butalbital and acetaminophen capsules, usp 50 mg/300 mg, ciii

butalbital and acetaminophen capsules, usp 50 mg/300 mg, ciii
SPL v1
SPL
SPL Set ID 42d808d6-d8d4-22f5-ac2f-0f0d1d71686a
Route
oral
Published
Effective Date 2019-07-01
Document Type 34391-3 HUMAN PRESCRIPTION DRUG LABEL

Drug Facts

Composition & Product

Active Ingredients
butalbital (50 mg) acetaminophen (300 mg)
Inactive Ingredients
croscarmellose sodium crospovidone cellulose, microcrystalline silicon dioxide stearic acid povidone, unspecified starch, corn gelatin titanium dioxide fd&c blue no. 1 fd&c red no. 3

Identifiers & Packaging

Marketing Status
anda active Since 2024-09-01

Indications and Usage

Butalbital and acetaminophen capsules are indicated for the relief of the symptom complex of tension (or muscle contraction) headache. Evidence supporting the efficacy and safety of this combination product in the treatment of multiple recurrent headaches is unavailable. Caution in this regard is required because butalbital is habit-forming and potentially abusable.

Dosage and Administration

One to two capsules every four hours. Total daily dosage should not exceed six capsules. Extended and repeated use of these products is not recommended because of the potential for physical dependence.

Contraindications

This product is contraindicated under the following conditions: Hypersensitivity or intolerance to any component of this product. Patients with porphyria.

Adverse Reactions

Frequently Observed The most frequently reported adverse reactions are drowsiness, lightheadedness, dizziness, sedation, shortness of breath, nausea, vomiting, abdominal pain, and intoxicated feeling. Infrequently Observed All adverse events tabulated below are classified as infrequent. Central Nervous : headache, shaky feeling, tingling, agitation, fainting, fatigue, heavy eyelids, high energy, hot spells, numbness, sluggishness, seizure. Mental confusion, excitement or depression can also occur due to intolerance, particularly in elderly or debilitated patients, or due to overdosage of butalbital. Autonomic Nervous : dry mouth, hyperhidrosis. Gastrointestinal : difficulty swallowing, heartburn, flatulence, constipation. Cardiovascular : tachycardia. Musculoskeletal : leg pain, muscle fatigue. Genitourinary : diuresis. Miscellaneous : pruritus, fever, earache, nasal congestion, tinnitus, euphoria, allergic reactions. Several cases of dermatological reactions, including toxic epidermal necrolysis and erythema multiforme, have been reported. The following adverse drug events may be borne in mind as potential effects of the components of this product. Potential effects of high dosage are listed in the OVERDOSAGE section. Acetaminophen : allergic reactions, rash, thrombocytopenia, agranulocytosis. To report SUSPECTED ADVERSE REACTIONS, contact Dr. Reddy’s Laboratories, Inc. at 1-888-375-3784 or FDA at 1-800-FDA-1088 or www.fda.gov/medwatch

Drug Interactions

The CNS effects of butalbital may be enhanced by monoamine oxidase (MAO) inhibitors. Butalbital and acetaminophen may enhance the effects of: other narcotic analgesics, alcohol, general anesthetics, tranquilizers such as chlordiazepoxide, sedative-hypnotics, or other CNS depressants, causing increased CNS depression.

How Supplied

Each butalbital and acetaminophen capsule contains butalbital 50 mg (Warning: May be habit-forming) and acetaminophen 300 mg. It is available in bottles of 100 capsules, NDC 75907-008-01. Capsules are opaque purple, imprinted “544” in white on the cap and the body. Store at 20°C to 25°C (68° to 77°F) [see USP Controlled Room Temperature]. Dispense in a tight container as defined in the USP. Rx Only Distributed by: Dr. Reddy’s Laboratories Inc. Princeton, NJ 08540 Code 1244A00 Rev. 07/2024

Description

Acetaminophen has been associated with cases of acute liver failure, at times resulting in liver transplant and death. Most of the cases of liver injury are associated with the use of acetaminophen at doses that exceed 4000 milligrams per day, and often involve more than one acetaminophen containing product.


