quiescent tuberculosis infections of the respiratory tract; systemic fungal, bacterial, viral, or parasitic infections; or ocular herpes simplex.

7.3 Beta Adrenergic Receptor Blocking Agents (7.3 Beta-Adrenergic Receptor Blocking Agents)

Beta‑blockers not only block the pulmonary effect of beta‑agonists, such as salmeterol, a component of this product, but may also produce severe bronchospasm in patients with asthma. Therefore, patients with asthma should not normally be treated with beta‑blockers. However, under certain circumstances, there may be no acceptable alternatives to the use of beta‑adrenergic blocking agents for these patients; cardioselective beta‑blockers could be considered, although they should be administered with caution.

5.2 Deterioration of Disease and Acute Episodes

Fluticasone Propionate/Salmeterol MDPI should not be initiated in patients during rapidly deteriorating or potentially life‑threatening episodes of asthma. Fluticasone Propionate/Salmeterol MDPI has not been studied in subjects with acutely deteriorating asthma. The initiation of Fluticasone Propionate/Salmeterol MDPI in this setting is not appropriate.

Serious acute respiratory events, including fatalities, have been reported when salmeterol, a component of this product, has been initiated in patients with significantly worsening or acutely deteriorating asthma. In most cases, these have occurred in patients with severe asthma (e.g., patients with a history of corticosteroid dependence, low pulmonary function, intubation, mechanical ventilation, frequent hospitalizations, previous life‑threatening acute asthma exacerbations) and in some patients with acutely deteriorating asthma (e.g., patients with significantly increasing symptoms; increasing need for inhaled, short‑acting beta2‑agonists; decreasing response to usual medications; increasing need for systemic corticosteroids; recent emergency room visits; deteriorating lung function). However, these events have occurred in a few patients with less severe asthma as well. It was not possible from these reports to determine whether salmeterol contributed to these events.

Increasing use of inhaled, short‑acting beta2‑agonists is a marker of deteriorating asthma. In this situation, the patient requires immediate reevaluation with reassessment of the treatment regimen, giving special consideration to the possible need for replacing the current strength of Fluticasone Propionate/Salmeterol MDPI with a higher strength, adding additional inhaled corticosteroid, or initiating systemic corticosteroids. Patients should not use more than 1 inhalation twice daily of Fluticasone Propionate/Salmeterol MDPI.

Fluticasone Propionate/Salmeterol MDPI should not be used for the relief of acute symptoms, i.e., as rescue therapy for the treatment of acute episodes of bronchospasm. An inhaled, short‑acting beta2‑agonist, not Fluticasone Propionate/Salmeterol MDPI, should be used to relieve acute symptoms such as shortness of breath. When prescribing Fluticasone Propionate/Salmeterol MDPI, the healthcare provider should also prescribe an inhaled, short‑acting beta2-agonist (e.g., albuterol) for treatment of acute symptoms, despite regular twice‑daily use of Fluticasone Propionate/Salmeterol MDPI.

When beginning treatment with Fluticasone Propionate/Salmeterol MDPI, patients who have been taking oral or inhaled, short‑acting beta2‑agonists on a regular basis (e.g., 4 times a day) should be instructed to discontinue the regular use of these drugs.

14.1 Dose Ranging Studies in Patients With Asthma (14.1 Dose-Ranging Studies in Patients with Asthma)

Six doses of fluticasone propionate ranging from 16 mcg to 434 mcg (expressed as metered doses) administered twice daily via MDPI were evaluated in 2 randomized, double-blind, placebo-controlled 12 week trials in patients with asthma.

  • Trial 201 was conducted in patients whose asthma was uncontrolled at baseline and had been treated by short-acting beta2-agonist alone or in combination with non-corticosteroid asthma medication. Low dose inhaled corticosteroids (ICS)-treated patients may have been included after a minimum of 2 weeks washout. This trial contained an open-label active comparator fluticasone propionate inhalation powder 100 mcg administered twice daily.

  • Trial 202 was conducted in patients whose asthma was uncontrolled at baseline and had been treated with high dose ICS with or without a LABA. This study contained an open-label active comparator fluticasone propionate inhalation powder 250 mcg twice daily.