Medication Information

Warnings

Butalbital is habit-forming and potentially abusable. Consequently, the extended use of this product is not recommended.

Indications and Usage

Butalbital and acetaminophen capsules are indicated for the relief of the symptom complex of tension (or muscle contraction) headache.

Evidence supporting the efficacy and safety of this combination product in the treatment of multiple recurrent headaches is unavailable. Caution in this regard is required because butalbital is habit-forming and potentially abusable.

Dosage and Administration

One to two capsules every four hours. Total daily dosage should not exceed six capsules.

Extended and repeated use of these products is not recommended because of the potential for physical dependence.

Contraindications

This product is contraindicated under the following conditions:

  • Hypersensitivity or intolerance to any component of this product.
  • Patients with porphyria.
Adverse Reactions

Frequently Observed

The most frequently reported adverse reactions are drowsiness, lightheadedness, dizziness, sedation, shortness of breath, nausea, vomiting, abdominal pain, and intoxicated feeling.

Infrequently Observed

All adverse events tabulated below are classified as infrequent.

Central Nervous: headache, shaky feeling, tingling, agitation, fainting, fatigue, heavy eyelids, high energy, hot spells, numbness, sluggishness, seizure. Mental confusion, excitement or depression can also occur due to intolerance, particularly in elderly or debilitated patients, or due to overdosage of butalbital.

Autonomic Nervous: dry mouth, hyperhidrosis.

Gastrointestinal: difficulty swallowing, heartburn, flatulence, constipation.

Cardiovascular: tachycardia.

Musculoskeletal: leg pain, muscle fatigue.

Genitourinary: diuresis.

Miscellaneous: pruritus, fever, earache, nasal congestion, tinnitus, euphoria, allergic reactions.

Several cases of dermatological reactions, including toxic epidermal necrolysis and erythema multiforme, have been reported.

The following adverse drug events may be borne in mind as potential effects of the components of this product. Potential effects of high dosage are listed in the OVERDOSAGE section.

Acetaminophen: allergic reactions, rash, thrombocytopenia, agranulocytosis.

To report SUSPECTED ADVERSE REACTIONS, contact Dr. Reddy’s Laboratories, Inc. at 1-888-375-3784 or FDA at 1-800-FDA-1088 or www.fda.gov/medwatch

Drug Interactions

The CNS effects of butalbital may be enhanced by monoamine oxidase (MAO) inhibitors.

Butalbital and acetaminophen may enhance the effects of: other narcotic analgesics, alcohol, general anesthetics, tranquilizers such as chlordiazepoxide, sedative-hypnotics, or other CNS depressants, causing increased CNS depression.

How Supplied

Each butalbital and acetaminophen capsule contains butalbital 50 mg (Warning: May be habit-forming) and acetaminophen 300 mg. It is available in bottles of 100 capsules, NDC 75907-008-01. Capsules are opaque purple, imprinted “544” in white on the cap and the body.

Store at 20°C to 25°C (68° to 77°F) [see USP Controlled Room Temperature].

Dispense in a tight container as defined in the USP.

Rx Only

Distributed by:

Dr. Reddy’s Laboratories Inc.

Princeton, NJ 08540

Code 1244A00

Rev. 07/2024

Description

Each capsule for oral administration contains butalbital USP, 50 mg and acetaminophen USP, 300 mg.

In addition, each capsule also contains the following inactive ingredients: croscarmellose sodium, crospovidone, silicified microcrystalline cellulose, silicon dioxide, stearic acid, povidone, and pregelatanized starch. Capsule shells are composed of gelatin, titanium dioxide, FD&C Blue #1 and FD&C Red #3, with white edible ink.

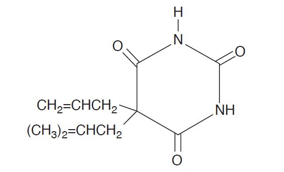
Butalbital (5-allyl-5-isobutylbarbituric acid), a slightly bitter, white, odorless, crystalline powder, is a short to intermediate-acting barbiturate. It has the following structural formula:

C 11H 16N 2O 3

MW 224.26

Acetaminophen (4'-hydroxyacetanilide), a slightly bitter, white, odorless, crystalline powder, is a non-opiate, non-salicylate analgesic and antipyretic. It has the following structural formula:

C 8H 9NO 2

MW 151.16

General

Butalbital and acetaminophen capsules should be prescribed with caution in certain special-risk patients, such as the elderly or debilitated, and those with severe impairment of renal or hepatic function, or acute abdominal conditions.

Pregnancy

Teratogenic Effects

Animal reproduction studies have not been conducted with this combination product. It is also not known whether butalbital and acetaminophen can cause fetal harm when administered to a pregnant woman or can affect reproduction capacity. These products should be given to a pregnant woman only when clearly needed.

Nonteratogenic Effects

Withdrawal seizures were reported in a two-day-old male infant whose mother had taken a butalbital-containing drug during the last two months of pregnancy. Butalbital was found in the infant's serum. The infant was given phenobarbital 5 mg/kg, which was tapered without further seizure or other withdrawal symptoms.

Treatment

A single or multiple drug overdose with butalbital and acetaminophen is a potentially lethal polydrug overdose, and consultation with a regional poison control center is recommended. Immediate treatment includes support of cardiorespiratory function and measures to reduce drug absorption.

Oxygen, intravenous fluids, vasopressors, and other supportive measures should be employed as indicated. Assisted or controlled ventilation should also be considered.

Gastric decontamination with activated charcoal should be administered just prior to N-acetylcysteine (NAC) to decrease systemic absorption if acetaminophen ingestion is known or suspected to have occurred within a few hours of presentation. Serum acetaminophen levels should be obtained immediately if the patient presents 4 hours or more after ingestion to assess potential risk of hepatotoxicity; acetaminophen levels drawn less than 4 hours post-ingestion may be misleading. To obtain the best possible outcome, NAC should be administered as soon as possible where impending or evolving liver injury is suspected. Intravenous NAC may be administered when circumstances preclude oral administration.

Vigorous supportive therapy is required in severe intoxication. Procedures to limit the continuing absorption of the drug must be readily performed since the hepatic injury is dose dependent and occurs early in the course of intoxication.

Overdosage

Following an acute overdosage, toxicity may result from the barbiturate or the acetaminophen.

Geriatric Use

Clinical studies of butalbital and acetaminophen capsules did not include sufficient numbers of subjects aged 65 and over to determine whether they respond differently from younger subjects. Other reported clinical experience has not identified differences in responses between the elderly and younger patients. In general, dose selection for an elderly patient should be cautious, usually starting at the low end of the dosing range, reflecting the greater frequency of decreased hepatic, renal, or cardiac function, and of concomitant disease or other drug therapy.

Pediatric Use

Safety and effectiveness in children below the age of 12 have not been established.

Hepatotoxicity

Acetaminophen has been associated with cases of acute liver failure, at times resulting in liver transplant and death. Most of the cases of liver injury are associated with the use of acetaminophen at doses that exceed 4000 milligrams per day, and often involve more than one acetaminophen containing product.

Hepatotoxicity

Acetaminophen has been associated with cases of acute liver failure, at times resulting in liver transplant and death. Most of the cases of liver injury are associated with the use of acetaminophen at doses that exceed 4000 milligrams per day, and often involve more than one acetaminophen-containing product. The excessive intake of acetaminophen may be intentional to cause self-harm or unintentional as patients attempt to obtain more pain relief or unknowingly take other acetaminophen-containing products.

The risk of acute liver failure is higher in individuals with underlying liver disease and in individuals who ingest alcohol while taking acetaminophen.

Instruct patients to look for acetaminophen or APAP on package labels and not to use more than one product that contains acetaminophen. Instruct patients to seek medical attention immediately upon ingestion of more than 4000 milligrams of acetaminophen per day, even if they feel well.

Nursing Mothers

Barbiturates and acetaminophen are excreted in breast milk in small amounts, but the significance of their effects on nursing infants is not known. Because of potential for serious adverse reactions in nursing infants from butalbital and acetaminophen, a decision should be made whether to discontinue nursing or to discontinue the drug, taking into account the importance of the drug to the mother.