    The trials were dose-ranging trials of fluticasone propionate MDPI not designed to provide comparative effectiveness data and should not be interpreted as evidence of superiority/inferiority to fluticasone propionate inhalation powder. The metered doses for fluticasone MDPI (16, 28, 59, 118, 225, 434 mcg) used in Trial 201 and Trial 202 (see Figure 1) are slightly different from the metered doses for the comparator products (fluticasone inhalation powder) and the Phase 3 investigational products which are the basis of the proposed commercial labeled claim (55, 113, 232 mcg for fluticasone). The changes in doses between Phase 2 and 3 resulted from optimization of the manufacturing process.

Figure 1: Baseline Adjusted Least Square Mean Change in Trough Morning FEV1 (L) over 12 weeks (FAS)a

FAS = full analysis set; aTrials were not designed to provide comparative effectiveness data and should not be interpreted as superiority/inferiority to fluticasone propionate inhalation powder

The efficacy and safety of four doses of salmeterol xinafoate were evaluated in a double blind, 6-period crossover study compared with single dose fluticasone propionate MDPI and open label fluticasone propionate/salmeterol 100 mcg/50 mcg dry powder inhaler (DPI) as comparator in patients with persistent asthma. The trials were dose-ranging trials of the salmeterol component of Fluticasone Propionate/Salmeterol MDPI and not designed to provide comparative effectiveness data and should not be interpreted as evidence of superiority/inferiority to fluticasone propionate/salmeterol inhalation powder. The salmeterol doses studied were 6.8 mcg, 13.2 mcg, 26.8 mcg and 57.4 mcg in combination with fluticasone propionate 118 mcg delivered by MDPI (expressed as metered dose). The metered doses for salmeterol (6.8, 13.2, 26.8, 57.4 mcg) used in this study are slightly different from the metered doses for the comparator products (fluticasone/salmeterol inhalation powder) and the Phase 3 investigational products which are the basis of the proposed commercial labeled claim (55, 113, 232 mcg for fluticasone and 14 mcg for salmeterol). The phase 3 and commercial products were optimized to better match the strengths to the comparators. Plasma for pharmacokinetic characterization was obtained at each dosing period. Fluticasone propionate/salmeterol xinafoate MDPI 118 mcg/13.2 mcg had similar clinical efficacy with lower systemic exposure when compared to the 50 mcg of salmeterol in fluticasone propionate/salmeterol 100 mcg/50 mcg dry powder inhaler (Figure 2).

Figure 2: Mean Baseline Adjusted FEV1 (mL) over 12 Hours (FAS)a

FS MDPI = fluticasone propionate/salmeterol multidose dry powder inhaler; Fp MDPI = fluticasone propionate multidose dry powder inhaler; FS DPI = fluticasone propionate/salmeterol dry powder inhaler; FAS = full analysis set; FEV1 = forced expiratory volume in 1 second; aTrial was not designed to provide comparative effectiveness data and should not be interpreted as superiority/inferiority to fluticasone propionate/salmeterol inhalation powder.

5.10 Hypersensitivity Reactions, Including Anaphylaxis

Immediate hypersensitivity reactions (e.g., urticaria, angioedema, rash, bronchospasm, hypotension), including anaphylaxis, may occur after administration of Fluticasone Propionate/Salmeterol MDPI. There have been reports of anaphylactic reactions in patients with severe milk protein allergy after inhalation of other powder products containing lactose; therefore, patients with severe milk protein allergy should not use Fluticasone Propionate/Salmeterol MDPI [see Contraindications (4)].

5.11 Cardiovascular and Central Nervous System Effects

Excessive beta‑adrenergic stimulation has been associated with seizures, angina, hypertension or hypotension, tachycardia with rates up to 200 beats/min, arrhythmias, nervousness, headache, tremor, palpitation, nausea, dizziness, fatigue, malaise, and insomnia [see Overdosage ]. Therefore, Fluticasone Propionate/Salmeterol MDPI, like all products containing sympathomimetic amines, should be used with caution in patients with cardiovascular disorders, especially coronary insufficiency, cardiac arrhythmias, and hypertension.

Salmeterol, a component of Fluticasone Propionate/Salmeterol MDPI, can produce a clinically significant cardiovascular effect in some patients as measured by pulse rate, blood pressure, and/or symptoms. Although such effects are uncommon after administration of salmeterol at recommended doses, if they occur, the drug may need to be discontinued. In addition, beta‑agonists have been reported to produce electrocardiogram (ECG) changes, such as flattening of the T wave, prolongation of the QTc interval, and ST segment depression. The clinical significance of these findings is unknown. Large doses of inhaled or oral salmeterol (12 to 20 times the recommended dose) have been associated with clinically significant prolongation of the QTc interval, which has the potential for producing ventricular arrhythmias. Fatalities have been reported in association with excessive use of inhaled sympathomimetic drugs.