Laboratory Tests

In patients with severe hepatic or renal disease, effects of therapy should be monitored with serial liver and/or renal function tests.

Pharmacokinetics

The behavior of the individual components is described below.

Butalbital

Butalbital is well absorbed from the gastrointestinal tract and is expected to distribute to most tissues in the body. Barbiturates in general may appear in breast milk and readily cross the placental barrier. They are bound to plasma and tissue proteins to a varying degree and binding increases directly as a function of lipid solubility.

Elimination of butalbital is primarily via the kidney (59% to 88% of the dose) as unchanged drug or metabolites. The plasma half-life is about 35 hours. Urinary excretion products include parent drug (about 3.6% of the dose), 5-isobutyl-5-(2,3-dihydroxy-propyl) barbituric acid (about 24% of the dose), 5-allyl-5 (3-hydroxy-2-methyl-1-propyl) barbituric acid (about 4.8% of the dose), products with the barbituric acid ring hydrolyzed with excretion of urea (about 14% of the dose), as well as unidentified materials. Of the material excreted in the urine, 32% is conjugated.

The in vitro plasma protein binding of butalbital is 45% over the concentration range of 0.5 to 20 mcg/mL. This falls within the range of plasma protein binding (20% to 45%) reported with other barbiturates such as phenobarbital, pentobarbital, and secobarbital sodium. The plasma-to-blood concentration ratio was almost unity, indicating that there is no preferential distribution of butalbital into either plasma or blood cells.

See OVERDOSAGE for toxicity information.

Acetaminophen

Acetaminophen is rapidly absorbed from the gastrointestinal tract and is distributed throughout most body tissues. The plasma half-life is 1.25 to 3 hours, but may be increased by liver damage and following overdosage. Elimination of acetaminophen is principally by liver metabolism (conjugation) and subsequent renal excretion of metabolites. Approximately 85% of an oral dose appears in the urine within 24 hours of administration, most as the glucuronide conjugate, with small amounts of other conjugates and unchanged drug.

See OVERDOSAGE for toxicity information.

Signs and Symptoms

Toxicity from barbiturate poisoning includes drowsiness, confusion, and coma; respiratory depression; hypotension; and hypovolemic shock.

In acetaminophen overdosage: dose-dependent, potentially fatal hepatic necrosis is the most serious adverse effect. Renal tubular necrosis, hypoglycemic coma and coagulation defects may also occur. Early symptoms following a potentially hepatotoxic overdose may include: nausea, vomiting, diaphoresis and general malaise. Clinical and laboratory evidence of hepatic toxicity may not be apparent until 48 to 72 hours post-ingestion.

Clinical Pharmacology

This combination drug product is intended as a treatment for tension headache.

It consists of a fixed combination of butalbital and acetaminophen. The role each component plays in the relief of the complex of symptoms known as tension headache is incompletely understood.

Serious Skin Reactions

Rarely, acetaminophen may cause serious skin reactions such as acute generalized exanthematous pustulosis (AGEP), Stevens-Johnson Syndrome (SJS), and toxic epidermal necrolysis (TEN), which can be fatal. Patients should be informed about the signs of serious skin reactions, and use of the drug should be discontinued at the first appearance of skin rash or any other sign of hypersensitivity.

Drug Abuse and Dependence

Abuse and Dependence

Butalbital

Barbiturates may be habit-forming : Tolerance, psychological dependence, and physical dependence may occur especially following prolonged use of high doses of barbiturates. The average daily dose for the barbiturate addict is usually about 1500 mg. As tolerance to barbiturates develops, the amount needed to maintain the same level of intoxication increases; tolerance to a fatal dosage, however, does not increase more than two-fold. As this occurs, the margin between an intoxication dosage and fatal dosage becomes smaller. The lethal dose of a barbiturate is far less if alcohol is also ingested. Major withdrawal symptoms (convulsions and delirium) may occur within 16 hours and last up to 5 days after abrupt cessation of these drugs. Intensity of withdrawal symptoms gradually declines over a period of approximately 15 days. Treatment of barbiturate dependence consists of cautious and gradual withdrawal of the drug. Barbiturate-dependent patients can be withdrawn by using a number of different withdrawal regimens. One method involves initiating treatment at the patient's regular dosage level and gradually decreasing the daily dosage as tolerated by the patient.