5.9 Paradoxical Bronchospasm and Upper Airway Symptoms

As with other inhaled medicines, Fluticasone Propionate/Salmeterol MDPI can produce paradoxical bronchospasm, which may be life‑threatening. If paradoxical bronchospasm occurs following dosing with inhaled fluticasone propionate/salmeterol medicines, it should be treated immediately with an inhaled, short-acting bronchodilator; inhaled fluticasone propionate/salmeterol medicines should be discontinued immediately; and alternative therapy should be instituted. Upper airway symptoms of laryngeal spasm, irritation, or swelling, such as stridor and choking, have been reported in patients receiving inhaled fluticasone propionate/salmeterol medicines.

5.15 Eosinophilic Conditions and Churg Strauss Syndrome (5.15 Eosinophilic Conditions and Churg-Strauss Syndrome)

In rare cases, patients on inhaled fluticasone propionate, a component of Fluticasone Propionate/Salmeterol MDPI, may present with systemic eosinophilic conditions. Some of these patients have clinical features of vasculitis consistent with Churg‑Strauss syndrome, a condition that is often treated with systemic corticosteroid therapy. These events usually, but not always, have been associated with the reduction and/or withdrawal of oral corticosteroid therapy following the introduction of fluticasone propionate. Cases of serious eosinophilic conditions have also been reported with other inhaled corticosteroids in this clinical setting. Physicians should be alert to eosinophilia, vasculitic rash, worsening pulmonary symptoms, cardiac complications, and/or neuropathy presenting in their patients. A causal relationship between fluticasone propionate and these underlying conditions has not been established.

13.1 Carcinogenesis, Mutagenesis, Impairment of Fertility

Fluticasone propionate:

Fluticasone propionate demonstrated no tumorigenic potential in mice at oral doses up to 1000 mcg/kg (approximately 10 times the MRHDID for adults on a mcg/m2 basis) for 78 weeks or in rats at inhalation doses up to 57 mcg/kg (approximately equivalent to the MRHDID for adults on a mcg/m2 basis) for 104 weeks.

Fluticasone propionate did not induce gene mutation in prokaryotic or eukaryotic cells in vitro. No significant clastogenic effect was seen in cultured human peripheral lymphocytes in vitro or in the in vivo mouse micronucleus test.

Fertility and reproductive performance were unaffected in male and female rats at subcutaneous doses up to 50 mcg/kg (approximately equivalent to the MRHDID for adults on a mcg/m2 basis).

Salmeterol:

In an 18‑month carcinogenicity study in CD‑mice, salmeterol at oral doses of 1400 mcg/kg and above (approximately 240 times the MRHDID on a mcg/m2 basis) caused a dose‑related increase in the incidence of smooth muscle hyperplasia, cystic glandular hyperplasia, leiomyomas of the uterus, and ovarian cysts. No tumors were seen at 200 mcg/kg (approximately 35 times the MRHDID on a mcg/m2 basis).

In a 24 month oral and inhalation carcinogenicity study in Sprague Dawley rats, salmeterol caused a dose related increase in the incidence of mesovarian leiomyomas and ovarian cysts at doses of 680 mcg/kg and above (approximately 240 times the MRHDID on a mcg/m2 basis). No tumors were seen at 210 mcg/kg (approximately 75 times the MRHDID on a mcg/m2 basis). These findings in rodents are similar to those reported previously for other beta adrenergic agonist drugs. The relevance of these findings to human use is unknown.

Salmeterol produced no detectable or reproducible increases in microbial and mammalian gene mutation in vitro. No clastogenic activity occurred in vitro in human lymphocytes or in vivo in a rat micronucleus test.

Fertility and reproductive performance were unaffected in male and female rats at oral doses up to 2000 mcg/kg (approximately 690 times the MRHDID for adults on a mcg/m2 basis).

5.6 Transferring Patients From Systemic Corticosteroid Therapy (5.6 Transferring Patients from Systemic Corticosteroid Therapy)

HPA Suppression/Adrenal Insufficiency

 Particular care is needed for patients who are transferred from systemically active corticosteroids to inhaled corticosteroids because deaths due to adrenal insufficiency have occurred in patients with asthma during and after transfer from systemic corticosteroids to less systemically available inhaled corticosteroids. After withdrawal from systemic corticosteroids, a number of months are required for recovery of hypothalamic‑pituitary‑adrenal (HPA) function.

Patients who have been previously maintained on 20 mg or more of prednisone (or its equivalent) may be most susceptible, particularly when their systemic corticosteroids have been almost completely withdrawn. During this period of HPA suppression, patients may exhibit signs and symptoms of adrenal insufficiency when exposed to trauma, surgery, or infection (particularly gastroenteritis) or other conditions associated with severe electrolyte loss. Although Fluticasone Propionate/Salmeterol MDPI may improve control of asthma symptoms during these episodes, in recommended doses it supplies less than normal physiological amounts of corticosteroid systemically and does NOT provide the mineralocorticoid activity that is necessary for coping with these emergencies.

During periods of stress or a severe asthmatic attack, patients who have been withdrawn from systemic corticosteroids should be instructed to resume oral corticosteroids (in large doses) immediately and to contact their physician for further instruction. These patients should also be instructed to carry a medical identification warning card indicating that they may need supplementary systemic corticosteroids during periods of stress or a severe asthma attack.

Patients requiring systemic corticosteroids should be weaned slowly from systemic corticosteroid use after transferring to Fluticasone Propionate/Salmeterol MDPI. Lung function (mean forced expiratory volume in 1 second [FEV1] or morning peak expiratory flow [AM PEF]), beta‑agonist use, and asthma symptoms should be carefully monitored during withdrawal of systemic corticosteroids. In addition to monitoring asthma signs and symptoms, patients should be observed for signs and symptoms of adrenal insufficiency, such as fatigue, lassitude, weakness, nausea and vomiting, and hypotension.

Unmasking of Allergic Conditions Previously Suppressed by Systemic Corticosteroids

Transfer of patients from systemic corticosteroid therapy to Fluticasone Propionate/Salmeterol MDPI may unmask allergic conditions previously suppressed by the systemic corticosteroid therapy (e.g., rhinitis, conjunctivitis, eczema, arthritis, eosinophilic conditions).

Corticosteroid Withdrawal Symptoms

During withdrawal from oral corticosteroids, some patients may experience symptoms of systemically active corticosteroid withdrawal (e.g., joint and/or muscular pain, lassitude, depression) despite maintenance or even improvement of respiratory function.

7.2 Monoamine Oxidase Inhibitors and Tricyclic Antidepressants

Fluticasone Propionate/Salmeterol MDPI should be administered with extreme caution to patients being treated with monoamine oxidase inhibitors or tricyclic antidepressants, or within 2 weeks of discontinuation of such agents, because the action of salmeterol, a component of this product, on the vascular system may be potentiated by these agents.

5.8 Drug Interactions With Strong Cytochrome P450 3a4 Inhibitors (5.8 Drug Interactions with Strong Cytochrome P450 3A4 Inhibitors)

The use of strong cytochrome P450 3A4 (CYP3A4) inhibitors (e.g., ritonavir, atazanavir, clarithromycin, indinavir, itraconazole, nefazodone, nelfinavir, saquinavir, ketoconazole, telithromycin) with Fluticasone Propionate/Salmeterol MDPI is not recommended because increased systemic corticosteroid and increased cardiovascular adverse effects may occur [see Drug Interactions (7.1) and Clinical Pharmacology (12.3)].

5.1 Serious Asthma Related Events – Hospitalizations, Intubations, Death (5.1 Serious Asthma-Related Events – Hospitalizations, Intubations, Death)

Use of LABA as monotherapy [without inhaled corticosteroids (ICS)] for asthma is associated with an increased risk of asthma-related death [see Salmeterol Multicenter Asthma Research Trial (SMART)]. Available data from controlled clinical trials also suggest that use of LABA as monotherapy increases the risk of asthma-related hospitalization in pediatric and adolescent patients. These findings are considered a class effect of LABA monotherapy. When LABA are used in fixed-dose combination with ICS, data from large clinical trials do not show a significant increase in the risk of serious asthma-related events (hospitalizations, intubations, death) compared with ICS alone [see Serious Asthma-Related Events with Inhaled Corticosteroid/Long-acting Beta2-adrenergic Agonists].