Hypersensitivity/anaphylaxis

There have been post-marketing reports of hypersensitivity and anaphylaxis associated with use of acetaminophen. Clinical signs included swelling of the face, mouth, and throat, respiratory distress, urticaria, rash, pruritus, and vomiting. There were infrequent reports of life-threatening anaphylaxis requiring emergency medical attention. Instruct patients to discontinue butalbital and acetaminophen capsules immediately and seek medical care if they experience these symptoms. Do not prescribe butalbital and acetaminophen capsules for patients with acetaminophen allergy.

Drug/laboratory Test Interactions

Acetaminophen may produce false-positive test results for urinary 5-hydroxyindoleacetic acid.

Information for Patients/caregivers

Do not take butalbital and acetaminophen capsules if you are allergic to any of the ingredients.

If you develop signs of allergy such as a rash or difficulty breathing, stop taking butalbital and acetaminophen capsules and contact your healthcare provider immediately.

Do not take more than 4000 milligrams of acetaminophen per day. Call your doctor if you took more than the recommended dose.

This product may impair mental and/or physical abilities required for the performance of potentially hazardous tasks such as driving a car or operating machinery. Such tasks should be avoided while taking this product.

Alcohol and other CNS depressants may produce an additive CNS depression, when taken with this combination product, and should be avoided.

Butalbital may be habit-forming. Patients should take the drug only for as long as it is prescribed, in the amounts prescribed, and no more frequently than prescribed.

Package/label Principal Display Panel

Carcinogenesis, Mutagenesis, Impairment of Fertility

No adequate studies have been conducted in animals to determine whether acetaminophen or butalbital have a potential for carcinogenesis, mutagenesis or impairment of fertility.


Structured Label Content

Warnings (WARNINGS)

Butalbital is habit-forming and potentially abusable. Consequently, the extended use of this product is not recommended.

Indications and Usage (INDICATIONS AND USAGE)

Butalbital and acetaminophen capsules are indicated for the relief of the symptom complex of tension (or muscle contraction) headache.

Evidence supporting the efficacy and safety of this combination product in the treatment of multiple recurrent headaches is unavailable. Caution in this regard is required because butalbital is habit-forming and potentially abusable.

Dosage and Administration (DOSAGE AND ADMINISTRATION)

One to two capsules every four hours. Total daily dosage should not exceed six capsules.

Extended and repeated use of these products is not recommended because of the potential for physical dependence.

Contraindications (CONTRAINDICATIONS)

This product is contraindicated under the following conditions:

  • Hypersensitivity or intolerance to any component of this product.
  • Patients with porphyria.
Adverse Reactions (ADVERSE REACTIONS)

Frequently Observed

The most frequently reported adverse reactions are drowsiness, lightheadedness, dizziness, sedation, shortness of breath, nausea, vomiting, abdominal pain, and intoxicated feeling.

Infrequently Observed

All adverse events tabulated below are classified as infrequent.

Central Nervous: headache, shaky feeling, tingling, agitation, fainting, fatigue, heavy eyelids, high energy, hot spells, numbness, sluggishness, seizure. Mental confusion, excitement or depression can also occur due to intolerance, particularly in elderly or debilitated patients, or due to overdosage of butalbital.

Autonomic Nervous: dry mouth, hyperhidrosis.

Gastrointestinal: difficulty swallowing, heartburn, flatulence, constipation.

Cardiovascular: tachycardia.

Musculoskeletal: leg pain, muscle fatigue.

Genitourinary: diuresis.

Miscellaneous: pruritus, fever, earache, nasal congestion, tinnitus, euphoria, allergic reactions.

Several cases of dermatological reactions, including toxic epidermal necrolysis and erythema multiforme, have been reported.

The following adverse drug events may be borne in mind as potential effects of the components of this product. Potential effects of high dosage are listed in the OVERDOSAGE section.

Acetaminophen: allergic reactions, rash, thrombocytopenia, agranulocytosis.