Serious Asthma-Related Events with Inhaled Corticosteroid/Long-acting Beta2-adrenergic Agonists

Four large, 26-week, randomized, blinded, active-controlled clinical safety trials were conducted to evaluate the risk of serious asthma-related events when LABA were used in fixed-dose combination with ICS compared with ICS alone in subjects with asthma. Three (3) trials included adult and adolescent subjects aged 12 years and older: 1 trial compared budesonide/formoterol to budesonide, 1 trial compared fluticasone propionate/salmeterol inhalation powder to fluticasone propionate inhalation powder, and 1 trial compared mometasone furoate/formoterol to mometasone furoate. The fourth trial included pediatric subjects aged 4 to 11 years and compared fluticasone propionate/salmeterol inhalation powder to fluticasone propionate inhalation powder. The primary safety endpoint for all 4 trials was serious asthma-related events (hospitalizations, intubations, death). A blinded adjudication committee determined whether events were asthma-related.

The 3 adult and adolescent trials were designed to rule out a risk margin of 2.0, and the pediatric trial was designed to rule out a risk margin of 2.7. Each individual trial met its pre-specified objective and demonstrated non-inferiority of ICS/LABA to ICS alone. A meta-analysis of the 3 adult and adolescent trials did not show a significant increase in risk of a serious asthma-related event with ICS/LABA fixed-dose combination compared with ICS alone (Table 1). These trials were not designed to rule out all risk for serious asthma-related events with ICS/LABA compared with ICS.

Table 1. Meta-analysis of Serious Asthma-Related Events in Subjects with Asthma Aged 12 Years and Older

ICS/LABA

(n =17,537)a
ICS

(n = 17,552)a
ICS/LABA vs. ICS

Hazard Ratio

(95% CI)b
 

Serious asthma-related eventc

 

116

 

105

 

1.10 (0.85, 1.44)

 

Asthma-related death

  2  

0

 
 Asthma-related intubation (endotracheal)  

1

 

2

 
 Asthma-related hospitalization (≥24-hour stay)  

115

 

105

 

ICS = Inhaled Corticosteroid; LABA = Long-acting Beta2-adrenergic Agonist.

a Randomized subjects who had taken at least 1 dose of study drug. Planned treatment used for analysis.

b Estimated using a Cox proportional hazards model for time to first event with baseline hazards stratified by each of the 3 trials.

c Number of subjects with events that occurred within 6 months after the first use of study drug or 7 days after the last date of study drug, whichever date was later. Subjects can have one or more events, but only the first event was counted for analysis.  A single, blinded, independent adjudication committee determined whether events were asthma related.  

The pediatric safety trial included 6,208 pediatric patients aged 4 to 11 years who received ICS/LABA (fluticasone propionate/salmeterol inhalation powder) or ICS (fluticasone propionate inhalation powder). In this trial 27/3,107 (0.9%) of patients treated with ICS/LABA and 21/3,101 (0.7%) of patients treated with ICS experienced a serious asthma‑related event. There were no asthma-related deaths or intubations. ICS/LABA did not show a significantly increased risk of a serious asthma-related event compared to ICS based on the prespecified risk margin (2.7), with an estimated hazard ratio of time to first event of 1.29 (95% CI: 0.73, 2.27).

Salmeterol Multicenter Asthma Research Trial (SMART)

A 28-week, placebo-controlled, U.S. trial that compared the safety of salmeterol with placebo, each added to usual asthma therapy, showed an increase in asthma-related deaths in subjects receiving salmeterol (13/13,176 in subjects treated with salmeterol versus 3/13,179 in subjects treated with placebo; relative risk: 4.37 [95% CI: 1.25, 15.34]). Use of background ICS was not required in SMART. The increased risk of asthma‑related death is considered a class effect of LABA monotherapy.

5.3 Avoid Excessive Use of Fluticasone Propionate/salmeterol and Avoid Use With Other Long Acting Beta2 (5.3 Avoid Excessive Use of Fluticasone Propionate/Salmeterol and Avoid Use with Other Long-Acting Beta2)

Fluticasone Propionate/Salmeterol MDPI should not be used more often than recommended, at higher doses than recommended, or in conjunction with other medicines containing LABA, as an overdose may result. Clinically significant cardiovascular effects and fatalities have been reported in association with excessive use of inhaled sympathomimetic drugs. Patients using Fluticasone Propionate/Salmeterol MDPI should not use another medicine containing a LABA (e.g., salmeterol, formoterol fumarate, arformoterol tartrate, indacaterol) for any reason.


Advanced Ingredient Data


Raw Label Data

All Sections (JSON)