To report SUSPECTED ADVERSE REACTIONS, contact Dr. Reddy’s Laboratories, Inc. at 1-888-375-3784 or FDA at 1-800-FDA-1088 or www.fda.gov/medwatch

Drug Interactions

The CNS effects of butalbital may be enhanced by monoamine oxidase (MAO) inhibitors.

Butalbital and acetaminophen may enhance the effects of: other narcotic analgesics, alcohol, general anesthetics, tranquilizers such as chlordiazepoxide, sedative-hypnotics, or other CNS depressants, causing increased CNS depression.

How Supplied (HOW SUPPLIED)

Each butalbital and acetaminophen capsule contains butalbital 50 mg (Warning: May be habit-forming) and acetaminophen 300 mg. It is available in bottles of 100 capsules, NDC 75907-008-01. Capsules are opaque purple, imprinted “544” in white on the cap and the body.

Store at 20°C to 25°C (68° to 77°F) [see USP Controlled Room Temperature].

Dispense in a tight container as defined in the USP.

Rx Only

Distributed by:

Dr. Reddy’s Laboratories Inc.

Princeton, NJ 08540

Code 1244A00

Rev. 07/2024

Description (DESCRIPTION)

Each capsule for oral administration contains butalbital USP, 50 mg and acetaminophen USP, 300 mg.

In addition, each capsule also contains the following inactive ingredients: croscarmellose sodium, crospovidone, silicified microcrystalline cellulose, silicon dioxide, stearic acid, povidone, and pregelatanized starch. Capsule shells are composed of gelatin, titanium dioxide, FD&C Blue #1 and FD&C Red #3, with white edible ink.

Butalbital (5-allyl-5-isobutylbarbituric acid), a slightly bitter, white, odorless, crystalline powder, is a short to intermediate-acting barbiturate. It has the following structural formula:

C 11H 16N 2O 3

MW 224.26

Acetaminophen (4'-hydroxyacetanilide), a slightly bitter, white, odorless, crystalline powder, is a non-opiate, non-salicylate analgesic and antipyretic. It has the following structural formula:

C 8H 9NO 2

MW 151.16

General

Butalbital and acetaminophen capsules should be prescribed with caution in certain special-risk patients, such as the elderly or debilitated, and those with severe impairment of renal or hepatic function, or acute abdominal conditions.

Pregnancy

Teratogenic Effects

Animal reproduction studies have not been conducted with this combination product. It is also not known whether butalbital and acetaminophen can cause fetal harm when administered to a pregnant woman or can affect reproduction capacity. These products should be given to a pregnant woman only when clearly needed.

Nonteratogenic Effects

Withdrawal seizures were reported in a two-day-old male infant whose mother had taken a butalbital-containing drug during the last two months of pregnancy. Butalbital was found in the infant's serum. The infant was given phenobarbital 5 mg/kg, which was tapered without further seizure or other withdrawal symptoms.

Treatment

A single or multiple drug overdose with butalbital and acetaminophen is a potentially lethal polydrug overdose, and consultation with a regional poison control center is recommended. Immediate treatment includes support of cardiorespiratory function and measures to reduce drug absorption.

Oxygen, intravenous fluids, vasopressors, and other supportive measures should be employed as indicated. Assisted or controlled ventilation should also be considered.

Gastric decontamination with activated charcoal should be administered just prior to N-acetylcysteine (NAC) to decrease systemic absorption if acetaminophen ingestion is known or suspected to have occurred within a few hours of presentation. Serum acetaminophen levels should be obtained immediately if the patient presents 4 hours or more after ingestion to assess potential risk of hepatotoxicity; acetaminophen levels drawn less than 4 hours post-ingestion may be misleading. To obtain the best possible outcome, NAC should be administered as soon as possible where impending or evolving liver injury is suspected. Intravenous NAC may be administered when circumstances preclude oral administration.

Vigorous supportive therapy is required in severe intoxication. Procedures to limit the continuing absorption of the drug must be readily performed since the hepatic injury is dose dependent and occurs early in the course of intoxication.

Overdosage (OVERDOSAGE)

Following an acute overdosage, toxicity may result from the barbiturate or the acetaminophen.

Geriatric Use

Clinical studies of butalbital and acetaminophen capsules did not include sufficient numbers of subjects aged 65 and over to determine whether they respond differently from younger subjects. Other reported clinical experience has not identified differences in responses between the elderly and younger patients. In general, dose selection for an elderly patient should be cautious, usually starting at the low end of the dosing range, reflecting the greater frequency of decreased hepatic, renal, or cardiac function, and of concomitant disease or other drug therapy.

Pediatric Use

Safety and effectiveness in children below the age of 12 have not been established.

Hepatotoxicity (HEPATOTOXICITY)

Acetaminophen has been associated with cases of acute liver failure, at times resulting in liver transplant and death. Most of the cases of liver injury are associated with the use of acetaminophen at doses that exceed 4000 milligrams per day, and often involve more than one acetaminophen containing product.

Hepatotoxicity

Acetaminophen has been associated with cases of acute liver failure, at times resulting in liver transplant and death. Most of the cases of liver injury are associated with the use of acetaminophen at doses that exceed 4000 milligrams per day, and often involve more than one acetaminophen-containing product. The excessive intake of acetaminophen may be intentional to cause self-harm or unintentional as patients attempt to obtain more pain relief or unknowingly take other acetaminophen-containing products.

The risk of acute liver failure is higher in individuals with underlying liver disease and in individuals who ingest alcohol while taking acetaminophen.

Instruct patients to look for acetaminophen or APAP on package labels and not to use more than one product that contains acetaminophen. Instruct patients to seek medical attention immediately upon ingestion of more than 4000 milligrams of acetaminophen per day, even if they feel well.

Nursing Mothers

Barbiturates and acetaminophen are excreted in breast milk in small amounts, but the significance of their effects on nursing infants is not known. Because of potential for serious adverse reactions in nursing infants from butalbital and acetaminophen, a decision should be made whether to discontinue nursing or to discontinue the drug, taking into account the importance of the drug to the mother.

Laboratory Tests

In patients with severe hepatic or renal disease, effects of therapy should be monitored with serial liver and/or renal function tests.

Pharmacokinetics

The behavior of the individual components is described below.

Butalbital

Butalbital is well absorbed from the gastrointestinal tract and is expected to distribute to most tissues in the body. Barbiturates in general may appear in breast milk and readily cross the placental barrier. They are bound to plasma and tissue proteins to a varying degree and binding increases directly as a function of lipid solubility.

Elimination of butalbital is primarily via the kidney (59% to 88% of the dose) as unchanged drug or metabolites. The plasma half-life is about 35 hours. Urinary excretion products include parent drug (about 3.6% of the dose), 5-isobutyl-5-(2,3-dihydroxy-propyl) barbituric acid (about 24% of the dose), 5-allyl-5 (3-hydroxy-2-methyl-1-propyl) barbituric acid (about 4.8% of the dose), products with the barbituric acid ring hydrolyzed with excretion of urea (about 14% of the dose), as well as unidentified materials. Of the material excreted in the urine, 32% is conjugated.

The in vitro plasma protein binding of butalbital is 45% over the concentration range of 0.5 to 20 mcg/mL. This falls within the range of plasma protein binding (20% to 45%) reported with other barbiturates such as phenobarbital, pentobarbital, and secobarbital sodium. The plasma-to-blood concentration ratio was almost unity, indicating that there is no preferential distribution of butalbital into either plasma or blood cells.

See OVERDOSAGE for toxicity information.

Acetaminophen

Acetaminophen is rapidly absorbed from the gastrointestinal tract and is distributed throughout most body tissues. The plasma half-life is 1.25 to 3 hours, but may be increased by liver damage and following overdosage. Elimination of acetaminophen is principally by liver metabolism (conjugation) and subsequent renal excretion of metabolites. Approximately 85% of an oral dose appears in the urine within 24 hours of administration, most as the glucuronide conjugate, with small amounts of other conjugates and unchanged drug.

See OVERDOSAGE for toxicity information.

Signs and Symptoms

Toxicity from barbiturate poisoning includes drowsiness, confusion, and coma; respiratory depression; hypotension; and hypovolemic shock.

In acetaminophen overdosage: dose-dependent, potentially fatal hepatic necrosis is the most serious adverse effect. Renal tubular necrosis, hypoglycemic coma and coagulation defects may also occur. Early symptoms following a potentially hepatotoxic overdose may include: nausea, vomiting, diaphoresis and general malaise. Clinical and laboratory evidence of hepatic toxicity may not be apparent until 48 to 72 hours post-ingestion.

Clinical Pharmacology (CLINICAL PHARMACOLOGY)

This combination drug product is intended as a treatment for tension headache.

It consists of a fixed combination of butalbital and acetaminophen. The role each component plays in the relief of the complex of symptoms known as tension headache is incompletely understood.

Serious Skin Reactions

Rarely, acetaminophen may cause serious skin reactions such as acute generalized exanthematous pustulosis (AGEP), Stevens-Johnson Syndrome (SJS), and toxic epidermal necrolysis (TEN), which can be fatal. Patients should be informed about the signs of serious skin reactions, and use of the drug should be discontinued at the first appearance of skin rash or any other sign of hypersensitivity.

Drug Abuse and Dependence (DRUG ABUSE AND DEPENDENCE)

Abuse and Dependence

Butalbital

Barbiturates may be habit-forming : Tolerance, psychological dependence, and physical dependence may occur especially following prolonged use of high doses of barbiturates. The average daily dose for the barbiturate addict is usually about 1500 mg. As tolerance to barbiturates develops, the amount needed to maintain the same level of intoxication increases; tolerance to a fatal dosage, however, does not increase more than two-fold. As this occurs, the margin between an intoxication dosage and fatal dosage becomes smaller. The lethal dose of a barbiturate is far less if alcohol is also ingested. Major withdrawal symptoms (convulsions and delirium) may occur within 16 hours and last up to 5 days after abrupt cessation of these drugs. Intensity of withdrawal symptoms gradually declines over a period of approximately 15 days. Treatment of barbiturate dependence consists of cautious and gradual withdrawal of the drug. Barbiturate-dependent patients can be withdrawn by using a number of different withdrawal regimens. One method involves initiating treatment at the patient's regular dosage level and gradually decreasing the daily dosage as tolerated by the patient.

Hypersensitivity/anaphylaxis

There have been post-marketing reports of hypersensitivity and anaphylaxis associated with use of acetaminophen. Clinical signs included swelling of the face, mouth, and throat, respiratory distress, urticaria, rash, pruritus, and vomiting. There were infrequent reports of life-threatening anaphylaxis requiring emergency medical attention. Instruct patients to discontinue butalbital and acetaminophen capsules immediately and seek medical care if they experience these symptoms. Do not prescribe butalbital and acetaminophen capsules for patients with acetaminophen allergy.

Drug/laboratory Test Interactions (Drug/Laboratory Test Interactions)

Acetaminophen may produce false-positive test results for urinary 5-hydroxyindoleacetic acid.

Information for Patients/caregivers (Information for Patients/Caregivers)

Do not take butalbital and acetaminophen capsules if you are allergic to any of the ingredients.

If you develop signs of allergy such as a rash or difficulty breathing, stop taking butalbital and acetaminophen capsules and contact your healthcare provider immediately.

Do not take more than 4000 milligrams of acetaminophen per day. Call your doctor if you took more than the recommended dose.

This product may impair mental and/or physical abilities required for the performance of potentially hazardous tasks such as driving a car or operating machinery. Such tasks should be avoided while taking this product.

Alcohol and other CNS depressants may produce an additive CNS depression, when taken with this combination product, and should be avoided.

Butalbital may be habit-forming. Patients should take the drug only for as long as it is prescribed, in the amounts prescribed, and no more frequently than prescribed.

Package/label Principal Display Panel (PACKAGE/LABEL PRINCIPAL DISPLAY PANEL)

Carcinogenesis, Mutagenesis, Impairment of Fertility

No adequate studies have been conducted in animals to determine whether acetaminophen or butalbital have a potential for carcinogenesis, mutagenesis or impairment of fertility.


Advanced Ingredient Data


Raw Label Data

All Sections (JSON)